zurück

Artikel 225 - gestrichen - 24

Artikel 226 Heraufskalierung von Volatilitätsanpassungen im Rahmen der umfassenden Methode zur Berücksichtigung finanzieller Sicherheiten 24

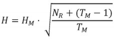
Die in Artikel 224 festgelegten Volatilitätsanpassungen werden von Instituten im Fall einer täglichen Neubewertung angewandt. Erfolgt die Neubewertung seltener als einmal täglich, so wenden Institute größere Volatilitätsanpassungen an. Diese werden von Instituten anhand folgender Wurzel-Zeit-Formel durch Heraufskalierung der auf einer täglichen Neubewertung basierenden Volatilitätsanpassungen berechnet:

Dabei gilt:

H = die anzuwendende Volatilitätsanpassung;
HM = die Volatilitätsanpassung bei täglicher Neubewertung;
NR = die tatsächliche Zahl der Geschäftstage zwischen Neubewertungen;
TM = der Verwertungszeitraum für die betreffende Geschäftsart.

Artikel 227 Bedingungen für eine 0 %ige Volatilitätsanpassung bei der umfassenden Methode zur Berücksichtigung finanzieller Sicherheiten 19 24

(1) Institute, die den in Artikel 224 genannten auf aufsichtlichen Vorgaben für Volatilitätsanpassungen beruhenden Ansatz verwenden, dürfen bei Pensionsgeschäften und Wertpapierverleih- oder -leihgeschäften anstatt der gemäß den Artikeln 224 bis 226 berechneten Volatilitätsanpassungen eine Volatilitätsanpassung von 0 % anwenden, sofern die in Absatz 2 Buchstaben a bis h dieses Artikels festgelegten Bedingungen erfüllt sind. Institute, die den in Artikel 221 festgelegten auf einem internen Modell beruhenden Ansatz verwenden, machen von der in diesem Artikel festgelegten Behandlung keinen Gebrauch.

(2) Die Institute können eine Volatilitätsanpassung von 0 % vornehmen, wenn alle folgenden Bedingungen erfüllt sind:

  1. Sowohl die Risikoposition als auch die Sicherheit sind Barmittel oder Schuldverschreibungen von Zentralstaaten oder Zentralbanken im Sinne von Artikel 197 Absatz 1 Buchstabe b, die nach Kapitel 2 mit einem Risiko von 0 % gewichtet werden können;
  2. Risikoposition und Sicherheit lauten auf dieselbe Währung;
  3. entweder die Laufzeit des Geschäfts beträgt nicht mehr als einen Tag oder sowohl die Risikoposition als auch die Sicherheit werden täglich zu Marktpreisen bewertet und unterliegen täglichen Nachschussverpflichtungen;
  4. zwischen der letzten Neubewertung vor dem Versäumnis der Gegenpartei, Sicherheiten nachzuliefern, und der Veräußerung der Sicherheit liegen nicht mehr als vier Handelstage;
  5. das Geschäft wird in einem für diese Art von Geschäft bewährten Abrechnungssystem abgewickelt;
  6. die für die Vereinbarung oder das Geschäft maßgeblichen Dokumente sind die für Pensionsgeschäfte oder Leih- oder Verleihgeschäfte mit den betreffenden Wertpapieren üblichen Standarddokumente;
  7. aus den für das Geschäft maßgeblichen Dokumenten geht hervor, dass das Geschäft fristlos kündbar ist, wenn die Gegenpartei ihrer Verpflichtung zur Einlieferung von Barmitteln oder Wertpapieren oder zur Leistung von Nachschusszahlungen nicht nachkommt oder in anderer Weise ausfällt;
  8. die Gegenpartei wird von den zuständigen Behörden als wesentlicher Marktteilnehmer angesehen.

(3) Die in Absatz 2 Buchstabe h genannten wesentlichen Marktteilnehmer umfassen

  1. die in Artikel 197 Absatz 1 Buchstabe b bezeichneten Emittenten, deren Titel nach Kapitel 2 ein Risikogewicht von 0 % erhalten,
  2. Institute,
  3. a. Wertpapierfirmen,
  4. sonstige Finanzunternehmen im Sinne des Artikels 13 Nummer 25 Buchstaben b und d der Richtlinie 2009/138/EG, deren Schuldtiteln nach dem Standardansatz ein Risikogewicht von 20 % zugewiesen wird, oder die - sollte es sich um Institute handeln, die die risikogewichteten Positionsbeträge und erwarteten Verlustbeträge nach dem IRB-Ansatz ermitteln - keine Bonitätsbeurteilung einer anerkannten ECAI haben und von dem Institut intern beurteilt werden,
  5. beaufsichtigte OGA, die Eigenmittelanforderungen oder Verschuldungslimits unterliegen,
  6. beaufsichtigte Pensionsfonds,
  7. anerkannte Clearing-Organisationen.

Artikel 228 Berechnung der risikogewichteten Positionsbeträge für Risikopositionen, die im Rahmen des Standardansatzes behandelt werden, bei der umfassenden Methode zur Berücksichtigung finanzieller Sicherheiten 24

Im Rahmen des Standardansatzes verwenden Institute für die Zwecke des Artikels 113 als Risikopositionswert den nach Artikel 223 Absatz 5 berechneten Wert E *. Bei den in Anhang I genannten außerbilanziellen Posten legen die Institute E * als den Wert zugrunde, auf den die in Artikel 111 Absatz 2 genannten Prozentsätze angewandt werden, um den Risikopositionswert zu ermitteln.

Artikel 229 Bewertungsgrundsätze für anerkennungsfähige Sicherheiten außer Finanzsicherheiten 24

(1) Bei der Bewertung von Immobilien müssen alle folgenden Anforderungen erfüllt sein:

umwelt-online - Demo-Version


(Stand: 16.04.2025)

Alle vollständigen Texte in der aktuellen Fassung im Jahresabonnement
Nutzungsgebühr: ab 105.- € netto

(derzeit ca. 7200 Titel s.Übersicht - keine Unterteilung in Fachbereiche)

Preise & Bestellung

Die Zugangskennung wird kurzfristig übermittelt

? Fragen ?
Abonnentenzugang/Volltextversion