Für einen individuellen Ausdruck passen Sie bitte dieEinstellungen in der Druckvorschau Ihres Browsers an. Regelwerk |
![]() |
Entschließung A.852(20) *
Richtlinien für den Aufbau eines integrierten Systems der Eingreifplanung für Notfälle auf Schiffen
Vom 18. August 1998
(VkBl. Nr. 16/1998 Sonderdruck S. 33; 03.09.2014 S. 688aufgehoben)
Nachfolgeregelung
(Zur altuellen Fassung)
(angenommen am 26. November 1997)
Die Versammlung
eingedenk des Artikels 15 Buchstabe j des Übereinkommens über die Internationale Seeschiffahrts-Organisation betreffend die Aufgaben der Versammlung im Zusammenhang mit Vorschriften und Richtlinien über Schiffssicherheit sowie Verhütung und Verringerung der Meeresverschmutzung durch Schiffe;
und im Hinblick darauf, daß die Internationale Konferenz von 1994 der Vertragsregierungen des Internationalen Übereinkommens von 1974 zum Schutz des menschlichen Lebens auf See ( SOLAS) Änderungen zu diesem Übereinkommen verabschiedet hat, wodurch unter anderem ein neues Kapitel IX über die Organisation eines sicheren Schiffsbetriebs eingeführt wurde, das die Einhaltung des Internationalen Code für die Organisation eines sicheren Schiffsbetriebs und der Verhütung der Meeresverschmutzung ( ISM-Code) zwingend vorschreibt;
in dem Bewußtsein, daß bordeigene Notfallpläne, die sich mit verschiedenen Kategorien von Notfällen befassen, nach dem SOLAS-Übereinkommen von 1974 in der jeweils gültigen Fassung sowie nach dem Internationalen Übereinkommen von 1973 zur Verhütung der Meeresverschmutzung durch Schiffe in der Fassung des Protokolls von 1978 zu diesem Übereinkommen in der jeweils gültigen Fassung vorgeschrieben sind;
besorgt, daß das Vorhandensein verschiedener, uneinheitlicher Notfallpläne an Bord eines Schiffes im Notfall das Gegenteil des Gewünschten bewirken könnte;
in der Erkenntnis, daß auf vielen Schiffen umfassende und wirksame Notfallpläne wie der bordeigene Notfallplan für Ölverschmutzungen (SOPEP) bereits verwendet werden;
im Bewußtsein der Notwendigkeit, bei der Erwägung der Verabschiedung von Regeln und Empfehlungen, die den Schiffsbetrieb beeinflussen, den Menschen als Einflußgröße zu berücksichtigen;
in dem Wunsch, Reeder, Betreiber von Schiffen und andere betroffene Parteien bei der Umwandlung der Vorschriften über Notfallpläne in ein umfassendes System der Eingreifplanung, soweit dies noch nicht geschehen ist, zu unterstützen;
nach Prüfung der vom Schiffssicherheitsausschuß bei seiner siebenundsechzigsten Tagung und vom Ausschuß für den Schutz der Meeresumwelt bei seiner neununddreißigsten Tagung ausgesprochenen Empfehlung;
Richtlinien für den Aufbau eines integrierten Systems der Eingreifplanung für Notfälle auf Schiffen
Vorwort
Diese vom Schiffssicherheitsausschuß der Internationalen Seeschiffahrts-Organisation ausgearbeiteten Richtlinien enthalten Hinweise, die beim Aufbau eines integrierten Systems der Eingreifplanung für Notfälle auf Schiffen hilfreich sein können. Sie sollen dazu dienen, ein modular strukturiertes integriertes System der Notfallplanung auf Schiffen aufzubauen und zu benutzen.
Allein die hohe Anzahl uneinheitlicher Schiffsnotfallpläne ist Rechtfertigung genug für die Ausarbeitung eines integrierten Systems und die Vereinheitlichung der Struktur von Eingreifplänen.
