umwelt-online: Archivdatei - BinSchUO 2008 - Binnenschiffsuntersuchungsordnung - Anhang X
![]() |
zurück | ![]() |
Dienstanweisung Nr. 1
Berechnungsgrundlagen für Hochseilanlagen der Gierfähren auf Wasserstraßen
zu Anhang X § 3.04
1 Anwendungsbereich
Die Berechnungsgrundlagen gelten für die Bemessung und Konstruktion der Hochseilanlagen der Gierfähren. Dies umfasst Gierseile und Gierketten, Rollenbatterien, Trag-(Fähr-) und Abspannseile, Maste einschließlich deren Gründung sowie die Verankerungsblöcke der Abspannseile.
2 Normative Verweisungen
Diese Richtlinie enthält durch datierte oder undatierte Verweisungen Festlegungen aus anderen Publikationen. Diese Publikationen sind an den jeweiligen Stellen im Text zitiert und nachstehend aufgeführt. Bei datierten Verweisungen gehören spätere Änderungen oder Überarbeitungen nur zu dieser Richtlinie, falls sie durch Änderung oder Überarbeitung eingearbeitet sind. Bei undatierten Verweisungen gilt die jeweils aktuelle Ausgabe der in Bezug genommenen Publikation.
| DIN EN 818-1:1996-08: | Kurzgliedrige Rundstahlketten für Hebezwecke - Sicherheit - Teil 1: Allgemeine Abnahmebedingungen |
| DIN EN 818-3:1999-07: | Kurzgliedrige Rundstahlketten für Hebezwecke - Sicherheit - Teil 3: Mitteltolerierte Rundstahlketten für Anschlagketten; Güteklasse 4 |
| DIN 1045-1:2001-07: | Tragwerke aus Beton, Stahlbeton und Spannbeton - Teil 1: Bemessung und Konstruktion |
| DIN 1054:2005-01: | Baugrund - Sicherheitsnachweise im Erd- und Grundbau |
| DIN 1055-1:2002-06: | Einwirkungen auf Tragwerke - Teil 1: Wichten und Flächenlasten von Baustoffen, Bauteilen und Lagerstoffen |
| DIN 1055-4:2005-03: | Einwirkungen auf Tragwerke - Teil 4: Windlasten |
| DIN 1055-5:2005-07: | Einwirkungen auf Tragwerke - Teil 5: Schnee- und Eislasten |
| DIN EN 1990:2002-10: | Eurocode: Grundlagen der Tragwerksplanung |
| DIN V ENV 1993-3-1:2002-05: | Eurocode 3: Bemessung und Konstruktion von Stahlbauten - Teil 3 -1: Türme, Maste und Schornsteine - Türme und Maste |
| DIN 3091:1988-12: | Kauschen; Vollkauschen für Drahtseile |
| DIN EN 10083-1:2006-10: | Vergütungsstähle - Teil 1: Allgemeine technische Lieferbedingungen |
| DIN EN 10083-3:2007-01: | Vergütungsstähle - Teil 3: Technische Lieferbedingungen für legierte Stähle |
| DIN EN 10204:2005-01: | Metallische Erzeugnisse - Arten von Prüfbescheinigungen |
| DIN EN 10264-1:2002-06: | Stahldraht und Drahterzeugnisse - Stahldraht für Seile - Teil 1: Allgemeine Anforderungen |
| DIN EN 10264-2:2002-06: | Stahldraht und Drahterzeugnisse - Stahldraht für Seile - Teil 2: Kaltgezogener Draht aus unlegiertem Stahl für Seile für allgemeine Verwendungszwecke |
| DIN EN 10264-3:2003-02: | Stahldraht und Drahterzeugnisse - Stahldraht für Seile - Teil 3: Runder und profilierter Draht aus unlegiertem Stahl für hohe Beanspruchungen |
| DIN EN 10293:2005-06: | Stahlguss für allgemeine Anwendungen |
| DIN EN 12385-1:2003-03: | Drahtseile aus Stahldraht - Sicherheit - Teil 1: Allgemeine Anforderungen |
| DIN EN 12385-2:2003-04: | Stahldrahtseile - Sicherheit - Teil 2: Begriffe, Bezeichnung und Klassifizierung |
| DIN EN 12385-3:2004-12: | Drahtseile aus Stahldraht - Sicherheit - Teil 3: Informationen für Gebrauch und Instandhaltung |
| DIN EN 12385-4:2003-03: | Drahtseile aus Stahldraht - Sicherheit - Teil 4: Litzenseile für allgemeine Hebezwecke |
| DIN EN 12385-8:2003-03: | Drahtseile aus Stahldraht - Sicherheit - Teil 8: Zug- und Zug-Trag-Litzenseile für Seilbahnen zum Transport von Personen |
| DIN EN 12385-9:2003-03: | Drahtseile aus Stahldraht - Sicherheit - Teil 9: Verschlossene Spiraltragseile für Seilbahnen zum Transport von Personen |
| DIN EN 12385-10:2004-03: | Drahtseile aus Stahldraht - Sicherheit - Teil 10: Spiralseile für den allgemeinen Baubereich |
| DIN EN 13411-1:2002-05: | Endverbindungen für Drahtseile aus Stahldraht - Sicherheit - Teil 1: Kauschen für Anschlagseile aus Drahtseilen |
| DIN EN 13411-2:2002-04: | Endverbindungen für Drahtseile aus Stahldraht - Sicherheit - Teil 2: Spleißen von Seilschlaufen für Anschlagseile |
| DIN EN 13411-3:2004-09: | Endverbindungen für Drahtseile aus Stahldraht - Sicherheit - Teil 3: Pressklemmen und Verpressen |
| DIN EN 13411-4:2002-05: | Endverbindungen für Drahtseile aus Stahldraht - Sicherheit - Teil 4: Vergießen mit Metall oder Kunstharz |
| DIN EN 13411-5:2003-09: | Endverbindungen für Drahtseile aus Stahldraht - Sicherheit - Teil 5: Drahtseilklemmen mit U-förmigem Klemmbügel |
| DIN EN 14330:2004-02: | Fahrzeuge der Binnenschifffahrt - Steglose Ankerkette - Rundstahlkette |
| DIN 18800-1:1990-11: | Stahlbauten; Bemessung und Konstruktion |
| DIN 18800-2:1990-11: | Stahlbauten; Stabilitätsfälle; Knicken von Stäben und Stabwerken |
| DIN 18800-3:1990-11: | Stahlbauten; Stabilitätsfälle; Plattenbeulen |
| DIN 18800-7:2002-09: | Stahlbauten; Ausführung und Herstellerqualifikation |
| SEW 520:1996-09: | Hochfester Stahlguss mit guter Schweißeignung - Technische Lieferbedingungen |
| Z-30.3-6: | Erzeugnisse, Verbindungsmittel und Bauteile aus nichtrostenden Stählen |
3 Begriffe
3.1 Abspannseil
Seil zur Rückverankerung der Maste im Baugrund.
3.2 Anstellwinkel
Winkel zwischen Fährlängsachse und Strömung (Gierwinkel)
3.3 Gierseile
Seilverbindung zwischen Fähre und auf dem Tragseil laufender Rollenbatterie. Gierseile sind im Regelfall Seile, sie dürfen auch ganz oder teilweise aus kurzgliedrigen Rundstahlketten ("Gierketten") bestehen.
3.4 Gierseilwinkel
Winkel zwischen der Verbindung der Endpunkte des Gierseils und der Horizontalebene.
3.5 Hochseilanlage
Gesamte bauliche Anlage, bestehend aus Gierseilen- oder -ketten, Rollenbatterien, Tragseil, Abspannseile, Masten einschließlich deren Gründungen sowie der Verankerungsblöcke der Abspannseile.
3.6 Tragseil
Das die Wasserstraße kreuzende Seil, auf dem die Tragrollen laufen.
