umwelt-online: DIN 4113-2 Aluminiumkonstruktionen unter vorwiegend ruhender Belastung; Berechnung geschweißter Aluminiumkonstruktionen (2)
![]() |
zurück | ![]() |
Entspricht die Ausführung der Stumpfnähte Bild 2, so ist die rechnerische Schweißnahtlängel = der Breiteb des zu schweißenden Bauteils.
Bild 2 - Stumpfnaht mit An- bzw. Auslaufblechen
Wenn keine An- und Auslaufbleche verwendet werden, ist dafür zu sorgen, dass Anfangs- und Endbereich einwandfrei durchgeschweißt sind; andernfalls ist
Die rechnerische Spannungσ darf die zulässigen Werte zul.σ Tabelle 5 nicht überschreiten.
Bei Verbindungen verschiedener Legierungen und unterschiedlicher Dicken (siehe Tabelle 3, Zeile 2) ist zul.F = (t x zul.σ)min xl.
Tabelle 3 - Schweißnahtformen und rechnerische Schweißnahtdicken
| Spalte | 1 | 2 | 3 | 4 | |||
| Zeile | Nahtart | Bild | Rechnerische Nahtdicke a | Bemerkung zur Ausführung | |||
| 1 | Stumpfnaht | ![]() |
Führt zuσ⊥ | ||||
| Stirnkehlnaht | Führt zuσ bzw.σw⊥ bzw. zuτw⊥ | ||||||
| Flankenkehlnaht | führt zuτwa | ||||||
| 2 | Stumpfnaht | ![]() |
a =t1
wennt1 ≤t2 |
Wurzel durchgeschweißt | |||
| 3 | D(oppel)-HV-Naht (K-Naht) |
![]() |
a =t1
a =t1 |
||||
| 4 | HV-Naht (halbe V-Naht) |
Kapplage gegengeschweißt | |||||
| 5 | Wurzel durchgeschweißt | ![]() |
|||||
| 6 | D(oppel)-HV-Naht mit Doppelkehlnaht | ![]() |
Wurzel nicht durchgeschweißt | ||||
| 7 | HV-Naht mit Kehlnaht | ![]() |
a =t1 -c
danna =t1 |
||||
| 8 | HV-Naht | ![]() |
|||||
| 9 | Kehlnaht | ![]() |
a ≤ 0,7t1 | Nahtdickea ist die Höhe des einschreibbaren gleichschenkligen Dreiecks | |||
| 10 | Doppelkehlnaht | ![]() |
|||||
| a | In begründeten Ausnahmefällen dürfen Flankenkehlnähte überhöht oder ungleichschenklig ausgeführt werden und das erhöhtea-Maß auch bei einem entsprechenden Nachweis berücksichtigt werden (siehe 6.3.4). Dies ist z.B. der Fall, wenn die Nahtflanke der Blechdicke entspricht und daher nur auf diese Weise die Anordnung einer kürzeren und trotzdem ausreichend tragfähigen Schweißnaht möglich ist. | ||||||
Tabelle 4 - Zulässige Spannungen in der Wärmeeinflusszone (WEZ)
Werte in N/mm2
| Spalte | 1a | 1b | 1c | 1d | 2a | 2b | 3a | 3b | 4a | 4b |
| Zeile | Werkstoffe, Werkstoffzustände Und Halbzeugformen | Zug; Biegezug, Druck; Biegedruck zul.σ |
Schub zul.τ |
Vergleichsspannung zul.σv |
||||||
| DIN EN 573-3 | DIN 1725 | Zustand | Halbzeug | H | HZ | H | HZ | H | HZ | |
| 1 | EN AW-6005A EN AW-AlSiMg(A) |
AlMgSi0,7 | T6 | P | 72 | 82 | 42 | 46 | 92 | 105 |
| 2a | EN AW-6060 EN AW-AlMgSi |
AlMgSi0,5 | T6 | P | 44 | 50 | 24 | 28 | 48 | 54 |
