![]() |
zurück | ![]() |
| Bestimmung der Ökotoxizität C.18. Adsorption/Desorption nach einer Schüttelmethode Berechnungen zur Festlegung der Zentrifugationsbedingungen |
Anhang V C.18. zur RL 67/548/EWG Anlage 4 |
1. Die Zentrifugationszeit ergibt sich nach der folgenden Formel, wobei kugelförmige Partikel angenommen werden:
(1)
Zur Vereinfachung sind alle Parameter in Nicht-SI-Einheiten beschrieben (g, cm).
Hierin bedeuten:
| ω | = die Drehzahl (=2 π Upm/60), rad s-1 ; |
| Upm | = Umdrehungen pro Minute; |
| η | = Viskosität der Lösung, g s-1cm-1 |
| rp | = Partikelradius, cm; |
| ρs | = Bodendichte, g cm-3 |
| ρaq | = Lösungsdichte, g cm-3 |
| Rt | = Abstand vom Zentrum des Zentrifugenrotors zum oberen Ende der Lösung im Zentrifugenglas, cm; |
| Rb | = Abstand vom Zentrum des Zentrifugenrotors zum unteren Ende des Zentrifugenglases, cm; |
| Rb-Rt | = Länge des Boden-Lösungs-Gemischs im Zentrifugenrohr, cm. |
In der Praxis wird zur Gewährleistung einer vollständigen Trennung üblicherweise das Doppelte der berechneten Zeiten angesetzt.
2. Die Gleichung 1 kann noch weiter vereinfacht werden, wenn man die Viskosität (η ) und die Dichte (ρaq ) der Lösung gleich der Viskosität und der Dichte von Wasser bei 25 °C setzt. Daraus folgt η = 8,95 × 10-3 g s-1 cm-1 und ρaq = 1,0 g.cm-3 .
Daraus ergibt sich die Zentrifugationszeit nach folgender Gleichung (2):
(2)
3. Aus Gleichung 2 wird ersichtlich, daß für die Festlegung der Zentrifugationsbedingungen, d. h. Zeit (t) und Geschwindigkeit (Upm), zwei Parameter von Bedeutung sind, um die Abtrennung von Partikeln mit einer bestimmten Größe zu erreichen (in unserem Fall 0,1 µm Radius): (1) die Dichte des Bodens und (2) die Länge des Gemischs im Zentrifugenglas (Rb -Rt ), d. h. der Abstand, den ein Bodenpartikel vom oberen Ende der Lösung zum unteren Ende des Glases abdeckt; offenkundig hängt bei einem feststehenden Volumen die Länge des Gemischs im Glas vom Quadrat des Radius des Glases ab.
4. In Abb. 1 sind verschiedene Zentrifugationszeiten (t) in Abhängigkeit von der Zentrifugiergeschwindigkeit (Upm) für unterschiedliche Bodendichten (ρs) (Abb. 1a) und unterschiedliche Längen des Gemischs in den Zentrifugengläsern (Abb. 2a) dargestellt. Aus Abb. 1a geht der klare Einfluss der Bodendichte hervor. So beträgt die Zentrifugationszeit bei einer herkömmlichen Zentrifugation von 3 000 Upm für 1,2 g cm3 Bodendichte annähernd 240 min, bei 2,0 g cm3 hingegen nur 50 min. Ebenso läßt sich an Abb. 1b ablesen, dass die Zentrifugationszeit für eine Länge des Gemischs von 10 cm etwa 50 min beträgt, bei einer Länge von 1 cm dagegen nur 7 min. In jedem Fall kommt es darauf an, ein optimales Verhältnis zwischen Zentrifugation, die die kleinstmögliche Länge erfordert, und einer einfachen Handhabung für den Experimentator bei der Abtrennung der Phase nach der Zentrifugation zu finden.
5. Darüber hinaus muss bei der Festlegung der Versuchsbedingungen für die Trennung von Boden/Lösung-Phasen vor allem das mögliche Vorhandensein einer dritten "Pseudophase", der Kolloide, in Betracht gezogen werden. Diese Partikel, deren Größe unter 0,2 µm liegt, können einen erheblichen Einfluss auf den gesamten Adsorptionsmechanismus einer Substanz in einer Bodensuspension ausüben. Wird die Zentrifugation wie vorstehend beschrieben durchgeführt, verbleiben Kolloide in der wässrigen Phase und werden gemeinsam mit der wässrigen Phase analysiert. Dadurch gehen die Informationen über ihren Einfluß verloren.
