![]() |
zurück | ![]() |
4. Ventileinstellung
4.1. Maximaler Ventilhub, Öffnungs- und Schließwinkel bezogen auf die Totpunkte gleichwertiger Angaben:
4.2. Bezugs- und/oder Einstellbereiche 2:
5. Zündanlage (nur Fremdzündungsmotoren)
5.1. Art der Zündanlage: gemeinsame Spule und Kerzen/einzelne Spule und Kerzen/Spule auf Kerze/andere (näher angeben)2
5.2. Zündeinstellvorrichtung
5.2.1. Marke(n):
5.2.2. Typ(en):
5.3. Zündverstellkurve/Zündverstellkennfeld 2, 3:
5.4 Zündzeitpunkt 2: .......... Grad vor dem oberen Totpunkt bei einer Drehzahl von .......... min-1 und einem Ansaugunterdruck von .......... kPa
5.5. Zündkerzen
5.5.1. Marke(n):
5.5.2. Typ(en):
5.5.3. Abstandseinstellung: .......... mm
5.6. Zündspule(n)
5.6.1. Marke(n):
5.6.2. type(n):
6. On-Board-Diagnosesystem (OBD-System)
6.1. Schriftliche und/oder bildliche Darstellung des Störungsmelders r):
6.2. Liste aller vom OBD-System überwachten Bauteile und ihrer Funktionen:...
6.3. Schriftliche Darstellung (Arbeitsprinzipien) des OBD-Systems für:
6.3.1. Selbstzündungs-/Gasmotoren ...
6.3.1.1. Überwachung des Katalysators 2:...
6.3.1.2. Überwachung des DeNOx-Systems 2:...
6.3.1.3. Überwachung des Diesel-Partikelfilters 2:...
6.3.1.4. Überwachung des elektronischen Kraftstoffsystems 2:...
6.3.1.5. Sonstige vom OBD-System überwachte Bauteile 2:...
6.4. Kriterien für die Aktivierung des Störungsmelders (feste Anzahl von Fahrzyklen oder statistische Methode):...
6.5. Liste aller vom OBD-System verwendeten Ausgabecodes und -formate (jeweils mit Erläuterung):...
7. Drehmomentbegrenzer
7.1. Voraussetzungen für die Aktivierung des Drehmomentbegrenzers
7.2. Verlauf der Volllastkurve bei aktivem Drehmomentbegrenzer
1) Für jeden Motor der Familie einzureichen.
2) Nichtzutreffendes streichen.
3) Bitte Toleranz angeben.
4) Bei in anderer Weise ausgelegten Systemen entsprechende Angaben vorlegen (siehe Abschnitt 3.2).
| Merkmale der mit dem Motor verbundenen Fahrzeugteile | Anlage 4 |
1. Ansaugunterdruck bei Motornenndrehzahl und bei Volllast: .......... kPa
2. Abgasgegendruck bei Motornenndrehzahl und bei Volllast: .......... kPa
3. Volumen der Auspuffanlage: .......... cm3
4. Leistungsaufnahme durch die Hilfseinrichtungen, die gemäß den Beschreibungen und Betriebsbedingungen der Richtlinie 80/1269/EWG Anhang I Nummer 5.1.1 für den Betrieb des Motors notwendig sind.
| Geräte | Leistungsaufnahme (kW) bei verschiedenen Motordrehzahlen | ||||||
| Leerlauf | Niedrige Drehzahl | Hohe Drehzahl | Drehzahl a1 | Drehzahl B1 | Drehzahl C1 | Bezugsdrehzahl2 | |
| P(a)
Für den Betrieb des Motors notwendige Hilfseinrichtungen (von der gemessenen Motorleistung abzuziehen) siehe Anlage 1 Abschnitt 6.1 |
|||||||
| 1) ESC-Prüfung.
2) Nur ETC-Prüfung. |
|||||||
| OBD-Spezifische Informationen | Anlage 5 |
1. Nach Anhang IV Nummer 5 der Richtlinie 2005/78/EG hat der Fahrzeughersteller die folgenden zusätzlichen Informationen bereitzustellen, damit die Herstellung von OBD-kompatiblen Ersatzteilen und Diagnose- und Prüfgeräten ermöglicht wird, es sei denn, dass an diesen Informationen geistige Eigentumsrechte bestehen oder dass sie spezifisches Know-how des Herstellers oder des (der) Zulieferer(s) (Erstausrüster) darstellen.
Die Angaben in diesem Abschnitt sind gegebenenfalls in Anlage 2 zum EG-Typgenehmigungsbogen (Anhang VI dieser Richtlinie) zu wiederholen:
1.1. Angabe des Typs und der Zahl der für die ursprüngliche Typgenehmigung des Fahrzeugs durchlaufenen Vorkonditionierungszyklen.
1.2. Angabe des für die ursprüngliche Typgenehmigung des Fahrzeugs verwendeten OBD-Prüfzyklus für das von dem OBD-System überwachte Bauteil.
1.3. Umfassende Unterlagen, in denen alle Bauteile beschrieben sind, die im Rahmen der Strategie zur Erkennung von Funktionsstörungen und zur Aktivierung des Störungsmelders überwacht werden (feste Anzahl von Fahrzyklen oder statistische Methode), einschließlich eines Verzeichnisses einschlägiger sekundär ermittelter Parameter für jedes Bauteil, das durch das OBD-System überwacht wird. Eine Liste aller vom OBD-System verwendeten Ausgabecodes und -formate (jeweils mit Erläuterung) für einzelne emissionsrelevante Bauteile des Antriebsstrangs und für einzelne nicht emissionsrelevante Bauteile, wenn deren Überwachung die Aktivierung des Störungsmelders bestimmt.
1.3.1. Die nach diesem Abschnitt erforderlichen Angaben können u. a. in Form der nachstehenden Tabelle gemacht werden, die diesem Anhang beigefügt wird:
| Bauteil | Fehlercode | Überwachungsstrategie | Kriterien für die Meldung von Funktionsstörungen | Kriterien für die Aktivierung des Störungsmelders | Sekundärparameter | Konditionierung | Prüfung zum Nachweis |
| SCR-Katalysator | Pxxxx | Signale der NOx-Sonden 1 und 2 | Unterschied zwischen Signalen von Sonde 1 und 2 | 3. Zyklus | Motordrehzahl, Motorlast, Katalysatortemperatur, Aktivität des Reagens | 3 OBD-Prüfzyklen (verkürzte ESC-Zyklen) | OBD-Prüfzyklus (verkürzter ESC-Zyklus) |
1.3.2. Ist Anhang IV Nummer 5.1.2.1 der Richtlinie 2005/78/EG nicht anwendbar, etwa bei Ersatzteilen, so können die nach dieser Anlage zu machenden Angaben auf die vollständige Liste der vom OBD-System gespeicherten Fehlercodes beschränkt werden. Diese Angaben entsprechen beispielsweise den Angaben in den ersten beiden Spalten der Tabelle in Nummer 1.3.1.
Die vollständigen Angaben sollten der Typgenehmigungsbehörde als Teil der in Anhang I Nummer 6.1.7.1 "Erforderliche Dokumentation" dieser Richtlinie genannten zusätzlichen Unterlagen übermittelt werden.
1.3.3. Die nach diesem Abschnitt erforderlichen Angaben sind in Anlage 2 zum EG-Typgenehmigungsbogen (Anhang VI dieser Richtlinie) zu wiederholen.
Ist Anhang IV Nummer 5.1.2.1 der Richtlinie 2005/78/EG nicht anwendbar, etwa bei Ersatzteilen, so können die in Anlage 2 zum EG-Typgenehmigungsbogen (Anhang VI dieser Richtlinie) zu machenden Angaben auf die in Nummer 1.3.2 genannten beschränkt werden.
| Für die Verkehrssicherheitsprüfung erforderliche Daten | Anlage 6 |
A. Messung des Kohlenmonoxidausstoßes *
3.2.1.6. Normale Leerlaufdrehzahl (einschließlich Toleranz) .................................................................... min-1
3.2.1.6.1. Erhöhte Leerlaufdrehzahl (einschließlich Toleranz) .................................................................... min-1
3.2.1.7. Volumenbezogener Kohlenmonoxidgehalt der Abgase im Leerlauf ** ................... % gemäß Angabe
des Herstellers (nur bei Fremdzündungsmotoren)
B. Messung der Abgastrübung
3.2.13. Anbringungsstelle des Symbols für den Absorptionskoeffizienten (nur bei Selbstzündungsmotoren): ...
4. Kraftübertragung (v)
4.3. Trägheitsmoment des Motor-Schwungrads: ................................................................................................
4.3.1. Zusätzliches Trägheitsmoment ohne eingelegten Gang: ...........................................................................
_________
*) Die Nummerierung dieses Beschreibungsbogens stimmt mit der Nummerierung in der Typgenehmigungs-Rahmenrichtlinie (2008/74/EG) überein.
**) Toleranz angeben.
| Prüfverfahren 05, 08 | Anhang III |
1. Einleitung
1.1. In diesem Anhang sind die Verfahren zur Bestimmung der Emission gasförmiger Schadstoffe, luftverunreinigender Partikel und Rauch aus den zu prüfenden Motoren beschrieben. Es werden drei Prüfzyklen dargestellt, die gemäß den Bestimmungen von Anhang I Abschnitt 6.2. Anwendung finden sollen:
1.2. Für die Prüfung ist der Motor auf einer entsprechenden Prüfeinrichtung aufzubauen und an einen Leistungsprüfstand anzuschließen.
1.3. Messgrundsatz
Die zu messenden Abgasemissionen eines Motors enthalten gasförmige Bestandteile (Kohlenmonoxid, Gesamtkohlenwasserstoffe bei Dieselmotoren nur im ESC-Prüfzyklus; Nicht-Methan-Kohlenwasserstoffe bei Diesel- und Gasmotoren nur im ETC-Prüfzyklus; Methan bei Gasmotoren im ETC-Prüfzyklus und Stickstoffoxide), Partikel (nur bei Dieselmotoren) und Rauch (nur bei Dieselmotoren im ELR-Prüfzyklus). Zusätzlich wird Kohlendioxid häufig als Tracergas zur Bestimmung des Verdünnungsverhältnisses von Teilstrom- und Vollstromverdünnungssystemen genutzt. Nach guter Ingenieurpraxis empfiehlt sich die generelle Messung von Kohlendioxid als besonders geeignetes Mittel zur Erkennung von Messproblemen während der Prüfung.
1.3.1. ESC-Prüfung
Während einer vorgeschriebenen Folge von Betriebszuständen des warm gefahrenen Motors sind die Mengen der oben genannten Abgasemissionen durch Entnahme einer Probe aus dem Rohabgas kontinuierlich zu messen. Der Prüfzyklus besteht aus mehreren Drehzahl- und Leistungsphasen, die dem Bereich entsprechen, in dem Selbstzündungsmotoren üblicherweise betrieben werden. Während der einzelnen Phasen sind die Konzentrationswerte sämtlicher gasförmiger Schadstoffe, der Abgasdurchsatz und die Leistungsabgabe zu bestimmen und die gemessenen Werte zu gewichten. Zur Partikelmessung ist das Abgas mit konditionierter Umgebungsluft zu verdünnen, wobei ein Teilstrom- oder ein Vollstrom-Verdünnungssystem verwendet werden kann. Die Partikel sind an einem einzigen Filter geeigneter Art im Verhältnis zu den Wichtungsfaktoren für die einzelnen Prüfphasen abzuscheiden. Für jeden Schadstoff ist im Sinne von Anlage 1 zu diesem Anhang die je Kilowattstunde freigesetzte Menge in Gramm zu errechnen. Darüber hinaus ist an drei vom technischen Dienst ausgewählten Prüfpunkten innerhalb des Kontrollbereichs das NOx zu messen. Die gemessenen Werte sind mit den Werten zu vergleichen, die aus den Phasen des Prüfzyklus errechnet wurden, die die ausgewählten Prüfpunkte umhüllen. Die NOx-Kontrolluntersuchung dient zum Nachweis der Wirksamkeit der Emissionsminderung innerhalb des typischen Motorbetriebsbereichs.
1.3.2. ELR-Prüfung
Während einer vorgeschriebenen Belastungsprüfung ist mit Hilfe eines Trübungsmessers der Rauch eines warmgelaufenen Motors zu messen. Dabei wird die Belastung des Motors bei gleich bleibender Fahrgeschwindigkeit und mit drei verschiedenen Motordrehzahlen von einem Teillastverhältnis von 10 auf Volllast erhöht. Zusätzlich wird ein vierter, vom Technischen Dienst 1 gewählter Belastungsschritt durchgeführt und der Wert mit den Werten der vorhergehenden Belastungsschritte verglichen. Mit Hilfe eines Mittelungsalgorithmus ist der Rauchspitzenwert gemäß Anlage 1 dieses Anhangs zu bestimmen.
1.3.3. ETC-Prüfung
Während eines vorgeschriebenen instationären Fahrzyklus bei betriebswarmem Motor, der dem Straßenfahrbetrieb von Hochleistungsmotoren in Lastkraftwagen und Bussen gut angenähert ist, sind die vorstehend genannten Schadstoffe zu messen, und zwar entweder nach Verdünnung des gesamten Abgases mit konditionierter Umgebungsluft (für Partikel CVS-System mit doppelter Verdünnung) oder durch Bestimmung der gasförmigen Schadstoffe im Rohabgas und der Partikel mit einem Teilstrom-Verdünnungssystem. Anhand der vom Motorprüfstand übermittelten Signale für Motordrehmoment und -drehzahl ist die Motorleistung durch Integration der während des Zyklus erzeugten Arbeit über die Zyklusdauer zu integrieren. Bei einem CVS-System sind die NOx- und die HC-Konzentration durch Integration des Analysatorsignals über den Zyklus zu bestimmen, die CO-, CO2- und die NMHC-Konzentration können durch Integration des Analysatorsignals oder durch eine Beutelprobe bestimmt werden. Werden die gasförmigen Schadstoffe im Rohabgas gemessen, so ist ihre Konzentration durch Integration des Analysatorsignals über den Zyklus zu bestimmen. Bei Partikeln ist an geeigneten Filtern eine verhältnisgleiche Probe abzuscheiden. Zur Berechnung der Massenemissionswerte der Schadstoffe ist der Durchsatz des rohen oder verdünnten Abgases über den Zyklus zu bestimmen. Die Massenemissionswerte sind in Beziehung zur Motorarbeit zu setzen, um, wie in Anlage 2 zu diesem Anhang beschrieben, für die einzelnen Schadstoffe die je Kilowattstunde freigesetzte Menge in Gramm zu errechnen.
2. Prüfbedingungen
2.1. Bedingungen für die Prüfung des Motors
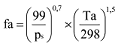
2.1.1. Die absolute Temperatur Ta der Verbrennungsluft (in K) am Einlass des Motors und der trockene atmosphärische Druck ps (in kPa) sind zu messen, und die Kennzahl ƒa ist nach folgender Formel zu berechnen. Bei Mehrzylindermotoren mit mehreren separaten Einlasskrümmern, z.B. bei Motoren mit V-förmiger Zylinderanordnung, ist mit der mittleren Temperatur in den Einlasskrümmern zu rechnen.
a) Selbstzündungsmotoren:
Saugmotoren und Motoren mit mechanischem Lader.