3.7 Verkehrsband
Für die Ermittlung der Einwirkungen aus Windkräften anzusetzendes Raumprofil der zu befördernden Fahrzeuge und Personen.
3.8 Rollenbatterie
Auf dem Tragseil laufender Wagen, bestehend aus zwei oder mehr Tragrollen.
4 Bautechnische Unterlagen
Bezüglich der Bautechnischen Unterlagen gelten die Regelungen der Fachnormen DIN 18800-1, DIN 1052, DIN 1045-1 und DIN 1054.
5 Werkstoffe
5.1 Werkstoffe für Seile und deren Endverankerungen
5.1.1 Drähte und Seile
Für Drähte von Seilen sind korrosionsgeschützte Drähte aus Stählen nach den Normen der Reihe DIN EN 10264 unter Berücksichtigung der Normen der Reihe DIN EN 12385 zu verwenden. Die maximale zulässige Nennzugfestigkeit der Drähte beträgt 1.770 N/mm2.
5.1.2 Verankerung durch Pressklemmen
Für Pressklemmen gilt DIN EN 13411-3.
5.1.3 Verankerung durch Verguss
Für Vergussverankerungen gilt DIN EN 13411-4.
Für Verankerungsköpfe sind Gussteile aus Stahlguss G20Mn5 oder G26CrMo4 nach DIN EN 10293 oder G18NiMoCr36 nach SEW520 sowie Schmiedeteile aus Vergütungsstahl 34CrNiMo6+QT oder 42CrMo4+QT nach DIN EN 10083-3 zu verwenden. Bezüglich der inneren und äußeren Beschaffenheit von Verankerungsköpfen aus Stahlguss gelten die Anforderungen der DIN 18800-1.
5.1.4 Verankerung durch Drahtseilklemmen
Für Drahtseilklemmen gilt DIN EN 13411-5.
5.2 Werkstoffe für Ketten
Die Werkstoffe für Ketten sind DIN EN 818-3 (Güteklasse 4) oder DIN EN 14330 (Klasse 2) zu entnehmen.
5.3 Werkstoffe für Stahlkonstruktionen
Es gelten die Regelungen der DIN 18800-1 und der allgemeinen bauaufsichtlichen Zulassung Z-30.3-6 für Erzeugnisse, Verbindungsmittel und Bauteile aus nichtrostenden Stählen des Deutschen Institutes für Bautechnik.
5.4 Werkstoffe für Holzkonstruktionen
Es gelten die Regelungen der DIN 1052.
5.5 Werkstoffe für Gründungen und Verankerungsblöcke
Es gelten die Regelungen der DIN 1045-1.
6 Lastannahmen
6.1 Ständige Einwirkungen
Die charakteristischen Werte der Eigenlasten des Tragwerks und von nichttragenden Teilen des Bauwerks sind aus den Wichten oder Flächenlasten der Baustoffe nach DIN 1055-1 zu ermitteln. Bezüglich der charakteristischen Werte der Eigenlasten der Seile ist DIN 18800-1:1990-11, Tabelle 10 und DIN EN 12385-10 zu beachten. Bezüglich der charakteristischen Werte der Eigenlasten der Ketten ist DIN 818-3:1999-07, Tabelle B.1 oder DIN 14330:2004-02, Tabelle 1 zu beachten.
6.2 Veränderliche Einwirkungen
6.2.1 Strömung
Der durch die Strömung auf eine im rechten Winkel getroffene, ruhende Fläche erzeugte charakteristische Wert des Strömungsdrucks beträgt:
| Pk = (1/2) ⋅ ρ⋅v2 | (1) |
mit
| ρ | Dichte von Süßwasser (p = 1,0 · 103 kg/m³) |
| v | größte Strömungsgeschwindigkeit |
Die größte Strömungsgeschwindigkeit ist durch das zuständige Wasser- und Schifffahrtsamt festzulegen.
Für einen quer angeströmten quaderförmigen Schwimmkörper, der scharfkantig ist oder eine seitliche Kimm hat, ist der charakteristische Wert des Querwiderstandes WP,k mit (2) zu berechnen:
| WP, β, k = Alat ⋅pk ⋅cWq× ¦Wβ | (2) |
mit
| Alat | angeströmte Lateralfläche des Schwimmkörpers in aufrechter Ruhelage. Horizontale Projektion der eingetauchten seitlichen Bugfläche des Fährgefäßes. Die Lateralfläche ist der Stabilitätsberechnung zu entnehmen. Bei Schräganströmung (β< 90°) bleibt die einzusetzende Lateralfläche unverändert. |
| pk | charakteristischer Wert des Strömungsdrucks |
| cWq | Querwiderstandsbeiwert nach Anlage 2 |
| fWβ | Korrekturfaktor zur Berücksichtigung der Anströmrichtung nach Abbildung 6.1. Die Einschränkung auf L/B ~ 3,5 ist zu beachten |
Gleichung (2) ist innerhalb folgender oberer und unterer Grenzen anwendbar:
| 1,0 | < L/B | < 6,0 |
| 3,5 | < B/T0 | < 10,0 |
| 0,81 | < ρ | < 1,0 |
| 2,0 | < L/ |
< 6,2 |
| 0,004 | < |
< 0,122 |
mit:
| L | Länge des Schwimmkörpers in der Wasserlinie bei Ruhelage |
| B | Breite des Schwimmkörpers in der Wasserlinie bei Ruhelage |
| T0 | Tiefgang des Schwimmkörpers in der Wasserlinie bei Ruhelage |
| ρ | Dichte von Süßwasser (ρ= 1,0⋅103 kg/m³) |
| Wasserverdrängung des Schwimmkörpers bei Ruhelage |
Abbildung 6.1: Korrekturfaktor fwβ
Der ermittelte Querwiderstand ist als stromparallele horizontale Kraftkomponente auf das Gierseil anzusetzen.
| HP, β, k = WP, β, k | (3) |
6.2.2 Windlasten auf Fähre und Verkehrsband
Für die Ermittlung der Einwirkungen aus Wind auf Fähre und Verkehrsband sind die in Abbildung 6.2 strichpunktiert angegebenen Begrenzungen des Verkehrsbandes zu berücksichtigen.
Abbildung 6.2: Verkehrsband
Fährgefäß
| l | Länge über alles |
| b | Breite über alles |
| H | Seitenhöhe |
| t1 | Abstand OK Fahrbahnbelag bis Fährgefäßboden |
| T0 | größter Tiefgang ab Wasserlinie |
| L | Länge in der Wasserlinie bei größter Eintauchung |
| B | Breite in der Wasserlinie bei größter Eintauchung |
Verkehrsband für Fahrzeuge
| l1 | Länge des Verkehrsbandes |
| b1 | Breite des Verkehrsbandes (b1 = 2,5 m für eine Fahrzeugbreite) |
| h1 | Höhe des Verkehrsbandes über OK Fahrbahn (h1 = 2,0 m) |
Verkehrsband für Fahrzeuge
| l2 | Länge des Verkehrsbandes vor und hinter dem Fahrzeugband |
| b2 | Breite des Verkehrsbandes beiderseits des Fahrzeugbandes |
| h2 | Höhe des Verkehrsbandes über OK Fahrbahn bzw. Gehbelag (h2 = 1,8 m) |
Der durch Wind auf eine im rechten Winkel getroffene, ruhende Fläche erzeugte charakteristische Wert des Winddrucks beträgt:
| wk = c ⋅ q | (4) |
mit
| c | aerodynamischer Druckbeiwert (c = 1,2) |
| q | Staudruck (q = 0,5 kN/m2) |
In den Einwirkungskombinationen 1 und 2 darf mit einem reduzierten Staudruck von q = 0,2 kN/m2 gerechnet werden, wenn sichergestellt ist, dass die Fähre nur bis zu einer Windstärke von 8 Beaufort (zur Orientierung: 64 km/h bis 74 km/h) betrieben wird.
