![]() |
zurück | ![]() |
Kapitel 4.2 Verwendung ortsbeweglicher Tanks und Gascontainer mit mehreren Elementen (MEGC)
Die Vorschriften dieses Kapitels sind auch auf Straßentankfahrzeuge in dem in Kapitel 6.8 angegebenen Umfang anzuwenden.
4.2.0 Übergangsbestimmungen
4.2.0.1 Die Vorschriften über die Verwendung und den Bau ortsbeweglicher Tanks dieses Kapitels und des Kapitels 6.7 beruhen auf den UN-Empfehlungen für die Beförderung gefährlicher Güter. Ortsbewegliche Tanks und Straßentankfahrzeuge nach der IMO-Typeneinteilung dürfen bis zum 1. Januar 2003 nach den am 1. Juli 1999 gültigen Vorschriften des IMDG-Codes (29. Amendment) gebaut werden. Tanks, die vor dem 1. Januar 2003 bescheinigt und zugelassen wurden, dürfen weiterhin verwendet werden, vorausgesetzt, dass befunden wurde, dass sie die geltenden Vorschriften für wiederkehrende Besichtigungen und Prüfungen erfüllen. Sie müssen den Vorschriften in den Spalten 13 un 14 in Kapitel 3.2 entsprechen. Es können jedoch bis zum 1. Januar 2010 die Vorschriften in Spalte 12 anstelle der Vorschriften in Spalte 13 angewendet werden. Ausführliche Erklärungen und Bauvorschriften sind in Dokument DSC/Circ. 12 (Hinweise zu weiteren Verwendung von vorhandenen ortsbeweglichen Tanks und Straßentankfahrzeugen nach der IMO-Typeneinteilung für die Beförderung gefährlicher Güter) zu finden.
Bemerkung: Für einen leichteren Bezug sind die folgenden Beschreibungen vorhandener IMO Tank-Typen beigefügt:
IMO Typ 1 Tank bezeichnet einen ortsbeweglichen Tank für die Beförderung von Stoffen der Klassen 3 bis 9 ausgerüstet mit Druckentlastungseinrichtungen und der einen höchstzulässigen Betriebsdruck von 1,75 bar oder mehr hat.
IMO Typ 2 Tank bezeichnet einen ortsbeweglichen Tank ausgerüstet mit Druckentlastungseinrichtungen, der einen höchstzulässigen Betriebsdruck von 1 bar oder mehr, aber weniger als 1,75 bar hat und für die Beförderung gefährlicher Flüssigkeiten mit geringer Gefahr und bestimmter fester Stoffe vorgesehen ist.
IMO Typ 4 Tank bezeichnet ein Straßentankfahrzeug für die Beförderung gefährlicher Güter der Klassen 3 bis 9 einschließlich eines Sattelaufliegers mit einem festverbundenen Tank oder ein Tank mit mindestens vier Verriegelungszapfen gemäß ISO Normen (z.B. Internationale ISO-Norm 1161; 1984), der mit einem Chassis verbunden ist.
IMO Typ 5 Tank bezeichnet einen ortsbeweglichen Tank, ausgerüstet mit Druckentlastungseinrichtungen, der für nicht gekühlt verflüssigte Gase der Klasse 2 verwendet wird.
IMO Typ 6 Tank bezeichnet ein Straßentankfahrzeug für die Beförderung von nicht gekühlt verflüssigten Gasen der Klasse 2 einschließlich eines Sattelaufliegers mit einem festverbundenen Tank oder ein mit dem Chassis verbundener Tank, der mit Bedienungsausrüstungen und baulicher Ausrüstung ausgestattet ist, die für die Beförderung von Gasen notwendig sind.
IMO Typ 7 Tank bedeutet einen wärmeisolierten ortsbeweglichen Tank, der mit Bedienungsausrüstungen und baulicher Ausrüstung ausgestattet ist, die für die Beförderung von gekühlt verflüssigten Gasen notwendig sind. Der ortsbewegliche Tank muss befördert, befüllt und entleert werden können ohne dass eine Entfernung seiner baulichen Ausrüstung erforderlich ist und er muss im befüllten Zustand angehoben werden können. Er darf nicht dauerhaft an Bord des Schiffes befestigt sein.
IMO Typ 8 Tank bezeichnet ein Straßentankfahrzeug für die Beförderung gekühlt verflüssigter Gase der Klasse 2 einschließlich eines Sattelaufliegers mit einem festverbundenen wärmeisolierten Tank, der mit Bedienungsausrüstung und baulicher Ausrüstung ausgestattet ist, die für die Beförderung von gekühlt verflüssigten Gasen notwendig sind.
Bemerkung: Straßentankfahrzeuge der IMO-Typen 4, 6 und 8 können nach dem 1. Januar 2003 gemäß den Vorschriften des Kapitels 6.8 gebaut werden.
4.2.0.2 Ortsbewegliche UN-Tanks und UN-MEGC, die nach einer vor dem 1. Januar 2008 ausgestellten Baumusterzulassungsbescheinigung gebaut wurden, dürfen weiterhin verwendet werden, vorausgesetzt, dass befunden wurde, dass sie die geltenden Bestimmungen über die wiederkehrende Besichtigung und Prüfung erfüllen.