| 2b | T66 | P | 48 | 54 | 28 | 32 | 52 | 58 | ||
| 3 | EN AW-6061 EN AW-AlMg1 SiCu |
AlMg1 SiCu | T6/T651 | P, W | 76 | 86 | 44 | 50 | 92 | 105 |
| 4a | EN AW-6063 EN AW-AlMg0,7Si |
T6 | P | 48 | 54 | 28 | 32 | 52 | 58 | |
| 4b | T66 | P | 56 | 64 | 32 | 36 | 60 | 68 | ||
| 5 | EN AW-6082 EN AW-AlSi1 MgMn |
AlMgSi1 | T6/T651 T61/T6151 T5 |
P, W, S | 80 | 90 | 46 | 52 | 100 | 110 |
| 6 | EN AW-6106 EN AW-AlMgSiMn |
T6 | P | 70 | 78 | 40 | 46 | 76 | 86 | |
| 7 | EN AW-7020 EN AW-AlZn4,5Mgl |
AlZn4,5Mgl | T6/T651 | P, W | 120 | 135 | 70 | 80 | 165 | 185 |
| 8 | EN AW-3103 EN AW-AlMn1 |
AlMn1 | H18 | W | 32 | 38 | 18 | 22 | 34 | 40 |
| 9 | EN AW-3004 EN AW-AlMn1Mg1 |
AlMn1Mg1 | H14 H24/H34 H16 H26/H36 | W | 56 | 64 | 32 | 36 | 60 | 68 |
| 10 | EN AW-3005 ENAW-AlMnlMg0,5 |
AlMn1Mg0,5 | H16 H18 H28 |
W | 42 | 48 | 24 | 28 | 44 | 50 |
| 11a | EN AW-5005(A) EN AW-AlMg1 |
AlMg1 | O/H111 H112 | P, W | Nachweis für Grundwerkstoff maßgebend und ausreichend | |||||
| 11b | H12; H14 H22/H32 H24/H34 | W | 32 | 38 | 18 | 22 | 34 | 40 | ||
| 12a | EN AW-5049 EN AW-AlMg2Mn0,8 |
AlMg2Mn0,8 | O/H111 H112 | W | Nachweis für Grundwerkstoff maßgebend und ausreichend | |||||
| 12b | H14 H24/H34 | W | 75 | 86 | 44 | 48 | 80 | 90 | ||
| 13a | EN AW-5083 EN AW-ANlg4,5Mn0,7 |
AlMg4,5Mn | O/H111 H112 | P, S | Nachweis für Grundwerkstoff maßgebend und ausreichend | |||||
| 13b | O/H111 H112 | W | Nachweis für Grundwerkstoff maßgebend und ausreichend | |||||||
| 13c | H12 H22/H32 | W | 10 5 |
120 | 60 | 68 | 110 | 125 | ||
| 14a | EN AW-5754
EN AW-AlMg3 |
AlMg3 | O/H111 H112 | P, W, S | Nachweis für Grundwerkstoff maßgebend und ausreichend | |||||
| 14b | H14 H24/H34 | W | 75 | 86 | 44 | 48 | 80 | 90 | ||
| P: Strangpressprodukte; W: Walzprodukte; S: Schmiedeteile | ||||||||||
Tabelle 5 - Zulässige Spannungen für Schweißnähtea
Werte in N/mm2
| Spalte | 1a | 1b | 1c | 1d | 2a | 2b | 3a | 3b | 4a | 4b | 5a | 5b | 6a | 6b |
| Zeile | Werkstoffe, Werkstoffzustände, Schweißzusatzwerkstoffe | Nahtformen 2 bis 5 (Stumpfnähte) | Nahtformen 6 bis 10 (Kehlnähte) | |||||||||||
| Werkstoff | Zustand | Schweißzusatz | Druck; Zug, Güte nachgewiesenb zul.σ |
Zug, Güte nicht nachgewiesen zul.σ |
Schub zul. |
Schub zul.τw|| τw⊥ undτwT |
Vergleichswert zul.σw |
|||||||
| DIN EN 573.3 | DIN 1725 | H | HZ | H | HZ | H | HZ | H | HZ | H | HZ | |||
| 1 | EN AW-6005A EN AW-AlSiMg(A) |
AlMgSi0,7 | T6 | SG-AlSi5 | 72 | 82 | 54 | 60 | 42 | 46 | 42 | 46 | 42 | 46 |
| SG-AlMg5/ AlMg4,5Mn |
44 | 50 | 52 | 60 | ||||||||||
| 2a | EN AW-6060 EN AW-AlMgSi |
AlMgSi0,5 | T6 | SG-AlSi5/ SG-AlMg5 AlMg4,5Mn |
