Für einen individuellen Ausdruck passen Sie bitte die
Einstellungen in der Druckvorschau Ihres Browsers an.
Regelwerk, EU 2010, Energienutzung - EU Bund

Delegierte Verordnung (EU) Nr. 1061/2010 der Kommission vom 28. September 2010 zur Ergänzung der Richtlinie 2010/30/EU des Europäischen Parlaments und des Rates im Hinblick auf die Kennzeichnung von Haushaltswaschmaschinen in Bezug auf den Energieverbrauch

(Text von Bedeutung für den EWR)

(ABl. Nr. L 314 vom 30.11.2010 S. 47, ber. 2011 L 78 S. 69, ber. L 297 S. 72;
VO (EU) 518/2014 - ABl. Nr. L 147 vom 17.05.2014 S. 1;
VO (EU) 2017/254 - ABl. Nr. L 38 vom 15.02.2017 S. 1 Inkrafttreten;
VO (EU) 2019/2014 - ABl. L 315 vom 05.12.2019 S. 29 Inkraftreten Gültig A;
VO (EU) 2020/1059 - ABl. L 232 vom 20.07.2020 S. 28 Inkrafttreten;
aufgehoben)



aufgehoben/ersetzt gem. Art. 11 der VO (EU) 2019/2014 - Gültig Anwenden Übergangsregelungen

Hebt RL 95/12/EG zum 20.12.2011 auf.

Ergänzende Informationen
Normenübersicht // Normen - Mitt. 2016/C 416/01

EU - Liste zur Ergänzung der RL 2010/30/EU im Hinblick auf die Energiekennzeichnung von ....


Die Europäische Kommission -

gestützt auf den Vertrag über die Arbeitsweise der Europäischen Union,

gestützt auf die Richtlinie 2010/30/EU des Europäischen Parlaments und des Rates vom 19. Mai 2010 über die Angabe des Verbrauchs an Energie und anderen Ressourcen durch energieverbrauchsrelevante Produkte mittels einheitlicher Etiketten und Produktinformationen 1, insbesondere auf Artikel 10,

in Erwägung nachstehender Gründe:

(1) Die Kommission hat gemäß der Richtlinie 2010/30/EU delegierte Rechtsakte zur Kennzeichnung energieverbrauchsrelevanter Produkte zu erlassen, die ein erhebliches Potenzial zur Einsparung von Energie sowie große Unterschiede in den Leistungsniveaus bei gleichwertigen Funktionen aufweisen.

(2) Bestimmungen zur Kennzeichnung von Haushaltswaschmaschinen in Bezug auf den Energieverbrauch wurden durch die Richtlinie 95/12/EG der Kommission vom 23. Mai 1995 zur Durchführung der Richtlinie 92/75/EWG betreffend die Energieetikettierung für elektrische Haushaltswaschmaschinen 2 festgelegt.

(3) Auf Haushaltswaschmaschinen entfällt ein wesentlicher Anteil des Gesamtstromverbrauchs der Haushalte in der Union. Über die bereits erzielten Energieeffizienzsteigerungen hinaus besteht ein erhebliches Potenzial für die weitere Verringerung des Energieverbrauchs von Haushaltswaschmaschinen.

(4) Durch diese Verordnung sollten die Richtlinie 95/12/EG aufgehoben und neue Bestimmungen festgelegt werden, um zu gewährleisten, dass das Energieetikett den Lieferanten dynamische Anreize dafür bietet, die Energieeffizienz von Haushaltswaschmaschinen weiter zu verbessern und die Marktumstellung auf energieeffiziente Technologien zu beschleunigen.

(5) Kombinierte Haushalts-Wasch-Trockenautomaten fallen in den Anwendungsbereich der Richtlinie 96/60/EG der Kommission vom 19. September 1996 zur Durchführung der Richtlinie 92/75/EWG des Rates betreffend die Energieetikettierung für kombinierte Haushalts-Wasch-Trockenautomaten 3 und sollten deshalb vom Anwendungsbereich dieser Richtlinie ausgenommen werden. Da sie jedoch ähnliche Funktionen bieten wie Haushaltswaschmaschinen, sollte die Richtlinie 96/60/EG so bald wie möglich überarbeitet werden.

(6) Die auf dem Etikett angegebenen Informationen sollten durch zuverlässige, genaue und reproduzierbare Messverfahren ermittelt werden, die dem anerkannten Stand der Messtechnik sowie gegebenenfalls harmonisierten Normen Rechnung tragen, die von den in Anhang I der Richtlinie 98/34/EG des Europäischen Parlaments und des Rates vom 22. Juni 1998 über ein Informationsverfahren auf dem Gebiet der Normen und technischen Vorschriften und der Vorschriften für die Dienste der Informationsgesellschaft 4 aufgeführten europäischen Normungsgremien erlassen wurden.

(7) Diese Verordnung sollte eine einheitliche Gestaltung und einen einheitlichen Inhalt des Etiketts für Haushaltswaschmaschinen vorgeben.

(8) Darüber hinaus sollten in dieser Verordnung Anforderungen an die technischen Unterlagen und das Datenblatt für Haushaltswaschmaschinen festgelegt werden.

(9) Ferner sollten in dieser Verordnung Anforderungen an die Informationen festgelegt werden, die beim Verkauf von Haushaltswaschmaschinen in jeglicher Form des Fernabsatzes sowie bei der Werbung und in technischem Werbematerial bereitzustellen sind.

(10) Es ist zweckmäßig, eine Überprüfung der Bestimmungen dieser Verordnung im Lichte des technischen Fortschritts vorzusehen.

(11) Um die Umstellung von der Richtlinie 95/12/EG auf diese Verordnung zu erleichtern, sollte vorgesehen werden, dass die gemäß dieser Richtlinie gekennzeichneten Haushaltswaschmaschinen als der Richtlinie 95/12/EG entsprechend angesehen werden.

(12) Die Richtlinie 95/12/EG sollte daher aufgehoben werden

- hat folgende Verordnung erlassen:

Artikel 1 Gegenstand und Anwendungsbereich

(1) Durch diese Verordnung werden Anforderungen an die Kennzeichnung netzbetriebener Haushaltswaschmaschinen und netzbetriebener Haushaltswaschmaschinen, die auch mit Batterien/Akkumulatoren betrieben werden können, einschließlich für nicht haushaltsübliche Zwecke verkaufter Geräte und Einbau-Haushaltswaschmaschinen, sowie an die Bereitstellung zugehöriger ergänzender Produktinformationen festgelegt.

(2) Diese Verordnung gilt nicht für kombinierte Haushalts-Wasch-Trockenautomaten.