Die stromparallelen Windkraftkomponenten, die die Hochseilanlage belasten, ergeben sich in Abhängigkeit vom Anstellwinkel βzu:
![]() |
(5) |
6.2.3 Windlasten auf Tragwerke und Seile
Bei der Ermittlung der Windlasten ist der Einfluss der vergrößerten Angriffsfläche infolge Eisansatz nach Abschnitt 6.2.5 zu berücksichtigen. Die Windlast ist in der für den Tragfähigkeitsnachweis ungünstigsten Angriffsrichtung anzusetzen.
Soweit keine genaue Ermittlung der Einwirkungen aus Wind nach DIN 1055-4 und DIN V ENV 1993-3-1 erfolgt, dürfen vereinfachend die nachfolgend aufgeführten Windlasten angesetzt werden:
| wk = c ⋅ q | (6) |
mit
| c | aerodynamischer Druckbeiwert (c = 1,2) |
| q | Staudruck (q = 1,1 kN/m2) |
In den Einwirkungskombinationen 1 und 2 darf mit einem reduzierten Staudruck von q = 0,2 kN/m2 gerechnet werden, wenn sichergestellt ist, dass die Fähre nur bis zu einer Windstärke von 8 Beaufort (zur Orientierung: 64 km/h bis 74 km/h) betrieben wird.
6.2.4 Temperatureinwirkungen
Als klimabedingte Temperatureinwirkungen, die durch die Änderung der Lufttemperatur der Umgebung und der Sonneneinstrahlung hervorgerufen werden, sind die folgenden Temperaturen als gleichmäßige Temperaturänderung gegenüber einer Aufstelltemperatur von 10° C anzusetzen:
| höchste Temperatur: | + 40° C |
| tiefste Temperatur bei Betrieb | - 15° C |
| tiefste Temperatur außer Betrieb | - 25° C |
Temperatureinwirkungen infolge betriebsbedingter Nutzung sind mit den vorgenannten Regelungen nicht abgedeckt.
6.2.5 Eislasten
Die charakteristischen Werte der Eislasten auf Tragwerk und Seile sind aus DIN 1055-5, Anhang a zu ermitteln.
6.3 Außergewöhnliche Einwirkungen
Die Untersuchungskommission kann die Berücksichtigung außergewöhnlicher Einwirkungen fordern.
7 Konstruktion und Ausführung
7.1 Allgemeines
Soweit im Folgenden keine anders lautenden Regelungen getroffen werden gelten hinsichtlich Konstruktion und Ausführung die Regelungen in DIN 18800-1, DIN 18800-7, DIN 1045-1, DIN 1052 und DIN 1054.
7.2 Seile
Als Tragseile (Fährseile) sind vollverschlossene Spiralseile zu verwenden, die über die ganze Länge zwischen den Abspannpunkten aus einem Stück bestehen. Für die Gierseile sind Rundlitzenseile zu verwenden.
Die Endverankerungen der Seile sind gelenkig auszubilden, um Zusatzbeanspruchungen an diesen Stellen zu vermeiden.
Für den Korrosionsschutz der Seile gilt DIN EN 12385-10, Abschnitt 5.3.2.
Für die verwendeten Seile muss eine Herstellererklärung einschließlich Prüfbericht gemäß DIN EN 12385-1 vorliegen.
7.3 Endverankerungen
7.3.1 Arten
Seile sind mit Vergussverankerungen, Kauschen und Klemmen oder anderen Verankerungen nach Abschnitt 7.3.4 anzuschließen.
7.3.2 Vergussverankerungen
Zum Nachweis der Eignung einer vergossenen Seilendverankerung ist ein Prüfbericht gemäß DIN EN 13411-4, Anhang C vorzulegen.
7.3.3 Kauschen und Klemmen
Wenn offene Spiralseile oder Rundlitzenseile mit Kauschen und Klemmen verankert werden sollen, müssen die Seile ausreichend biegsam sein. Es sind Kauschen nach DIN EN 13411-1 oder DIN 3091 zu verwenden. Das um die Kauschen gelegte Seilende muss durch Pressklemmen aus Aluminium-Knetlegierungen nach DIN EN 13411-3 oder Drahtseilklemmen nach DIN EN 13411-5 befestigt werden. Bei offenen Spiralseilen sind mindestens zwei Pressklemmen nach DIN EN 13411-3 anzuordnen, oder es ist die nach DIN EN 13411-5 erforderliche Anzahl der Klemmen um eins zu erhöhen. Zur Verankerung von vollverschlossenen Spiralseilen dürfen Kauschen und Klemmen nicht verwendet werden. Pressklemmen und Drahtseilklemmen dürfen für Gleichschlagseile nicht verwendet werden.
7.3.4 Andere Verankerungen
Der Nachweis der Verwendbarkeit anderer Verankerungen ist im Sinne der Landesbauordnungen zu führen.
7.4 Ketten
Es sind kurzgliedrige Rundstahlketten (Teilung 2,8 bis 3,0) der Güteklasse 4 nach DIN EN 818-3 oder der Klasse 2 nach DIN EN 14330 zu verwenden. Zum Nachweis der mechanischen Eigenschaften ist ein Abnahmeprüfzeugnis 3.1 nach DIN EN 10204 mit den in DIN EN 818-1 geforderten Angaben sowie der chemischen Zusammensetzung des Ausgangsmaterials vorzulegen.
7.5 Tragrollen
Die Tragrollen sind mit Rundrillen mit einem Verhältnis des Rundrillennennradius rN zum Seilnenndurchmesser dN von rN/dN = 0,53 und einem Öffnungswinkel von mindestens 45° auszubilden.
8 Beanspruchungen
Die Bemessungswerte der Einwirkungen sind für die in Tabelle 8.1 aufgeführten Bemessungssituationen für ständige und vorübergehende Bemessungssituationen nach DIN EN 1990:2002-10, Gleichung (6.10) ohne Ansatz einer Leiteinwirkung und für außergewöhnliche Bemessungssituationen nach DIN EN 1990:2002-10, Gleichung (6.11b) zu berechnen:
Tabelle 8.1: Teilsicherheitsbeiwerte γG und γQ sowie Kombinationsbeiwerte ψfür Tragsicherheitsnachweise (ausgenommen Betriebsfestigkeitsnachweise)
Die Kräfte aus Strömung und Wind auf Fähre und Verkehrsband sind für die Einwirkungskombination 1 mit einem Anstellwinkel β = 60° zu ermitteln. Ist im Betrieb mit einem größeren Anstellwinkel zu rechnen, so sind auch für diese Anstellwinkel rechnerische Nachweise zu führen. Die Kräfte aus dem Gierseil sind am Tragseil in Strommitte anzusetzen.
Anmerkung: Erfahrungsgemäß wird die Fahrgeschwindigkeit in den meisten Fällen bei einem Anstellwinkel von etwa β= 60° erreicht. Der wirksame Anstellwinkel ist wegen der Fahrgeschwindigkeit der Fähre geringer, was in der Berechnung nicht weiter zu berücksichtigen ist.
Die Kräfte aus Strömung und Wind auf Fähre und Verkehrsband sind für die Einwirkungskombination 2 mit einem Anstellwinkel β = 90° zu ermitteln. Die Kräfte aus dem Gierseil sind am Tragseil entsprechend der Position beim Startvorgang anzusetzen.
Führen Seildehnungen aus äußeren Einwirkungen zu einer Vergrößerung der Beanspruchung, so sind diese in der Berechnung zu berücksichtigen.
Anlage 1 enthält Angaben zur Ermittlung der Seilkräfte.
9 Beanspruchbarkeiten
9.1 Teilsicherheitsbeiwerte
Bezüglich der Teilsicherheitsbeiwerte γM der Widerstandsgrößen gelten die jeweiligen Fachnormen soweit im Folgenden keine abweichenden Angaben gemacht werden.
