umwelt-online: Archivdatei - Empfehlung 2013/179/EU für die Anwendung gemeinsamer Methoden zur Messung und Offenlegung der Umweltleistung von Produkten und Organisationen (4)

zurück

4.6 Wahl zusätzlicher Umweltinformationen, die für den OEF zu berücksichtigen sind

Die relevanten potenziellen Umweltwirkungen einer Organisation können über die allgemein akzeptierten lebenswegbasierten EF-Wirkungsabschätzungsmodelle hinausgehen. Es ist wichtig, diese Umweltwirkungen soweit möglich zu berücksichtigen. So kann es z.B. in Verbindung mit einem bestimmten Standort oder einer bestimmten Tätigkeit wegen Änderungen der Landnutzung zu Auswirkungen auf die Biodiversität kommen. Dies kann die Anwendung zusätzlicher EF-Wirkungskategorien über die in diesen OEF-Leitfaden enthaltene Standardliste hinaus oder sogar zusätzliche qualitative Beschreibungen erfordern. Solche zusätzlichen Methoden ergänzen die Standardliste der EF-Wirkungskategorien. Zum Beispiel bieten eine Vielzahl von in der Entwicklung befindlichen Initiativen und Maßnahmen (wie dieGlobal Reporting Initiative 41) Modelle, die Organisationen eine qualitative Berichterstattung über ihre Auswirkungen auf die lokale Biodiversität ermöglichen.

Organisationen, die sich in Meeresnahe befinden, geben Emissionen möglicherweise direkt ins Meerwasser und nicht in Süßwasser ab. Da der Standardsatz der EF-Wirkungskategorien nur Ökotoxizität aufgrund von Emissionen in Süßwasser umfasst, ist es wichtig, unter "zusätzliche Umweltinformationen" auch Emissionen zu berücksichtigen, die direkt in das Meerwasser gelangen. Dies muss bei der Erstellung der Bilanz geschehen, da es zurzeit kein Wirkungsabschätzungsmodell für solche Emissionen gibt.

Neben der Angabe von Absolutwerten für jede untersuchte EF-Wirkungskategorie sind möglicherweise auch intensitätsbasierte Maßangaben erforderlich. Dies gilt z.B. für das Management von Verbesserungen der Umweltleistung sowie für die Aufstellung von Vergleichen und vergleichenden Aussagen. Beispiele für intensitätsbasierte Maßangaben sind die Auswirkungen je Produkteinheit, je Mitarbeiter, je Bruttoumsatz- und je Wertschöpfungseinheit.

Anforderungen an OEF-Studien

Wenn der Standardsatz der EF-Wirkungskategorien oder die EF-Standardwirkungsabschätzungsmodelle die potenziellen Umweltwirkungen der Organisation nicht ausreichend abdecken, müssen alle damit zusammenhängenden relevanten (qualitativen/quantitativen) Umweltaspekte zusätzlich unter "zusätzliche Umweltinformationen" erfasst werden. Diese zusätzlichen Umweltinformationen müssen getrennt von den Ergebnissen der EF-Standardwirkungsabschätzung angegeben werden. Sie dürfen die verbindlichen Abschätzungsmodelle der EF-Standardwirkungskategorien jedoch nicht ersetzen. Die unterstützenden Modelle für diese zusätzlichen Kategorien sowie die entsprechenden Indikatoren müssen mit eindeutigen Verweisen versehen und dokumentiert werden.

Zusätzliche Umweltinformationen müssen

Emissionen, die direkt ins Meerwasser gelangen, müssen unter "zusätzliche Umweltinformationen" (bei der Erstellung der Bilanz) erfasst werden.

Werden zur Unterstützung der Auswertungsphase einer OEF-Studie zusätzliche Umweltinformationen verwendet, so müssen alle Daten, die zur Erstellung dieser Informationen erforderlich sind, dieselben oder gleichwertige Qualitätsanforderungen erfüllen, wie sie für die Daten zur Berechnung der OEF-Ergebnisse festgelegt wurden (siehe Abschnitt 5.6 42).

Zusätzliche Umweltinformationen dürfen sich nur auf Umweltfragen beziehen. Informationen und Anweisungen, z.B. Sicherheitsdatenblatter, die keinen Bezug zum Umweltfugabdruck der Organisation haben, dürfen nicht Teil eines OEF sein. Auch Informationen über rechtliche Anforderungen dürfen nicht aufgenommen werden.

Zusätzliche Anforderungen an OEFSR-Regeln

Die OEFSR-Regeln müssen folgende Elemente spezifizieren:

jede zusätzliche Umweltinformation, die in die OEF-Studie aufgenommen werden muss oder deren Aufnahme aufgrund ihrer Relevanz für den betreffenden Sektor empfohlen wird. Diese zusätzlichen Informationen müssen getrennt von den Ergebnissen der EF-Standardwirkungsabschätzung angegeben werden (siehe Tabelle 2). Alle Modelle und Annahmen im Zusammenhang mit diesen zusätzlichen Umweltinformationen müssen angemessen belegt, klar dokumentiert und dem Prüfverfahren unterzogen werden. Solche zusätzlichen Umweltinformationen können Folgendes umfassen (nicht erschöpfende Aufzählung):

Des Weiteren muss in den OEFSR-Regeln die geeignete Einheit für intensitätsbasierte Maßangaben bestimmt werden, die für spezifische Kommunikationszwecke erforderlich sind.

4.7 Annahmen/Grenzen

Bei OEF-Studien kann die Untersuchung an diverse Grenzen stoßen, so dass Annahmen bestimmt werden müssen. So ist es z.B. möglich, dass generische Daten 43 die Realität der Organisation nicht vollständig wiedergeben und zur besseren Darstellung angepasst werden müssen.

Anforderungen an OEF-Studien

Über alle Grenzen und Annahmen muss transparent Bericht erstattet werden.

Zusätzliche Anforderungen an OEFSR-Regeln

Die OEFSR-Regeln müssen sektorspezifische Grenzen beschreiben und die zur Überwindung dieser Grenzen notwendigen Annahmen bestimmen.

5. Aufstellung und Aufzeichnung des Ressourcennutzungs- und Emissionsprofils (Bilanzierungsphase)

5.1 Allgemeines

Als Grundlage für die Modellierung des OEF muss eine Bilanz (ein Profil) aller Inputs/Outputs an Stoff-/Energieressourcen sowie aller Emissionen in Luft, Wasser und Boden erstellt werden. Dies ist das Ressourcennutzungs- und Emissionsprofil, das für die Gesamtheit der Waren/Dienstleistungen im festgelegten Produktportfolio der Organisation erstellt wird. Auf Organisationsebene umfasst es alle Inputs und Outputs der Prozesse, die sich im Eigentum der Organisation befinden bzw. von ihr gemanagt werden und direkt zur Bereitstellung des Produktportfolios innerhalb der Organisationsgrenze beitragen. Auf Ebene der Untersuchung schließt dies - wenn vor- und nachgelagerte Prozesse/Ströme in den OEF-Grenzen berücksichtigt sind - alle Prozesse/Ströme ein, die mit sämtlichen Lebenswegphasen des Produktportfolios verbunden sind.

Idealerweise sollten die Tätigkeiten der Organisation anhand von einrichtungs- oder produktspezifischen Daten beschrieben werden (d. h. Modellierung des genauen Lebenswegs mit Darstellung der Phasen Lieferkette, Nutzung und Ende der Lebensdauer (sofern zutreffend)). In der Praxis sollten für Prozesse innerhalb der festgelegten Organisationsgrenze generell direkt erhobene einrichtungsspezifische Bilanzierungsdaten verwendet werden, es sei denn, generische Daten sind repräsentativer oder besser geeignet. Für Prozesse außerhalb der Organisationsgrenzen, bei denen kein direkter Zugang zu spezifischen Daten möglich ist, werden im Allgemeinen generische Daten verwendet. Es gilt jedoch als gute Praxis, insbesondere bei ökologisch bedeutenden Prozessen zu versuchen, wo möglich auf Daten zuzugreifen, die direkt bei den Lieferanten erhoben wurden. Die Anforderungen an die Verwendung und Erhebung spezifischer und generischer Daten werden jeweils in den Abschnitten 5.7 und 5.8 genauer beschrieben.

Generische Daten stammen aus der Sachbilanzdatenbank einer dritten Partei, Berichten von Behörden oder Industrieverbänden, statistischen Datenbanken, einerPeer-Review unterzogener Literatur oder anderen Quellen. Sie werden verwendet, wenn spezifische Daten nicht zur Verfügung stehen oder nicht relevant sind. All diese Daten müssen den in diesem OEF-Leitfaden festgelegten Qualitätsanforderungen entsprechen.

Das Ressourcennutzungs- und Emissionsprofil muss sich auf die folgenden Klassifikationen der erfassten Flüsse stützen:

Alle nichtelementaren Flüsse im Ressourcennutzungs- und Emissionsprofil müssen in Elementarflüsse umgewandelt werden. So dürfen beispielsweise Abfallströme nicht lediglich als kg Haushaltsabfall oder gefährlicher Abfall angegeben werden, sondern müssen auch die auf die Behandlung der festen Abfälle zurückzuführenden Emissionen in Wasser, Luft und Boden umfassen. Dies ist für die Vergleichbarkeit von OEF-Studien erforderlich. Die Aufstellung des Ressourcennutzungs- und Emissionsprofils ist abgeschlossen, wenn alle Flüsse als Elementarflüsse angegeben sind.

Tipp: Die Dokumentierung der Datenerhebung ist nützlich, um die Datenqualität im Zeitverlauf zu verbessern, eine kritische Prüfung 44 vorzubereiten und künftige Organisationsbilanzen zu überarbeiten, um Änderungen bei Tätigkeiten der Organisation Rechnung zu tragen. Um sicherzustellen, dass alle relevanten Informationen dokumentiert werden, kann die Aufstellung eines Datenmanagementplans bereits zu Beginn der Bilanzierung hilfreich sein (siehe Anhang II).

Das Ressourcennutzungs- und Emissionsprofil in einer OEF-Studie kann in einem zweistufigen Verfahren erstellt werden, bestehend aus Screening und Abschluss. Abbildung 3 illustriert das Verfahren. Der erste Schritt ist nicht obligatorisch, wird aber dringend empfohlen.

Abbildung 3 Zweistufiges Verfahren zur Erstellung eines Ressourcennutzungs- und Emissionsprofils (das Screening wird dringend empfohlen, ist aber nicht obligatorisch)

Anforderungen an OEF-Studien

Alle Ressourcennutzungen und Emissionen, die mit den Lebenswegphasen innerhalb der definierten Systemgrenzen zusammenhängen, müssen im Ressourcennutzungs- und Emissionsprofil erfasst werden. Die Flüsse müssen in "Elementarflüsse" und "nichtelementare (d. h. komplexe) Flüsse" eingeteilt werden. Alle nichtelementaren Flüsse im Ressourcennutzungs- und Emissionsprofil müssen anschließend in Elementarflüsse umgewandelt werden.

5.2 Screening

Ein erstes Ressourcennutzungs- und Emissionsprofil und eine OEF-Wirkungsabschätzung auf "Screening-Ebene" werden dringend empfohlen. Das Screening trägt dazu bei, die Datenerhebung und die Datenqualitätsprioritäten für das eigentliche Ressourcennutzungs- und Emissionsprofil zu verbessern.

Anforderungen an OEF-Studien

Ein erstes Ressourcennutzungs- und Emissionsprofil auf "Screening-Ebene" sollte erstellt werden und wird dringend empfohlen. Wenn ein Screening durchgeführt wird, müssen leicht verfügbare spezifische und/oder generische Daten verwendet werden, die die Anforderungen an die Datenqualität gemäß Abschnitt 5.6 erfüllen. Jeder Ausschluss von Lieferkettenstufen muss ausführlich begründet und dem Prüfverfahren unterzogen werden; der Einfluss der ausgeschlossenen Stufen auf die Endergebnisse muss erörtert werden.

Bei Lieferkettenstufen, für die keine quantitative EF-Wirkungsabschätzung vorgesehen ist (z.B. die Nutzungsphase von Zwischenprodukten in einem OEF "von der Wiege bis zum Werkstor"), muss das Screening auf die vorhandene Literatur und andere Quellen verweisen, um zu qualitativen Beschreibungen von potenziell ökologisch bedeutenden Prozessen zu gelangen. Diese qualitativen Beschreibungen müssen unter "zusätzliche Umweltinformationen" aufgenommen werden.

Bei der Entwicklung qualitativer Beschreibungen von potenziellen Umweltwirkungen sollten die folgenden Quellen berücksichtigt werden:

Zusätzliche Anforderungen an OEFSR-Regeln

Die OEFSR-Regeln müssen die zu berücksichtigenden Prozesse vorgeben. Außerdem müssen sie festlegen, für welche Prozesse spezifische Daten erforderlich sind und für welche die Verwendung generischer Daten entweder zulässig oder vorgeschrieben ist.

5.3 Datenmanagementplan (fakultativ)

Ein Datenmanagementplan ist im Zusammenhang mit dem OEF zwar nicht vorgeschrieben, kann aber ein wertvolles Instrument für die Verwaltung der Daten und die Verfolgung des Prozesses der Erstellung des Ressourcennutzungs- und Emissionsprofils sein.

Der Datenmanagementplan kann Folgendes umfassen:

Für zusätzliche Anleitungen für mögliche Ansätze zur Formulierung eines Datenmanagementplans siehe Anhang II.

5.4 Ressourcennutzungs- und Emissionsprofildaten

Anforderungen an OEF-Studien

Im Ressourcennutzungs- und Emissionsprofil müssen alle dokumentierten Input- und Outputflüsse erfasst werden, die mit sämtlichen Tätigkeiten und Prozessen in allen Lebenswegphasen innerhalb der festgelegten OEF-Grenzen in Verbindung stehen.

Die folgenden Elemente müssen auf Aufnahme in das Ressourcennutzungs- und Emissionsprofil geprüft werden 45:

Investitionsgüter müssen linear abgeschrieben werden. Die erwartete Nutzungslebensdauer der Investitionsgüter muss berücksichtigt werden (und nicht die Zeit, bis ein Buchwert von 0 erreicht ist).

Zusätzliche Anforderungen an OEFSR-Regeln

Die OEFSR-Regeln müssen die Quellen und die Qualität der in einer OEF-Studie verwendeten Daten sowie die diesbezüglichen Prüfungsanforderungen vorgeben.

Die OEFSR-Regeln sollten ein oder mehrere Beispiele für die Erstellung des Ressourcennutzungs- und Emissionsprofils enthalten, auch Vorgaben für

Diese Vorgaben können für eine oder mehrere Lieferkettenstufen, Prozesse oder Tätigkeiten gelten, damit eine einheitliche Datenerhebung und Berichterstattung gewährleistet ist. Die OEFSR-Regeln können für wichtige vorgelagerte, "Werkstor- zu-Werkstor"- oder nachgelagerte Phasen strengere Datenanforderungen vorgeben, als in diesem OEF-Leitfaden festgelegt sind.

Für die Modellierung von Prozessen/Tätigkeiten innerhalb der festgelegten Organisationsgrenze (d. h. "Werkstor-zu-Werkstor"-Stufe) müssen die OEFSR-Regeln auch Folgendes spezifizieren:

Erfordern/erlauben die OEFSR-Regeln auch Abweichungen von der Standardgrenze des "Cradle-to-grave"-Systems (wird z.B. die "Cradle-to -gate"-Grenze vorgegeben), so muss spezifiziert werden, wie die Material-/Energiebilanzen im Ressourcennutzungs- und Emissionsprofil verrechnet werden müssen.

Die Nutzungslebensdauer von Investitionsgütern sollte anhand folgender Quellen geschätzt werden:

5.4.1 Direkte Tätigkeiten und Auswirkungen

Als direkte Auswirkungen zählen Auswirkungen aus Quellen, die sich im Eigentum der Organisation befinden und/oder von ihr betrieben werden, d. h. Auswirkungen von Tätigkeiten auf Standortebene wie:

5.4.2 Indirekt zuordenbare vorgelagerte Tätigkeiten

Indirekte Auswirkungen vorgelagerter Tätigkeiten ergeben sich aus der Nutzung von Stoffen und Energie sowie aus Emissionen in Verbindung mit Waren/Dienstleistungen, die aus dem der Organisationsgrenze vorgelagerten Bereich bezogen werden und in die Herstellung des Produktportfolios einfließen. Dazu gehören Ressourcen für und Emissionen aus Tätigkeiten wie:

5.4.3 Indirekt zuordenbare nachgelagerte Tätigkeiten

Indirekte Auswirkungen nachgelagerter Tätigkeiten ergeben sich aus der Nutzung von Stoffen und Energie sowie aus Emissionen in dem der Organisationsgrenze nachgelagerten Bereich, die mit Waren/Dienstleistungen im Zusammenhang mit dem Produktportfolio in Verbindung stehen. Dazu gehören Ressourcen für und Emissionen aus Tätigkeiten wie:

5.4.4 Zusätzliche Anforderungen an das Ressourcennutzungs- und Emissionsprofil

Anrechnung des Stromverbrauchs (einschließlich der Nutzung erneuerbarer Energie)

Strom aus dem Netz, der in vorgelagerten Bereichen oder innerhalb der definierten Organisationsgrenzen verbraucht wird, muss so genau wie möglich modelliert werden, wobei lieferantenspezifischen Daten der Vorzug zu geben ist. Wenn der Strom (zum Teil) aus erneuerbaren Quellen stammt, darf es nicht zu Doppelzählungen kommen.

