umwelt-online: Entscheidung 2007/589/EG Leitlinien für die Überwachung und Berichterstattung betreffend Treibhausgasemissionen im Sinne der RL 2003/87/EG (Monitoring-Leitlinien) (2)

zurück

5.3. Das Fall-Back-Konzept für stationäre Anlagen

Wenn es technisch nicht machbar ist oder unverhältnismäßig hohe Kosten verursachen würde, auf alle Brennstoff-/Materialströme (ausgenommen De-Minimis-Stoffströme) zumindest die Anforderungen für Ebene 1 anzuwenden, greift der Anlagenbetreiber auf das so genannte "Fallback-Konzept" zurück, das ihn von den Auflagen gemäß Abschnitt 5.2. dieses Anhangs befreit und die Entwicklung einer der Situation angepassten Überwachungsmethode gestattet. Der Anlagenbetreiber muss der zuständigen Behörde in diesem Fall glaubhaft nachweisen, dass die Gesamtunsicherheitsschwellen (siehe Tabelle 2) für die jährlichen Treibhausgasemissionen der Anlage mit dieser alternativen Überwachungsmethode für die gesamte Anlage eingehalten werden.

Bei der Unsicherheitsbewertung werden die Unsicherheiten aller für die Berechnung der Jahresemissionen zugrunde gelegten Variablen und Parameter quantifiziert, wobei dem "ISO-Leitfaden für die Angabe der Unsicherheit beim Messen" (1995) 2 und ISO 5168:2005 Rechnung getragen wird. Die Bewertung wird auf der Grundlage der Vorjahresdaten durchgeführt, bevor die zuständige Behörde das Monitoringkonzept genehmigt, und jährlich aktualisiert. Diese jährliche Aktualisierung erfolgt im Kontext des jährlichen Emissionsberichts und muss gemeinsam mit diesem geprüft werden.

Die Mitgliedstaaten teilen der Kommission gemäß Artikel 21 der Richtlinie 2003/87/EG mit, welche Anlagen das Fallback-Konzept anwenden. Im jährlichen Emissionsbericht ermittelt und berichtet der Anlagenbetreiber Daten (sofern vorhanden) oder möglichst akkurate Schätzungen über Tätigkeitsdaten, untere Heizwerte, Emissionsfaktoren, Oxidationsfaktoren und andere Parameter, ggf. mit Hilfe von Laboranalysen. Das jeweilige Verfahren wird im Monitoringkonzept dokumentiert und von der zuständigen Behörde genehmigt. Tabelle 2 gilt nicht für Anlagen, die ihre Treibhausgasemissionen durch kontinuierliche Messsysteme im Sinne von Anhang XII ermitteln.

Tabelle 2 Gesamtunsicherheitsschwellen bei Anwendung des Fallback-Konzepts

Anlagenkategorie Verbindliche Unsicherheitsschwelle für
den Gesamtwert der Jahresemissionen
A ± 7,5 %
B ± 5,0 %
C ± 2,5 %

5.4. Tätigkeitsdaten von stationären Anlagen

Tätigkeitsdaten umfassen Informationen über den Materialstrom, den Brennstoffverbrauch, das Einsatzmaterial oder die Produktionsmenge, ausgedrückt als Energiegehalt [TJ] (in Ausnahmefällen auch als Masse oder Volumen [t oder Nm3], siehe Abschnitt 5.5) bei Brennstoffen und als Masse oder Volumen bei Rohmaterialien oder Produkten [t oder Nm2].

Der Anlagenbetreiber kann die Tätigkeitsdaten auch anhand der in Rechnung gestellten Brennstoff- bzw. Materialmenge bestimmen, soweit die Vorschriften von Anhang I und die Anforderungen in Bezug auf die genehmigten Ebenen (Anhänge II bis XXIV) erfüllt sind.

Können Tätigkeitsdaten zur Berechnung von Emissionen nicht direkt quantifiziert werden, so sind sie aufgrund von Lagerbestandsveränderungen zu bestimmen:

Material C = Material P + (Material S - Material E) - Material O

wobei:

Material C: im Berichtszeitraum verarbeitetes Material
Material P: im Berichtszeitraum gekauftes Material
Material S: Materialbestand zu Beginn des Berichtszeitraums
Material E: Materialbestand am Ende des Berichtszeitraums
Material O: für andere Zwecke eingesetztes Material (Weiterbeförderung oder Wiederverkauf).

Sollte eine Bestimmung der Variablen "Material S" und "Material E" durch direkte Messung technisch nicht machbar sein bzw. unverhältnismäßig hohe Kosten verursachen, so kann der Anlagenbetreiber diese beiden Größen schätzen

Sollte eine Ermittlung der jährlichen Tätigkeitsdaten für ein exaktes Kalenderjahr technisch nicht machbar sein bzw. unverhältnismäßig hohe Kosten verursachen, so kann der Anlagenbetreiber den nächstgeeigneten Arbeitstag wählen, um ein Berichtsjahr vom folgenden abzugrenzen. Etwaige Abweichungen für einen oder mehrere Stoffströme sind genau festzuhalten; sie bilden die Grundlage für einen das Kalenderjahr repräsentierenden Wert und sind auch im Folgejahr heranzuziehen.

5.5. Emissionsfaktoren

Emissionsfaktoren für CO2-Emissionen beruhen auf dem Kohlenstoffgehalt der Brenn- oder Einsatzstoffe und werden als tCO2/TJ (Emissionen aus der Verbrennung) bzw. als tCO2/t oder tCO2/Nm3 (Prozessemissionen) ausgedrückt. Für andere Treibhausgase als CO2 werden in den betreffenden tätigkeitsspezifischen Anhängen dieser Leitlinien geeignete Emissionsfaktoren definiert.

Um höchste Transparenz und weitestgehende Übereinstimmung mit nationalen Treibhausgasinventaren zu erreichen, wird für Emissionen aus der Verbrennung die Angabe von Emissionsfaktoren in t CO2/t anstatt in t CO2/TJ auf Fälle, in denen dem Anlagenbetreiber ansonsten unverhältnismäßig hohe Kosten entstehen würden, sowie auf in den tätigkeitsspezifischen Anhängen dieser Leitlinien definierte Fälle begrenzt.

Zur Umrechnung des Kohlenstoffes in den jeweiligen CO2-Wert wird der Faktor 3 3,664 [t CO2/t C] zugrunde gelegt.

Emissionsfaktoren sowie die Vorgaben für die Ermittlung tätigkeitsspezifischer Emissionsfaktoren sind in den Abschnitten 11 und 13 dieses Anhangs festgelegt.

Biomasse gilt als CO2-neutral. Daher findet auf Biomasse ein Emissionsfaktor von 0 [t CO2/TJ oder t oder Nm3] Anwendung. Abschnitt 12 dieses Anhangs enthält eine Liste verschiedener Materialtypen, die als Biomasse gelten.

Bei Brennstoffen oder Materialien, die sowohl fossilen als auch Biomasse-Kohlenstoff enthalten, findet ein gewichteter Emissionsfaktor Anwendung, der auf dem Anteil des fossilen Kohlenstoffs am Gesamtkohlenstoffgehalt des Brennstoffes beruht. Die Berechnung dieses Faktors muss transparent und in Einklang mit den Vorgaben und Verfahren gemäß Abschnitt 13 dieses Anhangs erfolgen.

Inhärentes CO2, das als Teil eines Brennstoffs (z.B. Gichtgas, Koksofengas oder Erdgas) in eine emissionshandelspflichtige Anlage weitergeleitet wird, wird in den Emissionsfaktor für diesen Brennstoff einbezogen.

Vorbehaltlich der Genehmigung durch die zuständige Behörde kann inhärentes CO2aus einem Stoffstrom, das anschließend als Teil eines Brennstoffs aus einer Anlage weitergeleitet wird, von den Emissionen dieser Anlage subtrahiert werden, und zwar unabhängig davon, ob es an eine andere emissionshandelspflichtige Anlage abgegeben wird oder nicht. In jedem Fall ist das Ergebnis in Form eines Memo-Items zu melden. Die Mitgliedstaaten teilen der Kommission gemäß Artikel 21 der Richtlinie 2003/87/EG mit, um welche Anlagen es sich handelt.

5.6. Oxidations- und Umsetzungsfaktoren

Für Emissionen aus der Verbrennung wird ein Oxidationsfaktor bzw. für Prozessemissionen ein Umsetzungsfaktor verwendet, um den im Prozess nicht oxidierten bzw. nicht umgewandelten Kohlenstoffanteil zu berücksichtigen. Bei Oxidationsfaktoren entfällt die Auflage, die höchste Ebene anzuwenden. Werden innerhalb einer Anlage unterschiedliche Brennstoffe verwendet und werden tätigkeitsspezifische Oxidationsfaktoren berechnet, so kann der Anlagenbetreiber vorbehaltlich der Genehmigung der zuständigen Behörde einen aggregierten Oxidationsfaktor für die betreffende Tätigkeit definieren und diesen auf alle Brennstoffe anwenden oder er kann die unvollständige Oxidation einem emissionsstarken Brennstoffstrom zuordnen und auf die anderen den Wert 1 anwenden, es sei denn, es wird Biomasse verwendet.

5.7. Weitergeleitetes CO2

Vorbehaltlich der Genehmigung der zuständigen Behörde können Anlagenbetreiber CO2, das nicht aus einer Anlage emittiert, sondern

von den errechneten Emissionen subtrahieren, sofern sich diese Subtraktion in einer entsprechenden Reduktion in Bezug auf die Tätigkeit und die Anlage widerspiegelt, die der betreffende Mitgliedstaat in seinem nationalen Inventar dem Sekretariat der Klimarahmenkonvention der Vereinten Nationen vorlegt. Die betreffende Menge CO2 ist für jede Anlage, die CO2 weitergeleitet oder empfangen hat, im Jahresemissionsbericht sowohl der weiterleitenden als auch der annehmenden Anlage als Memo-Item zu melden.

Im Falle einer Weiterleitung an eine andere Anlage muss die annehmende Anlage die empfangene Menge CO2 zu ihren errechneten Emissionen addieren, soweit keine anderen Vorschriften gemäß Anhang XVII oder XVIII gelten.

