umwelt-online: Kontaminationskontrolle beim Verlassen eines Kontrollbereichs (4)
![]() |
zurück | ![]() |
4 Kontaminationskontrolle bei einem Radionuklidgemisch (Beispiel II)
Das in diesem Beispiel verwendete Radionuklidgemisch entspricht dem Ergebnis einer Oberflächenkontaminationsmessung in einer kerntechnischen Anlage. Das Aktivitätsverhältnis der Radionuklide wird für einen bestimmten Arbeitsbereich und über einen bestimmten Kontrollzeitraum als konstant angenommen. Da das Radionuklidgemisch ausschließlich Beta/Gammastrahler enthält, wird das Kontaminationsmessgerät auf die Betriebsart "Alpha/Betamessung (α +β)" eingestellt.
Es wird ein stationäres Kontaminationsmessgerät mit Hand- und Schuhdetektor verwendet. Jeder Detektor hat einen Impulszähler mit Zeitvorwahl, es erfolgt keine Nulleffektsubtraktion und jeder Detektor hat eine getrennt einstellbare Alarmschwelle.
Die im Radionuklidgemisch enthaltenen Nuklide, deren normierte Aktivitätsanteile, die relevante Strahlungskomponente sowie die nuklidspezifischen Werte derOberflächenkontamination sind in den Spalten 1 bis 4 der Tabelle C dargestellt.
Zur Vorbereitung der Kontaminationskontrolle ist gemäß Anlage 2 Diagramm 1 der Empfehlung zu verfahren.
Schritt 1: Auswahl der repräsentativen Messfläche (Abschnitt 2.2.1)
Repräsentative Messfläche ist der Ganzkörper.
Schrill 2: Ermittlung des Nulleffektes (Abschnitt 2.1.2.2)
Als Messzeit bei der Ermittlung des Nulleffektes wird das Zehnfache der im Routinebetrieb eingestellten Messzeit gewählt. Die Messzeit im Routinebetrieb beträgt = 10 s; die Messzeit bei der Ermittlung des Nulleffektes beträgt dementsprechend = 100 s. Der Mittelwert der Impulszahl des Nulleffektes in der Messzeit = 10 s bei Routinebetrieb beträgt N0 = 180.
Schritt 3: Messung mit Prüfstrahler (Abschnitt 2.1.2.3)
In diesem und den nachfolgenden Schritten wird geprüft, ob das gewählte Kontaminationsmessgerät in Verbindung mit einem geeigneten Prüfstrahler den Messanforderungen genügt.
Bei der Kontaminationskontrolle eines Radionuklidgemisches vorliegender Zusammensetzung wird Co-60 als Radionuklid des Prüfstrahlers empfohlen. Für das Oberflächenansprechvermögen des Kontaminationsmessgerätes werden die im Vergleich zum Handdetektor ungünstigeren Daten des Schuhdetektors gewählt. Das Oberflächenansprechvermögen bei einem Co-60-Prüfstrahler beträgt gemäß Tabelle a : S = 13 s-1 Bq-1 cm2 .
Schritt 4: Ermittlung der "kleinsten nachweisbaren Kontamination" (Abschnitt 2.1.2.4)
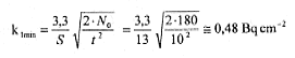
Nach Formel (3) wird für einen Co-60-Prüfstrahler als kleinste nachweisbare Kontamination errechnet:

Schritt 5: Geeignet im Sinne des Abschnitts 2.1.1?
Das vorgesehene Messgerät ist im Sinne des Abschnitts 2.1.1 geeignet, d. h. eine flächenbezogene Co-50-Aktivität von 1 Bq cm-2, die dem Wert der Oberflächenkontamination des im Prüfstrahler verwendeten Radionuklids entspricht, ist mit der im Routinebetrieb eingestellten Messzeit von t = 10 s nachweisbar, denn
k1min = 0,48 Bq cm-2 < 1 Bq cm-2
Schritt 6: Schwer nachweisbare Radionuklide? (Abschnitt 3.2.4)
Sofern keine Angaben des Herstellers über die Nachweisgrenzen des Messgerätes für die interessierenden Radionuklide vorliegen, ist zu prüfen, ob diese schwer nachweisbar sind.
Mit der Bestimmung des mindestens erforderlichen Oberflächenansprechvermögens Smin eines Kontaminationsmessgerätes erhält man eine Information darüber, ob eine Oberflächenkontamination mit einem Radionuklid, dessen Aktivität pro Flächeneinheit gleich dem Wert der Oberflächenkontamination ist, mit dem gewählten Gerät unter den gegebenen Messbedingungen nachgewiesen werden kann. Um bei Vorliegen eines Radionuklidgemisches eine analoge Aussage treffen zu können, muss der effektive Kontaminationswert für das Gemisch bestimmt werden.
Da in die Berechnung des effektiven Kontaminationswertes als bestimmende Größe nicht die aus der Messung herrührenden absoluten Werte der Aktivität pro Flächeneinheit eingehen, sondern die Aktivitätsverhältnisse der Gemischkomponenten zueinander, können die Werte der Aktivität pro Flächeneinheit normiert dargestellt werden (Tabelle C, Spalte 2).
Aus den Aktivitätsanteilen AFi der im Gemisch vorliegenden Radionuklide und den nuklidspezifischen Werten der Oberflächenkontamination Oi wird die Verteilung der gewichteten Verhältniszahlen Qgi bestimmt (Tabelle C, Spalte 5). Die prozentuale Verteilung der gewichteten Verhältniszahlen wird auf 100 % normiert (Spalte 6), womit die Summe der gewichteten und normierten
Verhältniszahlen Qni dem Kriterium
entspricht.
Einige Radionuklide tragen nur einen geringen (Teilsumme < 10 %) Anteil zur Verteilung der gewichteten und normierten Verhältniszahlen Qni. bei. Das sind Radionuklide, die wegen ihrer geringen Emissionswahrscheinlichkeit pro Kernzerfall bzw. wegen der geringen Energie ihrer Emissionskomponenten einen hohen Wert der Oberflächenkontamination aufweisen und/oder mit einem geringen Aktivitätsanteil im Gemisch vertreten sind. Diese Radionuklide sind von geringer radiologischer Relevanz und können gemäß Anlage III zu § 45 StrlSchV ohne Berücksichtigung bleiben (Spalte 6).
Im Ergebnis erhält man die gewichteten und normierten Kontaminationswerte Ogn i für die relevanten Radionuklide (Spalte 7). Deren Summe entspricht dem effektiven Kontaminationswert des Gemisches Oeff. Die prozentualen Aktivitätsanteile Pni
(Stand: 11.01.2019)
Alle vollständigen Texte in der aktuellen Fassung im Jahresabonnement
Nutzungsgebühr: ab 105.- € netto
(derzeit ca. 7200 Titel s.Übersicht - keine Unterteilung in Fachbereiche)
Die Zugangskennung wird kurzfristig übermittelt
? Fragen ?
Abonnentenzugang/Volltextversion