Artikel 2 Begriffsbestimmungen

Zusätzlich zu den Begriffsbestimmungen des Artikels 2 der Richtlinie 2010/30/EU gelten für die Zwecke dieser Verordnung folgende Begriffsbestimmungen:

1. "Haushaltswaschmaschine" bezeichnet einen Waschautomaten zum Säubern und Spülen von Textilien mit Wasser, der über eine Schleuderfunktion verfügt und zur Nutzung vorwiegend für nicht-professionelle Zwecke konzipiert ist;

2. "Einbau-Haushaltswaschmaschine" bezeichnet eine Haushaltswaschmaschine, die zum Einbau in einen Schrank, eine vorbereitete Wandaussparung oder einen ähnlichen Ort vorgesehen ist und eine Dekorabdeckung erfordert;

3. "Waschautomat" bezeichnet eine Waschmaschine, bei der die Behandlung der eingefüllten Wäsche vollständig durch die Maschine erfolgt, ohne dass zu irgendeinem Zeitpunkt während des Waschprogramms ein Eingreifen des Nutzers nötig wäre;

4. "kombinierter Haushalts-Wasch-Trockenautomat" bezeichnet eine Haushaltswaschmaschine, die sowohl eine Schleuderfunktion als auch die Möglichkeit zum Trocknen der Textilien - üblicherweise durch Erwärmung und Umwälzung in der Trommel - bietet;

5. "Programm" bezeichnet eine Reihe voreingestellter Operationen, die vom Lieferanten als geeignet für das Waschen bestimmter Textilienarten erklärt werden;

6. "Zyklus" bezeichnet einen für das ausgewählte Programm festgelegten vollständigen Wasch-, Spül- und Schleuderprozess;

7. "Programmdauer" bezeichnet den Zeitraum von der Einleitung des Programms bis zum Abschluss des Programms ohne etwaige vom Endnutzer programmierte Zeitverzögerung;

8. "Nennkapazität" bezeichnet die in Kilogramm ausgedrückte und vom Lieferanten in Intervallen von 0,5 kg angegebene Masse der Höchstmenge an trockenen Textilien einer bestimmten Art, die von einer Haushaltswaschmaschine in dem ausgewählten Programm bei Befüllung nach Lieferantenanweisung behandelt werden kann;

9. "Teilbefüllung" bezeichnet die Befüllung bis zur Hälfte der Nennkapazität einer Haushaltswaschmaschine für ein bestimmtes Programm;

10. "Restfeuchte" bezeichnet die nach dem Schleudern in der eingefüllten Wäsche enthaltene Feuchtigkeitsmenge;

11. "Aus-Zustand" bezeichnet einen Zustand, in dem die Haushaltswaschmaschine durch Bedienelemente oder Schalter am Gerät ausgeschaltet ist, die dem Endnutzer zugänglich und zur Betätigung durch denselben während des normalen Betriebs bestimmt sind, um die niedrigste dauerhaft mögliche Leistungsaufnahme zu erzielen, während die Haushaltswaschmaschine an eine Stromquelle angeschlossen ist und nach Lieferantenanweisung betrieben wird. In Ermangelung eines dem Endnutzer zugänglichen Bedienelements oder Schalters bezeichnet "Aus-Zustand" den Betriebszustand mit stabiler Leistungsaufnahme, den die Haushaltswaschmaschine selbsttätig erreicht;

12. "unausgeschalteter Zustand" bezeichnet den Betriebszustand mit der geringsten Leistungsaufnahme, der nach Abschluss des Programms abgesehen vom Entleeren der Haushaltswaschmaschine ohne weiteres Einwirken des Endnutzers zeitlich unbegrenzt möglich ist;

13. "gleichwertige Haushaltswaschmaschine" bezeichnet ein Haushaltswaschmaschinenmodell mit der gleichen Nennkapazität, den gleichen technischen Eigenschaften und Leistungsmerkmalen, dem gleichen Energie- und Wasserverbrauch sowie den gleichen Luftschallemissionen beim Waschen und Schleudern wie ein von demselben Lieferanten unter einer anderen numerischen Handelsbezeichnung in Verkehr gebrachtes anderes Haushaltswaschmaschinenmodell;

14. "Endnutzer" ist ein Verbraucher, der eine Haushaltswaschmaschine kauft oder zu kaufen im Begriff ist;

15. "Verkaufsstelle" ist ein Ort, an dem Haushaltswaschmaschinen ausgestellt oder zum Verkauf, zur Vermietung oder zum Mietkauf angeboten werden.

Artikel 3 Verantwortlichkeiten der Lieferanten

Die Lieferanten stellen sicher, dass

  1. jede Haushaltswaschmaschine mit einem gedruckten Etikett geliefert wird, dessen Gestaltung und Informationsgehalt den Vorgaben in Anhang I entsprechen;
  2. ein Produktdatenblatt gemäß Anhang II bereitgestellt wird;
  3. die technischen Unterlagen gemäß Anhang III auf Antrag den Behörden der Mitgliedstaaten und der Kommission verfügbar gemacht werden;
  4. bei jeglicher Werbung für ein bestimmtes Haushaltswaschmaschinenmodell mit energie- oder preisbezogenen Informationen auch dessen Energieeffizienzklasse angegeben wird;
  5. in technischem Werbematerial zu einem bestimmten Haushaltswaschmaschinenmodell mit Informationen zu dessen spezifischen technischen Parametern auch dessen Energieeffizienzklasse angegeben wird;
  6. den Händlern für jedes Haushaltswaschmaschinenmodell, das ab dem 1. Januar 2015 mit einer neuen Modellkennung in Verkehr gebracht wird, ein elektronisches Etikett bereitgestellt wird, dessen Gestaltung und Informationsgehalt den Vorgaben in Anhang I entsprechen. Es kann Händlern auch für andere Haushaltswaschmaschinenmodelle bereitgestellt werden;
  7. den Händlern für jedes Haushaltswaschmaschinenmodell, das ab dem 1. Januar 2015 mit einer neuen Modellkennung in Verkehr gebracht wird, ein elektronisches Produktdatenblatt gemäß den Vorgaben in Anhang II bereitgestellt wird. Es kann Händlern auch für andere Haushaltswaschmaschinenmodelle bereitgestellt werden.

Artikel 4 Verantwortlichkeiten der Händler

Die Händler stellen sicher, dass

  1. alle Haushaltswaschmaschinen in der Verkaufsstelle das von den Lieferanten gemäß Artikel 3 Buchstabe a bereitgestellte Etikett deutlich sichtbar außen an der Vorder- oder Oberseite tragen;
  2. Haushaltswaschmaschinen, die in einer Weise zum Verkauf, zur Vermietung oder zum Ratenkauf angeboten werden, bei der nicht davon auszugehen ist, dass der Endnutzer das Produkt ausgestellt sieht, bei der Vermarktung mit den von den Lieferanten gemäß Anhang IV bereitzustellenden Informationen versehen sind. Erfolgt das Angebot über das Internet und wurden ein elektronisches Etikett und ein elektronisches Produktdatenblatt gemäß Artikel 3 Buchstaben f und g bereitgestellt, gelten stattdessen die Bestimmungen des Anhangs VIII;
  3. bei jeglicher Werbung für ein bestimmtes Haushaltswaschmaschinenmodell mit energie- oder preisbezogenen Informationen auch dessen Energieeffizienzklasse angegeben wird;
  4. in technischem Werbematerial zu einem bestimmten Haushaltswaschmaschinenmodell mit Informationen zu dessen spezifischen technischen Parametern auch dessen Energieeffizienzklasse angegeben wird.

