![]() |
zurück | ![]() |
7 Wirkungsgradprüfung des NOx-Konverters
Der Wirkungsgrad des Konverters, der für die Umsetzung von NO2 zu NO benutzt wird, ist nach Maßgabe der Punkte 7.1 bis 7.8 zu prüfen.
7.1 Prüfanordnung
Der Wirkungsgrad der Konverter kann mittels eines Ozongenerators unter Benutzung der Prüfanordnung nach der Darstellung Abbildung 1 [dieses Anhangs] (siehe auch Punkt 3.4 in Anhang 3 der vorliegenden Technischen Vorschrift) und unter Anwendung des nachstehend dargestellten Verfahrens geprüft werden.
7.2 Kalibrierung
Die CLD- und HCLD-Analysatoren sind in dem am häufigsten benutzten Messbereich nach Angaben des Herstellers zu kalibrieren. Es sind Null- und Prüfgas zu benutzen, wobei der NO-Gehalt des Prüfgases bei 80 % des Messbereichs liegen und die NO2-Konzentration der Gasmischung weniger als 5 % der NO-Konzentration betragen soll. Der NOx-Analysator muss in der Stellung "NO" stehen, damit das Prüfgas nicht durch den Konverter strömt. Der angezeigte Wert der Konzentration ist aufzuzeichnen.
7.3 Berechnung des Wirkungsgrades
Der Wirkungsgrad des NOx-Konverters ist wie folgt zu berechnen:
| a - b | ||||
| ( 1) | Wirkungsgrad (%) = (1 + | ) | × 100 | |
| c - d |
Dabei ist
a = NOx-Konzentration nach Punkt 7.6
b = NOx-Konzentration nach Punkt 7.7
c = NO-Konzentration nach Punkt 7.4
d = NO-Konzentration nach Punkt 7.5
7.4 Zugabe von Sauerstoff
7.4.1 Über ein T-Stück wird kontinuierlich Sauerstoff oder Nullgas in den Gasstrom gegeben, bis die Konzentration einen Wert erreicht hat, der ungefähr 20 % unter der angezeigten Kalibrierkonzentration nach Punkt 7.2 liegt. (Der Analysator befindet sich dabei in der Stellung
7.4.2 Der angezeigte Konzentrationswert "c" ist aufzuzeichnen. Der Ozongenerator ist während dieses Vorgangs außer Betrieb.
7.5 Inbetriebnahme des Ozongenerators
Nun wird der Ozongenerator in Betrieb genommen, um genügend Ozon zu erzeugen und die NO-Konzentration auf etwa 20 % (mindestens jedoch 10 %) der Kalibrierkonzentration nach Punkt 7.2 herabzusetzen. Der angezeigte Konzentrationswert (d) ist aufzuzeichnen. (Der Ozongenerator befindet sich dabei in der Stellung "NO".)
7.6 Stellung "NOx"
Der NO-Analysator wird danach in die Stellung "NOx" geschaltet, so dass das Gasgemisch (bestehend aus NO, NO2, O2 und N2) nun durch den Konverter strömt. Der angezeigte Konzentrationswert "a" ist aufzuzeichnen. (Der Analysator befindet sich dabei in der Stellung "NOx".)
7.7 Abschaltung des Ozongenerators
Der Ozongenerator wird nun außer Betrieb gesetzt. Die Gasmischung in der Zusammensetzung nach Punkt 7.6 strömt durch den Konverter in das Anzeigegerät. Der angezeigte Konzentrationswert "b" ist aufzuzeichnen. (Der Analysator befindet sich dabei in der Stellung "NOx".)
7.8 Stellung "NO"
Wird der Analysator bei außer Betrieb gesetztem Ozongenerator in die Stellung "NO" geschaltet, so wird auch der Zustrom von Sauerstoff oder synthetischer Luft abgeschaltet. Der am Analysator abgelesene NOx-Wert darf um nicht mehr als ± 5 % von dem Wert abweichen, der nach dem in Punkt 7.2 beschriebenen Verfahren gemessen worden ist. (Der Analysator befindet sich dabei in der Stellung "NOx".)
7.9 Prüf Intervall
Der Wirkungsgrad des Konverters ist vor jeder Kalibrierung des NOx-Analysators zu prüfen.
7.10 Erforderlicher Wirkungsgrad
Der Wirkungsgrad des Konverters darf nicht kleiner als 90 % sein, jedoch wird ein Wirkungsgrad von über 95 % dringend empfohlen.