9.2 Charakteristische Werte der Beanspruchbarkeit für Seile und deren Endverankerungen
9.2.1 Drähte und Seile
Der charakteristische Wert der Bruchkraft ZR,k darf nach Gleichung (7) ermittelt werden
| ZR, k = ke⋅ Fmin | (7) |
mit
| ke | Verlustfaktor in Abhängigkeit von der Verankerung |
| Fmin | Mindestbruchkraft nach DIN EN 12385-1 |
Typische Werte für die Mindestbruchkraft von vollverschlossenen Spiralseilen und Spirallitzenseilen werden als Anhaltswerte in DIN EN 12385-10 angegeben. Als Alternative besteht die Möglichkeit, solche Anhaltswerte mit
Fmin = Am ⋅ fu,k⋅kS
nach DIN 18800-1 zu ermitteln. Dies kann nur zu einer Abschätzung dienen und ersetzt nicht den Nachweis der Mindestbruchkraft Fmin nach DIN EN 12385-1.
9.2.2 Verankerung durch Pressklemmen
Für die Verankerung mit Pressklemmen gilt ke = 0,90.
9.2.3 Verankerung durch Verguss
Für die Stahlsorten dürfen als charakteristische Werte für die entsprechenden Wanddickenbereiche die unteren Grenzwerte der Streckgrenze und der Zugfestigkeit nach den jeweiligen Technischen Lieferbedingungen verwendet werden.
Für die Verankerung durch Verguss gilt ke = 1,00.
9.2.4 Verankerung durch Drahtseilklemmen
Für die Verankerung mit Drahtseilklemmen gilt ke = 0,90.
9.3 Werkstoffe für Ketten
Der charakteristische Wert der Bruchkraft BF für Ketten ist DIN EN 818-3 (Güteklasse 4) oder DIN EN 14330 (Klasse 2) zu entnehmen.
9.4 Werkstoffe für Stahlkonstruktionen
Die charakteristischen Werkstoffkennwerte sind DIN 18800-1 und der allgemeinen bauaufsichtlichen Zulassung Z-30.3-6 zu entnehmen.
9.5 Werkstoffe für Holzkonstruktionen
Die charakteristischen Werkstoffkennwerte sind DIN 1052 zu entnehmen.
9.6 Werkstoffe für Gründungen und Verankerungsblöcke
Die charakteristischen Werkstoffkennwerte sind DIN 1045-1 zu entnehmen.
10 Nachweise
10.1 Gierseil
Es ist davon auszugehen, dass die Einwirkungen aus Strömung und Wind im ungünstigsten Fall von nur einem Gierseil aufzunehmen sind.
Es ist mit Bedingung (8) nachzuweisen, dass die vorhandene Zugkraft ZG die Grenzzugkraft ZR,d nicht überschreitet:
| (ZG/ZR,d)< 1 | (8) |
Die Grenzzugkraft darf nach Gleichung (9) ermittelt werden
| ZR,d = ZR,k/ (2,4 ⋅ γM) | (9) |
mit
| ZR,k | charakteristischer Wert der Bruchkraft |
| γM | Teilsicherheitsbeiwert nach DIN 18800-1 (γM = 1,1) |
10.2 Gierketten
Es ist davon auszugehen, dass die Einwirkungen aus Strömung und Wind im ungünstigsten Fall von nur einem Gierkettenstrang aufzunehmen sind.
Es ist mit Bedingung (10) nachzuweisen, dass die vorhandene Zugkraft ZG die Grenzzugkraft ZR,d nicht überschreitet:
| (ZG/ZR,d)< 1 | (10) |
Die Grenzzugkraft darf nach Gleichung (11) ermittelt werden
| ZR,d = BF / (3,6 ⋅ γM) | (11) |
mit
| BF | Bruchkraft nach DIN EN 818-3, Tabelle 5 oder DIN EN 14430, Tabelle 3. |
| γM | Teilsicherheitsbeiwert nach DIN 18800-1 (γM = 1,1) |
10.3 Tragseil
Es ist mit Bedingung (12) nachzuweisen, dass die vorhandene Zugkraft ZT die Grenzzugkraft ZR,d nicht überschreitet:
| (ZT/ZR,d)< 1 | (12) |
Die Grenzzugkraft darf nach Gleichung (13) ermittelt werden
| ZR,d = ZR,k/ (2,4 ⋅ γM) | (13) |
mit
| ZR,k | charakteristischer Wert der Bruchkraft |
| γM | Teilsicherheitsbeiwert nach DIN 18800-1 (γM = 1,1) |
10.4 Abspannseile
Es ist mit Bedingung (14) nachzuweisen, dass die vorhandene Zugkraft ZA die Grenzzugkraft ZR,d nicht überschreitet:
| (ZA/ZR,d)< 1 | (14) |
Die Grenzzugkraft darf nach Gleichung (15) ermittelt werden
| ZR,d = ZR,k/ (1,5 ⋅ γM) | (15) |
mit
| ZR,k | charakteristischer Wert der Bruchkraft |
| γM | Teilsicherheitsbeiwert nach DIN 18800-1 (γM = 1,1) |
10.5 Rollenbatterie und Tragrollen
Es ist davon auszugehen, dass die Einwirkungen aus Strömung und Wind im ungünstigsten Fall von nur einem Gierseil und einer Rollenbatterie aufzunehmen sind. Der Tragfähigkeitsnachweis der Rollenbatterie darf in Anlehnung an die Regelungen des Stahlbaus geführt werden.
Soweit kein genauerer Nachweis der Betriebsfestigkeit geführt wird, darf die Querbelastung der Tragseile durch eine gefütterte Tragrolle höchstens 1/25 der kleinsten Seilzugkraft betragen. Bei Tragrollen mit metallischer Rille soll die Rollenbelastung höchstens 15 kN betragen.
Anmerkung: Die Festlegung der maximalen Querbelastung basiert auf der Auswertung der statischen Berechnungen bestehender Gierseilfähren. Die Werte sind nicht auf andere Konstruktionen übertragbar.
10.6 Maste
Bezüglich der Beanspruchbarkeiten und Nachweise gelten die Normen der Reihe DIN 18800 oder DIN 1052.
10.7 Gründungen und Verankerungsblöcke
Bezüglich der Beanspruchbarkeiten gilt DIN 1054. Es sind mindestens die folgenden Nachweise erforderlich:
Der Auftrieb für alle im Wasser eingetauchten Konstruktionen ist zu berücksichtigen. In Überschwemmungsgebieten ist mit vollem Auftrieb zu rechnen. Erddruck und Erdwiderstand sind nach DIN 4085 zu berechnen.
11 Herstellung und Errichtung
Bezüglich der Herstellung und Errichtung der Hochseilanlagen gelten die Regelungen der jeweiligen Landesbauordnungen.
| Ermittlung der Seilkräfte | Anlage 1 zur Dienstanweisung Nr. 1 des Anhangs X |
1 Vorbemerkungen
Diese Anlage dient der Berechnung von räumlichen Seiltragwerken unter Einwirkung von Eigenlast, Wind und wandernden Einzellasten aus Zug am Gierseil. In dieser Anlage ist unter Ansatz vereinfachender Annahme eine Möglichkeit für eine Handrechnung bei Angriff einer Einzellast in Fährseilmitte aufgezeigt. Weitere einer Handrechnung zugängliche Berechnungsverfahren können z.B. [1] entnommen werden.
