Für einen individuellen Ausdruck passen Sie bitte die
Einstellungen in der Druckvorschau Ihres Browsers an.
Regelwerk, EU 2015, Immissionssschutz - EU Bund

Richtlinie (EU) 2015/652 des Rates vom 20. April 2015 zur Festlegung von Berechnungsverfahren und Berichterstattungspflichten gemäß der Richtlinie 98/70/EG des Europäischen Parlaments und des Rates über die Qualität von Otto- und Dieselkraftstoffen

(ABl. Nr. L 107 vom 25.04.2015 S. 26, ber. L 129 S. 53;
VO (EU) 2018/1999 - ABl. Nr. L 328 vom 21.12.2018 S. 1 Inkrafttreten;
RL (EU) 2023/2413 - ABl. L 2023/2413 vom 31.10.2023 Inkrafttreten Gültig Umsetzungaufgehoben)


aufgehoben gem. der RL (EU) 2023/2413

Der Rat der Europäischen Union -

gestützt auf den Vertrag über die Arbeitsweise der Europäischen Union,

gestützt auf die Richtlinie 98/70/EG des Europäischen Parlaments und des Rates vom 13. Oktober 1998 über die Qualität von Otto- und Dieselkraftstoffen und zur Änderung der Richtlinie 93/12/EWG des Rates 1, insbesondere auf Artikel 7a Absatz 5,

auf Vorschlag der Europäischen Kommission, in Erwägung nachstehender Gründe:

(1) Das gemäß Artikel 7a Absatz 5 der Richtlinie 98/70/EG einzurichtende Verfahren zur Berechnung der Treibhausgasemissionen von Kraftstoffen und anderen Energieträgern aus nicht-biogenen Quellen sollte zu einer hinreichend genauen Berichterstattung führen, so dass die Kommission kritisch die Leistung von Anbietern bei der Erfüllung ihrer Verpflichtungen gemäß Artikel 7a Absatz 2 der genannten Richtlinie bewerten kann. Das Berechnungsverfahren sollte Genauigkeit sicherstellen und gleichzeitig die Komplexität der damit verbundenen Verwaltungserfordernisse berücksichtigen. Darüber hinaus sollte es den Anbietern Anreize dafür geben, die Treibhausgasintensität der von ihnen gelieferten Kraftstoffe zu verringern. Außerdem sollte sorgfältig geprüft werden, wie sich das Berechnungsverfahren auf Raffinerien in der Union auswirkt. Deswegen sollte sich das Berechnungsverfahren auf die durchschnittlichen Treibhausgasintensitäten stützen, die einem für einen bestimmten Kraftstoff typischen Industriedurchschnitt entsprechen. Der Vorteil dabei wäre ein geringerer Verwaltungsaufwand für Anbieter und Mitgliedstaaten. Zum gegenwärtigen Zeitpunkt sollte das vorgeschlagene Berechnungsverfahren keine Differenzierung der Treibhausgasintensität von Kraftstoffen auf der Grundlage der Rohstoffquelle erfordern, da dies den laufenden Investitionen in bestimmte Raffinerien in der Union abträglich wäre.

(2) Die Berichterstattungspflichten von Anbietern, die kleine oder mittlere Unternehmen (KMU) im Sinne der Empfehlung 2003/361/EG der Kommission 2 sind, sollten so gering, wie im Rahmen von Artikel 7a Absatz 1 der Richtlinie 98/70/EG möglich, gehalten werden. Ebenso sollten die Einführer von außerhalb der Union raffinierten Otto- und Dieselkraftstoffen nicht verpflichtet sein, detaillierte Informationen zu den Quellen der Rohöle, aus denen diese Kraftstoffe hergestellt wurden, zu übermitteln, da diese Angaben möglicherweise nicht vorliegen oder schwierig zu beschaffen sind.

(3) Um Anreize für weitere Reduktionen der Treibhausgasemissionen zu schaffen, sollten Einsparungen, die für Upstream-Emissions-Reduktionen (UER), einschließlich solcher aus dem Abfackeln und Entgasen, geltend gemacht werden, in die Berechnung der Lebenszyklustreibhausgasemissionen der Anbieter einbezogen werden. Damit die Anbieter leichter UER geltend machen können, sollte für die Berechnung und Zertifizierung von Emissionsreduktionen der Einsatz unterschiedlicher Systeme zugelassen werden. In Betracht kommen sollten nur UER- Projekte, die nach Festsetzung des Kraftstoffbasiswerts in Artikel 7a Absatz 5 Buchstabe b der Richtlinie 98/70/EG, also nach dem 1. Januar 2011, beginnen.

(4) Gewichtete durchschnittliche Treibhausgasstandardwerte, die die in der Union verbrauchten Rohöle repräsentieren, bieten ein einfaches Berechnungsverfahren, nach dem die Anbieter den Treibhausgasgehalt der von ihnen gelieferten Kraftstoffe bestimmen können.

(5) UER sollten nach Grundsätzen und Normen geschätzt und validiert werden, die in internationalen Normen, insbesondere ISO 14064, ISO 14065 und ISO 14066 enthalten sind.

(6) Es ist außerdem angezeigt, den Mitgliedstaaten die Umsetzung von Rechtsvorschriften über UER, einschließlich aus dem Abfackeln und Entgasen, zu erleichtern. Zu diesem Zweck sollten unter der Leitung der Kommission nichtlegislative Leitlinien zu Ansätzen erstellt werden, mit denen solche UER (einschließlich der Verringerung des Abfackelns und Entgasens an Förderstätten) quantifiziert, überprüft, validiert, überwacht und gemeldet werden, bevor der in Artikel 7 dieser Richtlinie festgelegte Umsetzungszeitraum abläuft.

(7) Gemäß Artikel 7a Absatz 5 Buchstabe b der Richtlinie 98/70/EG muss ein Verfahren geschaffen werden, nach dem auf der Grundlage der Lebenszyklustreibhausgasemissionen pro Energieeinheit aus fossilen Kraftstoffen der Basiswert im Jahr 2010 bestimmt wird. Der Kraftstoffbasiswert sollte sich auf die verbrauchten Mengen von Diesel- und Ottokraftstoff, Gasöl für mobile Maschinen und Geräte, Flüssiggas (LPG) und komprimiertem Erdgas (CNG) stützen und die Daten heranziehen, die im Jahr 2010 von den Mitgliedstaaten offiziell an die Klimarahmenkonvention der Vereinten Nationen (im Folgenden "UNFCCC") weitergegeben wurden. Der Kraftstoffbasiswert sollte nicht die fossile Vergleichsgröße sein, die verwendet wird, um die Einsparungen von Treibhausgasemissionen aus Biokraftstoffen zu berechnen; diese sollte wie in Anhang IV der Richtlinie 98/70/EG festgelegt bestehen bleiben.