4.2.1 Allgemeine Vorschriften für die Verwendung ortsbeweglicher Tanks zur Beförderung von Stoffen der Klassen 1 und 3 bis 9
4.2.1.1 Dieser Abschnitt beschreibt allgemeine Vorschriften für die Verwendung ortsbeweglicher Tanks zur Beförderung von Stoffen der Klassen 1, 3, 4, 5, 6, 7, 8 und 9 . Zusätzlich zu diesen allgemeinen Vorschriften müssen ortsbewegliche Tanks die in 6.7.2 beschriebenen Vorschriften für die Auslegung, den Bau, die Besichtigung und die Prüfung erfüllen. Stoffe müssen in ortsbeweglichen Tanks gemäß den jeweiligen Tankanweisungen und den Sondervorschriften für ortsbewegliche Tanks, die jedem Stoff in der Gefahrgutliste zugeordnet sind, befördert werden.
4.2.1.2 Während der Beförderung müssen die ortsbeweglichen Tanks gegen Beschädigung des Tankkörpers und der Bedienungsausrüstung durch Längs- oder Querstöße oder durch Umkippen ausreichend geschützt sein. Sind der Tankkörper und die Bedienungsausrüstung so gebaut, dass sie den Stößen oder dem Umkippen standhalten, ist ein solcher Schutz nicht erforderlich. Beispiele für einen solchen Schutz sind in 6.7.2.17.5 beschrieben.
4.2.1.3 Bestimmte Stoffe sind chemisch instabil. Sie sind zur Beförderung nur zugelassen, wenn die notwendigen Maßnahmen zur Verhinderung ihrer gefährlichen Zersetzung, Umwandlung oder Polymerisation während der Beförderung getroffen wurden. Zu diesem Zweck muss insbesondere dafür gesorgt werden, dass die Tankkörper keine Stoffe enthalten, die solche Reaktionen begünstigen können.
4.2.1.4 Die Temperatur der Außenfläche des Tankkörpers, ausgenommen Öffnungen und ihre Verschlüsse oder der Wärmeisolierung darf während der Beförderung 70 °C nicht übersteigen. Die Tankkörper müssen, soweit erforderlich, wärmeisoliert sein.
4.2.1.5 Ungereinigte leere und nicht entgaste ortsbewegliche Tanks müssen denselben Vorschriften entsprechen wie ortsbewegliche Tanks, die mit dem vorherigen Stoff befüllt sind.
4.2.1.6 Stoffe, dürfen nicht in benachbarten Tankkammern befördert werden, wenn sie gefährlich miteinander reagieren und folgendes bewirken können:
4.2.1.7 Die Baumusterzulassung, der Prüfbericht und die Bescheinigung mit den Ergebnissen der erstmaligen Prüfung, die von der zuständigen Behörde oder einer von ihr bestimmten Stelle für jeden ortsbeweglichen Tank ausgestellt wird, sind sowohl von dieser Behörde oder Stelle als auch vom Eigentümer aufzubewahren. Die Eigentümer müssen in der Lage sein, diese Dokumente auf Anforderung einer zuständigen Behörde vorzulegen.
4.2.1.8 Außer wenn die Benennung des beförderten Stoffes auf dem in 6.7.2.20.2 beschriebenen Metallschild angegeben ist, muss auf Anforderung einer zuständigen Behörde oder einer von ihr bestimmten Stelle eine Kopie der in 6.7.2.18.1 genannten Bescheinigung vom Absender, Empfänger oder Vertreter unverzüglich vorgelegt werden.
4.2.1.9 Füllungsgrad
4.2.1.9.1 Vor dem Befüllen muss der Absender sicherstellen, dass der zutreffende ortsbewegliche Tank verwendet wird, geeignet ist und nicht mit Stoffen befüllt wird, die bei Berührung mit den Werkstoffen des Tankkörpers, der Dichtungen, der Bedienungsausrüstung und der gegebenenfalls vorhandenen Schutzauskleidungen gefährlich reagieren können, so dass gefährliche Stoffe entstehen oder diese Werkstoffe merklich geschwächt werden. Der Versender muss dazu gegebenenfalls den Hersteller des Stoffes sowie die zuständige Behörde konsultieren, um Auskunft über die Verträglichkeit des Stoffes mit den Werkstoffen des ortsbeweglichen Tanks zu erhalten.
4.2.1.9.1.1 Ortsbewegliche Tanks dürfen nicht über die in 4.2.1.9.2 und 4.2.1.9.6 festgelegten Grenzen hinaus befüllt werden. Die Anwendbarkeit der Absätze 4.2.1.9.2, 4.2.1.9.3 oder 4.2.1.9.5.1 auf einzelne Stoffe ist festgelegt in den anwendbaren Tankanweisungen oder Sondervorschriften in 4.2.5.2.6 oder 4.2.5.3 und in den Spalten (12), (13) und (14) der Gefahrgutliste.
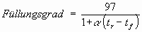
4.2.1.9.2 Für die allgemeine Verwendung wird der höchste Füllungsgrad (in %) durch folgende Formel bestimmt:

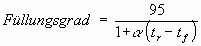
4.2.1.9.3. Der höchste Füllungsgrad (in %) für flüssige Stoffe der Klassen 6.1 und 8 Verpackungsgruppen I und II sowie für flüssige Stoffe mit einem absoluten Dampfdruck bei 65 °C von mehr als 175 kPa (1,75 bar) oder für flüssige Stoffe; die als Meeresschadstoffe eingestuft sind, wird durch folgende Formel bestimmt:

4.2.1.9.4 In diesen Formeln ist α der mittlere kubische Ausdehnungskoeffizient des flüssigen Stoffes zwischen der mittleren Temperatur des flüssigen Stoffes beim Befüllen (tf) und der höchsten mittleren Temperatur des Füllguts während der Beförderung (tr) (beide in °C). Bei flüssigen Stoffen, die unter Umgebungsbedingungen befördert werden, kann α mit folgender Formel berechnet werden:

wobei d15 und d50 die Dichten des flüssigen Stoffes bei 15 °C bzw. 50 °C sind.