2 Gierseil
Bei einem straff gespannten Gierseil ergibt sich die Seilkraft ZG am oberen Ende des Gierseils zu
![]() |
(A.1) |
mit
| Hp | stromparallele horizontale Kraftkomponente aus Strömung |
| HW | stromparallele horizontale Kraftkomponente aus Wind |
| gG | Eigengewicht des Gierseils |
| lG | Gierseillänge |
| aG | Projektion des Gierseils in die Horizontale |
| fG | Projektion des Gierseils in die Vertikale |
und
| α = arctan(ZG,y/ZG,H) | (A.2) |
mit
| ZG,H | stromparallele horizontale Kraftkomponente der Kraft ZG im Gierseil |
| ZG,V | vertikale Kraftkomponente der Kraft ZG im Gierseil. |
Abbildung A.2.1 zeigt die Geometrie des Gierseils sowie die angreifenden Kräfte.
Abbildung A.2.1: Geometrie und Kräfte des Gierseils

Zur Ermittlung der Komponenten ZG,H und ZG,V kann in erster Näherung davon ausgegangen werden, dass die Tragseilebene ebenfalls unter dem Winkel αgegen die Horizontal geneigt ist.
3 Tragseil
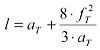
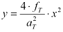
3.1 Geometrie
Für ein flach zwischen zwei gleich hoch liegenden Aufhängepunkten gespanntes Seil (l > f) kann mit guter Näherung die Parabel
![]() |
(A.3) |
angenommen werden (Abbildung A.3.1). Für die Seillänge l kann bei einem flach gespannten Seil in guter Näherung
![]() |
(A.4) |
angenommen werden.
Abbildung A.3.1: Tragseilgeometrie

3.2 Seilkräfte
3.2.1 Ermittlung der Kräfte
Die aus Eigenlast, Windlast und Gierseilkraft im Tragseil wirkenden Seilkräfte werden jeweils mit ihren Komponenten ZT,V, ZT,H und ZT,N ermittelt und überlagert. Die einzelnen Komponenten der Seilkräfte des Tragseils sind wie folgt definiert
| ZT,V | vertikaler Anteil der Seilkraft am Auflager, Druckkraft in Mast |
| ZT,H | stromparallele Komponente der Seilkraft am Auflager |
| ZT,N | in Spannrichtung des Tragseils wirkende Komponente der Seilkraft am Auflager |
| ZT | maximale Seilkraft |
Es wird vereinfacht davon ausgegangen, dass sich der Durchhang sowie dessen Vergrößerung infolge Seildehnung linear addieren.
3.2.2 Eigenlast
Die Komponenten der Seilkraft ZT,g infolge der Eigenlast gT ergeben sich wie folgt
| ZT,g,y = (gT ⋅lT) / 2 | (A.5) |
| ZT,g,H = 0 | (A.6) |
| ZT,g,N = gT⋅ lT⋅[αT/(8 ⋅fT)] | (A.7) |
und mit Berücksichtigung der Seildehnung
![]() |
(A.8) |
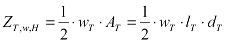
Die maximale Seilkraft beträgt
![]() |
(A.9) |
![]() |
(A.10) |
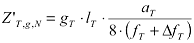
3.2.3 Windlast
Die Komponenten der Seilkraft ZT,w infolge der Windlast wT ergeben sich wie folgt
| ZT,w,V = 0 | (A.11) |
![]() |
(A.12) |
![]() |
(A.13) |
Mit Berücksichtigung der Seildehnung erhält man
![]() |
(A.14) |
Die Seilkraft beträgt
![]() |
(A.15) |
oder
![]() |
(A.16) |
3.2.4 Gierseilkraft
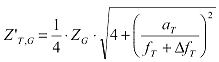
Die Komponenten der Seilkraft ZT,G infolge der Gierseilkraft ZG ergeben sich wie folgt
| ZT,G,V = 1/2 · ZG,V | (A.17) |
| ZT,G,H = 1/2 · ZG,H | (A.18) |
| ZT,G,N = 1/4 · ZG · αT/fT | (A.19) |
und der Seilkraft
![]() |
(A.20) |
oder bei Berücksichtigung der Seildehnung
![]() |
(A.21) |
3.2.5 Resultierende Seilkraft ZT
Die Komponenten der resultierenden Seilkraft ZT ergeben sich aus der Summe der Komponenten der zuvor angegebenen Teilkräfte (Abbildung A.3.2):
| ZT,V = ZT,g,V+ ZT,G,V | (A.22) |
| ZT,H = ZT,W,H+ ZT,G,H | (A.23) |
| Z,T,N = ZT,g,N+ ZT,W,N+ ZT,G,N | (A.24) |
Die maximale Seilkraft erhält man aus
| ZT = ZT,g+ ZT,w+ ZT,G | (A.25) |
Abbildung A.3.2: Tragseilkräfte im Raum
3.3 Seildehnung
Da sowohl Wind als auch Eigengewicht nicht als Einzellast sondern über die ganze Länge des Tragseil angreifen, wird davon ausgegangen, daß eine Seildehnung nur durch die Kraft aus dem Gierseil hervorgerufen wird. Infolge der im Seil wirkenden Seilkraft ZG entsteht eine Seildehnung ΔlT
| ΔlT = l'T- lT | (A.26) |
mit
| lT | Seillänge unter Eigenlast |
| l'T | gedehnte Seillänge unter Eigenlast und Zugkraft ZG |
Abbildung A.3.3: Seildehnung
Für die Seillänge (Abbildung A.3.3) kann bei einem flach gespannten Seil in guter Näherung zu
![]() |
(A.27) |
mit
| Z | Zugkraft im Seil |
| E | Verformungsmodul des Seils nach DIN 18800-1 |
| Am | metallische Querschnittsfläche des Tragseils nach DIN 18800-1 |
angenommen werden.
Infolge des vergrößerten Seildurchhangs in der Seilebene
| f'T = fT + ΔfT | (A.28) |
werden die geometrischen und statischen Verhältnisse verändert. Die Seilkraft mit Seildehnung wird über den Korrekturfaktor
| ς= ZT/Z'T | (A.29) |
mit
| ZT | Seilkraft ohne Seildehnung |
| Z'T | Seilkraft mit Seildehnung |
erfasst.
Abbildung A.3.4: Kräftegleichgewicht für das Tragseil mit und ohne Seildehnung bei angreifender Seilkraft ZG

Nach Abbildung A.3.4 erhält man den Korrekturfaktor über
| ς = cos τ 'l/cos τ1 | (A.30) |
Der Korrekturfaktor z ergibt sich zu
![]() |
(A.31) |
Die Gleichung kann für eine iterative Berechnung des Korrekturfaktors ζund mit Hilfe der Näherung ZT zur Berechnung von
| Z'T = ς ⋅ZT | (A.32) |
verwendet werden.
Bemerkenswert ist, dass bei gleichbleibendem Winkel τ1 der Fehler völlig unabhängig von der Fährseillänge und vom Mastabstand ist. Interessiert man sich für die Auswirkung des Mastabstandes auf den Fehler, so kann man auch folgende umgeschriebene Formel verwenden:
![]() |
(A.33) |
Seildehnungen infolge Temperaturänderungen und deren Einfluß auf die Kräfte im Tragseil sind gesondert zu erfassen.
4 Abspannseile
In der Regel werden die Masten durch Abspannseile quer zur Strömungsrichtung und parallel zur Strömungsrichtung abgefangen. Für die Bemessung der Abspannseile anzusetzenden Einwirkungen ergeben sich aus den Kräften ZT,H und ZT,N des Tragseils sowie aus Wind. Seillängenänderungen infolge Temperaturänderung sind bei der Ermittlung der maßgebenden Seilkräfte zu berücksichtigen.
Die Komponente ZT,V aus dem Tragseil sowie Eigengewicht werden als Normalkräfte über den Mast abgetragen.