Motoren mit Turbolader, mit oder ohne Ladeluftkühlung:

b) Fremdzündungsmotoren:

2.1.2. Gültigkeit der Prüfung
Eine Prüfung ist dann als gültig anzusehen, wenn die Kennzahl fa innerhalb folgender Grenzen liegt:
0,96< ƒ< 1,06
2.2. Motoren mit Ladeluftkühlung
Die Ladelufttemperatur ist aufzuzeichnen und soll bei der Drehzahl der angegebenen Höchstleistung und Volllast nicht mehr als ± 5 K von der höchsten, in Anhang II Anlage 1 Abschnitt 1.16.3 beschriebenen Ladelufttemperatur abweichen. Die Temperatur des Kühlmittels muss mindestens 293 K (20 °C) betragen.
Bei Verwendung einer Prüfstandanlage oder eines externen Gebläses darf die Ladelufttemperatur bei der Drehzahl der angegebenen Höchstleistung und Volllast höchstens ± 5 K von der höchsten, in Anhang II Anlage 1 Abschnitt 1.16.3 beschriebenen Ladelufttemperatur abweichen. Die Einstellung des Ladeluftkühlers zwecks Einhaltung der vorstehend genannten Bedingung wird nicht geregelt und ist für den gesamten Prüfzyklus anzuwenden.
2.3. Ansaugsystem des Motors
Es ist ein Motor-Ansaugsystem zu verwenden, dessen Lufteinlasswiderstand höchstens ± 100 Pa von der Obergrenze des Motors abweicht, wenn dieser mit der Drehzahl der angegebenen Höchstleistung und Volllast betrieben wird.
2.4. Motorauspuffanlage
Es ist eine Auspuffanlage zu verwenden, deren Abgasgegendruck höchstens ± 1000 Pa von der Obergrenze des Motors abweicht, wenn dieser bei der Drehzahl der angegebenen Höchstleistung und Volllast betrieben wird und deren Volumen im Bereich von ± 40 % der Herstellerangaben liegt. Eine Prüfstandanlage kann verwendet werden, wenn sie die tatsächlichen Motorbetriebsbedingungen wiedergibt. Die Auspuffanlage muss den Anforderungen für eine Abgasprobenahme gemäß Anhang III Anlage 4 Abschnitt 3.4 und Anhang V Abschnitt 2.2.1, EP und Abschnitt 2.3.1, EP genügen.
Ist der Motor mit einer Abgasnachbehandlungseinrichtung ausgestattet, muss der Durchmesser des Auspuffrohrs genauso groß sein wie er in der Praxis für wenigstens vier Rohrdurchmesser oberhalb des Einlasses am Beginn des die Nachbehandlungseinrichtung enthaltenden Ausdehnungsabschnitts verwendet wird. Der Abstand von der Auspuffkrümmeranschlussstelle bzw. dem Turboladerauslass bis zur Abgasnachbehandlungseinrichtung muss so groß sein wie in der Fahrzeugkonfiguration oder in den Abstandsangaben des Herstellers angegeben. Abgasgegendruck bzw. -widerstand müssen den vorstehend angeführten Kriterien entsprechen und können mittels eines Ventils eingestellt werden. Für Blindprüfungen und die Motorabbildung kann der Behälter der Nachbehandlungseinrichtung entfernt und durch einen gleichartigen Behälter mit inaktivem Katalysatorträger ersetzt werden.
2.5. Kühlsystem
Es ist ein Motorkühlsystem zu verwenden, mit dem die vom Hersteller vorgegebenen üblichen Betriebstemperaturen des Motors eingehalten werden können.
2.6. Schmieröl
Die Kenndaten des zur Prüfung verwendeten Schmieröls sind aufzuzeichnen und zusammen mit den Prüfergebnissen gemäß Anhang II Anlage 1 Abschnitt 7.1 vorzulegen.
2.7. Kraftstoff
Es ist der in Anhang IV beschriebene Bezugskraftstoff zu verwenden.
Kraftstofftemperatur und Messpunkt sind durch den Hersteller innerhalb der in Anhang II Anlage 1 Abschnitt 1.16.5 angegebenen Grenzwerte zu spezifizieren. Die Kraftstofftemperatur muss bei mindestens 306 K (33 °C) liegen und, falls nicht anders angegeben, am Einlass der Einspritzpumpe 311 K ± 5 K (38 °C ± 5 °C) betragen.
Bei mit Erdgas oder Flüssiggas betriebenen Motoren müssen Kraftstofftemperatur und Messpunkt innerhalb der in Anhang II Anlage 1 Abschnitt 1.16.5 angegebenen Grenzwerte liegen bzw. im Falle von Nicht-Stamm-Motoren innerhalb der in Anhang II Anlage 3 Abschnitt 1.16.5 angegebenen Grenzwerte.
2.8. Ist der Motor mit einem Abgasnachbehandlungssystem ausgestattet, so müssen die im Prüfzyklus gemessenen Emissionen repräsentativ für die in der Praxis auftretenden Emissionen sein. Ist der Motor mit einem Abgasnachbehandlungssystem ausgestattet, das ein sich verbrauchendes Reagens benötigt, so muss das für die Prüfungen verwendete Reagens den Bestimmungen von Anhang II Anlage 1 Nummer 2.2.1.13 entsprechen.
2.8.1. Arbeitet das Abgasnachbehandlungssystem mit laufender Regenerierung, sind die Emissionen zu messen, wenn sich sein Betriebsverhalten stabilisiert hat.
Der Regenerierungsvorgang muss während der ETC-Prüfung mindestens einmal ablaufen, und der Hersteller muss die Betriebsparameter angeben, die den Regenerierungsvorgang im Normalfall auslösen (Rußbeladung, Temperatur, Abgasgegendruck usw.).
Zur Überprüfung des Regenerierungsvorgangs sind mindestens 5 ETC-Prüfungen durchzuführen. Während der Prüfungen sind die Abgastemperatur und der Abgasdruck (Temperatur vor und nach dem Abgasnachbehandlungssystem, Abgasgegendruck usw.) aufzuzeichnen.
Das Abgasnachbehandlungssystem gilt als zufrieden stellend, wenn die vom Hersteller angegebenen Bedingungen während der Prüfung ausreichend lange herrschen.
Abschließendes Prüfergebnis ist der Mittelwert der Ergebnisse der einzelnen ETC-Prüfungen.
Arbeitet das Abgasnachbehandlungssystem in einem Sicherheitsmodus und schaltet es periodisch in einen Regenerierungsmodus, so ist es nach Nummer 2.8.2 dieses Anhangs zu prüfen. In diesem besonderen Fall können die in Anhang I Tabelle 2 genannten Emissionsgrenzwerte überschritten werden, und die Messwerte werden nicht gewichtet.
2.8.2. Bei einem Abgasnachbehandlungssystem mit periodischer Regenerierung sind die Emissionen nach Stabilisierung des Betriebsverhaltens in mindestens zwei ETC-Prüfungen zu messen, von denen eine während und eine außerhalb eines Regenerierungsvorgangs durchzuführen ist; die Messergebnisse sind zu gewichten.
Der Regenerierungsvorgang muss während der ETC-Prüfung mindestens einmal ablaufen. Der Motor kann mit einem Schalter ausgestattet sein, der die Regenerierung verhindert oder ermöglicht, sofern dies ohne Einfluss auf die ursprüngliche Motorkalibrierung bleibt.
Der Hersteller muss die Parameter, die den Regenerierungsvorgang im Normalfall auslösen (Rußbeladung, Temperatur, Abgasgegendruck usw.) und die Dauer des Vorgangs (n2) angeben. Der Hersteller muss ferner alle für die Ermittlung der Zeit zwischen zwei Regenerierungen (nl) benötigten Daten zur Verfügung stellen. Das genaue Verfahren für die Ermittlung dieser Zeit ist zwischen Motorhersteller und Technischem Dienst nach bestem technischem Ermessen abzustimmen.
Der Hersteller muss ein schadstoffbeladenes Abgasnachbehandlungssystem zur Verfügung stellen, damit während der ETC-Prüfung eine Regenerierung stattfindet. Während der Motorkonditionierung darf keine Regenerierung stattfinden.
Die mittleren Emissionswerte zwischen zwei Regenerierungen sind das arithmetische Mittel der Ergebnisse mehrerer in gleichen Zeitabständen durchgeführter ETC-Prüfungen. Es wird empfohlen, mindestens eine ETC-Prüfung möglichst kurz vor einer Regenerierungsprüfung und eine ETC-Prüfung möglichst kurz nach einer Regenerierungsprüfung durchzuführen. Alternativ kann der Hersteller Daten vorlegen, mit denen er nachweist, dass die Emissionen zwischen den Regenerierungen annähernd konstant (Veränderung max. ± 15 %) bleiben. In diesem Fall genügen die Emissionswerte nur einer ETC-Prüfung.
Während der Regenerierungsprüfung sind alle zur Erkennung eines Regenerierungsvorgangs notwendigen Daten (CO- und NOx-Emissionen, Abgastemperatur vor und nach der Abgasnachbehandlungsanlage, Abgasgegendruck usw.) aufzuzeichnen.
Während des Regenerierungsvorgangs können die in Anhang I Tabelle 2 genannten Emissionsgrenzwerte überschritten werden.
Die gemessenen Emissionswerte sind nach Nummer 5.5 und 6.3 in Anlage 2 zu diesem Anhang zu gewichten. Das Endergebnis darf die in Anhang I Tabelle 2 genannten Emissionsgrenzwerte nicht überschreiten.
1) Die Auswahl der Prüfpunkte erfolgt nach zugelassenen statistischen Zufälligkeitsverfahren.
| ESC- und ELR-Prüfzyklen | Anlage 1 |
1. Einstellung des Motors und des Leistungsprüfstands 1.1. Bestimmung der Motordrehzahlen A, B und C
Für die Angabe der Motordrehzahlen A, B und C durch den Hersteller gelten folgende Bestimmungen: Die hohe Drehzahl nhi ist durch Berechnen von 70 % der angegebenen höchsten Nutzleistung P(n) gemäß Anhang II Anlage 1 Abschnitt 8.2 zu bestimmen. Die höchste Motordrehzahl, bei der dieser Leistungswert auf der Leistungskurve eintritt, wird mit nhi bezeichnet.
Die niedrige Drehzahl nlo ist durch Berechnen von 50 % der angegebenen höchsten Nutzleistung P(n) gemäß Anhang II Anlage 1 Abschnitt 8.2 zu bestimmen. Die niedrigste Motordrehzahl, bei der dieser Leistungswert auf der Leistungskurve eintritt, wird mit nlo bezeichnet.
Die Motordrehzahlen A, B und C sind wie folgt zu berechnen:
Drehzahl a = nlo + 25 % (nhi - nlo)
Drehzahl B = nlo + 50 % (nhi - nlo)
Drehzahl C = nlo + 75 % (nhi - nlo)
Die Motordrehzahlen A, B und C können mit einer der nachstehenden Methoden überprüft werden:
Liegt die Abweichung der gemessenen Motordrehzahlen A, B und C von den vom Hersteller angegebenen Motordrehzahlen bei höchstens ± 3 %, so sind die angegebenen Motordrehzahlen für die Emissionsprüfung zu verwenden. Überschreitet eine der Motordrehzahlen diese Toleranz, so sind die gemessenen Motordrehzahlen für die Emissionsprüfung zu verwenden.
1.2. Bestimmung der Einstellungen des Leistungsprüfstands
Auf experimentellem Weg ist die Drehmomentkurve bei Volllast zu ermitteln, damit die Drehmomentwerte für die genannten Prüfphasen im Nettozustand gemäß Anhang II Anlage 1 Abschnitt 8.2 ermittelt werden können. Nötigenfalls ist die Leistungsaufnahme der von dem Motor angetriebenen Hilfseinrichtungen zu berücksichtigen. Die Einstellung des Leistungsprüfstands für jede Prüfphase ist nach folgender Formel zu berechnen:
s = P(n) × (L/100) falls im Nettozustand geprüft
s = P(n) × (L/100) + (P(a) - P(b)) falls nicht im Nettozustand geprüft
Hierbei sind:
| s | = | Einstellwert des Leistungsprüfstands, kW |
| P(n) | = | Nutzleistung des Motors gemäß Anhang II Anlage 1 Abschnitt 8.2 (kW) |
| L | = | Teillast gemäß Abschnitt 2.7.1 (%) |
| P(a) | = | Leistungsaufnahme der Hilfseinrichtungen, die gemäß Anhang II Anlage 1 Abschnitt 6.1 angebracht werden |
| P(b) | = | Leistungsaufnahme der Hilfseinrichtungen, die gemäß Anhang II Anlage 1 Abschnitt 6.2 entfernt werden |
2. Durchführung der ESC-Prüfung
Auf Antrag des Herstellers kann vor dem Messzyklus eine Blindprüfung durchgeführt werden, um den Motor und die Auspuffanlage zu konditionieren.
2.1. Vorbereitung der Probenahmefilter
Mindestens eine Stunde vor der Prüfung ist jeder einzelne Filter in eine teilweise abgedeckte und gegen Eindringen von Staub geschützte Petrischale zu legen und zur Stabilisierung in eine Wägekammer zu legen. Nach der Stabilisierungsphase ist jeder Filter zu wägen und das Taragewicht aufzuzeichnen. Dann ist der Filter in einer verschlossenen Petrischale oder einem abgedichteten Filterhalter bis zur Verwendung aufzubewahren. Der Filter ist innerhalb von acht Stunden nach Entnahme aus der Wägekammer zu verwenden. Das Taragewicht ist aufzuzeichnen.
2.2. Anbringung der Messgeräte
Die Geräte und die Probenahmesonden sind wie vorgeschrieben anzubringen. Wird zur Verdünnung der Auspuffgase ein Vollstromverdünnungssystem verwendet, so ist das Abgasrohr an das System anzuschließen.
2.3. Inbetriebnahme des Verdünnungssystems und des Motors
Das Verdünnungssystem ist zu starten und der Motor anzulassen, um alle Temperaturen und Drücke bei einer Höchstleistung entsprechend den Herstellerempfehlungen und der guten Ingenieurpraxis zu stabilisieren.
2.4. Starten des Partikelprobenahmesystems
Das Partikelprobenahmesystem ist zu starten und auf Bypass zu betreiben. Der Partikelhintergrund der Verdünnungsluft kann bestimmt werden, indem Verdünnungsluft durch die Partikelfilter geleitet wird. Bei Verwendung gefilterter Verdünnungsluft kann eine Messung vor oder nach der Prüfung erfolgen. Wird die Verdünnungsluft nicht gefiltert, so können Messungen am Beginn und am Ende des Zyklus vorgenommen und die Mittelwerte berechnet werden.
2.5. Einstellung des Verdünnungsverhältnisses
Die Verdünnungsluft ist so einzustellen, dass die unmittelbar vor dem Hauptfilter gemessene Temperatur des Abgases in keiner Phase höher ist als 325 K (52 °C). Das Verdünnungsverhältnis (q) darf nicht unter 4 liegen.
Bei Systemen, in denen das Verdünnungsverhältnis mittels der CO2- bzw. NOx -Konzentrationsmessung geregelt wird, ist der CO2- bzw. NOx -Gehalt der Verdünnungsluft zu Beginn und Ende jeder Prüfung zu messen. Die vor der Prüfung gemessene CO2- bzw. NOx-Hintergrundkonzentration der Verdünnungsluft darf von der nach der Prüfung gemessenen Konzentration um höchstens 100 ppm bzw. 5 ppm abweichen.
2.6. Überprüfung der Analysegeräte
Die Geräte für die Emissionsanalyse sind auf Null zu stellen und der Messbereich ist zu kalibrieren.
2.7. Prüfzyklus
2.7.1. Die Prüfung des Motors auf dem Leistungsprüfstand ist nach dem folgenden 13-Phasen-Zyklus durchzuführen:
| Prüfphase | Motordrehzahl | Teillastverhältnis | Wichtungsfaktor | Dauer der Prüfphase |
| 1 | Leerlauf | - | 0,15 | 4 Minuten |
| 2 | A | 100 | 0,08 | 2 Minuten |
| 3 | B | 50 | 0,10 | 2 Minuten |
| 4 | B | 75 | 0,10 | 2 Minuten |
| 5 | A | 50 | 0,05 | 2 Minuten |
| 6 | A | 75 | 0,05 | 2 Minuten |
| 7 | A | 25 | 0,05 | 2 Minuten |
| 8 | B | 100 | 0,09 | 2 Minuten |
| 9 | B | 25 | 0,10 | 2 Minuten |
| 10 | C | 100 | 0,08 | 2 Minuten |
| 11 | C | 25 | 0,05 | 2 Minuten |
| 12 | C | 75 | 0,05 | 2 Minuten |
| 13 | C | 50 | 0,05 | 2 Minuten |
2.7.2. Prüffolge
Die Prüffolge ist zu beginnen. Die Prüfung ist in der in Abschnitt 2.7.1 angegebenen Reihenfolge der Prüfphasen durchzuführen.
Der Motor läuft in jeder Phase die vorgeschriebene Zeit, wobei Drehzahl und Belastung jeweils in den ersten 20 Sekunden verändert werden. Die vorgegebene Drehzahl muss im Bereich von ± 50 min-1 liegen, und das angegebene Drehmoment darf um höchstens ± 2 % vom höchsten Drehmoment der Prüfdrehzahl abweichen.
Auf Antrag des Herstellers kann die Prüffolge so oft wiederholt werden, bis eine genügend große Partikelmenge am Filter abgeschieden ist. Der Hersteller muss eine eingehende Beschreibung der Verfahren für die Auswertung der Messwerte und für Berechnungen vorlegen. Gasförmige Emissionen werden nur im ersten Zyklus bestimmt.
2.7.3. Ansprechverhalten der Analysegeräte
Das Ansprechverhalten der Analysatoren ist auf einem Bandschreiber aufzuzeichnen oder mit einem gleichwertigen Datenerfassungssystem zu messen, wobei das Abgas während des gesamten Prüfzyklus durch die Analysatoren strömen muss.
2.7.4. Partikelprobenahme
Es ist ein Filter für den gesamten Prüfvorgang zu verwenden. Die für den Prüfzyklus angegebenen modalen Wichtungsfaktoren sind in der Weise zu berücksichtigen, dass in jeder einzelnen Phase des Zyklus eine Probe proportional zum Massendurchsatz des Abgases genommen wird. Dies lässt sich erreichen, indem Probendurchsatz, Probenahmezeit und/oder Verdünnungsverhältnis so eingestellt werden, dass das in Nummer 6.6 genannte Kriterium für die effektiven Wichtungsfaktoren erfüllt wird.
Die Probenahme muss je Prüfphase mindestens 4 Sekunden je 0,01 Wichtungsfaktor dauern. Die Probenahme muss bei jeder Prüfphase so spät wie möglich erfolgen. Die Partikelprobenahme darf nicht früher als 5 Sekunden vor dem Ende jeder Phase abgeschlossen sein.
2.7.5. Motorbedingungen
Motordrehzahl und Last, Ansauglufttemperatur und -unterdruck, Abgastemperatur und -gegendruck, Kraftstoffdurchsatz und Luft- bzw. Abgasdurchsatz, Ladelufttemperatur, Kraftstofftemperatur und Feuchtigkeit sind während jeder Phase aufzuzeichnen, wobei während der Zeit der Partikelprobenahme, zumindest jedoch in der letzten Minute jeder Phase, die Anforderungen hinsichtlich Drehzahl und Belastung des Motors (siehe Abschnitt 2.7.2) erfüllt sein müssen.
Alle zusätzlich für die Berechnung erforderlichen Daten sind aufzuzeichnen (siehe Abschnitte 4 und 5).
2.7.6. Prüfung auf NOx innerhalb des Kontrollbereichs
Die Prüfung auf NOx innerhalb des Kontrollbereichs ist unmittelbar nach Beendigung von Phase 13 durchzuführen.
In Phase 13 ist der Motor vor Beginn der Messungen für einen Zeitraum von drei Minuten zu konditionieren. An unterschiedlichen, vom Technischen Dienst ausgewählten Punkten innerhalb des Kontrollbereichs werden drei Messungen vorgenommen 1. Die Zeitdauer für jede Messung beträgt 2 Minuten.
Es wird das gleiche Messverfahren angewendet wie bei der NOx -Messung im Dreizehn-Phasen-Zyklus, und die Durchführung erfolgt gemäß den Abschnitten 2.7.3, 2.7.5 und 4.1 dieser Anlage sowie gemäß Anhang III Anlage 4 Abschnitt 3.
Die Berechnung wird gemäß Abschnitt 4 ausgeführt.
2.7.7. Erneute Überprüfung der Analysegeräte
Nach der Emissionsprüfung werden ein Nullgas und dasselbe Kalibriergas zur erneuten Überprüfung verwendet. Für die Gültigkeit der Prüfung muss die Differenz zwischen den vor der Prüfung und nach der Prüfung ermittelten Ergebnissen unter 2 % des Kalibriergaswertes betragen.
3. Durchführung der ELR-Prüfung
3.1. Anbringung der Messgeräte
Der Trübungsmesser und gegebenenfalls die Probenahmesonden sind gemäß den allgemeinen Anbringungsvorschriften des Geräteherstellers nach dem Auspufftopf oder, sofern vorhanden, der Nachbehandlungseinrichtung anzubringen. Darüber hinaus sind gegebenenfalls die Anforderungen von Abschnitt 10 der Norm ISO/DIS 11614 einzuhalten.
Vor der Durchführung der Nullpunkt- und Skalenendwertkontrolle ist der Trübungsmesser entsprechend den Empfehlungen des Geräteherstellers anzuwärmen und zu stabilisieren. Falls der Trübungsmesser mit einem Spülluftsystem ausgestattet ist, um die optischen Bauelemente des Geräts von Ruß freizuhalten, so ist dieses System ebenfalls entsprechend den Herstellerempfehlungen in Betrieb zu setzen und einzustellen.
3.2. Überprüfung des Trübungsmessers
Die Nullpunkt- und Skalenendwertkontrolle ist im Ablesemodus des Trübungsmessers durchzuführen, da die Skala des Trübungsmessers zwei genau definierbare Kalibrierpunkte, die 0 %ige Trübung und die 100 %ige Trübung, aufweist. Wenn das Messgerät wieder auf den k-Ablesemodus zum Prüfen eingestellt ist, wird der Lichtabsorptionskoeffizient auf der Grundlage der gemessenen Trübung und der vom Hersteller des Trübungsmessers angegebenen La korrekt errechnet.
Ohne Blockierung des Trübungsmesserlichtstrahls ist die Trübungsanzeige auf 0,0 % ± 1,0 % einzustellen. Bei Blockierung des Lichtweges bis zum Empfänger ist die Anzeige auf 100,0 % ± 1,0 % einzustellen.
3.3. Prüfzyklus
3.3.1. Konditionierung des Motors
Der Motor und das System sind mit Höchstleistung warmzufahren, um die Motorkennwerte entsprechend den Empfehlungen des Herstellers zu stabilisieren. Mit der Vorkonditionierungsphase soll zudem verhindert werden, dass die aktuelle Messung durch aus einer früheren Prüfung stammende Ablagerungen in der Auspuffanlage beeinflusst wird.
Wenn der Motor stabilisiert ist, muss der Zyklus innerhalb von 20 s ± 2 s nach der Vorkonditionierungsphase begonnen werden. Auf Antrag des Herstellers kann vor dem Messzyklus zur zusätzlichen Konditionierung eine Blindprüfung durchgeführt werden.
3.3.2. Prüffolge
Die Prüfung besteht aus einer Folge von drei Belastungsschritten bei den drei Motordrehzahlen a (Zyklus 1), B (Zyklus 2) und C (Zyklus 3), die gemäß Anhang III Abschnitt 1.1 bestimmt wurden. Es folgt der Zyklus 4 mit einer Drehzahl, die durch den Technischen Dienst ausgewählt wird und innerhalb des Kontrollbereichs und bei einer Belastung zwischen 10 % und 100 % 1 liegt. Während des Betriebs des Prüfmotors auf dem Prüfstand ist die nachstehend beschriebene Abfolge einzuhalten (siehe Abbildung 3).
Abbildung 3
Abfolge einer ELR-Prüfung
3.4. Zyklusvalidierung
Die relative Standardabweichung der mittleren Rauchwerte bei der jeweiligen Prüfdrehzahl (A, B, C) muss unter 15 % des Mittelwertes (entsprechend der Berechnung von SVA, SVB und SVC gemäß Abschnitt 6.3.3 aus den drei aufeinander folgenden Belastungsschritten bei jeder Prüfdrehzahl) oder, sofern dieser größer ist, unter 10 % des Grenzwertes von Tabelle 1 in Anhang I liegen. Fällt die Differenz größer aus, ist die Folge zu wiederholen, bis die Validierungskriterien in drei aufeinander folgenden Belastungsschritten erfüllt werden.
3.5. Erneute Überprüfung des Trübungsmessers
Der Wert der Nullpunktdrift des Trübungsmessers nach der Prüfung darf höchstens ± 5,0 % von dem Grenzwert in Anhang I Tabelle 1 abweichen.
4. Berechnung des Abgasdurchsatzes
4.1. Berechnung des Rohabgas-Massendurchsatzes
Zur Berechnung der Emissionen im Rohabgas muss der Abgasdurchsatz bekannt sein. Der Abgasmassendurchsatz ist nach Nummer 4.1.1 oder 4.1.2 mit einer Genauigkeit von ± 2,5 % des Ablesewertes oder ± 1,5 % des Höchstwertes für den Motor zu ermitteln. Es gilt der jeweils größere Wert. Gleichwertige Verfahren (wie z.B. das in Anhang III Anlage 2 Nummer 4.2 beschriebene) können angewandt werden.
4.1.1. Direktmessung
Für die Direktmessung des Abgasdurchsatzes eignen sich u. a.:
Es sind Vorkehrungen gegen Messfehler zu treffen, die zu fehlerhaften Emissionswerten führen. Dazu gehört u. a. die sorgfältige Montage der Messeinrichtung im Abgassystem nach den Empfehlungen des Herstellers und den Regeln der guten Ingenieurpraxis. Insbesondere darf der Einbau der Messeinrichtung die Leistung und die Emissionen des Motors nicht beeinflussen.
4.1.2. Luft- und Kraftstoffmessung
Hierbei werden der Luft- und der Kraftstoffdurchsatz gemessen. Die dafür verwendeten Messgeräte müssen mit der in Nummer 4.1 angegebenen Genauigkeit arbeiten. Der Abgasdurchsatz wird nach folgender Formel berechnet:
qmew = qmaw + qmƒ
4.2. Berechnung des Massendurchsatzes des verdünnten Abgases
Zur Berechnung der Emissionen im mit einem Vollstrom-Verdünnungssystem verdünnten Abgas muss der Durchsatz des verdünnten Abgases bekannt sein. Der Durchsatz des verdünnten Abgases (qmdew) ist in jeder Prüfphase mit einem PDP-CVS-, CFV-CVS- oder SSV-CVS-System und nach den in Anhang III Anlage 2 Nummer 4.1 genannten Formeln zu ermitteln. Die Messgenauigkeit muss mindestens ± 2 % betragen und ist entsprechend den Bestimmungen von Anhang III Anlage 5 Nummer 2.4 zu bestimmen.
5. Berechnung der gasförmigen Emissionen
5.1. Auswertung der Messergebnisse
Zur Bewertung der Emissionen gasförmiger Schadstoffe ist der Mittelwert aus den Aufzeichnungen der letzten 30 Sekunden jeder Prüfphase zu bilden. Aus den Mittelwerten der Aufzeichnungen und den entsprechenden Kalibrierdaten sind die mittleren Konzentrationen (conc) von HC, CO und NOx während jeder Prüfphase zu bestimmen. Eine andere Art der Aufzeichnung kann gewählt werden, wenn sie eine gleichwertige Datenerfassung gewährleistet.
Bei der Prüfung auf NOx innerhalb des Kontrollbereichs gelten die vorstehenden Anforderungen nur für NOx.
Der Abgasdurchsatz qmew oder der Durchsatz des verdünnten Abgases qmdew sind nach Anhang III Anlage 4 Nummer 2.3 zu berechnen.
5.2. Umrechnung vom trockenen in den feuchten Bezugszustand
Falls die Messung nicht schon für den feuchten Bezugszustand vorgenommen wurde, ist die gemessene Konzentration nach folgenden Formeln in einen Wert für den feuchten Bezugszustand umzurechnen. Die Umrechnung ist für jede einzelne Prüfphase vorzunehmen.
cwet = kw + cdry
Für das Rohabgas gilt:
oder
Darin ist:
pr = Wasserdampfdruck nach dem Kühlbad, kPa
Pb = barometrischer Gesamtdruck, kPa
Ha = Feuchtigkeit der Ansaugluft, g Wasser je kg trockener Luft
kf = 0,055584 x wALF - 0,0001083 x wBET - 0,0001562 x wGAM + 0,0079936 x wDEL + 0,0069978 x wEPS
Für das verdünnte Abgas:

oder

Für die Verdünnungsluft:

Für die Ansaugluft:

Darin ist:
Ha = Feuchtigkeit der Ansaugluft, g Wasser je kg trockener Luft
Hd = Feuchtigkeit der Verdünnungsluft, g Wasser je kg trockener Luft
Die Feuchtigkeitswerte können nach den üblichen Formeln aus der relativen Feuchte, dem Taupunkt, dem Dampfdruck oder der Trocken-/Feuchttemperatur errechnet werden.
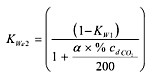
5.3. Korrektur der NOx-Konzentration unter Berücksichtigung von Temperatur und Feuchtigkeit
Da die NOx-Emission vom Zustand der Umgebungsluft abhängt, ist die NOx-Konzentration unter Berücksichtigung von Temperatur und Feuchtigkeit der Umgebungsluft mit Hilfe der in der folgenden Formel angegebenen Faktoren zu korrigieren. Die Faktoren gelten im Bereich zwischen 0 und 25 g/kg trockene Luft.
a) für Selbstzündungsmotoren:

Darin ist:
Ta = Ansauglufttemperatur, K
Ha = Feuchtigkeit der Ansaugluft, g Wasser je kg trockene Luft
wobei
Ha nach den üblichen Formeln aus der relativen Feuchte, dem Taupunkt, dem Dampfdruck oder der Trocken-/Feuchttemperatur errechnet werden kann.
b) für Fremdzündungsmotoren:
kh,G = 0,6272 + 44,030 x 10-3 x Ha - 0,862 x 10-3 x Ha2
wobei
Ha nach den üblichen Formeln aus der relativen Feuchte, dem Taupunkt, dem Dampfdruck oder der Trocken-/Feuchttemperatur errechnet werden kann.
5.4. Berechnung der Emissionsmassendurchsätze
Die Emissionsmassendurchsätze (g/h) sind für jede Prüfphase wie nachstehend beschrieben zu berechnen. Für die Berechnung des NOx-Durchsatzes ist der nach Nummer 5.3 ermittelte Korrekturfaktor kh,D oder kh,G zu verwenden.
Falls die Messung nicht schon für den feuchten Bezugszustand vorgenommen wurde, ist die gemessene Konzentration nach Nummer 5.2 für den feuchten Bezugszustand umzurechnen. Die Werte für ugas sind in Tabelle 6 für ausgewählte Abgasbestandteile angegeben, wobei die Eigenschaften idealer Gase und die für diese Richtlinie maßgebenden Kraftstoffe zugrunde gelegt werden.
a) für das Rohabgas:
mgas = ugas x cgas x qmew
Darin ist:
ugas = Verhältnis von Dichte des jeweiligen Abgasbestandteils und Dichte des Abgases
cgas = Konzentration des jeweiligen Abgasbestandteils, gemessen im verdünnten Abgas, ppm
qmew = Massendurchsatz des Abgases, kg/h
b) für das verdünnte Abgas:
mgas = ugas x cgas,c x qmdew
Darin ist:
ugas = Verhältnis von Dichte des jeweiligen Abgasbestandteils und Dichte der Luft
cgas,c = hintergrundkorrigierte Konzentration des jeweiligen Abgasbestandteils, gemessen im verdünnten Abgas, ppm
gmdew = Massendurchsatz des verdünnten Abgases, kg/h
Dabei gilt:

Der Verdünnungsfaktor D ist nach Anhang III Anlage 2 Nummer 5.4.1 zu berechnen.
5.5. Berechnung der spezifischen Emissionen
Die Emissionen (g/kWh) sind für die einzelnen Bestandteile folgendermaßen zu berechnen:

Darin ist:
mgas die Masse des jeweiligen Gases
Pn die nach Anhang II Nummer 8.2 ermittelte Nutzleistung
Bei der vorstehenden Berechnung sind die Wichtungsfaktoren nach Nummer 2.7.1 zu verwenden.
Tabelle 6 Werte von ugas im Rohabgas und im verdünnten Abgas für verschiedene Abgasbestandteile
| Kraftstoff | NOx | CO | THC/NMHC | CO2 | CH4 | |
| Diesel | Rohabgas | 0,001587 | 0,000966 | 0,000479 | 0,001518 | 0,000553 |
| verdünntes Abgas | 0,001588 | 0,000967 | 0,000480 | 0,001519 | 0,000553 | |
| Ethanol | Rohabgas | 0,001609 | 0,000980 | 0,000805 | 0,001539 | 0,000561 |
| verdünntes Abgas | 0,001588 | 0,000967 | 0,000795 | 0,001519 | 0,000553 | |
| CNG | Rohabgas | 0,001622 | 0,000987 | 0,000523 | 0,001552 | 0,000565 |
| verdünntes Abgas | 0,001588 | 0,000967 | 0,000584 | 0,001519 | 0,000553 | |
| Propan | Rohabgas | 0,001603 | 0,000976 | 0,000511 | 0,001533 | 0,000559 |
| verdünntes Abgas | 0,001588 | 0,000967 | 0,000507 | 0,001519 | 0,000553 | |
| Butan | Rohabgas | 0,001600 | 0,000974 | 0,000505 | 0,001530 | 0,000558 |
| verdünntes Abgas | 0,001588 | 0,000967 | 0,000501 | 0,001519 | 0,000553 | |
| Anmerkungen: | ||||||
| - u-Werte für Rohabgas bei Eigenschaften idealer Gase, λ = 2, trockener Luft, 273 K, 101,3 kPa - u-Werte für verdünntes Abgas bei Eigenschaften idealer Gase und Dichte von Luft - u-Werte für CNG mit einer Toleranz von 0,2 % für folgende Massenverteilung: C = 66 - 76 %; H = 22 - 25 %; N = 0 - 12 % - Dem u-Wert für CNG und HC liegt CH2,93 zugrunde (für Gesamt-HC u-Wert für CH4 verwenden) |
||||||
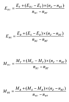
5.6. Berechnung der Kontrollbereichswerte
An den drei nach Nummer 2.7.6 ausgewählten Prüfpunkten ist die NOx-Emission zu messen, nach Nummer 5.6.1 zu berechnen und darüber hinaus nach Nummer 5.6.2 durch Interpolation aus den Phasen des Prüfzyklus zu bestimmen, die dem jeweiligen Prüfpunkt am nächsten liegen. Anschließend werden die gemessenen Werte nach Nummer 5.6.3 mit den interpolierten Werten verglichen.
5.6.1. Berechnung der spezifischen Emissionen
Die NOx-Emission ist für jeden Prüfpunkt (Z) wie folgt zu berechnen:

5.6.2. Bestimmung des Emissionswertes aus dem Prüfzyklus
Die NOx-Emission ist für jeden Prüfpunkt aus den vier am nächsten beieinander liegenden Phasen des Prüfzyklus zu interpolieren, die den ausgewählten Prüfpunkt Z einhüllen (siehe Abbildung 4). Für diese Phasen (R, S, T, U) gelten folgende Festlegungen:
Drehzahl (R) = Drehzahl (T) = nRT
Drehzahl (S) = Drehzahl (U) = nsu
Teillastverhältnis (R) = Teillastverhältnis (S)
Teillastverhältnis (T) = Teillastverhältnis (U)
Die NOx-Emission am ausgewählten Prüfpunkt Z ist wie folgt zu berechnen:

und

Darin ist:
ER, ES, ET, EU = spezifische NOx-Emissionen der nach Nummer 5.6.1 berechneten einhüllenden Phasen
MR, MS, MT, MU = Motordrehmoment der einhüllenden Phasen
Abbildung 4 Interpolation des NOx-Prüfpunkts
5.6.3. Vergleich der NOx-Emissionswerte
Die gemessene spezifische NOx-Emission am Prüfpunkt Z (NOx,Z) wird dem interpolierten Wert (EZ) wie folgt gegenübergestellt:

6. Berechnung der Partikelemissionen
6.1. Auswertung der Messergebnisse
Zur Partikelbewertung ist die Gesamtmasse (msep) der durch die Filter geleiteten Proben für jede Prüfphase aufzuzeichnen.
Die Filter sind wieder in die Wägekammer zu legen und mindestens eine Stunde, höchstens jedoch höchstens 80 Stunden zu konditionieren und dann zu wägen. Das Bruttogewicht der Filter ist aufzuzeichnen, und das Taragewicht (siehe Nummer 2.1 dieser Anlage) abzuziehen. Die Differenz ist die Partikelmasse mf.
Wird eine Hintergrundkorrektur vorgenommen, sind die Masse (md) der durch die Filter geleiteten Verdünnungsluft und die Partikelmasse (mf,d) aufzuzeichnen. Wurde mehr als eine Messung vorgenommen, so ist für jede einzelne Messung der Quotient mf,d/md zu berechnen und das Mittel aus den errechneten Werten zu bilden.
6.2. Teilstrom-Verdünnungssystem
Die in das Prüfprotokoll aufzunehmenden Ergebnisse der Prüfung der Partikelemissionen werden in den folgenden Schritten ermittelt. Da das Verdünnungsverhältnis auf verschiedene Arten gesteuert werden kann, gelten verschiedene Methoden zur Berechnung des äquivalenten Massendurchsatzes gmedf. Alle Berechnungen müssen auf den Mittelwerten der einzelnen Prüfphasen während der Probenahmedauer beruhen.
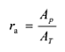
6.2.1. Isokinetische Systeme
wobei ra dem Verhältnis der Querschnittsflächen der isokinetischen Sonde und des Auspuffrohrs entspricht:
6.2.2. Systeme mit Messung der CO2 - oder NOx-Konzentration
Darin ist:
cwE = Konzentration des feuchten Tracergases im Rohabgas
cwD = Konzentration des feuchten Tracergases im verdünnten Abgas
cwA = Konzentration des feuchten Tracergases in der Verdünnungsluft
Die im trockenen Bezugszustand gemessenen Konzentrationen sind nach Nummer 5.2 dieser Anlage in feuchten Bezugszustand umzurechnen.
6.2.3. Systeme mit CO2-Messung und Kohlenstoffbilanzmethode 4

Darin ist:
C(CO2)D = CO2-Konzentration im verdünnten Abgas
C(CO2)a = CO2-Konzentration in der Verdünnungsluft
(Konzentrationswerte in Vol. -% im feuchten Bezugszustand)
Hierbei wird unter der Annahme, dass die dem Motor zugeführten Kohlenstoffatome als CO2 emittiert werden, die Kohlenstoffbilanz ermittelt, und zwar in folgenden Schritten:
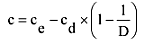
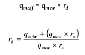
qmedf = qmew x rd
und