Anforderungen an OEF-Studien

Für Strom aus dem Netz, der in vorgelagerten Bereichen oder innerhalb der definierten Organisationsgrenze verbraucht wird, müssen - sofern vorhanden - lieferantenspezifische Daten verwendet werden. Liegen keine lieferantenspezifischen Daten vor, so müssen länderspezifische Verbrauchsmix-Daten des Landes verwendet werden, in dem die Phasen des Lebenswegs erfolgen. Bei Strom, der wehrend der Nutzungsphase von Produkten verbraucht wird, muss der Energiemix die Verkaufsanteile von Ländern und Regionen widerspiegeln. Liegen keine solchen Daten vor, so muss der durchschnittliche EU-Verbrauchsmix oder andernfalls der repräsentativste Mix verwendet werden.

Es muss gewährleistet sein, dass Netzstrom aus erneuerbaren Energieträgern (und die damit verbundenen Auswirkungen), der in vorgelagerten Bereichen oder innerhalb der definierten Organisationsgrenzen verbraucht wird, nicht doppelt angerechnet wird. Dem OEF-Bericht muss als Anhang eine Bestätigung des Lieferanten (z.B. in Form eines Herkunftsnachweises für die Erzeugung von Strom aus erneuerbaren Energieträgern 48) beigefügt werden, aus der hervorgeht, dass der gelieferte Strom tatsächlich aus erneuerbaren Energiequellen stammt und an keine andere Organisation verkauft wird.

Anrechnung der Erzeugung erneuerbarer Energie

Einige Organisationen erzeugen möglicherweise mehr Energie aus erneuerbaren Quellen, als verbraucht wird. Wenn innerhalb der definierten Organisationsgrenze erzeugte überschüssige erneuerbare Energie an Dritte abgegeben wird (z.B. durch Einspeisung in das Stromnetz), darf dies der Organisation nur dann gutgeschrieben werden, wenn die Gutschrift nicht bereits im Rahmen anderer Regelungen berücksichtigt wurde. Es muss dokumentiert werden (z.B. durch Vorlage eines Herkunftsnachweises für die Erzeugung von Strom aus erneuerbaren Energieträgern 48), ob die Gutschrift für die Berechnung berücksichtigt wird oder nicht.

Anforderungen an OEF-Studien

Gutschriften für durch die Organisation erzeugte erneuerbare Energie müssen auf Basis des berichtigten (durch Abzug der extern gelieferten Menge erneuerbarer Energie) durchschnittlichen Verbrauchsmixes (auf Landesebene) des Landes berechnet werden, dem die Energie geliefert wird. Liegen diese Daten nicht vor, so muss der berichtigte durchschnittliche EU- Verbrauchsmix oder andernfalls der repräsentativste Mix verwendet werden. Liegen keine Daten über die berichtigten Verbrauchsmixe vor, so müssen die unberichtigten durchschnittlichen Verbrauchsmixe verwendet werden. Es muss auf transparente Weise angegeben werden, welche Energiemixe für die Berechnung der Gutschriften zugrunde gelegt werden und ob sie berichtigt wurden.

Anrechnung von temporärer (CO2)-Speicherung und verzögerten Emissionen

Temporäre CO2-Speicherung erfolgt, wenn ein Produkt "der Atmosphäre THG entzieht" oder "negative Emissionen" generiert, indem es CO2 für eine begrenzte Zeit aus der Atmosphäre aufnimmt und speichert.

Verzögerte Emissionen sind Emissionen, die über einen bestimmten Zeitraum, z.B. infolge langer Nutzungs- oder Entsorgungsphasen, freigesetzt werden, im Gegensatz zu einer einzelnen Emission zum Zeitpunkt t.

Erläuterungsbeispiel: Wenn Sie ein Holzmöbel mit einer Lebensdauer von 120 Jahren besitzen, so speichern Sie wehrend der 120-jährigen Lebensdauer des Möbels CO2, und die durch Entsorgung oder Verbrennung des Möbels am Ende seiner Lebensdauer entstehenden Emissionen gelten als 120 Jahre lang verzögert. Für die Herstellung des Holzmöbels wird CO2 aufgenommen, 120 Jahre lang gespeichert und wieder freigesetzt, wenn das Möbel am Ende seiner Lebensdauer entsorgt oder verbrannt wird. Das CO2 wird 120 Jahre lang gespeichert und die verzögerten CO2-Emissionen treten erst nach 120 Jahren (d. h. am Ende der Lebensdauer des Möbels) auf und nicht sofort.

Anforderungen an OEF-Studien

Gutschriften für temporäre (CO2-)Speicherung oder verzögerte Emissionen dürfen bei der Berechnung der EF-Standardwirkungskategorien nicht berücksichtigt werden. Sie können jedoch als "zusätzliche Umweltinformation" einbezogen werden. Sie müssen als "zusätzliche Umweltinformation" einbezogen werden, wenn dies in den OEFSR-Regeln vorgeschrieben ist.

Bindung und Freisetzung von biogenem CO2

CO2 wird z.B. durch das Wachstum von Bäumen der Atmosphäre entzogen und gebunden (Charakterisierungsfaktor 49 von - 1 CO2 Äq Erderwärmungswirkung), beim Verbrennen von Holz dagegen freigesetzt (Charakterisierungsfaktor von + 1 CO2 Äq Erderwärmungswirkung).

Anforderungen an OEF-Studien

Die Bindung und Freisetzung von CO2 aus biogenen Quellen muss im Ressourcennutzungs- und Emissionsprofil getrennt erfasst werden 50.

Direkte Landnutzungsänderung (Auswirkung auf den Klimawandel): Die Auswirkung von Landnutzungsänderungen auf den Klimawandel ist im Wesentlichen auf eine Änderung der Kohlenstoffbestände im Boden zurückzuführen. Eine direkte Landnutzungsänderung ist das Ergebnis des Übergangs, bezogen auf einen bestimmten Flächenbedeckungstyp, von einer Landnutzungsart zu einer anderen Nutzungsart, die Änderungen der Kohlenstoffbestände der betreffenden Bodenfläche nach sich ziehen kann, aber keine Änderung in einem anderen System bewirkt. Für weitere Einzelheiten siehe Anhang VI.

Indirekte Landnutzungsänderung (Auswirkung auf den Klimawandel): Die Auswirkung der Landnutzungsänderung auf den Klimawandel ist im Wesentlichen auf eine Änderung der Kohlenstoffbestände im Boden zurückzuführen. Eine indirekte Landnutzungsänderung tritt ein, wenn eine bestimmte Landnutzungsänderung Änderungen außerhalb der Systemgrenzen, d. h. Änderungen anderer Landnutzungsarten, herbeiführt. Da es keine vereinbarte Methodik für indirekte Landnutzungsänderungen im Kontext des Umweltfußabdrucks gibt, werden indirekte Landnutzungsänderungen bei den OEF-Treibhausgasberechnungen nicht berücksichtigt

Anforderungen an OEF-Studien

Treibhausgasemissionen, die auf direkte Landnutzungsänderungen zurückzuführen sind, müssen Produkten i) nach der Landnutzungsänderung 20 Jahre lang zugeordnet werden oder ii) es muss ein einziger Erntezeitraum ab Gewinnung des untersuchten Produkts (auch wenn dieser langer als 20 Jahre dauert) 51 gewählt werden, je nach dem, welcher Zeitraum der längere ist. Für weitere Einzelheiten siehe Anhang VI. Treibhausgasemissionen infolge indirekter Landnutzungsänderungen dürfen nicht erfasst werden, es sei denn, dies ist in der OEFSR-Regel ausdrücklich vorgesehen. In diesem Fall muss die indirekte Landnutzungsänderung als "zusätzliche Umweltinformation" separat angegeben werden; sie darf bei der Berechnung der Wirkungsabschätzungskategorie "Treibhausgase" jedoch nicht berücksichtigt werden.

5.4.5 Modellierung von Transportszenarien

Für die Modellierung des Transports während des Lebenswegs der von der Organisation erstellten Produkte müssen
Szenarien festgelegt werden. Die folgenden Parameter müssen/sollten (je nach Fall, siehe unten) berücksichtigt werden:

  1. Transportart: Die Art des Transports muss berücksichtigt werden (z.B. Landweg (Straße, Schiene, Rohrleitung), Wasserweg (Schiff, Fahre, Binnenschiff) oder Luftweg (Flugzeug)).
  2. Fahrzeugtyp und Kraftstoffverbrauch: Es müssen der Fahrzeugtyp sowie der Kraftstoffverbrauch in voll beladenem bzw. leerem Zustand berücksichtigt werden. Der Verbrauch eines voll beladenen Fahrzeugs muss je nach Beladungsrate angepasst werden (siehe Beispiel unten).
  3. Beladungsrate 52: Die Umweltwirkungen stehen in direktem Zusammenhang mit der tatsächlichen Beladungsrate, die folglich berücksichtigt werden muss.
  4. Zahl der Leerfahrten: Die Zahl der Leerfahrten (d. h. das Verhältnis der Strecke, die zurückgelegt wird, um nach Entladung des Produkts die nächste Ladung abzuholen, zu der Strecke, die zum Transport des Produkts zurückgelegt wurde) muss, sofern zutreffend, berücksichtigt werden. Die Leerkilometer des Fahrzeugs sollten ebenfalls dem untersuchten Produkt zugeordnet werden. Je nach Land und Art des transportierten Produkts müssen spezifische Werte festgelegt werden.
  5. Transportstrecke: Transportstrecken müssen schriftlich festgehalten werden, wobei fallspezifische Streckenmittelwerte zugrunde zu legen sind.
  6. Allokation 53 von Auswirkungen des Transports: Werden mehrere Waren transportiert, kann es erforderlich sein, der Organisation einen Teil der Transportauswirkungen auf Basis des Grenzlastfaktors zuzuordnen. Es gelten die folgenden Anforderungen 54:
  7. Kraftstoffproduktion: Die Kraftstoffproduktion muss berücksichtigt werden. Standardwerte für die Kraftstoffproduktion sind z.B. in der Europäischen Referenzdatenbank für Lebenszyklusdaten (ELCD) 55 zu finden.
  8. Infrastruktur: Die Transportinfrastruktur (insbesondere für den Straßen-, Schienen- und Schiffstransport) sollte berücksichtigt werden.
  9. Ressourcen und Instrumente: Menge und Art zusätzlicher Ressourcen und Instrumente, die für logistische Vorgange erforderlich sind (z.B. Krane und Transporter) sollten berücksichtigt werden.

Anforderungen an OEF-Studien

Folgende Transportparameter müssen berücksichtigt werden: Art des Transports, Fahrzeugtyp und Kraftstoffverbrauch, Beladungsrate, Zahl der Leerfahrten (falls zutreffend und relevant), Transportstrecke, Allokation bei Warentransport auf Basis eines Grenzlastfaktors (d. h. Masse bei Produkten mit hoher Dichte und Volumen bei Produkten mit niedriger Dichte) sowie Kraftstoffproduktion.

Folgende Transportparameter sollten berücksichtigt werden: Transportinfrastruktur, zusätzliche Ressourcen und Instrumente wie Krane und Transporter, Allokation bei Beförderung von Personen auf Basis von Zeit oder Strecke, Allokation bei Dienstreisen auf Basis von Zeit, Strecke oder wirtschaftlichem Wert.

Die transportbedingten Wirkungen müssen in Standardreferenzeinheiten ausgedrückt werden, d. h. in Tonnenkilometern (tkm) für Waren und in Personenkilometern (pkm) für die Beförderung von Personen. Jede Abweichung von diesen Standardreferenzeinheiten muss angegeben und begründet werden.

Die transportbedingten Umweltwirkungen müssen berechnet werden durch Multiplikation der Auswirkung je Referenzeinheit für jeden Fahrzeugtyp mit a) bei Waren: der Strecke und Beladung und b) bei Personen: der Strecke und der Zahl der Personen auf der Grundlage der festgelegten Transportszenarien.

Zusätzliche Anforderungen an OEFSR-Regeln

Die OEFSR-Regeln müssen die gegebenenfalls in die Studie aufzunehmenden Transport-, Vertriebs- und Lagerszenarien spezifizieren.

5.4.6 Modellierung von Szenarien für die Nutzungsphase

Die Nutzungsphase von Waren/Dienstleistungen im Produktportfolio einer Organisation beginnt, wenn der Verbraucher oder Endnutzer das Produkt in Besitz nimmt, und endet, wenn das benutzte Produkt weggeworfen wird, um zu einer Recycling- oder Abfallbehandlungseinrichtung verbracht zu werden. Es müssen Nutzungsszenarien definiert werden. Diese sollten veröffentlichte technische Informationen berücksichtigen, darunter:

Das Nutzungsszenario muss auch berücksichtigen, ob die Nutzung der untersuchten Produkte zu Veränderungen der Systeme, in denen sie genutzt werden, führen könnte. Energieverbrauchende Produkte könnten z.B. Einfluss auf die für die Heizung/Kühlung in einem Gebäude erforderliche Energie haben oder das Gewicht einer Autobatterie könnte den Kraftstoffverbrauch des Autos beeinflussen.

Anmerkung: Die vom Hersteller empfohlene Methode, die in der Nutzungsphase anzuwenden ist (z.B. Backen in einem Ofen bei einer bestimmten Temperatur für einen bestimmten Zeitraum) könnte als Grundlage für die Bestimmung der Nutzungsphase eines Produkts dienen. Die tatsächliche Nutzung kann jedoch von der Empfehlung abweichen und sollte - wenn entsprechende Informationen vorliegen - zugrunde gelegt werden.

Anforderungen an OEF-Studien

Sollen nachgelagerte Phasen in den OEF aufgenommen werden, müssen Nutzungsprofile (d. h. die entsprechenden Szenarien und die angenommene Nutzungslebensdauer) für Waren/Dienstleistungen spezifiziert werden, die für den Sektor repräsentativ sind. Alle relevanten Annahmen für die Nutzungsphase müssen dokumentiert werden. Wenn keine Methode für die Bestimmung der Nutzungsphase von Produkten anhand der in diesem OEF-Leitfaden vorgegebenen Techniken festgelegt wurde, muss die die Studie durchführende Organisation bestimmen, nach welchem Ansatz bei der Bestimmung der Nutzungsphase von Produkten vorgegangen wird. Methoden und Annahmen müssen dokumentiert werden. Relevante Auswirkungen der Nutzung der Produkte auf andere Systeme müssen berücksichtigt werden.

Zusätzliche Anforderungen an OEFSR-Regeln

Die OEFSR-Regeln müssen Folgendes vorgeben:

Bei der Definition von Szenarien für die Nutzungsphase sollten veröffentlichte technische Informationen einbezogen werden. Außerdem sollten bei der Definition der Nutzungsprofile Nutzungs-/Verbrauchsmuster, Ort, Zeit (Tag/Nacht, Sommer/Winter, Woche/Wochenende) und die angenommene Lebensdauer von Produkten in der Nutzungsphase Berücksichtigung finden. Falls entsprechende Informationen vorliegen, sollte das tatsächliche Nutzungsmuster der Produkte zugrunde gelegt werden.

5.4.7 Modellierung von Szenarien für das Ende der Lebensdauer 56

Die Phase des Endes der Lebensdauer von Produkten aus dem Produktportfolio der Organisation beginnt, wenn der Benutzer das gebrauchte Produkt wegwirft, und endet, wenn das Produkt als Abfallprodukt wieder in die Natur gelangt oder in den Lebensweg eines anderen Produkts einfliegt (d. h. als recyclierter Input). Prozesse am Ende der Lebensdauer, die in die OEF-Studie aufgenommen werden müssen, sind beispielsweise:

Da oft nicht genau bekannt ist, was am Ende der Lebensdauer eines Produkts geschieht, müssen Szenarien für das Ende der Lebensdauer definiert werden.

Anforderungen an OEF-Studien

Abfallströme aus Prozessen innerhalb der Systemgrenzen müssen als Elementarflüsse modelliert werden.

Zusätzliche Anforderungen an OEFSR-Regeln

In den OEFSR-Regeln müssen gegebenenfalls ein oder mehrere Szenarien für das Ende der Lebensdauer modelliert werden, die in der Studie zu berücksichtigen sind. müssen auf aktuellen (d. h. im Untersuchungsjahr angewandten) Praktiken, Technologien und Daten basieren.

5.5 Nomenklatur für das Ressourcennutzungs- und Emissionsprofil

Die Verwendung einer erheblich anderen Nomenklatur und anderer Konventionen führt zur Inkompatibilität von Ressourcennutzungs- und Emissionsprofilen auf mehreren Ebenen, was die kombinierte Nutzung von Datensätzen aus Ressourcennutzungs- und Emissionsprofilen aus unterschiedlichen Quellen bzw. einen effizienten Austausch elektronischer Daten unter Anwendern stark einschränkt. Außerdem erschwert dies ein klares, eindeutiges Verständnis und die Prüfung von OEF-Berichten. Aus diesem Grund ist es wichtig, in allen OEF-Studien dieselbe Nomenklatur zu verwenden.

Anforderungen an OEF-Studien

Alle relevanten Ressourcennutzungen und Emissionen im Rahmen der Lebenswegphasen innerhalb der definierten Systemgrenzen müssen anhand derInternational Reference Life Cycle Data System (ILCD) nomenclature and properties 57 dokumentiert werden. (Einzelheiten der ILCD-Nomenklaturregeln und -Eigenschaften siehe Anhang IV.)

Sind die Nomenklatur und die Eigenschaften für einen bestimmten Fluss nicht im ILCD vorhanden, so muss eine geeignete Nomenklatur erstellt und die Flusseigenschaften müssen dokumentiert werden.