Die Verpflichtung, auf Notfälle vorbereitet zu sein, wie sie an Bord eines Schiffes eintreten können, ergibt sich aus Kapitel 8 des Internationalen Code für die Organisation eines sicheren Schiffsbetriebs und der Verhütung der Meeresverschmutzung, auf den in Kapitel IX des SOLAS-Übereinkommens in seiner jeweiligen Fassung, in Regel III/24-4 des SOLAS-Übereinkommens in der von der SOLAS-Konferenz im November 1995 angenommenen Fassung sowie in Regel 26 von Anlage I zu MARPOL 73/78 Bezug genommen wird.
Zur Umsetzung der genannten SOLAS- und MARPOL-Regeln sind bestimmte Verfahrensweisen und Anweisungen für das Vorgehen an Bord erforderlich. Diese Richtlinien bieten einen Rahmen für die Ausarbeitung von Verfahrensweisen für eine wirkungsvolle Reaktion auf Notfallsituationen aus der Sicht des Unternehmens und der Personen an Bord.
In diesem Zusammenhang sind die Hauptziele dieser Richtlinien
1 Allgemeine Bemerkungen
1.1 Der Internationale Code für die Organisation einer sicheren Schiffsbetriebsführung legt eine internationale Norm für die sichere Durchführung des Schiffsbetriebs fest, indem er Elemente bestimmt, die bei der Organisation der Führung des Unternehmens in bezug auf die Schiffssicherheit und die Verhütung der Meeresverschmutzung zu beachten sind. Da Notfälle, genau wie der Verlust von Ladung, weder durch schilfbauliche Maßnahmen noch mit Hilfe der für den routinemäßigen Schiffsbetrieb geltenden Verfahrensweisen vollständig beherrschbar sind, sollen die Verpflichtung, auf Notfälle vorbereitet zu sein, und die Verschmutzungsverhütung einen festen Bestandteil der Schiffssicherheitsplanung des Unternehmens bilden. Nach den Bestimmungen des Internationalen Code für die Organisation einer sicheren Schiffsbetriebsführung ( ISM-Code) ist jedes Unternehmen verpflichtet, zu diesem Zweck ein System für die Organisation von Sicherheitsmaßnahmen (SMS) auszuarbeiten, in die Praxis umzusetzen und auf Dauer anzuwenden.
1.2 Zu diesem System für die Organisation von Sicherheitsmaßnahmen gehört verbindlich die Ausarbeitung von Verfahren zur Beschreibung von und zur Reaktion auf möglicherweise an Bord auftretenden Notfallsituationen.
1.3 Wird bei der Planung von Eingreifmaßnahmen für alle denkbaren Arten von Notfallsituationen eine vollständige und detaillierte Untersuchung jedes einzelnen Falles zugrundegelegt, so wird dies zu vieler Mehrfacharbeit führen.
1.4 Um solche Mehrfacharbeit zu vermeiden, empfiehlt es sich, in den Schiffsnotfallplänen je nach Notfallsituation und Art des Schiffes zwischen "Erstmaßnahmen" und dem Schwerpunkt des Eingreifens in Form sogenannter "späterer Maßnahmen" zu unterscheiden.
1.5 Ein solches zweispuriges Vorgehen ermöglicht den Aufbau einer modularen Struktur, wodurch unnötige Mehrfacharbeit vermieden werden kann.
1.6 Es wird empfohlen, ein einheitliches und integriertes System von Schiffsnotfallplänen als Teil des Internationalen Code für die Organisation einer sicheren Schiffsbetriebsführung und damit als grundlegenden Bestandteil des unternehmenseigenen Systems für die Organisation von Sicherheitsmaßnahmen anzusehen.
1.7 Anhang 1 stellt dar, wie die Struktur eines einheitlichen und integrierten Systems von Schiffsnotfallplänen und seine verschiedenen Module in ein einzelfallbezogenes System für die Organisation von Sicherheitsmaßnahmen eingebaut werden kann.