(8) Da sich die Zusammensetzung des maßgeblichen fossilen Kraftstoffmixes von einem Jahr zum anderen nur wenig ändert, wird auch die aggregierte Veränderung der Treibhausgasintensität fossiler Kraftstoffe im Laufe der Jahre gering sein. Daher sollten dem Kraftstoffbasiswert die durchschnittlichen EU-Verbrauchswerte aus dem Jahr 2010 zugrunde gelegt werden, welche die Mitgliedstaaten an die UNFCCC übermittelt haben.

(9) Der Kraftstoffbasiswert sollte eine durchschnittliche Intensität für die Upstream-Treibhausgasemissionen und die Intensität eines Kraftstoffs einer Raffinerie für fossile Kraftstoffe mit einer durchschnittlichen Komplexität darstellen. Deswegen sollte der Kraftstoffbasiswert anhand des durchschnittlichen Standardwerts für den jeweiligen Kraftstoff berechnet werden. Der Kraftstoffbasiswert sollte im Zeitraum bis 2020 nicht geändert werden, um den Anbietern Rechtssicherheit in Bezug auf ihre Verpflichtungen zur Minderung der Treibhausgasintensität der von ihnen gelieferten Kraftstoffe zu bieten.

(10) Gemäß Artikel 7a Absatz 5 Buchstabe d der Richtlinie 98/70/EG muss ein Verfahren zur Berechnung des Beitrags von Straßenfahrzeugen mit Elektroantrieb zur Reduktion von Lebenszyklustreibhausgasemissionen festgelegt werden. Jenem Artikel zufolge sollte das Berechnungsverfahren mit Artikel 3 Absatz 4 der Richtlinie 2009/28/EG des Europäischen Parlaments und des Rates 3 vereinbar sein. Um die Vereinbarkeit zu gewährleisten, sollte derselbe Anpassungsfaktor für die Antriebsstrangeffizienz verwendet werden.

(11) Die Anbieter können gemäß Artikel 7a Absatz 1 der Richtlinie 98/70/EG den für die Verwendung im Straßenverkehr gelieferten elektrischen Strom in ihren jährlichen Berichten an die Mitgliedstaaten angeben. Zur Begrenzung der Verwaltungskosten empfiehlt es sich, das Berechnungsverfahren für die Zwecke der Berichterstattung durch die Anbieter auf eine Schätzung und nicht auf eine tatsächliche Messung des Stromverbrauchs durch ein Straßenfahrzeug oder Motorrad mit Elektroantrieb zu stützen.

(12) Es ist angezeigt, für die Fälle, in denen ein Biokraftstoff und ein fossiler Kraftstoff im selben Verfahren verarbeitet werden, ein ausführliches Konzept für die Schätzung der Menge und der Treibhausgasintensität von Biokraftstoffen vorzusehen. Ein spezielles Verfahren ist deshalb erforderlich, weil die resultierende Biokraftstoffmenge nicht gemessen werden kann, wie beispielsweise bei der gemeinsamen Hydrierung von pflanzlichen Ölen mit einem fossilen Kraftstoff. Artikel 7d Absatz 1 der Richtlinie 98/70/EG bestimmt, dass die Lebenszyklustreibhausgasemissionen von Biokraftstoffen für die Zwecke des Artikels 7a und des Artikels 7b Absatz 2 der Richtlinie 98/70/EG nach demselben Verfahren berechnet werden. Deswegen ist die Zertifizierung von Treibhausgasemissionen im Rahmen anerkannter freiwilliger Systeme sowohl für die Zwecke des Artikels 7a als auch für die Zwecke des Artikels 7b Absatz 2 der Richtlinie 98/70/EG gültig.

(13) Die Berichterstattungspflicht der Anbieter gemäß Artikel 7a Absatz 1 der Richtlinie 98/70/EG sollte durch ein harmonisiertes Format und harmonisierte Definitionen der zu übermittelnden Daten ergänzt werden. Da die Daten wichtig sind für das harmonisierte Berechnungsverfahren gemäß Artikel 7a Absatz 5 Buchstabe a der Richtlinie 98/70/EG, müssen die Definitionen der Daten harmonisiert werden, damit im Zusammenhang mit den Berichterstattungspflichten eines einzelnen Anbieters die Treibhausgasintensität ordnungsgemäß berechnet werden kann. Diese Daten umfassen die Kennung des Anbieters sowie die Menge und die Art der in Verkehr gebrachten Kraftstoffe oder Energieträger.

(14) Die Berichterstattungspflichten der Anbieter gemäß Artikel 7a Absatz 1 der Richtlinie 98/70/EG sollten durch harmonisierte Anforderungen an die Berichterstattung, ein Berichterstattungsformat und harmonisierte Definitionen für die Berichterstattung der Mitgliedstaaten an die Kommission zur Treibhausgasbilanz der in der Union verbrauchten Kraftstoffe ergänzt werden. Diese Berichterstattungspflichten ermöglichen es insbesondere, die in Anhang IV Teil C Ziffer 19 der Richtlinie 98/70/EG und in Anhang V Teil C Ziffer 19 der Richtlinie 2009/28/EG beschriebene fossile Vergleichsgröße für Kraftstoffe zu aktualisieren, sie erleichtern die Berichterstattung gemäß Artikel 8 Absatz 3 und Artikel 9 Absatz 2 der Richtlinie 98/70/EG und sie erleichtern die Anpassung des Berechnungsverfahrens an den technischen und wissenschaftlichen Fortschritt, so dass sichergestellt ist, dass es den verfolgten Zweck erfüllt. Die betreffenden Daten sollten die in Verkehr gebrachte Kraftstoff- oder Energiemenge, die Art des Kraftstoffs und des Energieträgers, den Erwerbsort und den Ursprung des in Verkehr gebrachten Kraftstoffs oder Energieträgers einschließen.

(15) Um den Verwaltungsaufwand zu verringern, ist es sachdienlich, dass die Mitgliedstaaten den Anbietern erlauben, die Berichterstattungspflichten durch Verwendung gleichwertiger Daten zu erfüllen, die im Rahmen anderer Vorschriften des Unionsrechts oder nationaler Rechtsvorschriften erhoben wurden, sofern die Berichterstattung gemäß den Anforderungen in Anhang IV und den Begriffsbestimmungen in den Anhängen I und III erfolgt.