5.6 Anforderungen an die Datenqualität

Datenqualitätsindikatoren drücken aus, wie gut Daten zu einem bestimmten Prozess/einer bestimmten Tätigkeit im Ressourcennutzungs- und Emissionsprofil passen. In diesem Abschnitt wird beschrieben, welche Anforderungen an die Datenqualität gelten und wie die Datenqualität bewertet werden muss. Es gibt sechs Qualitätskriterien für OEF-Studien, fünf für die Daten und eines für die Methode. Die Kriterien sind in Tabelle 3 zusammengefasst. Die technologische, räumliche und zeitbezogene Repräsentativität gibt an, inwieweit die ausgewählten Prozesse und Produkte für das untersuchte System charakteristisch sind. Sobald die für das untersuchte System repräsentativen Prozesse und Produkte ausgewählt sind und das Ressourcennutzungs- und Emissionsprofil dieser Prozesse und Produkte erstellt ist, wird anhand des Vollständigkeitskriteriums bewertet, inwieweit das Ressourcennutzungs- und Emissionsprofil dieser Prozesse und Produkte alle mit diesen Prozessen und Produkten verbundenen Emissionen und Ressourcen abdeckt.

Neben diesen Kriterien erfasst die Qualitätsbewertung noch drei weitere Aspekte: Dokumentation (Übereinstimmung mit dem ILCD-Format), Einhaltung der ILCD-Nomenklatur und Überprüfung. Die drei letztgenannten Kriterien fallen nicht unter die semiquantitative Bewertung der Datenqualität, die in den folgenden Absätzen beschrieben wird. Sie müssen jedoch erfüllt werden.

Tabelle 3: Datenqualitätskriterien, Dokumentation, Nomenklatur und Überprüfung

Daten
  • Technologische Repräsentativität1
  • Räumliche Repräsentativität2
  • Zeitbezogene Repräsentativität3
  • Vollständigkeit
  • Parameterunsicherheit4
Methode
  • Methodische Eignung und Konsistenz5 (die Anforderungen gemäß der Tabelle 6 gelten bis Ende 2015. Ab 2016 muss die OEF-Methodik in vollem Umfang eingehalten werden.)
Dokumentation
  • Entspricht ILCD-Format
Nomenklatur
  • Entspricht ILCD-Nomenklatur (z.B. Verwendung von ILCD-Referenzelementarflüssen für IT-kompatible Inventare)
Überprüfung
  • Überprüfung durch einen "qualifizierten Prüfer" (siehe Kapitel 9)
  • Separater Überprüfungsbericht
1) In diesem Leitfaden wird anstelle des in der ISO-Norm 14044 verwendeten Begriffs "technologischer Erfassungsbereich" der Begriff "technologische Repräsentativität" verwendet.

2) In diesem Leitfaden wird anstelle des in der ISO-Norm 14044 verwendeten Begriffs "geografischer Erfassungsbereich" der Begriff "räumliche Repräsentativität" verwendet.

3) In diesem Leitfaden wird anstelle des in der ISO-Norm 14044 verwendeten Begriffs "zeitbezogener Erfassungsbereich" der Begriff "zeitbezogene Repräsentativität" verwendet.

4) In diesem Leitfaden wird anstelle des in der ISO-Norm 14044 verwendeten Begriffs "Präzision" der Begriff "Parameterunsicherheit" verwendet.

5) In diesem Leitfaden wird anstelle des in der ISO-Norm 14044 verwendeten Begriffs "Konsistenz" der Begriff "methodische Eignung und Konsistenz" verwendet.

Tabelle 4 Übersicht über die Anforderungen an die Datenqualität und deren Bewertung

Mindestdatenqualität Art der erforderlichen Bewertung der
Datenqualität
Daten für mindestens 70 % der Beiträge zu jeder EF-Wirkungskategorie Insgesamt "gute" Datenqualität (DQR< 3,0) Semiquantitativ auf Basis von Tabelle 6
Daten für die folgenden 20 % (d. h. von 70 % bis 90 %) der Beiträge zu jeder EF-Wirkungskategorie Insgesamt "mittlere" Datenqualität Qualitative Beurteilung durch einen Sachverständigen (unterstützend zur Sachverständigenbeurteilung kann Tabelle 6 verwendet werden). Keine Quantifizierung erforderlich.
Näherungsdaten und Daten zur Schließung festgestellter Lücken (jenseits von 90 % der Beiträge zu jeder EF-Wirkungskategorie) Beste verfügbare Informationen Qualitative Beurteilung durch einen Sachverständigen (unterstützend zur Sachverständigenbeurteilung kann Tabelle 6 verwendet werden).

Semiquantitative Bewertung der Datenqualität

Die folgenden Tabellen (Tabelle 5 und Tabelle 6) und die dazugehörige Gleichung (Formel 1) beschreiben die Kriterien, die für die semiquantitative Bewertung der Datenqualität zu verwenden sind.

Tabelle 5: Kriterien für die semiquantitative Bewertung der Datenqualität der in der OEF-Studie verwendeten Sachbilanzdaten (Grundlage: EC-JRC-IE 2010d).

Qualitäts- niveau Qualitäts-
wert
Definition Vollständigkeit Methodische Eignung und Konsistenz Zeitbezogene Repräsentativität Technologische Repräsentativität Räumliche Repräsentativität Parameter- unsicherheit
Beurteilung im Hinblick auf die Abdeckung jeder EF- Wirkungs- kategorie und gemessen an einer hypothetischen idealen Datenqualität Die angewandten Sachbilanz- methoden1 und methodischen Entscheidungen (z.B. Allokation, Substitution) entsprechen dem Ziel und Untersuchungs- rahmen, insbesondere in Bezug auf vorgesehene Anwendungen als Entscheidungs- hilfe. Die Methoden wurden konsequent für alle Daten angewandt2. Ausmaß, in dem der Datensatz die spezifischen Bedingungen des untersuchten Systems in Bezug auf die Zeit der Datenerfassung / das Alter der Daten widerspiegelt; dies gilt auch für Datensätze für Hintergrund- prozesse3, falls vorhanden.

Anm.: d. h. Bedingungen des angegebenen Jahres (und ggf. der Jahres- oder Tagesdifferenzen).

Ausmaß, in dem der Datensatz die tatsächlich untersuchte Grundgesamtheit in Bezug auf die angewandte Technologie widerspiegelt; dies gilt auch für Datensätze für Hintergrund- prozesse, falls vorhanden.

Anm.: d. h. die technischen Eigenschaften, einschließlich Betriebs- bedingungen.

Ausmaß, in dem der Datensatz die tatsächlich untersuchte Grundgesamtheit unter räumlichen Gesichtspunkten widerspiegelt; dies gilt auch für Datensätze für Hintergrund- prozesse, falls vorhanden.

Anm.: d. h. Anlage/Standort, Region, Land, Markt, Kontinent usw.

Qualitative Beurteilung durch einen Sachverständigen oder relative Standard- abweichung in Prozent bei Anwendung einer Monte-Carlo- Simulation.

Anm.: Die Unsicherheits- bewertung betrifft nur die Ressourcen- nutzungs- und Emissionsprofildaten; die EF-Wirkungs- abschätzung fallt nicht darunter.

Sehr gut 1 Erfüllt das Kriterium in sehr hohem Maße, kein Verbesserungs- bedarf Sehr gute Vollständigkeit

(> 90 %)

Vollständige Einhaltung aller Anforderungen des OEF-Leitfadens Fallspezifisch4 Fallspezifisch Fallspezifisch Sehr niedrige Unsicherheit

(< 10 %)

Gut 2 Erfüllt das Kriterium in hohem Maße, geringer Verbesserungs- bedarf Gute Vollständigkeit

(80 % bis 90 %)

Attributiver5 prozessbasierter Ansatz UND:

Die drei folgenden methodischen Anforderungen des OEF- Leitfadens sind erfüllt:

  • Umgang mit Multifunktionalität;
  • Modellierung des Endes der Lebensdauer;
  • Systemgrenze.
Fallspezifisch Fallspezifisch Fallspezifisch Niedrige Unsicherheit

(10 % bis 20 %]

Mittel 3 Erfüllt das Kriterium in akzeptablem Maße, ist aber verbesserungs- bedürftig. Mittlere Vollständigkeit

(70 % bis 80 %)

Attributiver prozessbasierter Ansatz UND:

Zwei der drei folgenden methodischen Anforderungen des OEF- Leitfadens sind erfüllt:

  • Umgang mit Multifunktionalität;
  • Modellierung des Endes der Lebensdauer;
  • Systemgrenze.
Fallspezifisch Fallspezifisch Fallspezifisch Mittlere Unsicherheit

(20 % bis 30 %)

Schlecht 4 Erfüllt das Kriterium nicht in ausreichendem Maße, sondern erfordert Verbesserungen. Schlechte Vollständigkeit

(50 % bis 70 %)

Attributiver prozessbasierter Ansatz UND:

Eine der drei folgenden methodischen Anforderungen des OEF- Leitfadens ist erfüllt:

  • Umgang mit Multifunktionalität;
  • Modellierung des Endes der Lebensdauer;
  • Systemgrenze.
Fallspezifisch Fallspezifisch Fallspezifisch Hohe Unsicherheit

(30 % bis 50 %]

Sehr schlecht 5 Erfüllt das Kriterium nicht. Wesentliche Verbesserung ist notwendig. ODER:

Dieses Kriterium wurde nicht beurteilt / geprüft oder die Qualität konnte nicht überprüft werden/ist unbekannt.

Sehr schlechte oder unbekannte Vollständigkeit

(< 50 %)

Attributiver prozessbasierter Ansatz, ABER:

Keine der drei folgenden methodischen Anforderungen des OEF- Leitfadens ist erfüllt:

  • Umgang mit Multifunktionalität;
  • Modellierung des Endes der Lebensdauer;
  • Systemgrenze.
Sehr hohe Unsicherheit (> 50 %)
1) Im Sinne des OEF-Leitfadens entspricht der Begriff "Sachbilanz" dem Begriff "Ressourcennutzungs- und Emissionsprofil".

2) Diese Anforderung ist bis Ende 2015 zu erfüllen. Ab 2016 muss die OEF-Methodik in vollem Umfang eingehalten werden und es kann davon ausgegangen werden, dass sie eine sehr gute Qualität für die Berechnung des Datenqualitätswerts (DQR) in Formel 1 (d. h. M = 1) aufweisen wird.

3) Diejenigen Prozesse in der Lieferkette der Organisation, bei denen kein direkter Zugang zu Informationen möglich ist. Beispielsweise gelten die meisten vorgelagerten Prozesse der Lieferkette und im Allgemeinen alle nachgelagerten Prozesse als Hintergrundprozesse.

4) "Fallspezifisch" bedeutet, dass die Repräsentativität der Daten in Abhängigkeit von der Organisation schwanken kann. Die OEFSR-Regeln müssen die Kriterien für die Repräsentativität definieren.

5) Attributiv - prozessbasierte Modellierung, die einer statischen Darstellung durchschnittlicher Bedingungen dienen soll.

Die Gesamtdatenqualität muss durch Division der Summe der gemäß Tabelle 6 vorgenommenen Qualitätsbewertungen für jedes einzelne Qualitätskriterium durch die Gesamtzahl der Kriterien (sechs) berechnet werden. Die Berechnung erfolgt gemäß Formel 1 (Europäische Kommission - Gemeinsame Forschungsstelle - IES 2010d, S. 109). Das Ergebnis ist der Datenqualitätswert (Data Quality Rating, DQR), der zur Angabe des betreffenden Qualitätsniveaus in Tabelle 6 verwendet wird.

Formel 1

DQR = (TeR + GR + TiR + C + P + M) / 6

Tabelle 6: Gesamtdatenqualitätsniveau entsprechend dem errechneten Datenqualitätswert

Gesamtdatenqualitätswert (DQR) Gesamtdatenqualitätsniveau
< 1,6 "Ausgezeichnete Qualität"
> 1,6 bis< 2,0 "Sehr gute Qualität"
> 2,0 bis< 3,01 "Gute Qualität"
> 3 bis< 4,0 "Mittlere Qualität"
> 4 "Schlechte Qualität"
1) Es müssen also nicht alle Daten im Datensatz die Bewertung "gute Qualität" erhalten, damit der Datensatz insgesamt mit "gute Qualität" bewertet werden kann. So könnten auch zwei mit "mittel" bewertet werden. Werden mehr als zwei mit "mittel" oder eines der Daten mit "schlecht" und eines mit "mittel" bewertet, wird die Gesamtdatenqualität in die nächste Qualitätsklasse herabgestuft ("mittel").

Tabelle 7: Semiquantitative Bewertung der für wichtige Sachbilanzdatensätze erforderlichen Datenqualität am Beispiel des Farbeprozesses

Qualitäts- niveau Qualitäts- wert Definition Vollständigkeit Methodische Eignung und Konsistenz Zeit- bezogene Repräsen- tativität Techno- logische Repräsen- tativität Räumliche Repräsen- tativität Parameter- unsicherheit
Sehr gut 1 Erfüllt das Kriterium in sehr hohem Maße, kein Verbesserungsbedarf Sehr gute Vollständigkeit

(> 90 %)

Vollständige Einhaltung aller Anforderungen des OEF-Leitfadens 2009-2012 Diskontinuierlich mit Luftfluss- Färbemaschinen Mittel- europäischer Mix Sehr niedrige Unsicherheit

(< 10 %)

Gut 2 Erfüllt das Kriterium in hohem Maße, geringer Verbesserungsbedarf Gute Vollständigkeit

(80 % bis 90 %)

Attributiver prozessbasierter Ansatz UND:

Die drei folgenden methodischen Anforderungen des OEF-Leitfadens sind erfüllt:

  • Umgang mit Multifunktionalität;
  • Modellierung des Endes der Lebensdauer;
  • Systemgrenze.
2006-2008 Z. B. "Verbrauchsmix in der EU: 30 % halbkon- tinuierliches Farben, 50 % Farben nach dem Ausziehverfahren und 20 % kontinuierliches Farben" EU-27-Mix; UK, DE; IT; FR Niedrige Unsicherheit

(10 % bis 20 %]

Mittel 3 Erfüllt das Kriterium in akzeptablem Maße, ist aber verbesserungsbedürftig. Mittlere Vollstän- digkeit

(70 % bis 80 %)

Attributiver prozessbasierter Ansatz UND:

Die zwei folgenden methodischen Anforderungen des OEF-Leitfadens sind erfüllt:

  • Umgang mit Multifunktionalität;
  • Modellierung des Endes der Lebensdauer.

Die folgende methodische Anforderung des OEF-Leitfadens ist jedoch nicht erfüllt:

  • Systemgrenze.
1999-2005 Z. B. "Verbrauchsmix in der EU: 35 % halb- kontinuierliches Färben, 40 % Farben nach dem Ausziehverfahren und 25 % kontinuierliches Färben" Skandinavien; andere EU-27-Länder. Mittlere Unsicherheit

(20 % bis 30 %)

Schlecht 4 Erfüllt das Kriterium nicht in ausreichendem Maße, sondern erfordert Verbesserungen. Schlechte Vollstän- digkeit

(50 % bis 70 %)

Attributiver prozessbasierter Ansatz UND:

Die folgende methodische Anforderung des OEF-Leitfadens ist erfüllt:

  • Umgang mit Multifunktionalität.

Die zwei folgenden methodischen Anforderungen des OEF-Leitfadens sind jedoch nicht erfüllt:

  • Modellierung des Endes der Lebensdauer;
  • Systemgrenze.
1990-1999 Z. B. "Färben nach dem Ausziehverfahren" Naher Osten; US; JP Hohe Unsicherheit

(30 % bis 50 %)

Sehr schlecht 5 Erfüllt das Kriterium nicht. Wesentliche Verbesserung ist notwendig. ODER:

Dieses Kriterium wurde nicht beurteilt/geprüft oder die Qualität konnte nicht überprüft werden/ist unbekannt.

Sehr schlechte oder unbekannte Vollständigkeit

(< 50 %)

Attributiver prozessbasierter Ansatz, ABER:

Keine der drei folgenden methodischen Anforderungen des OEF-Leitfadens ist erfüllt:

  • Umgang mit Multifunktionalität;
  • Modellierung des Endes der Lebensdauer;
  • Systemgrenze.
< 1990; unbekannt Kontinuierliches Färben; sonstige; unbekannt Sonstige; unbekannt Sehr hohe Unsicherheit

(> 50 %)

Anforderungen an OEF-Studien

OEF-Studien, die für die externe Kommunikation vorgesehen sind, müssen die Datenqualitätsanforderungen erfüllen. Für die interne Kommunikation vorgesehene OEF-Studien (von denen behauptet wird, dass sie mit diesem OEF-Leitfaden konform sind) sollten die Datenqualitätsanforderungen zwar erfüllen (d. h. es wird empfohlen), dies ist jedoch nicht obligatorisch. Jede Abweichung von den Anforderungen muss dokumentiert werden. Die Datenqualitätsanforderungen gelten sowohl für spezifische als auch für generische Daten.

Für die semiquantitative Bewertung der Datenqualität in OEF-Studien sind die folgenden sechs Kriterien zu verwenden: technologische Repräsentativität, räumliche Repräsentativität, zeitbezogene Repräsentativität, Vollständigkeit, Parameterunsicherheit und methodische Eignung.

Beim fakultativen Screening (falls durchgeführt) ist für Daten, die mindestens 90 % der für jede EF-Wirkungskategorie geschätzten Wirkung ausmachen, mindestens ein "mittlerer" Datenqualitätswert erforderlich, der auf der qualitativen Beurteilung durch einen Sachverständigen beruht.