Verfügt das ausführende Labor über Ultrazentrifugier- oder Ultrafiltriereinrichtungen, könnte die Adsorption/Desorption einer Substanz in Boden eingehender untersucht werden, z.B. die Adsorption der Substanz an den Kolloiden. In diesem Fall sollte eine Ultrazentrifugation von 60.000 Upm/min bzw. eine Ultrafiltration mit einer Filterporosität von 100.000 Dalton zur Anwendung kommen, um die drei Phasen Boden, Kolloide und Lösung zu trennen. Das Testprotokoll sollte ebenfalls entsprechend modifiziert werden, damit alle drei Phasen einer Substanzanalyse unterzogen werden.
Abb. 1a.Variationen der Zentrifugationszeit (t) in Abhängigkeit von der Zentrifugiergeschwindigkeit (Upm) für unterschiedliche Bodendichten (ρs).
Rt = 10 cm, Rb -Rt = 10 cm, η = 8,95 × 10-3 g s-1 cm-1 und ρaq = 1,0 g cm-3 und 25 °C.

Abb. 1b. Variationen der Zentrifugationszeit (t) in Abhängigkeit von der Zentrifugiergeschwindigkeit (Upm) für unterschiedliche Längen des Gemischs im Zentrifugenglas
(Rb -Rt ) = L; Rt = 10 cm, η = 8,95 × 10-3 g s-1 cm-1, ρaq = 1,0 g cm-3 at 25 °C und ρs = 2,0 g cm-3.

| Bestimmung der Ökotoxizität C.18. Adsorption/Desorption nach einer Schüttelmethode Berechnung von Adsorption a (%) und Desorption D (%) |
Anhang V C.18. zur RL 67/548/EWG Anlage 5 |
Die Zeitplanung des Ablaufs sieht wie folgt aus:
Für alle Berechnungen wird angenommen, dass die Testsubstanz stabil ist und nicht signifikant an den Behälterwänden adsorbiert.
Adsorption A (A%)
a) Gesamtbeprobungsmethode
Der Adsorptionsanteil wird für jedes Reagenzglas (i) zu jedem Zeitpunkt (ti ) nach folgender Gleichung berechnet:
| msads(ti) ξ 100 | |||
| At i = | (%) | (1) 1 | |
| m0 |
Die Terme dieser Gleichung lassen sich wie folgt berechnen:
m0= C0 ξ V0 (µg) (2)
msads(ti) = m0 - Caqads(ti) ξ V0 (µg) (3)
Hierin bedeuten:
| Ati = | Adsorptionsanteil (%) zum Zeitpunkt ti ; |
| msads(ti) = | Masse der Testsubstanz an Boden zum Zeitpunkt ti, an dem die Analyse durchgeführt wird (µg); |
| m0 = | Masse Testsubstanz im Reagenzglas zu Beginn des Tests (µg); |
| C0 = | Anfangsmassenkonzentration der Testlösung in Kontakt mit dem Boden (µg cm-3); |
| Caqads(ti) = | Massenkonzentration der Substanz in der wässrigen Phase zur Zeit ti, zu der die Analyse durchgeführt wird (µg cm-3); diese Konzentration wird analytisch unter Berücksichtigung der anhand der Leerproben gewonnenen Werte bestimmt. |
| V0 = | Anfangsvolumen der Testlösung in Kontakt mit dem Boden (cm3). |
Die Werte des Adsorptionsanteils Ati bzw. Caqads (ti) werden grafisch in Abhängigkeit von der Zeit aufgetragen, und die Zeit, nach der das Sorptionsgleichgewicht erreicht ist, wird bestimmt. Beispiele für solche graphischen Darstellungen sind die Abb. 1 und 2.
Abb. 1. Grafische Darstellung eines Adsorptionsgleichgewichts
Abb. 2. Massenkonzentration der Testsubstanz in der wässrigen Phase (Caq ) in Abhängigkeit von der Zeit
b) Aliquotenbeprobungsmethode
Bei den folgenden Gleichungen wird in Rechnung gestellt, dass die Adsorptionsprozedur durch Messungen der Testsubstanz in kleinen Aliquoten der wässrigen Phase in bestimmten Zeitintervallen ausgeführt wird.