2 Integriertes System der Eingreifplanung für Notfälle auf Schiffen
2.1 Anwendungsbereich
2.1.1 Das integrierte System der Schiffsnotfallplanung (im folgenden als "das System" bezeichnet) soll als Rahmen für die zahlreichen einzelfallbezogenen Eingreifpläne (im folgenden als "Pläne" bezeichnet) dienen, die unter Zugrundelegung einer einheitlichen und modularen Struktur für möglicherweise auftretende unterschiedliche Notfallsituationen entworfen worden sind.
2.1.2 Die Verwendung einer modularen Struktur gestattet es, rasch und nach der Logik vorgehend auf Informationen zuzugreifen und Prioritäten zu erkennen, wodurch die Gefahr verringert wird, in einer Notfallsituation einen Irrtum zu begehen oder etwas wichtiges zu übersehen.
2.2 Struktur des Systems
2.2.1 Das System besteht aus den folgenden sechs Modulen:
Anhang 2 enthält ein Beispiel für die Anordnung dieser Module.
2.2.2 Jedes Modul soll kurzgefaßte Angaben zur Orientierung enthalten, mit deren Hilfe sichergestellt wird, daß bei den verschiedenen Maßnahmen und den notwendigen Entscheidungen im Verlauf eines Notfalls alle einschlägigen Faktoren und Aspekte berücksichtigt werden.
2.3 Systemgrundlage
2.3.1 Das System soll als Hilfsmittel zur Integration einer Vielzahl von unterschiedlichen Pläne in einen einheitlichen und modular strukturierten Rahmen dienen. Ein Unternehmen, welches das breite Spektrum der vielen vorgeschriebenen Pläne auszuarbeiten hat, läuft Gefahr, manche der Einzelelemente dieser Pläne mehrfach auszuarbeiten (beispielsweise beim Berichtsverfahren). Eine solche Mehrfacharbeit läßt sich durch Verwendung der modularen Struktur des Systems nach Punkt 2.2.1 vermeiden.
2.3.2 Selbstverständlich hängen in jeder Noffallsituation die als Erstreaktion zu treffenden Maßnahmen von der Art und dem Umfang des Vorfalls ab; dennoch gibt es bestimmte Maßnahmen, die in jedem Fall sofort getroffen werden müssen, die sogenannten "Erstmaßnahmen" (vergleiche hierzu Anhang 4). Deshalb hilft eine Unterscheidung in den Plänen zwischen "Erstmaßnahmen" und "späteren Maßnahmen", welchletztere von veränderlichen Faktoren wie der Ladung des Schiffes, dem Schiffstyp und ähnlichem abhängen, den Personen an Bord dabei, mit unvorhergesehenen Notfallsituationen richtig umzugehen und stellt sicher, daß die erforderlichen Maßnahmen in der Reihenfolge ihrer Wichtigkeit getroffen werden.
2.3.3 Unter dem Ausdruck "spätere Maßnahmen" ist die Umsetzung der in einem Notfall anzuwendenden Verfahren zu verstehen.
3 System-Module
3.1 Allgemeine Grundsätze
3.1.1 Als Ausgangspunkt für die Ausarbeitung des Systems enthält der Anhang 3 eine Orientierungshilfe und einen Schnellüberblick darüber, welche Arten von Informationen in die einzelnen System-Module eingesetzt werden können.
3.1.2 Das System soll vor allem benutzerfreundlich sein; dadurch erhöht sich die Wahrscheinlichkeit seiner Akzeptanz durch die Personen an Bord.
3.1.3 Damit das System und die dazugehörigen Pläne wirksam angewandt werden können, müssen sie das jeweilige Unternehmen und das jeweilige Schiff sorgfältig angepaßt werden. Dabei sind Unterschiede beim Schiffstyp, bei der Bauausführung, der Ladung, der Ausrüstung, der Besatzung und Bemannung sowie der Fahrtstrecke zu berücksichtigen.
