Für einen individuellen Ausdruck passen Sie bitte die
Einstellungen in der Druckvorschau Ihres Browsers an.
Regelwerk, EU 2010, Energienutzung - EU Bund

Verordnung (EU) Nr. 1016/2010 der Kommission vom 10. November 2010 zur Durchführung der Richtlinie 2009/125/EG des Europäischen Parlaments und des Rates im Hinblick auf die Festlegung von Anforderungen an die umweltgerechte Gestaltung von Haushaltsgeschirrspülern

(ABl. Nr. L 293 vom 11.11.2010 S. 31;
VO (EU) 2016/2282 - ABl. Nr. L 346 vom 20.12.2016 S. 51 Inkrafttreten;
VO (EU) 2019/2022 - ABl. L 315 vom 05.12.2019 S. 267 Inkrafttreten Gültig Übergangsbestimmumgenaufgehoben)


aufgehoben/ersetzt gem. Art.10 der VO (EU) 2019/2022 - Inkrafttreten Gültig Übergangsbestimmumgen

Ergänzende Informationen
Normenübersicht // Normen - Mitt. 2016/C 416/05

Reglungen zur Umsetzung der RL 2009/125/EG "Ökodesign-Richtlinie"


Die Europäische Kommission -

gestützt auf den Vertrag über die Arbeitsweise der Europäischen Union,

gestützt auf die Richtlinie 2009/125/EG des Europäischen Parlaments und des Rates vom 21. Oktober 2009 zur Schaffung eines Rahmens für die Festlegung von Anforderungen an die umweltgerechte Gestaltung energieverbrauchsrelevanter Produkte 1, insbesondere Artikel 15 Absatz 1, nach Anhörung des Ökodesign-Konsultationsforums, in Erwägung nachstehender Gründe:

(1) Gemäß der Richtlinie 2009/125/EG sollte die Kommission Anforderungen an die umweltgerechte Gestaltung ("Ökodesign") energieverbrauchsrelevanter Produkte festlegen, die ein erhebliches Vertriebs- und Handelsvolumen, eine erhebliche Umweltauswirkung und ein erhebliches Potenzial für Verbesserungen ihrer Umweltauswirkung ohne übermäßig hohe Kosten aufweisen.

(2) Gemäß Artikel 16 Absatz 2 erster Gedankenstrich der Richtlinie 2009/125/EG erlässt die Kommission nach dem in Artikel 19 Absatz 3 genannten Verfahren unter Einhaltung der in Artikel 15 Absatz 2 festgelegten Kriterien und nach Anhörung des Ökodesign Konsultationsforums gegebenenfalls eine Durchführungsmaßnahme für Haushaltsgeräte, darunter Haushaltsgeschirrspüler.

(3) Die Kommission hat in einer vorbereitenden Studie die technischen, ökologischen und wirtschaftlichen Aspekte der üblicherweise im Haushalt verwendeten Haushaltsgeschirrspüler untersuchen lassen. Die Studie wurde zusammen mit Interessengruppen und betroffenen Kreisen aus der Europäischen Union und Drittländern durchgeführt, die Ergebnisse wurden öffentlich zugänglich gemacht.

(4) Diese Verordnung sollte Erzeugnisse erfassen, die zur Geschirrreinigung in Haushalten konzipiert sind.

(5) Der für die Zwecke dieser Verordnung relevante Umweltaspekt von Haushaltsgeschirrspülern ist deren Energieverbrauch in der Betriebsphase. Der EU-weite jährliche Stromverbrauch der von dieser Verordnung erfassten Produkte betrug im Jahr 2005 schätzungsweise 24,7 TWh, was einem CO2-Ausstoß von 13 Mio. t entspricht. Falls keine spezifischen Maßnahmen getroffen werden, dürfte der jährliche Stromverbrauch bis 2020 auf 35 TWh steigen. Durch die vorbereitende Studie ist belegt, dass der Strom- und Wasserverbrauch der dieser Verordnung unterliegenden Erzeugnisse erheblich gesenkt werden kann.

(6) Daneben zeigt die vorbereitende Studie, dass Anforderungen an andere Ökodesign-Parameter, die in Anhang I Teil 1 der Richtlinie 2009/125/EG genannt werden, nicht erforderlich sind, da der Stromverbrauch von Haushaltsgeschirrspülern in der Betriebsphase bei weitem der wichtigste Umweltaspekt ist.

(7) Die Verbesserung der Stromverbrauchseffizienz der von dieser Verordnung erfassten Produkte sollte durch Anwendung bestehender kosteneffizienter und herstellerneutraler Technologien erreicht werden, die zu einer Verringerung der Gesamtausgaben für Kauf und Betrieb der Geräte führen können.