Während jedes Zeitintervalls wird die Menge der am Boden adsorbierten Substanz wie folgt berechnet:
(4)
(5)
(6)
(7)
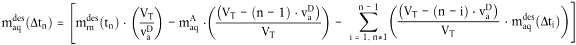
(8) 1
(9) 1
Die Werte der Adsorption Ati bzw. AΔti (in Bezug auf die Anforderungen der Untersuchung) werden grafisch in Abhängigkeit von der Zeit aufgetragen, und die Zeit, nach der das Sorptionsgleichgewicht eingestellt ist, wird bestimmt.
Nach der Gleichgewichtszeit teq:
(10) 1
(11) 1
(12) 1
Die vorstehend verwendeten Parameter werden wie folgt definiert:
| msads(Δt1), msads (Δt2), ..., msads (Δtn) | = Masse der am Boden während der Zeitintervalle Δt1,Δt2, -,Δtn adsorbierten Substanz (µg); |
| mmads (t1), mmads (t2),....., mnads (tn) | = Masse der in einer Aliquote vaA zu den Zeitpunkten t1, t2, ....., tn gemessenen Substanz (µg); |
| msads (eq) | = Masse der am Boden bei Adsorptionsgleichgewicht adsorbierten Substanz (µg); |
| maqads (eq) | = Masse der Substanz in der Lösung bei Adsorptionsgleichgewicht (µg); |
| vaa | = Volumen der Aliquote, in der die Testsubstanz gemessen wird (cm3 ); |
| AΔti | = entsprechender Adsorptionsanteil in einem Zeitintervall Δti (%); |
| Aeq | = Adsorptionsanteil bei Adsorptionsgleichgewicht (%). |
Desorption D (%)
Als die Zeit t0, bei der das Desorptionskinetikexperiment beginnt, gilt der Augenblick, in dem das höchste erhaltene Volumen der Testsubstanzlösung (nach Einstellen des Adsorptionsgleichgewichts) durch ein identisches Volumen 0,01 M CaCl2 -Lösung ersetzt wird.
Zu einem Zeitpunkt ti wird die Masse der Testsubstanz in der wässrigen Phase gemessen, die aus dem Glas i (Vri)abgenommen wurde, und die desorbierte Masse wird nach folgender Gleichung berechnet:
(13)
Bei Desorptionsgleichgewicht ist ti = teq und folglich ist maqads (ti ) = maqads (eq).
Die Masse der während eines Zeitintervalls (Δti) desorbierten Testsubstanz wird durch folgende Gleichung erhalten:
(14)
Die Berechnung des Desorptionsanteils erfolgt:
(15)
(16)
Hierin bedeuten:
| Dti | = Desorptionsanteil zu einem Zeitpunkt ti (%); |
| DΔti | = Desorptionsanteil entsprechend einem Zeitintervall Δti (%); |
| maqdes (ti) | = Masse der zu einem Zeitpunkt ti desorbierten Testsubstanz (µg); |
| maqdes (Δti) | = Masse der während eines Zeitintervalls Dti desorbierten Testsubstanz (µg); |
| mmdes (ti ) | = Masse der zu einem Zeitpunkt ti in einem Lösungsvolumen Vri, analytisch gemessenen Testsubstanz, die zur Analyse abgenommen wird (µg); |
| maqA | = Masse der nach Adsorptionsgleichgewichtseinstellung infolge unvollständigen Volumenaustauschs verbleibenden Testsubstanz (µg); |
(17) |
|
| maqads (eq) | = Masse der Testsubstanz in der Lösung bei Adsorptionsgleichgewicht (µg); |
| VR | = Volumen des nach Erreichen des Adsorptionsgleichgewichts aus dem Glas abgenommenen und durch ein identisches Volumen 0,01 M CaCl2-Lösung ersetzten Überstandes (cm3 ); |
| Vri | = Volumen der im Desorptionskinetikversuch aus dem Glas (i) zur Messung der Testsubstanz abgenommenen Lösung (cm3 ). |
Die Desorptionswerte Dti bzw. DΔti (gemäß den Anforderungen der Untersuchung) werden grafisch in Abhängigkeit von der Zeit aufgetragen, und die Zeit, nach der das Desorptionsgleichgewicht erreicht wird, wird bestimmt.