Die Mitgliedstaaten teilen der Kommission gemäß Artikel 21 der Richtlinie 2003/87/EG die weiterleitenden und die annehmenden Anlagen mit. Wird CO2 an eine Anlage weitergeleitet, die unter die genannte Richtlinie fällt, so identifiziert die weiterleitende Anlage die annehmende Anlage in ihrem Jahresemissionsbericht, indem sie die in der Verordnung gemäß Artikel 19 der Richtlinie definierte Kennnummer der Anlage anführt. Die annehmende Anlage identifiziert die weiterleitende Anlage auf dieselbe Weise.

Bei aus einer Anlage weitergeleitetem CO2 kann es sich u. a. handeln um

Sofern keine anderen Anforderungen in den tätigkeitsspezifischen Anhängen gelten, wird die Masse des jährlich weitergeleiteten CO2 oder Karbonats mit einer maximalen Unsicherheit von weniger als 1,5 % bestimmt, und zwar entweder direkt anhand von Volumen- und Massenstrommessgeräten oder durch Wiegen oder aber indirekt aus der Masse des jeweiligen Produktes (z.B. Karbonat oder Harnstoff), soweit relevant und angemessen.

Wird die Menge des weitergeleiteten CO2 sowohl in der weiterleitenden als auch in der annehmenden Anlage gemessen, so muss die Menge des weitergeleiteten CO2 mit der Menge des empfangenen CO2 identisch sein. Bleibt die Abweichung zwischen den beiden Messwerten innerhalb einer Spanne, die durch die Ungenauigkeit der Messsysteme erklärt werden kann, so nennt sowohl die weiterleitende als auch die annehmende Anlage in ihrem Emissionsbericht das arithmetische Mittel der beiden Messwerte. Der Emissionsbericht enthält eine Erklärung, aus der hervorgeht, dass dieser Wert mit dem Wert entweder der weiterleitenden oder der annehmenden Anlage abgeglichen wurde. Der Messwert wird in einem Memo-Item aufgeführt.

Lässt sich die Abweichung zwischen den Messwerten nicht durch die Unsicherheitsmarge der Messsysteme erklären, so gleichen die Betreiber der betreffenden Anlagen die Messwerte durch konservative Anpassungen (d.h. unter Vermeidung einer zu niedrigen Schätzung der Emissionen) an. Die für die weiterleitenden und die annehmenden Anlagen zuständigen Prüfstellen überprüfen diese Angleichung, die der Genehmigung durch die zuständige Behörde bedarf.

In Fällen, in denen ein Teil des weitergeleiteten CO2 aus Biomasse generiert wurde, oder wenn eine Anlage nur zum Teil unter die Richtlinie 2003/87/EG fällt, subtrahiert der Anlagenbetreiber nur den Teil der Masse des weitergeleiteten CO2, der aus fossilen Brennstoffen und Materialien stammt, die bei unter die Richtlinie fallenden Tätigkeiten eingesetzt werden. Die jeweiligen Zuordnungsmethoden, bei denen es sich um konservative Methoden handeln muss, müssen von der zuständigen Behörde genehmigt werden.

Wendet die weiterleitende Anlage ein Messverfahren an, so wird die Gesamtmenge des weitergeleiteten/empfangenen CO2, das aus Biomasse generiert wurde, sowohl von der weiterleitenden als auch von der annehmenden Anlage als Memo-Item gemeldet. Von der annehmenden Anlage werden keine eigenen Messungen für diesen Zweck verlangt, sie meldet vielmehr die von der weiterleitenden Anlage ermittelte Menge CO2 aus Biomasse.

6. Messmethodik für stationäre Anlagen

6.1. Allgemeines

Wie bereits in Abschnitt 4.2 erläutert, können Emissionen von Treibhausgasen an allen oder ausgewählten Emissionsquellen durch kontinuierliche Emissionsmesssysteme (KEMS) ermittelt werden, wobei nach standardisierten oder anerkannten Methoden vorzugehen ist. Voraussetzung ist, dass der Anlagenbetreiber vor Beginn des Berichtszeitraums von der zuständigen Behörde die Bestätigung erhalten hat, dass kontinuierliche Messung nachweislich genauere Ergebnisse erzielt als die Berechnung auf Basis der höchsten Genauigkeitsebenen. Die Anhänge XII und XIII dieser Leitlinien enthalten genaue Vorgaben für Messmethoden. Die Mitgliedstaaten teilen der EU-Kommission gemäß Artikel 21 der Richtlinie 2003/87/EG mit, welche Anlagen als Teil ihres Monitoring-Konzepts kontinuierliche Messsysteme anwenden.

Die Messung von Konzentrationen sowie von Massen- oder Volumenströmen erfolgt, soweit verfügbar, nach einer genormten Methode, die systematische Fehler bei Probenahme und Messung begrenzt und deren Messunsicherheit bekannt ist. Soweit vorhanden, sind CEN-Normen (d. h. Normen des Europäischen Komitees für Normung) anzuwenden. Sind keine CEN-Normen vorhanden, kann auf geeignete ISO-Normen (d. h. Normen der Internationalen Organisation für Normung) oder nationale Normen zurückgegriffen werden. Gibt es keine gültige Norm, so können gegebenenfalls Verfahren angewandt werden, die vorliegenden Normentwürfen oder den Leitlinien der Industrie für bewährte Praxis (Best Practice) entsprechen.

Beispiele für einschlägige ISO-Normen:

Der Biomasseanteil der gemessenen CO2-Emissionen wird anhand von Berechnungen ermittelt und aus den Gesamtemissionen herausgerechnet. Das Ergebnis ist in Form eines Memo-Items mitzuteilen (siehe Abschnitt 14 dieses Anhangs).

6.2. Ebenen für Messmethoden

Der Anlagenbetreiber muss für jede Emissionsquelle, die in der Genehmigung für die Emission von Treibhausgasen aufgelistet ist und für die Treibhausgasemissionen durch KEMS bestimmt werden, stets die höchsten Ebenen gemäß den Anhängen XII und XIII wählen.

Nur wenn der zuständigen Behörde glaubhaft nachgewiesen werden kann, dass die höchste Ebene technisch nicht machbar ist oder zu unverhältnismäßig hohen Kosten führen würde, kann für die betreffende Emissionsquelle auf die nächst niedrigere Ebene zurückgegriffen werden. Folglich muss die gewählte Ebene für jede Emissionsquelle stets die höchste Genauigkeit reflektieren, die technisch machbar ist und keine unverhältnismäßig hohen Kosten verursacht. Das gewählte Ebenenkonzept muss von der zuständigen Behörde genehmigt werden (siehe Abschnitt 4.3).

Für den Berichtszeitraum 2008-2012 ist für CO2-Emissionen zumindest Ebene 2 gemäß Anhang XII und sind für N2O-Emissionen die Mindestebenen gemäß Anhang XIII anzuwenden, sofern dies technisch machbar ist.

6.3. Weitere Verfahren und Anforderungen 11

  1. Häufigkeit der Probenahmen

    Gemäß den Anhängen XII und XIII werden (gegebenenfalls) für alle Parameter der Emissionsermittlung Stundenmittelwerte ('gültige Stundendaten') errechnet, wobei alle in der betreffenden Stunde ermittelten Einzelwerte verwendet werden. Ist ein Gerät während der betreffenden Stunde zeitweilig gestört oder außer Betrieb, so wird der Stundenmittelwert anhand der verbliebenen Einzelwerte dieser Stunde errechnet. Können für einen Parameter der Emissionsermittlung keine gültigen Stundendaten errechnet werden, weil weniger als 50 % der maximal möglichen Einzelmessungen je Stunde vorliegen, gilt die Stunde als verloren. Wann immer keine gültigen Stundendaten errechnet werden können, sind nach Maßgabe dieses Abschnitts Ersatzwerte zu berechnen.

  2. Fehlende Daten

    Können für ein oder mehrere Parameter der Emissionsermittlung keine gültigen Stundendaten errechnet werden, weil das Gerät gestört (z.B. wegen Kalibrier- oder Interferenzfehlern) oder außer Betrieb ist, so bestimmt der Anlagenbetreiber für jede fehlende Messstunde Ersatzwerte nach folgendem Schema:

    1. Konzentrationen

      Können für einen direkt als Konzentration gemessenen Parameter (z.B. THG, O2) keine gültigen Stundendaten aufgezeichnet werden, so wird ein Ersatzwert C*substfür die betreffende Stunde wie folgt berechnet:

      wobei:

       = das arithmetische Mittel der Konzentration des betreffenden Parameters,

      σc_ = die bestmögliche Schätzung der Standardabweichung der Konzentration des betreffenden Parameters.

      Arithmetisches Mittel und Standardabweichung sind am Ende des Berichtszeitraums anhand des gesamten Satzes an Emissionsdaten zu berechnen, die während des Berichtszeitraums gemessen wurden. Entfällt ein Zeitraum wegen grundlegenden technischen Veränderungen innerhalb der Anlage, so wird mit der zuständigen Behörde ein (möglichst einjähriger) repräsentativer Zeitrahmen vereinbart.

      Die Berechnung des arithmetischen Mittels und der Standardabweichung ist der Prüfstelle vorzulegen.

    2. Andere Parameter

      Können für nicht direkt als Konzentration gemessene Parameter keine gültigen Stundendaten ermittelt werden, so werden die Ersatzwerte für diese Parameter nach dem Massenbilanzansatz oder der Energiebilanzmethode für den Prozess berechnet. Zur Bestätigung der Ergebnisse werden die anderen gemessenen Parameter der Emissionsermittlung herangezogen.

      Der Massenbilanzansatz bzw. die Energiebilanzmethode und die ihnen zugrunde liegenden Annahmen sind genau zu dokumentieren und der Prüfstelle zusammen mit den Berechnungsergebnissen vorzulegen.

  3. Flankierende Emissionsberechnung

    Flankierend zur Emissionsermittlung durch Messung gemäß den Anhängen XII und XIII werden die Jahresemissionen der betreffenden THG nach einer der folgenden Berechnungsmethoden bestimmt:

    1. Berechnung nach Maßgabe des für die jeweilige Tätigkeit geltenden Anhangs, wobei für die Emissionsberechnung generell niedrigere Ebenen (d. h. zumindest jedoch Ebene 1) angewandt werden können; oder
    2. Berechnung nach Maßgabe der IPCC-Leitlinien von 2006, z.B. nach Methoden der Ebene 1.