3.2 Inhaltsbeschreibung der einzelnen Module
3.2.1 Modul I: Einführung
3.2.1.1 Das System soll ein Modul mit der Überschrift "Einführung" enthalten.
3.2.1.2 Dieses Modul soll eine Orientierungshilfe und einen Überblick über das Thema enthalten.
3.2.1.3 Nachstehend ein Beispiel für einen Einführungstext:
"Einführung"
3.2.2 Modul II: Einzelbestimmungen
3.2.2.1 Dieses Modul soll Angaben und Erklärungen zum Zwecke der weiteren Verbesserung des Systems auf der Grundlage der Vorschläge enthalten, die vom jeweiligen Unternehmen und den Personen an Bord aufgrund ihrer Erfahrungen gemacht worden sind.
3.2.2.2 Das Hauptziel aller Maßnahmen der Vorbeugung gegen das Auftreten von Notfallsituationen an Bord, der Vorbereitung auf solche Situationen und der Reaktion darauf soll sein, ein wirksames und wirkungsvolles System auszuarbeiten und umzusetzen, durch das Gefahren für die Personen an Bord, die Meeresumwelt und Sachwerte so weit wie möglich verringert werden, wobei ständig danach zu streben ist, dieses System zu verbessern.
3.2.2.3 Damit dieses Ziels erreicht werden kann, ist es erforderlich, daß die Sicherheitsmaßnahmen zwischen dem jeweiligen Unternehmen und seinen Schiffen abgestimmt sind. Deshalb soll das Modul eine Bestimmung enthalten, die besagt, daß die Eingreifpläne und -maßnahmen von selten des Landbetriebes und von der Schiffsseite her untereinander einheitlich und in angemessener Weise miteinander verknüpft sind.
3.2.2.4 Sicherheit erfordert ein entsprechendes Engagement auf allen Ebenen der Personalhierarchie in Form der aktiven Teilnahme aller an Land und auf See Beschäftigten, und zwar einschließlich der Führungskräfte, an der Ausarbeitung und Anwendung von Sicherheitsverfahren und -vorschriften.
3.2.2.5 Die Bewertung von Notfallverfahren soll in freier und offener Diskussion unter Berücksichtigung von Unfällen und Beinahe-Kollisionen erfolgen, die sich während der Benutzung des Systems ereignet haben, wobei das Ziel sein muß, Maßnahmen der Vorbeugung gegen Unfälle an Bord, der Vorbereitung auf solche Situationen und der Reaktion darauf zu verbessern. In dem Modul soll die vorliegende Empfehlung in der Weise befolgt werden, daß es Angaben über die Umsetzung einer Fehlervermeidungsstrategie liefert, die auch eine angemessene Rückmeldepflicht sowie Verfahren für das Modifizieren von Plänen beinhalten:
3.2.2.6 In einer Zusammenfassung soll das Modul den Benutzer des Systems über die wichtigsten Vorschriften unterrichten, denen die Pläne mindestens genügen müssen. In dieser Hinsicht gelten als Hauptelemente, die in dem Modul zu behandeln sind, die folgenden:
3.2.3 Modul III: Planung, Vorbereitung und Ausbildung
3.2.3.1 Dieses Modul soll Bestimmungen über Ausbildung und Unterweisung der Personen an Bord in bezug auf Notfallsituationen enthalten, wobei die Zielsetzung sein soll, ein allgemeines Bewußtsein für die bei Eintritt einer Notfallsituation zu treffenden Maßnahmen zu entwickeln und diese Maßnahmen besser zu verstehen.
3.2.3.2 Das System und die Pläne werden nur von geringem Wert sein, wenn die Personen, für die sie gedacht sind, nicht mit ihnen vertraut gemacht werden. In diesem Zusammenhang soll das Modul III in praxisnaher Art und Weise kurzgefaßte Angaben liefern, durch die jedes Besatzungsmitglied in einer Schlüsselposition in die Lage versetzt wird, im Voraus zu wissen, welches seine Aufgaben und Zuständigkeiten sind und gegenüber wem es nach dem Plan für sein Tun und Lassen verantwortlich ist.