44 | 50 | 40 | 44 | 24 | 28 | 26 | 30 | 32 | 36 |
| 2b | T66 | SG-AlSi5/ SG-AlMg5/ AlMg4,5Mn |
48 | 54 | 42 | 48 | 28 | 32 | 30 | 34 | 35 | 40 | ||
| 3 | EN AW-6061 EN AW-AlMg1SiCu |
AlMg1SiCu | T6/ T651 | SG-4ISi5 SG-4IMg5/ AlMg4,5Mn |
72 | 82 | 56 | 64 | 42 | 46 | 42 | 46 | 42 | 46 |
| 76 | 86 | 44 | 50 | 46 | 52 | 56 | 64 | |||||||
| 4a | EN AW-6063 EN AW-AlMg0,7Si |
T6 | SG AlSi5/ SG-AlMg5/ AlMg4,5Mn |
48 | 54 | 42 | 48 | 28 | 32 | 30 | 34 | 35 | 40 | |
| 4b | T66 | SG-AlSi5/ SG-AlMg5/ AlMg4,5Mn |
56 | 64 | 50 | 56 | 32 | 36 | 34 | 40 | 42 | 46 | ||
| 5 | EN AW-6082 EN AW-AlSi1MgMn |
AlMgSi1 | T6/T651 T61/ T6151 T5 |
SG-AlSi5 | 72 | 82 | 60 | 68 | 42 | 46 | 42 | 46 | 42 | 46 |
| SG-AlMg5/ AlMg4,5Mn |
80 | 90 | 46 | 52 | 50 | 56 | 58 | 66 | ||||||
| 6 | EN AW-6106 EN AW-AlMgSiMn |
T6 | SG-AlSi5 SG-AlMg5/ AlMg4,5Mn |
70 | 78 | 52 | 60 | 40 | 46 | 42 | 46 | 42 | 46 | |
| 42 | 48 | 50 | 58 | |||||||||||
| 7 | EN AW-7020 EN AW-AlZn4,5Mg1 |
AlZn4,5Mg1 | T6/ T651 | SG-AlMg5/ SG-AlMg4,5Mn |
110 | 125 | 82 | 94 | 60 | 68 | 60 | 68 | 60 | 68 |
| 8 | EN AW-3103 EN AW-AlMn1 |
AlMn1 | H18 | SG-AlMg3/ AlMg5/ AlMg4,5Mn |
32 | 38 | 28 | 32 | 18 | 22 | 24 | 26 | 28 | 32 |
| 9 | EN AW-3004 EN AW- AlMn1Mg1 |
AlMn1Mg1 | H14/H24/ H34 H16/H26/ H36 |
SG-AlMg3/ AlMg5 AlMg4,5Mn |
56 | 64 | 50 | 56 | 32 | 36 | 42 | 46 | 42 | 46 |
| 10 | EN AW-3005 EN AW-AlMn1Mg0,5 |
AlMn1Mg0,5 | H16 H18/H28 |
SG-AIMg3/AlMg5 AlMg4,5Mn |
42 | 48 | 38 | 42 | 24 | 28 | 30 | 34 | 36 | 42 |
| 11a | EN AW-5005(A) EN AW-AlMg1 |
AlMg1 | O/H111 H112 |
SG-AlMg3/ AlMg5/ AlMg4,5Mn |
Nachweis wie Grundwerkstoff | 18 | 20 | Nachweis wie Grundwerkstoff | 26 | 30 | 32 | 36 | ||
| 11b | H12/H22/ H32 H14/H24/H34 |
SG-AlMg3/ AlMg5/ AlMg4,5Mn |
32 | 38 | 28 | 32 | 18 | 22 | 26 | 30 | 32 | 36 | ||
| 12a | EN AW-5049 EN AW-AlMg2Mn0,8 |
AlMg2Mn0,8 | O/H111 H112 |
SG-AlMg3 SG-AlMg5/ AlMg4,5Mn |
Nachweis wie Grundwerkstoff | 42 | 46 | Nachweis wie Grundwerkstoff | 42 | 46 | 42 | 46 | ||
| 50 | 58 | 58 | 66 | |||||||||||
| 12b | H14/H24/H34 | SG-AlMg3 SG-AlMg5/ AlMg4,5Mn |
72 | 82 | 54 | 60 | 42 | 46 | 42 | 46 | 42 | 46 | ||
| 75 | 86 | 56 | 62 | 44 | 48 | 50 | 58 | 58 | 66 | |||||
| 13a | EN AW-5083 EN AW-AlMg4,5Mn0,7 |
AlMg4,5Mn | Press O/H 111 H112 |
SG-AlMg5/ AlMg4,5Mn |
Nachweis wie Grundwerkstoff | 58 | 64 | Nachweis wie Grundwerkstoff | 58 | 66 | 58 | 66 | ||
| 13b | Walz O/H111 H112 |
SG-AlMg5/ AlMg4,5Mn |
66 | 76 | 58 | 66 | 58 | 66 | ||||||
| 13c | H12/H22/H32/H116 | SG-AlMg5/ AlMg4,5Mn |
100 | 115 | 75 | 85 | 58 | 66 | 58 | 66 | 58 | 66 | ||
| 14a | EN AW-5754 EN AW-AlMg3 |
AlMg3 | O/H111 H112 |
SG-AlIMg3 SG-AlMg5/ AlMg4,5Mn |