Artikel 5 Messverfahren

Die gemäß Artikel 3 und 4 bereitzustellenden Informationen werden durch ein zuverlässiges, genaues und reproduzierbares Messverfahren ermittelt, das dem anerkannten Stand der Messtechnik Rechnung trägt.

Artikel 6 Nachprüfungsverfahren zur Marktaufsicht

Die Mitgliedstaaten ermitteln die Einhaltung der gemachten Angaben zur Energieeffizienzklasse, zum jährlichen Stromverbrauch, zum jährlichen Wasserverbrauch, zur Schleudereffizienzklasse, zur Leistungsaufnahme im Aus-Zustand und im unausgeschalteten Zustand, zur Dauer des unausgeschalteten Zustands, zur Restfeuchte, zur Schleuderdrehzahl und zu den Luftschallemissionen nach dem Verfahren gemäß Anhang V.

Artikel 7 Überprüfung

Die Kommission überprüft diese Verordnung spätestens vier Jahre nach ihrem Inkrafttreten im Lichte des technischen Fortschritts. Bei der Überprüfung werden insbesondere die Prüftoleranzen nach Anhang V bewertet.

Artikel 8 Aufhebung

Die Richtlinie 95/12/EG wird hiermit zum 20. Dezember 2011 aufgehoben.

Artikel 9 Übergangsbestimmungen

(1) Artikel 3 Buchstaben d und e sowie Artikel 4 Buchstaben b, c und d gelten nicht für gedruckte Werbung und gedrucktes technisches Werbematerial, die bzw. das vor dem 20. April 2012 veröffentlicht wird.

(2) Haushaltswaschmaschinen, die vor dem 20. Dezember 2011 in Verkehr gebracht werden, müssen den Bestimmungen der Richtlinie 95/12/EG entsprechen.

(3) Wird eine Rechtsvorschrift zur Durchführung der Richtlinie 2009/125/EG des Europäischen Parlaments und des Rates 5 im Hinblick auf die Festlegung von Anforderungen an die umweltgerechte Gestaltung von Haushaltswaschmaschinen verabschiedet, so gelten Haushaltswaschmaschinen, die den Bestimmungen dieser Durchführungsmaßnahme hinsichtlich der Wascheffizienzanforderungen und den Bestimmungen dieser Verordnung entsprechen und vor dem 20. Dezember 2011 in Verkehr gebracht oder zum Verkauf, zur Vermietung oder zum Mietkauf angeboten werden, als den Bestimmungen der Richtlinie 95/12/EG entsprechend.

Artikel 10 Inkrafttreten und Geltung

(1) Diese Verordnung tritt am zwanzigsten Tag nach ihrer Veröffentlichung im Amtsblatt der Europäischen Union in Kraft.

(2) Sie gilt ab 20. Dezember 2011. Artikel 3 Buchstaben d und e sowie Artikel 4 Buchstaben b, c und d gelten hingegen ab 20. April 2012.

Diese Verordnung ist in allen ihren Teilen verbindlich und gilt unmittelbar in jedem Mitgliedstaat.

1) ABl. Nr. L 153 vom 18.06.2010 S. 1.

2) ABl. Nr. L 47 vom 24.02.1996 S. 35.

3) ABl. Nr. L 266 vom 18.10.1996 S. 1.

4) ABl. Nr. L 204 vom 21.07.1998 S. 37.

5) ABl. Nr. L 285 vom 31.10.2009 S. 10.
.

Etikett Anhang I

1. Etikett

1. Das Etikett muss die folgenden Informationen enthalten:

  1. Name oder Warenzeichen des Lieferanten;
  2. Modellkennung des Lieferanten, d. h. der üblicherweise alphanumerische Code, der ein bestimmtes Haushaltswaschmaschinenmodell von anderen Modellen des gleichen Warenzeichens oder mit dem gleichen Lieferantennamen unterscheidet;
  3. Energieeffizienzklasse, ermittelt gemäß Anhang VI Nummer 1. Die Spitze des Pfeils, der die Energieeffizienzklasse der Haushaltswaschmaschine angibt, ist auf derselben Höhe zu platzieren wie die Spitze des Pfeils der entsprechenden Energieeffizienzklasse;
  4. gewichteter jährlicher Energieverbrauch (AEC) in kWh/Jahr, gemäß Anhang VII auf die nächste Ganzzahl aufgerundet;
  5. gewichteter jährlicher Wasserverbrauch (AWC) in Liter/Jahr, gemäß Anhang VII auf die nächste Ganzzahl aufgerundet;
  6. Nennkapazität in kg für das Standardprogramm "Baumwolle 60 °C" oder das Standardprogramm "Baumwolle 40 °C", jeweils bei vollständiger Befüllung, wobei der geringere der beiden Werte maßgeblich ist;
  7. Schleudereffizienzklasse gemäß Anhang VI Nummer 2;
  8. Luftschallemissionen beim Waschen und Schleudern im Standardprogramm "Baumwolle 60 °C" bei vollständiger Befüllung in dB(A) re 1 pW, auf die nächstliegende Ganzzahl gerundet.

2. Die Gestaltung des Etiketts muss Nummer 2 entsprechen. Abweichend hiervon gilt, dass das EU-Umweltzeichen hinzugefügt werden kann, wenn für das betreffende Modell ein EU-Umweltzeichen gemäß der Verordnung (EG) Nr. 66/2010 des Europäischen Parlaments und des Rates 1 vergeben wurde.

2. Grafische Gestaltung des Etiketts

Die grafische Gestaltung des Etiketts muss der folgenden Abbildung entsprechen.

