Für einen individuellen Ausdruck passen Sie bitte die
Einstellungen in der Druckvorschau Ihres Browsers an.
Regelwerk, EU 2010, Energienutzung - EU Bund

Delegierte Verordnung (EU) Nr. 1059/2010 der Kommission vom 28. September 2010 zur Ergänzung der Richtlinie 2010/30/EU des Europäischen Parlaments und des Rates im Hinblick auf die Kennzeichnung von Haushaltsgeschirrspülern in Bezug auf den Energieverbrauch

(Text von Bedeutung für den EWR)

(ABl. Nr. L 314 vom 30.11.2010 S. 1, ber. 2011 L 78 S. 70;
VO (EU) 518/2014 - ABl. Nr. L 147 vom 17.05.2014 S. 1;
VO (EU) 2017/254 - ABl. Nr. L 38 vom 15.02.2017 S. 1 Inkrafttreten;
VO (EU) 2019/2017 - ABl. L 315 vom 05.12.2019 S. 134 *;
VO (EU) 2020/1059 - ABl. L 232 vom 20.07.2020 S. 28 *
aufgehoben)



aufgehoben/ersetzt gem. Art. 9 der VO (EU) 2019/2017 - Übergangsbestimmungen

Hebt RL 97/17/EG auf.

Änd. betrifft nicht die deutsche Fassung.

Ergänzende Informationen
Normenübersicht // Normen - Mitt. 2016/C 416/05

EU - Liste zur Ergänzung der RL 2010/30/EU im Hinblick auf die Energiekennzeichnung von ....


Die Europäische Kommission -

gestützt auf den Vertrag über die Arbeitsweise der Europäischen Union,

gestützt auf die Richtlinie 2010/30/EU des Europäischen Parlaments und des Rates vom 19. Mai 2010 über die Angabe des Verbrauchs an Energie und anderen Ressourcen durch energieverbrauchsrelevante Produkte mittels einheitlicher Etiketten und Produktinformationen 1, insbesondere auf Artikel 10,

in Erwägung nachstehender Gründe:

(1) Die Kommission hat gemäß der Richtlinie 2010/30/EU delegierte Rechtsakte zur Kennzeichnung energieverbrauchsrelevanter Produkte zu erlassen, die ein erhebliches Potenzial zur Einsparung von Energie sowie große Unterschiede in den Leistungsniveaus bei gleichwertigen Funktionen aufweisen.

(2) Bestimmungen für die Kennzeichnung von Haushaltsgeschirrspülern in Bezug auf den Energieverbrauch wurden durch die Richtlinie 97/17/EG der Kommission vom 16. April 1997 zur Durchführung der Richtlinie 92/75/EWG betreffend die Energieetikettierung für Haushaltsgeschirrspüler 2 festgelegt.

(3) Auf Haushaltsgeschirrspüler entfällt ein wesentlicher Teil des Gesamtstromverbrauchs der Haushalte der Union. Über die bereits erzielten Energieeffizienzsteigerungen hinaus besteht ein erhebliches Potenzial für die weitere Verringerung des Energieverbrauchs von Haushaltsgeschirrspülern.

(4) Durch diese Verordnung sollten die Richtlinie 97/17/EG aufgehoben und neue Bestimmungen festgelegt werden, um zu gewährleisten, dass das Energieetikett den Lieferanten dynamische Anreize dafür bietet, die Energieeffizienz von Haushaltsgeschirrspülern weiter zu verbessern und die Marktumstellung auf energie-effiziente Technologien zu beschleunigen.

(5) Die auf dem Etikett angegebenen Informationen sollten durch zuverlässige, genaue und reproduzierbare Messverfahren ermittelt werden, die dem anerkannten Stand der Messtechnik sowie gegebenenfalls harmonisierten Normen Rechnung tragen, die von den in Anhang I der Richtlinie 98/34/EG des Europäischen Parlaments und des Rates vom 22. Juni 1998 über ein Informationsverfahren auf dem Gebiet der Normen und technischen Vorschriften und der Vorschriften für die Dienste der Informationsgesellschaft 3 aufgeführten europäischen Normungsgremien erlassen wurden.

(6) Diese Verordnung sollte eine einheitliche Gestaltung und einen einheitlichen Inhalt des Etiketts für Haushaltsgeschirrspüler vorgeben.

(7) Daneben sollten in dieser Verordnung Anforderungen an die technischen Unterlagen und das Datenblatt für Haushaltsgeschirrspüler festgelegt werden.

(8) Ferner sollten in dieser Verordnung Anforderungen an die Informationen festgelegt werden, die beim Verkauf von Haushaltsgeschirrspülern in jeglicher Form des Fernabsatzes sowie bei der Werbung und in technischem Werbematerial bereitzustellen sind.

(9) Es ist zweckmäßig, eine Überprüfung der Bestimmungen dieser Verordnung im Lichte des technischen Fortschritts vorzusehen.

(10) Um die Umstellung von der Richtlinie 97/17/EG auf diese Verordnung zu erleichtern, sollte vorgesehen werden, dass die gemäß dieser Verordnung gekennzeichneten Haushaltsgeschirrspüler als der Richtlinie 97/17/EG entsprechend anzusehen sind.

(11) Die Richtlinie 97/17/EG sollte daher aufgehoben werden

- hat folgende Verordnung erlassen:

Artikel 1 Gegenstand und Anwendungsbereich

Durch diese Verordnung werden Anforderungen an die Kennzeichnung netzbetriebener Haushaltsgeschirrspüler und netzbetriebener Geschirrspüler, die auch mit Batterien/Akkumulatoren betrieben werden können, einschließlich für nicht haushaltsübliche Zwecke verkaufter Geräte und Einbau-Haushaltsgeschirrspüler, sowie an die Bereitstellung zugehöriger ergänzender Produktinformationen festgelegt.