Nachweis wie Grundwerkstoff | 42 | 46 | Nachweis wie Grundwerkstoff | 42 | 46 | 42 | 46 | ||
| 48 | 54 | 58 | 66 | |||||||||||
| 14b | H14/H24/H34 | SG-AlIMg3 SG-AlMg5/ AlMg4,5Mn |
72 | 82 | 54 | 60 | 42 | 46 | 42 | 46 | 42 | 46 | ||
| 75 | 86 | 56 | 62 | 44 | 48 | 48 | 54 | 58 | 66 | |||||
| a | Die Werte gelten bis zu einer Materialdicke von 15 mm (MIG), bei WIG bis 6 mm Dicke. Bei größeren Dicken gelten, falls kein genauerer Nachweis vorgelegt wird, 80 % der vorgenannten Werte. Bis zum Ersatz müssen Bauteile ausreichend kaltauslagern - DIN V 4113-3. |
| b | Nachweis der Schweißnahtgüte siehe DIN V 4113-3. |
6.3.2.2 Stumpfnähte parallel zur Kraftrichtung
Bei Stumpfnähten parallel zur Kraftrichtung ist 6.2.1 anzuwenden.
6.3.2.3 Kehlnähte
Für Stirnkehlnähte in Stößen und Anschlüssen gilt folgender Rechenwert (τw⊥ = Scherspannung in der Schweißnaht)
![]() |
( 12) |
![]() |
( 13) |
(Der Indexw bedeutet Schweißnaht, er kann wegfallen, wenn keine Verwechslung möglich ist.)
AW umfasst alle Stirnkehlnähte des Schweißanschlusses, gleichmäßige Spannungsverteilung vorausgesetzt.
Zulässige Spannungen siehe 6.3.4.
Für Flankenkehlnähte gilt der Rechenwert
mit
, nach Gleichung ( 13).
AW, umfasst alle Flankenkehlnähte des Schweißanschlusses, gleichmäßige Spannungsverteilung vorausgesetzt
Zulässige Spannungen siehe 6.3.4.
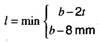
Für die rechnerische Längel der einzelnen Flankennähte ist folgende Bedingung einzuhalten:
| l ≤ 150 xa | ( 14) |
Bild 3 - Rechnerische Nahtlängenl
(l'xa') ≤ 0,8 (l xa) = indirekter (Steg-)Anschluss
(l xa) bzw.l = direkter Gesamtanschluss
l' ≤ 0,8 xl= indirekter (Steg-)Anschluss
Die rechnerische Schweißnahtlängel' für den mittelbaren (indirekten) Anschluss von Teilen zusammengesetzter Querschnitte (z.B. Stege von I-Querschnitten über Flansche an Knotenblech) darf nicht länger angesetzt werden als 80 % der Längel des "unmittelbaren (direkten) Anschlusses" (z.B. Flansche an Knotenblech) und muss innerhalb der Längel liegen (siehe Bild 3).
6.3.2.4 Zusammenwirken verschiedener Nähte
Beim Zusammenwirken von Stumpfnähten, Flankenkehlnähten und Stirnnähten ist entweder ein Nachweis nach 6.3.2.1, Gleichung ( 10) unter ausschließlicher Inrechnungstellung der Querschnitte der Stumpfnähte und der zulässigen Spannungen der Stumpfnähte zu führen, oder es ist der Nachweis nach Gleichung ( 15)
![]() |
( 15) |
zu führen mit
| AW =AS +Ak | ( 16) |
Dabei ist
| AS | die Schweißnahtfläche der Stumpfnaht; |
| Ak | die Schweißnahtfläche der Kehlnähte. |
Zulässig ist dann die Spannung für Kehlnähte nach 6.3.4.
