![]() |
zurück | ![]() |
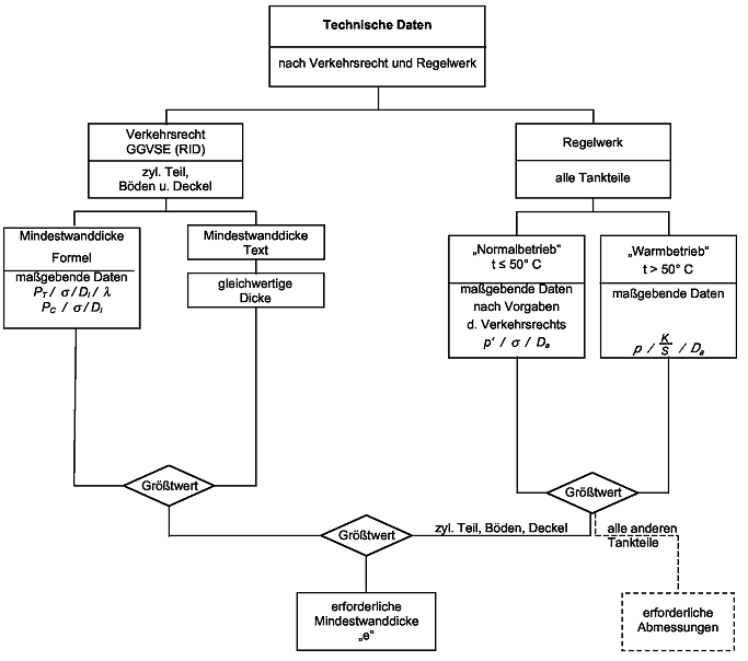
| Tankcontainer bzw. ortsbewegliche Tanks Berechnung der Mindestwanddicke (schematisch) |
Anhang 4 zur Anlage 14RSE |

| Tankfahrzeuge/Aufsetztanks/Batteriefahrzeuge Berechnung der Mindestwanddicke (schematisch) |
Anhang 5 zur Anlage 14RSE |

| Kesselwagen/Batteriewagen Berechnung der Mindestwanddicke (schematisch) |
Anhang 6 zur Anlage 14RSE |

| Verzeichnis der Abkürzungen für die Berechnung der Mindestwanddicke nach den Anhängen 4 bis 6 | Anhang 7 zur Anlage 14RSE |
| e = | Mindestwanddicke (Zylinder, Böden, Deckel) |
| e0= | Mindestwanddicke bei Baustahl |
| e1 = | gleichwertige Dicke bei Verwendung eines anderen Metalls |
| Da= | äußerer Tankdurchmesser |
| Di = | innerer Tankdurchmesser |
| Pf = | fiktiver Berechnungsdruck |
| p' = | Prüfdruck |
| p = | Betriebsdruck |
| K = | Festigkeitskennwerte bei Betriebstemperatur nach Regelwerk/Werkstoffnorm |
| Ra = | garantierte Streckengrenze bei Raumtemperatur (bei austenitischen Stählen die 1 % Dehngrenze) |
| Rm1 = | Mindestzugfestigkeit des verwendeten Metalls |
| A1 = | Mindestbruchdehnung (quer) des verwendeten Metalls |
| S = | Sicherheitsbeiwert nach Regelwerk |
| λ = | Schweißnahtfaktor |
| σ = | zulässige Spannung |
| t = | Betriebstemperatur in °C |
| Prüfliste für die Prüfung von Fahrzeugen nach den Vorschriften des ADR zur Ausstellung/Verlängerung der ADR-Zulassungsbescheinigung | Anlage 15 RSE 05 |
| Fahrzeugbezeichnung | Fundstelle | Prüfungsumfang | |||||||
| EX/II | EX/III | AT | FL | OX | Ausstellung | Verlängerung | |||
| 1. | Ausrüstung | ||||||||
| 1.1 | Hinterer Anfahrschutz | x | x | x | 9.7.6 | Erfordernis, Ausführung, Wirksamkeit, | Erfordernis, Zustand | ||
| 1.2 | Verhütung von Feuergefahren | ||||||||
| - Motor | x | x | x | x | 9.2.4.4; 9.3.5 |
Erfordernis, Ausführung, Wirksamkeit, | Erfordernis, Zustand | ||
| - Auspuffanlage | x | x | x | 9.2.4.5; 9.3.6 |
Erfordernis, Wirksamkeit, Ausführung | Erfordernis, Zustand | |||
| - Kraftstoffbehälter | x | x | x | x | 9.2.4.3 | Erfordernis, Wirksamkeit, Ausführung | Erfordernis, Zustand | ||
| - Dauerbremse (Abdeckung) | x | x | x | x | 9.2.4.6 | Erfordernis, Wirksamkeit, Ausführung | Erfordernis, Zustand | ||
| - Verbrennungsheizgeräte | x | x | x | x | x | 9.2.4.7.1, 9.2.4.7.2; 9.2.4.7.5; |
Einbau/Funktionsprüfung | Zustand | |
| x | 9.2.4.7.3 9.2.4.7.4 |
Funktionsprüfung, Kontrolle Herstellernachweis | Zustand | ||||||