    Zwischen den Ergebnissen aus Mess- und Berechnungsansatz können Abweichungen auftreten. Der Anlagenbetreiber prüft die Abweichungen zwischen Mess- und Berechnungsergebnissen und berücksichtigt dabei, dass die Abweichung durch die Anwendung zweier verschiedener Methoden bedingt sein kann. Unter Berücksichtigung dieser Abweichung verwenden die Anlagenbetreiber die Berechnungsergebnisse, um die Messergebnisse gegen zu prüfen.

    Der Anlagenbetreiber ermittelt und übermittelt im jährlichen Emissionsbericht relevante Daten, soweit sie vorliegen, oder bestmögliche Schätzungen für Tätigkeitsdaten, untere Heizwerte, Emissionsfaktoren, Oxidationsfaktoren und andere Parameter, die zur Ermittlung von Emissionen gemäß den Anhängen II bis XI sowie den Anhängen XVI bis XXIV herangezogen werden; ggf. wird dabei auf Laboranalysen zurückgegriffen. Die jeweiligen Ansätze sowie die gewählte Methode zur flankierenden Berechnung sind im Monitoringkonzept festzulegen und müssen von der zuständigen Behörde genehmigt werden.

    Wird beim Vergleich mit den Berechnungsergebnissen klar, dass die Messergebnisse nicht stichhaltig sind, so greift der Anlagenbetreiber auf die in diesem Abschnitt vorgesehenen Ersatzwerte zurück (außer im Falle der Überwachung gemäß Anhang XIII).

7. Unsicherheitsbewertung

7.1. Berechnung 11

Dieser Abschnitt gilt vorbehaltlich der Regelungen von Abschnitt 16 dieses Anhangs. Der Anlagenbetreiber muss sich bei der Emissionsberechnung über die wichtigsten Unsicherheitsquellen im Klaren sein.

Nach Maßgabe der Berechnungsmethode gemäß Abschnitt 5.2 hat die zuständige Behörde die Ebenenkombination für die einzelnen Stoffströme der betreffenden Anlage wie auch alle anderen Details der Überwachungsmethode für die Anlage, wie sie aus der Emissionsgenehmigung der Anlage bzw. - bei Luftverkehrstätigkeiten - aus dem Überwachungsplan des Luftfahrzeugbetreibers hervorgehen, genehmigt. Im Zuge dieser Genehmigung billigt die zuständige Behörde gleichzeitig auch die Unsicherheiten, die aus der korrekten Anwendung der genehmigten Überwachungsmethode entstehen. Dies ergibt sich aus dem Inhalt der Genehmigung bzw. - bei Luftverkehrstätigkeiten - aus dem genehmigten Überwachungsplan. Die Angabe der Ebenenkombination im Emissionsbericht gilt als Berichterstattung über die Unsicherheit im Sinne der Richtlinie 2003/87/EG. Folglich werden bei der Quantifizierung von Emissionen auf Basis der vorgegebenen Berechnungsmethoden keine weiteren Anforderungen in Bezug auf die Meldung von Unsicherheiten gestellt.

Die Unsicherheit, die für die im Rahmen des Ebenenkonzepts angewandten Messeinrichtungen ermittelt wird, umfasst die angegebene Unsicherheit der eingesetzten Messgeräte, Unsicherheiten im Zusammenhang mit der Kalibrierung sowie alle weiteren Unsicherheiten, die sich aus dem Einsatz der Messgeräte in der Praxis ergeben. Die im Rahmen des Ebenenkonzeptes vorgegebenen Schwellenwerte beziehen sich auf die Unsicherheit in Bezug auf den Wert für einen Berichtszeitraum.

Für kommerzielle Brennstoffe bzw. kommerzielle Materialien kann die zuständige Behörde genehmigen, dass der Anlagenbetreiber den jährlichen Brennstoff-/Materialstrom ausschließlich auf der Grundlage der in Rechnung gestellten Brennstoff- bzw. Materialmenge bestimmt, ohne dass damit verbundene Unsicherheiten einzeln nachgewiesen werden müssen, vorausgesetzt, durch nationale Rechtsvorschriften oder die nachweisliche Anwendung maßgeblicher nationaler oder internationaler Normen ist gewährleistet, dass im Handelsgeschäft die jeweiligen Unsicherheitsanforderungen für Tätigkeitsdaten erfüllt sind.

In allen anderen Fällen ist der Betreiber gehalten, den Unsicherheitsgrad im Zusammenhang mit der Bestimmung von Tätigkeitsdaten für jeden Stoffstrom schriftlich zu belegen, um Übereinstimmung mit den in den Anhängen II - XI sowie in den Anhängen XIV bis XXIV dieser Monitoring-Leitlinien festgelegten Unsicherheitsschwellen nachzuweisen. Die Anlagenbetreiber stützen ihre Berechnungen auf die Spezifikationen der Messgerätehersteller. Liegen keine Spezifikationen vor, so veranlasst der Anlagenbetreiber, dass eine Unsicherheitsbewertung für das Messinstrument vorgenommen wird. Dabei berücksichtigt er in beiden Fällen notwendige Korrekturen dieser Spezifikationen, die im Zuge der praktischen Anwendung des Geräts durch Alterung, Umgebungsbedingungen, Kalibrierung und Wartung möglicherweise erforderlich werden. Diese Korrekturen können mit einer konservativen Sachverständigenbeurteilung einhergehen.

Soweit Messsysteme angewandt werden, tragen die Anlagenbetreiber der kumulativen Wirkung aller Komponenten des Messsystems auf die Unsicherheit der jährlichen Tätigkeitsdaten mit Hilfe des Fehlerfortpflanzungsgesetzes 5 Rechnung, das zwei geeignete Regeln für das Kombinieren unkorrelierter Unsicherheiten bei Addition und Multiplikation oder für das Erreichen konservativer Angleichungen enthält, soweit voneinander abhängige Unsicherheiten auftreten:

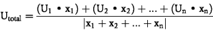
  1. bei Unsicherheit einer Summe (z.B. einzelne Beiträge zu einem Jahreswert):

    bei unabhängigen Unsicherheiten:

    bei voneinander abhängigen Unsicherheiten:

    wobei

    Utotal: die Unsicherheit der Summe, ausgedrückt als Prozentsatz;

    xiund Ui: die unsicheren Größen bzw. der Prozentsatz der mit ihnen assoziierten Unsicherheiten.

  2. bei Unsicherheit eines Produktes (z.B. unterschiedlicher Parameter, die zur Umrechnung eines Messergebnisses in Massenstromdaten verwendet werden):

bei unabhängigen Unsicherheiten:

bei voneinander abhängigen Unsicherheiten:

Utotal= U1+ U2+ ...+ Un

wobei

Utotal: die Unsicherheit des Produktes, ausgedrückt als Prozentsatz;
Ui: der Prozentsatz der mit den einzelnen Größen assoziierten Unsicherheiten.

Der Anlagenbetreiber ist gehalten, in seinem Emissionsbericht die verbleibenden Unsicherheiten für die Emissionsdaten im Verfahren zur Qualitätssicherung und Qualitätskontrolle zu behandeln und zu verringern. Im Rahmen der Prüfung kontrolliert die Prüfstelle die korrekte Anwendung der genehmigten Überwachungsmethode und bewertet ferner die Handhabung bzw. Reduzierung der verbleibenden Unsicherheiten im Rahmen des vom Anlagenbetreiber angewandten Verfahrens zur Qualitätssicherung und Qualitätskontrolle.

7.2. Messung

Wie bereits in Abschnitt 4.2 beschrieben, kann ein Anlagenbetreiber die Anwendung der Messmethodik dadurch begründen, dass diese zuverlässig eine niedrigere Unsicherheit in sich birgt als die entsprechende Berechnungsmethodik (siehe Abschnitt 4.2) oder er muss eine Messmethode gemäß Anhang XIII anwenden. Um der zuständigen Behörde diesen Nachweis zu erbringen, melden die Anlagenbetreiber die quantitativen Ergebnisse einer umfassenderen Unsicherheitsanalyse, wobei unter Berücksichtigung von EN 14181 folgenden Unsicherheitsquellen Rechnung getragen wird:

Auf Basis der Begründung des Anlagenbetreibers kann die zuständige Behörde den Einsatz eines Systems zur kontinuierlichen Emissionsmessung für bestimmte oder alle Emissionsquellen innerhalb der Anlage wie auch alle anderen Details der für diese Emissionsquelle angewandten Überwachungsmethode, wie sie in der Emissionsgenehmigung der Anlage enthalten sein müssen, genehmigen. Auf diese Weise hat die zuständige Behörde den Unsicherheiten zugestimmt, die sich direkt aus der korrekten Anwendung der genehmigten Überwachungsmethode ergeben; der Beleg dieser Anerkennung ist der Inhalt der Genehmigung.

Der Anlagenbetreiber verwendet den Unsicherheitswert, der sich aus dieser ersten umfassenden Unsicherheitsbewertung ergibt, für die betreffenden Emissionsquellen und Stoffströme so lange in seinem jährlichen Emissionsbericht an die zuständige Behörde, bis die zuständige Behörde seine Entscheidung für die Messung und gegen die Berechnung überprüft und eine Neuberechnung des Unsicherheitswertes anfordert. Die Angabe dieses Unsicherheitswertes im Emissionsbericht gilt als Meldung einer Unsicherheit im Sinne der Richtlinie 2003/87/EG.

Der Anlagenbetreiber ist gehalten, die verbleibenden Unsicherheiten für die Emissionsdaten in seinem Emissionsbericht im Verfahren zur Qualitätssicherung und Qualitätskontrolle zu behandeln und zu verringern. Im Rahmen der Prüfung kontrolliert die Prüfstelle die korrekte Anwendung der genehmigten Überwachungsmethode und bewertet ferner die Handhabung bzw. Reduzierung der verbleibenden Unsicherheiten im Rahmen des vom Anlagenbetreiber angewandten Verfahrens zur Qualitätssicherung und Qualitätskontrolle.

8. Berichterstattung 11

Anhang IV der Richtlinie 2003/87/EG regelt die Berichterstattung für Anlagen und Luftfahrzeugbetreiber. Das in Abschnitt 14 dieses Anhangs vorgesehene Format des Berichts und die erforderlichen Angaben dienen als Grundlage für die Meldung quantitativer Daten, es sei denn, die EU-Kommission hat ein gleichwertiges Standardprotokoll für die elektronische Übermittlung des jährlichen Emissionsberichts veröffentlicht. Ist in einem tätigkeitsspezifischen Anhang ein Berichtsformat vorgegeben, so ist für die Berichterstattung dieses Format zu verwenden und müssen die darin vorgeschriebenen Angaben gemacht werden.