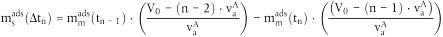
b) Aliquotenbeprobungsmethode
Bei den nachstehenden Gleichungen wird in Rechnung gestellt, dass die zuvor ausgeführte Adsorptionsprozedur mittels Messung der Testsubstanz in kleinen Aliquoten (vaA ) der wässrigen Phase (Aliquotenbeprobungsmethode siehe Abschnitt 1.9 "Durchführung des Tests") ausgeführt wurde. Es wird angenommen, dass a) das Volumen des aus dem Glas nach dem Adsorptionskinetikversuch abgenommenen Überstandes durch ein identisches Volumen 0,01 M CaCl2-Lösung (VR) ersetzt wurde, und daß b) das Gesamtvolumen der wässrigen Phase in Kontakt mit dem Boden (VT) während des Desorptionskinetikversuchs konstant bleibt und nach folgender Gleichung erhalten wird:
(18)
Zu einem Zeitpunkt ti:
(19)
(20)
In einem Zeitintervall (Δti):
Während jedes Zeitintervalls wird die Menge der desorbierten Substanz wie folgt berechnet:
für das erste Zeitintervall Δti = t1-t0
(21)
für das zweite Zeitintervall Δ t2 = t2- t1
![]() |
und |
![]() |
(22) |
für das nte Intervall (Δ tn = tn-tn-1
![]() |
und |
![]() |
(23) |
Abschließend wird der Desorptionsanteil für jedes Zeitintervall, DΔti, nach folgender Gleichung berechnet:
(24)
wobei der Desorptionsanteil Dti zu einem Zeitpunkt ti durch folgende Gleichung erhalten wird:
(25)
Dabei werden die vorstehend eingesetzten Parameter wie folgt definiert:
| msdes (Δt1), msdes (Δt2), ..., msdes (Δtn) | = Masse der nach den Zeitintervallen Δ t1, Δt2, ...,Δtn am Boden adsorbiert bleibenden Substanz (µg); |
| maqdes(Δt1), maqdes (Δt2), ..., maqdes (Δtn) | = Masse der während der Zeitintervalle Δt1, Δt2, ... bzw. Δtn desorbierten Substanz (µg); |
| mmdes(t1), mmdes (t2), ..., mmdes (tn) | = Masse der in einer Aliquote (vaD) zu den Zeitpunkten t1, t2, ... bzw. tn, gemessenen Substanz (µg); |
| VT | = Gesamtvolumen der wässrigen Phase in Kontakt mit dem Boden während des nach der Aliquotenbeprobungsmethode durchgeführten Desorptionskinetikversuchs (cm3); |
| maqA | = Masse der nach Adsorptionsgleichgewichtseinstellung infolge unvollständigen Volumenaustauschs verbliebenen Testsubstanz (µg); |
(26) |
|
| VR | = Volumen des aus dem Glas nach Einstellen des Adsorptionsgleichgewichts abgenommenen und durch das identische Volumen 0,01 M CaCl2-Lösung ersetzten Überstandes (cm3 ); |
| vaD | = Volumen der während des nach der Aliquotenbeprobungsmethode durchgeführten Desorptionskinetikversuchs als Probe zu Analysenzwecken aus dem Glas abgenommenen Aliquote (i) (cm3 );
|
1) Gleichungen sowohl auf die direkte als auch auf die indirekte Methode anwendbar. Alle anderen Gleichungen gelten nur für die indirekte Methode.
| Bestimmung der Ökotoxizität C.18. Adsorption/Desorption nach einer Schüttelmethode Adsorption-Desorption in Böden: Datenberichtsformulare |
Anhang V C.18. zur RL 67/548/EWG Anlage 6 |
Getestete Substanz:
Getesteter Boden:
Trockenmassegehalt des Bodens (105 °C, 12 h) (%):
Temperatur (°C):
| Eignung der Analysenmethode | |
| Bodeneinwaage | g |
| Boden: Trockenmasse | g |
| Volumen CaCl2 -Lösung | cm3 |
| Nennkonzentration fertige Lösung | µg cm-3 |
| Analysenkonzentration fertige Lösung | µg cm-3 |
Prinzip der zugrunde liegenden Analysenmethode:
Kalibrierung der Analysenmethode:
Getestete Substanz:
Getesteter Boden:
Trockenmassegehalt des Bodens (105 °C, 12 h) (%):