4.2.1.9.4.1 Als höchste mittlere Temperatur des Füllguts (tr) wird 50°C festgelegt, ausgenommen bei Beförderungen unter gemäßigten oder extremen klimatischen Bedingungen, für die die betreffenden zuständigen Behörden einer niedrigeren Temperatur zustimmen bzw. eine höhere Temperatur vorschreiben können.
4.2.1.9.5 Die Vorschriften von 4.2.1.9.2 bis 4.2.1.9.4.1 gelten nicht für ortsbewegliche Tanks, deren Inhalt während der Beförderung über 50°C (z.B. durch eine Heizeinrichtung) gehalten werden. Bei ortsbeweglichen Tanks, die mit einer Heizeinrichtung ausgerüstet sind, muss ein Temperaturregler verwendet werden, um sicherzustellen, dass während der Beförderung der höchste Füllungsgrad niemals mehr als 95 % beträgt.
4.2.1.9.5.1 Der höchste Füllungsgrad (in %) für feste Stoffe, die über ihrem Schmelzpunkt befördert werden, und für erwärmte flüssige Stoffe wird durch folgende Formel bestimmt:
wobei df und dr die Dichten des flüssigen Stoffes bei der mittleren Temperatur des flüssigen Stoffes während des Befüllens bzw. der höchsten mittleren Temperatur des Füllguts während der Beförderung sind.
4.2.1.9.6 Ortsbewegliche Tanks dürfen nicht zur Beförderung aufgegeben werden:
Für einige gefährliche Stoffe kann ein geringerer Füllungsgrad vorgeschrieben werden.
4.2.1.9.7 Gabeltaschen von ortsbeweglichen Tanks müssen bei befüllten Tanks geschlossen sein. Diese Vorschrift gilt nicht für ortsbewegliche Tanks, deren Gabeltaschen nach 6.7.3.13.4 nicht mit Verschlusseinrichtungen versehen sein müssen.
4.2.1.9.8 Ortsbewegliche Tanks dürfen an Bord weder befüllt noch entleert werden.
4.2.1.10 Zusätzliche Vorschriften für die Beförderung von Stoffen der Klasse 3 in ortsbeweglichen Tanks
Alle für die Beförderung entzündbarer flüssiger Stoffe vorgesehenen ortsbeweglichen Tanks müssen verschlossen und mit Entlastungseinrichtungen gemäß 6.7.2.8 bis 6.7.2.15 ausgerüstet sein.
4.2.1.11 Zusätzliche Vorschriften für die Beförderung von Stoffen der Klassen 4 (ausgenommen selbstzersetzliche Stoffe der Klasse 4.1) in ortsbeweglichen Tanks
(bleibt offen)
Bemerkung: Für selbstzersetzliche Stoffe der Klasse 4.1 siehe 4.2.1.13
4.2.1.12 Zusätzliche Vorschriften für die Beförderung von Stoffen der Klasse 5.1 in ortsbeweglichen Tanks
(bleibt offen)
4.2.1.13 Zusätzliche Vorschriften für die Beförderung von Stoffen der Klasse 5.2 und selbstzersetzlichen Stoffen der Klasse 4.1 in ortsbeweglichen Tanks
4.2.1.13.1 Alle Stoffe müssen geprüft sein. Der zuständigen Behörde des Ursprungslandes muss für die Zulassung ein Prüfbericht eingereicht worden sein. An die zuständige Behörde des Bestimmungslandes ist eine Mitteilung über die Zulassung zu senden. Diese Mitteilung muss die anwendbaren Beförderungsbedingungen und den Bericht mit den Prüfergebnissen enthalten. Die durchgeführten Prüfungen müssen folgendes ermöglichen:
Alle Sondervorschriften, die für die sichere Beförderung des Stoffes notwendig sind, müssen eindeutig im Bericht beschrieben sein.
4.2.1.13.2 Die folgenden Vorschriften gelten für ortsbewegliche Tanks, die für die Beförderung organischer Peroxide oder selbstzersetzlicher Stoffe des Typs F mit einer Temperatur der selbstbeschleunigenden Zersetzung (SADT) von mindestens 55 °C vorgesehen sind. Sofern diese Vorschriften in Widerspruch zu den Vorschriften in 6.7.2 stehen, haben sie Vorrang. Zu berücksichtigende Notfallsituationen sind die selbstbeschleunigende Zersetzung des Stoffes sowie die in 4.2.1.13.8 beschriebene Feuereinwirkung.
4.2.1.13.3 Zusätzliche Vorschriften für die Beförderung organischer Peroxide oder selbstzersetzlicher Stoffe mit einer SADT unter 55 °C in ortsbeweglichen Tanks sind von der zuständigen Behörde des Ursprungslandes festzulegen. An die zuständige Behörde des Bestimmungslandes ist eine diesbezügliche Mitteilung zu senden.
4.2.1.13.4 Der ortsbewegliche Tank muss für einen Prüfdruck von mindestens 0,4 MPa (4 bar) ausgelegt sein.
4.2.1.13.5 Ortsbewegliche Tanks müssen mit Temperaturfühlern ausgerüstet sein.
4.2.1.13.6 Ortsbewegliche Tanks müssen mit Druckentlastungs- und Notfall-Druckentlastungseinrichtungen ausgerüstet sein. Vakuumventile dürfen ebenfalls verwendet werden. Druckentlastungseinrichtungen müssen bei Drücken ansprechen, die den Eigenschaften des Stoffes und den Konstruktionsmerkmalen des ortsbeweglichen Tanks entsprechend festgesetzt werden. Schmelzsicherungen sind an Tankkörpern nicht zugelassen.