(16) Um Gruppen von Anbietern gemäß Artikel 7a Absatz 4 der Richtlinie 98/70/EG die Berichterstattung zu erleichtern, können gemäß Artikel 7a Absatz 5 Buchstabe c der genannten Richtlinie die für die Anwendung von Absatz 4 erforderlichen Vorschriften erlassen werden. Da die einzelnen Anbieter verschiedene Kraftstoffe in unterschiedlichen Anteilen in Verkehr bringen und deswegen möglicherweise in unterschiedlichem Maß Ressourcen mobilisieren müssen, um das Treibhausgasminderungsziel zu erreichen, sollte die Berichterstattung erleichtert werden, um eine Störung der physischen Verbringung von Kraftstoffen zu vermeiden. Es ist daher notwendig, die Begriffsbestimmungen der Kennung des Anbieters, der in Verkehr gebrachten Kraftstoff- oder Energiemenge, der Art des Kraftstoffs und des Energieträgers, des Orts des Erwerbs und des Ursprungs des in Verkehr gebrachten Kraftstoffs oder Energieträgers zu harmonisieren. Um bei gemeinsamer Berichterstattung der Anbieter gemäß Artikel 7a Absatz 4 eine Doppelerfassung zu vermeiden, empfiehlt es sich außerdem, die Umsetzung der Verfahren zur Berechnung und die Berichterstattung in den Mitgliedstaaten einschließlich der Berichterstattung an die Kommission so zu harmonisieren, dass sich die erforderlichen Angaben einer Gruppe von Anbietern auf einen spezifischen Mitgliedstaat beziehen.

(17) Gemäß Artikel 8 Absatz 3 der Richtlinie 98/70/EG müssen die Mitgliedstaaten jährlich einen Bericht über die nationalen Daten zur Kraftstoffqualität für das vorangegangene Kalenderjahr vorlegen, der dem Muster entspricht, das in der Entscheidung 2002/159/EG der Kommission 4 festgelegt wurde. Um die durch die Richtlinie 2009/30/EG des Europäischen Parlaments und des Rates 5 vorgenommenen Änderungen der Richtlinie 98/70/EG und die damit verbundenen zusätzlichen Berichterstattungspflichten der Mitgliedstaaten abzudecken und im Interesse der Effizienz und Harmonisierung ist es notwendig, klar zu bestimmen, welche Angaben übermittelt werden sollten, und ein Muster für die Übermittlung dieser Daten durch die Anbieter und die Mitgliedstaaten festzulegen.

(18) Die Kommission legte dem mit der Richtlinie 98/70/EG eingesetzten Ausschuss am 23. Februar 2012 einen Entwurf einer Maßnahme vor. Der Ausschuss konnte keine Stellungnahme mit der erforderlichen qualifizierten Mehrheit abgeben. Daher sollte die Kommission gemäß Artikel 5a Absatz 4 des Beschlusses 1999/468/EG des Rates 6 dem Rat einen Vorschlag unterbreiten -

hat folgende Richtlinie erlassen:

Artikel 1 Gegenstand - Geltungsbereich

(1) Mit dieser Richtlinie werden Vorschriften zu den Verfahren der Berechnung und den Berichterstattungspflichten nach der Richtlinie 98/70/EG festgelegt.

(2) Diese Richtlinie gilt für Kraftstoffe, die für den Antrieb von Straßenkraftfahrzeugen, mobilen Maschinen und Geräten (einschließlich nicht auf See befindlicher Binnenschiffe) sowie von land- und forstwirtschaftlichen Zugmaschinen und nicht auf See befindlichen Sportbooten verwendet werden, und für in Straßenfahrzeugen verwendeten elektrischen Strom.

Artikel 2 Begriffsbestimmungen

Im Sinne dieser Richtlinie und zusätzlich zu den in der Richtlinie 98/70/EG bereits enthaltenen Begriffsbestimmungen bezeichnet der Ausdruck

  1. "Upstream-Emissionen" sämtliche Treibhausgasemissionen, die entstanden sind, bevor der Rohstoff in eine Raffinerie oder Verarbeitungsanlage gelangte, in der der in Anhang I genannte Kraftstoff hergestellt wurde;
  2. "Naturbitumen" jede Quelle für Raffinerierohstoffe,
    1. die in einer Lagerstättenformation am Förderort einen API-Grad (Grad nach dem American Petroleum Institute (API)) von höchstens 10, gemessen mit dem Testverfahren D287 der "American Society for Testing and Materials" (ASTM) 7, aufweisen;
    2. die eine jährliche Durchschnittsviskosität bei Lagerstättentemperatur haben, die höher ist als die durch die Gleichung Viskosität (in Centipoise) = 518,98e-0,038T berechnete Viskosität; dabei ist T die Temperatur in Grad Celsius;
    3. die unter die Definition für bituminöse Sande des KN-Codes 2714 gemäß der Verordnung (EWG) Nr. 2658/87 des Rates 8 fallen und
    4. deren Rohstoffquelle durch Bergbau oder thermisch unterstützte Schwerkraftdrainage erschlossen wird, wobei die Wärmeenergie hauptsächlich aus anderen Quellen als der Rohstoffquelle selbst gewonnen wird;
  3. "Ölschiefer" jede Quelle für Raffinerierohstoffe innerhalb einer Felsformation, die festes Kerogen enthält und die unter die Definition für ölhaltigen Schiefer des KN-Codes 2714 gemäß der Verordnung (EWG) Nr. 2658/87 fällt. Die Rohstoffquelle wird durch Bergbau oder thermisch unterstützte Schwerkraftdrainage erschlossen;
  4. "Kraftstoffbasiswert" einen Kraftstoffbasiswert auf der Grundlage der Lebenszyklustreibhausgasemissionen pro Energieeinheit aus fossilen Kraftstoffen im Jahr 2010;
  5. "konventionelles Rohöl" jeden Raffinerierohstoff, der in einer Lagerstättenformation am Ursprungsort einen API-Grad von mehr als 10, gemessen mit dem ASTM-Testverfahren D287, aufweist und nicht unter die Definition des KN-Codes 2714 gemäß der Verordnung (EWG) Nr. 2658/87 fällt.

Artikel 3 Verfahren zur Berechnung der Treibhausgasintensität von gelieferten Kraftstoffen und Energie, mit Ausnahme von Biokraftstoffen, und zur Berichterstattung durch die Anbieter

(1) Für die Zwecke von Artikel 7a Absatz 2 der Richtlinie 98/70/EG stellen die Mitgliedstaaten sicher, dass die Anbieter die Treibhausgasintensität der von ihnen gelieferten Kraftstoffe nach dem Berechnungsverfahren gemäß Anhang I der vorliegenden Richtlinie bestimmen.

(2) Für die Zwecke von Artikel 7a Absatz 1 Unterabsatz 2 und von Artikel 7a Absatz 2 der Richtlinie 98/70/EG verlangen die Mitgliedstaaten von den Anbietern, bei der Datenübermittlung die Begriffsbestimmungen und das Berechnungsverfahren in Anhang I der vorliegenden Richtlinie heranzuziehen. Die Daten werden jährlich mithilfe des Musters in Anhang IV übermittelt.