Artikel 2 Begriffsbestimmungen

Zusätzlich zu den Begriffsbestimmungen des Artikels 2 der Richtlinie 2010/30/EU gelten für die Zwecke dieser Verordnung folgende Begriffsbestimmungen:

1. "Haushaltsgeschirrspüler" bezeichnet eine Maschine für das Reinigen, Spülen und Trocknen von Geschirr, Glaswaren, Besteck und Kochutensilien mit chemischen, mechanischen, thermischen und elektrischen Mitteln, die zur Nutzung vorwiegend für nichtprofessionelle Zwecke konzipiert ist;

2. "Einbau-Haushaltsgeschirrspüler" bezeichnet einen Haushaltsgeschirrspüler, der zum Einbau in einen Schrank, eine vorbereitete Wandaussparung oder einen ähnlichen Ort vorgesehen ist und eine Dekorabdeckung erfordert;

3. "Gedeck" bezeichnet eine festgelegte Menge an Geschirr, Glaswaren und Besteck zur Benutzung durch eine Person;

4. "Nennkapazität" bezeichnet die Höchstzahl der Gedecke nebst Serviergeschirrteilen nach Lieferantenangabe, die bei Beladung gemäß Lieferantenanweisung in einem Haushaltsgeschirrspüler mit dem gewählten Programm behandelt werden können;

5. "Programm" bezeichnet eine Reihe voreingestellter Operationen, die vom Lieferanten als für bestimmte Verschmutzungsgrade und/oder Beladungsarten geeignet erklärt werden und zusammen einen vollständigen Zyklus bilden;

6. "Programmdauer" bezeichnet den Zeitraum von der Einleitung des Programms bis zum Abschluss des Programms ohne etwaige vom Nutzer programmierte Zeitverzögerung;

7. "Zyklus" bezeichnet einen für die betreffende Programmwahl festgelegten vollständigen Reinigungs-, Spül- und Trockenprozess;

8. "Aus-Zustand" bezeichnet einen Zustand, in dem der Haushaltsgeschirrspüler durch Bedienelemente oder Schalter am Gerät ausgeschaltet ist, die dem Nutzer zugänglich und zur Betätigung durch denselben während des normalen Betriebs bestimmt sind, um die niedrigste dauerhaft mögliche Leistungsaufnahme zu erzielen, während der Haushaltsgeschirrspüler an eine Stromquelle angeschlossen ist und gemäß Lieferantenanweisung betrieben wird. In Ermangelung eines dem Nutzer zugänglichen Bedienelements oder Schalters bezeichnet "Aus-Zustand" den Betriebszustand mit stabiler Leistungsaufnahme, den der Haushaltsgeschirrspüler selbsttätig erreicht;

9. "Unausgeschalteter Zustand" bezeichnet den Betriebszustand mit der geringsten Leistungsaufnahme, der nach Abschluss des Programms und Entleerung des Haushaltsgeschirrspülers ohne weiteres Einwirken des Nutzers zeitlich unbegrenzt möglich ist;

10. "Gleichwertiger Haushaltsgeschirrspüler" bezeichnet ein in Verkehr gebrachtes Haushaltsgeschirrspüler-Modell mit der gleichen Nennkapazität, den gleichen technischen Eigenschaften und Leistungsmerkmalen, dem gleichen Energie- und Wasserverbrauch sowie den gleichen Luftschallemissionen wie ein von demselben Lieferanten unter einer anderen numerischen Handelsbezeichnung in Verkehr gebrachtes anderes Haushaltsgeschirrspüler-Modell;

11. "Nutzer" ist ein Verbraucher, der einen Haushaltsgeschirrspüler kauft oder zu kaufen im Begriff ist;

12. "Verkaufsstelle" ist ein Ort, an dem Haushaltsgeschirrspüler ausgestellt oder zum Verkauf, zur Vermietung oder zum Mietkauf angeboten werden.

Artikel 3 Verantwortlichkeiten der Lieferanten

Die Lieferanten stellen sicher, dass

  1. jeder Haushaltsgeschirrspüler mit einem gedruckten Etikett geliefert wird, dessen Gestaltung und Informationsgehalt den Vorgaben in Anhang I entsprechen,
  2. ein Produktdatenblatt gemäß Anhang II bereitgestellt wird,
  3. die technischen Unterlagen gemäß Anhang III auf Antrag den Behörden der Mitgliedstaaten und der Kommission verfügbar gemacht werden,
  4. bei jeglicher Werbung für ein bestimmtes Haushaltsgeschirrspülermodell mit energie- oder preisbezogenen Informationen auch dessen Energieeffizienzklasse angegeben wird,
  5. in technischem Werbematerial zu einem bestimmten Haushaltsgeschirrspülermodell mit Informationen zu dessen spezifischen technischen Parametern auch dessen Energieeffizienzklasse angegeben wird,
  6. den Händlern für jedes Haushaltsgeschirrspülermodell, das ab dem 1. Januar 2015 mit einer neuen Modellkennung in Verkehr gebracht wird, ein elektronisches Etikett bereitgestellt wird, dessen Gestaltung und Informationsgehalt den Vorgaben in Anhang I entsprechen. Es kann Händlern auch für andere Haushaltsgeschirrspülermodelle bereitgestellt werden,
  7. den Händlern für jedes Haushaltsgeschirrspülermodell, das ab dem 1. Januar 2015 mit einer neuen Modellkennung in Verkehr gebracht wird, ein elektronisches Produktdatenblatt gemäß den Vorgaben in Anhang II bereitgestellt wird. Es kann Händlern auch für andere Haushaltsgeschirrspülermodelle bereitgestellt werden.

