![]() |
zurück | ![]() |
8.2.1.4 Quer- und Längsnähte
Treten Quer- und Längsnähte gleichzeitig auf, so ist neben den Nachweisen nach 8.2.1.2 auch der Nachweis nach Gleichung ( 24) zu führen, wobei fürA der WertAK. nach Gleichung ( 3) und fürWd der Wert entsprechend Gleichung ( 7) einzusetzen ist,N* ist durchNK zu ersetzen.
8.2.2 Rechnungsgang II
Für Quer- und Längsnähte ist der Stabilitätsnachweis nach DIN 4113-1:1980-05, 8.3.1 bzw. 8.3.2, in Verbindung mit DIN 4113-1/A1:2002-09, 6.5, mit den Kennwerten des Grundwerkstoffs zu führen. Dieser Nachweis ist nur dann ausreichend, wenn ,λy und .λz größer oder gleichλgr, nach Tabelle 6 sind.
Fürλ <λgr, ist zusätzlich Tabelle 7 anzuwenden. Es gelten die folgenden Gleichungen ( 28) bis ( 31)
![]() |
( 28) |
![]() |
( 29) |
![]() |
( 30) |
mit
v =1,7 (Lastfall H) bzw. 1,5 (Lastfall HZ).
u* ist das an der jeweiligen Stelle der Quernaht befindliche Imperfektionsmaß, wobei Sinusform mit der Pfeilhöhe
zugrunde gelegt wird. Bei Längsnähten gilt Tabelle 7.
MNaht, ist das Biegemoment an der Nahtstelle aus Stabendmomenten und aus Querlasten.
Vereinfachend kann für den Stabilitätsnachweis stets die ungünstigste Annahme getroffen werden, dass das gesamte Bauteil aus Material Mitβ0,2 WEZ besteht. Der Nachweis nach DIN 4113-1:1980-05, Abschnitt 8, muss dann mit dem entsprechendenβ0,2 WEZ -Wert der Tabelle 1, gegebenenfalls in Verbindung mit Tabelle 2 dieser Norm, geführt werden, wobei derω-Wert für diesenβ0,2 WEZ -Wert aus DIN 4113-1:1980-05, Tabelle 12a-bzw. Tabelle 12b, zu entnehmen bzw. zu interpolieren ist und zul. σ durchβ0,2 WEZ /1,7 im Lastfall H undβ0,2 WEZ /1,5 im Lastfall HZ zu ersetzen sind.
Tabelle 6 - Grenzschlankheitsgrad nach Rechnungsgang II
| Spalte | 1a | 1b | 1c | 1d | 2a | 2b |
| Zeile | Werkstoffe, Werkstoffzustände und Halbzeugformen | Grenzschlankheitsgradλgr | ||||
| DIN EN 573-3 | DIN 1725 | Zustand | Halbzeug | Für Rohrquerschnittea | Für sonstige Querschnitte | |
| 1 | EN AW-6005A EN AW-AlSiMg(A) |
AlMgSi0,7 | T6 | P | 125 | 95 |
| 2a | EN AW-6060 EN AW-AlMgSi |
AlMgSi0,5 | T6 | P | 240 | 195 |
| 2b | T66 | P | 220 | 180 | ||
| 3 | EN AW-6061 EN AW-AlMg1SiCu |
AlMg1SiCu | T6/ T651 | P, W | 125 | 95 |
| 4a | EN AW-6063 EN AW-AlMg0,7Si |
T6 | P | 220 | 180 | |
| 4b | T66 | P | 190 | 155 | ||
| 5 | EN AW-6082 EN AW-AlMg1SiMn |
AlMgSi1 | T6/T651 T61/T6151 T5 |
P, W | 115 | 90 |
| 6 | EN AW-6106 EN AW-AlMgSiMn |
T6 | P | 150 | 115 | |
| 7 | EN AW-7020 EN AW-AlZn4,5Mg1 |
AlZn4,5Mg1 | T6/T651 | P, W | 75 | 60 |
| 8a | EN AW-5005(A) EN AW-AlMg1 |
AlMg1 | O/H111 H112 |
P, W | Rechnungsgang I | |
| 8b | H12; H14 H22/H32 H24/H34 |
W | Rechnungsgang I | |||
| 9a | EN AW-5049 EN AW-AlMg2Mn0,8 |
AlMg2Mn0,8 | O/H111 H112 |
W | entfällt | |
| 9b | H14/H24/H34 | W | 140 | 110 | ||
| 10a | EN AW-5083 EN AW-AlMg4,5Mn0,7 |
AlMg4,5Mn0,7 | O/H111 H112 |
P | entfällt | |
| 10b | O/H111 H112 |
W | 115 | 90 | ||
| 10c | H12/H22/H32 | W | 105 | 80 | ||
| 11a | EN AW-5754 EN AW-AlMg3 |
AlMg3 | O/H111 H112 |
P, W | entfällt | |
| 11b | H14/H24/H34 | W | 140 | 110 | ||
| a | Als Rohrquerschnitte gelten Rundrohrquerschnitte, Rechteckrohre bis zu einem Seitenverhältnis von 1,2 und ähnliche Formen. Hohlquerschnitte in vorgenannten Grenzen mit Nebenelementen gelten als Rohrquerschnitte, wenn der Umkreis des Gesamtquerschnittes das 1,2fache des Umkreises des Hohlquerschnittsteiles nicht überschreitet. Die oben genannten Querschnitte können auch aus Teilen zusammengeschweißt sein. |
| P: | Strangpressprodukte; W: Walzprodukte |
8.3 Biegedrillknicken
Es gilt DIN 4113-1:1980-05, 8.2.1, in Verbindung mit DIN 4113-1/A1:2002-09, Abschnitt 6.