Temperatur (°C):
| Zugrundeliegende Analysenmethodik: | Indirekt [ ] | Gesamt [ ] | Aliquoten [ ] |
| Direkt [ ] |
| Adsorptionstest: Testproben | ||||||||||
| Symbol | Einheiten | Gleichgewichtsein- stellungszeit |
Gleichgewichtsein- stellungszeit |
Gleichgewichtsein- stellungszeit |
Gleichgewichtsein- stellungszeit |
|||||
| Glas Nr. | g | |||||||||
| Bodeneinwaage | - | g | ||||||||
| Boden: Trockenmasse | mBoden | g | ||||||||
| Wasservolumen in Boden- einwaage (rechnerisch) |
VWS | cm3 | ||||||||
| Volumen 0,01 M CaCl2-Lösung zur Gleichgewichtseinstellung des Bodens |
cm3 | |||||||||
| Volumen Vorratslösung | cm3 | |||||||||
| Gesamtvolumen wässrisge Phase in Kontakt mit Boden |
V0 | cm3 | ||||||||
| Anfangskonzentration Testlösung | C0 | µg cm-3 | ||||||||
| Masse Testsubstanz bei Beginn des Tests |
m0 | µg | ||||||||
| Nach Schütteln und Zentrifugieren | ||||||||||
| Indirekte Methode | ||||||||||
| Gesamtbeprobungsmethode | ||||||||||
| Konzentration Testsubstanz wässrige Phase, Leer-korrektur berücksichtigt | Caqads (ti) | µg cm-3 | ||||||||
| Aliquotenbeprobungsmethode | ||||||||||
| Gemessene Masse Testsubstanz in der Aliquote VaA | maqads (ti) | µg | ||||||||
| Direktmethode | ||||||||||
| Masse der an Boden adsorbierten Testsubstanz | msads (ti) | µg | ||||||||
| Adsorptionsberechnung | ||||||||||
| Adsorption | Ati | % | ||||||||
| AΔti | % | |||||||||
| Mittel | ||||||||||
| Adsorptionskoeffizient | Kd | cm3 g-1 | ||||||||
| Mittel | ||||||||||
| Adsorptionskoeffizient | Koc | c m3 g-1 | ||||||||
| Mittel | ||||||||||
Getestete Substanz:
Getesteter Boden:
Trockenmassegehalt des Bodens (105 °C, 12 h) (%):
Temperatur (°C):
| Adsorptionstest: Leer- und Kontrollwerte | ||||||||
| Symbol | Einheiten | Leerwert | Leerwert | Kontrollwert | ||||
| Glas Nr. | ||||||||
| Bodeneinwaage | g | 0 | 0 | |||||
| Wassermenge in Bodeneinwaage (rechnerisch) | cm3 | - | - | |||||
| Volumen zugesetzter 0,01 M CaCl2 -Lösung | cm3 | |||||||
| Volumen der zugesetzten Vorratslösung der Testsubstanz | cm3 | 0 | 0 | |||||
| Gesamtvolumen wässriger Phase (rechnerisch) | cm3 | - | - | |||||
| Anfangskonzentration der Testsubstanz in wässriger Phase | µg cm-3 | |||||||
| Nach Schütteln und Zentrifugieren | ||||||||
| Konzentration in wässriger Phase | µg cm-3 | |||||||
Hinweis: Falls erforderlich, können weitere Spalten angefügt werden.
Getestete Substanz:
Getesteter Boden:
Trockenmassegehalt des Bodens (105 °C, 12 h) (%):
Temperatur (°C):
| Massenbilanz | ||
| Symbol | Einheiten | |
| Glas Nr. | ||
| Bodeneinwaage | - | g |
| Boden: Trockenmasse | mBoden | g |
| Wasservolumen in Bodenein-waage (rechnerisch) | VWS | ml |
| Volumen 0,01 M CaCl2- Lösung zur Gleichge-wichtseinstellung des Bodens | ml | |
| Volumen der Vorratslösung | cm3 | |
| Gesamtvolumen wässrige Phase in Kontakt mit Boden | V0 | cm3 |
| Anfangskonzentration der Testlösung | C0 | µg cm-3 |
| Gleichgewichtseinstellungszeit | - | h |
| Nach Schütteln und Zentrifugieren | ||
| Testsubstanz wässrige Phase bei Adsorptionsgleichgewicht, Leerkorrektur berücksichtigt | Caqads(eq) | µg cm-3 |
| Gleichgewichtseinstellungszeit | teq | h |
| Erste Verdünnung mit Lösungsmittel | ||
| Abgenommenes Volumen wässrige Phase | Vrec | cm3 |
| Zugesetztes Volumen Lösungs- mittel | ΔV | cm3 |