5 Schrifttum
[1] Petersen, Ch.: Stahlbau: Grundlagen der Berechnung und baulichen Ausbildung von Stahlbauten, Braunschweig 1993
| Querwiderstandsbeiwert | Anlage 2 zur Dienstanweisung Nr. 1 des Anhangs X |
1 Vorbemerkungen
Der Querwiderstandsbeiwert cWq
| cWq = cWq0⋅ fWh⋅fWv ⋅ fWΦ3 | (B.1) |
ist das Produkt aus dem Querwiderstandsbeiwert bei aufrechter Ruhelage cWq0 und Korrekturfaktoren für Flachwasser, Anströmgeschwindigkeit und der Querneigung nach Oberstrom.
2 Geometrie des Schwimmkörpers
Von einem Quader mit den Abmessungen
| B | Breite des Schwimmkörpers |
| L | Länge des Schwimmkörpers |
| T0 | Tiefgang des Schwimmkörpers |
abweichende Schwimmkörper dürfen mit einem Ersatzkörper mit den Abmessungen
| T0' = T0 | (B.2) |
| B' = Alat/T0' | (B.3) |
| L' = |
(B.4) |
mit
| Alat | angeströmte Lateralfläche |
| Verdrängung |
der Berechnung zugänglich gemacht werden.
3 Querwiderstandsbeiwert bei aufrechter Ruhelage
Der Querwiderstandsbeiwert cWq0 bei aufrechter Ruhelage ist Abbildung B.3.1 zu entnehmen.
Abbildung B.3.1: Querwiderstandsbeiwert bei aufrechter Ruhelage

4 Korrekturfaktoren
4.1 Korrekturfaktor für Flachwasser
Der Korrekturfaktor fWh für Flachwasser mit der Wassertiefe h ist Abbildung B.4.1 zu entnehmen.
Abbildung B.4.1: Korrekturfaktor für Flachwasser
4.2 Korrekturfaktor für die Anströmgeschwindigkeit
Der Korrekturfaktor fWv für die Anströmgeschwindigkeit ist Abbildung B.4.2 zu entnehmen.
Der Einfluss der Anströmgeschwindigkeit wird dabei über die Froudezahl FB
![]() |
(B.5) |
mit
| v | Anströmgeschwindigkeit |
| g | Erdbeschleunigung |
| B | Breite des Schwimmkörpers |
erfasst.
Abbildung B.4.2: Korrekturfaktor für die Anströmgeschwindigkeit

4.3 Korrekturfaktor für die Querneigung nach Oberstrom
Der Korrekturfaktor fWΦ3 für die Querneigung nach Oberstrom ist Abbildung B.4.4 zu entnehmen. Der Korrekturfaktor ist mit einem Querneigungswinkel nach Abbildung B.4.3 von Φ3 = 5° zu ermitteln.
Anmerkung: Nach Anhang X § 3.02, darf die Querneigung einen Querneigungswinkel von Φ3 = 5° nicht überschreiten.
Abbildung B.4.3: Definition des Querneigungswinkels Φ3
Abbildung B.4.4: Korrekturfaktor für die Querneigung nach Oberstrom
Dienstanweisung Nr. 2
Berechnungsgrundlagen für Gierfähren, die nicht an einer Hochseilanlage befestigt sind sowie für Querseilfähren
(Kahnseilfähren, Seilfähren und Kettenfähren)
zu Anhang X § 3.04
1. Gierfähren
1.1 Zur Seilausrüstung von Gierfähren gehören die Verankerung der Gierseile im Strom oder an Land, Ankerketten, Verbindungsketten, Gierseile, Verbindungsglieder, wie Schäkel und Ringe sowie Winden, Umlenkblöcke und Befestigungsteile an der Fähre.
1.2 Bei Gierfähren ist der Durchmesser der Gier- und Scherenseile und die Dicke der Verbindungsketten entsprechend der auftretenden Belastung unter Berücksichtigung einer dreifachen Sicherheit gegenüber der Mindestbruchkraft bei Seilen und Ketten zu ermitteln.
Die an den Seilen und Ketten (für die Schere je Seil) wirkende Kraft F ist nach folgender Formel zu berechnen:
| F = k ⋅ a ⋅ v2 | (kN) |
wobei:
| k | Koeffizient, der wie folgt anzunehmen ist: | |
| 0,73 - | für Gierfähren, deren Schiffslängsachse quer zum Strom verläuft, | |
| 0,18 - | für Gierfähren, deren Schiffslängsachse parallel zum Strom verläuft (gilt für einen Winkel zwischen Stromrichtung und Längsachse der Gierfähre von bis zu 20°); | |
| A | Lateralplan des Unterwasserschiffes bis zum größten Tiefgang und falls vorhanden zuzüglich der Fläche der Gierschwerter unterhalb des Bodens (m2); | |
| v | maximale Strömungsgeschwindigkeit bis zum höchsten Betriebswasserstand nach Angaben des zuständigen Wasser- und Schifffahrtsamtes (m/s). | |
1.3 Verbindungsglieder wie Schäkel und Ringe dürfen keine geringere Bruchkraft aufweisen als die zu verbindenden Teile.
Winden, Umlenkblöcke und Befestigungsteile am Fährkörper müssen entsprechend der Kraft F ausgelegt sein.
1.4 Die Mindesthaltekraft der Verankerung der Gierseile oder Ankerketten im Strom oder an Land ist mit
| FAnker = 3 ⋅ F | (kN) |
anzusetzen.
Anschlussteile an den Anker wie Ankerkette, Schäkel und Ringe, die nicht ständig besichtigt werden können, sind mit einer fünffachen Sicherheit gegenüber der Mindestbruchkraft auszulegen.
2. Querseilfähren (Kahnseilfähren, Seilfähren und Kettenfähren)
2.1 Zur Seilausrüstung von Querseilfähren gehören die Verankerung der Querseile an Land, Winden zum Spannen der Seile, Querseile, Verbindungsglieder, wie Schäkel und Ringe sowie Führungselemente an der Fähre.
2.2 Der Durchmesser der Führungsseile bei Querseilfähren ist nach folgender Formel zu berechnen:
| d = 0,25 |
(mm) |
wobei
| Wasserverdrängung der Fähre bei maximalem Tiefgang (m³) |
ist.
Der Durchmesser der Führungsseile darf jedoch nicht kleiner als 10 mm sein und braucht 24 mm nicht zu überschreiten.
2.3 Anschlussteile und Verbindungsglieder wie Ketten und Schäkel müssen entsprechend dem Durchmesser und der Mindestbruchkraft des Seiles ausgelegt sein.
2.4 Die Verankerung an Land muss entsprechend den örtlichen Gegebenheiten ausgelegt sein und so gesichert sein, dass sie nicht von unbefugten gelöst werden kann.
3. Seile und Ketten
Als Seile sind nur Drahtseile mit einer Nennfestigkeit von mindestens 1.570 N/mm2 zulässig. Die Mindestbruchkraft darf 45 kN nicht unterschreiten.
Für Ketten gelten die Angaben sinngemäß.
Muster Nr. 1 12a 14
Muster des Abnahmeprotokolls für die Prüfung der Seil- und Kettenanlagen von seil- und kettengebundenen Fähren zu Anhang X § 3.05
| Abnahmeprotokoll | nach Anhang X § 3.05 der Binnenschiffsuntersuchungsordnung für die Prüfung der Seile/Ketten einschließlich der zugehörigen Abspannmasten und Verankerungen bei seil- und kettengebundenen Fähren |
| Name der Fähre |
Art der Fähre | Einheitliche europäische Schiffsnummer |
| Die Fähre ist zugelassen zum Verkehr auf |
zwischen | und |
1. Seile und Seilendbefestigungen
| Bezeichnung des Seiles: * | |||||
| Seilattest (ja/nein) | |||||
| Länge (m) | |||||
| Durchmesser (mm) | |||||
| Bruchlast (kN) | |||||
| Mängel (ja/nein): | |||||
| - am inneren Seilzustand | |||||
| - am äußeren Seilzustand | |||||
| durch: | |||||
| - Drahtbruch | |||||
| - Korrosion | |||||
| - Verschleiß | |||||
| - Lockerung von Drähten | |||||
| Grad der Ablegereife | |||||
| Sonstige Mängel (ja/nein) - siehe "Bemerkungen" | |||||
| Mängel an den Seilendbefestigungen (ja/nein): | |||||
* Bezeichnung von Seilen:
Bemerkungen (Bedingungen und Auflagen)
__________________________________________________________________________________________
__________________________________________________________________________________________
__________________________________________________________________________________________
__________________________________________________________________________________________
__________________________________________________________________________________________
__________________________________________________________________________________________
__________________________________________________________________________________________
Mängelbehebung bis zum: ............................................ Sichtvermerk Sachverständiger: ...........................................