(8)Die Ökodesign-Anforderungen sollten aus Endnutzersicht die Funktion des Produkts nicht beeinträchtigen und keine Nachteile für Gesundheit, Sicherheit oder Umwelt mit sich bringen. Insbesondere sollte der Nutzen einer Verringerung des Stromverbrauchs während der Betriebsphase etwaige zusätzliche Umweltauswirkungen während der Produktionsphase überwiegen.

(9) Die Ökodesign-Anforderungen sollten schrittweise in Kraft treten, um den Herstellern einen ausreichenden Zeitraum für die Anpassung der dieser Verordnung unterliegenden Erzeugnisse einzuräumen. Der Zeitplan sollte so festgelegt werden, dass einerseits negative Auswirkungen auf die Funktion der auf dem Markt befindlichen Geräte vermieden und Auswirkungen auf die Kosten der Endnutzer und der Hersteller, insbesondere kleiner und mittlerer Unternehmen, berücksichtigt werden, andererseits aber auch das rechtzeitige Erreichen der Ziele der Verordnung gewährleistet ist.

(10) Die einschlägigen Produktparameter sollten durch zuverlässige, genaue und reproduzierbare Messmethoden ermittelt werden, die dem anerkannten Stand der Messtechnik sowie gegebenenfalls harmonisierten Normen Rechnung tragen, die von den in Anhang I der Richtlinie 98/34/EG des Europäischen Parlaments und des Rates vom 22. Juni 1998 über ein Informationsverfahren auf dem Gebiet der Normen und technischen Vorschriften und der Vorschriften für die Dienste der Informationsgesellschaft 2 aufgeführten europäischen Normungsgremien erlassen wurden.

(11) Nach Artikel 8 der Richtlinie 2009/125/EG sollten in dieser Verordnung die geltenden Konformitätsbewertungsverfahren festgelegt werden.

(12) Um die Konformitätsprüfung zu erleichtern, sollten die Hersteller in den technischen Unterlagen gemäß den Anhängen V und VI der Richtlinie 2009/125/EG Angaben in Bezug auf die einschlägigen Anforderungen dieser Verordnung machen.

(13) Neben den rechtsverbindlichen Anforderungen dieser Verordnung sollten Referenzwerte für derzeit beste verfügbare Technologien festgelegt werden, um die breite Verfügbarkeit und leichte Zugänglichkeit von Informationen über die Umweltauswirkungen der dieser Verordnung unterliegenden Erzeugnisse über den gesamten Lebenszyklus zu gewährleisten.

(14) Die in dieser Verordnung vorgesehenen Maßnahmen entsprechen der Stellungnahme des in Artikel 19 Absatz 1 der Richtlinie 2009/125/EG genannten Ausschusses

- hat folgende Verordnung erlassen:

Artikel 1 Gegenstand und Anwendungsbereich

Durch diese Verordnung, werden Anforderungen an die umweltgerechte Gestaltung ("Ökodesign") netzbetriebener Haushaltsgeschirrspüler sowie netzbetriebener Haushaltsgeschirrspüler, die auch mit Batterien/Akkumulatoren betrieben werden können, einschließlich Geräte, die für nicht haushaltsübliche Zwecke verkauft werden, und Einbau-Haushaltsgeschirrspüler, im Hinblick auf das Inverkehrbringen festgelegt.

Artikel 2 Begriffsbestimmungen

Zusätzlich zu den Begriffsbestimmungen in Artikel 2 der Richtlinie 2009/125/EG gelten für die Zwecke dieser Verordnung folgende Begriffsbestimmungen:

1. "Haushaltsgeschirrspüler" bezeichnet eine Maschine für das Reinigen, Spülen und Trocknen von Geschirr, Glaswaren, Besteck und Kochutensilien mit chemischen, mechanischen, thermischen und elektrischen Mitteln, die zur Nutzung vorwiegend für nichtprofessionelle Zwecke konzipiert ist;

2. "Einbau-Haushaltsgeschirrspüler" bezeichnet einen Haushaltsgeschirrspüler, der zum Einbau in einen Schrank, eine vorbereitete Wandaussparung oder einen ähnlichen Ort bestimmt ist und eine Dekorabdeckung erfordert;

3. "Gedeck" bezeichnet eine festgelegte Menge an Geschirr, Glaswaren und Besteck zur Benutzung durch eine Person;

4. "Nennkapazität" bezeichnet die Höchstzahl von Gedecken zusammen mit den Serviergeschirrteilen gemäß Herstellerangaben, die bei Beladung gemäß Herstelleranweisung in einem Haushaltsgeschirrspüler behandelt werden können;

5. "Programm" bezeichnet eine Reihe voreingestellter Betriebsvorgänge, die vom Hersteller als für bestimmte Verschmutzungsgrade und/oder Beladungsarten geeignet erklärt werden und zusammen einen vollständigen Zyklus bilden;

6. "Programmdauer" bezeichnet den Zeitraum zwischen der Einleitung des Programms bis zum Abschluss des Programms ohne etwaige vom Nutzer programmierte Zeitverzögerung;