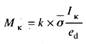
6.3.3 Biegebeanspruchte Stäbe
6.3.3.1 Stumpfnähte
Für die Berechnung von Stößen und Anschlüssen gilt:
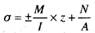
| Normalspannung | ![]() |
( 17) |
| Schubspannung | ![]() |
( 18) |
Dabei ist
| M | das Biegemoment; |
| N | die Normalkraft (Druck negativ); |
| Q | die Querkraft; |
| A | die Querschnittsfläche; |
| l | das Querschnitts-Trägheitsmoment; |
| S | das statische Moment der abgeschnittenen Querschnittsflächen; |
| z | der Abstand der betrachteten Stelle von der Querschnittsachse; |
| t | die Blechdicke = Nahtdicke. |
Die zulässigen Werte nach Tabelle 5, Spalte 2 bzw. Spalte 3 und Spalte 4 dürfen nicht überschritten werden.
Bei zusammengesetzter Beanspruchung ist die Vergleichsspannungσv nach Gleichung ( 9) zu ermitteln; sie darf 95 % der Werteσv (WEZ) nach Tabelle 4, Spalte 4 nicht überschreiten.
Bei Anschlüssen von querkraftübertragenden Querschnittsteilen sind dieτw-Werte Tabelle 5, Spalte 5, zugrunde zu legen.
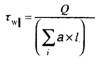
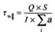
6.3.3.2 Kehlnähte
Bei Halskehlnähten in tragenden Querschnitten darf der Einfluss der Biegenormalspannungσ|| nach Gleichung ( 17) vernachlässigt werden. Die Schubspannung ist nach Gleichung ( 20) nachzuweisen.
Für die Berechnung von Kehlnähten nach Tabelle 3, Zeilen 6 bis 10 in Stößen und Anschlüssen mit Kehlnähten in der Querschnittsebene (z.B. Kreuzstößen oder Anschlüssen von Profilen an Stirnplatten) gelten bei Beanspruchung
ausM undN
![]() |
( 19) |
aus Q
![]() |
( 20) |
bzw.
![]() |
( 21) |
für I- und [-Querschnitte. Dabei ist
| M | das Biegemoment; |
| N | die Normalkraft (Druck negativ); |
| Q | die Querkraft; |
| lW | das Schweißnahtflächen-Trägheitsmoment; |
| AW | die wirksame Schweißnahtfläche nach Gleichungen ( 11), ( 13), ( 16); |
| S | das statische Moment der abgeschnittenen Querschnittsflächen; |
| z | der Abstand der Naht von der Schwerachse der Anschlussflächen; |
| ∑a | die Summe der jeweils anzusetzenden Schweißnahtdicken im Schnitt; |
| l | die rechnerische Schweißnahtlänge. |
Bei 2-achsiger Biegung werden jeweils die Spannungen aus den Momentenkomponenten nach Gleichung ( 19) überlagert, bei Querkräften in zwei Richtungen sind die Spannungskomponenten aus Gleichung ( 20) vektoriell zu überlagern.
Gegebenenfalls ist Torsion zu berücksichtigen. Zulässige Werte siehe 6.3.4.
Bei Kehlnähten (Schweißnahtarten nach Tabelle 3, Zeilen 6 bis 10) ist bei zusammengesetzter Beanspruchung der Vergleichswert (σvw) nach Gleichung ( 22) nachzuweisen. Zulässige Spannungen siehe 6.3.4.
![]() |
( 22) |
| σw⊥ bzw.τw⊥ nach Gleichung ( 19) | |
| τw|| nach Gleichung ( 20) bzw. ( 21) | |
6.3.3.3 Vereinfachte Nachweise
Der Nachweis für zusammengesetzte Beanspruchungen nach 6.3.3.1 (Stumpfnähte) bzw. 6.3.3.2 (Kehlnähte) braucht nicht geführt zu werden für Nähte eines biegesteifen Anschlusses eines Trägers mit I- oder [-Querschnitt mitlSteg/IGes ≤ 0,15 mit den Schnittgrößen Biegemoment, Längskraft und Querkraft, wenn jeweils die Aufnahme des Biegemoments durch die Flanschnähte, der Längskraft durch sämtliche Nähte nach Gleichung ( 15) und der Querkraft durch die Stegnähte nach Gleichung ( 21) nachgewiesen ist. Hierbei wird für sämtliche Schweißnahtformen der zul.τw -Wert nach Tabelle 5, Spalte 5 maßgebend.