Seite 1 von 5
2. Ketten und Kettenendbefestigungen
| Bezeichnung der Kette: * | |||||
| Kettenattest (ja/nein) | |||||
| Länge (m) | |||||
| Durchmesser (mm) | |||||
| Bruchlast (kN) | |||||
| Mängel (ja/nein): | |||||
| - Korrosion | |||||
| - Verschleiß | |||||
| - Längung | |||||
| - Teilungsvergrößerung | |||||
| Grad der Ablegereife (DIN 685 Teil 5, Ausgabe November 1981) |
|||||
| Sonstige Mängel (ja/nein) - siehe "Bemerkungen" | |||||
| Mängel an den Kettenendbefestigungen (ja/nein): | |||||
*) Bezeichnung von Ketten:
Bemerkungen (Bedingungen und Auflagen)
__________________________________________________________________________________________
__________________________________________________________________________________________
__________________________________________________________________________________________
__________________________________________________________________________________________
__________________________________________________________________________________________
Mängelbehebung bis zum: ............................ Sichtvermerk Sachverständiger: ...................................
3. Abspannmasten
| Bezeichnung der Abspannmasten: | ||
| Mängel (ja/nein): | ||
| - Verformung | ||
| - Beschädigung | ||
| - Korrosion | ||
| - innere Korrosion (nur bei Hohlprofilen) |
||
| Verbindung Tragmast/Seil - siehe "Bemerkungen" | ||
| Übergang Mast/Fundament - siehe "Bemerkungen" | ||
| Sonstige Mängel (ja/nein) - siehe "Bemerkungen" |
Seite 2 von 5
Bemerkungen (Bedingungen und Auflagen)
__________________________________________________________________________________________
__________________________________________________________________________________________
__________________________________________________________________________________________
__________________________________________________________________________________________
__________________________________________________________________________________________
__________________________________________________________________________________________
Mängelbehebung bis zum: ................................ Sichtvermerk Sachverständiger: .................................
4. Verankerungen
| Art des Verankerung:* | ||
| Art des Ankers: | ||
| Masse des Ankers (kg) | ||
| Ring: Durchmesser und Dicke (mm) | ||
| Mängel (ja/nein): | ||
| - Verformung | ||
| - Beschädigung | ||
| - Korrosion an den Befestigungselementen | ||
| - Korrosion im Bereich Übergang zu Fundament | ||
| Sonstige Mängel (ja/nein) - siehe "Bemerkungen" |
* Arten von Verankerungen: Anker im Strom, Anker an Land, Ring an Land
Bemerkungen (Bedingungen und Auflagen)
__________________________________________________________________________________________
__________________________________________________________________________________________
__________________________________________________________________________________________
__________________________________________________________________________________________
__________________________________________________________________________________________
Mängelbehebung bis zum: ........................... Sichtvermerk Sachverständiger: ...................................
| Ort und Datum der Abnahme |
Das Abnahmeprotokoll ist gültig bis |
| Die Abnahme erfolgte durch |
Stempel/Unterschrift |
Seite 3 von 5
Skizzen und deren Beschreibungen
Seite 4 von 5
" Auszug aus Anhang X der Binnenschiffsuntersuchungsordnung
§ 3.01 - Begriffsbestimmungen
Abweichend von § 1.01 gelten für dieses Kapitel folgende Begriffsbestimmungen:
6. "Ablegereife" der Zustand, bei dessen Erreichen das Seil oder die Kette außer Betrieb genommen werden muss, insbesondere wegen Verschleiß, Längung, Risse, Korrosion oder Brüchen.
§ 3.04 - Berechnung, Konstruktion und technische Zulassung der Seil- und Kettenanlagen
1. Seil- und Kettenanlagen von seil- und kettengebundenen Fähren umfassen im Wesentlichen Seile und Ketten einschließlich der zugehörigen Abspannmasten und Verankerungen.
2. Seil- und Kettenanlagen müssen in allen Teilen für den Fährbetrieb geeignet und nach den Regeln der Technik ausgeführt und gebaut sein.
3. Der Antragsteller hat den Nachweis der ausreichenden Festigkeitsbestimmung für Seil- und Kettenanlagen durch eine Berechnung zu erbringen. Die Berechnung und Konstruktion der Seile und Ketten wird in Verwaltungsvorschriften zu diesem Anhang geregelt.
§ 3.05 - Prüfung
Seil- und Kettenanlagen sind
von einem Sachverständigen daraufhin zu prüfen, ob die Anlage den Anforderungen dieses Kapitels entspricht. Über die Prüfung ist ein vom Sachverständigen unterzeichnetes Abnahmeprotokoll nach Muster 1 dieses Anhangs auszustellen, aus dem das Datum der Prüfung und die Gültigkeitsdauer ersichtlich sind. Eine Kopie hiervon ist der Untersuchungskommission vom Sachverständigen vorzulegen.
§ 3.06 - Prüfbedingungen
Die Anlage ist wie folgt zu prüfen:
§ 3.07 - Bescheinigung
1. Die Übereinstimmung jeder Seil- und Kettenanlage mit den Anforderungen dieses Kapitels ist im Fährzeugnis zu bescheinigen.
2. Diese Bescheinigung wird im Anschluss an die Prüfung nach § 3.05 von der Untersuchungskommission ausgestellt.
3. Die Gültigkeitsdauer der Bescheinigung beträgt höchstens fünf Jahre. Einer Erneuerung muss eine neue Prüfung nach § 3.05 vorausgehen. Ausnahmsweise kann die Untersuchungskommission auf begründeten Antrag des Eigners oder seines Bevollmächtigten die Gültigkeit der Bescheinigung um höchstens drei Monate verlängern, ohne dass eine Prüfung nach § 3.05 vorausgehen muss. Diese Verlängerung ist im Fährzeugnis einzutragen.
Seite 5 von 5
Muster Nr. 2 12a 16a
Muster des Abnahmeprotokolls für kleine Fahrgastschiffe (Zeesboote und Taxiboote) zur Beförderung von maximal zwölf Fahrgästen
zu Anhang X § 10.02 Buchstabe b
| Abnahmeprotokolls für kleine Fahrgastschiffe (Zeesboote und Taxiboote) zur Beförderung von maximal zwölf Fahrgästen | ||
| 1. Name des Fahrzeugs
.............................................. |
2. Art des Fahrzeugs
................................................ |
3. Einheitliche europäische Schiffsnummer
.............................................. |
| 4. Name und Adresse des Eigners
.................................................................................................... .................................................................................................... |
Schiffskörperidentifikations Nummer (CIN)
................................................. |
|
| 5. Ort und Nummer der Registrierung
.............................................. |
6. Heimatort
............................................... |
7. Baujahr
................................................ |
| 8. Name und Ort der Bauwerft
..................................................................................................................... |
||
| 10. Das vorstehend beschriebene Fahrzeug ist aufgrund
eigener Untersuchung vom * ............................. durch (Name des Sachverständigen in Druckbuchstaben) ................................. zur Fahrt auf (Fluss, Zone,...) .................................................................................................... zwischen ......................................... und ................................................................................ * mit der angegebenen höchstzulässigen Einsenkung der nachstehend angegebenen Ausrüstung und Besatzung für tauglich befunden worden. |
||
| 11. Die nächste Untersuchung soll stattfinden am (max. in 5 Jahren ab Untersuchungsdatum):
...................................... |
||
| 12. Die folgenden Nummern sind mit ihren dazugehörigen Zeichen an den folgenden Stellen des Fahrzeugs angebracht
Gemeinschaftszeugnisnummer: .............................................................................................. * Einheitliche europäische Schiffsnummer: .............................................................................. * Registriernummer: .................................................................................................................. * |
||
| 13. Der höchstzulässige Tiefgang ist an jeder Seite des Fahrzeugs durch eine Einsenkungsmarke bezeichnet. * | ||
Abmessungen / Schiffskörper
| 17a. Länge ü.a.