7. "Zyklus" bezeichnet einen für die betreffende Programmwahl festgelegten vollständigen Reinigungs-, Spül- und Trockenprozess;

8. "Aus-Zustand" bezeichnet einen Zustand, in dem der Haushaltsgeschirrspüler durch Bedienelemente oder Schalter ausgeschaltet ist, die dem Endnutzer zugänglich und zur Betätigung durch denselben während des normalen Betriebs bestimmt sind, um die niedrigste dauerhaft mögliche Leistungsaufnahme zu erzielen, während der Haushaltsgeschirrspüler an eine Stromquelle angeschlossen ist und gemäß Herstelleranweisung betrieben wird; in Ermangelung von Bedienelementen oder Schaltern, die dem Endnutzer zugänglich sind, bezeichnet "Aus-Zustand" den Betriebszustand, der erreicht wird, nachdem der Haushaltsgeschirrspüler selbsttätig zu einer stabilen Leistungsaufnahme zurückkehrt;

9. "unausgeschalteter Zustand" bezeichnet den Betriebszustand mit der geringsten Leistungsaufnahme, der nach Abschluss des Programms und Entleerung der Maschine ohne weiteres Einwirken des Endnutzers zeitlich unbegrenzt möglich ist;

10. "gleichwertiger Geschirrspüler" bezeichnet ein in Verkehr gebrachtes Haushaltsgeschirrspüler-Modell mit der gleichen Nennkapazität, den gleichen technischen Eigenschaften und Leistungsmerkmalen, dem gleichen Energie- und Wasserverbrauch sowie den gleichen Luftschallemissionen wie ein von demselben Hersteller unter einer anderen numerischen Handelsbezeichnung in Verkehr gebrachtes anderes Haushaltsgeschirrspüler-Modell.

Artikel 3 Ökodesign-Anforderungen

Die allgemeinen Ökodesign-Anforderungen an Haushaltsgeschirrspüler sind in Anhang I Nummer 1 aufgeführt.

Die besonderen Ökodesign-Anforderungen an Haushaltsgeschirrspüler sind in Anhang I Nummer 2 aufgeführt.

Artikel 4 Konformitätsbewertung

(1) Das in Artikel 8 der Richtlinie 2009/125/EG genannte Verfahren zur Konformitätsbewertung ist das in Anhang IV jener Richtlinie beschriebene interne Entwurfskontrollsystem oder das in Anhang V jener Richtlinie beschriebene Managementsystem.

(2) Für die Zwecke der Konformitätsbewertung gemäß Artikel 8 der Richtlinie 2009/125/EG müssen die technischen Unterlagen die Ergebnisse der Berechnung gemäß Anhang II enthalten.

Wurden die in den technischen Unterlagen enthaltenen Angaben für ein bestimmtes Haushaltsgeschirrspüler-Modell durch Berechnung auf der Grundlage der Bauart und/oder durch Extrapolation ausgehend von anderen gleichwertigen Haushaltsgeschirrspülern ermittelt, sind in den technischen Unterlagen Einzelheiten zu den Berechnungen und/oder Extrapolationen und zu den Tests, die von den Herstellern zur Überprüfung der Richtigkeit der angestellten Berechnungen durchgeführt werden, anzugeben. In solchen Fällen umfassen die technischen Unterlagen auch eine Liste aller anderen gleichwertigen Haushaltsgeschirrspüler-Modelle, bei denen die in den technischen Unterlagen enthaltenen Angaben auf derselben Grundlage ermittelt wurden.

Artikel 5 Nachprüfungsverfahren zur Marktaufsicht

Die Mitgliedstaaten wenden bei der Durchführung der in Artikel 3 Absatz 2 der Richtlinie 2009/125/EG genannten Marktaufsichtsprüfungen hinsichtlich der Erfüllung der Anforderungen des Anhangs I das in Anhang III beschriebene Nachprüfungsverfahren an.

Artikel 6 Referenzwerte

Die unverbindlichen Referenzwerte für die Haushaltsgeschirrspüler mit der besten Leistung, die zum Zeitpunkt des Inkrafttretens der Verordnung auf dem Markt sind, sind in Anhang IV aufgeführt.

Artikel 7 Überprüfung

Die Kommission überprüft diese Verordnung spätestens vier Jahre nach ihrem Inkrafttreten unter Berücksichtigung des technischen Fortschritts und übermittelt dem Ökodesign Konsultationsforum die Ergebnisse dieser Überprüfung. Bei der Überprüfung werden insbesondere die Nachprüfungstoleranzen von Anhang III, die Möglichkeiten für die Festlegung von Anforderungen hinsichtlich des Wasserverbrauchs von Haushaltsgeschirrspülern und das Potenzial einer Warmwasserzuführung bewertet.

Artikel 8 Inkrafttreten und Anwendung

( 1) Diese Verordnung tritt am zwanzigsten Tag nach ihrer Veröffentlichung im Amtsblatt der Europäischen Union in Kraft.