| x | x | 9.2.4.7.6 | Einbau/Funktionsprüfung | Zustand | |||||
| - Verbrennungsheizgeräte Laderaum | x | x | x | 9.7.7 | Einbau/Funktionsprüfung | Zustand | |||
| x | x | 9.3.2 | Einbau/Funktionsprüfung | Zustand | |||||
| Fahrerhaus/Werkstoffe/Wärmeschild | x | 9.2.4.2 | Kontrolle Herstellernachweis | Plausibilität | |||||
| 2. | Bremsanlage | x | x | x | x | x | 9.2.3.1 | Erfordernis, Ausführung | Zustand |
| 2.1 | - Automatischer Blockierverhinderer | x | x | x | x | Erfordernis, Ausführung | Zustand | ||
| 2.2 | - Dauerbremse | x | x | x | x | Erfordernis, Ausführung und Kontrolle Herstellernachweis | ggf. Wirkungsprüfung | ||
| 2.3 | -Abreißbremse Anhänger | x | 9.2.3.2.1 | Ausführung, Wirksamkeit | Zustand | ||||
| 2.3 | -Abreißbremse Anhänger | x | 9.2.3.2.2 | Ausführung, Wirksamkeit | Zustand | ||||
| 3. | Geschwindigkeitsbegrenzer | x | x | x | x | x | 9.2.5 | Nachweis | Zustand |
| 4. | Elektrische Ausrüstung | ||||||||
| 4.1 | - Leitungen (mechanischer und thermischer Schutz) | x | x | x | x | 9.2.2.2.1; 9.2.2.2.2 |
Ausführung, Wirksamkeit | Zustand | |
| 4.2 | - Batterietrennschalter | x | x | 9.2.2.3.1; 9.2.2.3.2; 9.2.2.3.4 |
Erfordernis, Ausführung, Wirksamkeit | Zustand, Funktion | |||
| 4.3 | -Gehäuse Batterietrennschalter | x | 9.2.2.3.3 | Kontrolle Herstellernachweis | Zustand | ||||
| 4.4 | - Batterien | x | x | x | 9.2.2.4 | Ausführung | Zustand | ||
| 4.5 | - Dauerstromkreise | x | 9.2.2.5.1; 9.7.8.3 |
Erfordernis, Ausführung, Kontrolle Nachweise, | Zustand | ||||
| 4.6 | - Dauerstromkreise | x | 9.2.2.5.2 | Erfordernis, Ausführung, Wirksamkeit | Zustand | ||||
| 4.7 | - elektrische Anlage
hinter Fahrerhaus |
x | x
x |
9.2.2.6; 9.7.8.2 |
Erfordernis, Ausführung, ggf. Kontrolle Nachweise, | Zustand | |||
| 4.8 | - Elektrische Einrichtung | x | x | 9.3.7.1; 9.3.7.2; 9.3.7.3 |
Erfordernis, Ausführung, ggf. Kontrolle Nachweise, | Zustand | |||
| 5. | Verbindungseinrichtung des Anhängers | x | x | 9.2.6 | Anbau, Kontrolle Nachweis | Zustand | |||
| 6. | Tank | ||||||||
| 6.1 | Tankprüfbescheinigung | x | x | x | 9.7.2; 6.8.2.4.5; 6.8.3.4.16 | Prüfung, Kontrolle, Übernahme in Zulassungsbescheinigung | Kontrolle | ||
| 6.2 | - Betreiberangaben | x | x | x | 9.7.2; | Identität, Vollständigkeit | Identität,
Vollständigkeit |
||
| 6.3 | - Angaben auf Tankschild | x | x | x | 9.7.2 | Identität, Vollständigkeit | Identität,
Vollständigkeit |
||
| 6.4 | - Tankwandung | x | x | x | 9.1.2.1; 9.1.3.4; 9.7.2 |