Artikel 4 Verantwortlichkeiten der Händler

Die Händler stellen sicher, dass

  1. alle Haushaltsgeschirrspüler in der Verkaufsstelle das von den Lieferanten gemäß Artikel 3 Buchstabe a bereitgestellte Etikett deutlich sichtbar außen an der Vorder- oder Oberseite tragen;
  2. Haushaltsgeschirrspüler, die in einer Weise zum Verkauf, zur Vermietung oder zum Ratenkauf angeboten werden, bei der nicht davon auszugehen ist, dass der Endnutzer den Haushaltsgeschirrspüler ausgestellt sieht, bei der Vermarktung mit den von den Lieferanten gemäß Anhang IV bereitzustellenden Informationen versehen sind. Erfolgt das Angebot über das Internet und wurden ein elektronisches Etikett und ein elektronisches Produktdatenblatt gemäß Artikel 3 Buchstaben f und g bereitgestellt, gelten stattdessen die Bestimmungen des Anhangs VIII;
  3. bei jeglicher Werbung für ein bestimmtes Haushaltsgeschirrspülermodell mit energie- oder preisbezogenen Informationen auch dessen Energieeffizienzklasse angegeben wird;
  4. in technischem Werbematerial zu einem bestimmten Haushaltsgeschirrspülermodell mit Informationen zu dessen spezifischen technischen Parametern auch dessen Energieeffizienzklasse angegeben wird.

Artikel 5 Messverfahren

Die gemäß Artikel 3 und 4 bereitzustellenden Informationen werden durch zuverlässige, genaue und reproduzierbare Messmethoden ermittelt, die dem anerkannten Stand der Messtechnik Rechnung tragen.

Artikel 6 Nachprüfungsverfahren zur Marktaufsicht

Die Mitgliedstaaten ermitteln die Einhaltung der gemachten Angaben zur Energieeffizienzklasse, zum jährlichen Stromverbrauch, zum jährlichen Wasserverbrauch, zum Trocknungseffizienzindex, zur Programmdauer, zur Leistungsaufnahme im Aus-Zustand und im unausgeschalteten Zustand, zur Dauer des unausgeschalteten Zustands und zu den Luftschallemissionen nach dem Verfahren gemäß Anhang V.

Artikel 7 Überprüfung

Die Kommission überprüft diese Verordnung spätestens vier Jahre nach ihrem Inkrafttreten im Lichte des technischen Fortschritts. Bei der Überprüfung werden insbesondere die Prüftoleranzen nach Anhang V bewertet.

Artikel 8 Aufhebung

Die Richtlinie 97/17/EG wird hiermit zum 20. Dezember 2011 aufgehoben.

Artikel 9 Übergangsvorschriften

(1) Artikel 3 Buchstaben d und e sowie Artikel 4 Buchstaben b, c und d gelten nicht für gedruckte Werbung und gedrucktes technisches Werbematerial, die bzw. das vor dem 30. März 2012 veröffentlicht wird.

(2) Haushaltsgeschirrspüler, die vor dem 30. November 2011 in Verkehr gebracht werden, müssen den Bestimmungen der Richtlinie 97/17/EG entsprechen.

(3) Wird eine Rechtsvorschrift zur Durchführung der Richtlinie 2009/125/EG des Europäischen Parlaments und des Rates im Hinblick auf die Festlegung von Anforderungen an die umweltgerechte Gestaltung von Haushaltsgeschirrspülern 4 verabschiedet, so gelten Haushaltsgeschirrspüler, die den Bestimmungen dieser Durchführungsmaßnahme hinsichtlich der Reinigungseffizienzanforderungen und den Bestimmungen dieser Verordnung entsprechen und vor dem 20. Dezember 2011 in Verkehr gebracht oder zum Verkauf, zur Vermietung oder zum Mietkauf angeboten werden, als den Bestimmungen der Richtlinie 97/17/EG entsprechend.

Artikel 10 Inkrafttreten und Geltung

Diese Verordnung tritt am zwanzigsten Tag nach ihrer Veröffentlichung im Amtsblatt der Europäischen Union in Kraft.

Sie gilt ab dem 20. Dezember 2011. Artikel 3 Buchstaben d und e sowie Artikel 4 Buchstaben b, c und d gelten hingegen ab dem 20. April 2012.

Diese Verordnung ist in allen ihren Teilen verbindlich und gilt unmittelbar in jedem Mitgliedstaat.

1) ABl. Nr. L 153 vom 18.06.2010 S. 1.

2) ABl. Nr. L 118 vom 07.05.1997 S. 1.

3) ABl. Nr. L 204 vom 21.07.1998 S. 37.

4) ABl. Nr. L 285 vom 31.10.2009 S. 10.

.

Etikett Anhang I

1. Etikett

(1) Das Etikett muss die folgenden Informationen enthalten:

  1. Name oder Warenzeichen des Lieferanten;
  2. Modellkennung des Lieferanten, also der üblicherweise alpha-numerische Code, der ein bestimmtes Haushaltsgeschirrspülermodell von anderen Modellen mit dem gleichen Warenzeichen oder Lieferantennamen unterscheidet;
  3. Energieeffizienzklasse, ermittelt gemäß Anhang VI Nummer 1. Die Spitze des Pfeils, der die Energieeffizienzklasse des Haushaltsgeschirrspülers angibt, ist auf derselben Höhe zu platzieren wie die Spitze des Pfeils der entsprechenden Energieeffizienzklasse;
  4. jährlicher Energieverbrauch (AEC), ermittelt gemäß Anhang VII Nummer 1 Buchstabe b, in kWh/Jahr, auf die nächste Ganzzahl aufgerundet;
  5. jährlicher Wasserverbrauch (AWC), ermittelt gemäß Anhang VII Nummer 3, in Liter/Jahr, auf die nächste Ganzzahl aufgerundet;
  6. Trocknungseffizienzklasse, ermittelt gemäß Anhang VI Nummer 2;
  7. Nennkapazität in Standardgedecken für den Standardreinigungszyklus;
  8. Luftschallemissionen in dB(A) re 1 pW, auf die nächstliegende Ganzzahl gerundet.

(2) Die grafische Gestaltung des Etiketts muss Nummer 2 entsprechen. Abweichend hiervon gilt, dass das EU-Umweltzeichen hinzugefügt werden kann, wenn für das betreffende Modell ein EU-Umweltzeichen gemäß der Verordnung (EG) Nr. 66/2010 des Europäischen Parlaments und des Rates 1 vergeben wurde.

2. Grafische Gestaltung des Etiketts

Die grafische Gestaltung des Etiketts muss der folgenden Abbildung entsprechen.