Im endgültigen Ressourcennutzungs- und Emissionsprofil müssen bei den Prozessen oder Tätigkeiten, die mindestens 70 % der Beiträge zu jeder EF-Wirkungskategorie ausmachen, sowohl die spezifischen als auch die generischen Daten ein insgesamt "gutes" Qualitätsniveau aufweisen 58. Für diese Prozesse muss eine semiquantitative Bewertung der Datenqualität durchgeführt und mitgeteilt werden. Mindestens zwei Drittel der verbleibenden 30 % (d. h. von 70 % bis 90 %) müssen mit Daten, die gemäß qualitativer Beurteilung durch einen Sachverständigen mindestens "mittlerer Qualität" entsprechen, modelliert werden. Die verbleibenden Daten (Näherungsdaten sowie Daten zur Schließung festgestellter Lücken (jenseits von 90 % der Beiträge zu Umweltwirkungen)) müssen auf den besten verfügbaren Informationen beruhen. Tabelle 4 enthält eine zusammenfassende Darstellung.

Die Datenqualitätsanforderungen für die technologische, räumliche und zeitbezogene Repräsentativität müssen als Teil der OEF-Studie überprüft werden. Die Datenqualitätsanforderungen in Bezug auf Vollständigkeit, methodische Eignung und Konsistenz sowie Parameterunsicherheit müssen erfüllt werden, indem generische Daten ausschließlich aus Datenquellen beschafft werden, die die Anforderungen des OEF-Leitfadens erfüllen.

Für das Datenqualitätskriterium "methodische Eignung und Konsistenz" gelten die in Tabelle 6 festgelegten Anforderungen bis Ende 2015. Ab 2016 muss die OEF-Methodik in vollem Umfang eingehalten werden.

Folgendes ist hinsichtlich der durchzuführenden Prüfung der Datenqualität zu beachten:

Zusätzliche Anforderungen an OEFSR-Regeln

OEFSR-Regeln müssen zusätzliche Anleitungen für die Datenqualitätsbewertung in Bezug auf die zeitbezogene, räumliche und technologische Repräsentativität geben. Sie müssen z.B. vorgeben, welcher Datenqualitätswert für die zeitbezogene Repräsentativität einem für ein bestimmtes Jahr stehenden Datensatz zugeordnet werden sollte.

OEFSR-Regeln können zusätzliche Kriterien für die Bewertung der Datenqualität (die über die Standardkriterien hinausgehen) vorsehen.

OEFSR-Regeln können strengere Datenqualitätsanforderungen vorgeben, z.B. in Bezug auf

Beispiel für die Bestimmung des Datenqualitätswerts

Komponente Erreichtes Qualitätsniveau Entsprechende Qualitätsbewertung
Technologische Repräsentativität (TeR) gut 2
Räumliche Repräsentativität (GR) gut 2
Zeitbezogene Repräsentativität (TiR) mittel 3
Vollständigkeit (C) gut 2
Parameterunsicherheit (P) gut 2
Methodische Eignung und Konsistenz (M) gut 2


TeR + GR + TiR + C + P + M 2 + 2 + 3 + 2 + 2 + 2
DQR =

=

= 2,2
6 6

Ein DQR von 2,2 entspricht einer insgesamt "guten" Qualität.

5.7 Erhebung spezifischer Daten

Spezifische Daten sind direkt gemessene oder erhobene Daten, die für die Tätigkeiten einer bestimmten Einrichtung oder einer Reihe von Einrichtungen repräsentativ sind. Die Daten sollten alle bekannten Prozess-Inputs und -Outputs umfassen. Inputs sind z.B. benötigte Energie, Wasser, Werkstoffe usw. Outputs sind die entstehenden Produkte, Koppelprodukte, Emissionen und Abfall. Emissionen können in drei Kategorien eingeteilt werden: Emissionen in Luft, Wasser und Boden. Spezifische Daten können erhoben, gemessen oder anhand von Tätigkeitsdaten und dazugehörigen Emissionsfaktoren berechnet werden. Es sei darauf hingewiesen, dass Emissionsfaktoren von generischen Daten abgeleitet werden können, solange die Datenqualitätsanforderungen erfüllt sind.

Datenerhebung - Messungen und maßgeschneiderte Fragebogen

Die repräsentativsten Datenquellen für spezifische Prozesse sind direkt am Prozess durchgeführte Messungen oder vom Einrichtungsbetreiber durch Befragungen oder Fragebögen eingeholte Angaben. Die Daten müssen möglicherweise skaliert, aggregiert oder in anderer Form mathematisch bearbeitet werden, um sie mit dem Produktportfolio in Beziehung zu setzen.

Typische Quellen für spezifische Daten sind:

Anforderungen an OEF-Studien

Für alle Vordergrundprozesse/-tätigkeiten und gegebenenfalls für Hintergrundprozesse/-tätigkeiten 60 müssen spezifische Daten 61 erhoben werden. Sind jedoch generische Daten für Vordergrundprozesse repräsentativer oder besser geeignet als spezifische Daten (dies ist anzugeben und zu begründen), so müssen für Vordergrundprozesse auch generische Daten verwendet werden.

Zusätzliche Anforderungen an OEFSR-Regeln

OEFSR-Regeln müssen

  1. vorgeben, für welche Prozesse spezifische Daten erhoben werden müssen;
  2. die Verfahrensschritte für die Erhebung spezifischer Daten für jeden Prozess/jede Tätigkeit vorgeben;
  3. die Verfahrensschritte für die Datenerhebung an den einzelnen Standorten festlegen, und zwar für:

Anmerkung: Grundsätzlich umfasst der Ort der Datenerhebung alle Zielbereiche und der Zeitraum der Datenerhebung entspricht einem Jahr oder mehr.

5.8 Erhebung generischer Daten

Generische Daten sind Daten, die nicht auf direkten Messungen oder auf Berechnung der betreffenden spezifischen Prozesse basieren. Sie können entweder sektorspezifisch sein, d. h. den von der OEF-Studie erfassten Sektor betreffen, oder sich auf mehrere Sektoren beziehen. Beispiele für generische Daten sind u. a.:

Beschaffung generischer Daten

Um die Kompatibilität zu gewährleisten, müssen alle generischen Daten die Datenqualitätsanforderungen des OEF-Leitfadens erfüllen. Generische Daten sollten, soweit verfügbar, aus den in diesem OEF-Leitfaden angegebenen Datenquellen beschafft werden (siehe unten).

Noch ausstehende generische Daten sollten vorzugsweise beschafft werden aus:

Es gibt noch weitere potenzielle Quellen für generische Daten, z.B. dasResource Directory of the European Platform on LCA62. Wenn die notwendigen Daten in den genannten Quellen nicht zu finden sind, können auch andere Quellen herangezogen werden.

Anforderungen an OEF-Studien

Generische Daten sollten nur für Prozesse und Tätigkeiten außerhalb der festgelegten Organisationsgrenze oder für die Bereitstellung von Emissionsfaktoren für Vordergrundprozesse beschreibende Tätigkeitsdaten verwendet werden. Des Weiteren müssen generische Daten für diejenigen Prozesse und Tätigkeiten innerhalb der Organisationsgrenzen verwendet werden, die sich durch sie besser darstellen lassen (siehe vorhergehende Anforderung). Sofern verfügbar, müssen sektorspezifische generische Daten anstelle von mehrere Sektoren betreffenden generischen Daten verwendet werden. Alle generischen Daten müssen die Datenqualitätsanforderungen gemäß; diesem OEF-Leitfaden erfüllen. Die verwendeten Datenquellen müssen deutlich dokumentiert und im OEF-Bericht angegeben werden.

Generische Daten (vorausgesetzt, sie erfüllen die Datenqualitätsanforderungen gemäß; diesem OEF-Leitfaden) sollten, soweit verfügbar, aus folgenden Quellen beschafft werden:

Zusätzliche Anforderungen an OEFSR-Regeln

Die OEFSR-Regeln müssen

5.9 Vorgehen bei noch bestehenden Datenlücken/fehlenden Daten

Datenlücken bestehen, wenn es keine spezifischen oder generischen Daten gibt, die für den betreffenden Prozess/die betreffende Tätigkeit ausreichend repräsentativ sind. Bei den meisten Prozessen/Tätigkeiten, für die Daten fehlen, sollte es möglich sein, ausreichende Informationen einzuholen, um die fehlenden Daten angemessen zu schatzen. Deshalb sollte es im endgültigen Ressourcennutzungs- und Emissionsprofil, wenn überhaupt, nur wenige Datenlücken geben. Die fehlenden Informationen können unterschiedlicher Art sein und unterschiedliche Merkmale aufweisen, so dass jeweils unterschiedliche Lösungsansätze erforderlich sind.

Datenlücken können bestehen,

Anforderungen an OEF-Studien

Alle Datenlücken müssen mit den besten verfügbaren generischen oder extrapolierten Daten 64 geschlossen werden. Der Beitrag dieser Daten (einschließlich Lücken bei generischen Daten) darf nicht mehr als 10 % des Gesamtbeitrags zur jeweils untersuchten EF-Wirkungskategorie ausmachen. Dies spiegelt sich in den Datenqualitätsanforderungen wider, wonach 10 % der Daten aus den besten verfügbaren Daten gewählt werden können (ohne weitere Datenqualitätsanforderungen).

Zusätzliche Anforderungen an OEFSR-Regeln

Die OEFSR-Regeln müssen auf potenzielle Datenlücken eingehen und ausführliche Anleitungen zur Schließung dieser Lücken geben.

5.10 Erhebung von Daten für die nächsten methodischen Phasen einer OEF-Studie

Abbildung 4 veranschaulicht die Datenerhebung für eine OEF-Studie. Die "Muss-, Soll- und Kann-Anforderungen" sind sowohl für spezifische als auch für generische Daten zusammengefasst. Die Abbildung zeigt zudem den Zusammenhang zwischen dem Schritt der Datenerhebung, der Entwicklung des Ressourcennutzungs- und Emissionsprofils und der anschließenden EF-Wirkungsabschätzung.

Abbildung 4 Zusammenhang zwischen Datenerhebung, Ressourcennutzungs- und Emissionsprofil und EF-
Wirkungsabschätzung

5.11 Vorgehen bei multifunktionalen Prozessen und Einrichtungen

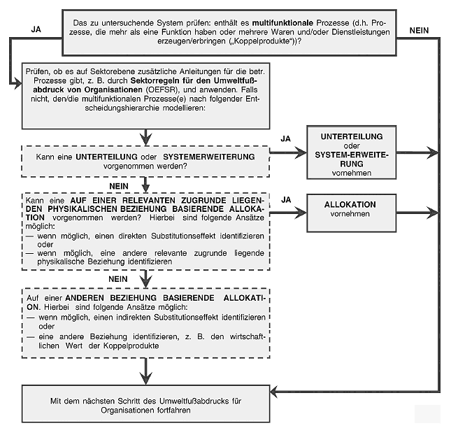
Wenn ein Prozess oder eine Einrichtung mehr als eine Funktion hat, d. h. mehrere Waren und/oder Dienstleistungen liefert bzw. erbringt ("Koppelprodukte"), ist er/sie "multifunktional". In solchen Fällen müssen alle Prozess-Inputs und Prozessemissionen dem untersuchten Produkt und den anderen Koppelprodukten nach festen Grundsätzen zugeordnet werden. Ebenso müssen bei einer im gemeinsamen Eigentum befindlichen und/oder gemeinsam betriebenen Einrichtung, die mehrere Produkte erstellt, oder bei gleichzeitiger Erzeugung von Wärme und Strom durch Kraft-Wärme-Kopplung die damit verbundenen Inputs und Emissionen möglicherweise auf die Produkte innerhalb der vordefinierten Produktportfolios verschiedener Organisationen aufgeteilt werden. Trägt ein Prozess jedoch zu mehreren Produkten im Produktportfolio einer Organisation bei und deckt die OEF-Studie das gesamte Produktportfolio dieser Organisation ab, ist die Aufteilung auf einzelne Produkte nicht erforderlich.

Systeme mit multifunktionalen Prozessen müssen nach der folgenden Entscheidungshierarchie modelliert werden, mit zusätzlichen Anweisungen aus den OEFSR-Regeln auf Sektor-Ebene, soweit verfügbar. Abbildung 5 stellt einen Entscheidungsbaum für den Umgang mit multifunktionalen Prozessen dar.

"Einige Outputs können teils Koppelprodukte und teils Abfall sein. In solchen Fällen ist es notwendig, das Verhältnis zwischen den Koppelprodukten und dem Abfall zu ermitteln, da die Inputs und Outputs nur den Koppelprodukten zugeordnet werden dürfen.

Im betrachteten System muss für ähnliche Inputs und Outputs ein einheitliches Allokationsverfahren angewandt werden." (ISO 14044:2006, 14)

Entscheidungshierarchie

I) Unterteilung oder Systemerweiterung

Um eine Allokation zu vermeiden, sollte wo immer möglich eine Unterteilung oder Systemerweiterung angewandt werden. Unterteilung bedeutet Disaggregierung multifunktionaler Prozesse oder Einrichtungen, um Input-Flüsse, die direkt mit dem jeweiligen Prozess- oder Einrichtungsoutput zusammenhängen, zu isolieren. Systemerweiterung bedeutet Erweiterung des Systems durch Einbeziehung zusätzlicher, die Koppelprodukte betreffender Funktionen. Zunächst muss geprüft werden, ob der untersuchte Prozess unterteilt oder erweitert werden kann. Ist eine Unterteilung möglich, so sollten Bilanzierungsdaten nur für die Prozessmodule 65 erhoben werden, die den betreffenden Waren/Dienstleistungen direkt zugeordnet 66 werden können. Kann das System erweitert werden, so müssen die zusätzlichen Funktionen in die Untersuchung einbezogen werden, wobei die Ergebnisse nicht für die individuellen Koppelprodukte, sondern für das gesamte erweiterte System mitzuteilen sind.

II) Allokation auf Basis einer relevanten zugrunde liegenden physikalischen Beziehung

Wenn eine Unterteilung oder Systemerweiterung nicht möglich ist, sollte die Allokation angewandt werden, d. h. die Inputs und Outputs des Systems sollten dessen verschiedenen Produkten oder Funktionen so zugeordnet werden, dass die relevanten zugrunde liegenden physikalischen Beziehungen zwischen ihnen widergespiegelt werden. (ISO 14044:2006, 14).

Allokation auf Basis einer relevanten zugrunde liegenden physikalischen Beziehung bedeutet Zuordnung der Input- und Outputflüsse eines multifunktionalen Prozesses oder einer multifunktionalen Einrichtung entsprechend einer relevanten quantifizierbaren physikalischen Beziehung zwischen den Prozessinputs und Koppelprodukt-Outputs (z.B. einer physikalischen Eigenschaft der Inputs und Outputs, die für die Funktion des betreffenden Koppelprodukts relevant ist). Eine Allokation auf Basis einer physikalischen Beziehung kann mittels direkter Substitution modelliert werden, wenn ein Produkt identifiziert werden kann, das direkt substituiert 67 wird.

Kann ein direkter Substitutionseffekt robust modelliert werden? Dies kann demonstriert werden, indem nachgewiesen wird, dass 1) ein direkter, empirisch nachweisbarer Substitutionseffekt besteht UND 2) das substituierte Produkt modellierbar ist und die Daten aus dem Ressourcennutzungs- und Emissionsprofil auf direkt repräsentative Weise subtrahiert werden können:

- Wenn ja (d. h. beide Bedingungen sind nachweislich erfüllt), den Substitutionseffekt modellieren. Oder

Können die Input-/Outputflüsse auf Basis einer anderen relevanten zugrunde liegenden physikalischen Beziehung zugeordnet werden, die die Inputs und Outputs zur Funktion des Systems in Beziehung setzt? Dies kann demonstriert werden, indem nachgewiesen wird, dass eine relevante physikalische Beziehung definiert werden kann, auf deren Grundlage die Allokation der der festgelegten Funktion des Produktsystems zuordenbaren Flüsse erfolgen kann 68.

- Wenn ja, Allokation auf Basis dieser physikalischen Beziehung vornehmen.

III) Allokation auf Basis einer anderen Beziehung

Allokation auf Basis einer anderen Beziehung kann möglich sein. Eine wirtschaftliche Allokation bedeutet z.B. die Zuordnung der mit multifunktionalen Prozessen zusammenhängenden Inputs und Outputs zu den Koppelprodukt-Outputs im Verhältnis zu ihrem relativen Marktwert. Der Marktpreis von Koppelfunktionen sollte sich auf die spezifische Bedingung und den Punkt beziehen, unter der bzw. an dem die Koppelprodukte hergestellt werden. Allokation auf Basis des wirtschaftlichen Werts darf nur vorgenommen werden, wenn (I und II) nicht möglich sind. In jedem Fall muss - um die physische Repräsentativität der OEF-Ergebnisse so weit wie möglich zu gewährleisten - genau begründet werden, warum I) und II) verworfen wurden und eine bestimmte Allokationsregel gemäß Schritt III gewählt wurde.

Eine Allokation auf Basis einer anderen Beziehung kann auf eine der folgenden alternativen Weisen vorgenommen werden:

Lässt sich ein indirekter Substitutionseffekt 69 feststellen? UND kann das substituierte Produkt modelliert und die Bilanz auf eine angemessen repräsentative Weise subtrahiert werden?

- Wenn ja (d. h. beide Bedingungen sind nachweislich erfüllt), den indirekten Substitutionseffekt modellieren.

Oder

Können die Input-Outputflüsse zwischen den Produkten und Funktionen auf Basis einer anderen Beziehung zugeordnet werden (z.B. relativer wirtschaftlicher Wert der Koppelprodukte)?