3.2.3.3 Um einen Notfall oder eine Situation auf See erfolgreich zu meistern, in der schwierige Entscheidungen zu treffen sind, kommt es darauf an, daß die Personen an Bord, das Unternehmen und die externen Stellen für die Koordinierung von Notfallmaßnahmen zur rechten Zeit die richtigen Leute an den richtigen Stellen einsetzen können.
3.2.3.4 Ein wichtiges Ziel von Programmen für die Planung, die Vorbereitung und die Ausbildung soll es sein, ein stärkeres Bewußtsein der betroffenen Personen für Angelegenheiten der Sicherheit und der Umwelt zu schaffen.
3.2.3.5 Ausbildung und Unterweisung sollen in regelmäßigen Abständen erfolgen und insbesondere solchen Personen zuteil werden, denen neue Aufgaben zugewiesen worden sind.
3.2.3.6 Über sämtliche an Land und an Bord durchgeführte Notfallübungen sollen Aufzeichnungen geführt werden und zum Zwecke der Überprüfung zur Verfügung stehen. Die Notfallübungen sollen im Hinblick darauf ausgewertet werden, die Wirksamkeit der festgelegten Verfahren festzustellen und Verbesserungsmöglichkeiten aufzuzeigen.
3.2.3.7 Bei der Ausarbeitung der Pläne für die Notfallübungen soll unterschieden werden zwischen "vollständigen Übungen", an denen alle möglicherweise bei einem größeren Vorfall Beteiligten teilnehmen, und Übungen, die auf das Schiff und/oder das Unternehmen beschränkt sind.
3.2.3.8 Rückmeldungen aufgrund von Erfahrungen, die aus früheren Übungen oder aus echten Notfallsituationen gewonnen worden sind, stellen ein wesentliches Element bei der Vervollkommnung von Notfalleingreifplänen und von Maßnahmen zur Vorbereitung auf Notfälle dar. Deshalb sind Rückmeldungen ein Werkzeug für ständige Verbesserungen. Durch Rückmeldungen soll sichergestellt werden, daß das Unternehmen und das Schiff darauf vorbereitet sind, auf Notfallsituationen an Bord richtig zu reagieren. (Siehe hierzu das zusammenfassende Fließdiagramm in Anhang 1.)
3.2.3.9 Zusammenfassend kann gesagt werden, daß dieses Modul mindestens Angaben über die Verfahren/ Programme enthalten soll, die zu folgenden Zwecken entwickelt worden sind:
3.2.4 Modul IV: Eingreifmaßnahmen
Dieses Modul soll den Personen an Bord Hinweise für den Fall geben, daß ein Notfall eintritt, wenn das Schiff unterwegs ist, am Kai liegt, festgemacht hat, vor Anker liegt, im Hafen verholt oder im Dock liegt.
3.2.4.1 Es ist erforderlich, sorgfältig zu überlegen und im Voraus zu planen, was am besten zum Schutz der Personen an Bord, des Schiffes, der Meeresumwelt und der Ladung in einem Notfall zu tun sei. In diesem Zusammenhang ist es erforderlich, Normen für die an Bord anzuwendenden Verfahren zum Schutz der Personen an Bord, zur Stabilisierung der Verhältnisse und zur weitestgehenden Verringerung von Umweltschäden im Falle des Eintritts eines Vorfalls zu entwickeln.
3.2.4.2 In diesem Zusammenhang wird auf die bereits von der Organisation ausgearbeiteten Richtlinien ** verwiesen, deren Inhalt einen Ausgangspunkt und eine Handreichung für diejenigen darstellen, die Pläne für einzelne Schiffe ausarbeiten.
3.2.4.3 Die verschiedenen Pläne, die in das System zu integrieren sind, sollen einfach verfaßt sein und die Hauptzüge der Verfahren darstellen, die von denen für den laufenden Alltagsbetrieb abweichen. Mit den üblichen betrieblichen Verfahren lassen sich sehr schwierige Probleme in den Griff bekommen, aber eine Notfallsituation, ob auf See oder im Hafen, kann Handlungszwänge erzeugen, die über die normale Organisationsfähigkeit der Beteiligten hinausgehen.