Dabei gilt:

  1. Das Etikett muss mindestens 110 mm breit und 220 mm hoch sein. Wird das Kennzeichen in größerem Format gedruckt, so müssen die Proportionen der obigen Spezifikationen gewahrt bleiben.
  2. Der Hintergrund muss weiß sein.
  3. Farbliche Gestaltung: CMYK - Cyan, Magenta, Gelb, Schwarz - nach folgendem Muster: 00-70-X-00: 0 % Cyan, 70 % Magenta, 100 % Gelb, 0 % Schwarz.
  4. Das Etikett muss folgenden Anforderungen entsprechen (Nummern beziehen sich auf die obige Abbildung):
    1. Begrenzungslinie: 5 pt - Farbe: Cyan 100 % - abgerundete Ecken: 3,5 mm.
    2. EU-Logo - Farben: X-80-00-00 und 00-00-X-00.
    3. Energie-Logo: Farbe: X-00-00-00. Piktogramm wie abgebildet; EU-Logo und Energie-Logo (kombiniert): Breite: 92 mm, Höhe: 17 mm.
    4. Trennlinie unter dem Etikettenkopf: 1 pt - Farbe: Cyan 100 % - Länge: 92,5 mm.
    5. Skala A-G
      • Pfeil: Höhe: 7 mm, Zwischenraum: 0,75 mm - Farben:
        Höchste Effizienzklasse: X-00-X-00,
        Zweite Effizienzklasse: 70-00-X-00,
        Dritte Effizienzklasse: 30-00-X-00,
        Vierte Effizienzklasse: 00-00-X-00,
        Fuenfte Effizienzklasse: 00-30-X-00,
        Sechste Effizienzklasse: 00-70-X-00,
        Letzte Effizienzklasse: 00-X-X-00.
      • Text: Calibri fett 18 pt, Großbuchstaben, weiß; Plus-Zeichen: Calibri fett 12 pt, Großbuchstaben, weiß, in einer einzigen Zeile ausgerichtet.
    6. Energieeffizienzklasse
      • Pfeil: Breite: 26 mm, Höhe: 14 mm, 100 % Schwarz.
      • Text: Calibri fett 29 pt, Großbuchstaben, weiß; Plus-Zeichen: Calibri fett 18 pt, Großbuchstaben, weiß, in einer einzigen Zeile ausgerichtet.
    7. Energie
      • Text: Calibri normal 11 pt, Großbuchstaben, 100 % Schwarz.
    8. Jährlicher Energieverbrauch
      • Begrenzungslinie: 2 pt - Farbe: Cyan 100 % - abgerundete Ecken: 3,5 mm.
      • Wert: Calibri fett 37 pt, 100 % Schwarz.
      • Zweite Zeile: Calibri normal 17 pt, 100 % Schwarz.
    9. Jährlicher Wasserverbrauch
      • Piktogramm wie abgebildet
      • Begrenzungslinie: 2 pt - Farbe: Cyan 100 % - abgerundete Ecken: 3,5 mm.
      • Wert: Calibri fett 24 pt, 100 % Schwarz; und Calibri normal 16 pt, 100 % Schwarz.
    10. Trocknungseffizienzklasse:
      • Piktogramm wie abgebildet
      • Begrenzungslinie: 2 pt - Farbe: Cyan 100 % - abgerundete Ecken: 3,5 mm.
      • Wert: Calibri normal 16 pt, horizontale Skala 75 %, 100 % Schwarz und Calibri normal 22 pt, horizontale Skala 75 %, 100 % Schwarz.
    11. Nennkapazität:
      • Piktogramm wie abgebildet
      • Begrenzungslinie: 2 pt - Farbe: Cyan 100 % - abgerundete Ecken: 3,5 mm.
      • Wert: Calibri fett 24 pt, 100 % Schwarz; und Calibri normal 16 pt, 100 % Schwarz.
    12. Schallemissionen:
      • Piktogramm wie abgebildet
      • Begrenzungslinie: 2 pt - Farbe: Cyan 100 % - abgerundete Ecken: 3,5 mm.
      • Wert: Calibri fett 24 pt, 100 % Schwarz; und Calibri normal 16 pt, 100 % Schwarz.
    13. Name oder Warenzeichen des Lieferanten
    14. Modellkennung des Lieferanten
    15. Die Lieferantenangaben und die Modellkennung sollten in eine Fläche von 92 x 15 mm passen.
    16. Nummer der Verordnung: Calibri fett 9 pt, 100 % Schwarz.
1) ABl. L 27 vom 30.01.2010 S. 1.

.

Produktdatenblatt Anhang II

1. Die Angaben auf dem Produktdatenblatt des Haushaltsgeschirrspülers sind in nachstehender Reihenfolge zu machen und in die Produktbroschüre oder andere mit dem Produkt bereitgestellte Unterlagen aufzunehmen:

  1. Name oder Warenzeichen des Lieferanten;
  2. Modellkennung des Lieferanten, d. h. der üblicherweise alphanumerische Code, der ein bestimmtes Haushaltsgeschirrspülermodell von anderen Modellen des gleichen Warenzeichens oder mit dem gleichen Lieferantennamen unterscheidet;
  3. Nennkapazität in Standardgedecken für den Standardreinigungszyklus;
  4. Energieeffizienzklasse gemäß Anhang VI Nummer 1;
  5. sofern für den Haushaltsgeschirrspüler ein EU-Umweltzeichen gemäß der Verordnung (EG) Nr. 66/2010 vergeben wurde, kann dies mit angegeben werden;
  6. jährlicher Energieverbrauch (AEC), ermittelt gemäß Anhang VII Nummer 1 Buchstabe b, in kWh/Jahr, auf die nächste Ganzzahl aufgerundet. Dieser ist anzugeben als "Energieverbrauch 'X' kWh/Jahr auf der Grundlage von 280 Standardreinigungszyklen bei Kaltwasserbefüllung und dem Verbrauch der Betriebsarten mit geringer Leistungsaufnahme. Der tatsächliche Energieverbrauch hängt von der Art der Nutzung des Geräts ab.";
  7. Energieverbrauch (Et) des Standardreinigungszyklus;
  8. Leistungsaufnahme im Aus-Zustand und im unausgeschalteten Zustand (Po und Pl);
  9. jährlicher Wasserverbrauch (AWC), ermittelt gemäß Anhang VII Nummer 3, in Liter/Jahr, auf die nächste Ganzzahl aufgerundet; dieser ist anzugeben als: "Wasserverbrauch 'X' Liter/Jahr, auf der Grundlage von 280 Standardreinigungszyklen. Der tatsächliche Wasserverbrauch hängt von der Art der Nutzung des Geräts ab.";
  10. Trocknungseffizienzklasse, ermittelt gemäß Anhang VI Nummer 2 und ausgedrückt als "Trocknungseffizienzklasse 'X' auf einer Skala von G (geringste Effizienz) bis a (höchste Effizienz)". Erfolgt die Angabe in Tabellenform, kann von dieser Darstellung abgewichen werden, sofern deutlich wird, dass die Skala von G (geringste Effizienz) bis a (höchste Effizienz) reicht;
  11. Hinweise auf den Umstand, dass das "Standardprogramm" der Reinigungszyklus ist, auf den sich die Informationen auf dem Etikett und im Datenblatt beziehen, dass dieses Programm zur Reinigung normal verschmutzten Geschirrs geeignet und in Bezug auf den kombinierten Energie- und Wasserverbrauch am effizientesten ist;
  12. Programmdauer des Standardreinigungszyklus in Minuten, auf die nächstliegende Ganzzahl gerundet;
  13. Dauer des unausgeschalteten Zustands (Tl), falls der Haushaltsgeschirrspüler mit Leistungssteuerung ausgerüstet ist;
  14. Luftschallemissionen in dB(A) re 1 pW, auf die nächstliegende Ganzzahl gerundet;
  15. falls der Haushaltsgeschirrspüler für den Einbau bestimmt ist, eine entsprechende Angabe.

2. Ein Datenblatt kann eine Reihe von Haushaltsgeschirrspülermodellen desselben Lieferanten abdecken.

3. Die Angaben im Datenblatt können in Form einer Kopie des Etiketts in Farbe oder schwarz/weiß erfolgen. In diesem Fall sind die in Nummer 1 aufgeführten Angaben, die nicht bereits auf dem Etikett vorhanden sind, ebenfalls zu machen.

.

Technische Unterlagen Anhang III

1. Die in Artikel 3 Buchstabe c genannten technischen Unterlagen umfassen:

  1. Name und Anschrift des Lieferanten;
  2. eine allgemeine, für eine eindeutige und unmittelbare Identifizierung ausreichende Beschreibung des Haushaltsgeschirrspülermodells;
  3. gegebenenfalls die Fundstellen der angewandten harmonisierten Normen;
  4. gegebenenfalls die sonstigen angewandten technischen Normen und Spezifikationen;
  5. Name und Unterschrift der für den Lieferanten zeichnungsberechtigten Person;
  6. folgende technische Parameter für Messungen:
    1. Energieverbrauch,
    2. Wasserverbrauch,
    3. Programmdauer,
    4. Trocknungseffizienz,
    5. Leistungsaufnahme im Aus-Zustand,
    6. Leistungsaufnahme im unausgeschalteten Zustand,
    7. Dauer des unausgeschalteten Zustands,
    8. Luftschallemissionen;
  7. die Ergebnisse von Berechnungen gemäß Anhang VII.

2. Wurden die in den technischen Unterlagen enthaltenen Angaben für ein bestimmtes Haushaltsgeschirrspülermodell durch Berechnung auf der Grundlage der Bauart und/oder durch Extrapolation ausgehend von anderen gleichwertigen Haushaltgeschirrspülern ermittelt, so sind in den Unterlagen Einzelheiten zu den Berechnungen und/oder Extrapolationen und zu den Tests, die von den Lieferanten zur Überprüfung der Korrektheit der Berechnungen durchgeführt werden, anzugeben. Die Informationen müssen auch eine Liste aller anderen gleichwertigen Haushaltsgeschirrspülermodelle umfassen, bei denen die Angaben auf derselben Grundlage ermittelt wurden.

.

Informationen, die in Fällen bereitzustellen sind, in denen nicht davon auszugehen ist, dass der Nutzer das Gerät ausgestellt sieht Anhang IV

1. Die in Artikel 4 Buchstabe b genannten Informationen sind in nachstehender Reihenfolge anzugeben:

  1. Energieeffizienzklasse gemäß Anhang VI Nummer 1;
  2. Nennkapazität in Standardgedecken für den Standardreinigungszyklus;
  3. jährlicher Energieverbrauch (AEC) in kWh/Jahr, berechnet gemäß Anhang VII Nummer 1 Buchstabe b und aufgerundet auf die nächste Ganzzahl;
  4. jährlicher Wasserverbrauch (AWC) in Liter/Jahr, berechnet gemäß Anhang VII Nummer 3 und aufgerundet auf die nächste Ganzzahl;
  5. Trocknungseffizienzklasse gemäß Anhang VI Nummer 2;
  6. Luftschallemissionen in dB(A) re 1 pW, auf die nächste Ganzzahl gerundet;
  7. eine entsprechende Angabe, falls das Modell für den Einbau bestimmt ist.

2. Werden weitere im Produktdatenblatt enthaltene Angaben gemacht, sind sie in der Form und Reihenfolge gemäß Anhang II bereitzustellen.

3. Der Schrifttyp und die Schriftgröße, in der alle in diesem Anhang genannten Informationen aufgeführt werden, müssen lesbar sein.

.

Prüfung der Produktkonformität durch die Marktaufsichtsbehörden Anhang V 17

Die in diesem Anhang festgelegten Prüftoleranzen betreffen nur die Nachprüfung der gemessenen Parameter durch die Behörden der Mitgliedstaaten und dürfen vom Lieferanten keinesfalls als zulässige Toleranzen für die Angabe der Werte in den technischen Unterlagen verwendet werden. Die auf dem Etikett und dem Produktdatenblatt angegebenen Werte und Klassen dürfen für den Lieferanten nicht günstiger sein als die in den technischen Unterlagen vermerkten Werte.