- Wenn ja, Allokation der Produkte und Funktionen auf Basis der identifizierten Beziehung vornehmen.

Der Umgang mit der Multifunktionalität von Produkten ist eine besonders große Herausforderung, wenn es dabei auch um das Recycling oder die energetische Verwertung eines (oder mehrerer) dieser Produkte geht, da das System dann recht komplex werden kann. Anhang V gibt einen Ansatz für die Berechnung der Gesamtemissionen vor, die mit einem bestimmten Prozess in Verbindung stehen, zu dem auch Recycling und/oder energetische Verwertung gehören. Die Gleichung in Anhang V muss für das Ende der Lebensdauer verwendet werden. Betroffen sind auch die innerhalb der Systemgrenzen erzeugten Abfallströme. Die in diesem Abschnitt beschriebene Entscheidungshierarchie gilt auch für das Produktrecycling.

Beispiele für direkte und indirekte Substitution

Direkte Substitution: Die direkte Substitution kann als eine Form der Allokation auf Basis einer zugrunde liegenden physikalischen Beziehung modelliert werden, wenn ein direkter, empirisch nachweisbarer Substitutionseffekt festgestellt werden kann. Wenn z.B. Stickstoff aus Tierdung auf landwirtschaftlichen Flächen ausgebracht wird und somit direkt eine gleichwertige Menge spezifischen Düngemittelstickstoff ersetzt, den der Landwirt andernfalls ausgebracht hätte, so erhält das Tierhaltungssystem, aus dem der Tierdung stammt, eine Gutschrift für die "verdrängte" Düngemittelproduktion (unter Berücksichtigung der Unterschiede bei Transport, Umschlag und Emissionen).
Indirekte Substitution: Die indirekte Substitution kann als eine Form der "Allokation auf Basis einer anderen Beziehung" modelliert werden, wenn angenommen wird, dass ein Koppelprodukt ein marginales oder durchschnittliches marktäquivalentes Produkt über marktvermittelte Prozesse verdrängt. Wenn z.B. Tierdung verpackt und zur Verwendung im Garten verkauft wird, erhält das Tierhaltungssystem, aus dem der Tierdung stammt, eine Gutschrift für das marktdurchschnittliche Gartendüngemittel, das als "verdrängt" angesehen wird (unter Berücksichtigung der Unterschiede bei Transport, Umschlag und Emissionen).

Abbildung 5 Entscheidungsbaum für den Umgang mit multifunktionalen Prozessen

Anforderungen an OEF-Studien

Für die Lösung aller Multifunktionalitätsprobleme sowohl auf Prozess- als auch auf Einrichtungsebene muss die folgende OEF-Entscheidungshierarchie bei Multifunktionalität angewandt werden: 1) Unterteilung oder Systemerweiterung; 2) Allokation auf Basis einer relevanten zugrunde liegenden physikalischen Beziehung (einschließlich a) direkter Substitution oder b) einer relevanten zugrunde liegenden physikalischen Beziehung); 3) Allokation auf Basis einer anderen Beziehung (einschließlich a) indirekter Substitution oder b) einer anderen relevanten zugrunde liegenden Beziehung).

Jede in diesem Kontext getroffene Wahl muss gemeldet und begründet werden, wobei das übergeordnete Ziel der Gewährleistung physikalisch repräsentativer, ökologisch relevanter Ergebnisse zu berücksichtigen ist.

Bei Koppelprodukten, die teils Koppelprodukte, teils Abfall sind, müssen alle Inputs und Outputs ausschließlich dem Koppelprodukt zugeordnet werden.

Für ähnliche Inputs und Outputs muss ein einheitliches Allokationsverfahren angewandt werden.

Für die Lösung von Multifunktionalitätsproblemen, einschließlich Recycling oder energetische Verwertung am Ende der Lebensdauer, oder für Abfallströme innerhalb der Systemgrenzen muss die Gleichung in Anhang V angewandt werden.

Zusätzliche Anforderungen an OEFSR-Regeln

Die OEFSR-Regeln müssen Lösungen für Multifunktionalitätsprobleme innerhalb der festgelegten Organisationsgrenzen und gegebenenfalls für vor- und nachgelagerte Stufen weiter spezifizieren. Soweit machbar/angemessen, können die OEFSR-Regeln außerdem spezifische Substitutionsszenarien oder -faktoren zur Verwendung bei Allokationslösungen anbieten. Alle derartigen in den OEFSR-Regeln vorgegebenen Lösungen für Multifunktionalitätsprobleme müssen unter Bezugnahme auf die Hierarchie für die Lösung von Multifunktionalitätsproblemen beim OEF klar begründet werden.

Wird eine Unterteilung vorgenommen, so müssen die OEFSR-Regeln spezifizieren, welche Prozesse zu unterteilen sind und welche Grundsätze dabei zugrunde gelegt werden sollten.

Wird eine Allokation auf Grundlage einer physikalischen Beziehung vorgenommen, so müssen die OEFSR-Regeln die zu berücksichtigenden relevanten zugrunde liegenden Beziehungen spezifizieren und die relevanten Allokationsfaktoren festlegen.

Wird eine Allokation auf Grundlage einer anderen Beziehung vorgenommen, so müssen die OEFSR-Regeln diese Beziehung spezifizieren und die relevanten Allokationsfaktoren festlegen. Bei wirtschaftlicher Allokation beispielsweise müssen die OEFSR-Regeln die Regeln für die Bestimmung des wirtschaftlichen Werts von Koppelprodukten vorgeben.

Bei Multifunktionalität am Ende der Lebensdauer müssen die OEFSR-Regeln spezifizieren, wie die unterschiedlichen Teile mit der vorgesehenen obligatorischen Formel zu berechnen sind.

6. EF-Wirkungsabschätzung für Organisationen

Sobald das Ressourcennutzungs- und Emissionsprofil erstellt ist, muss anhand der gewählten EF-Wirkungskategorien und -modelle die EF-Wirkungsabschätzung vorgenommen werden, um den Umweltfußabdruck der Organisation zu berechnen. Die EF-Wirkungsabschätzung umfasst zwei obligatorische und zwei fakultative Schritte. Die EF-Wirkungsabschätzung ist nicht dazu bestimmt, andere (regulatorische) Instrumente mit anderem Untersuchungsrahmen oder anderer Zielsetzung zu ersetzen, wie beispielsweise die Bewertung von Umweltrisiken (Environmental Risk Assessment, ERA), die standortspezifische Umweltverträglichkeitsprüfung (UVP) oder produktspezifische Gesundheits- und Sicherheitsvorschriften bzw. Gesundheits- und Sicherheitsvorschriften für die Sicherheit am Arbeitsplatz. Insbesondere ist es nicht Ziel der EF-Wirkungsabschätzung, vorherzusagen, ob an einem bestimmten Standort zu einem bestimmten Zeitpunkt Schwellen überschritten werden oder tatsächliche Wirkungen eintreten. Sie beschreibt vielmehr die bestehenden Umweltbelastungen. Daher ergänzt die EF- Wirkungsabschätzung andere bewahrte Instrumente durch Einbeziehung der Lebenswegperspektive.

6.1 Klassifizierung und Charakterisierung (obligatorisch)

Anforderungen an OEF-Studien

Die EF-Wirkungsabschätzung muss die folgenden Elemente einschließen:

6.1.1 Klassifizierung von Umweltfußabdruckflüssen

Klassifizierung bedeutet, dass die im Ressourcennutzungs- und Emissionsprofil erfassten Material-/Energieinputs und -outputs der relevanten EF-Wirkungskategorie zugeordnet werden. Wahrend der Klassifizierungsphase werden z.B. alle Inputs/Outputs, die zu Treibhausgasemissionen führen, der Kategorie "Klimawandel" zugeordnet. Inputs/Outputs, die zu Emissionen von Ozon abbauenden Stoffen führen, werden ebenfalls entsprechend klassifiziert. In einigen Fällen kann ein Input/Output mehreren EF-Wirkungskategorien zugeordnet werden (Fluorchlorkohlenwasserstoffe (FCKW) z.B. tragen sowohl zum Klimawandel als auch zum Abbau der Ozonschicht bei).

Es ist wichtig, die Daten bezogen auf die Inhaltsstoffe auszudrücken, für die Charakterisierungsfaktoren (siehe nächster Abschnitt) verfügbar sind. Beispielsweise sollten die Daten für einen NPK-Mehrnährstoffdünger disaggregiert und nach den N-, P- und K-Fraktionen klassifiziert werden, weil jeder Inhaltsstoff zu unterschiedlichen EF-Wirkungskategorien beiträgt.

Anforderungen an OEF-Studien

Alle während der Erstellung des Ressourcennutzungs- und Emissionsprofils erfassten Inputs/Outputs müssen anhand des unter http://lct.jrc.ec.europa.eu/assessment/projects abrufbaren Klassifizierungsschemas den EF-Wirkungskategorien zugeordnet werden, zu denen sie beitragen ("Klassifizierung").

Im Rahmen der Klassifizierung des Ressourcennutzungs- und Emissionsprofils sollten die Daten bezogen auf die Inhaltsstoffe ausgedrückt werden, für die Charakterisierungsfaktoren verfügbar sind.

Werden die Ressourcennutzungs- und Emissionsprofildaten aus bestehenden öffentlichen oder kommerziellen Sachbilanzdatenbanken entnommen, in denen die Klassifizierung bereits durchgeführt ist, muss sichergestellt werden, dass die Klassifizierung und die damit verbundenen EF-Wirkungsabschätzungspfade den Anforderungen dieses OEF-Leitfadens entsprechen.

Beispiel: Klassifizierung in der EF-Wirkungsabschätzung

Klassifizierung von Daten in der Wirkungskategorie "Klimawandel"

CO2 Ja
CH4 Ja
SO2 Nein
NOx Nein

Klassifizierung von Daten in der Wirkungskategorie "Versauerung"

CO2 Nein
CH4 Nein
SO2 Ja
NOx Ja

6.1.2 Charakterisierung von Umweltfußabdruckflüssen

Charakterisierung bedeutet Berechnung der Größenordnung des Beitrags jedes klassifizierten Inputs/Outputs zu ihren jeweiligen EF-Wirkungskategorien und Aggregierung der Beiträge innerhalb jeder Kategorie. Hierzu werden die Werte im Ressourcennutzungs- und Emissionsprofil mit dem relevanten Charakterisierungsfaktor für jede EF-Wirkungskategorie multipliziert.

Die Charakterisierungsfaktoren sind stoff- oder ressourcenspezifisch. Sie stehen für die Wirkungsintensität eines Stoffs gemessen an einem gemeinsamen Referenzstoff für eine EF-Wirkungskategorie (Wirkungskategorie-Indikator). Bei der Berechnung der Auswirkungen auf den Klimawandel z.B. werden alle im Ressourcennutzungs- und Emissionsprofil erfassten Treibhausgasemissionen hinsichtlich ihrer Wirkungsintensität bezogen auf Kohlendioxid, den Referenzstoff für diese Kategorie, gewichtet. Dies ermöglicht es, Wirkungspotenziale zu aggregieren und für die betreffende EF-Wirkungskategorie bezogen auf einen einzigen äquivalenten Stoff (in diesem Fall CO2-Äquivalent) auszudrücken. Beispielsweise entspricht der als Treibhauspotenzial ausgedrückte Charakterisierungsfaktor von Methan 25 CO2-Äquivalenten, und seine Auswirkung auf die Erderwärmung ist somit 25 Mal größer als die von CO2 (d. h. CF von 1 CO2-Äquivalent).

Anforderungen an OEF-Studien

Allen klassifizierten Inputs/Outputs in jeder EF-Wirkungskategorie müssen Charakterisierungsfaktoren zugeordnet werden, die dem Beitrag je Einheit des Inputs/Outputs zu der Kategorie entsprechen; hierzu sind die online unter http://lct.jrc.ec. europa.eu/assessment/projects) zu findenden Charakterisierungsfaktoren zu verwenden. Anschließend müssen für jede EF- Wirkungskategorie die Ergebnisse der Wirkungsabschätzung berechnet werden, indem die Menge jedes Inputs/Outputs mit dem Charakterisierungsfaktor multipliziert wird und die Beiträge aller Inputs/Outputs innerhalb jeder Kategorie addiert werden, um ein in der geeigneten Referenzeinheit ausgedrücktes einheitliches Maß zu erhalten.

Wenn für bestimmte Flüsse (z.B. eine Gruppe von Chemikalien) des Ressourcennutzungs- und Emissionsprofils keine Charakterisierungsfaktoren aus der Standardmethode zur Verfügung stehen, können zur Charakterisierung dieser Flüsse andere Ansätze angewandt werden. Diese Fälle müssen unter "zusätzliche Umweltinformationen" angegeben werden. Die Charakterisierungsmodelle müssen wissenschaftlich und technisch fundiert sein und auf eindeutig identifizierbaren Umweltwirkungsmechanismen 70 oder reproduzierbaren empirischen Beobachtungen basieren.

Beispiel: Charakterisierung in der EF-Wirkungsabschätzung

Klimawandel:

Menge (kg) Charakterisierungsfaktor CO2-Äquivalente (metrische Tonnen)
CO2 5.132 x 1 = 5,132 t CO2-Äq.
CH4 8,2 x 25 = 0,205 t CO2-Äq.
SO2 3,9 x 0 = 0 t CO2-Äq.
NO2 26,8 x 0 = 0 t CO2-Äq.
Insgesamt = 5,337 t CO2-Äq.
Versauerung
Menge (kg) Charakterisierungsfaktor mol H+-Äquivalent
CO2 5.132 x 0 = 0 Mol H+-Äq.
CH4 8,2 x 0 = 0 Mol H+-Äq.
SO2 3,9 x 1,31 = 5,109 Mol H+-Äq.
NO2 26,8 x 0,74 = 19,832 Mol H+-Äq.
Insgesamt = 24,941 Mol H+-Äq.

6.2 Normierung und Gewichtung (empfohlen/fakultativ)

Nach den beiden obligatorischen Schritten Klassifizierung und Charakterisierung kann die EF-Wirkungsabschätzung durch die empfohlenen/fakultativen Schritte Normierung und Gewichtung ergänzt werden.

6.2.1 Normierung der Ergebnisse der EF-Wirkungsabschätzung (empfohlen)

Die Normierung ist ein nicht obligatorischer, aber empfohlener Schritt, bei dem die Ergebnisse der EF-Wirkungsabschätzung mit Normierungsfaktoren multipliziert werden, um die Größenordnung ihrer Beiträge zu den EF-Wirkungskategorien gemessen an einer Referenzeinheit (typischerweise die mit dieser Kategorie verbundene Belastung, die durch die Emissionen eines ganzen Landes oder eines durchschnittlichen Bürgers im Laufe eines Jahres entsteht) zu berechnen und zu vergleichen. Das Resultat sind dimensionslose, normierte OEF-Ergebnisse. Sie spiegeln die dem Produkt zuzuordnenden Belastungen bezogen auf die Referenzeinheit, wie z.B. pro Kopf für ein bestimmtes Jahr oder eine bestimmte Region, wider. Auf diese Weise kann die Relevanz der Beiträge von Organisationsprozessen/-tätigkeiten mit der Referenzeinheit der untersuchten EF-Wirkungskategorien verglichen werden.

Normierte OEF-Ergebnisse sagen jedoch nichts über den Schweregrad/die Bedeutung der jeweiligen Wirkungen aus; außerdem können sie nicht über EF-Wirkungskategorien hinweg aggregiert werden.

Anforderungen an OEF-Studien

Die Normierung ist ein nicht obligatorischer, aber empfohlener Schritt bei OEF-Studien. Wird auf Normierung zurückgegriffen, so müssen die normierten OEF-Ergebnisse unter "Zusätzliche Umweltinformationen" angegeben werden und alle Methoden und Annahmen müssen dokumentiert werden. Normierte Ergebnisse dürfen nicht aggregiert werden, da dies automatisch eine Gewichtung impliziert. Die Ergebnisse der EF-Wirkungsabschätzung vor der Normierung müssen zusammen mit den normierten Ergebnissen angegeben werden.

6.2.2 Gewichtung der Ergebnisse der EF-Wirkungsabschätzung (fakultativ)

Die Gewichtung ist ein nicht obligatorischer, sondern fakultativer Schritt, der die Auswertung und die Mitteilung der Untersuchungsergebnisse unterstützen kann. Dabei werden die (normierten) EF-Ergebnisse mit einer Reihe von Gewichtungsfaktoren multipliziert, die die empfundene relative Bedeutung der untersuchten EF-Wirkungskategorien widerspiegeln. Die gewichteten OEF-Ergebnisse können sodann verglichen werden, um ihre relative Bedeutung zu bewerten. Des Weiteren können sie über EF-Wirkungskategorien hinweg aggregiert werden, um mehrere aggregierte Werte oder einen einzigen Gesamtwirkungsindikator zu erhalten.

Gewichtung setzt voraus, dass Werturteile über die jeweilige Bedeutung der untersuchten EF-Wirkungskategorien gefällt werden. Diese Werturteile können sich auf Sachverständigengutachten, kulturelle/politische Standpunkte oder wirtschaftliche Gesichtspunkte stützen 71.

Anforderungen an OEF-Studien

Die Gewichtung ist ein nicht obligatorischer, sondern fakultativer Schritt bei OEF-Studien. Wird auf Gewichtung zurückgegriffen, so müssen die Ergebnisse unter "zusätzliche Umweltinformationen" angegeben werden und alle Methoden und Annahmen müssen dokumentiert werden. Die Ergebnisse der EF-Wirkungsabschätzung vor der Gewichtung müssen zusammen mit den gewichteten Ergebnissen angegeben werden.