| Erste Extraktion mit Lösungsmittel | ||
| Signalanalysiert in Lösungsmittel | SEl | var. |
| Konzentration Testsubstanz in Lösungsmittel | CE1 | µg cm-3 |
| Masse der aus Boden und von Gefäßwänden extrahierten Substanz | mE1 | µg |
| Zweite Verdünnung mit Lösungsmittel | ||
| Abgenommenes Volumen Lösungsmittel | Δ Vs | cm3 |
| Zugesetztes Volumen Lösungs- mittel | Δ V' | cm3 |
| Zweite Extraktion mit Lösungsmittel | ||
| Signal analysiert in Lösungs- mittelphase | SE2 | var. |
| Konzentration Testsubstanz in Lösungsmittel | CE2 | µg cm-3 |
| Masse der aus Boden und von Gefäßwänden extrahierten Substanz | mE2 | µg |
| Gesamtmasse Testsubstanz extrahiert in zwei Schritten | mE | µg |
| Massenbilanz | MB | % |
Getestete Substanz:
Getesteter Boden:
Trockenmassegehalt des Bodens (105 °C, 12 h) (%):
Temperatur (°C):
| Adsorptionsisothermen | ||
| Symbol | Einheiten | |
| Glas Nr. | ||
| Bodeneinwaage | - | g |
| Boden: Trockenmasse | E | g |
| Wasservolumen in Bodeneinwaage (rechnerisch) | VWS | cm3 |
| Volumen 0,01 M CaCl2 -Lösung zur Gleichgewichtseinstellung des Bodens | cm3 | |
| Volumen zugesetzter Vor-ratslösung | cm3 | |
| Gesamtvolumen wässrige Phase in Kontakt mit Boden (rechnerisch) | V0 | cm3 |
| Konzentration Lösung | C0 | µg cm-3 |
| Gleichgewichtseinstellungszeit | - | h |
| Nach Schütteln und Zentrifugieren | ||
| Konzentration Substanz wässrige Phase, Leerkorrektur berücksichtigt | Caqads (eq) | µg cm-3 |
| Temperatur | °C | |
| Adsorbierte Masse je Einheit Boden | Csads(eq) | µg g-1 |
Regressionsanalyse:
Wert von: KFads :
Wert von l/n:
Regressionskoeffizient r2 :
Getestete Substanz:
Getesteter Boden:
Trockenmassegehalt des Bodens (105 °C, 12 h) (%):
Temperatur (°C):
| Zugrunde liegende Analysenmethodik: | Indirekt - | Gesamt - | Aliquoten - |
| Desorptionstest | |||||||||
| Symbol | Einheiten | Zeitintervall | Zeitintervall | Zeitintervall | Zeitinterval | ||||
| Glas Nr. aus dem Adsorptions-schritt | |||||||||
| Masse von an Boden bei Adsorptionsgleichgewicht adsorbierter Substanz | msads(eq) | µg | |||||||
| Abgenommenes Volumen wässrige Phase, ersetzt durch 0,01 M CaCl2 | VR | cm3 | |||||||
|
V0 | cm3 | |||||||
| VT | cm3 | ||||||||
| Masse der nach Adsorptions-gleichgewichtseinstellung infolge unvollständigen Volumenaustauschs verbliebenen Testsubstanz | maqA | µg | |||||||
| Desorptionskinetik | |||||||||
| Gemessene Masse von aus Boden zur Zeit ti desorbierter Substanz | mmdes (ti) | µg | |||||||
|
V ri | cm3 | |||||||
| V aD | cm3 | ||||||||
| Masse der aus Boden zur Zeit ti desorbierten Substanz (rechnerisch) | maqdes (ti) | µg | |||||||
| Masse der aus Boden im Zeitintervall Δti desorbierten Substanz (rechnerisch) | maqdes (Δti) | µg | |||||||
| Desorptionsanteil | |||||||||
| Desorption zur Zeit ti | Dti | % | |||||||
| Desorption im Zeitintervall Δ ti | DΔti | % | |||||||
| Scheindesorptionskoeffizient | Kdes | ||||||||
GM: Gesamtbeprobungsmethode
AM: Aliquotenbeprobungsmethode
![]() |
weiter . | ![]() |
(Stand: 04.08.2022)
Alle vollständigen Texte in der aktuellen Fassung im Jahresabonnement
Nutzungsgebühr: ab 105.- € netto
(derzeit ca. 7200 Titel s.Übersicht - keine Unterteilung in Fachbereiche)
Die Zugangskennung wird kurzfristig übermittelt
? Fragen ?
Abonnentenzugang/Volltextversion