Wenn die Behörden der Mitgliedstaaten prüfen, ob das Modell eines Produkts den in dieser Delegierten Verordnung festgelegten Anforderungen in Bezug auf die in diesem Anhang genannten Anforderungen entspricht, wenden sie folgendes Verfahren an:

(1) Die Behörden der Mitgliedstaaten prüfen ein einziges Exemplar des Modells.

(2) Das Modell gilt als konform mit den geltenden Anforderungen, wenn

  1. die Werte in den technischen Unterlagen gemäß Artikel 5 Buchstabe b der Richtlinie 2010/30/EU (angegebene Werte) und, wenn zutreffend, die zur Berechnung dieser Werte verwendeten Werte für den Lieferanten nicht günstiger sind als die entsprechenden Werte in den unter Ziffer iii des genannten Artikels aufgeführten Testberichten; und
  2. die auf dem Etikett und im Produktdatenblatt veröffentlichten Werte für den Lieferanten nicht günstiger sind als die angegebenen Werte, und die angegebene Energieeffizienzklasse für den Lieferanten nicht günstiger ist als die aufgrund der angegebenen Werte ermittelte Klasse; und
  3. bei Prüfung des Exemplars des Modells durch die Behörden der Mitgliedstaaten die ermittelten Werte (bei der Prüfung gemessene Werte der relevanten Parameter und die aufgrund dieser Messungen berechneten Werte) den in Tabelle 1 angegebenen Prüftoleranzen entsprechen.

(3) Werden die in Absatz 2 Buchstaben a oder b genannten Ergebnisse nicht erreicht, gelten das Modell und alle in den technischen Unterlagen des Lieferanten als gleichwertig aufgeführten Modelle von Haushaltsgeschirrspülern als nicht konform mit dieser Delegierten Verordnung.

(4) Wird das in Absatz 2 Buchstabe c genannte Ergebnis nicht erreicht, wählen die Behörden des Mitgliedstaats drei weitere Exemplare des gleichen Modells für die Prüfung aus. Alternativ können drei weitere Exemplare eines oder mehrerer anderer Modelle ausgewählt werden, die in den technischen Unterlagen des Lieferanten als gleichwertige Modelle aufgeführt werden.

(5) Das Modell gilt als konform mit den geltenden Anforderungen, wenn für diese drei Exemplare das arithmetische Mittel der ermittelten Werte innerhalb der in Tabelle 1 angegebenen Toleranzen liegt.

(6) Wird das in Absatz 5 genannte Ergebnis nicht erreicht, gelten das Modell und alle in den technischen Unterlagen des Lieferanten als gleichwertig aufgeführten Modelle von Haushaltsgeschirrspülern als nicht konform mit dieser Delegierten Verordnung.

(7) Die Behörden des Mitgliedstaats übermitteln den Behörden der anderen Mitgliedstaaten und der Kommission alle relevanten Informationen unverzüglich nach einer Entscheidung über die Nichtkonformität des Modells gemäß den Absätzen 3 und 6.

Die Behörden der Mitgliedstaaten verwenden Messverfahren, die sich auf allgemein anerkannte, dem Stand der Technik entsprechende, zuverlässige, genaue und reproduzierbare Messmethoden stützen, einschließlich von Methoden, die in Dokumenten dargelegt werden, deren Nummern zu diesem Zweck im Amtsblatt der Europäischen Union veröffentlicht wurden. Die Behörden der Mitgliedstaaten verwenden die Mess- und Berechnungsmethoden, die in Anhang VII beschrieben werden.

Die Behörden der Mitgliedstaaten wenden nur die in Tabelle 1 aufgeführten Prüftoleranzen und in Bezug auf die in diesem Anhang genannten Anforderungen nur das in den Absätzen 1 bis 7 beschriebene Verfahren an. Es finden keine anderen Toleranzen Anwendung, die etwa in harmonisierten Normen oder in anderen Messverfahren festgelegt sind.

Tabelle 1 Prüftoleranzen

Parameter Prüftoleranzen
Jährlicher Energieverbrauch (AEC) Der ermittelte Wert darf den angegebenen AEC-Wert nicht um mehr als 10 % überschreiten.
Wasserverbrauch (Wt) Der ermittelte Wert darf den angegebenen Wt-Wert nicht um mehr als 10 % überschreiten.
Trocknungseffizienzindex (ID) Der ermittelte Wert darf den angegebenen ID-Wert nicht um mehr als 19 % unterschreiten.
Energieverbrauch (Et) Der ermittelte Wert darf den angegebenen Et-Wert nicht um mehr als 10 % überschreiten. Müssen drei weitere Exemplare ausgewählt werden, darf das arithmetische Mittel der für diese drei Exemplare bestimmten Werte den angegebenen Et -Wert nicht um mehr als 6 % überschreiten.
Programmdauer (Tt) Der ermittelte Wert darf die angegebenen Tt-Werte nicht um mehr als 10 % überschreiten.
Leistungsaufnahme im Aus-Zustand und im unausgeschalteten Zustand (Po und Pl) Die ermittelten Leistungsaufnahmewerte für Po und Pl von über 1,00 W dürfen die angegebenen Werte für Po und Pl nicht um mehr als 10 % überschreiten. Die ermittelten Leistungsaufnahmewerte für Po und Pl bis 1,00 W dürfen die angegebenen Werte für Po und Pl nicht um mehr als 0,10 W überschreiten.
Dauer des unausgeschalteten Zustands (Tl) Der ermittelte Wert darf den angegebenen Tl-Wert nicht um mehr als 10 % überschreiten.
Luftschallemissionen Der ermittelte Wert muss dem angegebenen Wert entsprechen.

.