(3) Für die Zwecke von Artikel 7a Absatz 4 der Richtlinie 98/70/EG stellt jeder Mitgliedstaat sicher, dass eine Gruppe von Anbietern, die sich dafür entscheidet, als ein einzelner Anbieter zu gelten, ihre Verpflichtungen gemäß Artikel 7a Absatz 2 innerhalb des betreffenden Mitgliedstaats erfüllt.

(4) Bei Anbietern, die KMU sind, wenden die Mitgliedstaaten das vereinfachte Verfahren gemäß Anhang I der vorliegenden Richtlinie an.

Artikel 4 Berechnung des Kraftstoffbasiswerts und der Reduktion der Treibhausgasintensität

Zur Überprüfung der Einhaltung der Verpflichtungen gemäß Artikel 7a Absatz 2 der Richtlinie 98/70/EG durch die Anbieter verlangen die Mitgliedstaaten von diesen, die von ihnen erzielten Verringerungen der Lebenszyklustreibhausgasemissionen aus Kraftstoffen und elektrischem Strom mit dem Kraftstoffbasiswert gemäß Anhang II der vorliegenden Richtlinie zu vergleichen.

Artikel 5 Berichterstattung durch die Mitgliedstaaten 18

(1) Die Mitgliedstaaten übermitteln der Kommission jedes Jahr bis zum 31. Dezember Daten für das Vorjahr, damit Artikel 7a der Richtlinie 98/70/EG nach Maßgabe von Anhang III der vorliegenden Richtlinie eingehalten wird.

(2) Die Mitgliedstaaten verwenden bei der Vorlage der Daten nach Anhang III die gemäß der Verordnung (EG) Nr. 401/2009 des Europäischen Parlaments und des Rates 9 zur Verfügung gestellten Report Net-Anwendungen der Europäischen Umweltagentur. Die Mitgliedstaaten übermitteln die Daten elektronisch an das von der Europäischen Umweltagentur verwaltete zentrale Datenarchiv.

(3) Die Daten werden jährlich unter Verwendung des in Anhang IV vorgegebenen Musters übermittelt. Die Mitgliedstaaten teilen der Kommission den Übermittlungszeitpunkt und den Namen der Kontaktperson in der Behörde mit, die für die Überprüfung der Daten und ihre Übermittlung an die Kommission zuständig ist.

Artikel 6 Sanktionen

Die Mitgliedstaaten legen fest, welche Sanktionen bei einem Verstoß gegen die nationalen Vorschriften zur Umsetzung dieser Richtlinie zu verhängen sind, und treffen alle Maßnahmen, die notwendig sind, um deren Durchsetzung zu gewährleisten. Die vorgesehenen Sanktionen müssen wirksam, verhältnismäßig und abschreckend sein. Die Mitgliedstaaten teilen der Kommission diese Bestimmungen bis zum 21. April 2017 mit und unterrichten sie unverzüglich über alle späteren Änderungen dieser Bestimmungen.

Artikel 7 Umsetzung

(1) Die Mitgliedstaaten setzen die Rechts und Verwaltungsvorschriften in Kraft, die erforderlich sind, um dieser Richtlinie spätestens bis zum 21. April 2017 nachzukommen. Sie setzen die Kommission unverzüglich davon in Kenntnis.

(2) Wenn die Mitgliedstaaten diese Vorschriften erlassen, nehmen sie in den Vorschriften selbst oder durch einen Hinweis bei der amtlichen Veröffentlichung auf diese Richtlinie Bezug. Die Mitgliedstaaten regeln die Einzelheiten der Bezugnahme.

(3) Die Mitgliedstaaten teilen der Kommission den Wortlaut der wichtigsten nationalen Rechtsvorschriften mit, die sie auf dem unter diese Richtlinie fallenden Gebiet erlassen.

Artikel 8 Inkrafttreten

Diese Richtlinie tritt am zwanzigsten Tag nach ihrer Veröffentlichung im Amtsblatt der Europäischen Union in Kraft.

Artikel 9 Adressaten

Diese Richtlinie ist an die Mitgliedstaaten gerichtet.

1) ABl. Nr. L 350 vom 28.12.1998 S. 58.

2) Empfehlung 2003/361/EG der Kommission vom 6. Mai 2003 betreffend die Definition der Kleinstunternehmen sowie der kleinen und mittleren Unternehmen (ABl. Nr. L 124 vom 20.05.2003 S. 36).

3) Richtlinie 2009/28/EG des Europäischen Parlaments und des Rates vom 23. April 2009 zur Förderung der Nutzung von Energie aus erneuerbaren Quellen und zur Änderung und anschließenden Aufhebung der Richtlinien 2001/77/EG und 2003/30/EG (ABl. Nr. L 140 vom 05.06.2009 S. 16).

4) Entscheidung 2002/159/EG der Kommission vom 18. Februar 2002 über ein gemeinsames Muster für die Vorlage der zusammenfassenden Darstellungen der nationalen Daten zur Kraftstoffqualität (ABl. Nr. L 53 vom 23.02.2002 S. 30).

5) Richtlinie 2009/30/EG des Europäischen Parlaments und des Rates vom 23. April 2009 zur Änderung der Richtlinie 98/70/EG im Hinblick auf die Spezifikationen für Otto-, Diesel- und Gasölkraftstoffe und die Einführung eines Systems zur Überwachung und Verringerung der Treibhausgasemissionen sowie zur Änderung der Richtlinie 1999/32/EG des Rates im Hinblick auf die Spezifikationen für von Binnenschiffen gebrauchte Kraftstoffe und zur Aufhebung der Richtlinie 93/12/EWG (ABl. Nr. L 140 vom 05.06.2009 S. 88).

6) Beschluss 1999/468/EG des Rates vom 28. Juni 1999 zur Festlegung der Modalitäten für die Ausübung der der Kommission übertragenen Durchführungsbefugnisse (ABl. Nr. L 184 vom 17.07.1999 S. 23).

7) American Societyfor Testing and Materials, http://www.astm.org/index.shtml.

8) Verordnung (EWG) Nr. 2658/87 des Rates vom 23. Juli 1987 über die zolltarifliche und statistische Nomenklatur sowie den Gemeinsamen Zolltarif (ABl. Nr. L 256 vom 07.09.1987 S. 1).

9) Verordnung (EG) Nr. 401/2009 des Europäischen Parlaments und des Rates vom 23. April 2009 über die Europäische Umweltagentur und das Europäische Umweltinformations- und Umweltbeobachtungsnetz (ABl. Nr. L 126 vom 21.05.2009 S. 13).

.