8.3.1 Rechnungsgang I
8.3.1.1 Quernähte
Sowohl der planmäßig mittig als auch der planmäßig außermittig gedruckte und durch eine Quernaht geschwächte Stab kann nach den Gleichungen ( 31) und ( 32) berechnet werden:
![]() |
( 31) |
![]() |
( 32) |
mit
und
Alle anderen Werte sind nach DIN 4113-1:1980-05, 8.2.1.1 und 8.2.1.2, in Verbindung mit DIN 4113-1/A1:2002-09, Abschnitt 6, zu ermitteln.
Es braucht nur eine der beiden Gleichungen ( 31) oder ( 32) erfüllt zu werden. Falls
ist Gleichung ( 32) günstiger.
8.3.1.2 Längsnähte
Sowohl der planmäßig mittig als auch der planmäßig außermittig gedruckte und durch Längsnaht geschwächte Stab kann nach den Gleichungen ( 33) bzw. ( 34) berechnet werden:
![]() |
( 33) |
bzw.
![]() |
( 34) |
mit
und
N*K =±E xN* die ermäßigte ideelle Last mit
wobeiNZ die Knicklast um die schwache Hauptachse des Querschnitts ist.
(αE = Verhältnis der Eulerlasten mit dem abgeminderten QuerschnittswertlK nach Gleichung ( 6) und dem vollen Querschnittswertl).
ist das ermäßigte Kippmoment mit den Querschnittswerten nach 6.2.2.
Alle anderen Werte können nach DIN 4113-1:1980-05. 6.2.2 und 8.2.1.3 bzw. 8.2.2, in Verbindung mit DIN 4113/A1:2002-09, Abschnitt 6, berechnet werden.
Es braucht nur eine der beiden Gleichungen ( 33) oder ( 34) erfüllt zu werden. Falls
ist Gleichung ( 34) günstiger.
8.3.2 Rechnungsgang II
8.3.2.1 Allgemeines
Wird der allgemeine Spannungsnachweis erfüllt undλgr nach Tabelle 6 nicht unterschritten, so gilt DIN 4113-1:1980-05, 8.3.2, in Verbindung mit DIN 4113-1/A1:2002-09, Abschnitt 6.
8.3.2.2 Quernähte
Beiλvi<λgr, ist nach Tabelle 7 zu verfahren.
8.3.2.3 Längsnähte
Beiλvi <λgr, ist DIN 4113-1:1980-05, 8.3.2, in Verbindung mit DIN 4113-1/A1:2002-09, Abschnitt 6, mit reduzierten Querschnittswerten im Sinne der Gleichung ( 3) maßgebend.
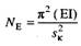
8.4 Mehrteilige Druckstäbe von gleich bleibendem Querschnitt
Die Nachweise sind entsprechend DIN 4113-1:1980-05, 8.1.3, in Verbindung mit DIN 4113-1/A1:2002-09, 6.4, zu führen, wobei der Einfluss der WEZ besonders zu beachten ist. Bei der Berechnung des Querverbandes darf vereinfachend davon ausgegangen werden, dass das gesamte Bauteil aus Material mitβ0,2 WEZbesteht.
8.5 Dünnwandige Teile von gedrückten Baugliedern
Der Nachweis gegen vorzeitiges Ausbeulen von dünnwandigen, wärmebeeinflussten Teilen bei Druckstäben ist nach DIN 4113-1:1980-05, 8.1.4, in Verbindung mit DIN 4113-1/A1:2002-09, Abschnitt 6, zu führen. Hierbei ist entweder anzunehmen, dass an der untersuchten Stelle Material mitβ0,2 WEZvorhanden ist, andernfalls im Bereich der Schwächung durch zusätzliche konstruktive Maßnahmen eine ausreichende Steifigkeit sicherzustellen.