Energieeffizienzklassen und Trocknungseffizienzklassen Anhang VI

1. Energieeffizienzklassen

Die Energieeffizienzklasse eines Haushaltsgeschirrspülers wird auf der Grundlage seines Energieeffizienzindex (EEI) gemäß Tabelle 1 ermittelt.

Der Energieeffizienzindex (EEI) eines Haushaltsgeschirrspülers wird gemäß Anhang VII Nummer 1 ermittelt.

Tabelle 1: Energieeffizienzklassen

Energieeffizienzklasse Energieeffizienzindex
A+++ (höchste Effizienz) EEI < 50
A++ 50 ≤ EEI < 56
A+ 56 ≤ EEI < 63
A 63 ≤ EEI < 71
B 71 ≤ EEI < 80
C 80 ≤ EEI < 90
D (geringste Effizienz) EEI ≥ 90

2. Trocknungseffizienzklassen

Die Trocknungseffizienzklasse eines Haushaltsgeschirrspülers wird auf der
Grundlage seines Trocknungseffizienzindex (ID) gemäß Tabelle 2 ermittelt.

Der Trocknungseffizienzindex (ID) wird gemäß Anhang VII Nummer 2 berechnet.

Tabelle 2: Trocknungseffizienzklassen

Trocknungseffizienzklasse Trocknungseffizienzindex
a (höchste Effizienz) ID > 1,08
B 1,08 ≥ ID > 0,86
C 0,86 ≥ ID > 0,69
D 0,69 ≥ ID > 0,55
E 0,55 ≥ ID > 0,44
F 0,44 ≥ ID > 0,33
G (geringste Effizienz) 0,33 ≥ ID

.

Methode zur Berechnung des Energieeffizienzindex, des Trocknungseffizienzindex und des Wasserverbrauchs Anhang VII

1. Berechnung des Energieeffizienzindex

Zur Berechnung des Energieeffizienzindex (EEI) eines Haushaltsgeschirrspülermodells wird der jährliche Energieverbrauch des Haushaltsgeschirrspülers mit seinem standardmäßigen jährlichen Energieverbrauch verglichen.

  1. Der Energieeffizienzindex (EEI) wird wie folgt berechnet und auf eine Dezimalstelle gerundet:

    EEI = (AEC / SAEC) × 100

    Hierbei sind:

    AEC = jährlicher Energieverbrauch des Haushaltsgeschirrspülers;

    SAEC = standardmäßiger jährlicher Energieverbrauch des Haushaltsgeschirrspülers.

  2. Der jährliche Energieverbrauch (AEc) wird wie folgt berechnet und auf zwei Dezimalstellen gerundet in kWh/Jahr angegeben:
    1. Hierbei sind:

      Et = Energieverbrauch für den Standardzyklus in kWh, auf drei Dezimalstellen gerundet;

      Pl = Leistungsaufnahme im unausgeschalteten Zustand des Standardreinigungszyklus in W, auf zwei Dezimalstellen gerundet;

      Po = Leistungsaufnahme im Aus-Zustand des Standardreinigungszyklus in W, auf zwei Dezimalstellen gerundet;

      Tt = Programmdauer des Standardreinigungszyklus in Minuten, auf die nächstliegende Minute gerundet;

      280 = Gesamtzahl der jährlichen Standardreinigungszyklen.


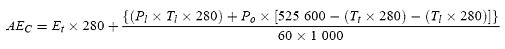
    2. Falls der Haushaltsgeschirrspüler mit Leistungssteuerung ausgerüstet ist und am Programmende automatisch in den Aus-Zustand schaltet, wird der jährliche Energieverbrauch AEC unter Berücksichtigung der tatsächlichen Dauer des unausgeschalteten Zustands nach der folgenden Formel berechnet:

      Hierbei sind:

      Tl = gemessene Dauer des unausgeschalteten Zustands des Standardreinigungszyklus in Minuten, auf die nächste Minute gerundet;

      280 = Gesamtzahl der jährlichen Standardreinigungszyklen.

  3. Der standardmäßige jährliche Energieverbrauch (SAEC) wird wie folgt berechnet und auf zwei Dezimalstellen gerundet in kWh/Jahr angegeben:
    1. für Haushaltsgeschirrspüler mit einer Nennkapazität ps von 10 Gedecken oder mehr und einer Breite von mehr als 50 cm:

      SAEC = 7,0 × ps + 378

    2. für Haushaltsgeschirrspüler mit einer Nennkapazität ps von 9 Gedecken oder weniger und Haushaltsgeschirrspüler mit einer Nennkapazität von 10 oder 11 Gedecken und einer Breite von höchstens 50 cm:

      SAEC = 25,2 × ps + 126

      Hierbei ist:

      ps = Anzahl der Gedecke.

2. Berechnung des Trocknungseffizienzindex

Zur Berechnung des Trocknungseffizienzindex (ID) eines Haushaltsgeschirrspülermodells wird die Trocknungseffizienz des Haushaltsgeschirrspülers mit der Trocknungseffizienz eines Bezugs-Geschirrspülers verglichen, dessen Eigenschaften den Vorgaben anerkannter Messmethoden sowie Verfahren gemäß Dokumenten, deren Fundstellen zu diesem Zweck imAmtsblatt der Europäischen Union veröffentlicht wurden, entsprechen.

  1. Der Trocknungseffizienzindex (ID) wird wie folgt berechnet und auf zwei Dezimalstellen gerundet:

    Hierbei sind:

    DT,i = Trocknungseffizienz des geprüften Haushaltsgeschirrspülers für einen Testzyklus (i);

    DR,i = Trocknungseffizienz des Bezugs-Geschirrspülers für einen Testzyklus (i);

    n = Anzahl der Testzyklen, n > 5.