äußerer Zustand | äußerer Zustand | ||
| 6.5 | - Tankausrüstung | x | x | x | 9.1.2.1; 9.1.3.4; 9.7.2 |
äußerer Zustand | äußerer Zustand | ||
| 6.6 | - Tankbefestigung | x | x | x | 9.7.3 | Wirksamkeit, Ausführung | äußerer Zustand | ||
| 6.7 | - Erdung von Tanks und Symbol | X) | x | 9.7.4; 6.8.2.1.27 | Wirksamkeit, Ausführung | äußerer Zustand | |||
| 6.8 | - Stabilität | x | x | x | 9.7.5.1 | Berechnung | -------- | ||
| 6.9 | - Kippstabilität | x | x | x | 9.7.5.2 | Erfordernis, Kontrolle Nachweise, | -------- | ||
| 7 | Fahrzeugaufbau | x | x | 9.3.3; 9.3.4.1; 9.3.4.2 | Erfordernis, Ausführung | Zustand | |||
*) Fahrzeuge "AT", die auch UN 1202 DIESELKRAFTSTOFF, der Norm EN 590:2004 entsprechend, oder GASÖL oder
HEIZÖL, LEICHT mit einem Flammpunkt gemäß EN 590:2004 befördern dürfen, müssen mit Erdungsanschluss und Symbol versehen sein. Das gilt auch für die Beförderung von UN 1361 KOHLE oder RUSS der Verpackungsgruppe II.
Erfordernis: Feststellung anhand der Vorschriftentexte, ob diese auf das Fahrzeug zutreffen Ausführung: Feststellung, ob das Bauteil den Anforderungen genügt Wirksamkeit: Prüfung des Anbaues, ggf. erforderliche Messungen
| Anleitung zum Ausfüllen der ADR-Zulassungsbescheinigung | Anlage 16 08 |
Die einzelnen nummerierten Felder der ADR-Zulassungsbescheinigung sind wie folgt auszufüllen:
1 Bescheinigung Nr.:
Eine Nummer, die von der Ausgabestelle festzulegen ist.
2 Fahrzeughersteller:
Die Angabe ist dem Fahrzeugschein, Fahrzeugbrief, der Übereinstimmungsbescheinigung (COC) oder dem Gutachten nach § 21 StVZO zu entnehmen.
3 Fahrzeug-Ident.-Nr.:
Die Angabe ist dem Fahrzeugschein, Fahrzeugbrief, der Übereinstimmungsbescheinigung (COC) oder dem Gutachten nach § 21 StVZO zu entnehmen.
4 Amtl. Kennzeichen:
Die Angabe ist dem Fahrzeugschein zu entnehmen. Wenn das Fahrzeug nicht zugelassen ist, wird dieses Feld zunächst offen gelassen. Es soll bei der Zulassung des Fahrzeugs von der Zulassungsbehörde nachgetragen werden. Sofern bei einer wiederkehrenden Prüfung das amtliche Kennzeichen noch nicht eingetragen ist, muss es spätestens bei der Verlängerung der Gültigkeit nachgetragen werden.
5 Name und Betriebssitz des Betreibers, Beförderers (Halters) oder Eigentümers:
Die Angaben (Halter und Anschrift) sind dem Fahrzeugschein zu entnehmen. Wenn das Fahrzeug nicht zugelassen ist, müssen die Angaben zum zukünftigen Eigentümer, Betreiber (Halter), oder Beförderer eingetragen werden.