4.2.1.13.7 Die Druckentlastungseinrichtungen müssen aus federbelasteten Ventilen bestehen, die so eingestellt sind, dass ein wesentlicher Druckanstieg im Tank durch Zersetzungsprodukte und Dämpfe, die bei einer Temperatur von 50 °C gebildet werden, verhindert wird. Die Abblasmenge und der Ansprechdruck der Entlastungsventile muss auf Grund der Ergebnisse der in 4.2.1.13.1 festgelegten Prüfungen bestimmt werden. Der Ansprechdruck darf jedoch auf keinen Fall so eingestellt sein, dass bei einem Umkippen des ortsbeweglichen Tanks Flüssigkeit aus dem (den) Ventil(en) entweicht.
4.2.1.13.8 Die Notfall -Druckentlastungseinrichtungen dürfen als federbelastete Ventile oder Berstscheiben oder als Kombination aus beiden ausgeführt sein, die so ausgelegt sind, dass sämtliche entstehenden Zersetzungsprodukte und Dämpfe abgeführt werden, die sich bei vollständiger Feuereinwirkung während eines Zeitraums von mindestens einer Stunde unter entwickeln, die durch folgende Formel definiert werden:

wobei q = Wärmeaufnahme [W]
a = benetzte Fläche [m2]
F = Isolierungsfaktor [-]
F = 1 für nicht isolierte Tanks oder
F =
für isolierte Tanks
wobei K = Wärmeleitfähigkelt der lsolierungsschicht [W m-1 K-1]
L = Dicke der Isolierungsschicht [m]
U = K/L = Wärmeleitkoeffizient der Isolierung [W m-2 K-1]
T = Temperatur des Stoffes unter Entlastungsbedingungen [K]
Der Ansprechdruck der Notfall -Druckentlastungseinrichtung (en) muss höher sein als der in 4.2.1.13.7 genannte und auf Grund der Prüfergebnisse nach 4.2.1.13.1 festgelegt sein. Die Notfall-Druckentlastungseinrichtungen müssen so bemessen sein, dass der höchste Druck im Tank zu keinem Zeitpunkt den Prüfdruck des ortsbeweglichen Tanks übersteigt.
Bemerkung: Im Handbuch Prüfungen und Kriterien Anhang 5 ist ein Beispiel für eine Methode zur Dimensionierung der Notfall-Druckentlastungseinrichtungen angegeben.
4.2.1.13.9 Für isolierte ortsbewegliche Tanks ist zur Ermittlung der Abblasmenge und der Einstellung der Notfall-Druckentlastungseinrichtung(en) von einem Isolierungsverlust von 1 % der Oberfläche auszugehen.
4.2.1.13.10 Vakuumventile und federbelastete Ventile sind mit Flammendurchschlagsicherungen auszurüsten. Die Verminderung der Entlastungskapazität durch diese Flammendurchschlagsicherung ist zu berücksichtigen.
4.2.1.13.11 Bedienungsausrüstungen wie Absperreinrichtungen und äußere Rohrleitungen sind so anzuordnen, dass nach dem Befüllen des ortsbeweglichen Tanks kein Stoffrest in ihnen zurückbleibt.
4.2.1.13.12 Ortsbewegliche Tanks dürfen entweder wärmeisoliert oder mit einem Sonnenschutz ausgeführt sein. Wenn die SADT des Stoffes im ortsbeweglichen Tank höchstens 55 °C beträgt oder wenn der ortsbewegliche Tank aus Aluminium hergestellt ist, muss er vollständig isoliert sein. Die Außenfläche muss einen weißen Anstrich haben oder in blankem Metall ausgeführt sein.
4.2.1.13.13 Der Füllungsgrad darf bei 15 °C 90 % nicht übersteigen.
4.2.1.13.14 Die in 6.7.2.20.2 vorgeschriebene Kennzeichnung muss die UN-Nummer und die technische Bezeichnung mit der zugelassenen Konzentration des betreffenden Stoffes enthalten.
4.2.1.13.15 Die in der Anweisung für ortsbewegliche Tanks T23 in 4.2.5.2.6 aufgeführten organischen Peroxide und selbstzersetzlichen Stoffe dürfen in ortsbeweglichen Tanks befördert werden.
4.2.1.14 Zusätzliche Vorschriften für die Beförderung von Stoffen der Klasse 6.1 in ortsbeweglichen Tanks
(bleibt offen)
4.2.1.15 Zusätzliche Vorschriften für die Beförderung von Stoffen der Klasse 6.2 in ortsbeweglichen Tanks
(bleibt offen)
4.2.1.16 Zusätzliche Vorschriften für die Beförderung von Stoffen der Klasse 7 in ortsbeweglichen Tanks
4.2.1.16.1 Die für die Beförderung radioaktiver Stoffe verwendeten ortsbeweglichen Tanks dürfen nicht für die Beförderung anderer Güter verwendet werden.
4.2.1.16.2 Der Füllungsgrad für ortsbewegliche Tanks darf 90 % bzw. einen anderen, von der zuständigen Behörde zugelassenen Wert nicht übersteigen.