Die Anwendung von Normierung und Gewichtung in OEF-Studien muss mit den festgelegten Zielen und dem Untersuchungsrahmen der Studie, einschließlich der vorgesehenen Anwendungen, im Einklang stehen 72.

7. Auswertung des OEF

7.1 Allgemeines

Die Auswertung der Ergebnisse der OEF-Studie 73 dient zwei Zwecken:

Anforderungen an OEF-Studien

Die Auswertungsphase einer OEF-Studie muss die folgenden Schritte umfassen: "Bewertung der Robustheit des OEF- Modells", "Identifizierung von kritischen Punkten (Hotspots)", "Unsicherheitsschätzung" und "Schlussfolgerungen, Grenzen und Empfehlungen".

7.2 Bewertung der Robustheit des OEF-Modells

Hier muss u. a. beurteilt werden, inwieweit methodische Entscheidungen die Analyseergebnisse beeinflussen. Zu den Instrumenten, mit denen die Robustheit des OEF-Modells bewertet werden sollte, gehören:

Anforderungen an OEF-Studien

Bei der Bewertung der Robustheit des OEF-Modells muss beurteilt werden, inwieweit die methodischen Entscheidungen hinsichtlich Systemgrenzen, Datenquellen, Allokation und Abdeckung der EF-Wirkungskategorien die Ergebnisse beeinflussen. Diese Entscheidungen müssen den in diesem OEF-Leitfaden festgelegten Anforderungen entsprechen und dem Kontext angemessen sein. Die Instrumente, die zur Beurteilung der Robustheit des OEF-Modells verwendet werden sollten, sind Vollständigkeits-, Sensitivitäts- und Konsistenzprüfungen. Bei dieser Bewertung deutlich gewordene Probleme sollten als Grundlage für iterative Verbesserungen der OEF-Studie dienen.

7.3 Identifizierung von kritischen Punkten (Hotspots)

Sobald sichergestellt ist, dass das OEF-Modell (z.B. die Wahl der Systemgrenzen, Datenquellen und Allokationsentscheidungen) robust ist und allen Aspekten, die bei der Festlegung des Ziels und des Untersuchungsrahmens definiert wurden, genügt, sind als nächster Schritt die wichtigsten Elemente zu identifizieren, die zu den OEF-Ergebnissen beitragen. Dieser Schritt kann auch als Untersuchung der "kritischen Punkte" (Hotspots) oder der "Schwachstellen" bezeichnet werden. Einflussfaktoren können dabei spezifische Elemente des Produktportfolios, Lebenswegphasen, Prozesse oder einzelne Material- oder Energieinputs/-outputs sein, die mit einer bestimmten Phase oder einem Prozess der Organisationslieferkette zusammenhängen. Sie werden durch systematische Überprüfung der Ergebnisse der OEF-Studie identifiziert. Grafische Instrumente können in diesem Kontext besonders nützlich sein. Diese Analysen bilden die nötige Basis, um die Verbesserungspotenziale bei spezifischen Managementinterventionen zu identifizieren.

Anforderungen an OEF-Studien

OEF-Ergebnisse müssen evaluiert werden, um den Effekt von kritischen Punkten/Schwachstellen der Lieferkette auf Ebene der Input-/Output-, Prozess- und Lieferkettenphasen sowie Verbesserungspotenziale zu bewerten.

Zusätzliche Anforderungen an OEFSR-Regeln

Die OEFSR-Regeln müssen die für den Sektor relevantesten EF-Wirkungskategorien identifizieren. Um diese Priorisierung zu erreichen, kann auf Normierung und Gewichtung zurückgegriffen werden.

7.4 Unsicherheitsschätzung

Die Schätzung der Unsicherheiten der endgültigen OEF-Ergebnisse unterstützt die iterative Verbesserung von OEF-Studien. Sie tragt auch dazu bei, dass die Zielgruppe die Robustheit und Anwendbarkeit der OEF-Ergebnisse besser bewerten kann.

Es gibt zwei Hauptquellen für Unsicherheiten in OEF-Studien:

  1. Stochastische Unsicherheiten (sowohl Parameter als auch Modell) bei "Ressourcennutzungs- und Emissionsprofil"- Daten
    In der Praxis kann es schwierig sein, Unsicherheitsschätzungen für alle in einer OEF-Studie verwendeten Daten zu erhalten. Zumindest für jene Prozesse, die bei der EF-Wirkungsabschätzung und der Auswertung als ökologisch bedeutend ermittelt wurden, sollte versucht werden, die stochastische Unsicherheit und ihre Auswirkungen auf die Modellierungsergebnisse genau darzustellen.
  2. Auswahlbedingte Unsicherheiten
    Auswahlbedingte Unsicherheiten ergeben sich aus methodischen Entscheidungen u. a. über Modellierungsgrundsätze, Systemgrenzen, die Wahl der EF-Wirkungsabschätzungsmodelle sowie aus anderen Annahmen in Bezug auf Zeit, Technologie, Geografie usw. Sie lassen sich statistisch nicht leicht beschreiben, sondern können nur über Szenariomodelle (z.B.Worst-Case- undBest-Case-Szenarien für wichtige Prozesse) und Sensitivitätsanalysen charakterisiert werden.

Anforderungen an OEF-Studien

Die Unsicherheiten der endgültigen OEF-Ergebnisse müssen zumindest qualitativ beschrieben werden (sowohl für Unsicherheiten bei den Daten als auch für auswahlbedingte Unsicherheiten), um eine Gesamteinschätzung der Unsicherheiten der Studienergebnisse zu erleichtern.

Zusätzliche Anforderungen an OEFSR-Regeln

OEFSR-Regeln müssen die Unsicherheiten beschreiben, die für den gesamten Sektor gelten, und sollten den Bereich identifizieren, in dem Ergebnisse in Vergleichen und vergleichenden Aussagen als nicht signifikant unterschiedlich angesehen werden könnten.

TIPP: Quantitative Unsicherheitsbewertungen können für Varianz in Zusammenhang mit Ressourcennutzungs- und Emissionsprofildaten z.B. mithilfe von Monte-Carlo-Simulationen oder sonstigen geeigneten Instrumenten berechnet werden. Der Einfluss auswahlbedingter Unsicherheiten sollte an den Ober- und Untergrenzen durch Sensitivitätsanalysen auf Basis von Szenariobewertungen eingeschätzt werden. Diese sollten genau dokumentiert und beschrieben werden.

7.5 Schlussfolgerungen, Empfehlungen und Grenzen

Der letzte Schritt der Auswertung des Umweltfußabdrucks besteht darin, Schlussfolgerungen aus den Ergebnissen zu ziehen, die zu Beginn der OEF-Studie gestellten Fragen zu beantworten und sowohl der Zielgruppe und als auch dem Kontext angemessene Empfehlungen abzugeben, wobei etwaige Grenzen der Robustheit und Anwendbarkeit der Ergebnisse zu berücksichtigen sind. Der OEF muss als Ergänzung anderer Bewertungen und Instrumente wie standortspezifischer Umweltverträglichkeitsprüfungen oder Stoffrisikobeurteilungen angesehen werden.

Potenzielle Verbesserungen, z.B. sauberere Techniken, Änderungen des Produktdesigns, Lieferkettenmanagement, Umweltmanagementsysteme (z.B. Umweltmanagement und Umweltbetriebsprüfung (EMAS) oder ISO 14001) oder andere systematische Ansätze sollten identifiziert werden.

Anforderungen an OEF-Studien

Schlussfolgerungen, Empfehlungen und Grenzen müssen entsprechend den definierten Zielen und dem Untersuchungsrahmen der OEF-Studie beschrieben werden. OEF-Studien, die zur Veröffentlichung bestimmte vergleichende Aussagen 74 unterstützen sollen, müssen auf diesem OEF-Leitfaden UND auf den dazugehörigen OEFSR-Regeln basieren.

Entsprechend ISO 14044:2006 sollte für vergleichende Aussagen, die zur Veröffentlichung bestimmt sind, sorgfaltig abgewogen werden, ob mögliche Unterschiede in der Qualität der Daten und bei methodischen Entscheidungen, die zur Modellierung der zu vergleichenden Organisationen verwendet wurden, die Vergleichbarkeit der Ergebnisse beeinflussen können. Unstimmigkeiten bei der Festlegung der Systemgrenzen, der Qualität der Bilanzdaten oder der EF- Wirkungsabschätzung müssen berücksichtigt und dokumentiert/angegeben werden.

Die Schlussfolgerungen aus der OEF-Studie sollten eine Zusammenfassung der identifizierten kritischen Punkte der Lieferkette und der potenziellen Verbesserungen durch Managementinterventionen umfassen.

8. Berichte über den Umweltfußabdruck von Organisationen

8.1 Allgemeines

Ein OEF-Bericht muss auf relevante, umfassende, konsistente, genaue und transparente Weise Rechenschaft über die Studie und über die für die Organisation berechneten Umweltwirkungen ablegen. Er gibt die bestmöglichen Informationen in einer Weise wider, die seinen Nutzen für die vorgesehenen gegenwärtigen und künftigen Nutzer maximiert, und gibt gleichzeitig auf ehrliche und transparente Weise Aufschluss über etwaige Grenzen. Für eine wirksame OEF-Berichterstattung müssen mehrere Kriterien erfüllt sein, und zwar sowohl verfahrensbezogene Kriterien (Qualität des Berichts) als auch substanzielle Kriterien (Inhalt des Berichts).

8.2 Teile des Berichts

Ein OEF-Bericht besteht aus mindestens drei Teilen: dem Hauptbericht, einer Zusammenfassung und einem Anhang. Vertrauliche und unternehmensinterne Angaben können in einem vierten Teil - einem ergänzenden vertraulichen Bericht - gemacht werden. Überprüfungsberichte werden entweder als Anhang beigefügt oder es wird auf sie verwiesen.

8.2.1 Erster Teil: Zusammenfassung

Die Zusammenfassung muss, ohne dass die Ergebnisse und Schlussfolgerungen/Empfehlungen (falls enthalten) beeinträchtigt werden, für sich alleine stehen können. Sie muss in Bezug auf Transparenz, Konsistenz usw. dieselben Kriterien erfüllen wie der Hauptbericht.

Die Zusammenfassung muss mindestens Folgendes enthalten:

8.2.2 Zweiter Teil: Hauptbericht

Der Hauptbericht 75 muss mindestens folgende Angaben enthalten:

8.2.3 Dritter Teil: Anhang

Der Anhang dokumentiert Grundlagen für den Hauptbericht, die eher technischer Art sind. Er muss Folgendes umfassen:

8.2.4 Vierter Teil: Vertraulicher Bericht

Der vertrauliche Bericht (fakultativ) sollte alle vertraulichen und unternehmensinternen Daten (einschließlich Rohdaten) und Informationen enthalten, die nicht extern bekannt gemacht werden dürfen. Er muss den kritischen Prüfern vertraulich zur Verfügung gestellt werden.

Anforderungen an OEF-Studien

Eine für externe Kommunikationen bestimmte OEF-Studie muss einen Bericht über die OEF-Studie enthalten, in dem auf relevante, umfassende, konsistente, genaue und transparente Weise Rechenschaft über die Studie und über die für die Organisation berechneten Umweltwirkungen abgelegt wird. Die Angaben müssen außerdem eine robuste Grundlage für die Bewertung und Verfolgung der Umweltleistung der Organisation sowie für Maßnahmen zu ihrer Verbesserung im Laufe der Zeit darstellen. Der OEF-Bericht muss mindestens eine Zusammenfassung, einen Hauptbericht und einen Anhang umfassen. Diese müssen alle in diesem Kapitel genannten Berichtselemente enthalten.

Zusätzliche Anforderungen an OEFSR-Regeln

Die OEFSR-Regeln müssen jede Abweichung von den Standardberichtspflichten (siehe Kapitel 8) sowie alle zusätzlichen Berichtspflichten spezifizieren und begründen und/oder die Berichtspflichten je nach - beispielsweise - der Art der Anwendung der OEF-Studie und der Art der beurteilten Organisation differenzieren. Die OEFSR-Regeln müssen spezifizieren, ob die OEF-Ergebnisse für jede gewählte Stufe des Lebenswegs getrennt mitgeteilt werden müssen.

9. Kritische Prüfung des Umweltfußabdrucks von Organisationen

9.1 Allgemeines 77

Die kritische Prüfung ist von entscheidender Bedeutung, um die Zuverlässigkeit der OEF-Ergebnisse sicherzustellen und die Qualität der OEF-Studie zu verbessern.

Anforderungen an OEF-Studien

Jede für die interne Kommunikation bestimmte OEF-Studie, von der behauptet wird, dass sie mit dem OEF-Leitfaden im Einklang steht, und jede für die externe Kommunikation bestimmte OEF-Studie muss kritisch geprüft werden, um sicherzustellen, dass

9.2 Prüfungsart

Die geeignetste Art der Prüfung, die das erforderliche Mindestmaß an Qualitätssicherung gewährleistet, ist eine unabhängige externe Prüfung. Welche Art von Prüfung durchgeführt wird, sollte sich nach den Zielen und vorgesehenen Anwendungen der OEF-Studie richten.

Anforderungen an OEF-Studien

Soweit in den maßgeblichen politischen Instrumenten nicht anders festgelegt, muss jede für die externe Kommunikation bestimmte OEF-Studie von mindestens einem unabhängigen und qualifizierten externen Prüfer (oder einem Prüfteam) kritisch geprüft werden. Eine OEF-Studie, die zur Veröffentlichung bestimmte vergleichende Aussagen unterstützen soll, muss auf den relevanten OEFSR-Regeln basieren und von mindestens drei unabhängigen, qualifizierten Prüfern kritisch geprüft werden. Jede für die interne Kommunikation bestimmte OEF-Studie, von der behauptet wird, dass sie mit dem OEF-Leitfaden im Einklang steht, muss von mindestens einem unabhängigen und qualifizierten externen Prüfer (oder einem Prüfteam) geprüft werden.

Welche Art von Prüfung durchgeführt wird, sollte sich nach den Zielen und vorgesehenen Anwendungen der OEF-Studie richten.

Zusätzliche Anforderungen an OEFSR-Regeln

Die OEFSR-Regeln müssen die Prüfanforderungen für OEF-Studien, die zur Veröffentlichung bestimmte vergleichende Aussagen unterstützen sollen, spezifizieren (z.B. ob eine Prüfung durch mindestens drei unabhängige, qualifizierte externe Prüfer ausreicht).

9.3 Qualifikation der Prüfer

Die Eignung potenzieller Prüfer wird mithilfe eines Punktesystems bewertet, das die Prüf- und Auditerfahrung, EF- und/oder Ökobilanz-Methodik und -Praxis sowie Kenntnisse der relevanten Technologien, Prozesse oder anderer Tätigkeiten in Zusammenhang mit der Organisation und ihrem Produktportfolio berücksichtigt. Tabelle 8 stellt das Punktesystem für jeden Kompetenz- und Erfahrungsbereich dar.

Sollte ein Prüfer allein die folgenden notwendigen Anforderungen an Prüfer nicht erfüllen, gestattet der Prüfungsrahmen die Beteiligung mehrerer Prüfer in Form eines "Prüfteams", die die Anforderungen gemeinsam erfüllen.

Tabelle 8: Punktesystem für qualifizierte Prüfer/Prüfteams

Punktzahl
Thema Kriterien 0 1 2 3 4
Obligatorische Kriterien Prüfungs-, Verifizierungs- und Auditpraxis Jahre Berufserfahrung1 0 - 2 3 - 4 5 -8 9 - 14 > 14
Anzahl Prüfungen2 0 - 2 3 - 5 6 -15 16 - 30 > 30
EF- oder Ökobilanz-
Methodik und -Praxis
Jahre Berufserfahrung3 0 - 2 3 - 4 5 - 8 9 - 14 > 14
"Erfahrungen" mit Beteiligung an EF- oder Ökobilanzarbeiten 0-4 5 - 8 9 - 15 16 - 30 > 30
Technologien oder
andere für die OEF-
Studie relevante Tätigkeiten
Jahre Berufserfahrung4 im privaten oder öffentlichen Sektor 0 - 2

(innerhalb der letzten 10 Jahre)

3 - 5

(innerhalb der letzten 10 Jahre)

6 - 10

(innerhalb der letzten 20 Jahre)

11 - 20 > 20
Jahre Berufserfahrung
im öffentlichen Sektor5
0 - 2

(innerhalb
der letzten
10 Jahre)

3 - 5

(innerhalb
der letzten
10 Jahre)

6 - 10

(innerhalb
der letzten
20 Jahre)

11 - 20 > 20
Sonstige6 Prüfungs-, Verifizierungs- und Auditpraxis Fakultative Punkte in
Verbindung mit Audit
  • 2 Punkte: Akkreditierung als Drittprüfer für mindestens eines der folgenden Programme: EPD, ISO 14001 oder anderes Umweltmanagementsystem.
  • 1 Punkt: Absolvierte Kurse über Umweltaudits (mindestens 40 Stunden).
  • 1 Punkt: Vorsitz in mindestens einem Prüfteam (für EF-, Ökobilanzstudien oder andere Umweltanwendungen)
  • 1 Punkt: qualifizierter Ausbilder in einem Umweltauditkurs
Anmerkungen:

1) Jahre Berufserfahrung auf dem Gebiet Umweltprüfung und Umweltaudit.

2) Anzahl Prüfungen auf Einhaltung von ISO 14040/14044 und ISO 14025 (Umweltproduktdeklaration - EPD) oder von Sachbilanzdatensätzen.