Sind diese Angaben nicht bekannt, muss die ADR-Zulassungsbescheinigung deutlich mit dem Begriff "ENTWURF" gekennzeichnet werden. In diesem Fall dürfen der Stempel der Ausgabestelle und die Unterschrift nicht angebracht werden.
6 Beschreibung des Fahrzeugs
Entsprechend der Fußnote 1 der ADR-Zulassungsbescheinigung sind für die Fahrzeugbeschreibung die Begriffe gemäß Anlage 7 der Gesamtresolution über die Konstruktion von Fahrzeugen (R.E.3) oder der Richtlinie 97/27/EG zu verwenden. Diese Begriffe sind im Einzelnen:
| Zulässiges Gesamtgewicht zGg | Kraftfahrzeuge der Klasse N | |
| Bezeichnungen nach R.E.3 |
Bezeichnungen nach Richtlinie 97/27/EG |
|
| zGg< 3.5t | Kraftfahrzeuge der Klasse N1 | Lastkraftwagen N1, Zugmaschine N1, Sattelzugmaschine N1, |
| 3.5t < zGg< 12t | Klasse N2 | Lastkraftwagen N2, Zugmaschine N2, Sattelzugmaschine N2 |
| zGg > 12t | Klasse N3 | Lastkraftwagen N3, Zugmaschine N3, Sattelzugmaschine N3 |
| Zulässiges Gesamtgewicht zGg | Anhängefahrzeuge |
| zGg< 0.75t | Anhänger mit schwenkbarer Zugeinrichtung O, |
| Sattelanhänger O1 | |
| Zentralachsanhänger O1 | |
| 0.75t < zGg< 3.5t | Anhänger mit schwenkbarer Zugeinrichtung O2 |
| Sattelanhänger O2 | |
| Zentralachsanhänger O2 | |
| 3.5t < zGg< 10t | Anhänger mit schwenkbarer Zugeinrichtung O3 |
| Sattelanhänger O3 | |
| Zentralachsanhänger O3 | |
| zGg > 10t | Anhänger mit schwenkbarer Zugeinrichtung O4 |
| Sattelanhänger O4 | |
| Zentralachsanhänger O4 |
Nach Unterabschnitt 9.1.3.3 muss die ADR-Zulassungsbescheinigung für ein Saug-Druck-Tankfahrzeug für Abfälle zusätzlich folgenden Vermerk tragen: "Saug-Druck-Tankfahrzeug für Abfälle".
7 Fahrzeugbezeichnung(en) gemäß 9.1.1.2 des ADR:
Um unbefugte Änderungen der Angaben in der ADR-Zulassungsbescheinigung zu verhindern, sind in allen Fällen die gesamten Fahrzeugbezeichnungen aufzuführen und nicht Zutreffendes ist zu streichen. Es können mehrere Fahrzeugbezeichnungen für ein Fahrzeug möglich sein (z.B. wird bei FL auch immer AT zutreffen).
Die Angaben der Fahrzeugbeschreibung müssen mit den Angaben zur elektrischen Ausrüstung des Tanks übereinstimmen. Die Angabe richtet sich nach dem Fahrzeugtyp mit den geringeren Anforderungen.
8 Dauerbremsanlage:
"nicht zutreffend" ist anzukreuzen, in den ADR-Zulassungsbescheinigungen von Fahrzeugen, für die die Vorschriften zur Ausrüstung mit Dauerbremsanlagen nach Unterabschnitt 9.2.3.1 i. V. m. Nr. 2.5 der Anlage 2 zur GGVSE nicht anzuwenden sind wegen des Erstzulassungsdatums, wegen ihres geringen zul. Gesamtgewichts oder ihrer geringen Anhängelast in Übereinstimmung mit der Bemerkung c) unter Unterabschnitt 9.2.3.1 in der Tabelle in Abschnitt 9.2.1 unter Beachtung der Übergangsregelung in Bemerkung g) derselben Tabelle.
In den anderen Fällen ist die zweite Zeile der Nr. 8 anzukreuzen, und die zulässige Zulassungs-/Betriebsmasse (Definition siehe Richtlinie 97/27/EG) des Fahrzeugs bzw. der Fahrzeugkombination einzutragen.