4.2.1.17 Zusätzliche Vorschriften für die Beförderung von Stoffen der Klasse 8 in ortsbeweglichen Tanks
4.2.1.17.1 Die Druckentlastungseinrichtungen von ortsbeweglichen Tanks, die für die Beförderung von Stoffen der Klasse 8 verwendet werden, müssen in regelmäßigen Abständen von höchstens einem Jahr überprüft werden.
4.2.1.18 Zusätzliche Vorschriften für die Beförderung von Stoffen der Klasse 9 in ortsbeweglichen Tanks
(bleibt offen)
4.2.1.19 Zusätzliche Vorschriften für die Beförderung von festen Stoffen, die über ihrem Schmelzpunkt befördert werden
4.2.1.19.1 Feste Stoffe, die über ihrem Schmelzpunkt befördert oder zur Beförderung aufgegeben werden und denen in Spalte 13 der Gefahrgutliste in Kapitel 3.2 keine Anweisung für ortsbewegliche Tanks zugeordnet ist oder bei denen sich die zugeordnete Anweisung für ortsbewegliche Tanks nicht auf eine Beförderung bei Temperaturen über dem Schmelzpunkt bezieht, dürfen in ortsbeweglichen Tanks befördert werden, vorausgesetzt, die festen Stoffe sind der Klasse 4.1, 4.2, 4.3, 5.1, 6.1, 8 oder 9 zugeordnet, haben mit Ausnahme der Zusatzgefahr der Klasse 6.1 oder 8 keine weitere Zusatzgefahr und sind der Verpackungsgruppe II oder III zugeordnet.
4.2.1.19.2 Sofern in der Gefahrgutliste nichts anderes angegeben ist, müssen ortsbewegliche Tanks, die für die Beförderung dieser festen Stoffe über ihrem Schmelzpunkt verwendet werden, für feste Stoffe der Verpackungsgruppe III den Vorschriften der Anweisung für ortsbewegliche Tanks T 4 und für feste Stoffe der Verpackungsgruppe II den Vorschriften der Anweisung für ortsbewegliche Tanks T 7 entsprechen. Nach 4.2.5.2.5 darf auch ein ortsbeweglicher Tank, der ein gleichwertiges oder höheres Sicherheitsniveau bietet, ausgewählt werden. Der höchste Füllungsgrad (in %) ist nach 4.2.1.9.5 (Sondervorschrift TP3) zu bestimmen.
4.2.2 Allgemeine Vorschriften für die Verwendung ortsbeweglicher Tanks zur Beförderung nicht tiefgekühlt verflüssigter Gase
4.2.2.1 Dieser Abschnitt enthält die allgemeinen Vorschriften, die für die Verwendung ortsbeweglicher Tanks zur Beförderung nicht tiefgekühlt verflüssigter Gase der Klasse 2 anzuwenden sind.
4.2.2.2 Die ortsbeweglichen Tanks müssen den in 6.7.3 angegebenen Vorschriften für die Auslegung, den Bau, die Besichtigung und die Prüfung entsprechen. Nicht tiefgekühlt verflüssigte Gase müssen in ortsbeweglichen Tanks befördert werden, die der in 4.2.5.2.6 beschriebenen Anweisung für ortsbewegliche Tanks T 50 und bestimmten nicht tiefgekühlt verflüssigten Gasen in der Gefahrgutliste zugeordneten und in 4.2.5.3 beschriebenen Sondervorschriften für ortsbewegliche Tanks entsprechen.
4.2.2.3 Während der Beförderung müssen die ortsbeweglichen Tanks gegen Beschädigung des Tankkörpers und der Bedienungsausrüstung durch Längs- oder Querstöße oder durch Umkippen ausreichend geschützt sein. Sind der Tankkörper und die Bedienungsausrüstung so gebaut, dass sie den Stößen oder dem Umkippen standhalten, ist ein solcher Schutz nicht erforderlich. Beispiele für einen solchen Schutz sind in 6.7.3.13.5 beschrieben.
4.2.2.4 Bestimmte nicht tiefgekühlt verflüssigte Gase sind chemisch instabil. Sie sind zur Beförderung nur zugelassen, wenn die notwendigen Maßnahmen zur Verhinderung ihrer gefährlichen Zersetzung, Umwandlung oder Polymerisation während der Beförderung getroffen wurden. Zu diesem Zweck muss insbesondere dafür gesorgt werden, dass die ortsbeweglichen Tanks keine nicht tiefgekühlt verflüssigten Gase enthalten, die solche Reaktionen begünstigen können.
4.2.2.5 Außer wenn die Benennung des beförderten Gases auf dem in 6.7.3.16.2 beschriebenen Metallschild angegeben ist, muss auf Anforderung einer zuständigen Behörde oder einer von ihr bestimmten Stelle eine Kopie der in 6.7.3.14.1 genannten Bescheinigung vom Absender, Empfänger oder Vertreter unverzüglich vorgelegt werden.
4.2.2.6 Ungereinigte leere und nicht entgaste ortsbewegliche Tanks müssen denselben Vorschriften entsprechen wie ortsbewegliche Tanks, die mit dem vorherigen nicht tiefgekühlt verflüssigten Gas befüllt sind.
4.2.2.7 Befüllen
4.2.2.7.1 Vor dem Befüllen muss der Absender sicherstellen, dass der verwendete ortsbewegliche Tank für das zu befördernde nicht tiefgekühlt verflüssigte Gas zugelassen ist und nicht mit nicht tiefgekühlt verflüssigten Gasen befüllt wird, die bei Berührung mit den Werkstoffen des Tankkörpers, der Dichtungen und der Bedienungsausrüstung gefährlich reagieren können, so dass gefährliche Stoffe entstehen oder diese Werkstoffe merklich geschwächt werden. Während des Befüllens muss die Temperatur des nicht tiefgekühlt verflüssigten Gases innerhalb der Grenzen des Auslegungstemperaturbereichs liegen.
