![]() |
zurück | ![]() |
| Methoden zur Bestimmung der physikalisch-chemischen Eigenschaften
A.5. Oberflächenspannung |
Anhang V zur RL 67/548/EWG |
A.5. 1. Methoden
Den meisten der hier beschriebenen Methoden liegt die OECD-Prüfrichtlinie (1) zugrunde. Die Grundprinzipien sind in (2) angegeben.
A.5. 1.1. Einleitung
Die hier beschriebenen Methoden sind zur Messung der Oberflächenspannung wäßriger Lösungen anzuwenden.
Zweckdienlich ist, daß vor der Durchführung dieser Prüfungen Vorabinformationen über die Wasserlöslichkeit, die Struktur, die Hydrolyseeigenschaften und die kritische Konzentration für Mizellbildung des Stoffes vorliegen.
Die nachstehenden Methoden können für die meisten chemischen Substanzen ohne Einschränkung in bezug auf ihren Reinheitsgrad angewendet werden.
Die Messung der Oberflächenspannung nach der Ringmethode beschränkt sich auf wäßrige Lösungen mit einer dynamischen Viskosität unter ca. 200 mPa s.
A.5.1.2. Definition und Einheiten
Die freie Oberflächenenthalpie pro Oberflächeneinheit bezeichnet man als Oberflächenspannung.
Die Oberflächenspannung wird in folgenden Einheiten angegeben:
N/m (SI-Einheit) oder
mN/m (SI-Untereinheit)
1 N/m = 103 dyn/cm1 mN/m = 1 dyn/cm im veralteten CGS-System
A.5. 1.3. Referenzsubstanzen
Referenzsubstanzen müssen nicht in allen Fällen verwendet werden, in denen eine neue Prüfsubstanz untersucht wird. Die Referenzsubstanzen sollten in erster Linie dazu dienen, die Methode von Zeit zu Zeit zu überprüfen und einen Vergleich mit den Ergebnissen aus anderen Methoden zu ermöglichen.
Referenzsubstanzen, die einen weiten Bereich von Oberflächenspannungen abdecken, sind in der Literatur (1) (3) aufgeführt.
A.5. 1.4. Prinzip der Methoden
Gemessen wird die maximale Kraft, die in vertikaler Richtung auf einen Bügel oder einen Ring ausgeübt werden muß, um diesen aus seinem Kontakt mit der Oberfläche der in ein Meßgerät gefüllten Prüfflüssigkeit zu ziehen, bzw. die auf eine Platte ausgeübt werden muß, deren einer Rand in Kontakt mit der Oberfläche steht, um den gebildeten Film hochzuziehen.
Stoffe, die mindestens in einer Konzentration von 1 mg/l in Wasser löslich sind, werden in wäßriger Lösung in einer einzigen Konzentration geprüft.
A.5. 1.5. Qualitätskriterien
Die Genauigkeit dieser Methoden überschreitet wahrscheinlich alle Kontrollerfordernisse des Umweltschutzes.
A.5. 1.6. Beschreibung der Methoden
Eine Lösung der Prüfsubstanz wird in destilliertem Wasser zubereitet. Die Konzentration dieser Lösung sollte bei 90 % der Sättigungslöslichkeit der Substanz in Wasser liegen; wenn diese Konzentration höher liegt als 1 g/l, wird für die Prüfung eine Konzentration von 1 g/l verwendet. Substanzen mit einer Wasserlöslichkeit unter 1 mg/l brauchen nicht geprüft zu werden.
A.5. 1.6.1. Plattenmethode
Siehe ISO 304 und NF T 73-060 (Surface active agents - determination of surface tension by drawing up liquid films).
A.5. 1.6.2. Bügelmethode
Siehe ISO 304 und NF T 73-060 (Surface active agents - determination of surface tension by drawing up liquid films).
A.5. 1.6.3. Ringmethode
Siehe ISO 304 und NF T 73-060 (Surface active agents - determination
of surface tension by drawing up liquid films).
A.5. 1.6.4. OECD-Ringmethode
A.5. 1.6.4.1. Apparatur
Zur Ausführung der in Betracht kommenden Messungen eignen sich handelsübliche Tensiometer. Sie bestehen aus folgenden Teilen:
A.5. 1.6.4.1.1. Beweglicher Probentisch
Der bewegliche Probentisch dient als Untersatz für das thermostatisierte Meßgefäße, in welchem sich die zu untersuchende Flüssigkeit befindet. Er ist zusammen mit dem Kraftmeßsystem auf ein Stativ montiert.