6.2.4. Systeme mit Durchsatzmessung

6.3. Vollstrom-Verdünnungssystem
Alle Berechnungen müssen auf den Mittelwerten der einzelnen Prüfphasen während der Probenahmedauer beruhen. Der Durchsatz des verdünnten Abgases gmdew ist nach Anhang III Anlage 2 Nummer 4.1 zu berechnen. Die Gesamtprobenmasse msep ist nach Anhang III Anlage 2 Nummer 6.2.1 zu berechnen.
6.4. Berechnung des Partikelmamendurchsatzes
Der Partikelmassendurchsatz ist wie folgt zu berechnen. Wird ein Vollstrom-Verdünnungssystem verwendet, so ist der nach Nummer 6.2 berechnete Wert qmedf durch den nach Nummer 6.3 berechneten Wert qmdew zu ersetzen.
i = 1,...n
Der Partikelmassendurchsatz kann wie folgt hintergrundkorrigiert werden:

Dabei ist D nach Anhang III Anlage 2 Nummer 5.4.1 zu berechnen.
6.5. Berechnung der spezifischen Emission
Die Partikelemissionen sind folgendermaßen zu berechnen:

6.6. Effektiver Wichtungsfaktor
Der effektive Wichtungsfaktor Wfei ist für jede Prüfphase folgendermaßen zu berechnen:

Der Wert der effektiven Wichtungsfaktoren darf von den Werten der unter Nummer 2.7.1 dieser Anlage aufgeführten Wichtungsfaktoren um höchstens ± 0,003 (± 0,005 für die Leerlaufphase) abweichen.
7. Berechnung der Rauchtrübungswerte
7.1. Bessel-Algorithmus
Der Bessel-Algorithmus ist für die Berechnung des 1-s-Mittelwertes der momentanen, gemäß Abschnitt 6.3.1 umgerechneten Rauchmesswerte zu verwenden. Der Algorithmus emuliert ein Tiefpassfilter zweiter Ordnung, und für seine Anwendung bedarf es iterativer Berechnungen zur Ermittlung der Koeffizienten. Diese Koeffizienten sind eine Funktion der Ansprechzeit des Trübungsmesssystems und der Abtastfrequenz. Aus diesem Grund muss Abschnitt 6.1.1 wiederholt werden, sobald sich die Ansprechzeit und/oder die Abtastfrequenz des Systems ändert.
7.1.1. Berechnung der Filteransprechzeit und der Bessel-Konstanten
Die erforderliche Bessel-Ansprechzeit (tF) ist eine Funktion der physikalischen und elektrischen Ansprechzeit des Trübungsmesssystems gemäß der Beschreibung in Anhang III Anlage 4 Abschnitt 5.2.4 und berechnet sich mittels der folgenden Gleichung:

Hierin bedeuten:
tp = physikalische Ansprechzeit, s
te = elektrische Ansprechzeit, s
Die Berechnungen zur Bestimmung der Filter-Grenzfrequenz (fc) basieren auf einem Sprung der Eingangsgröße von 0 auf 1 in< 0,01s (siehe Anhang VII). Die Ansprechzeit ist definiert als die Zeitspanne zwischen dem Moment, an dem die Bessel-Ausgangsgröße 10 % erreicht (t10), und dem Moment, an dem sie 90 % dieser Sprungfunktion erreicht (t90). Hierzu ist eine Näherung durch Iteration an fc bis t90 - t10 ≈ tF durchzuführen. Die erste Iteration an fc erfolgt nach folgender Formel:
fc = π / 10 x tF
Die Bessel-Konstanten E und K werden mittels folgender Gleichungen berechnet:
Hierin bedeuten:
D = 0,618034
Δt = 1 / Abtastfrequenz
Ω = 1 / [tan(π × Δt × fc)]
7.1.2. Berechnung des Bessel-Algorithmus
Unter Verwendung der Werte E und K ist der 1-s-Bessel-Mittelwert der Reaktion auf eine Sprungeingangsgröße Si folgendermaßen zu berechnen:
Yi = Yi -1 + E × (Si + 2 × Si -1 + Si -2 - 4 × Yi -2) + K × (Yi -1 - Yi -2)
Hierin bedeuten:
Si -2= Si -1= 0
Si = 1
Yi-2= Yi -1= 0
Die Zeiten t10und t90sind zu interpolieren. Die zeitliche Differenz zwischen t90und t10definiert die Ansprechzeit tFfür diesen Wert fc. Liegt die Ansprechzeit nicht nahe genug an der geforderten Ansprechzeit, ist die Iteration wie folgt so lange fortzusetzen, bis die tatsächliche Ansprechzeit weniger als 1 % von der geforderten Antwort abweicht:
((t90- t10) - tF) < 0,01 × t
7.2 Auswertung der Messwerte
Die Rauchmesswerte sind mit einer Mindestfrequenz von 20 Hz abzutasten.
7.3. Rauchmessung
7.3.1. Umrechnung der Messwerte
Da die Hauptmessgröße aller Trübungsmesser die Durchlässigkeit ist, sind die Rauchwerte vom Transmissionsgrad τ wie folgt in den Lichtabsorptionskoeffizienten K umzurechnen:
k = - 1 / LA × ln ( 1 - N / 100)
und
N = 100 - τ
Hierbei bedeuten:
k = Lichtabsorptionskoeffizient, m-1
La = effektive optische Weglänge nach Angaben des Instrumentenherstellers, m
N = Trübung, %
T = Transmissionsgrad, %
Die Konversion muss erfolgen, bevor die Messwerte weiter verarbeitet werden können.
7.3.2. Berechnung des gemittelten Bessel-Rauchwertes
Die erforderliche Filteransprechzeit tF wird durch die eigentliche Grenzfrequenz fc erzeugt. Sobald diese Frequenz mit Hilfe des Iterationsprozesses von Abschnitt 6.1.1 bestimmt worden ist, sind die eigentlichen Bessel-Algorithmuskonstanten E und K zu berechnen. Anschließend ist der Bessel-Algorithmus gemäß der Beschreibung in Abschnitt 6.1.2 auf die Momentrauchkurve (k-Wert) anzuwenden:
Yi = Yi -1 + E × (Si + 2 × Si -1 + Si-2- 4 × Yi -2) + K × (Yi -1- Yi -2)
Der Bessel-Algorithmus ist seinem Wesen nach rekursiv. Somit sind für den Beginn des Algorithmus einige Anfangseingangswerte Si-1 und Si-2und Anfangsausgangswerte Yi-1 und Yi-2notwendig. Diese können mit 0 angenommen werden.
Für jede Laststufe der drei Drehzahlen A, B und C ist aus den einzelnen Yi-Werten der jeweiligen Rauchkurve der 1-s-Höchstwert Ymax auszuwählen.
7.3.3. Endergebnis
Die mittleren Rauchwerte (SV) aus jedem Zyklus (Prüfdrehzahl) sind folgendermaßen zu berechnen:
Bei Prüfdrehzahl A: SVa= (Ymax1,a+ Ymax2,a+ Ymax3,A) / 3
Bei Prüfdrehzahl B: SVB = (Ymax1,B+ Ymax2,B+ Ymax3,B) / 3
Bei Prüfdrehzahl C: SVC = (Ymax1,C+ Ymax2,C+ Ymax3,C) / 3
Hierin bedeuten:
Ymax1, Ymax2, Ymax3= höchster gemittelter 1-s-Bessel-Rauchwert bei jeder der drei Laststufen. Der Endwert berechnet sich wie folgt:
SV = (0,43 x SVA) + (0,56 x SVB) + (0,01 x SVC)
1) Die Auswahl der Prüfpunkte erfolgt nach zugelassenen statistischen Zufälligkeitsverfahren.
2) Bezogen auf das C1-Äquivalent.
3) Der Wert ist nur gültig für den in Anhang IV beschriebenen Bezugskraftstoff.
4) Der in der nachstehenden Formel angegebene Wert gilt nur für den in Anhang IV genannten Bezugskraftstoff.
| ETC-Prüfzyklus | Anlage 2 |
1. Motorabbildungsverfahren
1.1. Bestimmung des Abbildungsdrehzahlbereichs
Zur Einrichtung des ETC in der Prüfzelle muss der Motor vor dem Prüfzyklus abgebildet werden, um die Drehzahl-Drehmoment-Kurve zu bestimmen. Die niedrigste und die höchste Abbildungsdrehzahl ist wie folgt definiert:
Niedrigste Abbildungsdrehzahl = Leerlaufdrehzahl
Höchste Abbildungsdrehzahl = nhi × 1,02 oder, sofern niedriger, die Drehzahl, bei der das Volllastdrehmoment auf Null sinkt
1.2. Erstellen der Motorleistungsabbildung
Der Motor ist bei Höchstleistung warmzufahren, um die Motorkenndaten entsprechend den Herstellerempfehlungen und der guten Ingenieurpraxis zu stabilisieren. Wenn der Motor stabilisiert ist, wird die Motorleistungsabbildung wie folgt erstellt:
1.3. Erzeugung der Abbildungskurve
Alle gemäß Abschnitt 1.2 aufgezeichneten Messwertpunkte sind mittels linearer Interpolation zwischen den Punkten miteinander zu verbinden. Die resultierende Drehmomentkurve ist die Abbildungskurve. Ihre Verwendung erfolgt gemäß der Beschreibung in Abschnitt 2 für die Umrechnung der normierten Drehmomentwerte des Motorzyklus in tatsächliche Drehmomentwerte für den Prüfzyklus.
1.4. Andere Abbildungsverfahren
Ist ein Hersteller der Auffassung, dass die oben beschriebenen Abbildungsverfahren für einen bestimmten Motor nicht sicher oder repräsentativ sind, können andere Abbildungstechniken benutzt werden. Diese anderen Techniken müssen dem Zweck der beschriebenen Abbildungsverfahren genügen, der darin besteht, bei allen Motordrehzahlen, die während der Prüfzyklen auftreten, das höchste verfügbare Drehmoment zu bestimmen. Abweichungen von den in diesem Abschnitt beschriebenen Abbildungstechniken aufgrund sicherheitstechnischer Belange oder zugunsten einer besseren Repräsentativität müssen zusammen mit der entsprechenden Begründung durch den Technischen Dienst genehmigt werden. Auf keinen Fall jedoch dürfen kontinuierliche absteigende Änderungen der Motordrehzahl für geregelte oder turboaufgeladene Motoren genutzt werden.
1.5. Wiederholungsprüfungen
Ein Motor muss nicht vor jedem einzelnen Prüfzyklus abgebildet werden. Eine erneute Abbildung ist vor einem Prüfzyklus durchzuführen, wenn:
2. Erstellung des Bezugsprüfzyklus
In Anlage 3 dieses Anhangs ist der instationäre Prüfzyklus beschrieben. Zwecks Erhalt des Bezugszyklus sind die normierten Werte für Drehmoment und Drehzahl wie nachstehend beschrieben in tatsächliche Werte umzuwandeln.
2.1. Tatsächliche Drehzahl
Die Drehzahl ist mittels folgender Gleichung zu entnormieren:
Tatsächliche Drehzahl = %-Drehzahl (Bezugsdrehzahl - Leerlaufdrehzahl) / 100 + Leerlaufdrehzahl
Die Bezugsdrehzahl (nref) entspricht den im Ablaufplan für den Motorprüfstand (siehe Anlage 3) spezifizierten 100-%-Drehzahlwerten. Sie ist folgendermaßen definiert (siehe Anhang I Abbildung 1):
nref= nlo + 95 % × (nhi - nlo)
worin nhi und nlo entweder nach Anhang I Abschnitt 2 spezifiziert sind oder nach Anhang III Anlage 1 Abschnitt 1.1 ermittelt werden.
2.2. Tatsächliches Drehmoment
Das Drehmoment wird auf das maximale Drehmoment bei der jeweiligen Drehzahl normiert. Anhand der gemäß Abschnitt 1.3 bestimmten Abbildungskurve sind die Drehmomentwerte des Bezugszyklus wie folgt zu entnormieren:
Tatsächliches Drehmoment = (Drehmoment in % × höchstes Drehmoment/100)
für die jeweilige tatsächliche Drehzahl gemäß Abschnitt 2.1.
Zur Einrichtung des Bezugszyklus müssen die negativen Drehmomentwerte der Motorantriebspunkte ("m", Schubbetrieb) entnormierte Werte annehmen, die nach einem der folgenden Verfahren bestimmt werden:
2.3. Beispiel eines Entnormierungsverfahrens
Es folgt ein Beispiel, bei dem der folgende Prüfpunkt entnormiert werden soll:
Drehzahl = 43 %
Drehmoment = 82 %
Es gelten folgende Werte:
Bezugsdrehzahl = 2200 min-1
Leerlaufdrehzahl = 600 min-1
Daraus folgt
Tatsächliche Drehzahl = (43 × (2200 - 600) / 100) + 600 = 1288 min-1
Tatsächliches Drehmoment = (82 × 700 / 100) = 574 Nm
wobei das in der Abbildungskurve beobachtete höchste Drehmoment bei 1 288 min-1 700 Nm beträgt.
3. Durchführung der Emissionsprüfung
Auf Antrag des Herstellers kann vor dem Messzyklus eine Blindprüfung durchgeführt werden, um den Motor und die Abgasanlage zu konditionieren.
Mit Erdgas (CNG) und mit Flüssiggas (LPG) betriebene Motoren sind mit dem ETC-Prüfzyklus einzufahren. Der Motor ist über mindestens zwei ETC-Prüfzyklen zu betreiben, bis der bei einem ETC-Prüfzyklus gemessene CO-Ausstoß den im vorhergehenden ETCPrüfzyklus gemessenen CO-Ausstoß um nicht mehr als 10 % überschreitet.
3.1. Vorbereitung der Probenahmefilter (falls erforderlich)
Mindestens eine Stunde vor der Prüfung ist jeder einzelne Filter in eine teilweise abgedeckte und gegen Eindringen von Staub geschützte Petrischale zu legen und zur Stabilisierung in eine Wägekammer zu legen. Nach der StABllisierungsphase ist jeder Filter zu wägen und das Taragewicht aufzuzeichnen. Dann ist der Filter in einer verschlossenen Petrischale oder einem abgedichteten Filterhalter bis zur Verwendung aufzubewahren. Der Filter ist innerhalb von acht Stunden nach Entnahme aus der Wägekammer zu verwenden. Das Taragewicht ist aufzuzeichnen.
3.2. Anbringung der Messgeräte
Die Geräte und Probenahmesonden sind wie vorgeschrieben anzubringen. Wird ein Vollstrom-Verdünnungssystem verwendet, ist das Abgasrohr daran anzuschließen.
3.3. Inbetriebnahme des Verdünnungssystems und des Motors
Das Verdünnungssystem ist zu starten und der Motor anzulassen, bis alle Temperaturen und Drücke bei Höchstleistung entsprechend den Herstellerempfehlungen und der guten Ingenieurpraxis stabil sind.
3.4. Inbetriebnahme des Partikelprobenahmesystems (nur bei Selbstzündungsmotoren)
Das Partikelprobenahmesystem ist zu starten und im Bypassmodus zu betreiben. Der Partikelhintergrund der Verdünnungsluft kann bestimmt werden, indem Verdünnungsluft durch die Partikelfilter geleitet wird. Wird gefilterte Verdünnungsluft verwendet, kann eine Messung vor oder nach der Prüfung vorgenommen werden. Wird ungefilterte Verdünnungsluft verwendet, so können Messungen am Beginn und am Ende des Zyklus vorgenommen und die Mittelwerte berechnet werden.
Das Verdünnungssystem ist zu starten und der Motor anzulassen, bis alle Temperaturen und Drücke bei Höchstleistung entsprechend den Herstellerempfehlungen und der guten Ingenieurpraxis stabil sind.
Arbeitet das Abgasnachbehandlungssystem mit periodischer Regenerierung, so darf während der Warmlaufphase keine Regenerierung stattfinden.
3.5. Einstellung des Verdünnungssystems
Die Abgasströme des (Voll- oder Teilstrom-) Verdünnungssystems sind so einzustellen, dass im System keine Wasserkondensation auftritt und die maximale Filteranströmtemperatur 325 K (52 °C) oder weniger beträgt (siehe Anhang V Nummer 2.3.1, DT).
3.6. Überprüfung der Analysegeräte
Die Geräte für die Emissionsanalyse sind auf null zu stellen, und der Messbereich ist zu kalibrieren. Falls Probenahmebeutel verwendet werden, sind sie luftleer zu machen.
3.7. Anlassen des Motors
Der stabilisierte Motor ist wie vom Hersteller in der Betriebsanleitung empfohlen mit Hilfe des serienmäßigen Anlassers oder des Prüfstands zu starten. Wahlweise kann die Prüfung direkt im Anschluss an die Vorkonditionierung des Motors beginnen, wobei der Motor bei Erreichen der Leerlaufdrehzahl nicht abgestellt wird.
3.8. Prüfzyklus
3.8.1. Prüffolge
Die Prüffolge ist zu beginnen, wenn der Motor die Leerlaufdrehzahl erreicht hat. Die Prüfung ist nach dem in Nummer 2 dieser Anlage beschriebenen Bezugsprüfzyklus durchzuführen. Die Führungssollwerte für Motordrehzahl und -drehmoment sind mit mindestens 5 Hz (empfohlen 10 Hz) auszugeben. Die Messwerte für Motordrehzahl und -drehmoment sind während des Prüfzyklus mindestens einmal pro Sekunde aufzuzeichnen, die Signale können elektronisch gefiltert werden.
3.8.2. Messung der gasförmigen Emissionen
3.8.2.1. Vollstrom-Verdünnungssystem
Beim Anlassen des Motors oder mit Beginn der Prüffolge unmittelbar aus der Vorkonditionierung heraus sind gleichzeitig folgende Messungen zu starten:
HC und NOx sind im Verdünnungstunnel fortlaufend mit einer Frequenz von 2 Hz zu messen. Durch Integrieren der Analysatorsignale über den Prüfzyklus werden die mittleren Konzentrationen bestimmt. Die Systemansprechzeit darf nicht größer als 20 s sein und ist gegebenenfalls auf die CVS-Durchsatzschwankungen und Probenahmezeit- / Prüfzyklusabweichungen abzustimmen. Durch Integration oder durch Analysieren der über den Zyklus im Probenahmebeutel gesammelten Konzentrationen werden CO, CO2, NMHC und CH4 bestimmt. Die Konzentrationen der gasförmigen Schadstoffe in der Verdünnungsluft werden durch Integration oder durch Sammeln im Hintergrundbeutel bestimmt. Alle übrigen Werte sind mit mindestens einer Messung je Sekunde (1 Hz) aufzuzeichnen.