4.2.2.7.2 Die höchste Masse des nicht tiefgekühlt verflüssigten Gases je Liter Fassungsraum des Tanks (kg/I) darf die Dichte des nicht tiefgekühlt verflüssigten Gases bei 50 °C, multipliziert mit 0,95, nicht übersteigen. Darüber hinaus darf der Tank bei 60 °C nicht vollständig flüssigkeitsgefüllt sein.
4.2.2.7.3 Die ortsbeweglichen Tanks dürfen nicht über ihre höchstzulässige Bruttomasse und über die für jedes zu befördernde Gas festgelegte höchstzulässige Masse der Füllung befüllt werden.
4.2.2.7.4 Ortsbewegliche Tanks dürfen an Bord weder befüllt noch entleert werden.
4.2.2.8 Ortsbewegliche Tanks dürfen nicht zur Beförderung aufgegeben werden:
4.2.2.9 Gabeltaschen von ortsbeweglichen Tanks müssen bei befüllten Tanks geschlossen sein. Diese Vorschrift gilt nicht für ortsbewegliche Tanks, deren Gabeltaschen nach 6.7.4.12.4 nicht mit Verschlusseinrichtungen versehen sein müssen.
4.2.3 Allgemeine Vorschriften für die Verwendung ortsbeweglicher Tanks zur Beförderung tiefgekühlt verflüssigter Gase der Klasse 2
4.2.3.1 Dieser Abschnitt enthält die allgemeinen Vorschriften, die für die Verwendung ortsbeweglicher Tanks zur Beförderung tiefgekühlt verflüssigter Gase anzuwenden sind.
4.2.3.2 Die ortsbeweglichen Tanks müssen den in 6.7.4 angegebenen Vorschriften für die Auslegung, den Bau, die Besichtigung und die Prüfung entsprechen. Tiefgekühlt verflüssigte Gase müssen in ortsbeweglichen Tanks befördert werden, die der in 4.2.5.2.6 beschriebenen Anweisung für ortsbewegliche Tanks T75 und den Sondervorschriften für ortsbewegliche Tanks entsprechen, die jeden Stoff in den Spalten (12) und (14) der Gefahrgutliste zugeordnet und in 4.2.5.3 beschrieben sind.
4.2.3.3 Während der Beförderung müssen die ortsbeweglichen Tanks gegen Beschädigung des Tankkörpers und der Bedienungsausrüstung durch Längs- oder Querstöße oder durch Umkippen ausreichend geschützt sein. Sind der Tankkörper und die Bedienungsausrüstung so gebaut, dass sie den Stößen oder dem Umkippen standhalten, ist ein solcher Schutz nicht erforderlich. Beispiele für einen solchen Schutz sind in 6.7.4.12.5 beschrieben.
4.2.3.4 Außer wenn die Benennung des beförderten Gases auf dem in 6.7.4.15.2 beschriebenen Metallschild angegeben ist, muss auf Anforderung einer zuständigen Behörde oder einer von ihr bestimmten Stelle eine Kopie der in 6.7.4.13.1 genannten Bescheinigung vom Absender, Empfänger oder Vertreter unverzüglich vorgelegt werden.
4.2.3.5 Ungereinigte leere und nicht entgaste ortsbewegliche Tanks müssen denselben Vorschriften entsprechen wie ortsbewegliche Tanks, die mit dem vorherigen tiefgekühlt verflüssigten Gas befüllt sind.
4.2.3.6 Befüllen
4.2.3.6.1 Vor dem Befüllen muss der Absender sicherstellen, dass der verwendete ortsbewegliche Tank für das zu befördernde tiefgekühlt verflüssigte Gas zugelassen ist und nicht mit tiefgekühlt verflüssigten Gasen befüllt wird, die bei Berührung mit den Werkstoffen des Tankkörpers, der Dichtungen und der Bedienungsausrüstung gefährlich reagieren können, so dass gefährliche Stoffe entstehen oder diese Werkstoffe merklich geschwächt werden. Während des Befüllens muss die Temperatur des tiefgekühlt verflüssigten Gases innerhalb der Grenzen des Auslegungstemperaturbereichs liegen.
4.2.3.6.2 Bei der Ermittlung des Anfangsfüllungsgrades muss die für die vorgesehene Beförderung notwendige Haltezeit aller eventuell auftretender Verzögerungen in Betracht gezogen werden. Abgesehen von den Vorschriften in 4.2.3.6.3 und 4.2.3.6.4 muss der Anfangsfüllungsgrad des Tanks so gewählt werden, dass bei einem Temperaturanstieg des Inhalts, ausgenommen Helium, bis zu einer Temperatur, bei der der Dampfdruck gleich dem höchstzulässigen Betriebsdruck ist, das vom flüssigen Stoff eingenommene Volumen 98 % nicht überschreitet.
4.2.3.6.3 Zur Beförderung von Helium vorgesehene Tanks dürfen bis zur Einlassöffnung der Druckentlastungseinrichtung, nicht aber darüber hinaus, befüllt werden.
4.2.3.6.4 Ein höherer Anfangsfüllungsgrad kann unter dem Vorbehalt der Genehmigung durch die zuständige Behörde zugelassen werden, wenn die vorgesehene Dauer der Beförderung beträchtlich kürzer ist als die Haltezeit.