A.5. 1.6.4.1.2. Kraftmeßsystem
Das Kraftmeßsystem (siehe Abbildung) befindet sich über dem Probentisch. Der Fehler der Kraftmessung sollte einen Wert von ± 10-6 N nicht übersteigen, was einer Fehlergrenze von ± 0,1 mg bei der Massenbestimmung entspricht. In den meisten Fällen erfolgt die Einteilung der Meßskala handelsüblicher Tensiometer in mN/m, so daß die Oberflächenspannung direkt in mN/m mit einer Genauigkeit von 0,1 mN/m abgelesen werden kann.
A.5. 1.6.4.1.3. Meßkörper (Ring)
Üblicherweise wird der Ring aus Platin-Iridiumdraht mit einer Stärke von etwa 0,4 mm und einem mittleren Umfang von 60 mm hergestellt. Der Drahtring ist horizontal mittels einer Befestigungsgabel aus Draht und einem Metallstift aufgehängt, welche die Verbindung zum Kraftmeßsystem darstellen (siehe Abbildung).
A.5. 1.6.4.1.4. Meßgefäß
Zur Aufnahme der Prüflösung bei den Messungen sollte ein thermostatisiertes Glasgefäß benutzt werden. Die Anordnung sollte so ausgelegt werden, daß während der Messung die Temperatur sowohl der Prüflösung wie auch die der sich über deren Oberfläche befindlichen Gasphase konstant bleiben und die Probe nicht verdampfen kann. Hierfür sollten zylindrische Glasgefäße mit einem Innendurchmesser von nicht weniger als 45 mm zur Anwendung kommen.
A.5. 1.6.4.2. Vorbereitung der Apparatur
A.5. 1.6.4.2.1. Reinigung
Die Glasgefäße müssen sorgfältig gereinigt werden. Falls notwendig, sollten sie mit heißer Chromschwefelsäure und anschließend mit sirupartiger Phosphorsäure (83 bis 98 Gew.-% H3PO4) gewaschen, sorgfältig mit Leitungswasser gespült und schließlich nochmals mit doppelt destilliertem Wasser ausgewaschen werden, bis man eine neutrale Reaktion erhält. Daraufhin trocknet man das Gefäß oder spült es mit der zu untersuchenden Probenlösung aus.
Der Ring sollte zunächst sorgfältig mit Wasser abgewaschen werden, um alle wasserlöslichen Substanzen zu entfernen. Anschließend wird er kurzzeitig in Chromschwefelsäure getaucht, in doppelt destilliertem Wasser bis zur neutralen Reaktion gespült und schließlich kurz über einer Methanolflamme erhitzt.
Anmerkung:
Verunreinigungen durch Substanzen, die weder durch Chromschwefelsäure noch Phosphorsäure gelöst oder zersetzt werden, wie beispielsweise Silikone, sind mittels geeigneter organischer Lösungsmittel zu entfernen.
A.5. 1.6.4.2.2. Eichung der Apparatur
Die Validierung der Apparatur besteht in einer Überprüfung des Nullpunktes. Dieser sollte so eingestellt werden, daß die Instrumentenanzeige eine zuverlässige Bestimmung in mN/m zuläßt.
Aufstellung:
Das Gerät muß waagerecht aufgestellt werden, was sich beispielsweise unter Zuhilfenahme einer Wasserwaage, die man auf die Grundplatte des Tensiometers legt, und entsprechender Einstellungen mit den dort vorgesehenen Stellschrauben erzielen läßt.
Nullpunkteinstellung:
Nach der Befestigung des Rings an der Apparatur und vor dem Eintauchen in die Flüssigkeit sind der Nullpunkt der Tensiometeranzeige einzustellen und die Parallelität des Rings zur Flüssigkeitsoberfläche zu überprüfen. Dazu kann man die Flüssigkeitsoberfläche als Spiegel benutzen.
Eichen:
Das eigentliche Eichen vor den Untersuchungen läßt sich auf zweierlei Weise durchführen:
(a) Benutzung einer Masse: Bei diesem Verfahren verwendet man Reiter bekannter Masse zwischen 0,1 g und 1,0 g, die auf diesem Ring angebracht werden. Der Eichfaktor Φa, mit dem alle am Instrument abgelesenen Werte multipliziert werden müssen, läßt sich entsprechend der Gleichung (1) bestimmen:
φa = σr/σa(1)
Hierbei ist:
σr = mg / 2b (mN/m)
m = Masse des Reiters
g = Erdbeschleunigung (981 cm s-2 in Meereshöhe)
b = mittlerer Umfang des Rings (cm)
σa = abgelesener Wert am Tensiometer nach dem Anbringen des Reiters auf dem Ring (mN/m).