Dabei gilt:

  1. Das Etikett muss mindestens 110 mm breit und 220 mm hoch sein. Wird das Kennzeichen in größerem Format gedruckt, so müssen die Proportionen der obigen Spezifikationen gewahrt bleiben.
  2. Der Hintergrund muss weiß sein.
  3. Farbliche Gestaltung: CMYK - Cyan, Magenta, Gelb, Schwarz - nach folgendem Muster: 00-70-X-00: 0 % Cyan, 70 % Magenta, 100 % Gelb, 0 % Schwarz.
  4. Das Etikett muss folgenden Anforderungen entsprechen (Nummern beziehen sich auf die obige Abbildung):
    1. Begrenzungslinie: 5 pt - Farbe: Cyan 100 % - abgerundete Ecken: 3,5 mm.
    2. EU-Logo - Farben: X-80-00-00 und 00-00-X-00.
    3. Energie-Logo: Farbe: X-00-00-00.
      Piktogramm wie abgebildet: EU-Logo und Energie-Logo (kombiniert): Breite: 92 mm, Höhe: 17 mm.
    4. Trennlinie unter dem Etikettenkopf: 1 pt - Farbe: Cyan 100 % - Länge: 92,5 mm.
    5. Skala A-G
      • Pfeil: Höhe: 7 mm, Zwischenraum: 0,75 mm - Farben:
        • höchste Effizienzklasse: X-00-X-00,
        • zweite Effizienzklasse: 70-00-X-00,
        • dritte Effizienzklasse: 30-00-X-00,
        • vierte Effizienzklasse: 00-00-X-00,
        • fünfte Effizienzklasse: 00-30-X-00,
        • sechste Effizienzklasse: 00-70-X-00,
        • letzte Effizienzklasse: 00-X-X-00.
      • Text: Calibri fett 18 pt, Großbuchstaben, weiß; Plus-Zeichen: Calibri fett 12 pt, Großbuchstaben, weiß, in einer einzigen Zeile ausgerichtet.
    6. Energieeffizienzklasse
      • Pfeil: Breite: 26 mm, Höhe: 14 mm, 100 % Schwarz.
      • Text: Calibri fett 29 pt, Großbuchstaben, weiß; Plus-Zeichen: Calibri fett 18 pt, Großbuchstaben, weiß, in einer einzigen Zeile ausgerichtet.
    7. Energie: Text: Calibri normal 11 pt, Großbuchstaben, 100 % Schwarz.
    8. Gewichteter jährlicher Energieverbrauch
      • Begrenzungslinie: 2 pt - Farbe: Cyan 100 % - abgerundete Ecken: 3,5 mm.
      • Wert: Calibri fett 42 pt, 100 % Schwarz; und Calibri normal 17 pt, 100 % Schwarz.
    9. Gewichteter jährlicher Wasserverbrauch
      • Piktogramm wie abgebildet
      • Begrenzungslinie: 2 pt - Farbe: Cyan 100 % - abgerundete Ecken: 3,5 mm.
      • Wert: Calibri fett 24 pt, 100 % Schwarz; und Calibri normal 16 pt, 100 % Schwarz.
    10. Nennkapazität
      • Piktogramm wie abgebildet
      • Begrenzungslinie: 2 pt - Farbe: Cyan 100 % - abgerundete Ecken: 3,5 mm.
      • Wert: Calibri fett 24 pt, 100 % Schwarz; und Calibri normal 16 pt, 100 % Schwarz.
    11. Schleudereffizienzklasse
      • Piktogramm wie abgebildet
      • Begrenzungslinie: 2 pt - Farbe: Cyan 100 % - abgerundete Ecken: 3,5 mm.
      • Wert: Calibri normal 16 pt, horizontale Skala 75 %, 100 % Schwarz und Calibri normal 22 pt, horizontale Skala 75 %, 100 % Schwarz.
    12. Luftschallemissionen
      • Piktogramme wie abgebildet
      • Begrenzungslinie: 2 pt - Farbe: Cyan 100 % - abgerundete Ecken: 3,5 mm.
      • Wert: Calibri fett 24 pt, 100 % Schwarz; und Calibri normal 16 pt, 100 % Schwarz.
    13. Name oder Warenzeichen des Lieferanten
    14. Modellkennung des Lieferanten
    15. Die Lieferantenangaben und die Modellkennung sollten in eine Fläche von 92 x 15 mm passen.
    16. Nummer der Verordnung: Calibri fett 12 pt, 100 % Schwarz.


1) ABl. Nr. L 27 vom 30.01.2010 S. 1.

.

Produktdatenblatt Anhang II


1. Die Angaben auf dem Produktdatenblatt der Haushaltswaschmaschine sind in nachstehender Reihenfolge zu machen und in die Produktbroschüre oder andere mit dem Produkt bereitgestellte Unterlagen aufzunehmen:

  1. Name oder Warenzeichen des Lieferanten;
  2. Modellkennung des Lieferanten, d.h. der üblicherweise alphanumerische Code, der ein bestimmtes Haushaltswaschmaschinenmodell von anderen Modellen des gleichen Warenzeichens oder mit dem gleichen Lieferantennamen unterscheidet;
  3. Nennkapazität in kg Baumwolle für das Standardprogramm "Baumwolle 60 °C" oder das Standardprogramm "Baumwolle 40 °C", jeweils bei vollständiger Befüllung, wobei der geringere der beiden Werte maßgeblich ist;
  4. Energieeffizienzklasse gemäß Anhang VI Nummer 1;
  5. sofern für die Haushaltswaschmaschine ein EU-Umweltzeichen gemäß der Verordnung (EG) Nr. 66/2010 vergeben wurde, kann dies mit angegeben werden;
  6. jährlicher Energieverbrauch (AEC) in kWh/Jahr, auf die nächste Ganzzahl aufgerundet. Dieser ist anzugeben als: "Energieverbrauch von 'X' kWh/ Jahr auf der Grundlage von 220 Standard-Waschzyklen für 60 °C- und 40 °C-Baumwollprogramme bei vollständiger Befüllung und Teilbefüllung sowie dem Verbrauch der Betriebsarten mit geringer Leistungsaufnahme. Der tatsächliche Energieverbrauch hängt von der Art der Nutzung des Geräts ab.";
  7. Energieverbrauch (Et,60, Et,60 1/2, Et,40 1/2) des Standardprogramms "Baumwolle 60 °C" bei vollständiger Befüllung und Teilbefüllung sowie des Standardprogramms "Baumwolle 40 °C" bei Teilbefüllung;
  8. gewichtete Leistungsaufnahme im Aus-Zustand und im unausgeschalteten Zustand;
  9. gewichteter jährlicher Wasserverbrauch (AWC) in Liter/Jahr, auf die nächste Ganzzahl aufgerundet. Dieser ist anzugeben als: "Wasserverbrauch von 'X' Liter/Jahr auf der Grundlage von 220 Standard-Waschzyklen für 60 °C- und 40 °C-Baumwollprogramme bei vollständiger Befüllung und Teilbefüllung. Der tatsächliche Wasserverbrauch hängt von der Art der Nutzung des Geräts ab.";
  10. Schleudereffizienzklasse, ermittelt gemäß Anhang VI Nummer 2 und ausgedrückt als "Schleudereffizienzklasse 'X' auf einer Skala von G (geringste Effizienz) bis a (höchste Effizienz)". Von dieser Darstellungsweise kann abgewichen werden, sofern deutlich wird, das die Skala von G (geringste Effizienz) bis a (höchste Effizienz) reicht;
  11. maximale Schleuderdrehzahl beim Standardprogramm "Baumwolle 60 °C" bei vollständiger Befüllung oder beim Standardprogramm "Baumwolle 40 °C" bei Teilbefüllung, wobei der niedrigere Wert maßgeblich ist, sowie Restfeuchte beim Standardprogramm "Baumwolle 60 °C" bei vollständiger Befüllung oder beim Standardprogramm "Baumwolle 40 °C" bei Teilbefüllung, wobei der höhere Wert maßgeblich ist;
  12. Hinweise auf den Umstand, dass die Standardprogramme "Baumwolle 60 °C" und "Baumwolle 40 °C" die Standard-Waschprogramme sind, auf die sich die Informationen auf dem Etikett und im Datenblatt beziehen, dass diese Programme zur Reinigung normal verschmutzter Baumwollwäsche geeignet und in Bezug auf den kombinierten Energie- und Wasserverbrauch am effizientesten sind;
  13. Programmdauer des Standardprogramms "Baumwolle 60 °C" bei vollständiger Befüllung und Teilbefüllung sowie des Standardprogramms "Baumwolle 40 °C" bei Teilbefüllung in Minuten, auf die nächstliegende Minute gerundet;
  14. Dauer des unausgeschalteten Zustands (Tl), falls die Haushaltswaschmaschine mit Leistungssteuerung ausgerüstet ist;
  15. Luftschallemissionen in dB(A) re 1 pW, auf die nächstliegende Ganzzahl gerundet, beim Waschen und Schleudern im Standardprogramm "Baumwolle 60 °C" bei vollständiger Befüllung;
  16. falls die Haushaltswaschmaschine für den Einbau bestimmt ist, eine entsprechende Angabe.