.................... m |
17b. Länge L
.................... m |
17c. Länge LWL
.................... m |
22. Freibord
.................... cm |
| 18a. Breite ü.a.
.................... m |
18b. Breite B
.................... m |
21. Größte Verdrängung
.................... m3 |
19b. Tiefgang T
.................... m |
| Schiffskörper aus (Stahl, GFK, Holz, ...)
................................... |
24. Anzahl wasserdichter Querschotte
.................... |
22. Anzahl Fahrgäste
............................ |
Seitenhöhe
.................... m |
Maschinenanlage
| 27. Anzahl Motoren zum Hauptantrieb
.................... |
28. Gesamte Hauptantriebsleistung
.................... kW |
29. Anzahl Hauptpropeller
.................... |
Art der Propulsionsorgane
..................................... |
| Motoren zum Schiffsbetrieb | Motor 1 | Motor 2 | Motor 3 |
| Hersteller | |||
| Motortyp | |||
| Motoridentifizierungs-Nr. | |||
| Typgenehmigungs-Nr. | |||
| Baujahr | |||
| Leistung (kW) | |||
| Drehzahl (min-1) | |||
| Verwendungszweck |
Steuereinrichtung
| 34. Ruderanlagen | Hauptruderantrieb | Andere Anlage: Ja / Nein *
Art: ......................................... |
|
| Anzahl Hauptruderblätter
........................... |
- handbetrieben * - elektrisch * |
- elektrisch/hydraulisch * - hydraulisch |
|
| Bugsteuereinrichtung
Ja / Nein |
- Bugruder * - Bugstrahlruder * - andere Einrichtung * |
- fernbedient
Ja / Nein * |
Start/Stop fernbedient
Ja / Nein * |
Lenzeinrichtung
| 35. Lenzeinrichtungen
..... Motorlenzpumpen und ..... Handlenzpumpen mit einer berechneten Gesamtförderleistung von ..... l/min |
| 36. Anzahl und Lage der Absperrorgane mit Plombierung/Schloss in Lenzeinrichtungen |
Ankereinrichtung
| 30. Ankerwinden | ..... | Bugankerwinde(n) *, davon mit Kraftantrieb | ..... | |
| 37.Anker | ..... | Buganker mit einer Gesamtmasse von | ..... | kg |
| 38. Ankerketten | ..... | Bugankerketten/-drahtseile (*) mit einer Länge von je | ..... | m und einer Bruchkraft von ..... / ..... kN |
Sonstige Einrichtung und Ausrüstung
| 39. Seile zum Festmachen
1. Seil mit einer Länge von ..... m und einer Bruchkraft von ..... kN 2. Seil mit einer Länge von ..... m und einer Bruchkraft von ..... kN |
|
| 41. Sicht- und Schallzeichen
Die Leuchten, Flaggen, Bälle, Döpper und Schallgeräte zur Bezeichnung des Fahrzeugs sowie zum Geben der in den schifffahrtspolizeilichen Vorschriften der Mitgliedstaaten vorgeschriebenen Sicht- und Schallzeichen befinden sich an Bord, ebenso wie die vom Bordnetz unabhängigen Ersatzlichter für die Lichter für das Stillliegen nach den schifffahrtspolizeilichen Vorschriften der Mitgliedstaaten. |
|
| 43. Einrichtung zur Brandbekämpfung
Anzahl tragbare Feuerlöscher ..... mit einem Füllgewicht von ..... kg |
|
| 44. Rettungsmittel
Anzahl Rettungsringe ..... , davon mit Licht ..... , mit Leine ...... * Eine Rettungsweste für jede gewöhnlich an Bord befindliche Person nach Andere Einzelrettungsmittel für Bordpersonal ..... Andere Einzelrettungsmittel für Fahrgäste ..... Sammelrettungsmittel, anrechenbar auf Anzahl ..... Einzelrettungsmittel * |
|
| 40. Sonstige Ausrüstung | |
| Wurfleine *
Bootshaken * Anzahl Verbandkästen * ..... Doppelglas * Plakat betreffend die Rettung Ertrinkender * Anzahl feuerbeständige Behälter ..... * |
Sprechfunkanlage
- Verkehrskreis Schiff - Schiff * - Verkehrskreis nautische Information * - Verkehrskreis Schiff - Hafenbehörde * |
Zusätzliche Ausrüstung für Zone 2
| In Zone 2 ist zusätzlich zu der Ausrüstung nach Nummer 34 bis 40 folgende zusätzliche Ausrüstung notwendig:
- Anker und Ankerketten * ................................................................................................................. - Signalleuchten * ............................................................................................................................... - Schallsignalanlagen * ...................................................................................................................... - Kompass * ....................................................................................................................................... - Radar * ............................................................................................................................................ - Sende- und Empfangsanlagen * ...................................................................................................... - Rettungsmittel * .............................................................................................................................. - Seekarten * ...................................................................................................................................... - Sonstiges: ........................................................................................................................................ |
Betriebsform und Besatzung
| 46. Das Fahrzeug ist geeignet für die Betriebsform
....................... |
47. Ausrüstung des Schiffes im Hinblick auf die Besatzung
Das Schiff erfüllt / erfüllt nicht * Standard S1 |
||||||||||
48. Mindestbesatzung beträgt
|
Bemerkungen und besondere Auflagen:
........................................................................................... ........................................................................................... ........................................................................................... |
||||||||||
Sonstiges
| 52. Anhang zum Gemeinschaftszeugnis
........................................................................................................................................................... ........................................................................................................................................................... ........................................................................................................................................................... ........................................................................................................................................................... ........................................................................................................................................................... |
Hinweis: Die im Protokoll vorangestellten Nummern entsprechen den entsprechenden Nummern des Gemeinschaftszeugnisses für Binnenschiffe.
Folgende Anlagen sind zur Einsicht diesem Antrag beigefügt
Ich habe das Fahrzeug als Sachverständiger untersucht und bestätige mit diesem Protokoll, dass das gesamte Fahrzeug, einschließlich seiner Einrichtung und Ausrüstung, sich in einem funktionstüchtigen Zustand befindet, keine Mängel aufweist und folgenden Vorschriften entspricht:
Gültigkeit des vorhergehenden Protokolls bis zum: ................................................
Tag der Untersuchung: ...............................................
Gültigkeit meines Protokolls bis zum (max. 5 Jahre): .................................................
| ______________________________ Ort und Datum |
______________________________ Name des Sachverständigen in Druckbuchstaben oder Stempel |
______________________________ Unterschrift |
*) Nichtzutreffendes streichen.
![]() |
weiter . |
![]() |
(Stand: 16.10.2018)
Alle vollständigen Texte in der aktuellen Fassung im Jahresabonnement
Nutzungsgebühr: ab 105.- € netto
(derzeit ca. 7200 Titel s.Übersicht - keine Unterteilung in Fachbereiche)
Die Zugangskennung wird kurzfristig übermittelt
? Fragen ?
Abonnentenzugang/Volltextversion