4.2.3.6.5 Ortsbewegliche Tanks dürfen an Bord weder befüllt noch entleert werden.
4.2.3.7 Tatsächliche Haltezeit
Für jede Beförderung ist die tatsächliche Haltezeit nach einem von der zuständigen Behörde anerkannten Verfahren zu berechnen, und zwar unter Berücksichtigung:
4.2.3.7.2 Die tatsächliche Haltezeit ist entweder auf dem ortsbeweglichen Tank selbst oder auf einem am Ortsbeweglichen Tank angebrachten Metallschild gemäß 6.7.4.15.2 anzugeben.
4.2.3.8 Ortsbewegliche Tanks dürfen nicht zur Beförderung aufgegeben werden:
4.2.3.9 Gabeltaschen von ortsbeweglichen Tanks müssen bei befülltem Tanks geschlossen sein. Diese Vorschrift gilt nicht für ortsbewegliche Tanks, deren Gabeltaschen nach 6.7.4.12.4 nicht mit Verschlußeinrichtungen versehen sein müssen.
4.2.4 Allgemeine Vorschriften für die Verwendung von Gascontainern mit mehreren Elementen (MEGC)
4.2.4.1 Dieser Abschnitt enthält die allgemeinen Vorschriften, die für die Verwendung von Gascontainern mit mehreren Elementen (MEGC) zur Beförderung nicht tiefgekühlter Gase anzuwenden sind.
4.2.4.2 Die MEGC müssen den in Abschnitt 6.7.5 angegebenen Vorschriften für die Auslegung, den Bau und die Prüfung entsprechen. Die Elemente der MEGC müssen nach 4.1.4.1 Verpackungsanweisungen P200 und 6.2.1.5 wiederkehrend geprüft werden.
4.2.4.3 Während der Beförderung müssen die MEGC gegen Beschädigung der Elemente und der Bedienungsausrüstung durch Längs- oder Querstöße oder durch Umkippen ausreichend geschützt sein. Sind die Elemente und die Bedienungsausrüstung so gebaut, dass sie den Stößen oder dem Umkippen standhalten, ist ein solcher Schutz nicht erforderlich. Beispiele für einen solchen Schutz sind in 6.7.5.10.4 beschrieben.
4.2.4.4 Die Vorschriften für die wiederkehrende Prüfung von MEGC sind in 6.7.5.12 aufgeführt. Die MEGC oder deren Elemente dürfen nach der Fälligkeit der wiederkehrenden Prüfung nicht beladen oder befüllt werden, sie dürfen jedoch nach Ablauf der Frist für die wiederkehrende Prüfung befördert werden.
4.2.4.5 Befüllen
4.2.4.5.1 Vor dem Befüllen ist der MEGC zu prüfen, um sicherzustellen, dass er für das zu befördernde Gas zugelassen ist und die anwendbaren Vorschriften dieses Codes eingehalten sind.
4.2.4.5.2 Die Elemente der MEGC sind entsprechend den Betriebsdrücken, Füllungsgraden und Befüllungsvorschriften zu befüllen, die in 4.1.4.1 Verpackungsanweisung P200 für das in die einzelnen Elemente zu befüllende Gas festgelegt sind. Ein MEGC oder eine Gruppe von Elementen darf als Einheit in keinem Fall über den niedrigsten Betriebsdruck irgendeines der Elemente hinaus befüllt werden.
4.2.4.5.3 Die MEGC dürfen nicht über ihre höchstzulässige Bruttomasse befüllt werden.
4.2.4.5.4 Die Trennventile müssen nach dem Befüllen geschlossen werden und während der Beförderung verschlossen bleiben. Giftige Gase der Klasse 2.3 dürfen nur in MEGC befördert werden, bei denen jedes Element mit einem Trennventil ausgerüstet ist.
4.2.4.5.5 Die Öffnungen) für das Befüllen muss (müssen) durch Kappen oder Stopfen verschlossen werden. Nach dem Befüllen ist die Dichtheit der Verschlüsse und der Ausrüstung durch den Verlader zu überprüfen.
4.2.4.5.6 MEGC dürfen nicht zur Befüllung übergeben werden:
4.2.4.6 Befüllte MEGC dürfen nicht zur Beförderung aufgegeben werden:
4.2.4.7 Ungereinigte leere und nicht entgaste MEGC müssen denselben Vorschriften entsprechen wie MEGC, die mit dem vorher beförderten Stoff befüllt sind.
4.2.5 Anweisungen und Sondervorschriften für ortsbewegliche Tanks
4.2.5.1 Allgemeines
4.2.5.1.1 Dieser Abschnitt enthält die Anweisungen für ortsbewegliche Tanks und die Sondervorschriften, die für die in ortsbeweglichen Tanks zugelassenen gefährlichen Stoffen anwendbar sind. Jede Anweisung für ortsbewegliche Tanks ist durch einen alphanummerischen Code ( T1 bis T75) gekennzeichnet. Die Gefahrgutliste in Kapitel 3.2 enthält die für jeden für die Beförderung in ortsbeweglichen Tanks zugelassenen Stoff anwendbare Anweisung für ortsbewegliche Tanks. Wenn für ein bestimmtes gefährliches Gut in der Gefahrgutliste keine Anweisung für ortsbewegliche Tanks angegeben ist, ist die Beförderung dieses Stoffes in ortsbeweglichen Tanks nicht zugelassen, es sei denn, eine zuständige Behörde hat eine Zulassung gemäß 6.7.1.3 erteilt. In der Gefahrgutliste der gefährlichen Güter in Kapitel 3.2 sind bestimmten gefährliche Stoffen Sondervorschriften für ortsbewegliche Tanks zugeordnet. Jede Sondervorschrift für ortsbewegliche Tanks ist durch einen alphanummerischen Code (z.B. TP1) gekennzeichnet. In 4.2.5.3 ist eine Aufzählung der Sondervorschriften für ortsbewegliche Tanks aufgeführt.