2. Ein Datenblatt kann eine Reihe von Haushaltswaschmaschinenmodellen desselben Lieferanten abdecken.

3. Die Angaben im Datenblatt können in Form einer Kopie des Etiketts in Farbe oder Schwarz-Weiß erfolgen. In diesem Fall sind die in Nummer 1 aufgeführten Angaben, die nicht bereits auf dem Etikett vorhanden sind, ebenfalls zu machen.

.

Technische Unterlagen Anhang III

1. Die in Artikel 3 Buchstabe c genannten technischen Unterlagen umfassen:

  1. Name und Anschrift des Lieferanten;
  2. allgemeine, für eine eindeutige und unmittelbare Identifizierung ausreichende Beschreibung des Waschmaschinenmodells;
  3. gegebenenfalls die Fundstellen der angewandten harmonisierten Normen;
  4. gegebenenfalls die sonstigen angewandten technischen Normen und Spezifikationen;
  5. Name und Unterschrift der für den Lieferanten zeichnungsberechtigten Person;
  6. eine Angabe, ob das Haushaltswaschmaschinenmodell während des Waschzyklus Silberionen freisetzt oder nicht, in folgender Form: "Dieses Produkt setzt während des Waschzyklus [keine] Silberionen frei.";
  7. folgende technische Parameter für Messungen:
    1. Energieverbrauch,
    2. Programmdauer,
    3. Wasserverbrauch,
    4. Leistungsaufnahme im Aus-Zustand,
    5. Leistungsaufnahme im unausgeschalteten Zustand,
    6. Dauer des unausgeschalteten Zustands,
    7. Restfeuchte,
    8. Luftschallemissionen,
    9. maximale Schleuderdrehzahl;
  8. die Ergebnisse von Berechnungen gemäß Anhang VII.

2. Wurden die in den technischen Unterlagen enthaltenen Angaben für ein bestimmtes Haushaltswaschmaschinenmodell durch Berechnung auf der Grundlage der Bauart und/oder durch Extrapolation ausgehend von anderen gleichwertigen Haushaltswaschmaschinen ermittelt, so sind in den Unterlagen Einzelheiten zu den Berechnungen und/oder Extrapolationen und zu den Tests, die von den Lieferanten zur Überprüfung der Korrektheit der Berechnungen durchgeführt werden, anzugeben. Die Informationen müssen auch eine Liste aller anderen gleichwertigen Haushaltswaschmaschinenmodelle umfassen, bei denen die Angaben auf derselben Grundlage ermittelt wurden.

.

Informationen, die in Fällen bereitzustellen sind, in denen nicht davon auszugehen ist, dass der Endnutzer das Gerät ausgestellt sieht Anhang IV


1. Die in Artikel 4 Buchstabe b genannten Informationen sind in nachstehender Reihenfolge anzugeben:

  1. Nennkapazität in kg Baumwolle für das Standardprogramm "Baumwolle 60 °C" oder das Standardprogramm "Baumwolle 40 °C", jeweils bei vollständiger Befüllung, wobei der geringere der beiden Werte maßgeblich ist.
  2. Energieeffizienzklasse gemäß Anhang VI Nummer 1;
  3. gewichteter jährlicher Energieverbrauch in kWh/Jahr, berechnet gemäß Anhang VII Nummer 1 Buchstabe c und aufgerundet auf die nächste Ganzzahl;
  4. gewichteter jährlicher Wasserverbrauch in Liter/Jahr, berechnet gemäß Anhang VII Nummer 2 Buchstabe a und aufgerundet auf die nächste Ganzzahl;
  5. Schleudereffizienzklasse gemäß Anhang VI Nummer 2;
  6. maximale Schleuderdrehzahl beim Standardprogramm "Baumwolle 60 °C" bei vollständiger Befüllung oder beim Standardprogramm "Baumwolle 40 °C" bei Teilbefüllung, wobei der niedrigere Wert maßgeblich ist, sowie Restfeuchte beim Standardprogramm "Baumwolle 60 °C" bei vollständiger Befüllung oder beim Standardprogramm "Baumwolle 40 °C" bei Teilbefüllung, wobei der höhere Wert maßgeblich ist;
  7. Luftschallemissionen beim Waschen und Schleudern im Standardprogramm "Baumwolle 60 °C" bei vollständiger Befüllung in dB(A) re 1 pW, auf die nächstliegende Ganzzahl gerundet;
  8. eine entsprechende Angabe, falls die Haushaltswaschmaschine für den Einbau bestimmt ist.

2. Werden weitere im Produktdatenblatt enthaltene Angaben gemacht, sind sie in der Form und Reihenfolge gemäß Anhang II bereitzustellen.

3. Schrifttyp und -größe, in der alle in diesem Anhang genannten Informationen aufgeführt werden, müssen lesbar sein.

.

Prüfung der Produktkonformität durch die Marktaufsichtsbehörden Anhang V 17


Die in diesem Anhang festgelegten Prüftoleranzen betreffen nur die Nachprüfung der gemessenen Parameter durch die Behörden der Mitgliedstaaten und dürfen vom Lieferanten keinesfalls als zulässige Toleranzen für die Angabe der Werte in den technischen Unterlagen verwendet werden. Die auf dem Etikett und dem Produktdatenblatt angegebenen Werte und Klassen dürfen für den Lieferanten nicht günstiger sein als die in den technischen Unterlagen vermerkten Werte.