  2. Die Trocknungseffizienz (D) ist der Mittelwert des Nässewerts aller einzelnen Spülgutteile nach Abschluss eines Standardreinigungszyklus. Der Nässewert wird gemäß Tabelle 1 berechnet:

    Tabelle 1

    Zahl der Wasserspuren (WT) oder Nässestreifen (WS) Gesamte nasse Fläche (Aw) in mm2 Nässewert
    WT = 0 und WS = 0 nicht anwendbar 2 (höchste Effizienz)
    1 < WT ≤ 2 oder WS = 1 Aw < 50 1
    2 < WT oder WS = 2
    oder WS = 1 und WT = 1
    Aw > 50 0 (geringste Effizienz)

3. Berechnung des jährlichen Wasserverbrauchs

Der jährliche Wasserverbrauch (AWC) eines Haushaltsgeschirrspülers wird wie folgt in Liter berechnet und auf die nächste Ganzzahl aufgerundet:

AWC = Wt × 280

Hierbei ist:

Wt = Wasserverbrauch für den Standardreinigungszyklus in Liter, auf eine Dezimalstelle gerundet.

.

Informationen, die im Fall des Verkaufs, der Vermietung oder des Mietkaufs über das Internet bereitzustellen sind Anhang VIII

(1) Für die Zwecke der Nummern 2 bis 5 gelten die folgenden Begriffsbestimmungen:

  1. "Anzeigemechanismus" bezeichnet jeden Bildschirm, einschließlich Touchscreens, oder sonstige Bildtechnologien zur Anzeige von Internet-Inhalten für Nutzer;
  2. "geschachtelte Anzeige" bezeichnet eine grafische Benutzeroberfläche, bei der der Zugang zu Bildern oder Datensätzen per Mausklick auf ein anderes Bild oder einen anderen Datensatz, per Maus-Rollover über ein anderes Bild oder einen anderen Datensatz oder durch Berühren oder Aufziehen eines anderen Bildes oder Datensatzes auf einem Touchscreen erfolgt;
  3. "Touchscreen" bezeichnet einen berührungsempfindlichen Bildschirm wie jenen von tablet-Computern, Slate-Computern oder Smartphones;
  4. "alternativer Text" bezeichnet einen Text, der als Alternative zu einer Grafik bereitgestellt wird und die Darstellung von Informationen in nicht grafischer Form ermöglicht, wenn Anzeigegeräte die Grafik nicht wiedergeben können, oder der als Hilfe für die Barrierefreiheit dient, z.B. als Eingabe für Sprachsynthese-Anwendungen.

(2) Das von den Lieferanten gemäß Artikel 3 Buchstabe f bereitgestellte Etikett ist auf dem Anzeigemechanismus in der Nähe des Produktpreises darzustellen. Die Größe ist so zu wählen, dass das Etikett gut sichtbar und leserlich ist, und die Proportionen müssen der in Anhang I Nummer 2 festgelegten Größe entsprechen. Das Etikett kann mit Hilfe einer geschachtelten Anzeige angezeigt werden, wobei das für den Zugang zum Etikett verwendete Bild den Vorgaben in Nummer 3 entsprechen muss. Bei Anwendung einer geschachtelten Anzeige muss das Etikett beim ersten Mausklick auf das Bild, beim ersten Maus-Rollover über das Bild bzw. beim ersten Berühren oder Aufziehen des Bildes auf einem Touchscreen erscheinen.

(3) Das für den Zugang zum Etikett genutzte Bild muss bei einer geschachtelten Anzeige

  1. ein Pfeil in der Farbe der Energieeffizienzklasse des Produkts auf dem Etikett sein,
  2. auf dem Pfeil die Energieeffizienzklasse des Produkts in Weiß in einer Schriftgröße, die der des Preises entspricht, enthalten und
  3. einem der folgenden zwei Formate entsprechen:

(4) Bei einer geschachtelten Anzeige muss die Reihenfolge, in der das Etikett angezeigt wird, folgenden Vorgaben entsprechen:

  1. das in Nummer 3 genannte Bild wird auf dem Anzeigemechanismus in der Nähe des Produktpreises dargestellt;
  2. das Bild muss mit einem Link zum Etikett versehen sein;
  3. das Etikett wird nach einem Mausklick auf das Bild, nach einem Maus-Rollover über das Bild oder nach dem Berühren oder Aufziehen des Bildes auf einem Touchscreen angezeigt;
  4. das Etikett wird in einem Pop-up-Fenster, auf einer neuen Registerkarte, auf einer neuen Seite oder als Einblendung angezeigt;
  5. für die Vergrößerung des Etiketts auf Touchscreens gelten die Gerätekonventionen für die Vergrößerung durch Berührung eines Touchscreens;
  6. die Anzeige des Etiketts wird mit Hilfe einer Option zum Schließen oder mit einem anderen Standard-Schließmechanismus beendet;
  7. der alternative Text für die Grafik, der anzuzeigen ist, wenn das Etikett nicht angezeigt werden kann, gibt die Energieeffizienzklasse des Produkts in einer Schriftgröße an, die der des Preises entspricht.

(5) Das von den Lieferanten gemäß Artikel 3 Buchstabe g bereitgestellte Produktdatenblatt ist auf dem Anzeigemechanismus in der Nähe des Produktpreises darzustellen. Die Größe ist so zu wählen, dass das Produktdatenblatt gut sichtbar und leserlich ist. Das Produktdatenblatt kann mit Hilfe einer geschachtelten Anzeige dargestellt werden; in diesem Fall muss auf dem Link für den Zugriff auf das Datenblatt klar und leserlich "Produktdatenblatt" angegeben sein. Bei Anwendung einer geschachtelten Anzeige muss das Produktdatenblatt beim ersten Mausklick auf den Link, beim ersten Maus-Rollover über den Link bzw. beim ersten Berühren oder Aufziehen des Links auf einem Touchscreen erscheinen.


ENDE

umwelt-online - Demo-Version


(Stand: 22.08.2025)

Alle vollständigen Texte in der aktuellen Fassung im Jahresabonnement
Nutzungsgebühr: ab 105.- € netto (Grundlizenz)

(derzeit ca. 7200 Titel s.Übersicht - keine Unterteilung in Fachbereiche)

Preise & Bestellung

Die Zugangskennung wird kurzfristig übermittelt

? Fragen ?
Abonnentenzugang/Volltextversion