( 2) Sie gilt ab dem 1. Dezember 2011.

Folgende Ökodesign-Anforderungen gelten abweichend davon gemäß folgendem Zeitplan:

  1. Die allgemeinen Ökodesign-Anforderungen nach Anhang I Nummer 1 Punkt 1 gelten ab dem 1. Dezember 2012.
  2. Die allgemeinen Ökodesign-Anforderungen nach Anhang I Nummer 1 Punkt 2 gelten ab dem 1. Juni 2012.
  3. Die besonderen Ökodesign-Anforderungen nach Anhang I Nummer 2 Punkt 2 gelten ab dem 1. Dezember 2013.
  4. Die besonderen Ökodesign-Anforderungen nach Anhang I Nummer 2 Punkt 3 gelten ab dem 1. Dezember 2016.

Diese Verordnung ist in allen ihren Teilen verbindlich und gilt unmittelbar in jedem Mitgliedstaat.

1) ABl. Nr. L 285 vom 31.10.2009 S. 10.

2) ABl. Nr. L 204 vom 21.07.1998 S. 37.

.

Ökodesign-Anforderungen Anhang I

1. Allgemeine Ökodesign-Anforderungen

1. Der Berechnung der Leistungsaufnahme und anderer Parameter von Haushaltsgeschirrspülern wird der Zyklus zur Reinigung von normal verschmutztem Geschirr (nachfolgend "Standardreinigungszyklus") zugrunde gelegt. Dieser Zyklus muss auf der Programmwahleinrichtung des Haushaltsgeschirrspülers und/oder dessen ggf. vorhandener Anzeige mit der Benennung "Standardprogramm" deutlich erkennbar sein und ist als standardmäßig verwendeter Zyklus für Haushaltsgeschirrspüler eingestellt, die über eine automatische Programmwahl oder eine Funktion für die automatische Wahl eines Reinigungsprogramms oder die Aufrechterhaltung einer Programmauswahl verfügen.

2. Die vom Hersteller bereitgestellte Bedienungsanleitung muss folgende Angaben enthalten:

  1. Hinweise auf den als "Standardprogramm" bezeichneten Standardreinigungszyklus nebst dem Hinweis, dass er zur Reinigung von normal verschmutztem Geschirr geeignet und in Bezug auf den kombinierten Energie- und Wasserverbrauch zur Reinigung dieser Art von Geschirr am effizientesten ist;
  2. Leistungsaufnahme im Aus-Zustand und im unausgeschalteten Zustand;
  3. Richtwerte zu Programmdauer, Energie- und Wasserverbrauch für die Hauptreinigungsprogramme.

2. Besondere Ökodesign-Anforderungen

Haushaltsgeschirrspüler müssen den folgenden Anforderungen genügen:

1. Ab dem 1. Dezember 2011:
  1. Der Energieeffizienzindex (EEI) sämtlicher Haushaltsgeschirrspüler, ausgenommen Haushaltsgeschirrspüler mit einer Nennkapazität von 10 Gedecken und einer Breite von 45 cm oder weniger, beträgt weniger als 71;
  2. der Energieeffizienzindex (EEI) von Haushaltsgeschirrspülern mit einer Nennkapazität von 10 Gedecken und einer Breite von 45 cm oder weniger beträgt weniger als 80;
  3. der Reinigungseffizienzindex (IC) sämtlicher Haushaltsgeschirrspüler beträgt mehr als 1,12.

2. Ab dem 1. Dezember 2013:

  1. Der Energieeffizienzindex (EEI) von Haushaltsgeschirrspülern mit einer Nennkapazität von 11 Gedecken oder mehr und von Haushaltsgeschirrspülern mit einer Nennkapazität von 10 Gedecken und einer Breite von mehr als 45 cm beträgt weniger als 63;
  2. der Energieeffizienzindex (EEI) von Haushaltsgeschirrspülern mit einer Nennkapazität von 10 Gedecken und einer Breite von 45 cm oder weniger beträgt weniger als 71;
  3. der Trocknungseffizienzindex (ID) von Haushaltsgeschirrspülern mit einer Nennkapazität von 8 Gedecken oder mehr beträgt mehr als 1,08;
  4. der Trocknungseffizienzindex (ID) von Haushaltsgeschirrspülern mit einer Nennkapazität von 7 Gedecken oder weniger beträgt mehr als 0,86.

3. Ab dem 1. Dezember 2016:

  1. Der Energieeffizienzindex (EEI) von Haushaltsgeschirrspülern mit einer Nennkapazität von 8 oder 9 Gedecken und von Haushaltsgeschirrspülern mit einer Nennkapazität von 10 Gedecken und einer Breite von 45 cm oder weniger beträgt weniger als 63.