Wenn die Behörden der Mitgliedstaaten prüfen, ob das Modell eines Produkts den in dieser Delegierten Verordnung festgelegten Anforderungen in Bezug auf die in diesem Anhang genannten Anforderungen entspricht, wenden sie folgendes Verfahren an:

(1) Die Behörden der Mitgliedstaaten prüfen ein einziges Exemplar des Modells.

(2) Das Modell gilt als konform mit den geltenden Anforderungen, wenn

  1. die Werte in den technischen Unterlagen gemäß Artikel 5 Buchstabe b der Richtlinie 2010/30/EU (angegebene Werte) und, wenn zutreffend, die zur Berechnung dieser Werte verwendeten Werte für den Lieferanten nicht günstiger sind als die entsprechenden Werte in den unter Ziffer iii des genannten Artikels aufgeführten Testberichten; und
  2. die auf dem Etikett und im Produktdatenblatt veröffentlichten Werte für den Lieferanten nicht günstiger sind als die angegebenen Werte, und die angegebene Energieeffizienzklasse für den Lieferanten nicht günstiger ist als die aufgrund der angegebenen Werte ermittelte Klasse; und
  3. bei Prüfung des Exemplars des Modells durch die Behörden der Mitgliedstaaten die ermittelten Werte (bei der Prüfung gemessene Werte der relevanten Parameter und die aufgrund dieser Messungen berechneten Werte) den in Tabelle 1 angegebenen Prüftoleranzen entsprechen.

(3) Werden die in Absatz 2 Buchstaben a oder b genannten Ergebnisse nicht erreicht, gelten das Modell und alle in den technischen Unterlagen des Lieferanten als gleichwertig aufgeführten Modelle von Haushaltswaschmaschinen als nicht konform mit dieser Delegierten Verordnung.

(4) Wird das in Absatz 2 Buchstabe c genannte Ergebnis nicht erreicht, wählen die Behörden des Mitgliedstaats drei weitere Exemplare des gleichen Modells für die Prüfung aus. Alternativ können drei weitere Exemplare eines oder mehrerer anderer Modelle ausgewählt werden, die in den technischen Unterlagen des Lieferanten als gleichwertige Modelle aufgeführt werden.

(5) Das Modell gilt als konform mit den geltenden Anforderungen, wenn für diese drei Exemplare das arithmetische Mittel der ermittelten Werte innerhalb der in Tabelle 1 angegebenen Toleranzen liegt.

(6) Wird das in Absatz 5 genannte Ergebnis nicht erreicht, gelten das Modell und alle in den technischen Unterlagen des Lieferanten als gleichwertig aufgeführten Modelle von Haushaltswaschmaschinen als nicht konform mit dieser Delegierten Verordnung.

(7) Die Behörden des Mitgliedstaats übermitteln den Behörden der anderen Mitgliedstaaten und der Kommission alle relevanten Informationen unverzüglich nach einer Entscheidung über die Nichtkonformität des Modells gemäß den Absätzen 3 und 6.

Die Behörden der Mitgliedstaaten verwenden Messverfahren, die sich auf allgemein anerkannte, dem Stand der Technik entsprechende, zuverlässige, genaue und reproduzierbare Messmethoden stützen, einschließlich von Methoden, die in Dokumenten dargelegt werden, deren Nummern zu diesem Zweck im Amtsblatt der Europäischen Union veröffentlicht wurden. Die Behörden der Mitgliedstaaten verwenden die Mess- und Berechnungsmethoden, die in Anhang VII beschrieben werden.

Die Behörden der Mitgliedstaaten wenden nur die in Tabelle 1 aufgeführten Prüftoleranzen und in Bezug auf die in diesem Anhang genannten Anforderungen nur das in den Absätzen 1 bis 7 beschriebene Verfahren an. Es finden keine anderen Toleranzen Anwendung, die etwa in harmonisierten Normen oder in anderen Messverfahren festgelegt sind.

Tabelle 1 Prüftoleranzen

Parameter Prüftoleranzen
Jährlicher Energieverbrauch (AEC) Der ermittelte Wert darf den angegebenen AEC-Wert nicht um mehr als 10 % überschreiten.
Energieverbrauch (Et) Der ermittelte Wert darf den angegebenen Et-Wert nicht um mehr als 10 % überschreiten. Müssen drei weitere Exemplare ausgewählt werden, darf das arithmetische Mittel der für diese drei Exemplare bestimmten Werte den angegebenen Et-Wert nicht um mehr als 6 % überschreiten.
Programmdauer (Tt) Der ermittelte Wert darf die angegebenen Tt-Werte nicht um mehr als 10 % überschreiten.
Wasserverbrauch (Wt) Der ermittelte Wert darf den angegebenen Wt-Wert nicht um mehr als 10 % überschreiten.
Restfeuchte (D) Der ermittelte Wert darf den angegebenen D-Wert nicht um mehr als 10 % überschreiten.
Schleuderdrehzahl Der ermittelte Wert darf den angegebenen Wert nicht um mehr als 10 % unterschreiten.
Leistungsaufnahme im Aus-Zustand und im unausgeschalteten Zustand (Po und Pl) Die ermittelten Leistungsaufnahmewerte für Po und Pl von über 1,00 W dürfen die angegebenen Werte für Po und Pl nicht um mehr als 10 % überschreiten. Die ermittelten Leistungsaufnahmewerte für Po und Pl bis 1,00 W dürfen die angegebenen Werte für Po und Pl nicht um mehr als 0,10 W überschreiten.
Dauer des unausgeschalteten Zustands (Tl) Der ermittelte Wert darf den angegebenen Tl-Wert nicht um mehr als 10 % überschreiten.
Luftschallemissionen Der ermittelte Wert muss dem angegebenen Wert entsprechen.

.

Energieeffizienzklassen und Schleudereffizienzklassen Anhang VI


1. Energieeffizienzklassen

Die Energieeffizienzklasse einer Haushaltswaschmaschine wird auf der Grundlage ihres Energieeffizienzindex (EEI) gemäß Tabelle 1 ermittelt.

Der Energieeffizienzindex (EEI) einer Haushaltswaschmaschine wird gemäß Anhang VII Nummer 1 ermittelt.

Tabelle 1: Energieeffizienzklassen

Energieeffizienzklasse Energieeffizienzindex
A+++ (höchste Effizienz) EEI < 46
A++ 46 ≤ EEI < 52
A+ 52 ≤ EEI < 59
A 59 ≤ EEI < 68
B 68 ≤ EEI < 77
C 77 ≤ EEI < 87
D (geringste Effizienz) EEI ≥ 87

2. Schleudereffizienzklassen

Die Schleudereffizienzklasse einer Haushaltswaschmaschine wird anhand der Restfeuchte (D) gemäß Tabelle 2 ermittelt.

Die Restfeuchte (D) einer Haushaltswaschmaschine wird gemäß Anhang VII Nummer 3 ermittelt.