Die Fußnote 4 ist in Deutschland nicht von Bedeutung. In einigen Staaten sind jedoch höhere Zulassungs-/Betriebsmassen als 44 t zulässig. In diesen Fällen wird jedoch nach Unterabschnitt 9.2.3.1 eine Dauerbremsleistung als hinreichend angesehen, die für ein Zuggesamtgewicht von 44 t ausreicht, auch wenn die Zulassungs-/Betriebsmasse der Fahrzeugkombination höher ist als 44 t.
9 Beschreibung des festverbundenen Tanks:
Die Angaben können der Baumusterzulassung, dem Prüfbericht über die letzte Tankprüfung (vgl. 9-1.1.1) bzw. dem Tankschild entnommen werden. Die Angaben zu 9.1 bis 9.6 sind in jedem Fall zwingend anzugeben die Angabe der TC und TE unter 9.6 jedoch nicht, wenn die zugelassenen Stoffe unter 10.2 aufgeführt sind." (Hinweis: Änderung erfolgt in Anpassung an die 18. ADR-Änderungsverordnung.)
10 Zur Beförderung zugelassene gefährliche Güter:
Für andere als EX/II- und EX/III-Fahrzeuge und Fahrzeuge mit festverbundenem Tank oder Batterie-Fahrzeuge sind unter 10 keine Eintragungen zu machen. Diese Fahrzeuge (z.B. Sattelzugmaschinen) dürfen für die Beförderung der Güter entsprechend der Fahrzeugbezeichnung in Nr. 7 verwendet werden.
10.1 Gemäß Unterabschnitt 9.3.7.3 muss die elektrische Anlage in Laderäumen von EX/II- und EX/III-Fahrzeugen, die zur Beförderung von explosiven Stoffen der Verträglichkeitsgruppe J bestimmt sind, der Schutzart IP 65 entsprechen.
10.2 Für Tankfahrzeuge und Batterie-Fahrzeuge ist eines von zwei Verfahren zu wählen:
entweder es wird auf die Tankcodierung in Nr. 9.5 und die Sondervorschriften in Nr. 9.6 Bezug genommen
oder
die Stoffe sind unter Angabe der Klasse, der UN-Nummer und, falls erforderlich, der Verpackungsgruppe und der offiziellen Benennung aufzulisten.
11 Bemerkungen:
Platz für Bemerkungen: z.B. kann das Datum der nächsten fälligen Tankuntersuchung, oder können ggf. Übergangsvorschriften oder Nebenbestimmungen aus der Baumusterzulassung hier eingetragen werden. Bei der Erstausstellung hat der Sachverständige das Vorliegen der Voraussetzungen des § 7 Abs. 1 Satz 2 Nr. 2 und 3 zu bestätigen. Bei vorhandenen Zulassungsbescheinigungen ist dies im Rahmen der nächsten wiederkehrenden Prüfung nachzutragen.
12 Gültig bis:
Die Gültigkeit ist mit Tagesdatum anzugeben sowie Ort und Datum der Ausstellung. Die ADR-Zulassungsbescheinigung ist von der Ausgabestelle abzustempeln und zu unterzeichnen.
13 Verlängerung der Gültigkeit:
Die Gültigkeit ist mit Tagesdatum anzugeben. Die Verlängerung der Gültigkeitsdauer erfolgt für 1 Jahr, wird jedoch innerhalb dieses Jahres eine Tankuntersuchung fällig, so ist die Gültigkeitsdauer auf den letzten Tag des Monats zu befristen, in dem die Tankprüfung fällig ist. Die Gültigkeit kann auch durch Ablaufen einer Übergangsvorschrift begrenzt sein.
![]() |
weiter . | ![]() |
(Stand: 29.08.2018)
Alle vollständigen Texte in der aktuellen Fassung im Jahresabonnement
Nutzungsgebühr: ab 105.- € netto
(derzeit ca. 7200 Titel s.Übersicht - keine Unterteilung in Fachbereiche)
Die Zugangskennung wird kurzfristig übermittelt
? Fragen ?
Abonnentenzugang/Volltextversion