3) Jahre Berufserfahrung auf dem Gebiet EF oder Ökobilanzen, beginnend mit dem Universitäts- oder Bachelor-Abschluss.

4) Jahre Berufserfahrung in einem mit der/den Organisation(en) zusammenhängenden Sektor. Fachkenntnisse über Technologien und andere Tätigkeiten werden entsprechend den NACE-Codes klassifiziert (Verordnung (EG) Nr. 1893/2006 des Europäischen Parlaments und des Rates vom 20. Dezember 2006 zur Aufstellung der statistischen Systematik der Wirtschaftszweige NACE Revision 2). Auch gleichwertige Klassifikationen anderer internationaler Organisationen können verwendet werden. Erfahrungen mit Technologien oder Prozessen in einem Untersektor werden als für den gesamten Sektor gültig betrachtet.

5) Jahre Berufserfahrung im öffentlichen Sektor, z.B. Forschungszentrum, Universität, staatliche Einrichtung mit Bezug zu dem/den untersuchten Produkt(en).
*) Der Bewerber muss die Jahre Berufserfahrung auf der Grundlage von Arbeitsvertragen berechnen. Beispiel: Prof. a arbeitet von Januar 2005 bis Dezember 2010 Teilzeit an Universität B und Teilzeit in einer Raffinerie. Prof. a kann 3 Jahre Berufserfahrung im Privatsektor und 3 Jahre Berufserfahrung im öffentlichen Sektor (Universität) angeben.

6) Die zusätzlichen Punkte zahlen ergänzend.

Anforderungen an OEF-Studien

Eine kritische Prüfung der OEF-Studie muss entsprechend den Anforderungen der vorgesehenen Anwendung durchgeführt werden. Sofern nicht anders festgelegt, belauft sich die erforderliche Mindestpunktzahl für die Qualifikation als Prüfer oder Prüfteam auf sechs Punkte, darunter jeweils mindestens ein Punkt für jedes der drei obligatorischen Kriterien (d. h. Verifizierungs- und Auditpraxis, EF- oder Ökobilanz-Methodik und -Praxis sowie Kenntnisse der für die OEF-Studie relevanten Technologien oder anderen Tätigkeiten). Punktstande pro Kriterium müssen von Einzelpersonen erreicht werden; über einzelne Kriterien hinweg können Punktestande hingegen auf "Teamebene" addiert werden. Prüfer oder Prüfteams müssen eine Eigenerklärung über ihre Qualifikationen und die von ihnen für jedes Kriterium erreichte Punktzahl sowie die Gesamtpunktzahl abgeben. Diese Eigenerklärung muss im obligatorischen Anhang des OEF-Berichts enthalten sein.

10. Akronyme und Abkürzungen

ADEME Französische Agentur für Umwelt und Kontrolle des Energieverbrauchs
B2B Business to Business (Beziehungen zwischen mindestens zwei Unternehmen)
B2C Business to Consumer (Beziehungen zwischen Unternehmen und Verbrauchern)
BSI Britisches Institut für Normung
CDP Carbon disclosure project
CF Charakterisierungsfaktor
FCKW Fluorchlorkohlenwasserstoffe
CFC-11 Trichlorfluormethan
CPA Statistische Güterklassifikation in Verbindung mit den Wirtschaftszweigen
DQR Qualitätswert
UVP Umweltverträglichkeitsprüfung
ELCD Europäische Referenzdatenbank für Lebenszyklusdaten
EF Umweltfußabdruck (environmental footprint)
EIPRO Umweltwirkungen von Produkten (Environmental Impact of Products)
EMAS EU-System für Umweltmanagement und Umweltbetriebsprüfung
EMS Umweltmanagementsystem
EOL Ende der Lebensdauer
THG Treibhausgas
GRI Global Reporting Initiative (Nachhaltigkeitsberichterstattung)
ILCD International Reference Life Cycle Data System
IMPRO Verbesserung der Umweltaspekte von Produkten (Environmental Improvement of Products)
IPCC Weltklimarat
ISIC Internationale Systematik der Wirtschaftszweige
ISO Internationale Organisation für Normung
IUCN Internationale Union für die Erhaltung der Natur und der natürlichen Hilfsquellen
LCA Ökobilanz
LCI Sachbilanz
LCT Lebenswegdenken/Lebenswegbetrachtung
NACE Statistische Systematik der Wirtschaftszweige in der Europäischen Union
NMVOC flüchtige organische Verbindungen ohne Methan
ODP Ozonabbaupotenzial
OEF Umweltfußabdruck von Organisationen
OEFSR-Regeln Sektorregeln zur Berechnung des Umweltfußabdrucks von Organisationen
PEF Umweltfußabdruck von Produkten
PM2,5 Partikel mit einem Durchmesser von 2,5 µm oder weniger
Sb Antimon
WRI World Resources Institute
WBCSD Weltwirtschaftsrat für Nachhaltige Entwicklung

11. Glossar

Abbau der Ozonschicht - EF-Wirkungskategorie für den Abbau des stratosphärischen Ozons aufgrund von Emissionen ozonabbauender Stoffe, z.B. langlebige Chlor und Brom enthaltende Gase (z.B. FCKW, H-FCKW, Halone).

Abfall - Stoffe oder Gegenstände, die der Eigentümer für die Beseitigung vorgesehen hat oder die er beseitigen muss (ISO 14040:2006).

Allokation - ein Ansatz zur Lösung von Multifunktionalitätsproblemen. Dabei werden die Input- oder Outputflüsse eines Prozesses, eines Produktsystems oder einer Einrichtung dem untersuchten Produktsystem und einem oder mehreren anderen Produktsystemen zugeordnet (ISO 14040:2006).

Attributiv - prozessbasierte Modellierung, die einer statischen Darstellung durchschnittlicher Bedingungen dienen soll, ausgenommen marktvermittelte Effekte.

Beladungsrate - Verhältnis zwischen tatsächlicher Beladung und Vollbeladung bzw. Gesamtfassungsvermögen (ausgedrückt als Masse oder Volumen) des Fahrzeugs je Fahrt.

Business-to-Business (B2B) - beschreibt Transaktionen zwischen Unternehmen, z.B. zwischen einem Hersteller und einem Großhändler oder zwischen einem Großhändler und einem Einzelhändler.

Business-to-Consumers (B2C) - beschreibt Transaktionen zwischen Unternehmen und Verbrauchern, z.B. zwischen Einzelhändlern und Verbrauchern. In der ISO-Norm 14025:2006 ist ein Verbraucher definiert als"natürliche Person, welche Waren, Immobilien, Vermögen oder Dienstleistungen für private Zwecke kauft oder nutzt".

Charakterisierung - Berechnung der Größenordnung des Beitrags jedes klassifizierten Inputs/Outputs zu ihren jeweiligen EF-Wirkungskategorien und Aggregation der Beiträge innerhalb jeder Kategorie. Dies erfordert eine lineare Multiplikation der Bilanzdaten mitCharakterisierungsfaktoren für jeden Stoff und jede relevante EF-Wirkungskategorie. Für die EF-Wirkungskategorie "Klimawandel" beispielsweise ist der Referenzstoff CO2 und die Referenzeinheit ist Tonne CO2-Äquivalente.

Charakterisierungsfaktor - aus einem Charakterisierungsmodell abgeleiteter Faktor, mit dem das zugeordnete Ressourcennutzungs- und Emissionsprofilergebnis in die gemeinsame Einheit des EF-Wirkungsindikators umgewandelt wird (nach ISO 14040:2006).

Cradle to Cradle ("von der Wiege bis zur Wiege") - spezifische Art von "Cradle-to-Grave", bei der der Entsorgungsschritt am Ende der Lebensdauer eines Produkts ein Recyclingverfahren ist.

Cradle to Gate ("von der Wiege bis zum Werkstor") - Teil der Lieferkette der Organisation, von der Gewinnung der Rohstoffe (Wiege) bis zum Werkstor des Herstellers. Die Lieferkettenstufen Vertrieb, Lagerung, Nutzung und Ende der Lebensdauer werden nicht erfasst.

Cradle to Grave ("von der Wiege bis zur Bahre") - Lieferkette einer Organisation, die die Stufen Rohstoffgewinnung, Verarbeitung, Vertrieb, Lagerung, Nutzung und Entsorgung oder Recycling einschließt. Betrachtet werden alle relevanten Inputs und Outputs auf allen Stufen des Lebenswegs.

Datenqualität Eigenschaften von Daten in Bezug auf ihre Eignung, festgelegte Anforderungen zu erfüllen (ISO 14040:2006). Die Datenqualität deckt verschiedene Aspekte ab wie technologische, räumliche und zeitliche Repräsentativität sowie die Vollständigkeit und Genauigkeit der Sachdaten.

Direkte Landnutzungsänderung - Übergang von einer Art der Landnutzung zu einer anderen, der auf einer Bodenfläche stattfindet und Änderungen der Kohlenstoffbestände der betreffenden Bodenfläche nach sich ziehen kann, aber keine Änderung in einem anderen System bewirkt.

Direkt zuordenbar - bezieht sich auf Prozesse, Tätigkeiten oder Wirkungen, die innerhalb der definierten Systemgrenze stattfinden.

Durchschnittsdaten - ein produktionsgewichteter Durchschnitt spezifischer Daten.

EF-Wirkungsabschätzung - Bestandteil der OEF-Analyse, der dem Erkennen und der Beurteilung der Größe und Bedeutung von potenziellen Umweltwirkungen eines Systems im Verlauf seines Lebensweges dient (nach ISO 14044:2006). Die EF-Wirkungsabschätzungsmethoden sehen Wirkungscharakterisierungsfaktoren für Elementarflüsse vor, um die Wirkung zu aggregieren und eine begrenzte Zahl von Midpoint- und/oder Schadensindikatoren zu erhalten.

EF-Wirkungsabschätzungsmethode - Protokoll für die quantitative Umrechnung von Ressourcennutzungs- und Emissionsprofildaten in Beiträge zu einer bestimmten Umweltwirkung.

EF-Wirkungskategorie - Kategorie der Ressourcennutzung oder der Umweltwirkung, auf die sich die Ressourcennutzungs- und Emissionsprofildaten beziehen.

EF-Wirkungskategorie-Indikator - quantifizierbare Darstellung einer EF-Wirkungskategorie (nach ISO 14044:2006).

Elementarflüsse - Im Ressourcennutzungs- und Emissionsprofil sind Elementarflüsse"Stoff oder Energie, der bzw. die dem untersuchten System zugeführt werden und der Umwelt ohne vorherige Behandlung durch den Menschen entnommen wurde, oder Stoff oder Energie, der bzw. die das untersuchte System verlässt und ohne anschließende Behandlung durch den Menschen an die Umwelt abgegeben wird" (ISO 14040, S. 3). Elementarflüsse sind beispielsweise der Natur entnommene Ressourcen oder Emissionen in Luft, Wasser oder Boden, die unmittelbar mit den Charakterisierungsfaktoren der EF-Wirkungskategorien zusammenhängen.

Emissionen - Emissionen in Luft, Einleitungen in Wasser und Verunreinigung von Boden (ISO 14040:2006).

Eutrophierung - Nährstoffe (hauptsächlich Stickstoff und Phosphor) aus Abwasserkanälen und von gedüngten landwirtschaftlichen Flächen beschleunigen das Wachstum von Algen und anderer Vegetation im Wasser. Der Abbau organischen Materials verbraucht Sauerstoff, was zu einem Sauerstoffdefizit und in einigen Fellen zu Fischsterben führt. Mit der Eutrophierung wird die Menge der eingetragenen Stoffe in ein einheitliches Maß umgerechnet, das dem zum Abbau abgestorbener Biomasse erforderlichen Sauerstoff entspricht.

Extrapolierte Daten - Daten aus einem bestimmten Prozess, die verwendet werden, um einen ähnlichen Prozess zu repräsentieren, für den keine Daten zur Verfügung stehen, in der Annahme, dass sie ausreichend repräsentativ sind.

Feinstaub/Anorganische Emissionen - EF-Wirkungskategorie für die schädlichen Auswirkungen auf die menschliche Gesundheit, die durch Emissionen von Feinstaub (PM) und seinen Vorläuferstoffen (NOx, SOx, NH3) verursacht werden.

Fließdiagramm - schematische Darstellung des modellierten Systems (Vordergrundsystem und Verbindungen mit dem Hintergrundsystem) sowie aller wichtigen In- und Outputs.

Fotochemische Bildung von Ozon - EF-Wirkungskategorie für die Bildung von bodennahem Ozon in der Troposphäre durch fotochemische Oxidation von flüchtigen organischen Verbindungen (VOC) und Kohlenmonoxid (CO), wenn Stickoxide (NOx) und Sonnenlicht vorhanden sind. Hohe Konzentrationen von bodennahem troposphärischem Ozon wirken sich schädlich auf die Vegetation, die menschlichen Atemwege und künstliche Materialien aus, da das Ozon mit organischen Stoffen reagiert.

Gate to Gate ("von Werkstor zu Werkstor") - Teil der Lieferkette der Organisation, der nur die Prozesse umfasst, die innerhalb einer bestimmten Organisation oder an einem bestimmten Standort stattfinden.

Gate to Grave ("vom Werkstor bis zur Bahre") - Teil der Lieferkette der Organisation, der nur die Prozesse innerhalb einer bestimmten Organisation oder eines bestimmten Standorts und die Prozesse entlang der Lieferkette wie Vertrieb, Lagerung, Nutzung und Entsorgung oder Recycling umfasst.

Generische Daten - Daten, die nicht direkt erhoben, gemessen oder geschätzt werden, sondern aus der Sachbilanzdatenbank einer dritten Partei oder einer anderen Quelle stammen, die den Datenqualitätsanforderungen des OEF-Leitfadens entspricht. Synonym: "Sekundärdaten".

Beispiel: Eine Organisation mit einer Einrichtung, die möglichst kostengünstig Acetylsalicylsäure von einer Reihe regionaler Betriebe als Input für ihren Herstellungsprozess bezieht, verwendet generische Daten aus einer Sachbilanzdatenbank, um die durchschnittlichen Produktionsbedingungen für Acetylsalicylsäure in der betreffenden Region darzustellen.

Gewichtung - Die Gewichtung ist ein zusätzlicher, aber nicht obligatorischer Schritt, der die Auswertung und die Mitteilung der Analyseergebnisse unterstützen kann. Die (normierten) OEF-Ergebnisse werden mit einer Reihe von Gewichtungsfaktoren multipliziert, die die empfundene relative Bedeutung der untersuchten Wirkungskategorien widerspiegeln. Gewichtete EF-Ergebnisse können direkt über Wirkungskategorien hinweg verglichen und addiert werden, um einen einzigen Gesamtwirkungsindikator zu errechnen. Die Gewichtung setzt voraus, dass Werturteile über die jeweilige Bedeutung der untersuchten EF-Wirkungskategorien gefällt werden. Diese Werturteile können sich auf Sachverständigengutachten, sozialwissenschaftliche Methoden, kulturelle/politische Standpunkte oder wirtschaftliche Erwägungen stützen.

Hintergrundprozesse - diejenigen Prozesse in der Lieferkette der Organisation, bei denen kein direkter Zugang zu Informationen möglich ist. Beispielsweise gelten die meisten vorgelagerten Prozesse der Lieferkette und im Allgemeinen alle nachgelagerten Prozesse als Hintergrundprozesse.

Humantoxizität - kanzerogen - EF-Wirkungskategorie für die schädlichen Auswirkungen der Aufnahme toxischer Stoffe durch Einatmen von Luft, Aufnahme mit Nahrungsmitteln/Wasser, Eindringen durch die Haut auf die Gesundheit von Menschen, soweit sie mit Krebs zusammenhängen.

Humantoxizität - nicht kanzerogen - EF-Wirkungskategorie für die schädlichen Auswirkungen der Aufnahme toxischer Stoffe durch Einatmen von Luft, Aufnahme mit Nahrungsmitteln/Wasser, Eindringen durch die Haut auf die Gesundheit von Menschen, soweit sie nicht kanzerogene Wirkungen betreffen, die nicht durch Feinstaub/Emissionen anorganischer Stoffe oder ionisierende Strahlung verursacht werden.

Indirekte Landnutzungsänderung - findet statt, wenn die Nachfrage nach einer bestimmten Art der Landnutzung Änderungen außerhalb der Systemgrenzen bewirkt, d. h. bei anderen Landnutzungsarten. Diese indirekten Wirkungen können vor allem durch die ökonomische Modellierung des Flächenbedarfs oder durch die Modellierung der Verlagerung von Tätigkeiten auf globaler Ebene bewertet werden. Der wesentliche Nachteil dieser Modelle liegt in ihrer Abhängigkeit von Trends, die nicht notwendigerweise zukünftige Entwicklungen widerspiegeln. Sie dienen häufig als Grundlage für politische Entscheidungen.

Indirekt zuordenbar - bezieht sich auf Prozesse, Tätigkeiten oder Wirkungen, die außerhalb der definierten Organisationsgrenze, aber innerhalb der definierten OEF-Grenze (d. h. im vor- oder nachgelagerten Bereich) stattfinden.

Input - Produkt-, Stoff- oder Energiefluss, der einem Prozessmodul zugeführt wird. Produkte und Stoffe schließen Rohstoffe, Zwischenprodukte und Koppelprodukte ein (ISO 14040:2006).

Ionisierende Strahlung, menschliche Gesundheit - EF-Wirkungskategorie für die nachteiligen Auswirkungen auf die menschliche Gesundheit, die durch Freisetzung radioaktiver Stoffe verursacht werden.