Der Emissionsbericht erstreckt sich auf die Jahresemissionen eines Kalenderjahres in einem Berichtszeitraum.

Der Bericht ist nach den von den Mitgliedstaaten gemäß Anhang V der Richtlinie 2003/87/EG festgelegten Verfahrensvorschriften zu prüfen. Die Anlagenbetreiber haben der zuständigen Behörde bis zum 31. März jeden Jahres einen geprüften Bericht über die Emissionen des Vorjahres vorzulegen.

Die Emissionsberichte, die der zuständigen Behörde vorliegen, werden von dieser gemäß der Richtlinie 2003/4/EG des Europäischen Parlaments und des Rates vom 28. Januar 2003 über den Zugang der Öffentlichkeit zu Umweltinformationen und zur Aufhebung der Richtlinie 90/313/EWG des Rates 6 veröffentlicht. Was die Anwendung der Ausnahmeregelung gemäß Artikel 4 Absatz 2 Buchstabe d) der Richtlinie anbelangt, so können die Anlagenbetreiber in ihren Emissionsberichten Angaben, die sie für sensible Geschäftsinformationen halten, entsprechend kennzeichnen.

Jeder Anlagenbetreiber muss in einem Bericht über eine Anlage Folgendes mitteilen:

(1) Angaben zur Anlage im Sinne von Anhang IV der Richtlinie 2003/87/EG und die eindeutige Genehmigungsnummer der Anlage;

(2) für alle Emissionsquellen und/oder Stoffströme: die Gesamtemissionen, den gewählten Ansatz (Messung oder Berechnung), die gewählten Ebenen sowie ggf. die gewählte Methode, Tätigkeitsdaten 7, Emissionsfaktoren 8 und Oxidations-/Umsetzungsfaktoren 9. Die folgenden Informationen, deren Angabe nicht unter "Emissionen" vorgesehen ist, sind in Form von Memo-Items zu melden: Mengen der verbrannten Biomasse [TJ] bzw. der in Prozessen eingesetzten Biomasse [t oder Nm3]; CO2-Emissionen [t CO2] aus Biomasse, sofern die Emissionsermittlung durch Messung erfolgt; aus einer Anlage weitergeleitetes CO2[t CO2]; die Anlage als Teil eines Brennstoffs verlassendes inhärentes CO2;

(3) beziehen sich Emissionsfaktoren und Tätigkeitsdaten für Brennstoffe auf die Masse und nicht auf den Energiegehalt, so teilt der Anlagenbetreiber für den durchschnittlichen jährlichen unteren Heizwert und Emissionsfaktor für die einzelnen Brennstoffe zusätzliche Proxywerte mit "Proxywerte" sind - empirisch oder durch anerkannte Quellen untermauerte - Jahreswerte, mit denen Werte für Variablen (z.B. Brennstoff-/Materialstrom, unterer Heizwert oder Emissions-, Oxidations- oder Umsetzungsfaktoren), die für die Standardberechnung gemäß den Anhängen I - XI erforderlich sind, eingesetzt werden, um eine vollständige Berichterstattung zu gewährleisten, wenn die Überwachungsmethode nicht alle erforderlichen Variablen hervorbringt;

(4) bei Anwendung eines Massenbilanzansatzes Angaben zu den Massenströmen, dem Kohlenstoff- und Energiegehalt eines jeden Brennstoff- und Stoffstroms in die bzw. aus der Anlage, einschließlich Änderungen des Lagerbestandes;

(5) bei kontinuierlicher Emissionsüberwachung (Anhang XII) teilen die Anlagenbetreiber die fossilen CO2-Jahresemissionen sowie alle CO2-Emissionen aus der Verwendung von Biomasse mit. Sie übermitteln ferner ergänzende Proxywerte für den durchschnittlichen jährlichen unteren Heizwert und Emissionsfaktor für die einzelnen Brennstoffe oder diesbezügliche andere relevante Parameter für Materialien und Produkte, die durch flankierende Berechnungen bestätigt wurden;

(6) wird auf ein Fallback-Konzept im Sinne von Abschnitt 5.3 zurückgegriffen, so übermitteln die Anlagenbetreiber ergänzende Proxywerte zu jedem Parameter, für den das Konzept die gemäß den Anhängen I bis XI sowie XVI bis XXIV erforderlichen Daten nicht erbringt;

(7) werden Brennstoffe eingesetzt, Emissionen jedoch als Prozessemissionen berechnet, so übermitteln die Anlagenbetreiber ergänzende Proxywerte zu den diesbezüglichen Variablen der Standardemissionsberechnung von Verbrennungsemissionen für diese Brennstoffe;

(8) Angaben zu zeitweiligen oder dauerhaften Änderungen in Bezug auf die gewählten Ebenen, die Gründe für die Änderungen sowie Beginn und Ende der zeitweiligen Änderungen;

(9) Angaben zu allen anderen Änderungen, die während des Berichtszeitraums an der Anlage vorgenommen wurden und die für den Emissionsbericht von Belang sind.

(10) gegebenenfalls die Menge CO2, die an andere Anlagen weitergeleitet oder von anderen Anlagen empfangen wurde, unter Angabe der in der Verordnung gemäß Artikel 19 der Richtlinie 2003/87/EG definierten Kennummer der Anlage.

(11) gegebenenfalls die Produktionsmenge Primäraluminium, die Häufigkeit und mittlere Dauer der Anodeneffekte im Berichtszeitraum oder die Werte der Anodeneffekt-Überspannung im Berichtszeitraum sowie die Ergebnisse der in Anhang XXIV beschriebenen, aktuellsten Bestimmung der anlagenspezifischen Emissionsfaktoren für CF4 und C2F6 und die neueste Bestimmung der Abscheideleistung der Leitungen

Die zuständige Behörde kann den Betreibern von CO2 -Speicherstätten gestatten, nach deren Schließung vereinfachte Emissionsberichte vorzulegen, die mindestens die in den Nummern 1 und 9 genannten Angaben enthalten, sofern die Genehmigung zur Emission von Treibhausgasen keine Emissionsquellen enthält.

Die Angaben zu den Punkten 8 und 9 und die ergänzenden Informationen unter den Punkten 2 und 11 eignen sich nicht zur Vorlage in tabellarischer Form; sie sind im jährlichen Emissionsbericht daher in normalem Textformat zu übermitteln.

Brennstoffe und die resultierenden Emissionen sind in Form von IPCC-Brennstoffkategorien (siehe Abschnitt 11 dieses Anhangs) mitzuteilen, die auf den diesbezüglichen Definitionen der Internationalen Energie-Agentur beruhen. Für den Fall, dass der für den Anlagenbetreiber relevante Mitgliedstaat eine Liste von Brennstoffkategorien, einschließlich Definitionen und Emissionsfaktoren, veröffentlicht hat, die dem letzten Nationalen Treibhausgasinventar, das dem Sekretariat der Klimarahmenkonvention der Vereinten Nationen übermittelt wurde, entsprechen, sind diese Kategorien und ihre Emissionsfaktoren zu verwenden, sofern sie für die einschlägige Überwachungsmethode genehmigt wurden.

Ferner sind Abfallarten und Emissionen mitzuteilen, die bei der Verwendung von Abfällen als Brenn- oder Einsatzstoffe entstehen. Die Abfallarten sind unter Verwendung der Klassifikation des "Europäischen Abfallverzeichnisses" gemäß der Entscheidung 2000/532/EG der Kommission vom 3. Mai 2000 zur Ersetzung der Entscheidung 94/3/EG über ein Abfallverzeichnis gemäß Artikel 1 Buchstabe a) der Richtlinie 75/442/EWG des Rates über Abfälle und der Entscheidung 94/904/EG des Rates über ein Verzeichnis gefährlicher Abfälle im Sinne von Artikel 1 Absatz 4 der Richtlinie 91/689/EWG über gefährliche Abfälle 10 zu übermitteln. Der jeweilige sechsstellige Code ist den Bezeichnungen der Abfallarten nachzustellen, die in der Anlage verwendet werden.

Emissionen, die aus verschiedenen Quellen oder von gleichartigen Stoffströmen innerhalb einer Anlage stammen und ein und derselben Tätigkeit zuzuordnen sind, können für die jeweilige Tätigkeit in aggregierter Form gemeldet werden.

Emissionen werden gerundet in Tonnen CO2 oder CO2(Ä) mitgeteilt (Beispiel: 1.245.978 Tonnen). Tätigkeitsdaten, Emissionsfaktoren und Oxidations- oder Umsetzungsfaktoren sind so zu runden, dass die Werte nur für die Emissionsberechnung bzw. die Berichterstattung signifikante Stellen aufweisen.

Um Übereinstimmung der gemäß der Richtlinie 2003/87/EG mitgeteilten Daten mit den Daten, die die Mitgliedstaaten im Rahmen der Klimarahmenkonvention der Vereinten Nationen übermitteln, sowie mit anderen Emissionsdaten, die im Rahmen des Europäischen Schadstofffreisetzungs- und verbringungsregisters (EPRTR) übermittelt werden, zu gewährleisten, sind alle in einer Anlage oder von einem Luftfahrzeugbetreiber durchgeführten Tätigkeiten gegebenenfalls mit den Codes der beiden folgenden Berichterstattungssysteme auszuweisen:

  1. dem Code des "Common Repoting Format" für nationale Treibhausgasinventare, das von den zuständigen Stellen der Klimarahmenkonvention der Vereinten Nationen angenommen wurde (siehe Abschnitt 15.1 dieses Anhangs);
  2. dem IPPC-Code gemäß Anhang I der Verordnung (EG) Nr. 166/2006 des Europäischen Parlaments und des Rates vom 18. Januar 2006 über die Schaffung eines Europäischen Schadstofffreisetzungs- und -verbringungsregisters (siehe Abschnitt 15.2 dieses Anhangs).

9. Aufbewahrung von Informationen 11

Die Betreiber dokumentieren und archivieren die Daten aus der Überwachung der Treibhausgasemissionen der Anlage bzw. des Luftfahrzeugbetreibers aus sämtlichen Quellen und/oder Brennstoff-/Materialströmen, die im Zusammenhang mit den in Anhang I der Richtlinie 2003/87/EG genannten Tätigkeiten entstehen.

Die dokumentierten und archivierten Überwachungsdaten müssen ausreichen, damit der jährliche Emissionsbericht, den der Anlagen- bzw. Luftfahrzeugbetreiber gemäß Artikel 14 Absatz 3 der Richtlinie 2003/87/EG vorlegt, nach den Kriterien gemäß Anhang V der Richtlinie geprüft werden kann.