6.3.4 Zulässige Spannungen in Schweißnähten
Die nach 6.3.2.3, 6.3.2.4 und 6.3.3.2 ermittelten Spannungen der Schweißverbindungen sind den zulässigen Werten der Tabelle 5 gegenüberzustellen.
Bei Verwendung von Doppelkehlnähten (nach Tabelle 3, Zeile 10) ausschließlich als Stirnkehlnähte (mit Beanspruchung senkrecht zur Anschlussebene) darf die rechnerische Beanspruchung den in Tabelle 5, Spalte 5 angegebenen Wert um 20 % überschreiten.
Die zulässigen Spannungen für Schweißverbindungen aus Bauteilen aus verschiedenen Legierungen sind Tabelle 5 zu entnehmen, wobei der niedrigste für die beteiligten Legierungen angegebene Wert maßgebend ist.
Bei Flankenkehlnähten, die ausschließlich durch Schubkräfte parallel zur Nahtrichtung beansprucht werden, darf anstatt zul.τw|| der Vergleichswertσvw als zulässige Spannung angesetzt werden. Wird dieser Nachweis ausnahmsweise mit überhöhten Nähten geführt (nur erfolgreich bei EN-AW 7020 und EN-AW 5083; bei EN-AW 6005A, EN-AW 6061, EN-AW 6082, EN-AW 6106, EN-AW 3004, EN-AW 5049 und EN-AW 5754 nur bei den niedrigerfesten Schweißzusätzen), muss zusätzlich nachgewiesen werden, dass die Schubspannung in der benachbarten WEZ kleiner ist als 0,23βZWEZ.
6.4 Zusammenwirken verschiedener Verbindungsmittel
6.4.1 Unzulässige Annahme des Zusammenwirkens
Gemeinsame Kraftübertragung darf bei kombinierten Verbindungen aus Schweißnähten und Scher/Lochleibungs-Verbindungen mit Lochspiel Δd > 0,3 mm (SL-Verbindungen) nicht angenommen werden.
6.4.2 Zulässige Annahme des Zusammenwirkens
Gemeinsame Kraftübertragung darf bei Verbindungen aus Schweißnähten mit gleitfesten Verbindungen mit hochfesten vorgespannten Schrauben (GV- bzw. GVP-Verbindungen) oder Nieten oder Passschrauben in Stößen von Biegeträgern angenommen werden, wenn die Schnittkräfte in jedem Querschnittsteil je für sich durch ein Verbindungsmittel übertragen werden.
7 Besondere Bemessungsregeln
7.1 Zugstäbe
Es gelten sinngemäß die Ausführungen nach DIN 4113-1:1980-05, 7.1. Bezüglich der maßgebenden Querschnittswerte sind zusätzlich 6.1 und 6.2 zu beachten.
7.2 Druckglieder
Es gilt sinngemäß DIN 4113-1:1980-05, 7.4. Zusätzliche Berechnungsweisen sind im Abschnitt 8 behandelt.
7.3 Auf Biegung beanspruchte Tragwerksteile
Es gilt sinngemäß DIN 4113-1:1980-05, 7.3. Weiterhin sind die Ausführungen nach Abschnitt 6 zu beachten. Bei Ausweichgefahr gelten die jeweils in DIN 4113-1:1980-05, Abschnitt 8 formulierten Regeln.
7.4 Flächentragwerke
Es gilt nicht DIN 4113-1:1980-05, 7.4, stattdessen ist ein spezieller Nachweis erforderlich.
7.5 Räumliche Bauformen
Es gilt DIN 4113-1:1980-05, 7.5. Zusätzlich ist Abschnitt 8 besonders zu berücksichtigen.
8 Stabilität
8.1 Allgemeines
Es gilt DIN 4113-1:1980-05, Abschnitt 8 sinngemäß. Jedoch ist in jedem Einzelfall die gegenüber dem Grundwerkstoff in der Schweißnaht und in der benachbarten wärmebeeinflussten Zone (WEZ) entstandene Festigkeitsminderung zu berücksichtigen; deshalb gilt auch für den allgemeinen Spannungsnachweis
![]() |
( 23) |
bzw. es gilt 6.2 (für Längsnähte).