Tabelle 2: Schleudereffizienzklassen

Schleudereffizienzklasse Restfeuchte
a (höchste Effizienz) D < 46
B 45 ≤ D < 54
C 54 ≤ D < 63
D 63≤ D < 72
E 72 ≤ D < 81
F 81 ≤ D < 90
G (geringste Effizienz) D ≥ 90

.

Methode zur Berechnung des Energieeffizienzindex, des jährlichen Wasserverbrauchs und der Restfeuchte Anhang VII 20

1. Berechnung des Energieeffizienzindex

Zur Berechnung des Energieeffizienzindex (EEI) eines Haushaltswaschmaschinenmodells wird der gewichtete jährliche Energieverbrauch einer Haushaltswaschmaschine für das Standardprogramm "Baumwolle 60 °C" bei vollständiger Befüllung und Teilbefüllung und für das Standardprogramm "Baumwolle 40 °C" bei Teilbefüllung mit ihrem standardmäßigen jährlichen Energieverbrauch verglichen.

  1. Der Energieeffizienzindex (EEI) wird wie folgt berechnet und auf eine Dezimalstelle gerundet:

    EEI = (AEC / SAEC) ×100

    Hierbei sind:

    AEC = jährlicher Energieverbrauch der Haushaltswaschmaschine;

    SAEC = standardmäßiger jährlicher Energieverbrauch der Haushaltswaschmaschine.


  2. Der standardmäßige jährliche Energieverbrauch (SAEC) wird wie folgt berechnet und auf zwei Dezimalstellen gerundet in kWh/Jahr angegeben:

    SAEC = 47,0 × c + 51,7

    Hierbei ist:

    c = Nennkapazität der Haushaltswaschmaschine für das Standardprogramm "Baumwolle 60 °C" oder das Standardprogramm "Baumwolle 40 °C", jeweils bei vollständiger Befüllung, wobei der geringere der beiden Werte maßgeblich ist.


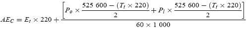
  3. Der gewichtete jährliche Energieverbrauch (AEC) wird wie folgt berechnet und auf zwei Dezimalstellen gerundet in kWh/Jahr angegeben:
    1. Hierbei sind:

      Et = gewichteter Energieverbrauch;

      Po = gewichtete Leistungsaufnahme im Aus-Zustand;

      Pl = gewichtete Leistungsaufnahme im unausgeschalteten Zustand;

      Tt = gewichtete Programmdauer;

      220 = Gesamtzahl der jährlichen Standard-Waschzyklen.


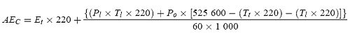
    2. Falls die Haushaltswaschmaschine mit Leistungssteuerung ausgerüstet ist und am Programmende automatisch in den Aus-Zustand schaltet, wird der gewichtete jährliche Energieverbrauch (AEC) unter Berücksichtigung der tatsächlichen Dauer des unausgeschalteten Zustand nach der folgenden Formel berechnet:

      Hierbei ist:

      Tl = Dauer des unausgeschalteten Zustands.

  4. Der gewichtete Energieverbrauch (Et) wird wie folgt berechnet und auf drei Dezimalstellen gerundet in kWh angegeben:

    Et = [3 × Et,60 + 2 × Et,60 1/2 + 2 × Et,40 1/2]/7

    Hierbei sind:

    Et,60 = Energieverbrauch des Standardprogramms "Baumwolle 60 °C" bei vollständiger Befüllung;

    Et,60 1/2 = Energieverbrauch des Standardprogramms "Baumwolle 60 °C" bei Teilbefüllung;

    Et,40 1/2 = Energieverbrauch des Standardprogramms "Baumwolle 40 °C" bei Teilbefüllung.


  5. Die Leistungsaufnahme im Aus-Zustand (Po) wird wie folgt berechnet und auf zwei Dezimalstellen gerundet in W angegeben:

    Po = (3 × Po,60 + 2 × Po,60 1/2 + 2 × Po,40 1/2)/7

    Hierbei sind:

    Po,60 = Leistungsaufnahme im Aus-Zustand des Standardprogramms "Baumwolle 60 °C" bei vollständiger Befüllung;

    Po,60 1/2 = Leistungsaufnahme im Aus-Zustand des Standardprogramms "Baumwolle 60 °C" bei Teilbefüllung;

    Po,40 1/2 = Leistungsaufnahme im Aus-Zustand des Standardprogramms "Baumwolle 40 °C" bei Teilbefüllung.


  6. Die Leistungsaufnahme im unausgeschalteten Zustand (Pl) wird wie folgt berechnet und auf zwei Dezimalstellen gerundet in W angegeben:

    Pl = (3 × Pl,60 + 2 × Pl,60 1/2 + 2 × Pl,40 1/2)/7

    Hierbei sind:

    Pl,60 = Leistungsaufnahme im unausgeschalteten Zustand des Standardprogramms "Baumwolle 60 °C" bei vollständiger Befüllung;

    Pl,60 1/2 = Leistungsaufnahme im unausgeschalteten Zustand des Standardprogramms "Baumwolle 60 °C" bei Teilbefüllung;

    Pl,40 1/2 = Leistungsaufnahme im unausgeschalteten Zustand des Standardprogramms "Baumwolle 40 °C" bei Teilbefüllung.


  7. Die gewichtete Programmdauer (Tt) wird wie folgt in Minuten berechnet und auf die nächste Minute gerundet:

    Tt = (3 × Tt,60 + 2 × Tt,60 1/2 + 2 × Tt,40 /2)/7

    Hierbei sind:

    Tt,60 = Programmdauer des Standardprogramms "Baumwolle 60 °C" bei vollständiger Befüllung;

    Tt,60 1/2 = Programmdauer des Standardprogramms "Baumwolle 60 °C" bei Teilbefüllung;

    Tt,40 1/2 = Programmdauer des Standardprogramms "Baumwolle 40 °C" bei Teilbefüllung.


  8. Die gewichtete Dauer des unausgeschalteten Zustands (Tl) wird wie folgt in Minuten berechnet und auf die nächste Minute gerundet:

    Tl = (3 × Tl,60 + 2 × Tl,60 1/2 + 2 × Tl,401/2)/7

    Hierbei sind:

    Tl,60 = Dauer des unausgeschalteten Zustands des Standardprogramms "Baumwolle 60 °C" bei vollständiger Befüllung;

    Tl,60 1/2 = Dauer des unausgeschalteten Zustands des Standardprogramms "Baumwolle 60 °C" bei Teilbefüllung;

    Tl,40 1/2 = Dauer des unausgeschalteten Zustands des Standardprogramms "Baumwolle 40 °C" bei Teilbefüllung.

2. Berechnung des gewichteten jährlichen Wasserverbrauchs

  1. Der gewichtete jährliche Wasserverbrauch (AWC) einer Haushaltswaschmaschine wird wie folgt in Liter berechnet und auf die nächste Ganzzahl aufgerundet:

    AWc = Wt × 220

    Hierbei sind:

    Wt = gewichteter Wasserverbrauch;

    220 = Gesamtzahl der jährlichen Standard-Waschzyklen.