Daten, die nicht Teil des jährlichen Emissionsberichts sind, müssen nicht mitgeteilt oder anderweitig veröffentlicht werden.

Damit die Prüfstelle oder sonstige Dritte die Emissionsbestimmung nachvollziehen können, bewahren die Betreiber nach der Übermittlung des Berichts an die zuständige Behörde gemäß Artikel 14 Absatz 3 der Richtlinie 2003/87/EG für jedes Berichtsjahr die folgenden Informationen mindestens zehn Jahre lang auf:

Bei Emissionsberechnung:

Bei Emissionsmessung müssen zusätzlich die folgenden Informationen aufbewahrt werden:

Für Luftverkehrstätigkeiten müssen zusätzlich die folgenden Informationen aufbewahrt werden:

Zu der Abscheidung, dem Transport und der geologischen Speicherung von CO2 müssen zusätzlich die folgenden Informationen aufbewahrt werden:

Für die Herstellung von Primäraluminium müssen zusätzlich die folgenden Informationen aufbewahrt werden:

10. Kontrolle und Prüfung

Die Kontrolle und Prüfung von Emissionen erfolgen vorbehaltlich des Abschnitts 16 dieses Anhangs.

10.1. Datenerhebung und Datenverwaltung

Zur Überwachung und Meldung von Treibhausgasemissionen in Einklang mit dem genehmigten Monitoringkonzept, der Emissionsgenehmigung und den vorliegenden Monitoring-Leitlinien errichtet, dokumentiert, implementiert und unterhält der Anlagenbetreiber ein effizientes Datenerhebungs- und Datenverwaltungssystem. Diese Datenflussaktivitäten umfassen das Messen, Überwachen, Analysieren, Aufzeichnen, Auswerten und Berechnen von Parametern mit dem Ziel, über die Treibhausgasemissionen Bericht erstatten zu können.

10.2. Kontrollsystem

Die Anlagenbetreiber errichten, dokumentieren, implementieren und unterhalten ein effizientes Kontrollsystem, das gewährleistet, dass der auf Basis der Datenflusstätigkeiten erstellte jährliche Emissionsbericht keine Falschangaben enthält und mit dem genehmigten Monitoringkonzept, der Emissionsgenehmigung und den vorliegenden Monitoring-Leitlinien in Einklang steht.

Das Kontrollsystem des Anlagenbetreibers umfasst die Prozesse, die für eine wirksame Überwachung und Berichterstattung erforderlich sind, wie sie von den für die jährlichen Emissionsberichte Verantwortlichen konzipiert und umgesetzt werden. Das Kontrollsystem besteht aus folgenden Komponenten:

  1. eine Bewertung der inhärenten Risiken und Kontrollrisiken durch den Anlagenbetreiber in Bezug auf Fehler, Falschdarstellungen oder Unterlassungen (Falschangaben) im jährlichen Emissionsbericht und etwaiger Nichtkonformitäten gegenüber dem genehmigten Monitoringkonzept, der Emissionsgenehmigung und den vorliegenden Monitoring-Leitlinien;
  2. Kontrolltätigkeiten, die dazu beitragen, festgestellte Risiken zu mindern.

Der Anlagenbetreiber bewertet und verbessert sein Kontrollsystem, um sicherzustellen, dass der jährliche Emissionsbericht keine wesentlichen Falschangaben oder wesentlichen Nichtkonformitäten enthält. Diese Bewertung umfasst interne Prüfungen des Systems als solchem und der berichteten Daten. Das Kontrollsystem kann sich auf andere Verfahren und Dokumente stützen, die u. a. im Gemeinschaftssystem für Umweltmanagement und Umweltbetriebsprüfung ( EMAS), der ISO-Norm 14001:2004 ("Umweltmanagementsysteme - Spezifikation zur Anleitung zur Anwendung"), der ISO-Norm 9001:2000 und in Finanzkontrollsystemen vorgesehen sind. Im diesem Falle trägt der Anlagenbetreiber dafür Sorge, dass den Anforderungen des genehmigten Monitoringkonzepts, der Emissionsgenehmigung und der vorliegenden Monitoring-Leitlinien in dem jeweils angewandten System Rechnung getragen wird.

10.3. Kontrolltätigkeiten

Zur Kontrolle und Minderung von inhärenten Risiken und Kontrollrisiken im Sinne von Kapitel 10.2 definiert und implementiert der Anlagenbetreiber seine Kontrolltätigkeiten nach den Verfahrensvorschriften der Abschnitte 10.3.1 bis 10.3.6.

10.3.1. Verfahren und Zuständigkeiten

Der Anlagenbetreiber verteilt für sämtliche Datenfluss- und Kontrollaktivitäten entsprechende Zuständigkeiten. Kollidierende Aufgaben, einschließlich Datenverarbeitungs- und Kontrollaktivitäten, werden wann immer möglich, getrennt. Falls dies nicht möglich ist, werden alternative Kontrollen vorgesehen.

Der Anlagenbetreiber dokumentiert die Datenflussaktivitäten gemäß Abschnitt 10.1 und die Kontrollaktivitäten gemäß den Abschnitten 10.3.2 bis 10.3.6, einschließlich

Jedes dieser Verfahren umfasst (gegebenenfalls) folgende Elemente:

Die Verfahren müssen für die Minderung der identifizierten Risiken geeignet sein.

10.3.2. Qualitätssicherung

Der Anlagenbetreiber trägt dafür Sorge, dass alle maßgeblichen Messeinrichtungen, auch vor ihrer Verwendung, im Hinblick auf die gemäß Abschnitt 10.2 identifizierten Risiken in regelmäßigen Abständen kalibriert, justiert und kontrolliert sowie anhand von Messstandards kontrolliert werden, die auf international anerkannten Standards - so vorhanden - beruhen. Der Anlagenbetreiber hält im Monitoringkonzept fest, wenn bestimmte Teile der Messeinrichtungen nicht kalibriert werden können, und schlagen in diesem Falle alternative Kontrollen vor, die von der zuständigen Behörde genehmigt werden müssen. Stellt sich heraus, dass Messeinrichtungen den Anforderungen nicht entsprechen, so treffen die Anlagenbetreiber unverzüglich die erforderlichen Korrekturmaßnahmen. Aufzeichnungen über Kalibrier- und Authentifikationsergebnisse sind 10 Jahre lang aufzubewahren.

Soweit die Anlagenbetreiber Informationstechnologien, einschließlich Computer-Prozesskontrollen, anwenden, sind diese so zu konzipieren, zu dokumentieren, zu testen, zu implementieren, zu kontrollieren und zu unterhalten, dass eine verlässliche, genaue und zeitgerechte Datenverarbeitung gewährleistet ist, die den gemäß Abschnitt 10.2 identifizierten Risiken Rechnung trägt. Dies beinhaltet die vorschriftsmäßige Anwendung der im Monitoringkonzept vorgegebenen Berechnungsformeln. Zur Kontrolle von Informationstechnologien gehören Zugriffskontrolle, Backup, Wiederherstellung von Daten, Kontinuitätsplanung und Sicherheit.

10.3.3. Überprüfung und Validierung von Daten

Zur Handhabung des Datenflusses veranlasst der Anlagenbetreiber, dass die Daten entsprechend den gemäß Abschnitt 10.2 identifizierten Risiken überprüft und validiert werden. Die Validierung kann manuell oder elektronisch erfolgen. Sie ist so konzipiert, dass die Grenzen für die Zurückweisung von Daten, soweit möglich, von vornherein klar sind.

Einfache und wirkungsvolle Datenüberprüfungen lassen sich auf operationeller Ebene durch den Vergleich von Überwachungswerten nach vertikalen und horizontalen Ansätzen durchführen.

Beim vertikalen Ansatz werden die in einer Anlage oder von einem Luftfahrzeugbetreiber überwachten Emissionsdaten verschiedener Jahre miteinander verglichen. Ein Überwachungsfehler ist wahrscheinlich, wenn sich Abweichungen zwischen den in den verschiedenen Jahren gemessenen Daten nicht erklären lassen durch

Beim horizontalen Ansatz werden Werte aus verschiedenen operationellen Datenerfassungssystemen miteinander verglichen:

10.3.4. Ausgelagerte Prozesse

Entscheidet sich ein Anlagenbetreiber, bestimmte Prozesse im Datenfluss auszulagern, so kontrolliert er die Qualität dieser Prozesse entsprechend den gemäß Abschnitt 10.2 identifizierten Risiken. Er legt angemessene Anforderungen in Bezug auf Ergebnisse und Methoden fest und überprüft die erzielte Qualität.

10.3.5. Berichtigungen und Korrekturmassnahmen

Soweit bestimmte Aspekte der Datenfluss- oder Kontrollaktivitäten (Gerät, Anlage, Mitarbeiter, Lieferant, Verfahren o.ä.) nicht reibungslos oder nur außerhalb vorgegebener Grenzen funktionieren, trifft der Anlagenbetreiber umgehend alle geeigneten Vorkehrungen, um die abgelehnten Daten zu berichtigen. Er prüft die Gültigkeit der Ergebnisse der jeweiligen Schritte, ermittelt die Hauptursache des Defekts oder Funktionsfehlers und trifft entsprechende Korrekturmaßnahmen.

Die in diesem Abschnitt vorgesehenen Tätigkeiten sind in Übereinstimmung mit Abschnitt 10.2 (risikoorientierter Ansatz) durchzuführen.

10.3.6. Aufzeichnungen und Dokumentation

Um Konformität nachweisen und gewährleisten sowie berichtete Emissionsdaten nachvollziehen zu können, bewahren die Anlagenbetreiber Aufzeichnungen über sämtliche Kontrollaktivitäten (einschließlich Qualitätssicherung/Qualitätskontrolle von Geräten und Informationstechnologien, Überprüfung und Validierung von Daten und Berichtigungen) sowie alle unter Abschnitt 9 dieses Anhangs genannten Informationen mindestens 10 Jahre lang auf.

Der Anlagenbetreiber trägt dafür Sorge, dass maßgebliche Dokumente immer dann und dort zur Verfügung stehen, wo sie zur Durchführung der Datenfluss- und Kontrollaktivitäten benötigt werden. Der Anlagenbetreiber muss über ein Verfahren verfügen, um die benötigte Version dieser Dokumente identifizieren, erstellen, verteilen und kontrollieren zu können.