Geschweißte Bleche aus AlMg4,5MnW28/F27 1), geschweißte Bleche, Rohre und Profile aus AlMg3 W/F19, W18, F18 2) sowie geschweißte Bleche und Rohre aus AlMg2Mn0,8 W/F19, W18 3) dürfen nach DIN 4113-1:1980-05, Abschnitt 8 nachgewiesen werden, da hier dieβ0,2-Werte im Grundwerkstoff und in der WEZ gleich groß sind.
8.2 Einteilige Druckstäbe von gleichbleibendem Querschnitt (Biegeknicken)
8.2.1 Rechnungsgang I
8.2.1.1 Planmäßig mittige und planmäßig außermittige Beanspruchung
Bei den jeweiligenσ -ε-Stauchungs-Diagrammen (Sekantenzüge) der WEZ für die Legierungen nach DIN 4113-1:1980-05, Tabelle 1, Zeilen 1 bis 8 in Verbindung mit Tabelle 2 dieser Norm bzw. bei den Legierungen nach DIN 4113-1/A1:2002-09, Tabelle 1, istβ0,2aufβ0,2 WEZ nach Tabelle 1 dieser Norm zu reduzieren. Es gilt dann
K =β0,2 WEZ/β0,2
Die rechnerischen Nachweise können nach DIN 4113-1:1980-05, 8.2.1, in Verbindung DIN 4113-1/A1:2002-09, 6.4, mit den normalen Werkstoff-Kenngrößen nach DIN 4113-1:1980-05, Tabelle 10, geführt werden.
8.2.1.2 Quernähte
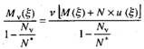
Sowohl der mittig als auch der außermittig beanspruchte Stab ist gegen das Biegeknicken gesichert, wenn eine der beiden Bedingungen nach DIN 4113-1:1980-05, 8.2.1, erfüllt ist und wenn zusätzlich an jeder Stelleξ = x/l einer Quernaht die Bedingung
![]() |
( 24) |
nachgewiesen wird. Hierbei steht
![]() |
( 25) |
stellvertretend für das Moment nach Theorie II. Ordnung an der Stelle der Naht mitM(ξ ) = Moment aus Querlasten und Momenten infolge Normalkraft und planmäßiger Außermittigkeit nach Theorie I. Ordnung an der Naht sowie mitu (ξ ) =u x sinπx/l gleich ungewollter Außermittigkeiten der Naht, wobeiu nach DIN 4113-1:1980-05, Tabelle 10, einzusetzen ist.
Alle anderen Größen sind aus DIN 4113-1:1980-05, 8.2.1 in Verbindung mit DIN 4113-1/A1:2002-09, 6.4, zu übernehmen.
8.2.1.3 Längsnähte
Sowohl der planmäßig mittig als auch der planmäßig außermittig gedruckte Stab kann nach den Gleichungen ( 26) und ( 27)
![]() |
( 26) |
bzw.
![]() |
( 27) |
berechnet werden.
Dabei braucht nur eine der beiden Gleichungen erfüllt zu werden. Die Gleichung ( 26) ist günstiger, falls
ist.
In den Gleichungen ( 26) und ( 27) bedeuten:
AK nach Gleichung ( 3)
| lK | nach Gleichung ( 6) |
| NK | Eulerlast des Stabes mit reduzierten Steifigkeiten in den WEZ-Bereichen, mitAK undlK, nach den Gleichungen ( 3) und ( 6) |
| σ | nach DIN 4113-1:1980-05, Tabelle 10, in Verbindung mit DIN 4113-1/A1:2002-09, 6.4. |
Alle anderen Werte können nach DIN 4113-1:1980-05, Abschnitt 8 in Verbindung mit DIN 4113-1/A1:2002-09, 6.4, ermittelt werden.
![]() |
weiter . | ![]() |
(Stand: 12.05.2021)
Alle vollständigen Texte in der aktuellen Fassung im Jahresabonnement
Nutzungsgebühr: ab 105.- € netto
(derzeit ca. 7200 Titel s.Übersicht - keine Unterteilung in Fachbereiche)
Die Zugangskennung wird kurzfristig übermittelt
? Fragen ?
Abonnentenzugang/Volltextversion