Klassifizierung - Zuordnung der im Ressourcennutzungs- und Emissionsprofil aufgeführten Inputs und Outputs an Material/Energie zu EF-Wirkungskategorien je nach Potenzial jedes Stoffs, zu den einzelnen EF-Wirkungskategorien beizutragen.

Koppelfunktion - eine von zwei oder mehreren Funktionen aus demselben Prozessmodul oder Produktsystem.

Koppelprodukt - eines von zwei oder mehreren Produkten aus demselben Prozessmodul oder Produktsystem (ISO 14044:2006).

Kritische Prüfung - Verfahren, das dazu dient, die Konsistenz einer OEF-Studie mit den Grundsätzen und Anforderungen dieses OEF-Leitfadens und den OEFSR-Regeln (falls vorhanden) sicherzustellen (nach ISO 14040:2006).

Landnutzung - EF-Wirkungskategorie für die Nutzung (Flächenbelegung) und Umwandlung (Flächenänderung) von Landflächen im Rahmen von Tätigkeiten wie Landwirtschaft, Straßen- und Wohnungsbau, Bergbau usw. Bei der Flächenbelegung sind die Auswirkungen der Landnutzung, die Größe der beanspruchten Fläche und die Dauer der Beanspruchung von Belang (Qualitätsänderungen multipliziert mit Fläche und Dauer). Bei der Flächenänderung werden das Ausmag der Änderung des Eigenschaftenprofils der Landfläche und die Größe der betroffenen Fläche betrachtet (Qualitätsänderungen multipliziert mit Fläche).

Lebensweg - aufeinander folgende und miteinander verbundene Stufen eines Produktsystems von der Rohstoffgewinnung oder Rohstofferzeugung bis zur endgültigen Beseitigung (ISO 14040:2006).

Lebenswegkonzept - Betrachtung des gesamten Spektrums der Ressourcenströme und Umwelteingriffe, die mit einem Produkt oder einer Organisation entlang der Lieferkette verbunden sind und alle Phasen von der Beschaffung der Rohstoffe über die Verarbeitung, den Vertrieb, die Nutzung bis hin zu Prozessen am Ende der Lebensdauer sowie alle relevanten damit verbundenen Umweltwirkungen (und nicht nur einen einzigen Aspekt) umfassen.

Multifunktionalität - Ein Prozess oder eine Einrichtung mit mehreren Funktionen, d. h. der bzw. die mehrere Waren und/oder Dienstleistungen liefert bzw. erbringt ("Koppelprodukte"), ist "multifunktional". In solchen Fällen müssen alle Prozess-Inputs und Prozessemissionen dem untersuchten Produkt und den anderen Koppelprodukten zugeordnet werden. Ebenso müssen bei einer im gemeinsamen Eigentum befindlichen und/oder gemeinsam betriebenen Einrichtung, die mehrere Produkte erstellt, die damit verbundenen Inputs und Emissionen möglicherweise auf die Produkte innerhalb der vordefinierten Produktportfolios verschiedener Organisationen aufgeteilt werden. Organisationen, die eine OEF-Studie durchführen, sehen sich daher möglicherweise sowohl auf Produkt- als auch auf Einrichtungsebene Multifunktionalitätsproblemen gegenüber.

Nachgelagert - Phase innerhalb der Produktlieferkette nach Verlassen der Organisationsgrenze.

Nichtelementare (oder komplexe) Flüsse - verbleibende In- und Outputs, die nicht zu den Elementarflüssen zahlen und die weiterer Modellierungsschritte bedürfen, um in Elementarflüsse umgewandelt zu werden. Beispiele für nichtelementare Inputs sind Elektrizität, Werkstoffe und Transportprozesse; nichtelementare Outputs sind beispielweise Abfall und Nebenprodukte.

Normierung - Nach der Charakterisierung ist die Normierung ein fakultativer (aber empfohlener) Schritt, bei dem die Ergebnisse der EF-Wirkungsabschätzung mit Normierungsfaktoren multipliziert werden, die die Gesamtbilanz einer Referenzeinheit (z.B. ein ganzes Land oder einen durchschnittlichen Bürger) repräsentieren. Normierte EF-Wirkungsabschätzungsergebnisse geben den relativen Anteil der Wirkungen des untersuchten Systems an den Gesamtbeitragen zu jeder Wirkungskategorie je Referenzeinheit an. Werden die normierten EF-Wirkungsabschätzungsergebnisse der verschiedenen Wirkungsbereiche nebeneinander angezeigt, so wird deutlich, welche Wirkungskategorien durch das untersuchte System am meisten und welche am wenigsten betroffen sind. Normierte EF-Wirkungsabschätzungsergebnisse spiegeln nur den Beitrag des untersuchten Systems zum Gesamtwirkungspotenzial wider, nicht aber den Schweregrad/die Bedeutung der jeweiligen Gesamtwirkung. Normierte Ergebnisse sind dimensionslos, aber nicht additiv.

Ökobilanz - Zusammenstellung und Beurteilung der Input- und Outputflüsse und der potenziellen Umweltwirkungen eines Produktsystems im Verlauf seines Lebensweges (ISO 14040:2006).

Ökologischer Fußabdruck - bezieht sich auf"die biologisch produktive Fläche an Land- oder Wasserökosystemen, die unabhängig von ihrer geografischen Lage benötigt wird, um den Bedarf einer bestimmten Bevölkerungsgruppe im Hinblick auf Ressourcenverbrauch und Abfällentsorgung zu decken" (Wackernagel und Rees, 1996). Der Umweltfußabdruck nach dem OEF- Leitfaden ist nicht identisch mit dem ökologischen Fußabdruck von Wackernagel und Rees; die Hauptunterschiede sind in Anhang X des PEF-Leitfadens aufgeführt (EC -JRC-IES, 2012).

Ökologisch relevant - Prozess oder Tätigkeit, auf den/die mindestens 90 % der Beiträge zur jeweiligen EF-Wirkungskategorie entfallen.

Ökotoxizität - EF-Wirkungskategorie für die toxischen Auswirkungen auf ein Ökosystem, die einzelnen Arten schaden und die Struktur und Funktion des Ökosystems andern. Ökotoxizität ist das Ergebnis einer Vielzahl verschiedener toxikologischer Mechanismen, die durch die Freisetzung von Stoffen mit einem direkten Einfluss auf die Gesundheit des Ökosystems ausgelöst werden.

Organische Bodensubstanz (Soil Organic Matter, SOM) - Maß für den Gehalt an organischer Substanz im Erdreich. Sie stammt von Pflanzen und Tieren und umfasst alle organischen Substanzen im Boden, ausgenommen noch nicht abgebaute Substanzen.

Output - Produkt-, Stoff- oder Energiefluss, der von einem Prozessmodul abgegeben wird. Produkte und Stoffe schließen Rohstoffe, Zwischenprodukte, Koppelprodukte und Emissionen ein (ISO 14040:2006).

Produkt - jede Ware oder Dienstleistung (ISO 14040:2006).

Produktfluss - Produkte, die von einem anderen Produktsystem zugeführt oder an ein anderes Produktsystem abgegeben werden (ISO 14040:2006).

Produktkategorie - Gruppe von Produkten mit gleichwertiger Funktion (ISO 14025:2006).

Produktkategorieregeln zur Berechnung des Umweltfußabdrucks von Produkten (Product Environmental Footprint Category Rules, PEFCR-Regeln) - produkttypspezifische, auf Lebenswegbetrachtung basierende Regeln, die allgemeine methodische Anleitungen für PEF-Studien ergänzen, indem sie weitere Spezifikationen auf der Ebene einer spezifischen Produktkategorie festlegen. PEFCR-Regeln können dazu beitragen, den Schwerpunkt der PEF-Studie auf diejenigen Aspekte und Parameter zu verlagern, die am wichtigsten sind, und damit die Relevanz, Reproduzierbarkeit und Kohärenz verbessern.

Produktsystem - Zusammenstellung von Prozessmodulen mit Elementar- und Produktflüssen, die den Lebensweg eines Produktes modelliert und die eine oder mehrere festgelegte Funktionen erfüllt (ISO 14040:2006).

Prozessmodul - kleinster im Ressourcennutzungs- und Emissionsprofil berücksichtigter Bestandteil, für den Input- und Outputdaten quantifiziert werden (nach ISO 14040:2006).

Referenzfluss - Maß für die Outputs von Prozessen eines gegebenen Systems, die zur Erfüllung der Funktion, ausgedrückt durch die Untersuchungseinheit, erforderlich sind (nach ISO 14040:2006).

Ressourcenerschöpfung - EF-Wirkungskategorie für den Verbrauch erneuerbarer, nicht erneuerbarer, biotischer oder abiotischer natürlicher Ressourcen.

Ressourcennutzungs- und Emissionsprofil - Inventar erhobener Daten, die für die Inputs und Outputs in jeder Phase der untersuchten Organisationslieferkette repräsentativ sind. Die Erstellung des Ressourcennutzungs- und Emissionsprofils ist abgeschlossen, wenn nichtelementare (d. h. komplexe) Flüsse in Elementarflüsse umgewandelt sind.

Ressourcennutzungs- und Emissionsprofilergebnisse - Ergebnis eines Ressourcennutzungs- und Emissionsprofils, das die Flüsse, die die OEF-Grenze überschreiten, katalogisiert und als Ausgangspunkt für die EF-Wirkungsabschätzung dient.

Rohstoff - primäres oder sekundäres Material, das zur Herstellung eines Produktes verwendet wird (ISO 14040:2006).

Sektorregeln zur Berechnung des Umweltfußabdrucks von Organisationen (Organisation Environmental Footprint Sector Rules, OEFSR-Regeln) - sektorspezifische, auf Lebenswegbetrachtung basierende Regeln, die allgemeine methodische Anleitungen für OEF-Studien ergänzen, indem sie weitere Spezifikationen auf der Sektorebene festlegen. OEFSR- Regeln können dazu beitragen, den Schwerpunkt der OEF-Studie auf diejenigen Aspekte und Parameter zu verlagern, die am wichtigsten sind, und damit die Relevanz, Reproduzierbarkeit und Kohärenz verbessern.

Sensitivitätsanalyse - systematische Verfahren zur Einschätzung der Wirkungen der getroffenen Auswahl an Methoden und Daten auf die Ergebnisse einer OEF-Studie (nach ISO 14040:2006).

Spezifische Daten - direkt gemessene oder erhobene Daten, die für die Tätigkeiten einer bestimmten Einrichtung oder Gruppe von Einrichtungen repräsentativ sind. Synonym: "Primärdaten".

Beispiel: Eine Pharma-Organisation stellt Daten aus den internen Bilanzdatensätzen zusammen, um Stoff- und Energieinputs sowie Emissionen einer Fabrik darzustellen, in der Acetylsalicylsäure hergestellt wird.

Systemgrenze - Definition von in die Studie aufgenommenen oder aus ihr ausgeschlossenen Aspekten. Beispiel: Bei einer EF-Analyse mit dem Betrachtungsrahmen "von der Wiege bis zur Bahre" (cradle-to-grave) sollte die Systemgrenze alle Tätigkeiten von der Gewinnung der Rohstoffe bis zur Verarbeitung, Herstellung, Nutzung, Reparatur oder Instandsetzung sowie Transport, Abfallbehandlung und sonstige erworbene Dienstleistungen (z.B. Reinigungs- und Rechtsdienstleistungen, Marketing, Erstellung und Stilllegung von Investitionsgütern, Betrieb von Räumlichkeiten für Einzelhandel, Lagerung und Verwaltung, Beförderung des Personals, Geschäftsreisen und Prozesse am Ende der Lebensdauer) einschließen.

Systemgrenzendiagramm - schematische Darstellung des untersuchten Systems. Es zeigt auf, welche Teile der Organisationslieferkette in die Untersuchung aufgenommen und welche ausgeschlossen werden.

Temporäre CO2-Speicherung erfolgt, wenn ein Produkt "der Atmosphäre THG entzieht" oder "negative Emissionen" generiert, indem es CO2 für eine begrenzte Zeit aus der Atmosphäre aufnimmt und speichert.

Treibhauspotenzial - Fähigkeit eines Treibhausgases, den Strahlungsantrieb zu beeinflussen, bezogen auf einen Referenzstoff (z.B. CO2-Äquivalenzeinheiten) und einen bestimmten Zeithorizont (z.B. GWP 20, GWP 100, GWP 500, für 20, 100 bzw. 500 Jahre). Das Treibhauspotenzial entspricht der Fähigkeit, Änderungen der globalen mittleren Oberflächenlufttemperatur und die daraus resultierende Änderung verschiedener Klimaparameter und ihrer Wirkungen (wie Häufigkeit und Intensität von Stürmen, Niederschlagsintensität und Häufigkeit von Überschwemmungen usw.) herbeizuführen.

Umweltaspekt - Bestandteil der Tätigkeiten oder Produkte einer Organisation, der Auswirkungen auf die Umwelt (einschließlich der menschlichen Gesundheit) hat oder haben kann (EMAS-Verordnung).

Umweltwirkung - jede positive oder negative Veränderung der Umwelt, die ganz oder teilweise auf Tätigkeiten oder Produkte einer Organisation zurückzuführen ist [EMAS-Verordnung].

Umweltwirkungsmechanismus - System physikalischer, chemischer und biologischer Prozesse für eine vorgegebene EF- Wirkungskategorie, das die Ressourcennutzungs- und Emissionsprofilergebnisse mit den EF-Wirkungskategorie-Indikatoren verbindet (nach ISO 14040:2006).

Unsicherheitsanalyse - Verfahren zur Bewertung der Unsicherheit, die aufgrund von Datenvariabilität und auswahlbedingter Unsicherheit in die Ergebnisse einer PEF-Studie einfliegt.

Untersuchungseinheit - Die Untersuchungseinheit definiert die qualitativen und quantitativen Aspekte der Funktion(en) und/oder Dienstleistung(en) der untersuchten Organisation; die Definition der Untersuchungseinheit beantwortet die Fragen "was?", "wie viel?", "wie gut?" und "wie lange?".

Unterteilung - Disaggregierung multifunktionaler Prozesse oder Einrichtungen zur Isolierung von Inputflüssen, die unmittelbar mit jedem Prozess- oder Einrichtungs-Output zusammenhängen. Der Prozess wird untersucht, um festzustellen, ob er unterteilt werden kann. Ist eine Unterteilung möglich, sollten nur für diejenigen Prozessmodule Bilanzdaten erhoben werden, die den betreffenden Produkten/Dienstleistungen direkt zugeordnet werden können.

Vergleich - ein (grafischer oder anderweitiger) Vergleich von zwei oder mehr Organisationen im Hinblick auf die Ergebnisse ihres Umweltfußabdrucks, unter Berücksichtigung der OEFSR-Regeln, der jedoch keine vergleichende Aussage beinhaltet.

Vergleichende Aussage - eine Umweltaussage zur Überlegenheit oder Gleichwertigkeit einer Organisation gegenüber einer konkurrierenden Organisation, die die gleichen Produkte anbietet, auf der Grundlage der Ergebnisse einer OEF-Studie und der zugrundeliegenden OEFSR-Regeln (nach ISO 14040:2006).

Versauerung - EF-Wirkungskategorie, die die Wirkungen aufgrund von Säurebildnern in der Umwelt betrifft. Emissionen von NOx , NH3 und SOx führen zur Freisetzung von Wasserstoffionen (H +), wenn die Gase mineralisiert werden. Die Protonen tragen zur Versauerung von Böden und Gewässern bei, wenn sie in Gebieten mit geringer Pufferkapazität freigesetzt werden. Dies führt zu Waldsterben und zur Versauerung von Seen.

Verzögerte Emissionen - Emissionen, die über einen bestimmten Zeitraum, z.B. infolge langer Nutzungs- oder Entsorgungsphasen, freigesetzt werden, im Gegensatz zu einer einzelnen Emission zum Zeitpunkt t.

Vordergrundprozesse - diejenigen Prozesse im Verlauf des Lebenswegs der Organisation, bei denen ein direkter Zugang zu Informationen besteht. Beispielsweise gehören der Standort des Herstellers und andere von der Organisation oder ihren Auftragnehmern durchgeführte Prozesse (Warentransport, Dienstleistungen der Hauptverwaltung usw.) zum Vordergrundsystem.

Vorgelagert - Phase innerhalb der Lieferkette von erworbenen Waren/Dienstleitungen vor dem Eintritt in die Organisationsgrenze.

Wirkungsabschätzung - Bestandteil der Ökobilanz, der dem Erkennen und der Beurteilung der Größe und Bedeutung von potenziellen Umweltwirkungen eines Systems im Verlauf seines Lebensweges dient (ISO 14040:2006). Die Wirkungsabschätzungsmethoden sehen Wirkungscharakterisierungsfaktoren für Elementarflüsse vor, um die Wirkung zu aggregieren und eine begrenzte Zahl vonMidpoint- und/oder Schadensindikatoren zu erhalten.

Zusätzliche Umweltinformationen - EF-Wirkungskategorien und andere Umweltindikatoren, die neben OEF-Ergebnissen berechnet und mitgeteilt werden.

Zwischenprodukt - Output aus einem Prozessmodul, der der Input in andere Prozessmodule ist und der eine weitere Bearbeitung innerhalb des Systems erfordert (ISO 14040:2006).

weiter .

umwelt-online - Demo-Version


(Stand: 11.09.2023)

Alle vollständigen Texte in der aktuellen Fassung im Jahresabonnement
Nutzungsgebühr: ab 105.- € netto

(derzeit ca. 7200 Titel s.Übersicht - keine Unterteilung in Fachbereiche)

Preise & Bestellung

Die Zugangskennung wird kurzfristig übermittelt

? Fragen ?
Abonnentenzugang/Volltextversion