Die in diesem Abschnitt vorgesehenen Tätigkeiten sind in Übereinstimmung mit dem risikoorientierten Ansatz gemäß Abschnitt 10.2 durchzuführen.

10.4. Prüfung

10.4.1. Allgemeine Grundsätze

Mit der Prüfung soll sichergestellt werden, dass Emissionen nach Maßgabe dieser Monitoring-Leitlinien überwacht wurden und gemäß Artikel 14 Absatz 3 der Richtlinie 2003/87/EG verlässliche und korrekte Emissionsdaten berichtet werden. Die Mitgliedstaaten tragen bei dieser Prüfung den im Rahmen des Abkommens für eine Europäische Zusammenarbeit für Akkreditierung (European Cooperation for Accreditation, EA) herausgegebenen Leitlinien Rechnung.

Vorbehaltlich der Bestimmungen von Kapitel 10.4.2 Buchstabe e) werden die Ergebnisse der Prüfung in einem Prüfgutachten festgehalten, aus dem hervorgeht, ob mit hinreichender Sicherheit die Daten im Emissionsbericht keine wesentlichen Falschangaben enthalten und ob keine wesentlichen Nichtkonformitäten vorliegen.

Der Betreiber legt der Prüfstelle den Emissionsbericht, eine Kopie des oder der genehmigten Überwachungspläne sowie alle weiteren Informationen vor, die von Belang sein könnten.

Der Umfang der Prüfung hängt von den Aufgaben ab, die die Prüfstelle wahrnehmen muss, um das genannte Ziel zu erreichen. Die Prüfstelle führt jedoch zumindest die in Abschnitt 10.4.2 vorgesehenen Tätigkeiten durch.

10.4.2. Prüfmethode

Die Prüfstelle geht bei der Planung und Durchführung der Prüfung mit professioneller Skepsis vor; sie ist sich insbesondere darüber im Klaren, dass Umstände vorliegen können, die dazu führen, dass die Informationen im jährlichen Emissionsbericht wesentliche Falschangaben enthalten.

Die Prüfstelle nimmt die Prüfung in folgenden Schritten vor:

  1. Strategische Analyse

    Die Prüfstelle muss

    Die Prüfstelle führt die strategische Analyse so durch, dass sie die Risikoanalyse nach folgendem Schema vornehmen kann. Die strategische Analyse hat, soweit erforderlich, eine Besichtigung vor Ort einzuschließen.

  2. Risikoanalyse

    Die Prüfstelle muss

  3. Prüfung

    Im Rahmen der Prüfung nimmt die Prüfstelle, wenn dies zweckmäßig erscheint, eine Besichtigung vor Ort vor, um das Funktionieren von Messgeräten und Überwachungssystemen zu kontrollieren, Interviews durchzuführen und hinreichende Informationen und Belege zu erheben.

    Darüber hinaus muss die Prüfstelle

    Der Anlagenbetreiber hat alle beanstandeten Falschangaben zu berichtigen. Bei Stichproben wird die gesamte Grundgesamtheit korrigiert.

    Während des gesamten Prüfungsprozesses sucht die Prüfstelle nach Falschangaben und Nichtkonformitäten, indem sie prüft,

  4. Interner Prüfbericht

    Am Ende des Prüfungsprozesses erstellt die Prüfstelle einen internen Prüfbericht. Darin wird nachgewiesen, dass die strategische Analyse, die Risikoanalyse und der Prüfplan vollständig durchgeführt wurden, und es werden genügend Information gegeben, um das Prüfgutachten zu untermauern. Der interne Prüfbericht dient auch dazu, der zuständigen Behörde und der Akkreditierungsstelle eine etwaige Bewertung der Prüfung zu erleichtern.

    Auf der Grundlage der Feststellungen des internen Prüfberichts entscheidet die Prüfstelle, ob der jährliche Emissionsbericht gemessen an dem Schwellenwert für die Wesentlichkeit wesentliche Falschangaben enthält und ob wesentliche Nichtkonformitäten vorliegen oder andere Fragen offen stehen, die für das Prüfgutachten von Belang sind.

  5. Prüfbericht

    Die Prüfstelle fasst ihre Prüfungsmethode, ihre Feststellungen und ihr Prüfgutachten in einem an den Anlagenbetreiber adressierten Prüfbericht zusammen, den dieser zusammen mit dem jährlichen Emissionsbericht der zuständigen Behörde übermittelt. Ein jährlicher Emissionsbericht gilt als zufrieden stellend überprüft, wenn die Angaben zu den Gesamtemissionen keine wesentlichen Falschangaben enthalten und wenn nach Auffassung der Prüfstelle keine wesentlichen Nichtkonformitäten vorliegen. Im Falle unwesentlicher Nichtkonformitäten oder unwesentlicher Falschangaben kann die Prüfstelle diese im Prüfbericht vermerken als "Überprüfung zufrieden stellend bei unwesentlichen Nichtkonformitäten oder unwesentlichen Falschangaben". Sie kann dies auch in einem gesonderten Schreiben an das Management melden.

    Die Prüfstelle kann zu dem Schluss gelangen, dass ein jährlicher Emissionsbericht nicht als zufriedenstellend zu bestätigen ist, wenn sie wesentliche Nichtkonformitäten oder wesentliche Falschangaben (mit oder ohne Vorliegen wesentlicher Nichtkonformitäten) feststellt. Sie kann zu dem Schluss gelangen, dass ein jährlicher Emissionsbericht nicht zu bestätigen ist, wenn der Umfang der Prüfung eingeschränkt war (d. h. wenn Umstände verhindern oder eine Einschränkung vorlag, die verhindert, dass die Prüfstelle die Nachweise erhält, die sie benötigt, um das Prüfungsrisiko auf ein hinreichendes Niveau zu senken) und/oder wesentliche Unsicherheiten vorlagen.

    Die Mitgliedstaaten tragen dafür Sorge, dass die Anlagenbetreiber Nichtkonformitäten und Falschangaben nach Rücksprache mit der zuständigen Behörde innerhalb einer von der zuständigen Behörde gesetzten Frist beheben. Sie tragen ferner dafür Sorge, dass Meinungsunterschiede zwischen Anlagenbetreibern, Prüfstellen und zuständigen Behörden eine ordnungsgemäße Berichterstattung nicht verhindern und in Einklang mit der Richtlinie 2003/87/EG, diesen Monitoring-Leitlinien, den gemäß Anhang V der Richtlinie von den Mitgliedstaaten erlassenen Vorschriften und etwaigen nationalen Verfahrensvorschriften beigelegt werden.

11. Emissionsfaktoren

In diesem Abschnitt sind Referenzemissionsfaktoren für Ebene 1 festgelegt, die die Anwendung nicht tätigkeitsspezifischer Emissionsfaktoren bei der Brennstoffverbrennung ermöglichen. Sollte ein Brennstoff keiner bestehenden Kategorie angehören, so kann der Anlagenbetreiber den verwendeten Brennstoff nach bestem Wissen und vorbehaltlich der Genehmigung der zuständigen Behörde einer verwandten Brennstoffkategorie zuordnen.

Tabelle 4 Brennstoffemissionsfaktoren bezogen auf den unteren Heizwert (Hu) und massenbezogene untere Heizwerte

Brennstofftyp Emissionsfaktor
tCO2/TJ
Unterer Heizwert(Hu)
(TJ/Gg)
  2006 IPCC-Leitlinien
(ausgenommen Biomasse)
2006 IPCC-Leitlinien
Rohöl 73,3 42,3
Orimulsion 76,9 27,5
Flüssigerdgas 64,1 44,2
Benzin 69,2 44,3
Kerosin 71,8 43,8
Flugbenzin (AvGas)  70,0 44,3
Jetbenzin (JET B) 70,0 44,3
Jetkerosin (JET A1 oder JET A) 71,5 44,1
Schieferöl 73,3 38,1
Gas/Dieselkraftstoff 74,0 43,0
Rückstandsöl 77,3 40,4
Flüssiggas 63,0 47,3
Ethan 61,6 46,4
Naphtha 73,3 44,5
Bitumen 80,6 40,2
Schmieröl 73,3 40,2
Petrolkoks 97,5 32,5
Ausgangsmaterial für Raffinerien 73,3 43,0
Raffineriegas 51,3 49,5
Paraffinwachs 73,3 40,2
Raffinerie-Halbfertigerzeugnisse (White Spirit & SBP) 73,3 40,2
Andere Erdölerzeugnisse 73,3 40,2
Anthrazit 98,2 26,7
Kokskohle 94,5 28,2
Sonstige Fettkohle 94,5 25,8
Subbituminöse Kohle 96,0 18,9
Braunkohle 101,1 11,9
Ölschiefer und Teersand 106,6 8,9
Brennstofftyp Emissionsfaktor
tCO2/TJ
Unterer Heizwert(Hu)
(TJ/Gg)
  2006 IPCC-Leitlinien
(ausgenommen Biomasse)
2006 IPCC-Leitlinien
Patent fuels (Presskohle, Briketts) 97,5 20,7
Kokereikoks & Braunkohlenkoks 107,0 28,2
Gaskoks 107,0 28,2
Kohlenteer 80,6 28,0
Gas aus Gaswerken 44,7 38,7
Kokereigas 44,7 38,7
Gichtgas 259,4 2,5
Gas aus Sauerstoff-Blasstahlwerken 171,8 7,1
Erdgas 56,1 48,0
Industrieabfälle 142,9 keine Angabe
Altöle 73,3 40,2
Torf 105,9 9,8
Holz/Holzabfälle 0 15,6
Andere primäre feste Biomasse 0 11,6
Holzkohle 0 29,5
Biobenzin 0 27,0
Biodiesel 0 27,0
Andere flüssige Biokraftstoffe 0 27,4
Deponiegas 0 50,4
Klärgas 0 50,4
Anderes Biogas 0 50,4
  Sonstige Quellen: Sonstige Quellen:
Altreifen 85,0 keine Angabe
Kohlenmonoxid 155,2 10,1
Methan 54,9 50,0

12. Liste CO2-Neutraler Biomasse

Diese Liste enthält Materialien, die zum Zweck dieser Monitoring-Leitlinien als Biomasse angesehen und mit einem Emissionsfaktor von 0 [tCO2/TJ oder t oder Nm3] gewichtet werden. Torf und fossile Anteile der unten genannten Stoffe gelten nicht als Biomasse. Soweit visuell oder geruchlich keine Kontamination mit anderem Material oder anderen Brennstoffen festgestellt werden kann, brauchen keine Analysen durchgeführt zu werden, um die Reinheit von Stoffen der Gruppen 1 und 2 nachzuweisen:

Gruppe 1 - Pflanzen und Pflanzenteile:

Gruppe 2 - Biomasseabfälle, -produkte und -nebenprodukte:

Gruppe 3 - Biomasseanteile gemischter Materialien:

Gruppe 4 - Brennstoffe, deren Bestandteile und Zwischenprodukte insgesamt aus Biomasse erzeugt wurden:

13. Bestimmung Tätigkeitsspezifischer Daten und Faktoren

Dieser Abschnitt ist nur für die Teile dieser Monitoring-Leitlinien mit ausdrücklichem Verweis auf "Anhang I Abschnitt 13" verbindlich. Die Bestimmungen dieses Abschnitts gelten vorbehaltlich der Bestimmungen von Abschnitt 16 dieses Anhangs.