Der Energieeffizienzindex (EEI), der Reinigungseffizienzindex (IC) und der Trocknungseffizienzindex (ID) von Haushaltsgeschirrspülern werden gemäß Anhang II berechnet.

.

Methode zur Berechnung des Energieeffizienzindex, des Reinigungseffizienzindex und des Trocknungseffizienzindex Anhang II


1. Berechnung des Energieeffizienzindex

Zur Berechnung des Energieeffizienzindex (EEI) eines Haushaltsgeschirrspüler-Modells wird der jährliche Energieverbrauch des Haushaltsgeschirrspülers mit seinem standardmäßigen Energieverbrauch verglichen.

  1. Der Energieeffizienzindex (EEI) wird wie folgt berechnet und auf eine Dezimalstelle gerundet:

    EEI = (AEC /SAEC) × 100

    Hierbei ist:

    AEC = jährlicher Energieverbrauch des Haushaltsgeschirrspülers;
    SAEC = standardmäßiger jährlicher Energieverbrauch des Haushaltsgeschirrspülers.
  2. Der jährliche Energieverbrauch (AEC) wird wie folgt berechnet und auf zwei Dezimalstellen gerundet in kWh/Jahr angegeben:
    1. Hierbei ist:

      Et = Energieverbrauch für den Standardzyklus in kWh auf drei Dezimalstellen gerundet;
      Pl = Leistungsaufnahme im unausgeschalteten Zustand des Standardreinigungszyklus in W auf zwei Dezimalstellen gerundet;
      Po = Leistungsaufnahme im Aus-Zustand des Standardreinigungszyklus in W auf zwei Dezimalstellen gerundet;
      Tt = Programmdauer des Standardreinigungszyklus in Minuten auf die nächste Minute gerundet.
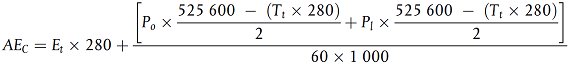
    2. Verfügt der Haushaltsgeschirrspüler über ein Verbrauchsmanagement und schaltet am Programmende automatisch in den Aus-Zustand, wird der jährliche Energieverbrauch (AEC) unter Berücksichtigung der tatsächlichen Dauer des unausgeschalteten Zustands nach der folgenden Formel berechnet:

      AEC = Et × 280 + ({(Pl ×Tt × 280) +Po × [525.600 - (Tt × 280) - (Tt × 280)]} ) / (60 × 1.000)

      Hierbei ist:

      T1 = gemessene Dauer des unausgeschalteten Zustands des Standardreinigungszyklus in Minuten auf die nächste Minute gerundet;
      280 = Gesamtzahl der jährlichen Standardreinigungszyklen.
  3. Der standardmäßige jährliche Energieverbrauch SAEC wird wie folgt berechnet und auf zwei Dezimalstellen gerundet in kWh/Jahr angegeben:
    1. für Haushaltsgeschirrspüler mit einer Nennkapazität von 10 Gedecken oder mehr und einer Breite von mehr als 50 cm:

      SAEC = 7,0 × ps + 378

    2. für Haushaltsgeschirrspüler mit einer Nennkapazität von 9 Gedecken oder weniger und Haushaltsgeschirrspüler mit einer Nennkapazität von mehr als 9 Gedecken und einer Breite von 50 cm oder weniger:

      SAEC = 25,2 × ps + 126

      Hierbei ist:

      ps = Anzahl der Gedecke.

2. Berechnung des Reinigungseffizienzindex

Zur Berechnung des Reinigungseffizienzindex (IC) eines Haushaltsgeschirrspüler-Modells wird die Reinigungseffizienz des Haushaltsgeschirrspülers mit der Reinigungseffizienz eines Bezugs-Geschirrspülers verglichen, dessen Eigenschaften den Vorgaben anerkannter Messmethoden sowie Verfahren gemäß Dokumenten, deren Fundstellen zu diesem Zweck im Amtsblatt der Europäischen Union veröffentlicht wurden, entsprechen.

  1. Der Reinigungseffizienzindex (IC) wird wie folgt berechnet und auf zwei Dezimalstellen gerundet:

    IC = exp(lnIC)

    Hierbei ist:

    CT,i = Reinigungseffizienz des geprüften Haushaltsgeschirrspülers für einen Testzyklus (i),
    CR,i = Reinigungseffizienz des Bezugs-Haushaltsgeschirrspülers für einen Testzyklus (i),
    n = Anzahl der Testzyklen,n> 5.
  2. Die Reinigungseffizienz (C) ist der Mittelwert des Verschmutzungswerts jedes einzelnen Spülgutteils nach Abschluss eines Standardreinigungszyklus. Der Verschmutzungswert wird gemäß Tabelle 1 berechnet:

    Tabelle 1

    Zahl kleiner punktförmiger Verschmutzungspartikel (n) Gesamte verschmutzte Fläche (AS) in mm2 Verschmutzungswert
    n = 0 AS = 0 5 (höchste Effizienz)
    0 <n< 4 0< AS ≤ 4<sub> 4
    4 ≤n<10 0< AS ≤ 4<sub> 3
    10 <n 4 < AS≤ 50<sub> 2
    Nicht anwendbar 50 < AS ≤ 200 1
    Nicht anwendbar 200< AS<sub> 0 (geringste Effizienz)

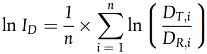
3. Berechnung des Trocknungseffizienzindex

Zur Berechnung des Trocknungseffizienzindex (ID) eines Haushaltsgeschirrspüler-Modells wird die Trocknungseffizienz des Haushaltsgeschirrspülers mit der Trocknungseffizienz eines Bezugs-Geschirrspülers verglichen, dessen Eigenschaften den Vorgaben anerkannter Messmethoden sowie Verfahren gemäß Dokumenten, deren Fundstellen zu diesem Zweck im Amtsblatt der Europäischen Union veröffentlicht wurden, entsprechen.

  1. Der Trocknungseffizienzindex (ID) wird wie folgt berechnet und auf zwei Dezimalstellen gerundet:

    ID = exp(lnID)

    Hierbei ist:

    DT,i = Trocknungseffizienz des geprüften Haushaltsgeschirrspülers für einen Testzyklus (i)
    DR,i = Trocknungseffizienz des Bezugs-Haushaltsgeschirrspülers für einen Testzyklus (i)
    n = Anzahl der Testzyklen,n 5.
  2. Die Trocknungseffizienz (D) ist der Mittelwert des Nässewerts aller einzelnen Spülgutteile nach Abschluss eines Standardreinigungszyklus. Der Nässewert wird gemäß Tabelle 2 berechnet:

    Tabelle 2

    Zahl der Wasserspuren (WT) oder
    Nässestreifen (WS)
    Gesamte nasse Fläche (Aw) in mm2 Nässewert
    WT = 0 undWS = 0 Nicht anwendbar 2 (höchste Effizienz)
    1 <WT ≤ 2 oder WS = 1 Aw < 50 1
    2 <WT oderWS = 2
    oderWS = 1 undWT = 1
    Aw > 50 0 (geringste Effizienz)

.

Prüfung der Produktkonformität durch die Marktaufsichtsbehörden Anhang III 16

Die in diesem Anhang festgelegten Prüftoleranzen betreffen nur die Nachprüfung der gemessenen Parameter durch die Behörden der Mitgliedstaaten und dürfen vom Hersteller oder Importeur keinesfalls als zulässige Toleranzen für die Angabe der Werte in den technischen Unterlagen, die Interpretation dieser Werte zur Erreichung der Konformität oder zur Angabe besserer Leistungskennwerte verwendet werden.

Wenn die Behörden der Mitgliedstaaten gemäß Artikel 3 Absatz 2 der Richtlinie 2009/125/EG prüfen, ob das Modell eines Produkts den in dieser Verordnung festgelegten Bestimmungen in Bezug auf die in diesem Anhang genannten Anforderungen entspricht, wenden sie folgendes Verfahren an:

(1) Die Behörden der Mitgliedstaaten prüfen ein einziges Exemplar des Modells.

(2) Das Modell gilt als konform mit den geltenden Anforderungen, wenn

  1. die Werte in den technischen Unterlagen gemäß Anhang IV Nummer 2 der Richtlinie 2009/125/EG (angegebene Werte) und, wenn zutreffend, die zur Berechnung dieser Werte verwendeten Werte für den Hersteller oder Importeur nicht günstiger sind als die Ergebnisse der entsprechenden Messungen gemäß Buchstabe g des genannten Anhangs; und
  2. die angegebenen Werte die in dieser Verordnung festgelegten Anforderungen erfüllen und die erforderlichen vom Hersteller oder Importeur veröffentlichten Produktinformationen keine Werte enthalten, die für den Hersteller oder Importeur günstiger sind als die angegebenen Werte; und
  3. bei Prüfung des Exemplars des Modells durch die Behörden der Mitgliedstaaten die ermittelten Werte (bei der Prüfung gemessene Werte der relevanten Parameter und die aufgrund dieser Messungen berechneten Werte) den in Tabelle 1 angegebenen Prüftoleranzen entsprechen.

(3) Werden die in Absatz 2 Buchstaben a oder b genannten Ergebnisse nicht erreicht, gelten das Modell und alle in den technischen Unterlagen des Herstellers oder Importeurs als gleichwertig aufgeführte Modelle von Haushaltsgeschirrspülern als nicht konform mit dieser Verordnung.

(4) Wird das in Absatz 2 Buchstabe c genannte Ergebnis nicht erreicht, wählen die Behörden des Mitgliedstaats drei weitere Exemplare des gleichen Modells für die Prüfung aus. Alternativ können drei weitere Exemplare eines oder mehrerer anderer Modelle ausgewählt werden, die in den technischen Unterlagen des Herstellers oder Importeurs als gleichwertige Modelle aufgeführt werden.