3.2.4.4 Um dafür zu sorgen, daß die an Bord vorgehaltenen Pläne und die im Landbetrieb absolut deckungsgleich bleiben, und um die Gefahr zu verringern, daß bei einem Notfall Verwirrung darüber ausbricht, wer wofür zuständig ist, soll in den Plänen deutlich vermerkt werden, ob eine bestimmte Maßnahme von den Personen an Bord oder von den Personen im Landbetrieb vorzunehmen ist.
3.2.4.5 Unter Berücksichtigung der genannten Gesichtspunkte soll das Modul "Eingreifmaßnahmen" die Notfallsituationen an Bord, nach Hauptgruppen gegliedert, darstellen.
3.2.4.6 In den Plänen sollen die möglicherweise an Bord auftretenden Notfallsituationen aufgeführt werden; dabei sollen die Situationen nach den folgenden Hauptgruppen zusammengefaßt werden, ohne daß diese Aufzählung als abschließend anzusehen ist:
Um dem Unternehmen genügend Flexibilität für die Feststellung und Beschreibung von und die Reaktion auf weitere Notfallsituationen an Bord zu verschaffen, sollen diese Hauptgruppen noch weiter untergliedert werden.
3.2.4.7 Die Mehrzahl von Notfallsituationen an Bord kann einer der obengenannten Hauptgruppen zugeordnet werden.
Beispielsweise läßt sich die Hauptgruppe " Beschädigung des Schiffskörpers" wie nachstehend aufgeführt untergliedern, um weitere Notfallsituationen an Bord darzustellen, die unter Umständen sehr unterschiedliche Reaktionen erfordern:
Die detaillierte Beschreibung der Eingreifmaßnahmen soll so abgefaßt sein, daß die Maßnahmen in Gang gesetzt werden, die erforderlich sind, um die Folgen der Notfallsituation zu begrenzen und eine Verschlimmerung des Schadens zu verhindern, der sich beispielsweise aus der Kollision oder der Grundberührung ergibt.
3.2.4.8 In allen Fällen ist - in dieser Reihenfolge -solchen Maßnahmen Vorrang einzuräumen, die dem Schutz menschlichen Lebens, der Meeresumwelt und materieller Güter dienen. Dies bedeutet, daß die für alle Schiffe ungeachtet ihres Typs und ihrer Ladung gleichen "Erstmaßnahmen" bei der Ausarbeitung der "späteren Maßnahmen" in vollem Umfang zu berücksichtigen sind.
3.2.4.9 Die Planung von Eingreifmaßnahmen der zweiten Stufe soll sich auf Angaben zum jeweiligen Schiff und seiner Ladung stützen und den Personen an Bord Ratschläge und Daten zur Verfügung stellen. Es folgen einige Beispiele:
3.2.4.10 Auch wenn die Personen an Bord eigentlich mit dem Plan wohlvertraut sein sollten, so ist doch seine leichte Benutzbarkeit sowohl bei der Erstellung als auch bei der Benutzung ein wesentliches Element eines wirkungsvollen Planes. Es muß dafür gesorgt werden, daß auch in Streßsituationen die wesentlichen Informationen schnell zugänglich sind.
Die Anhänge 3 und 4 verdeutlichen ausführlich die Reihenfolge der Prioritäten bei den "Erstmaßnahmen" in einer Notfallsituation und ihren Zusammenhang mit den "späteren Maßnahmen".
3.2.4.11 Zusammenfassend kann gesagt werden, daß dieses Modul denjenigen, die für die Ausarbeitung des Systems zuständig sind, Hinweise darüber geben soll, was in den Notfallplänen enthalten sein soll, nämlich:
Auf Seite 35 ist ein siebenstufiges Fließdiagramm für das Vorgehen bei der Gestaltung von Notfallplänen dargestellt.