Verfahren zur Berechnung der Lebenszyklustreibhausgasintensität von Kraftstoffen und Energieträgern und die Berichterstattung darüber durch Anbieter Anhang I

Teil 1
Berechnung der Treibhausgasintensität der Kraftstoffe und Energieträger eines Anbieters

Die Treibhausgasintensität von Kraftstoffen und Energieträgern wird in Gramm Kohlendioxid-Äquivalent pro Megajoule Kraftstoff (gCO2Äq/MJ) angegeben.

(1) Für die Berechnung der Treibhausgasintensität von Kraftstoffen werden die Treibhausgase Kohlendioxid (CO2), Stickoxid (N2O) und Methan (CH4) berücksichtigt. Zur Berechnung der CO2-Äquivalenz werden Emissionen dieser Gase wie folgt nach Emissionen in CO2-Äquivalent gewichtet:

CO2: 1; CH4: 25; N2O: 298

(2) Die Emissionen aus der Herstellung von Maschinen und Ausrüstungen für die Förderung, Produktion, Raffinierung und den Verbrauch von fossilen Kraftstoffen fließen nicht in die Berechnung von Treibhausgasemissionen ein.

(3) Die Treibhausgasintensität eines Anbieters, die sich aus den Lebenszyklustreibhausgasemissionen sämtlicher gelieferter Kraftstoffe und der gesamten gelieferten Energie ergibt, wird nach der nachstehenden Formel berechnet:

Dabei ist

  1. "#" die in der Verordnung (EG) Nr. 684/2009 der Kommission 1 definierte Verbrauchsteuernummer des Anbieters (Steuerpflichtiger) (Verbrauchsteuernummer, Nummer des Systems zum Austausch von Verbrauchsteuerdaten (SEED) oder Umsatzsteuer (USt)-Identifikationsnummer in Anhang I Tabelle 1 Ziffer 5 Buchstabe a der Verordnung für die Bestimmungsort-Codes 1 bis 5 und 8), der auch der Verbrauchsteuerschuldner gemäß Artikel 8 der Richtlinie 2008/118/EG des Rates 2 zu dem Zeitpunkt ist, zu dem gemäß Artikel 7 Absatz 2 der Richtlinie 2008/118/EG der Verbrauchsteueranspruch entsteht. Ist diese Verbrauchsteuernummer nicht verfügbar, so gewährleisten die Mitgliedstaaten, dass gemäß einem nationalen Berichterstattungssystem für die Verbrauchsteuer ein gleichwertiges Identifizierungsmittel etabliert wird;
  2. "x" die Arten von Kraftstoffen und Energieträgern, die gemäß Anhang I Tabelle 1 Ziffer 17 Buchstabe c der Verordnung (EG) Nr. 684/2009 unter diese Richtlinie fallen. Liegen diese Daten nicht vor, so erhebt der Mitgliedstaat gleichwertige Daten entsprechend einem nationalen Berichterstattungssystem für die Verbrauchsteuer.
  3. "MJx" die gesamte gelieferte Energie, ausgedrückt in Megajoule, die aus den mitgeteilten Mengen des Kraftstoffes "x" umgewandelt wurde. Die Berechnung wird vorgenommen wie folgt:
    1. Die Menge jedes Kraftstoffs nach Kraftstoffart
      Sie ergibt sich aus den übermittelten Daten gemäß Anhang I Tabelle 1 - Ziffer 17 Buchstaben d, f und o der Verordnung (EG) Nr. 684/2009. Biokraftstoffmengen werden anhand der in Anhang III der Richtlinie 2009/28/EG aufgeführten Energiedichte in den unteren Heizwert umgerechnet. Mengen von Kraftstoffen nicht-biogenen Ursprungs werden anhand der in Anlage 1 des "Well-to-Tank Report" (Version 4) vom Juli 2013 3 der Joint Research Centre-EUCAR-CONCAWE (JEC) 4 aufgeführten Energiedichtewerte in den unteren Heizwert umgerechnet.
    2. Die gemeinsame Verarbeitung von fossilen Kraftstoffen und Biokraftstoffen
      Die Verarbeitung umfasst jede Veränderung während des Lebenszyklus eines gelieferten Kraftstoffs oder Energieträgers, die zu einer Veränderung der Molekularstruktur dieses Erzeugnisses führt. Die Zugabe eines Denaturierungsmittels fällt nicht unter diese Verarbeitung. Die Menge Biokraftstoffe, die zusammen mit Kraftstoffen nicht-biogenen Ursprungs verarbeitet wird, gibt den Zustand des Biokraftstoffs nach der Verarbeitung wieder. Die Menge des mitverarbeiteten Biokraftstoffs wird gemäß Teil C Ziffer 17 des Anhangs IV der Richtlinie 98/70/EG anhand der Energiebilanz und der Effizienz des Mitverarbeitungsprozesses bestimmt.
      Werden unterschiedliche Biokraftstoffe mit fossilen Kraftstoffen vermischt, so berücksichtigen die Anbieter Menge und Art der einzelnen Biokraftstoffe in der Berechnung und teilen sie den Mitgliedstaaten mit.
      Die Menge des gelieferten Biokraftstoffs, die nicht die Nachhaltigkeitskriterien erfüllt, auf die in Artikel 7b Absatz 1 der Richtlinie 98/70/EG verwiesen wird, wird als fossiler Kraftstoff gezählt.
      Für die Zwecke von Artikel 6 der Verordnung (EG) Nr. 443/2009 des Europäischen Parlaments und des Rates 5 wird ein E85-Benzin-Ethanol-Gemisch als separater Kraftstoff berechnet.
      Werden Mengen nicht gemäß der Verordnung (EG) Nr. 684/2009 erfasst, so erheben die Mitgliedstaaten entsprechende Daten nach einem nationalen Berichterstattungssystem für die Verbrauchsteuer.
    3. Die Menge des verbrauchten elektrischen Stroms
      Dies ist die Menge von durch Kraftfahrzeuge und Krafträder verbrauchtem elektrischem Strom, sofern ein Anbieter der zuständigen Behörde in jedem Mitgliedstaat diese Menge gemäß folgender Formel mitteilt:
      Verbrauchter elektrischer Strom = zurückgelegte Strecke (km) x Effizienz des Stromverbrauchs (MJ/km)
  4. Upstream-Emissions-Reduktionen (UER)
    "UER" ist die von einem Anbieter geltend gemachte Reduktion von Upstream-Emissionen in gCO2Äq, sofern sie im Einklang mit folgenden Anforderungen quantifiziert und gemeldet wird:
    1. Zulässigkeit
      UER dürfen nur auf den die Upstream- Emissionen betreffenden Teil der durchschnittlichen Standardwerte für Ottokraftstoff, Diesel, komprimiertes Erdgas (CNG) oder Flüssiggas (LPG) angewendet werden.
      UER aus einem beliebigen Land können als eine Reduktion der Treibhausgasemissionen auf von einem beliebigen Anbieter gelieferte Kraftstoffe aus jeder anderen Rohstoffquelle angerechnet werden.
      UER dürfen nur angerechnet werden, wenn sie mit Projekten in Verbindung stehen, die nach dem 1. Januar 2011 angelaufen sind.
      Ein Nachweis, dass die UER ohne die Berichterstattungspflicht gemäß Artikel 7a der Richtlinie 98/70/EG nicht erfolgt wären, ist nicht notwendig.
    2. Berechnung
      UER werden nach Grundsätzen und Normen geschätzt und validiert, die in internationalen Normen, insbesondere ISO 14064, ISO 14065 und ISO 14066, enthalten sind.
      Die Überwachung, Berichterstattung und Überprüfung der UER und der baseline-Emissionen müssen im Einklang mit ISO 14064 erfolgen, und die Ergebnisse müssen eine gleichwertige Zuverlässigkeit aufweisen wie diejenige gemäß der Verordnung (EU) Nr. 600/2012 der Kommission 6 und der Verordnung (EU) Nr. 601/2012 der Kommission 7. Die Überprüfung der Methoden für die Schätzung von UER muss mit ISO 14064-3 im Einklang stehen, und die prüfende Einrichtung muss gemäß ISO 14065 akkreditiert sein.
  5. "GHGix" ist die Treibhausgasintensität des Kraftstoffs oder des Energieträgers "x", ausgedrückt in g CO2Äq/MJ. Die Anbieter berechnen die Treibhausgasintensität jedes Kraftstoffs oder Energieträgers wie folgt:
    1. Die Treibhausgasintensität von Kraftstoffen nicht-biogenen Ursprungs ist die in der Tabelle Teil 2 Ziffer 5 letzte Spalte dieses Anhangs aufgelistete gewichtete Lebenszyklustreibhausgasintensität je Kraftstoffart.
    2. Elektrischer Strom wird wie in Teil 2 Ziffer 6 beschrieben berechnet.
    3. Treibhausgasintensität von Biokraftstoffen
      Die Treibhausgasintensität von Biokraftstoffen, die die Nachhaltigkeitskriterien erfüllen, auf die in Artikel 7b Absatz 1 der Richtlinie 98/70/EG verwiesen wird, wird gemäß Artikel 7d der Richtlinie berechnet. Wurden die Daten zu den Lebenszyklustreibhausgasemissionen gemäß einer Übereinkunft oder einem System gewonnen, die bzw. das Gegenstand eines Beschlusses gemäß Artikel 7c Absatz 4 der Richtlinie 98/70/EG ist, der Artikel 7b Absatz 2 der Richtlinie 98/70/EG umfasst, so werden diese Daten auch herangezogen, um die Treibhausgasintensität von Biokraftstoffen gemäß Artikel 7b Absatz 1 der Richtlinie 98/70/EG zu bestimmen. Die Treibhausgasintensität von Biokraftstoffen, die die Nachhaltigkeitskriterien, auf die in Artikel 7b Absatz 1 der Richtlinie 98/70/EG verwiesen wird, nicht erfüllen, entspricht der Treibhausgasintensität des entsprechenden fossilen, aus konventionellem Rohöl oder -gas gewonnenen Kraftstoffs.
    4. Gemeinsame Verarbeitung von fossilen Kraftstoffen nicht-biogenen Ursprungs und von Biokraftstoffen
      Die Treibhausgasintensität von Biokraftstoffen, die zusammen mit fossilen Kraftstoffen verarbeitet werden, gibt den Zustand des Biokraftstoffs nach der Verarbeitung wieder.
  6. "AF" sind die Anpassungsfaktoren für die Antriebsstrangeffizienz:
    Vorherrschende Umwandlungstechnologie Effizienzfaktor
    Verbrennungsmotor 1
    Batteriegestützter Elektroantrieb 0,4
    Wasserstoffzellengestützter Elektroantrieb 0,4