13.1. Bestimmung des unteren Heizwertes und der Emissionsfaktoren für Brennstoffe

Welches spezifische Verfahren zur Bestimmung des tätigkeitsspezifischen Emissionsfaktors einschließlich der Probenahmeverfahren für die konkrete Brennstoffart, Anwendung finden soll, ist vor Beginn des jeweiligen Berichtszeitraums, in dem es angewendet wird, mit der zuständigen Behörde abzustimmen.

Die Verfahrensvorschriften für die Brennstoffprobenahme und die Bestimmung des unteren Heizwertes, des Kohlenstoffgehalts und des Emissionsfaktors müssen, soweit vorhanden, einer genormten Methode entsprechen, die systematische Fehler bei Probenahme und Messung begrenzt und deren Messunsicherheit bekannt ist. Soweit verfügbar sind CEN-Normen zu verwenden. Sind keine einschlägigen CEN-Normen verfügbar, so sind geeignete ISO-Normen oder nationale Normen anzuwenden. Gibt es keine gültige Norm, so können gegebenenfalls Verfahren angewandt werden, die vorliegenden Normentwürfen oder den Leitlinien der Industrie für bewährte Praxis (Best Practice) entsprechen.

Folgende CEN-Normen sind relevant:

Folgende ISO-Normen sind relevant:

Als ergänzende nationale Normen für die Charakterisierung von Brennstoffen sind zu nennen:

Das Labor, das den Emissionsfaktor, den Kohlenstoffgehalt und den unteren Heizwert bestimmt, muss die Anforderungen gemäß Abschnitt 13.5 dieses Anhangs erfüllen. Es sei darauf hingewiesen, dass zum Erreichen einer angemessenen Genauigkeit tätigkeitsspezifischer Emissionsfaktoren (zusätzlich zur Genauigkeit des Analyseverfahrens zur Bestimmung des Kohlenstoffgehalts und des unteren Heizwertes) vor allem die Häufigkeit und das Verfahren der Probenahme sowie die Vorbereitung der Probe von entscheidender Bedeutung sind. Diese Parameter hängen insbesondere von der Beschaffenheit und der Homogenität des Brennstoffs/Materials ab. Bei heterogenen Stoffen (wie festen Siedlungsabfällen) wird eine sehr viel höhere Zahl von Proben erforderlich sein als bei den meisten handelsüblichen gasförmigen oder flüssigen Brennstoffen, bei denen die erforderliche Probenzahl sehr viel geringer sein kann.

Das Probenahmeverfahren und die Häufigkeit der Analysen für die Bestimmung des Emissionsfaktors, des Kohlenstoffgehalts und des unteren Heizwertes müssen den diesbezüglichen Vorgaben von Abschnitt 13.6 genügen.

Die Verfahren, die das mit der Bestimmung des Emissionsfaktors beauftragte Labor anwendet, und alle Laborergebnisse sind umfassend zu dokumentieren und aufzubewahren und der für die Prüfung des Emissionsberichts zuständigen Prüfstelle zur Verfügung zu stellen.

13.2. Bestimmung Tätigkeitsspezifischer Oxidationsfaktoren

Welches spezifische Verfahren zur Bestimmung des tätigkeitsspezifischen Oxidationsfaktors, einschließlich der Probenahmeverfahren für die konkrete Brennstoffart und Anlage Anwendung finden soll, ist vor Beginn des jeweiligen Berichtszeitraums mit der zuständigen Behörde abzustimmen.

Die Verfahrensvorschriften für die Bestimmung repräsentativer tätigkeitsspezifischer Oxidationsfaktoren (z.B. über den Kohlenstoffgehalt von Ruß, Asche, Abwässern und sonstigen Abfällen oder Nebenprodukten) müssen, soweit vorhanden, einer genormten Methode entsprechen, die systematische Fehler bei Probenahme und Messung begrenzt und deren Messunsicherheit bekannt ist. Soweit verfügbar sind CEN-Normen zu verwenden. Sind keine einschlägigen CEN-Normen verfügbar, so sind geeignete ISO-Normen oder nationale Normen anzuwenden. Gibt es keine gültige Norm, so können gegebenenfalls Verfahren angewandt werden, die vorliegenden Normentwürfen oder den Leitlinien der Industrie für bewährte Praxis (Best Practice) entsprechen.

Das Labor, das den Oxidationsfaktor bestimmt bzw. die zugrunde liegenden Daten ermittelt, muss die Anforderungen gemäß Abschnitt 13.5 dieses Anhangs erfüllen. Das Probenahmeverfahren und die Häufigkeit der Analysen für die Bestimmung relevanter Stoffdaten (z.B. der Kohlenstoffgehalt der Asche), die für die Berechnung des Oxidationsfaktors verwendet werden, müssen den diesbezüglichen Vorgaben von Abschnitt 13.6 genügen.

Die Verfahren, die das mit der Bestimmung des Oxidationsfaktors beauftragte Labor anwendet, und alle Laborergebnisse sind umfassend zu dokumentieren und aufzubewahren und der für die Prüfung des Emissionsberichts zuständigen Prüfstelle zur Verfügung zu stellen.

13.3. Bestimmung von Prozessemissionsfaktoren, Umsetzungsfaktoren und Zusammensetzungsdaten

Welches spezifische Verfahren zur Bestimmung der tätigkeitsspezifischen Emissionsfaktoren, Umsetzungsfaktoren bzw. Zusammensetzungsdaten, einschließlich der Probenahmeverfahren für das jeweilige Material, Anwendung finden soll, ist vor Beginn des jeweiligen Berichtszeitraums mit der zuständigen Behörde abzustimmen.

Die Verfahrensvorschriften für die Probenahme und die Bestimmung der Zusammensetzung des betreffenden Materials oder Errechnung eines Prozessemissionsfaktors müssen, soweit vorhanden, einer genormten Methode entsprechen, die systematische Fehler bei Probenahme und Messung begrenzt und deren Messunsicherheit bekannt ist. Soweit verfügbar sind CEN-Normen zu verwenden. Sind keine einschlägigen CEN-Normen verfügbar, so sind geeignete ISO-Normen oder nationale Normen anzuwenden. Gibt es keine gültige Norm, so können gegebenenfalls Verfahren angewandt werden, die vorliegenden Normentwürfen oder den Leitlinien der Industrie für bewährte Praxis (Best Practice) entsprechen.

Das beauftragte Labor muss die Anforderungen gemäß Abschnitt 13.5 dieses Anhangs erfüllen. Das Probenahmeverfahren und die Häufigkeit der Analysen entsprechen den diesbezüglichen Vorgaben von Abschnitt 13.6.

Die angewandten Verfahren und alle Laborergebnisse sind umfassend zu dokumentieren und aufzubewahren und der für die Prüfung des Emissionsberichts zuständigen Prüfstelle zur Verfügung zu stellen.

13.4. Bestimmung eines Biomasseanteils

Der Begriff "Biomasseanteil" im Sinne dieser Monitoring-Leitlinien bezieht sich entsprechend der Definition des Begriffs Biomasse (vgl. Abschnitte 2 und 12 dieses Anhangs) auf den prozentualen Anteil des biogenen Kohlenstoffs an der gesamten Kohlenstoffmasse einer Probe.

Brennstoff bzw. Material gilt als reine Biomasse mit gemäß Abschnitt 5.2 vereinfachten Regelungen für Überwachung und Berichterstattung, wenn der Anteil an Nicht-Biomasse 3 % der betreffenden Gesamtbrennstoff- oder -materialmenge nicht überschreitet.

Welches spezifische Verfahren zur Bestimmung des Biomasseanteils eines spezifischen Brennstoffs oder Materials und für die Probenahme der betreffenden Stoffe Anwendung finden soll, ist vor Beginn des jeweiligen Berichtszeitraums mit der zuständigen Behörde abzustimmen.

Die Verfahrensvorschriften für die Brennstoff- bzw. Materialbeprobung und die Bestimmung des Biomasseanteils müssen, soweit vorhanden, einer genormten Methode entsprechen, die systematische Fehler bei Probenahme und Messung begrenzt und deren Messunsicherheit bekannt ist. Soweit verfügbar sind CEN-Normen zu verwenden. Sind keine einschlägigen CEN-Normen verfügbar, so sind geeignete ISO-Normen oder nationale Normen anzuwenden. Gibt es keine gültige Norm, so können gegebenenfalls Verfahren angewandt werden, die vorliegenden Normentwürfen oder den Leitlinien der Industrie für bewährte Praxis (Best Practice) entsprechen.

Zur Bestimmung des Biomasseanteils eines Brennstoffs oder Materials bieten sich verschiedene Methoden an, die von einer manuellen Sortierung der Bestandteile gemischter Stoffe über differentielle Methoden, bei denen die Heizwerte einer binären Mischung und der beiden reinen Bestandteile der Mischung bestimmt werden, bis hin zu einer Kohlenstoff-14-Isotopenanalyse reichen, wobei die Wahl der Methode von der Art der betreffenden Brennstoffmischung abhängt. Für Brennstoffe bzw. Material aus einem Produktionsprozess mit definierten und rückverfolgbaren Einsatzmaterialströmen kann der Anlagenbetreiber den Biomasseanteil alternativ auf der Grundlage einer Massenbilanz des den Prozess durchlaufenden fossilen und biogenen Kohlenstoffes bestimmen. Die jeweilige Methode muss von der zuständigen Behörde genehmigt werden.