(b) Verwendung von Wasser: Bei diesem Verfahren benutzt man reines Wasser, dessen Oberflächenspannung bei 23 °C einen Wert von 72,3 mN/m besitzt. Dieses Verfahren ist bei weitem schneller durchführbar als die Eichung mit Gewichten, doch läuft man hierbei immer Gefahr, daß die Oberflächenspannung des Wassers durch Spurenverunreinigungen mit oberflächenaktiven Substanzen verfälscht wird.
Der Eichfaktor Φb, mit dem alle am Instrument abgelesenen Werte multipliziert werden müssen, läßt sich entsprechend der Gleichung (2) bestimmen:
φb = σo/σg(2)
Hierbei ist:
σo = angegebener Literaturwert für die Oberflächenspannung von Wasser (mN/m)
σg = gemessener Wert der Oberflächenspannung von Wasser (mN/m)
beide bei der gleichen Temperatur.
A.5. 1.6.4.3. Vorbereitung der Proben
Von den zu untersuchenden Substanzen sind wäßrige Lösungen in den erforderlichen Konzentrationen herzustellen. Die Lösungen dürfen keine ungelösten Bestandteile enthalten.
Die Lösung ist bei konstanter Temperatur zu halten (± 0,5 °C). Da sich die Oberflächenspannung der im Meßbehälter befindlichen Lösung im Verlauf der Zeit verändert, sollten Messungen zu verschiedenen Zeitpunkten vorgenommen und entsprechend eine Kurve erstellt werden, die die Oberflächenspannung in Abhängigkeit von der Zeit darstellt. Ein Gleichgewichtszustand ist erreicht, sobald keine weiteren Änderungen auftreten.
Verschmutzung durch Staub oder gasförmige Substanzen beeinträchtigt die Messung. Aus diesem Grunde sollten die Arbeiten unter einer Schutzhaube vorgenommen werden.
A.5. 1.6.5. Prüfbedingungen
Die Messungen sind bei etwa 20 °C auszuführen, und die Temperaturkonstanz sollte mit ± 0,5 °C eingehalten werden.
A.5. 1.6.6. Durchführung der Prüfung
Die zu messenden Lösungen werden in das sorgfältig gereinigte Meßgefäß gefüllt, wobei darauf geachtet werden sollte, Schaumbildung zu vermeiden. Anschließend wird das Meßgefäß auf den Tisch der Testapparatur gestellt. Das Tischoberteil mit dem Meßgefäß wird nun so weit hochgeschraubt, bis der Ring unter die Oberfläche der zu messenden Lösung taucht. Daraufhin wird das Tischoberteil langsam und gleichmäßig abgesenkt (mit einer Geschwindigkeit von ca. 0,5 cm/min), um den Ring aus der Oberfläche herauszuziehen, bis ein maximaler Wert der Kraft erreicht ist. Der am Ring haftende Flüssigkeitsfilm darf nicht von ihm abreißen. Nach Beendigung der Messung wird der Ring wieder unter die Oberfläche getaucht und der Vorgang wiederholt, bis ein konstanter Wert der Oberflächenspannung erreicht ist. Bei jeder Bestimmung sollte die Zeitmessung mit dem Einfüllen der Lösung in das Meßgefäß beginnen. Die Ablesung erfolgt jeweils zu dem Zeitpunkt, bei dem die Maximalkraft beim Herausziehen des Rings aus der Flüssigkeitsoberfläche erreicht ist.
A.5. 2. Daten
Zur Berechnung der Oberflächenspannung wird zunächst der in mN/m an der Apparatur abgelesene Wert mit dem Eichfaktor Φa oder Φb (je nach dem verwendeten Eichverfahren) multipliziert. Man erhält einen Wert, der jedoch nur annähernd gilt und infolgedessen einer Korrektur bedarf.
Harkins und Jordan (4) haben empirische Korrekturfaktoren für Oberflächenspannungswerte bestimmt, die mit der Ringmethode gemessen wurden. Diese Faktoren sind von den Ringdimensionen, der Dichte der Flüssigkeit und ihrer Oberflächenspannung abhängig.
Da es umständlich ist, für jede einzelne Messung den Korrekturfaktor aus den Tabellen von Harkins und Jordan zu bestimmen, um die Oberflächenspannung wäßriger Lösungen zu berechnen, kann eine vereinfachte Methode angewandt werden, die darin besteht, die korrigierten Werte für die Oberflächenspannung direkt aus der nachstehenden Tabelle abzulesen. (Für Ablesewerte, die zwischen den Tabellenwerten liegen, ist eine Interpolation möglich.)