Teil 2 18
Berichterstattung durch die Anbieter für Kraftstoffe außer Biokraftstoffen

(1) UER von fossilen Kraftstoffen

Damit die UER für das Verfahren zur Berichterstattung und Berechnung in Betracht kommen, müssen die Anbieter der vom Mitgliedstaat benannten Behörde Folgendes mitteilen:

  1. das Startdatum des Projekts (nach dem 1. Januar 2011);
  2. die jährlichen Emissionsreduktionen in g CO2Äq;
  3. den Zeitraum, in dem die angegebenen Reduktionen erzielt wurden;
  4. den der Emissionsquelle am nächsten gelegenen Projektort unter Angabe der Koordinaten in Längen- und Breitengraden bis zur vierten Dezimalstelle;
  5. die jährlichen baseline-Emissionen vor der Installation von Reduzierungsmaßnahmen und die jährlichen Emissionen nach der Umsetzung der Reduzierungsmaßnahmen in g CO2Äq/MJ des produzierten Rohstoffs,
  6. die nicht wiederverwendbare Nummer des Zertifikats, mit der das System und die geltend gemachten Treibhausgasreduktionen eindeutig identifiziert werden;
  7. die nicht wiederverwendbare Nummer, mit der das Berechnungsverfahren und das entsprechende System eindeutig identifiziert werden;
  8. - gestrichen -

(2) - gestrichen -

(3) - gestrichen -

(4) - gestrichen -

(5) Durchschnittliche Standardwerte für Lebenszyklustreibhausgasintensität von Kraftstoffen außer Biokraftstoffen und elektrischem Strom

Rohstoffquelle und Verfahren In Verkehr gebrachte(r) Kraftstoff Lebenszyklustreib- hausgasintensität (in g CO2Äq/MJ) Gewichtete Lebenszyklustreib- hausgasintensität (in g CO2Äq/MJ)
Konventionelles Rohöl Ottokraftstoff 93,2 93,3
Verflüssigtes Erdgas 94,3
Verflüssigte Kohle 172
Naturbitumen 107
Ölschiefer 131,3
Konventionelles Rohöl Diesel- oder Gasölkraftstoff 95 95,1
Verflüssigtes Erdgas 94,3
Verflüssigte Kohle 172
Naturbitumen 108,5
Ölschiefer 133,7
Alle fossilen Quellen Flüssiggas im Fremdzündungsmotor 73,6 73,6
Erdgas, EU-Mix Komprimiertes Erdgas im Fremdzündungsmotor 69,3 69,3
Erdgas, EU-Mix Verflüssigtes Erdgas im Fremdzündungsmotor 74,5 74,5
Sabatier-Prozess mit Wasserstoff aus der durch nicht-biogene erneuerbare Energien gespeisten Elektrolyse Komprimiertes synthetisches Methan im Fremdzündungsmotor 3,3 3,3
Erdgas mit Dampfreformierung Komprimierter Wasserstoff in einer Brennstoffzelle 104,3 104,3
Vollständig durch nicht-biogene erneuerbare Energien gespeiste Elektrolyse Komprimierter Wasserstoff in einer Brennstoffzelle 9,1 9,1
Kohle Komprimierter Wasserstoff in einer Brennstoffzelle 234,4 234,4
Kohle mit Abscheidung und Speicherung von CO2 aus Prozessemissionen Komprimierter Wasserstoff in einer Brennstoffzelle 52,7 52,7
Altkunststoff aus fossilen Rohstoffen Otto-, Diesel- oder Gasölkraftstoff 86 86

(6) Elektrischer Strom

Für die Berichte von Energieanbietern über den von Kraftfahrzeugen und Krafträdern mit Elektroantrieb verbrauchten elektrischen Strom sollten die Mitgliedstaaten die durchschnittlichen Lebenszyklusstandardwerte auf nationaler Ebene nach den geeigneten internationalen Normen berechnen.