Das mit der Bestimmung des Biomasseanteils beauftragte Labor muss die Anforderungen von Abschnitt 13.5 dieses Anhangs erfüllen.

Die Probenahmeverfahren und die Häufigkeit der Analysen zur Bestimmung des Biomasseanteils von Brennstoffen bzw. Materialien müssen die Anforderungen von Abschnitt 13.6 dieses Anhangs erfüllen.

Die Verfahren, die das mit der Bestimmung des Biomasseanteils beauftragte Labor angewandt hat, sowie alle Ergebnisse sind umfassend zu dokumentieren und aufzubewahren. Die Unterlagen werden der für den Emissionsbericht zuständigen Prüfstelle zur Verfügung gestellt.

Ist die Bestimmung des Biomasseanteils eines Brennstoffgemisches aus technischen Gründen nicht machbar oder würde eine solche Analyse unverhältnismäßig hohe Kosten verursachen, so muss der Anlagenbetreiber entweder einen Biomasseanteil von 0 % voraussetzen (d. h. er muss davon ausgehen, dass der in dem betreffenden Brennstoff enthaltene Kohlenstoff vollständig fossiler Natur ist) oder der zuständigen Behörde eine Schätzmethode zur Genehmigung vorschlagen.

13.5. Kriterien für die Bestimmung von Brennstoff- und Materialeigenschaften und für die kontinuierliche Emissionsmessung

13.5.1. Inanspruchnahme akkreditierter Laboratorien

Das Labor (einschließlich anderer Dienstleistungserbringer), das mit der Bestimmung des Emissionsfaktors, des unteren Heizwertes, des Oxidationsfaktors, des Kohlenstoffgehalts, des Biomasseanteils oder von Zusammensetzungsdaten oder mit der Durchführung von Kalibrierungen und relevanten Prüfungen der KEMS-Geräte beauftragt wird, sollte gemäß EN ISO 17025:2005 ('Allgemeine Anforderungen an die Kompetenz von Prüf- und Kalibrierlaboratorien') akkreditiert sein.

13.5.2. Inanspruchnahme nicht akkreditierter Laboratorien

Es sind vorzugsweise Laboratorien zu beauftragen, die gemäß EN ISO 17025:2005 akkreditiert wurden. Die Inanspruchnahme nicht akkreditierter Laboratorien ist auf Fälle zu begrenzen, in denen der Anlagenbetreiber der zuständigen Behörde nachweisen kann, dass das Labor Anforderungen erfüllt, die denen der EN ISO 17025:2005 gleichwertig sind. Eine Liste der betreffenden Laboratorien und Analyseverfahren ist in den Überwachungsplan aufzunehmen. Gleichwertigkeit in Bezug auf Qualitätsmanagement könnte im Wege einer akkreditierten Zertifizierung des Labors nach EN ISO 9001:2000 nachgewiesen werden. Ferner ist der Nachweis zu erbringen, dass das Labor fachlich kompetent und in der Lage ist, mit entsprechenden Analyseverfahren technisch stichhaltige Ergebnisse zu erzielen.

Unter der Verantwortung des Anlagenbetreibers führt jedes nicht akkreditierte Labor, das vom Anlagenbetreiber mit der Bestimmung von Stoffdaten für die Emissionsberechnung beauftragt wird, folgende Maßnahmen durch:

  1. Validierung

    Analysemethoden, die von einem nicht akkreditierten Labor angewandt werden sollen, sind von einem nach EN ISO 17025:2005 akkreditierten Labor gegen eine Referenzmethode zu validieren. Die Validierung erfolgt vor dem oder zu Beginn des Vertragsverhältnisses zwischen Anlagenbetreiber und Labor. Sie setzt voraus, dass eine ausreichende Anzahl von Proben, mindestens aber fünf Proben, die für den erwarteten Wertebereich repräsentativ sind, einschließlich einer Blindprobe für jeden relevanten Stoffparameter und Brennstoff bzw. Material, so oft analysiert wird, wie dies zur Charakterisierung der Reproduzierbarkeit der Methode und zur Ermittlung der Kalibrierkurve des Instruments erforderlich ist.

  2. Vergleichsuntersuchung

    Einmal jährlich führt ein nach EN ISO 17025:2005 akkreditiertes Labor eine Vergleichsuntersuchung der Analyseergebnisse durch, wobei eine repräsentative Probe jedes Brennstoffs bzw. Materials mindestens fünf Mal nach der Referenzmethode auf die einzelnen Parameter analysiert wird.

    Der Anlagenbetreiber nimmt für alle maßgeblichen Daten des betreffenden Jahres konservative Anpassungen vor (damit Emissionen nicht unterschätzt werden), wenn zwischen den Ergebnissen des nicht akkreditierten Labors und denen des akkreditierten Labors Unterschiede festgestellt werden, die zu einer Unterschätzung der Emissionen führen könnten. Jeder statistisch signifikante (2σ) Unterschied zwischen den Endergebnissen (z.B. für die Zusammensetzungsdaten) des nicht akkreditierten und des akkreditierten Labors wird der zuständigen Behörde angezeigt und unter der Überwachung eines nach EN ISO 17025:2005 akkreditierten Labors umgehend abgeklärt.

13.5.3. Online-Gasanalysatoren und Gaschromatografen

Die Verwendung von Online-Gaschromatografen und von extraktiven oder nicht extraktiven Gasanalysatoren zur Emissionsermittlung im Sinne dieser Leitlinien muss von der zuständigen Behörde genehmigt werden. Die Anwendung dieser Systeme wird auf die Bestimmung von Zusammensetzungsdaten für gasförmige Brennstoffe und Materialien begrenzt. Die Betreiber dieser Systeme sind an die Anforderungen der EN ISO 9001:2000 gebunden. Der Nachweis der Erfüllung dieser Anforderungen kann in Form einer Zertifizierung des Systems durch eine Akkreditierungsstelle erbracht werden. Kalibrierdienste und Lieferanten von Kalibriergasen müssen nach EN ISO 17025:2005 akkreditiert sein.

Gegebenenfalls wird das Instrument von einem nach EN ISO 17025:2005 akkreditierten Labor erstmals und danach in Jahresabständen nach EN ISO 10723:1995 "Erdgas - Bewertung der Leistungsfähigkeit von Online-Analysensystemen" validiert. In allen anderen Fällen gibt der Anlagenbetreiber die erste Validierung und die jährlichen Vergleichsuntersuchungen in Auftrag:

  1. Erstvalidierung

    Die Validierung erfolgt vor dem 31. Januar 2008 oder als Teil der Inbetriebnahme für ein neues System. Sie setzt voraus, dass ein Satz von mindestens fünf Proben, die für den erwarteten Wertebereich repräsentativ sind, einschließlich einer Blindprobe für jeden relevanten Parameter und Brenn-/Rohstoff, so oft analysiert wird, wie dies zur Charakterisierung der Reproduzierbarkeit der Methode und zur Ermittlung der Kalibrierkurve des Instruments erforderlich ist.

  2. Jährliche Vergleichsuntersuchung

Die Vergleichsuntersuchung der Analyseergebnisse wird ein Mal jährlich von einem nach EN ISO 17025:2005 akkreditierten Labor durchgeführt, wobei eine repräsentative Brennstoff- oder Materialprobe nach der Referenzmethode wiederholt auf die einzelnen Parameter analysiert wird.

Der Anlagenbetreiber nimmt für alle maßgeblichen Daten des betreffenden Jahres konservative Anpassungen vor (damit Emissionen nicht unterschätzt werden), wenn zwischen den Ergebnissen des Gasanalysatoren oder des Gaschromatografen und denen des akkreditierten Labors Unterschiede festgestellt werden, die zu einer Unterschätzung der Emissionen führen könnten. Jeder statistisch signifikante (2σ ) Unterschied zwischen den Endergebnissen (z.B. für die Zusammensetzungsdaten) des Gasanalysatoren oder des Gaschromatografen und des akkreditierten Labors wird der zuständigen Behörde angezeigt und unter der Überwachung eines nach EN ISO 17025:2005 akkreditierten Labors umgehend geklärt.

13.6. Probenahmemethoden und Häufigkeit der Analysen

Die Bestimmung des betreffenden Emissionsfaktors, unteren Heizwertes, Oxidationsfaktors, Umsetzungsfaktors, Kohlenstoffgehalts, Biomasseanteils oder der relevanten Zusammensetzungsdaten erfolgt nach allgemein anerkannten Verfahren für repräsentative Probenahmen. Der Anlagenbetreiber muss den Nachweis erbringen, dass die Probenahme repräsentativ und frei von systematischen Fehlern erfolgt. Der jeweilige Stoffparameter findet nur auf die Lieferperiode oder die Brennstoff- bzw. Materialcharge Anwendung, für die er repräsentativ sein sollte.

Im Allgemeinen erfolgt die Analyse anhand einer Probe, die aus mehreren (z.B. 10-100) Einzelproben zusammengestellt wird, die über einen bestimmten Zeitraum (z.B. einen Tag oder mehrere Monate lang) gesammelt wurden, sofern der betreffende Brennstoff bzw. das betreffende Material gelagert werden kann, ohne dass sich seine Zusammensetzung verändert.

Die Probenahme und die Häufigkeit der Analysen müssen gewährleisten, dass der Jahresdurchschnitt des betreffenden Stoffparameters mit einer maximalen Unsicherheit von weniger als 1/3 der maximalen Unsicherheit bestimmt wird, die in Bezug auf die zugelassene Ebene für die Tätigkeitsdaten desselben Stoffstroms vorgesehen ist.

Sollte der Anlagenbetreiber nicht in der Lage sein, das Kriterium der höchstzulässigen Unsicherheit für den Jahreswert zu erfüllen bzw. nachzuweisen, dass die Schwellenwerte eingehalten werden, so sind ggf. die Analysen in der in Tabelle 5 vorgesehenen Mindesthäufigkeit durchzuführen. In allen anderen Fällen setzt die zuständige Behörde die Analysehäufigkeit fest.

weiter .

umwelt-online - Demo-Version


(Stand: 11.03.2019)

Alle vollständigen Texte in der aktuellen Fassung im Jahresabonnement
Nutzungsgebühr: ab 105.- € netto

(derzeit ca. 7200 Titel s.Übersicht - keine Unterteilung in Fachbereiche)

Preise & Bestellung

Die Zugangskennung wird kurzfristig übermittelt

? Fragen ?
Abonnentenzugang/Volltextversion