Bemerkung: Die zur Beförderung in MEGC zugelassenen Gase sind in der Spalte "MEGC" in den Tabellen 1 und 2 der Verpackungsanweisung P 200 in 4.1.4.1 angegeben.
4.2.5.2 Anweisungen für ortsbewegliche Tanks
4.2.5.2.1 Die Anweisungen für ortsbewegliche Tanks gelten für gefährliche Stoffe der Klassen 1 bis 9. Die Anweisungen für ortsbewegliche Tanks geben spezifische Auskunft über die für bestimmte Stoffe anwendbaren Vorschriften für ortsbeweglichen Tanks. Diese Vorschriften müssen zusätzlich zu den allgemeinen Vorschriften dieses Kapitel und des Kapitels 6.7 erfüllt werden.
4.2.5.2.2 Für Stoffe der Klassen 1 und 3 bis 9 geben die Anweisungen für ortsbewegliche Tanks den anzuwendenden Mindestprüfdruck, die Mindestwanddicke des Tankkörpers (für Bezugsstahl), Vorschriften für die Bodenöffnungen und die Druckentlastungseinrichtung an. In der Anweisung für ortsbewegliche Tanks T23 sind die selbstzersetzlichen Stoffe der Klasse 4.1 und die organischen Peroxide der Klasse 5.2, die zur Beförderung in ortsbeweglichen Tanks zugelassen sind, sowie die anzuwendenden Kontroll- und Notfalltemperaturen angegeben.
4.2.5.2.3 Nicht tiefgekühlt verflüssigte Gase sind der Anweisung für ortsbewegliche Tanks T50 zugeordnet, die für jedes zur Beförderung in ortsbeweglichen Tanks zugelassene nicht tiefgekühlt verflüssigte Gas den höchstzulässigen Betriebsdruck sowie die Vorschriften für die Bodenöffnungen, die Druckentlastungseinrichtungen und den Füllungsgrad angibt.
4.2.5.2.4 Tiefgekühlt verflüssigte Gase sind der Anweisung für ortsbewegliche Tanks T75 zugeordnet.
4.2.5.2.5 Bestimmung der entsprechenden Anweisung für ortsbewegliche Tanks
Wird in der Gefahrgutliste bei einem bestimmten gefährlichen Stoff eine bestimmte Anweisung für ortsbewegliche Tanks angegeben, dürfen auch andere ortsbewegliche Tanks verwendet werden, die Anweisungen entsprechen, die höhere Prüfdrücke, größere Wanddicken der Tankkörper und strengere Anforderungen für die Bodenöffnungen und Druckentlastungseinrichtungen vorschreiben. Die folgenden Richtlinien dienen zur Bestimmung eines geeigneten ortsbeweglichen Tank, der für die Beförderung eines bestimmten Stoffes verwendet werden darf:
| Anweisung für ortsbewegliche Tanks | weitere zugelassene Anweisungen für ortsbewegliche Tanks | |
| T1 | T2, T3, T4, T5, T6, T7, T8, T9, T10, T11, T12, T13, T14, T15, T16, T17, T18, T19, T20, T21, T22 | |
| T2 | T4, T5, T7, T8, T9, T10, T11, T12, T13, T14, T15, T16, T17, T18, T19, T20, T21, T22 | |
| T3 | T4, T5, T6, T7, T8, T9, T10, T11, T12, T13, T14, T15, T16, T17, T18, T19, T20, T21, T22 | |
| T4 | T5, T7, T8, T9, T10, T11, T12, T13, T14, T15, T16, T17, T18, T19, T20, T21, T22 | |
| T5 | T10, T14, T19, T20, T22 | |
| T6 | T7, T8, T9, T10 ,T11, T12, T13, T14, T15, T16, T17, T18, T19, T20, T21, T22 | |
| T7 | T8, T9, T10, T11, T12, T13, T14, T15, T16, T17, T18, T19, T20, T21, T22 | |
| T8 | T9, T10, T13, T14, T19, T20, T21, T22 | |
| T9 | T10, T13, T14, T19, T20, T21, T22 | |
| T10 | T14, T19, T20, T22 | |
| T11 | T12, T13, T14, T15, T16, T17, T18, T19, T20, T21, T22 | |
| T12 | T14, T16, T18, T19, T20, T22 | |
| T13 | T14, T19, T20, T21, T22 | |
| T14 | T19, T20, T22 | |
| T15 | T16, T17, T18, T19, T20, T21, T22 | |
| T16 | T18, T19, T20, T22 | |
| T17 | T18, T19, T20, T21, T22 | |
| T18 | T19, T20, T22 | |
| T 19 | T 20, T 22 | |
| T 20 | T22 | |
| T 21 | T22 | |
| T 22 | keine | |
| T 23 | keine | |
| T 50 | keine | |
![]() |
weiter . | ![]() |
(Stand: 29.08.2018)
Alle vollständigen Texte in der aktuellen Fassung im Jahresabonnement
Nutzungsgebühr: ab 105.- € netto
(derzeit ca. 7200 Titel s.Übersicht - keine Unterteilung in Fachbereiche)
Die Zugangskennung wird kurzfristig übermittelt
? Fragen ?
Abonnentenzugang/Volltextversion