3.2.5 Modul V: Berichtsverfahren
In einer Notfallsituation oder bei einem Verschmutzungsvorfall muß das betroffene Schiff mit den Stellen, welche die Interessen des Schiffseigners vertreten, sowie mit den zuständigen Stellen des Küstenstaates oder mit dem nächsterreichbaren Hafen in Verbindung treten. Deshalb muß das System in angemessener Ausführlichkeit die Verfahren für die Abgabe der Erstmeldung an die betreffenden Stellen aufführen. Dieses Modul soll folgende Punkte umfassen:
3.2.5.1 Es soll auf jeden Fall sichergestellt werden, daß die folgenden für die Erstattung von Notfallmeldungen erforderlichen Angaben in das System integriert und regelmäßig auf den neuesten Stand gebracht werden:
3.2.5.2 Es ist ganz wichtig, daß rund um die Uhr schnelle und zuverlässige Nachrichtenverbindungen zwischen dem in Gefahr befindlichen Schiff, der Notfall-Einsatzleitzentrale (den Notfall-Einsatzleitzentralen), dem Sitz des Unternehmens und den innerstaatlichen Behörden (SAR-Leitstelle, Kontaktstellen) eingerichtet und aufrechterhalten werden.
3.2.5.3 Die für die Durchführung von Eingreifmaßnahmen an Bord zuständigen Personen und die sie von Land aus unterstützenden Dienststellen sollen sich jederzeit gegenseitig über die momentane Lage auf dem laufenden halten.
3.2.5.4 Angaben wie Telefon-, Telex- und Telefax-Nummern sind routinemäßig zu aktualisieren, um personelle Veränderungen sofort berücksichtigen zu können. Es soll auch deutlich darauf hingewiesen werden, welchen Nachrichtenwegen der Vorzug gegeben wird.
3.2.5.5 In diesem Zusammenhang wird auf die Richtlinien der Organisation *** und auf sonstige nationale Pläne verwiesen, die genügend Hinweise für folgende Meldetätigkeiten geben:
3.2.6 Modul VI: Anlage(n)
3.2.6.1 Zusätzlich zu den Angaben, die erforderlich sind, um auf eine Notfallsituation erfolgreich zu reagieren, können sich weitere Vorschriften als notwendig erweisen, die dazu dienen, die Fähigkeit der Personen an Bord zur Befolgung von Teil 5 des Plans zu verbessern.
4 Beispieldarstellung eines Verfahrens für eine bestimmte Notfallsituation
Auf den Seiten 35 - 40 wird beispielhaft ein Verfahren für eine bestimmte Notfallsituation im Sinne von Punkt 3.2.4 dargestellt,
Fließdiagramm für die Umsetzung von Notfallplänen
Dieses Fließdiagramm stellt in Umrissen die Vorgehensweise bei der schrittweisen Umsetzung des Notfallplans beziehungsweise der Notfallpläne dar. Dies bedeutet, daß in diesem Fließdiagramm eher die einzelnen durchzuführenden Schritte oder die zu eneichenden Ziele dargestellt werden als daß genaue Verfahren beschrieben würden, die einzuhalten sind.
Aufgrund von Erfahrungen wird ein siebenstufiges Vorgehen für das Umsetzen dargestellt, das zu einem sinnvollen und wirksamen integrierten Notfalleingreifplan führt

1.5 Model IV


MODUL V
Meldeverfahren
| Notfallgruppe: Brand |
| 1. Der Kapitän ist verpflichtet, einen ausführlichen Bericht zu erstellen und unter Benutzung der schnellsten ihm zur Verfügung stehenden Wege der Nachrichtenübermittlung alle Beteiligten über die Notfallsituation infolge des Brandes sowie über die bislang getroffenen Maßnahmen zu unterrichten.