Bild 4 - Die äußeren Sechstel der Knicklänge am Beispiel der Eulerfälle
| EULERFALL 1 sk = 2l |
![]() |
|
s/6 =l/3 |
|
| EULERFALL II sk =l |
![]() |
|
sk/6 =l/6 |
|
| EULERFALL III sk ≈ 0,7l |
![]() |
|
sk/6 = 0,12l |
|
| EULERFALL IV sk = 0,5 |
![]() |
|
sk/6 =l/12 |
Tabelle 7 - Zusammenstellung der Knicknachweise für die jeweiligen Schlankheitsbereiche nach Bild 4
| Zeile | Schlankheitλ | Quernähte | Längsnähte | |||||
| Lage der Nahta | Planmäßig mittig belastet, Biegeknicken | Planmäßig außermittig belastet, Biegeknicken | Biegedrillknicken | Planmäßig belastet, Biegeknicken | Planmäßig außermittig belastet, Biegeknicken | Biegedrillknicken | ||
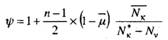
| 1 | 40 ≤λ ≤λgr | ![]() |
Gleichung ( 30) | Gleichung ( 29) | siehe Rechnungsgang I | Wie DIN 4113-1 mitβ0,2des Grundwerkstoffs, jedoch mit den QuerschnittswertenAK,WK,lK nach den Gleichungen ( 3), ( 6) und ( 7) | ||
| 2 | ![]() |
Gleichung ( 28) | ||||||
| 3 | ![]() |
siehe Rechnungsgang I | siehe Rechnungsgang I | |||||
| 4 |
λ ≤ 40 |
![]() |
Gleichung ( 30) | Gleichung ( 29) | ||||
| 5 | l >sk/6 | siehe Rechnungsgang I | siehe Rechnungsgang I | |||||
| a | Hinsichtlich der Lage der Quernaht gilt als Beispiel fürsK/6 das Bild 4;lw ist der Abstand der Naht vom Momentennullpunkt. |
8.6 Biegedrillknicken (Kippen) von Trägern mit I-Querschnitt
Liegen Quer- und/oder Längsnähte lediglich im Bereich der Auflagerungen (= Haltepunkte für die Kippbiegelinie), so darf der Kippnachweis nach DIN 4113-1:1980-05, 8.1.5, in Verbindung mit DIN 4113-1/A1:2002-09, Abschnitt 6, ohne Berücksichtigung einer Schwächung geführt werden.
Bei Quernähten im Feldbereich des Stabes ist der Nachweis unter Annahme eines Materials mitβ0,2 WEZ nach DIN 4113-1:1980-05, 8.1.5, in Verbindung mit DIN 4113-1/A1:2002-09, Abschnitt 6, zu führen.
Bei Längsnähten im Feldbereich des Stabes ist der Nachweis unter Einführung von reduzierten Querschnittsteilflächen im Bereich der WEZ unter Anwendung der Gleichungen ( 3), ( 6) und ( 7) zu führen.
8.7 Beulung bei Biegeträgern
Die Beuluntersuchung von Blechen mit wärmebeeinflussten Zonen im Beulfeld kann nach DIN 4113-1:1980-05, 8.1.6, in Verbindung mit DIN 4113-1/A1:2002-09, Abschnitt 6, erfolgen, hierbei ist Material mitβ0,2 WEZ anzunehmen. Hiervon darf nur bei Durchführung eines Nachweises abgewichen werden; oder es ist konstruktiv sicherzustellen, dass die schweißbedingte Schwächung der WEZ durch Steifigkeitserhöhung (z.B. durch Rippen oder Vergrößerung der Blechdicke) ausgeglichen wird.
8.8 Bogen- und Rahmenknicken
Es gilt sinngemäß DIN 4113-1:1980-05, 8.1.7, in Verbindung mit DIN 4113-1/A1:2002-09, Abschnitt 6, wobei die Lage der Schweißnähte im System besonders zu beachten ist. Rechnerische Nachweise sind daher unter Beachtung der WEZ zu führen.
__________________
1) bzw. EN AW-5083 nach Tabelle 1, Zeilen 13a und 13b.
2) bzw. EN AW-5754 nach Tabelle 1, Zeilen 14a und 14b.
3) bzw. EN AW-5049 nach Tabelle 1, Zeilen 12a und 12b und solche aus EN AW-5005(A) nach Tabelle 1, Zeile 11a.
![]() |
ENDE | ![]() |
(Stand: 19.08.2020)
Alle vollständigen Texte in der aktuellen Fassung im Jahresabonnement
Nutzungsgebühr: ab 105.- € netto
(derzeit ca. 7200 Titel s.Übersicht - keine Unterteilung in Fachbereiche)
Die Zugangskennung wird kurzfristig übermittelt
? Fragen ?
Abonnentenzugang/Volltextversion