3.8.2.2. Messung im Rohabgas
Beim Anlassen des Motors oder mit Beginn der Prüffolge unmittelbar aus der Vorkonditionierung heraus sind gleichzeitig folgende Messungen zu starten:
Zur Bewertung der Emissionen gasförmiger Schadstoffe sind die Schadstoffkonzentrationen (HC, CO und NOx) und der Abgasmassendurchsatz mit mindestens 2 Hz aufzuzeichnen und in einem Rechner zu speichern. Die Systemansprechzeit darf nicht größer als 10 s sein. Für alle übrigen Daten genügt eine Aufzeichnungsfrequenz von 1 Hz. Bei analogen Analysegeräten ist das Ansprechverhalten aufzuzeichnen, und die Kalibrierungsdaten können online oder offline für die Bewertung herangezogen werden.
Zur Berechnung der emittierten Massen gasförmiger Schadstoffe sind die Kurven der aufgezeichneten Konzentrationen und die Kurve des Abgasmassendurchsatzes um die in Anhang I Nummer 2 definierte Wandlungszeit zeitlich zu korrigieren. Die Ansprechzeiten der Analysegeräte für gasförmige Emissionen und für den Abgasmassenstrom sind deshalb nach Nummer 4.2.1 und nach Anhang III Anlage 5 Nummer 1.5 zu ermitteln und aufzuzeichnen.
3.8.3. Partikelprobenahme (falls erforderlich)
3.8.3.1. Vollstrom-Verdünnungssystem
Beginnt der Zyklus mit dem Anlassen des Motors oder unmittelbar aus der Vorkonditionierung heraus, so ist das Partikelprobenahmesystem von Bypass auf Partikelsammlung umzuschalten.
Findet keine Durchflussmengenkompensation statt, so ist (sind) die Probenahmepumpe(n) so einzustellen, dass der Durchsatz durch die Partikelprobenahmesonde bzw. das Übertragungsrohr um nicht mehr als ± 5 % des eingestellten Durchsatzwertes schwankt. Findet eine Durchflussmengenkompensation (d. h. eine Proportionalregelung des Probenstroms) statt, ist nachzuweisen, dass das Verhältnis von Haupttunnelstrom zu Partikelprobenstrom um höchstens ± 5 % seines Sollwertes schwankt (ausgenommen die ersten 10 Sekunden der Probenahme).
Hinweis: Bei Doppelverdünnungsbetrieb ist der Probenstrom die Nettodifferenz zwischen dem Probenfilter-Durchsatz und dem Sekundär-Verdünnungsluftdurchsatz.
Die Mittelwerte von Temperatur und Druck am Einlass des Gasmess- oder Durchflussmessgeräts (der Gasmess- oder Durchflussmessgeräte) sind aufzuzeichnen. Die Prüfung ist ungültig, wenn es wegen hoher Partikelfilterbeladung nicht möglich ist, den eingestellten Durchsatz über den gesamten Zyklus hinweg mit einer Toleranz von ± 5 % aufrechtzuerhalten. Die Prüfung ist dann mit einem geringeren Durchsatz und/oder einem Filter mit größerem Durchmesser zu wiederholen.
3.8.3.2. Teilstrom-Verdünnungssystem
Beginnt der Zyklus mit dem Anlassen des Motors oder unmittelbar aus der Vorkonditionierung heraus, so ist das Partikelprobenahmesystem von Bypass auf Partikelsammlung umzuschalten.
Zur Steuerung des Teilstrom-Verdünnungssytems ist ein schnelles Ansprechen des Systems erforderlich. Die Wandlungszeit des Systems ist nach dem in Anhang III Anlage 5 Nummer 3.3 beschriebenen Verfahren zu ermitteln. Beträgt die Summe der Wandlungszeiten des Messsystems für den Abgasdurchsatz (siehe Nummer 4.2.1) und des Teilstrom-Verdünnungssystems weniger als 0,3 s, kann mit Online-Steuerung gearbeitet werden. Beträgt die Wandlungszeit mehr als 0,3 s, muss mit einer vorausschauenden Steuerung auf der Basis eines aufgezeichneten Prüflaufes gearbeitet werden. In diesem Fall muss die Anstiegzeit< 1 s und die Ansprechzeit des Gesamtsystems< 10 s sein.
Die Ansprechzeit des Gesamtsystems ist so auszulegen, dass eine dem Abgasmassendurchsatz proportionale repräsentative Partikelprobe qmp,i genommen wird. Zur Ermittlung der Proportionalität ist eine vergleichende Regressionsanalyse von qmp,i und gmew,i mit einer Datenerfassungsrate von mindestens 1 Hz vorzunehmen. Folgende Kriterien sind zu erfüllen:
Wahlweise kann ein Vorversuch durchgeführt werden, und das aus ihm gewonnene Signal für den Abgasmassendurchsatz kann zur Steuerung des Probenstroms durch die Partikelprobenahmesonde verwendet werden (vorausschauende Steuerung). So muss vorgegangen werden, wenn die Wandlungszeit des Partikelprobenahmesystems t50,P oder die des Signals für den Abgasmassendurchsatz t50,F oder beide > 0,3 s beträgt. Eine korrekte Steuerung des Teilstrom-Verdünnungssystems wird erreicht, wenn der im Vorversuch ermittelte Verlauf von gmew über der Zeit (gmew,pre), auf dessen Basis qmp gesteuert wird, um die Zeit t50,P + t50,F verschoben wird.
Zur Ermittlung der Korrelation zwischen qmp,i und gmew,i sind die Daten aus der eigentlichen Prüfung zu verwenden, wobei gmew,i gegenüber qmp,i um t50,F zeitlich zu korrigieren ist (keine Korrektur um t50,P). Das heißt, dass die Zeitverschiebung zwischen gmew und qmp gleich der Differenz der nach Anhang III Anlage 5 Nummer 3.3 ermittelten Wandlungszeiten ist.
3.8.4. Abwürgen des Motors
Wird der Motor zu einem beliebigen Zeitpunkt während des Prüfzyklus abgewürgt, so muss er vorkonditioniert und neu gestartet werden, und die Prüfung ist zu wiederholen. Tritt an einem der erforderlichen Messgeräte während des Prüfzyklus eine Fehlfunktion auf, ist die Prüfung ungültig.
3.8.5. Arbeitsgänge im Anschluss an die Prüfung
Nach Abschluss der Prüfung wird die Messung des Durchsatzes des rohen oder verdünnten Abgases beendet, und der Gasstrom in die Sammelbeutel und die Partikelprobenahmepumpe wird gesperrt. Bei einem integrierenden Analysesystem ist die Probenahme fortzusetzen, bis die Systemansprechzeiten abgelaufen sind.
Die Konzentrationen in den gegebenenfalls verwendeten Sammelbeuteln sind so rasch wie möglich und spätestens 20 Minuten nach Beendigung des Prüfzyklus zu analysieren.
Nach der Emissionsprüfung sind die Analysatoren mithilfe eines Nullgases und desselben Kalibriergases neu zu überprüfen. Für die Gültigkeit der Prüfung muss die Differenz zwischen den Ergebnissen vor und nach der Prüfung weniger als 2 % des Kalibriergaswertes betragen.
3.9. Überprüfung des Prüfungsdurchlaufs
3.9.1. Datenverschiebung
Um die verzerrende Wirkung der Zeitverzögerung zwischen den Messwerten und den Bezugszykluswerten zu vermindern, kann die gesamte Sequenz der Motordrehzahl- und -drehmomentmesssignale zeitlich nach vorn oder hinten (bezogen auf die Bezugsequenz der Drehzahl- und Drehmomentwerte) verschoben werden. Bei einer Verschiebung der Messsignale müssen Drehzahl und Drehmoment um den gleichen Betrag und in die gleiche Richtung verschoben werden.
3.9.2. Berechnung der Zyklusarbeit
Die tatsächliche Zyklusarbeit Wact (kWh) ist unter Verwendung jedes einzelnen Paares von aufgezeichneten Motordrehzahl- und -drehmomentmesswerten zu berechnen. Das geschieht im Anschluss an jede Verschiebung von Messdaten, sofern diese Option gewählt wurde. Die tatsächliche Zyklusarbeit Wact wird für den Vergleich mit der Bezugszyklusarbeit Wref und zum Berechnen der bremsspezifischen Emissionen (siehe Nummer 4.4 und 5.2) verwendet. Ebenso ist beim Integrieren der Bezugsmotorleistung und der tatsächlichen Motorleistung vorzugehen. Werte zwischen benachbarten Bezugswerten oder Messwerten sind durch lineare Interpolation zu bestimmen.
Bei der Integration der Bezugszyklusarbeit und der tatsächlichen Zyklusarbeit sind alle negativen Drehmomentwerte auf Null zu setzen und einzubeziehen. Findet die Integration mit einer Frequenz unter 5 Hz statt und wechselt das Vorzeichen des Drehmomentwertes in einem Intervall von plus zu minus oder von minus zu plus, so ist der negative Anteil zu berechnen und gleich null zu setzen. Der positive Anteil ist dem integrierten Wert zuzuschlagen.
Wact darf von Wref um nicht mehr als + 5 % und - 15 % abweichen.
3.9.3. Statistische Validierung des Prüfzyklus
Für Drehzahl, Drehmoment und Leistung sind lineare Regressionen von Messwerten auf die Bezugswerte auszuführen. Das geschieht im Anschluss an jede Verschiebung von Messdaten, sofern diese Option gewählt wurde. Es ist die Fehlerquadratmethode anzuwenden, wobei eine Gleichung der folgenden Form für die beste Anpassung verwendet wird:
y = mx + b
Darin ist:
y = gemessener Wert der Drehzahl (min-1), des Drehmoments (Nm) oder der Leistung (kW)
m = Steigung der Regressionsgeraden
x = Bezugswert der Drehzahl (min-1), des Drehmoments (Nm) oder der Leistung (kW)
b = y-Achsabschnitt der Regressionsgeraden
Die Standardfehler (SE) des geschätzten Verlaufs y über x und der Bestimmungskoeffizient (r2) sind für jede einzelne Regressionsgerade zu berechnen.
Es empfiehlt sich, diese Analyse mit 1 Hz vorzunehmen. Sämtliche negativen Bezugsdrehmomentwerte und die zugeordneten Messwerte sind aus der Berechnung zur statistischen Validierung der Drehmoment- und Leistungswerte für den Zyklus zu entfernen. Die Prüfung ist gültig, wenn die Kriterien von Tabelle 7 erfüllt sind.
Tabelle 7 Zulässige Abweichung der Regressionsgeraden
| Drehzahl | Drehmoment | Leistung | |
| Standardfehler (SE) des geschätzten Verlaufs von Y über X | Max 100 min-1 | max. 13 % (15 %) * des höchsten Motordrehmoments entsprechend Leistungsabbildung | max. 8 % (15 %) der höchsten Motorleistung entsprechend Leistungsabbildung |
| Steigung der Regressionsgeraden | 0,95 bis 1,03 | 0,83-1,03 | 0,89-1,03 (0,83-1,03) * |
| Bestimmungskoeffizient r2 | min. 0,9700 (min.0,9500) * |
min. 0,8800 (min.0,7500) * |
min. 0,9100 (min.0,7500) * |
| Y-Achsabschnitt der Regressionsgeraden b |
± 50 min-1 | ± 20 Nm oder ± 2 % (± 20 Nm oder ± 3 %) * des höchsten Drehmoments; es gilt der jeweils größere Wert | ± 4 kW oder ± 2 % (± 4 kW oder ± 3 %) * der höchsten Leistung; es gilt der jeweils größere Wert |
| * Die Werte in Klammem können bis 1. Oktober 2005 für die Typgenehmigungsprüfung von Gasmotoren verwendet werden. (Die Kommission wird über den technischen Fortschritt in der Gasmotorentechnik berichten und aufgrund ihrer Erkenntnisse die in dieser Tabelle für Gasmotoren angegebenen zulässigen Abweichungen der Regressionsgeraden bestätigen oder ändern.) | |||
Punktstreichungen aus den Regressionsanalysen sind wie in Tabelle 8 angegeben zulässig.
Tabelle 8 Zulässige Punktstreichungen aus der Regressionsanalyse
| Bedingung | Zu streichende Punkte |
| Volllast und Drehmomentmesswert < 95 % des Bezugswertes | Drehmoment und/oder Leistung |
| Volllast und Drehzahlmesswert < 95 % des Bezugswertes | Drehzahl und/oder Leistung |
| keine Last, kein Leerlaufpunkt und Drehmomentmesswert > Bezugswert | Drehmoment und/oder Leistung |
| keine Last, Drehzahlmesswert< Leerlaufdrehzahl + 50 min-1 und Drehmomentmesswert = vom Hersteller angegebenes/gemessenes Leerlaufdrehmoment ± 2 % des Höchstdrehmoments |
Drehzahl und/oder Leistung |
| keine Last, Drehzahlmesswert > Leerlaufdrehzahl + 50 min-1 und Drehmomentmesswert > 105 % Bezugswert | Drehmoment und/oder Leistung |
| Keine Last und Drehzahlmesswert > 105 % Bezugswert | Drehzahl und/oder Leistung` |
4. Berechnung des Abgasstroms
4.1. Bestimmung des Durchsatzes des verdünnten Abgases
Der Gesamtdurchsatz des verdünnten Abgases über den gesamten Zyklus (kg/Prüfung) wird aus den Messwerten über den gesamten Zyklus und den entsprechenden Kalibrierdaten des Durchflussmessgerätes errechnet (V0für PDP, Kv für CFV, Cd für SSV) wie in Anhang III Anlage 5 Nummer 2 angegeben. Wird die Temperatur des verdünnten Abgases über den Zyklus mittels eines Wärmetauschers konstant gehalten (± 6 K bei PDP-CVS, ± 11 K bei CFV-CVS oder ± 11 K bei SSV-CVS, siehe Anhang V Nummer 2.3), sind folgende Formeln anzuwenden.
Für das PDP-CVS-System:
med= 1,293 x V0 x Np x (Pb- P1) x 273 / (101,3 x T)
Darin ist:
V0 = je Pumpenumdrehung gefördertes Gasvolumen unter Prüfbedingungen, m3/rev
NP = Gesamtzahl der Pumpenumdrehungen je Prüfung
Pb = atmosphärischer Druck in der Prüfzelle, kPa
P1 = Absenkung des Drucks am Pumpeneinlass unter atmosphärischem Druck, kPa
T = mittlere Temperatur des verdünnten Abgases am Pumpeneinlass über den Zyklus, K
Für das CFV-CVS-System:
med= 1,293 x t x Kp x Pp/ T0,5
Darin ist:
t = Zyklusdauer, s
Kv = Kalibrierkoeffizient des Venturirohres mit kritischer Strömung für Normzustand
Pp = absoluter Druck am Eintritt des Venturirohrs, kPa
T = absolute Temperatur am Eintritt des Venturirohrs, K
Für das SSV-CVS System:
med = 1,293 x QSSV
Darin ist:
Darin ist:
A0 = Zusammenfassung von Konstanten und Einheitsumrechnungen