(5) Das Modell gilt als konform mit den geltenden Anforderungen, wenn für diese drei Exemplare das arithmetische Mittel der ermittelten Werte innerhalb der in Tabelle 1 angegebenen Prüftoleranzen liegt.

(6) Wird das in Absatz 5 genannte Ergebnis nicht erreicht, gelten das Modell und alle in den technischen Unterlagen des Herstellers oder Importeurs als gleichwertig aufgeführten Modelle von Haushaltsgeschirrspülern als nicht konform mit dieser Verordnung.

(7) Die Behörden des Mitgliedstaats übermitteln den Behörden der anderen Mitgliedstaaten und der Kommission alle relevanten Informationen unverzüglich nach einer Entscheidung über die Nichtkonformität des Modells gemäß den Absätzen 3 und 6.

Die Behörden der Mitgliedstaaten verwenden Messverfahren, die sich auf allgemein anerkannte, dem Stand der Technik entsprechende, zuverlässige, genaue und reproduzierbare Messmethoden stützen, einschließlich von Methoden, die in Dokumenten dargelegt werden, deren Nummern zu diesem Zweck im Amtsblatt der Europäischen Union veröffentlicht wurden. Die Behörden der Mitgliedstaaten verwenden die Mess- und Berechnungsmethoden, die in Anhang II beschrieben werden.

Die Behörden der Mitgliedstaaten wenden nur die in Tabelle 1 aufgeführten Prüftoleranzen und in Bezug auf die in diesem Anhang genannten Anforderungen nur das in den Absätzen 1 bis 7 beschriebene Verfahren an. Es finden keine anderen Toleranzen Anwendung, die etwa in harmonisierten Normen oder in anderen Messverfahren festgelegt sind.

Tabelle 1: Prüftoleranzen

Parameter Prüftoleranzen
Jährlicher Energieverbrauch (AEC) Der ermittelte Wert darf den angegebenenAEC -Wert nicht um mehr als 10 % überschreiten.
Reinigungseffizienzindex (IC) Der ermittelte Wert darf den angegebenenIC-Wert nicht um mehr als 10 % unterschreiten.
Trocknungseffizienzindex (ID) Der ermittelte Wert darf den angegebenenID-Wert nicht um mehr als 19 % unterschreiten.
Energieverbrauch (Et) Der ermittelte Wert darf den angegebenenEt -Wert nicht um mehr als 10 % überschreiten. Müssen drei weitere Exemplare ausgewählt werden, darf das arithmetische Mittel der für diese drei Exemplare bestimmten Werte den angegebenen Et -Wert nicht um mehr als 6 % überschreiten.
Programmdauer (Tt) Der ermittelte Wert darf die angegebenenTt -Werte nicht um mehr als 10 % überschreiten.
Leistungsaufnahme im Aus-Zustand und im unausgeschalteten Zustand (Po undPl) Die ermittelten Leistungsaufnahmewerte fürPo undPl von über 1,00 W dürfen die angegebenen Werte fürPo undPl nicht um mehr als 10 % überschreiten. Die ermittelten Leistungsaufnahmewerte für Po undPl bis 1,00 W dürfen die angegebenen Werte fürPo undPl nicht um mehr als 0,10 W überschreiten.
Dauer des unausgeschalteten Zustands (Tl) Der ermittelte Wert darf den angegebenenTl -Wert nicht um mehr als 10 % überschreiten.


.

Referenzwerte Anhang IV


Zum Zeitpunkt des Inkrafttretens dieser Verordnung sind für die beste am Markt verfügbare Technologie für Haushaltsgeschirrspüler hinsichtlich Energieeffizienz, Energie- und Wasserverbrauch, Reinigungs- und Trocknungseffizienz sowie Luftschallemissionen folgende Werte ermittelt:

  1. Haushaltsgeschirrspüler mit 15 Gedecken (Einbaumodell):
    1. Energieverbrauch: 0,88 kWh/Zyklus, entsprechend einem jährlichen Energieverbrauch insgesamt von 268,9 kWh/ Jahr, davon 246,4 kWh/Jahr für 280 Reinigungszyklen und 12,5 kWh/Jahr für Betriebsarten mit geringer Leistungsaufnahme;
    2. Wasserverbrauch: 10 Liter/Zyklus, entsprechend 2.800 Liter/Jahr für 280 Zyklen;
    3. Reinigungseffizienzindex:IC > 1,12;
    4. Trocknungseffizienzindex:ID > 1,08;
    5. Luftschallemissionen: 45 dB(A) re 1 pW;
  2. Haushaltsgeschirrspüler mit 14 Gedecken (Untertischmodell):
    1. Energieverbrauch: 0,83 kWh/Zyklus, entsprechend einem jährlichen Energieverbrauch insgesamt von 244,9 kWh/ Jahr, davon 232,4 kWh/Jahr für 280 Reinigungszyklen und 12,5 kWh/Jahr für Betriebsarten mit geringer Leistungsaufnahme;
    2. Wasserverbrauch: 10 Liter/Zyklus, entsprechend 2.800 Liter/Jahr für 280 Zyklen;
    3. Reinigungseffizienzindex:IC > 1,12;
    4. Trocknungseffizienzindex:ID > 1,08;
    5. Luftschallemissionen: 41 dB(A) re 1 pW;
  3. Haushaltsgeschirrspüler mit 13 Gedecken (Untertischmodell):
    1. Energieverbrauch: 0,83 kWh/Zyklus, entsprechend einem jährlichen Energieverbrauch insgesamt von 244,9 kWh/ Jahr, davon 232,4 kWh/Jahr für 280 Reinigungszyklen und 12,5 kWh/Jahr für Betriebsarten mit geringer Leistungsaufnahme;
    2. Wasserverbrauch: 10 Liter/Zyklus, entsprechend 2.800 Liter/Jahr für 280 Zyklen;
    3. Reinigungseffizienzindex:IC > 1,12;
    4. Trocknungseffizienzindex:ID > 1,08;
    5. Luftschallemissionen: 42 dB(A) re 1 pW;
  4. Haushaltsgeschirrspüler mit 12 Gedecken (Standmodell):
    1. Energieverbrauch: 0,950 kWh/Zyklus, entsprechend einem jährlichen Energieverbrauch insgesamt von 278,5 kWh/ Jahr, davon 266 kWh/Jahr für 280 Reinigungszyklen und 12,5 kWh/Jahr für Betriebsarten mit geringer Leistungsaufnahme;
    2. Wasserverbrauch: 9 Liter/Zyklus, entsprechend 2.520 Liter/Jahr für 280 Zyklen;
    3. Reinigungseffizienzindex:IC > 1,12;
    4. Trocknungseffizienzindex:ID > 1,08;
    5. Luftschallemissionen: 41 dB(A) re 1 pW;
  5. Haushaltsgeschirrspüler mit 9 Gedecken (Einbaumodell):
    1. Energieverbrauch: 0,800 kWh/Zyklus, entsprechend einem jährlichen Energieverbrauch insgesamt von 236,5 kWh/ Jahr, davon 224 kWh/Jahr für 280 Reinigungszyklen und 12,5 kWh/Jahr für Betriebsarten mit geringer Leistungsaufnahme;
    2. Wasserverbrauch: 9 Liter/Zyklus, entsprechend 2.520 Liter/Jahr für 280 Zyklen;
    3. Reinigungseffizienzindex:IC > 1,12;
    4. Trocknungseffizienzindex:ID > 1,08;
    5. Luftschallemissionen: 44 dB(A) re 1 pW;
  6. Haushaltsgeschirrspüler mit 6 Gedecken (Einbaumodell):
    1. Energieverbrauch: 0,63 kWh/Zyklus, entsprechend einem jährlichen Energieverbrauch insgesamt von 208,5 kWh/ Jahr, davon 196 kWh/Jahr für 280 Reinigungszyklen und 12,5 kWh/Jahr für Betriebsarten mit geringer Leistungsaufnahme;
    2. Wasserverbrauch: 7 Liter/Zyklus, entsprechend 1.960 Liter/Jahr für 280 Zyklen;
    3. Reinigungseffizienzindex:IC > 1,12;
    4. Trocknungseffizienzindex: 1,08>ID > 0,86;
    5. Luftschallemissionen: 45 dB(A) re 1 pW;
  7. Haushaltsgeschirrspüler mit 4 Gedecken (Standmodell):
    1. Energieverbrauch: 0,51 kWh/Zyklus, entsprechend einem jährlichen Energieverbrauch insgesamt von 155,3 kWh/ Jahr, davon 142,8 kWh/Jahr für 280 Reinigungszyklen und 12,5 kWh/Jahr für Betriebsarten mit geringer Leistungsaufnahme;
    2. Wasserverbrauch: 9,5 Liter/Zyklus, entsprechend 2.660 Liter/Jahr für 280 Zyklen;
    3. Reinigungseffizienzindex:IC > 1,12;
    4. Trocknungseffizienzindex: 1,08>ID > 0,86;
    5. Luftschallemissionen: 53 dB(A) re 1 pW.
ENDE

umwelt-online - Demo-Version


(Stand: 22.08.2025)

Alle vollständigen Texte in der aktuellen Fassung im Jahresabonnement
Nutzungsgebühr: ab 105.- € netto (Grundlizenz)

(derzeit ca. 7200 Titel s.Übersicht - keine Unterteilung in Fachbereiche)

Preise & Bestellung

Die Zugangskennung wird kurzfristig übermittelt

? Fragen ?
Abonnentenzugang/Volltextversion