  2. Der gewichtete Wasserverbrauch (Wt) wird wie folgt in Liter berechnet und auf die nächste Ganzzahl aufgerundet:

    Wt = (3 × Wt,60 + 2 × Wt,60 1/2 + 2 × Wt,40 1/2)/7

    Hierbei sind:

    Wt,60 = Wasserverbrauch des Standardprogramms "Baumwolle 60 °C" bei vollständiger Befüllung;

    Wt,60 1/2 = Wasserverbrauch des Standardprogramms "Baumwolle 60 °C" bei Teilbefüllung;

    Wt,40 1/2 = Wasserverbrauch des Standardprogramms "Baumwolle 40 °C" bei Teilbefüllung.

3. Berechnung der gewichteten Restfeuchte 20

Die gewichtete Restfeuchte (D) einer Haushaltswaschmaschine wird wie folgt in Prozent berechnet und auf das nächstliegende ganze Prozent gerundet.

D = (3 × D 60 + 2 × D 60½ + 2 × D 40½)/7

Hierbei sind:

D 60 Restfeuchte des Standardprogramms "Baumwolle 60 °C" bei vollständiger Befüllung in Prozent, auf das nächstliegende ganze Prozent gerundet;
D 60½ Restfeuchte des Standardprogramms "Baumwolle 60 °C" bei Teilbefüllung in Prozent, auf das nächstliegende ganze Prozent gerundet;
D 40½ Restfeuchte des Standardprogramms "Baumwolle 40 °C" bei Teilbefüllung in Prozent, auf das nächstliegende ganze Prozent gerundet.

.

Informationen, die im Fall des Verkaufs, der Vermietung oder des Mietkaufs über das Internet bereitzustellen sind Anhang VIII

(1) Für die Zwecke der Nummern 2 bis 5 gelten die folgenden Begriffsbestimmungen:

  1. "Anzeigemechanismus" bezeichnet jeden Bildschirm, einschließlich Touchscreens, oder sonstige Bildtechnologien zur Anzeige von Internet- Inhalten für Nutzer;
  2. "geschachtelte Anzeige" bezeichnet eine grafische Benutzeroberfläche, bei der der Zugang zu Bildern oder Datensätzen per Mausklick auf ein anderes Bild oder einen anderen Datensatz, per Maus-Rollover über ein anderes Bild oder einen anderen Datensatz oder durch Berühren oder Aufziehen eines anderen Bildes oder Datensatzes auf einem Touchscreen erfolgt;
  3. "Touchscreen" bezeichnet einen berührungsempfindlichen Bildschirm wie jenen von tablet-Computern, Slate-Computern oder Smartphones;
  4. "alternativer Text" bezeichnet einen Text, der als Alternative zu einer Grafik bereitgestellt wird und die Darstellung von Informationen in nicht grafischer Form ermöglicht, wenn Anzeigegeräte die Grafik nicht wiedergeben können, oder der als Hilfe für die Barrierefreiheit dient, z.B. als Eingabe für Sprachsynthese-Anwendungen.

(2) Das von den Lieferanten gemäß Artikel 3 Buchstabe f bereitgestellte Etikett ist auf dem Anzeigemechanismus in der Nähe des Produktpreises darzustellen. Die Größe ist so zu wählen, dass das Etikett gut sichtbar und leserlich ist, und die Proportionen müssen der in Anhang I Nummer 2 festgelegten Größe entsprechen. Das Etikett kann mit Hilfe einer geschachtelten Anzeige angezeigt werden, wobei das für den Zugang zum Etikett verwendete Bild den Vorgaben in Nummer 3 entsprechen muss. Bei Anwendung einer geschachtelten Anzeige muss das Etikett beim ersten Mausklick auf das Bild, beim ersten Maus-Rollover über das Bild bzw. beim ersten Berühren oder Aufziehen des Bildes auf einem Touchscreen erscheinen.

(3) Das für den Zugang zum Etikett genutzte Bild muss bei einer geschachtelten Anzeige

  1. ein Pfeil in der Farbe der Energieeffizienzklasse des Produkts auf dem Etikett sein,
  2. auf dem Pfeil die Energieeffizienzklasse des Produkts in Weiß in einer Schriftgröße, die der des Preises entspricht, enthalten und
  3. einem der folgenden zwei Formate entsprechen:

(4) Bei einer geschachtelten Anzeige muss die Reihenfolge, in der das Etikett angezeigt wird, folgenden Vorgaben entsprechen:

  1. das in Nummer 3 genannte Bild wird auf dem Anzeigemechanismus in der Nähe des Produktpreises dargestellt;
  2. das Bild muss mit einem Link zum Etikett versehen sein;
  3. das Etikett wird nach einem Mausklick auf das Bild, nach einem Maus-Rollover über das Bild oder nach dem Berühren oder Aufziehen des Bildes auf einem Touchscreen angezeigt;
  4. das Etikett wird in einem Pop-up-Fenster, auf einer neuen Registerkarte, auf einer neuen Seite oder als Einblendung angezeigt;
  5. für die Vergrößerung des Etiketts auf Touchscreens gelten die Gerätekonventionen für die Vergrößerung durch Berührung eines Touchscreens;
  6. die Anzeige des Etiketts wird mit Hilfe einer Option zum Schließen oder mit einem anderen Standard-Schließmechanismus beendet;
  7. der alternative Text für die Grafik, der anzuzeigen ist, wenn das Etikett nicht angezeigt werden kann, gibt die Energieeffizienzklasse des Produkts in einer Schriftgröße an, die der des Preises entspricht.

(5) Das von den Lieferanten gemäß Artikel 3 Buchstabe g bereitgestellte Produktdatenblatt ist auf dem Anzeigemechanismus in der Nähe des Produktpreises darzustellen. Die Größe ist so zu wählen, dass das Produktdatenblatt gut sichtbar und leserlich ist. Das Produktdatenblatt kann mit Hilfe einer geschachtelten Anzeige dargestellt werden; in diesem Fall muss auf dem Link für den Zugriff auf das Datenblatt klar und leserlich "Produktdatenblatt" angegeben sein. Bei Anwendung einer geschachtelten Anzeige muss das Produktdatenblatt beim ersten Mausklick auf den Link, beim ersten Maus-Rollover über den Link bzw. beim ersten Berühren oder Aufziehen des Links auf einem Touchscreen erscheinen.


ENDE

umwelt-online - Demo-Version


(Stand: 26.08.2025)

Alle vollständigen Texte in der aktuellen Fassung im Jahresabonnement
Nutzungsgebühr: ab 105.- € netto (Grundlizenz)

(derzeit ca. 7200 Titel s.Übersicht - keine Unterteilung in Fachbereiche)

Preise & Bestellung

Die Zugangskennung wird kurzfristig übermittelt

? Fragen ?
Abonnentenzugang/Volltextversion