Alternativ dazu können die Mitgliedstaaten ihren Anbietern gestatten, für elektrischen Strom Treibhausgasintensitätswerte (in g CO2Äq/MJ) anhand von Daten festzulegen, die die Mitgliedstaaten auf folgender Grundlage übermittelt haben:

  1. Verordnung (EG) Nr. 1099/2008 des Europäischen Parlaments und des Rates 10 oder
  2. Verordnung (EU) Nr. 525/2013 des Europäischen Parlaments und des Rates 11 oder
  3. Delegierte Verordnung (EU) Nr. 666/2014 der Kommission 12.

(7) - gestrichen -

1) Verordnung (EG) Nr. 684/2009 der Kommission vom 24. Juli 2009 zur Durchführung der Richtlinie 2008/118/EG des Rates in Bezug auf die EDV-gestützten Verfahren für die Beförderung verbrauchsteuerpflichtiger Waren unter Steueraussetzung (ABl. Nr. L 197 vom 29.07.2009 S. 24.). 2) Richtlinie 2008/118/EG des Rates vom 16. Dezember 2008 über das allgemeine Verbrauchsteuersystem und zur Aufhebung der Richtlinie 92/12/EWG (ABl. Nr. L 9 vom 14.01.2009 S. 12).

3) http://iet.jrc.ec.europa.eu/about-jec/sites/about-jec/files/documents/report_2013/wtt_report_v4_july_2013_final.pdf

4) Das JEC-Konsortium umfasst die Gemeinsame Forschungsstelle (JRC) der Europäischen Kommission, EUCAR (European Council for Automotive Research & Development) und CONCAWE (Europäische Organisation der Ölunternehmen für Umwelt, Gesundheit und Sicherheit).

5) Verordnung (EG) Nr. 443/2009 des Europäischen Parlaments und des Rates vom 23. April 2009 zur Festsetzung von Emissionsnormen für neue Personenkraftwagen im Rahmen des Gesamtkonzepts der Gemeinschaft zur Verringerung der CO2-Emissionen von Personenkraftwagen und leichten Nutzfahrzeugen (ABl. Nr. L 140 vom 05.06.2009 S. 1).

6) Verordnung (EU) Nr. 600/2012 der Kommission vom 21. Juni 2012 über die Prüfung von Treibhausgasemissionsberichten und Tonnenkilometerberichten sowie die Akkreditierung von Prüfstellen gemäß der Richtlinie 2003/87/EG des Europäischen Parlaments und des Rates (ABl. Nr. L 18 1 vom 12.07.2012 S. 1).

7) Verordnung (EU) Nr. 601/2012 der Kommission vom 21. Juni 2012 über die Überwachung von und die Berichterstattung über Treibhausgasemissionen gemäß der Richtlinie 2003/87/EG des Europäischen Parlaments und des Rates (ABl. Nr. L 181 vom 12.07.2012 S. 30).

8) Verordnung (EG) Nr. 2964/95 des Rates vom 20. Dezember 1995 zur Schaffung eines Registrierungssystems für Rohöleinfuhren und -lieferungen in der Gemeinschaft (ABl. Nr. L 310 vom 22.12.1995 S. 5).

9) Verordnung (EWG) Nr. 2454/93 der Kommission vom 2. Juli 1993 mit Durchführungsvorschriften zu der Verordnung (EWG) Nr. 2913/92 des Rates zur Festlegung des Zollkodex der Gemeinschaften (ABl. Nr. L 253 vom 11.10.1993 S. 1).

10) Verordnung (EG) Nr. 1099/2008 des Europäischen Parlaments und des Rates vom 22. Oktober 2008 über die Energiestatistik (ABl. Nr. L 304 vom 14.11.2008 S. 1).

11) Verordnung (EU) Nr. 525/2013 des Europäischen Parlaments und des Rates vom 21. Mai 2013 über ein System für die Überwachung von Treibhausgasemissionen sowie für die Berichterstattung über diese Emissionen und über andere klimaschutzrelevante Informationen auf Ebene der Mitgliedstaaten und der Union und zur Aufhebung der Entscheidung Nr. 280/2004/EG (ABl. Nr. L 165 vom 18.06.2013 S. 13).

12) Delegierte Verordnung (EU) Nr. 666/2014 der Kommission vom 12. März 2014 über die grundlegenden Anforderungen an ein Inventarsystem der Union und zur Berücksichtigung von Veränderungen der Treibhauspotenziale und der international vereinbarten Inventarleitlinien gemäß der Verordnung (EU) Nr. 525/2013 des Europäischen Parlaments und des Rates (ABl. Nr. L 179 vom 19.06.2014 S. 26).

.

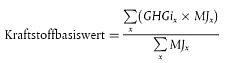
Berechnung des Kraftstoffbasiswerts fossiler Kraftstoffe Anhang II


Berechnungsverfahren

  1. Der Kraftstoffbasiswert wird auf Grundlage des durchschnittlichen EU-Verbrauchs fossiler Kraftstoffe, also Otto-, Diesel- oder Gasölkraftstoff, LPG und CNG, wie folgt berechnet:

    Dabei steht

    "X" für die verschiedenen Kraftstoffe und Energieträger, die in den Anwendungsbereich dieser Richtlinie fallen und in nachstehender Tabelle aufgeführt sind;

    "GHGix" für die Treibhausgasintensität der jährlich am Markt verkauften Menge des unter den Anwendungsbereich dieser Richtlinie fallenden Kraftstoffs oder Energieträgers x in g CO2Äq/MJ. Es werden die in Anhang I Teil 2 Ziffer 5 aufgeführten Werte für fossile Kraftstoffe verwendet;

    "MJx" für die gesamte gelieferte Energie, ausgedrückt in Megajoule, die aus den mitgeteilten Mengen des Kraftstoffes x umgewandelt wurde.