2. Es wird empfohlen, bei einem Brand folgende Meldeverfahren einzuhalten: 2.1 In der Nähe befindliche Schiffe über Seefunk alarmieren! 2.2 Hält sich das Schiff in einem Hafen oder in der Nähe eines Hafens auf, bediene man sich zur Anforderung von Hilfe - der Liste der Kontaktstellen im Hafenstaat - 2.3 Alle Stellen in Kenntnis setzen, welche die Interessen des Schiffseigners vertreten und in einem Notfall zu verständigen sind! (Hierzu wird auf die Liste der Kontaktstellen mit einem Interesse am Schiff verwiesen. |
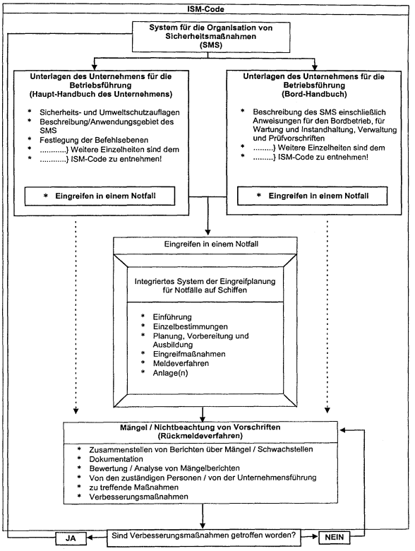
| Einbeziehung eines integrierten Systems der Eingreifplanung für Notfälle auf Schiffen in das unternehmensspezifische System für die Organisation von Sicherheitsmaßnahmen (SMS) gemäß dem Internationalen Code für die Organisation einer sicheren Schiffsbetriebsführung ( ISM-Code ) | Anhang 1 |

| Modulare Struktur eines integrierten Systems der Eingreifplanung für Notfälle auf Schiffen | Anhang 2 |
MODUL 1- Einführung
MODUL II - Einzelbestimmungen
MODUL III - Planung, Vorbereitung und Ausbildung
Modul IV - Eingreifmaßnahmen
Modul V - Meldeverfahren
Modul VI - Anlage(n)
| Anhang 3 |
Modul IV Eingreifmaßnahmen
| Anhang 4 |
Modul IV: Eingreifmaßnahmen Fließdiagramm zur Reihenfolge der Prioritäten
*) Es wird auf Regel III/24-4 von SOLAS 74 und auf Regel 26 in Anlage I von MARPOL 73/78 verwiesen.
**) Es wird auf die "Richtlinien für die Ausarbeitung von Schiffsnotfallplänen in Fällen von Ölverschmutzung" (siehe Entschließung MEPC.54(32)) verwiesen. Ebenfalls wird auf die "Richtlinien für die Ausarbeitung von Schliffsnotfallplänen in Fällen von Meeresverschmutzung" verwiesen, die derzeit in der Organisation erörtert werden (siehe Dokument BCH 24/WP.8).
***) Es wird auf die "Richtlinien für die Ausarbeitung von Schiffsnotfallplänen In Fällen von Ölverschmutzung" (siehe Entschließung MEPC.54(32)) verwiesen. Ebenfalls wird auf die "Allgemeinen Grundsätze für Schiffsmeldesysteme und für Meldevorschriften samt Richtlinien für die Meldung von Vorfällen mit gefährlichen Gütern, Schadstoffen und/oder Meeresschadstoffen" (siehe Entschließung A.648(16)) verwiesen.
Bekanntmachung von Regeln, Normen und Anforderungen der Internationalen Seeschiffahrts-Organisation im Bereich der Schiffssicherheit und des maritimen Umweltschutzes
Vom 18. August 1998
(VkBl. Nr. 16/1998 Sonderdruck)
Die nachfolgend wiedergegebenen Entschließungen und Rundschreiben der Internationalen Seeschiffahrts-Organisation (IMO) zur Schiffssicherheit und zum maritimen Umweltschutz werden hiermit in der deutschen Fassung bekannt gemacht.
![]() |
ENDE | ![]() |
(Stand: 29.08.2018)
Alle vollständigen Texte in der aktuellen Fassung im Jahresabonnement
Nutzungsgebühr: ab 105.- € netto
(derzeit ca. 7200 Titel s.Übersicht - keine Unterteilung in Fachbereiche)
Die Zugangskennung wird kurzfristig übermittelt
? Fragen ?
Abonnentenzugang/Volltextversion