Tabelle: Korrektur der gemessenen Oberflachenspannungswerte
Nur für wäßrige Lösungen, ρ = 1 g/cm3
R = 9,55 mm (mittlerer Ringradius)
r = 0,185 mm (Radius des Ringdrahtes)
| Experimenteller Wert (mN/m) | Korrigierter Wert (mN/n) | |
| Eichung mit Gewichten (vgl. 1.6.4.2.2 (a)) |
Eichung mit Wasser (vgl. 1.6.4.2.2 (b) |
|
| 20 | 16,9 | 18,1 |
| 22 | 18,7 | 20,1 |
| 24 | 20,6 | 22,1 |
| 26 | 22,4 | 24,1 |
| 28 | 24,3 | 26,1 |
| 30 | 26,2 | 28,1 |
| 32 | 28,1 | 30,1 |
| 34 | 29,9 | 32,1 |
| 36 | 31,8 | 34,1 |
| 38 | 33,7 | 36,1 |
| 40 | 35,6 | 38,2 |
| 42 | 37,6 | 40,3 |
| 44 | 39,5 | 42,3 |
| 46 | 41,4 | 44,4 |
| 48 | 43,4 | 46,5 |
| 50 | 45,3 | 48,6 |
| 52 | 47,3 | 50,7 |
| 54 | 49,3 | 52,8 |
| 56 | 51,2 | 54,9 |
| 58 | 53,2 | 57,0 |
| 60 | 55,2 | 59,1 |
| 62 | 57,2 | 61,3 |
| 64 | 59,2 | 63,4 |
| 66 | 61,2 | 65,5 |
| 68 | 63,2 | 67,7 |
| 70 | 65,2 | 69,9 |
| 72 | 67,2 | 72,0 |
| 74 | 69,2 | - |
| 76 | 71,2 | - |
| 78 | 73,2 | - |
Die Zusammenstellung dieser Tabelle erfolgte auf der Grundlage der Harkins-Jordan-Korrekturen und entsprechend der DIN-Norm (DIN 53914) für Wasser und wäßrige Lösungen (Dichte ρ = 1 g/cm3). Sie gilt für einen handelsüblichen Ring mit folgenden Abmessungen: R = 9,55 mm (mittlerer Ringradius) und r = 0,185 mm (Radius des Ringdrahtes). Die Tabelle enthält korrigierte Werte für Oberflächenspannungsmessungen nach einer Eichung entweder mit Gewichten oder mit Wasser.
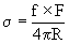
Alternativ läßt sich die Oberflächenspannung ohne vorhergehende Eichung nach der folgenden Gleichung berechnen:
wobei
F = die vom Kraftmeßsystem angegebene Kraft beim Abreißen des Films,
R = der Ringradius,
f = der Korrekturfaktor (1) sind.
A.5. 3. Abschlußbericht
A.5. 3.1. Prüfbericht
Im Prüfbericht ist, wenn möglich, folgendes anzugeben:
A.5. 3.2. Interpretation der Ergebnisse
Ausgehend davon, daß destilliertes Wasser bei 20 °C eine Oberflächenspannung von 72,75 mN/m hat, sollten Stoffe mit einer Oberflächenspannung unter 60 mN/m unter den Bedingungen dieses Verfahrens als oberflächenaktiv betrachtet werden.
A.5. 4. Literatur
(1) OECD, Paris, 1981, Test Guideline 115, Decision of the Council C(81) 30 final.
(2) R. Weissberger (Hrsg.), Technique of Organic Chemistry, Physical Methods of Organic Chemistry, 3rd ed., Interscience Publ., New York, 1959, Vol. I, Part I, Chapter XIV.
(3) Pure Appl. Chem., 1976, Vol. 48, 511.
(4) Harkins, W.D., Jordan, H.F., J. Amer. Chem. Soc., 1930, Vol. 52, 1751.
![]() |
weiter . | ![]() |
(Stand: 04.08.2022)
Alle vollständigen Texte in der aktuellen Fassung im Jahresabonnement
Nutzungsgebühr: ab 105.- € netto
(derzeit ca. 7200 Titel s.Übersicht - keine Unterteilung in Fachbereiche)
Die Zugangskennung wird kurzfristig übermittelt
? Fragen ?
Abonnentenzugang/Volltextversion