= 0,006111 in SI-Einheiten von
d = Durchmesser der Einschnürung am Venturirohr mit subsonischer Strömung (SSV)
Cd = Durchflusskoeffizient des SSV
Pp = absoluter Druck am Eintritt des Venturirohrs, kPa
T = Temperatur am Eintritt des Venturirohrs, K
rp = Verhältnis zwischen den absoluten statischen Drücken an der Einschnürung und am Eintritt des SSV =
rD = Verhältnis zwischen den Innendurchmessern an der Einschnürung und am Eintritt des SSV = d/D
Wird ein System mit Durchflussmengenkompensation (d. h. ohne Wärmetauscher) verwendet, so sind die momentanen Massenemissionen zu berechnen und über den gesamten Zyklus zu integrieren. In diesem Falle lässt sich die momentane Masse des verdünnten Abgases wie folgt berechnen:
Für das PDP-CVS-System:
med,i = 1,293 x V0 x NP,i x (Pb - P1) x 273 / (101,3 x T)
Darin ist:
NP,i = Gesamtzahl der Pumpenumdrehungen je Zeitintervall
Für das CFV-CVS-System:
med,i =1,293 x Δti x KV x Pp / T0,5
Darin ist:
Δti = Zeitintervall, s
Für das SSV-CVS-System:
med = 1,293 x QSSV x Δti
Darin ist:
Δti = Zeitintervall, s
Die Echtzeitberechnung ist entweder mit einem realistischen Wert für Cd oder mit einem realistischen Wert für QSSV starten. Wird die Berechnung mit QSSV gestartet, ist der Anfangswert von QSSV zur Bewertung von Re heranzuziehen.
Bei allen Emissionsprüfungen muss die Reynoldssche Zahl an der Einschnürung des SSV im Bereich der Werte liegen, die zur Ermittlung der Kalibrierkurve nach Anhang III Anlage 5 Nummer 2.4 verwendet wurden.
4.2. Berechnung des Rohabgas-Massendurchsatzes
Für die Berechnung der Emissionen im Rohabgas und die Steuerung eines Teilstrom-Verdünnungssystems muss der Abgasmassendurchsatz bekannt sein. Zur Ermittlung des Abgasmassendurchsatzes kann eine der in Nummer 4.2.2 bis 4.2.5 beschriebenen Messmethoden angewandt werden.
4.2.1. Ansprechzeit
Zur Berechnung der Emissionen muss die Ansprechzeit der nachstehend beschriebenen Messmethoden kleiner oder gleich der in Anhang III Anlage 5 Nummer 1.5 für den Analysator geforderten Ansprechzeit sein.
Zur Steuerung eines Teilstrom-Verdünnungssystems ist ein schnelleres Ansprechen erforderlich. Für onlinegesteuerte Teilstrom-Verdünnungssysteme ist eine Ansprechzeit< 0,3 s erforderlich. Für Teilstrom-Verdünnungssysteme mit vorausschauender Steuerung auf der Basis eines aufgezeichneten Prüflaufes ist eine Ansprechzeit des Messsystems< 5 s mit einer Anstiegzeit< 1 s erforderlich. Die Systemansprechzeit ist vom Hersteller des Messinstruments anzugeben. Die Summe der größten zulässigen Ansprechzeiten für die Messung des Abgasdurchsatzes und die Steuerung des Teilstrom-Verdünnungssystems ist in Nummer 3.8.3.2 angegeben.
4.2.2. Direktmessung
Für die Direktmessung des Abgasdurchsatzes eignen sich u. a.:
Es sind Vorkehrungen gegen Messfehler zu treffen, die zu fehlerhaften Emissionswerten führen. Dazu gehört u. a. die sorgfältige Montage der Messeinrichtung im Abgassystem nach den Empfehlungen des Herstellers und den Regeln der guten Ingenieurpraxis. Insbesondere darf der Einbau der Messeinrichtung die Leistung und die Emissionen des Motors nicht beeinflussen.
Der Abgasdurchsatz ist mit einer Genauigkeit von ± 2,5 % des Ablesewertes oder ± 1,5 % des Höchstwertes für den Motor zu ermitteln. Es gilt der jeweils größere Wert.
4.2.3. Luft- und Kraftstoffmessung
Hierbei werden der Luft- und der Kraftstoffdurchsatz gemessen. Die dafür verwendeten Messgeräte müssen mit der in Nummer 4.2.2 angegebenen Genauigkeit arbeiten. Der Abgasdurchsatz wird nach folgender Formel berechnet:
qmew = qmav + qmf
4.2.4. Messung mit Tracergas
Hierbei wird die Konzentration eines Tracergases im Abgas gemessen. Eine bekannte Menge eines Inertgases (z.B. reines Helium) wird als Tracer in den Abgasstrom eingeleitet. Das Inertgas wird mit dem Abgas gemischt und dabei verdünnt, darf aber in der Abgasleitung nicht reagieren. Dann wird die Konzentration des Inertgases in der Abgasprobe gemessen.
Damit sich das Tracergas gleichmäßig im Abgas verteilt, muss die Abgasprobenahmesonde in Strömungsrichtung mindestens 1 m oder das 30-Fache des Abgasrohrdurchmessers (es gilt der größere Wert) vom Punkt der Inertgaseinleitung entfernt sein. Die Probenahmesonde kann näher am Einleitungspunkt liegen, wenn die gleichmäßige Verteilung des Tracergases durch Vergleich der Tracergaskonzentration am Probenahmepunkt mit der Tracergaskozentration am Einleitungspunkt überwacht wird.
Der Tracergasstrom ist so einzustellen, dass bei Leerlaufdrehzahl des Motors die Tracergaskonzentration nach der Vermischung kleiner ist als der Skalenendwert des Tracergasanalysators.
Der Abgasdurchsatz wird nach folgender Formel berechnet:

Darin ist:
qmew,i = momentaner Abgasmassendurchsatz, kg/s
qvt = Tracergasdurchsatz, cm3/min
cmix,i = momentane Konzentration des Tracergases nach der Vermischung, ppm
ρe = Dichte des Abgases, kg/m3 (siehe Tabelle 3)
ca = Hintergrundkonzentration des Tracergases in der Ansaugluft, ppm
Die Hintergrundkonzentration kann vernachlässigt werden, wenn sie bei maximalem Abgasdurchsatz weniger als 1 % der Konzentration des Tracergases nach der Vermischung (cmix,i) beträgt.
Das Gesamtsystem muss die Genauigkeitsanforderungen für die Messung des Abgasdurchsatzes erfüllen und ist nach Anhang III Anlage 5 Nummer 1.7 zu kalibrieren.
4.2.5. Messung des Luftdurchsatzes und des Luft-Kraftstoff-Verhältnisses
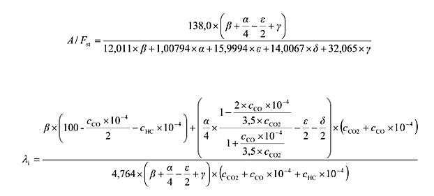
Hierbei wird der Abgasdurchsatz aus dem Luftdurchsatz und dem Luft-Kraftstoff-Verhältnis errechnet. Der momentane Abgasdurchsatz wird nach folgender Formel berechnet:
Dabei gilt:
Darin ist:
A/Fst = stöchiometrisches Luft-Kraftstoff-Verhältnis, kg/kg
λ = Luftüberschussfaktor
CCO2 = CO2-Konzentration im trockenen Bezugszustand, %
cCO = CO-Konzentration im trockenen Bezugszustand, ppm
cHC = HC-Konzentration, ppm
Hinweis: β kann für kohlenstoffhaltige Kraftstoffe 1 und für Wasserstoff 0 sein.
Der Luftdurchflussmesser muss die Genauigkeitsanforderungen von Anhang III Anlage 4 Nummer 2.2 erfüllen, der CO2-Analysator muss Anhang III Anlage 4 Nummer 3.3.2 entsprechen, und das Gesamtsystem muss die Genauigkeitsanforderungen für die Messung des Abgasdurchsatzes erfüllen.
Wahlweise können zur Messung des Luftüberschussfaktors auch Einrichtungen für die Messung des Luft-Kraftstoff-Verhältnisses wie Zirkonsonden verwendet werden, wenn sie die Anforderungen von Anhang III Anlage 4 Nummer 3.3.6 erfüllen.
5. Berechnung der gasförmigen Emissionen
5.1. Datenbewertung
Zur Bewertung der gasförmigen Emissionen im verdünnten Abgas sind die Konzentrationen der Emissionen (HC, CO und NOx) sowie der Massendurchsatz des verdünnten Abgases gemäß Nummer 3.8.2.1 aufzuzeichnen und auf einem DV-System abzuspeichern. Bei analogen Analysegeräten ist das Ansprechverhalten aufzuzeichnen, und die Kalibrierungsdaten können online oder offline für die Bewertung herangezogen werden.
Zur Bewertung der gasförmigen Emissionen im unverdünnten Abgas sind die Konzentrationen der Emissionen (HC, CO und NOx) sowie der Massendurchsatz des Abgases gemäß Nummer 3.8.2.2 aufzuzeichnen und auf einem DV-System abzuspeichern. Bei analogen Analysegeräten ist das Ansprechverhalten aufzuzeichnen, und die Kalibrierungsdaten können online oder offline für die Bewertung herangezogen werden.
5.2. Umrechnung vom trockenen in den feuchten Bezugszustand
Wird die Konzentration für den trockenen Bezugszustand gemessen, so ist sie mit folgender Formel in den feuchten Bezugszustand umzurechnen. Bei fortlaufender Messung ist die Umrechnung sofort für jedes momentane Messergebnis durchzuführen, bevor weitere Berechnungen vorgenommen werden.
cwet = kw x cdry
Hierfür sind die Umrechnungsgleichungen von Nummer 5.2 in Anlage 1 zu diesem Anhang anzuwenden.
5.3. Korrektur der NOx-Konzentration unter Berücksichtigung von Temperatur und Feuchtigkeit
Da die NOx-Emission von den Bedingungen der Umgebungsluft abhängt, ist die NOx-Konzentration unter Berücksichtigung von Temperatur und Feuchtigkeit der Umgebungsluft mit Hilfe der in Abschnitt 5.3 von Anhang 1 zu diesem Anhang angegebenen Faktoren zu korrigieren. Die Faktoren gelten im Bereich zwischen 0 und 25 g/kg trockener Luft.
5.4. Berechnung der Emissionsmassendurchsätze
Die Masse der Emissionen über den Zyklus (g/Prüfung) ist je nach verwendeter Messmethode wie folgt zu berechnen. Falls die Messung nicht schon für den feuchten Bezugszustand vorgenommen wurde, ist die gemessene Konzentration gemäß Abschnitt 5.2 von Anlage 1 zu diesem Anhang in einen Wert für den feuchten Bezugszustand umzurechnen. Zu verwenden sind die jeweiligen Werte für ugas, die in Tabelle 6 Anlage 1 zu diesem Anhang für ausgewählte Bestandteile auf der Grundlage idealer Gaseigenschaften und der Z diese Richtlinie relevanten Kraftstoffe angegeben sind.
a) für das Rohabgas:

Hierbei sind:
ugas = Verhältnis von Dichte des jeweiligen Abgasbestandteils und Dichte des Abgases laut Tabelle 6
cgas,i = momentane Konzentration des jeweiligen Abgasbestandteils, gemessen im verdünnten Abgas, ppm
qmew,i = momentaner Massendurchsatz des Abgases, kg/s
ƒ = Datenabtastfrequenz, Hz
n = Zahl der Messungen
b) für das verdünnte Abgas ohne Durchflussmengen-Kompensation:
mgas = ugas x cgas x med
Hierbei sind:
ugas = Verhältnis von Dichte des jeweiligen Abgasbestandteils und Dichte der Luft laut Tabelle 6
cgas = durchschnittliche hintergrundkorrigierte Konzentration des jeweiligen Bestandteils, ppm
med = Gesamtmasse des verdünnten Abgases über den Zyklus, kg
c) für das verdünnte Abgas mit Durchflussmengen-Kompensation:

Hierbei bedeuten:
ce,i = Konzentration des jeweiligen Bestandteils, gemessen im verdünnten Abgas, ppm
cd = Konzentration des jeweiligen Bestandteils, gemessen in der Verdünnungsluft, ppm
gmdew,i = momentaner Massendurchsatz des verdünnten Abgases, kg/s
med = Gesamtmasse des verdünnten Abgases über den gesamten Zyklus, kg
ugas = Verhältnis von Dichte des jeweiligen Abgasbestandteils und Dichte der Luft laut Tabelle 6
D = Verdünnungsfaktor (siehe Abschnitt 5.4.1)
Falls anwendbar, ist die Konzentration von NMHC und CH4 mit einer der unter Nummer 3.3.4 in Anlage 4 zu diesem Anhang aufgeführten Methoden wie folgt zu berechnen:
a) GC-Methode (nur Vollstrom-Verdünnungssystem):
CNMHC = CHC - CCH4
b) NMC-Methode:

Hierbei bedeuten:
CHC(w/Cutter) = HC-Konzentration, wobei das Probengas durch den NMC geleitet wird
CHC(w/oCutter) = HC-Konzentration, wobei das Probengas am NMC vorbei geleitet wird
5.4.1. Bestimmung der hintergrundkorrigierten Konzentrationen (nur Vollstrom-Verdünnungssystem)
Um die Nettokonzentration der Schadstoffe zu bestimmen, sind die mittleren Hintergrundkonzentrationen der gasförmigen Schadstoffe in der Verdünnungsluft von den gemessenen Konzentrationen abzuziehen. Die mittleren Werte der Hintergrundkonzentrationen können mithilfe der Beutel-Methode oder durch laufende Messungen mit Integration bestimmt werden. Die nachstehende Formel ist zu verwenden.

Hierbei bedeuten:
ce = Konzentration des jeweiligen Schadstoffs, gemessen im verdünnten Abgas, ppm
cd = Konzentration des jeweiligen Schadstoffs, gemessen in der Verdünnungsluft, ppm
D = Verdünnungsfaktor
Der Verdünnungsfaktor errechnet sich wie folgt:
a) für Selbstzündungsmotoren und mit LPG betriebene Gasmotoren
b) für mit NG betriebene Gasmotoren
Hierbei bedeuten:
CCO2 = CO2-Konzentration im verdünnten Abgas, Vol. %
CHC = HC-Konzentration im verdünnten Abgas, ppm C1
CNMHC = NMHC-Konzentration im verdünnten Abgas, ppm C1
CCO = CO-Konzentration im verdünnten Abgas, ppm
Fs = stöchiometrischer Faktor
Auf trockener Basis gemessene Konzentrationen sind gemäß Nummer 5.2 von Anlage 1 zu diesem Anhang in einen feuchten Bezugszustand umzurechnen.
Der stöchiometrische Faktor berechnet sich wie folgt:

Hierbei gilt:
α, ε sind die Molverhältnisse für einen Kraftstoff des Typs C Hα Oε
Ist die Kraftstoffzusammensetzung unbekannt, können alternativ folgende stöchiometrische Faktoren verwendet werden:
Fs(Diesel) = 13,4
Fs(LPG) = 11,6
Fs(NG) = 9,5
5.5. Berechnung der spezifischen Emissionen
Die Emissionen (g/kWh) sind folgendermaßen zu berechnen:
a) alle Bestandteile, außer NOx:

b) NOx:

Hierbei bedeuten:
Wact = tatsächliche Zyklusarbeit gemäß Nummer 3.9.2
5.5.1. Im Fall eines Abgasnachbehandlungssystems mit periodischer Regenerierung sind die Emissionen wie folgt zu wichten:

Hierbei bedeuten:
n1 = Zahl der ETC-Prüfungen zwischen zwei Regenerierungsphasen
n2 = Zahl der ETC-Prüfungen während einer Regenerierungsphase (mindestens eine ETC-Prüfung)
Mgas,n2 = Emissionen während einer Regenerierungsphase
Mgas,n1 = Emissionen nach einer Regenerierungsphase
6. Berechnung der Partikelemission (falls anwendbar)
6.1. Datenbewertung
Der Partikelfilter muss spätestens eine Stunde nach Abschluss der Prüfung in die Wägekammer zurückgebracht werden. Er ist in einer teilweise bedeckten und gegen Verstauben geschützten Petrischale mindestens eine Stunde, aber nicht mehr als 80 Stunden zu konditionieren und danach zu wiegen. Das Bruttogewicht der Filter ist aufzuzeichnen, und das Taragewicht abzuziehen. Die Differenz ist die Partikelmasse mf. Zur Bewertung der Partikelkonzentration ist die gesamte Probemasse (msep), die während des Prüfungszyklus durch die Filter geströmt ist, aufzuzeichnen.
Bei Anwendung einer Hintergrundkorrektur sind die Masse (md) der durch den Filter geleiteten Verdünnungsluft und die Partikelmasse (mf,d) (Md) aufzuzeichnen.
6.2. Berechnung des Massendurchsatzes
6.2.1. Vollstrom-Verdünnungssystem
Die Partikelmasse (g/Prüfung) berechnet sich wie folgt:
Hierbei bedeuten:
mf = über den Zyklus abgeschiedene Partikelprobenahmemasse, mg
msep = Masse des verdünnten Abgases, das den Partikelsammelfilter durchströmt, kg
med = Masse des verdünnten Abgases über den Zyklus, kg
Bei Verwendung eines Doppelverdünnungssystems ist die Masse der Sekundärverdünnungsluft von der Gesamtmasse des zweifach verdünnten Abgases, das zur Probenahme durch die Partikelfilter geleitet wurde, abzuziehen.
msep = mset - mssd
Hierbei bedeuten:
mset = Masse des durch Partikelfilter geleiteten doppelt verdünnten Abgases, kg
mssd = Masse der Sekundärverdünnungsluft, kg
Erfolgt die Bestimmung des Partikelhintergrunds der Verdünnungsluft nach Abschnitt 3.4, kann die Partikelmasse hintergrundkorrigiert werden. In diesem Falle ist die Partikelmasse (g/Prüfung) folgendermaßen zu berechnen:

Hierbei bedeuten:
mPT, msep, med = siehe oben
md = Masse der Primärverdünnungsluft, Probenahme mittels Probenentnehmer für Hintergrundpartikel, kg
mf,d = abgeschiedene Hintergrundpartikelmasse der Primärverdünnungsluft, mg
D = Verdünnungsfaktor gemäß Nummer 5.4.1
6.2.2. Teilstrom-Verdünnungssystem
Die Partikelmasse (g/Prüfung) ist mit einer der folgenden Methoden zu berechnen:
a)
Hierbei bedeuten:
mf = über den Zyklus abgeschiedene Partikelprobenahmemasse, mg
msep = Masse des verdünnten Abgases, das die Partikelsammelfilter durchströmt, kg
medf = Masse des äquivalenten verdünnten Abgases über den gesamten Zyklus, kg
Die äquivalente Gesamtmasse des verdünnten Abgases über den Zyklus ist wie folgt zu ermitteln:
Hierbei bedeuten:
qmedf,i = momentaner äquivalenter Massendurchsatz des verdünnten Abgases, kg/s
qmew,i = momentaner Massendurchsatz des Abgases, kg/s
rd,i = momentanes Verdünnungsverhältnis
qmdew,i = momentaner Massendurchsatz des verdünnten Abgases durch den Verdünnungstunnel, kg/s
qmdw,i = momentaner Massendurchsatz der Verdünnungsluft, kg/s
ƒ = Datenabtastfrequenz, Hz
n = Zahl der Messungen
b)
Hierbei bedeuten:
mf = über den Zyklus abgeschiedene Partikelprobenahmemasse, mg
rs = durchschnittliches Probeverhältnis über den Prüfungszyklus
Hierbei bedeuten:

Hierbei bedeuten:
mse = Probenmasse der Abgasproben über den Zyklus, kg
mew = Gesamtmasse des Abgasdurchsatzes über den Zyklus, kg
msep = Masse des verdünnten Abgases, das die Partikelsammelfilter durchströmt, kg
msed = Masse des verdünnten Abgases, das den Verdünnungstunnel durchströmt, kg
Hinweis: Im Fall eines Systems mit Vollstromprobenahme sind msep und Msed identisch.
6.3. Berechnung der spezifischen Emission
Die Partikelemission (g/kWh) ist folgendermaßen zu berechnen:
Hierbei bedeutet:
Wact = tatsächliche Zyklusarbeit gemäß Nummer 3.9.2, kWh
6.3.1. Im Fall eines Nachbehandlungssystems mit periodischer Regenerierung sind die Emissionen wie folgt zu wichten:
Hierbei bedeuten:
n1 = Zahl der ETC-Prüfungen zwischen zwei Regenerierungsphasen
n2 = Zahl der ETC-Prüfungen während einer Regenerierungsphase (mindestens eine ETC-Prüfung)
____
PTn2 = Emissionen während einer Regenerierungsphase
____
PTn1 = Emissionen außerhalb einer Regenerierungsphase
1) Bezogen auf das C1-Äquivalent.
![]() |
weiter . | ![]() |
(Stand: 11.03.2019)
Alle vollständigen Texte in der aktuellen Fassung im Jahresabonnement
Nutzungsgebühr: ab 105.- € netto
(derzeit ca. 7200 Titel s.Übersicht - keine Unterteilung in Fachbereiche)
Die Zugangskennung wird kurzfristig übermittelt
? Fragen ?
Abonnentenzugang/Volltextversion