  2. Verbrauchsdaten

    Für die Berechnung des Wertes werden folgende Verbrauchsdaten verwendet:

    Kraftstoff Energieverbrauch (MJ) Quelle
    Dieselkraftstoff 7.894.969 x 106 Berichterstattung 2010 der Mitgliedstaaten an das UNFCCC
    Nicht für den Straßenverkehr bestimmtes Gasöl 240.763 x 106
    Ottokraftstoff 3.844.356 x 106
    LPG 217.563 x 106
    CNG 51.037 x 106

    Treibhausgasintensität

    Der Kraftstoffbasiswert für 2010 beträgt 94,1 gCO2Äq/MJ

.

Berichterstattung der Mitgliedstaaten an die Kommission Anhang III 18

(1) Die Mitgliedstaaten übermitteln die in Nummer 3 aufgeführten Daten. Diese Daten sind für alle Brennstoffe und Energieträger zu übermitteln, die in jedem Mitgliedstaat in Verkehr gebracht wurden. Sind den fossilen Brennstoffen mehrere Bio-Brennstoffe beigemischt, so sind die Daten zu jedem Biokraftstoff anzugeben.

(2) Die unter Ziffer 3 aufgeführten Daten werden für Kraftstoff oder Energie, die von Anbietern innerhalb des jeweiligen Mitgliedstaates (einschließlich gemeinsamer Anbieter, die in einem einzigen Mitgliedstaat operieren) in Verkehr gebracht wurden, separat übermittelt.

(3) Zu jedem Kraftstoff und zu jeder Energie übermitteln die Mitgliedstaaten der Kommission die folgenden in Anhang I definierten und gemäß Ziffer 2 aggregierten Daten:

  1. Typ des Kraftstoffs oder der Energie;
  2. Volumen oder Menge des Kraftstoffs oder des elektrischen Stroms;
  3. Treibhausgasintensität;
  4. UER;

.

Muster für die Übermittlung von Informationen zur Sicherstellung der Konsistenz der übermittelten Daten Anhang IV 18

Kraftstoff - Einzelner Anbieter

Eintrag Gemeins. Bericht
(Ja / NEIN)
Land Anbieter 1 Kraftstoffart 7 KN-Code des Kraftstoffs 7 Menge 2 Durchschnittl. THG- Intensität Reduktion vorgelagerter Emissionen 5 Reduktion gegenüber dem Durchschnitt von 2010
in Liter in Energie
1
KN-Code THG-Intensität 4 Einzelstoff KN-Code THG-Intensität 4 nachhaltig (Ja / NEIN)
Komponente F.1 (Fossiler Kraftstoff) Komponente B.1 (Biokraftstoff)
Komponente F.n (Fossiler Kraftstoff)

Komponente B.m (Biokraftstoff)
k
KN-Code 2 THG-Intensität 4 Einzelstoff KN-Code 2 THG-Intensität 4 nachhaltig (Ja / NEIN)
Komponente F.1 (Fossiler Kraftstoff)

Komponente B.1 (Biokraftstoff)
Komponente F.n (Fossiler Kraftstoff)

Komponente B.m (Biokraftstoff)

Kraftstoff - Gemeinsame Anbieter

Eintrag Gemeins. Bericht (Ja / NEIN) Land Anbieter 1 Kraftstoffart 7 KN-Code des Kraftstoffs 7 Menge 2 Durchschnittl. THG- Intensität Reduktion vorgelagerter Emissionen 5 Reduktion gegenüber dem Durchschnitt von 2010
in Liter in Energie
1 JA
JA
Zwischensumme
KN-Code THG-Intensität 4 Einzelstoff KN-Code THG-Intensität 4 Nachhaltig (Ja / NEIN)
Komponente F.1 (Fossiler Kraftstoff)

Komponente B.1 (Biokraftstoff)
Komponente F.n (Fossiler Kraftstoff) Komponente B.m (Biokraftstoff)
k JA
JA
Zwischensumme
KN-Code 2 THG-Intensität 4 Einzelstoff KN-Code 2 THG- Intensität 4 nachhaltig (Ja / NEIN)
Komponente F.1 (Fossiler Kraftstoff)

Komponente B.1 (Biokraftstoff)
Komponente F.n (Fossiler Kraftstoff) Komponente B.m (Biokraftstoff)

Elektrischer Strom

Gemeins. Bericht
(JA/NEIN)
Land Anbieter 1 Energieart 7 Menge 6 THG-Intensität Reduktion gegen über dem Durchschnitt von 2010
in Energie
NEIN
Angaben gemeinsamer Anbieter
Land Anbieter 1 Energieart 7 Menge 6 THG-Intensität Reduktion gegenüber dem Durchschnitt von 2010
in Energie
JA
JA
Zwischensumme

Gesamtmenge der vom Mitgliedstaat übermittelten Energie und erreichte Reduktion

Menge (in Energie) 10 THG-Intensität Reduktion gegenüber dem Durchschnitt 2010

Hinweise zum Format

Die Vorlage für den Bericht von Anbietern ist mit der Vorlage des Berichts der Mitgliedstaaten identisch.

Grau unterlegte Felder sind nicht auszufüllen.

(1) Die Verbrauchsteuernummer des Anbieters ist in Anhang I Teil 1 Ziffer 3 Buchstabe a definiert;

(2) die Kraftstoffmenge ist in Anhang I Teil 1 Ziffer 3 Buchstabe c definiert;

(3) der API-Grad (Grad nach dem American Petroleum Institute (API)) ist gemäß der Prüfmethode ASTM D287 definiert;

(4) die Treibhausintensität ist in Anhang I Teil 1 Ziffer 3 Buchstabe e definiert;

(5) die UER ist in Anhang I Teil 1 Ziffer 3 Buchstabe d definiert; die Berichterstattungsvorschriften sind in Anhang I Teil 2 Ziffer 1 definiert;

(6) die Menge des elektrischen Stroms ist in Anhang I Teil 2 Ziffer 6 definiert;

(7) Kraftstoffarten und die entsprechenden KN-Codes sind in Anhang I Teil 1 Ziffer 3 Buchstabe b definiert;

(8) - gestrichen -

(9) - gestrichen -

(10) die Gesamtmenge der verbrauchten Energie (Kraftstoff und elektrischer Strom).


ENDE

umwelt-online - Demo-Version


(Stand: 30.12.2024)

Alle vollständigen Texte in der aktuellen Fassung im Jahresabonnement
Nutzungsgebühr: ab 105.- € netto

(derzeit ca. 7200 Titel s.Übersicht - keine Unterteilung in Fachbereiche)

Preise & Bestellung

Die Zugangskennung wird kurzfristig übermittelt

? Fragen ?
Abonnentenzugang/Volltextversion