Anmerkung: Erreicht der NOx-Konverter beim Betrieb des Analysators in dem am häufigsten benutzten Bereich keine Reduktion von 80 % auf 20 % (vgl. Punkt 7.2), so ist der höchste Bereich zu benutzen, mit dem eine solche Reduktion zu erreichen ist.
Abbildung 1 Schematischer Aufbau der Prüfanordnung für den NO2-Konverter

8 Querempfindlichkeiten der CO-, CO2-, NOxund O2-Analysatoren
Im Abgas vorhandene Gase, die nicht Objekt der Analyse sind, können die Anzeigewerte auf unterschiedliche Weise beeinflussen. Positive Querempfindlichkeiten (das heißt: höhere Anzeigewerte) treten bei NDIR- und PMD Messgeräten auf, wenn das Störgas dieselbe Wirkung hat wie das Gas, das untersucht werden soll, dies jedoch in einem geringeren Ausmaß. Negative Querempfindlichkeiten (das heißt: niedrigere Anzeigewerte) treten bei NDIR-Messgeräten auf, wenn das Störgas das Absorptionsband des gemessenen Gases verbreitert, und bei CLD-Messgeräten, wenn das Störgas die Strahlung dämpft. Die Prüfung der Querempfindlichkeit nach den Punkten 8.1 und 8.2 ist vor der Inbetriebnahme des Analysators und nach jeder Wartung und Reparatur durchzuführen.
8.1 Prüfung der Querempfindlichkeit bei CO-Analysatoren
Wasser und CO2 können den Betrieb des CO-Analysators beeinflussen. Deshalb ist ein CO2-Prüfgas mit einer Konzentration von 80 % bis 100 % des Vollausschlags des größten Messbereichs bei Raumtemperatur durch Wasser zu leiten und das Ausgangssignal des Analysators aufzuzeichnen. Die Änderung des Ausgangssignals des Analysators darf nicht mehr als 1 % des Vollausschlags für die Bereiche ab 300 ppm oder nicht mehr als 3 ppm für die Bereiche unterhalb von 300 ppm betragen.
8.2 Prüfung des Quencheffekts bei NO < - Analysatoren
Die zwei Gase, die für CLD- (und HCLD-)Analysatoren in Frage kommen, sind CO2 und Wasserdampf. Der Quencheffekt für diese Gase ist proportional zu deren Konzentration; dies erfordert eine Bestimmung des Quencheffekts bei den höchsten während der Prüfung zu erwartenden Konzentrationen.
8.2.1 Prüfung des CO2-Quencheffekts
8.2.1.1 Der NDIR-Analysator ist mit einem CO2-Prüfgas mit einer Konzentration von 80 % bis 100 % des Vollausschlags des höchsten Messbereichs zu beaufschlagen; der CO2-Wert ist als Wert "A" aufzuzeichnen. Dieses Prüfgas ist sodann zu etwa 50 % mit NO-Prüfgas zu verdünnen und einem NDIR- und (H) CLD-Analysator zuzuführen, wobei die Werte für CO2 und NO als Werte SB" beziehungsweise "C" aufzuzeichnen sind. Sodann ist die Zufuhr von CO2abzuschalten und nur das NO-Prüfgas dem (H) CLD-Analysator zuzuführen; der Wert für NO ist als Wert "D" aufzuzeichnen.
8.2.1.2 Der Quencheffekt, der nicht mehr als 3 % des Vollausschlags betragen darf, ist wie folgt zu berechnen:
| ( 2) | ![]() |
Dabei ist
a = unverdünnte CO2-Konzentration, gemessen mit dem NDIR-Analysator
B = verdünnte CO2-Konzentration, gemessen mit dem NDIR-Analysator %
C = verdünnte NO-Konzentration, gemessen mit dem (H) CLD-Analysator ppm
D = unverdünnte NO-Konzentration, gemessen mit dem (H) CLD-Analysator ppm
8.2.1.3 Zur Verdünnung und Ermittlung der Werte für CO2 und NO-Prüfgas sind auch andere Verfahren erlaubt, wie zum Beispiel das dynamische Mischen/Verschneiden der Gase.
8.2.2 Prüfung des Quencheffekts durch Wasserdampf
8.2.2.1 Diese Prüfung gilt nur für Konzentrationen in feuchtem Abgas. Bei der Berechnung des Quencheffekts durch Wasserdampf sind die während der Prüfung zu erwartende Verdünnung des NO-Prüfgases mit Wasserdampf und die Wasserdampfkonzentration der Mischung zu berücksichtigen.
8.2.2.2 Ein NO-Prüfgas mit einer Konzentration von 80 % bis 100 % des Vollausschlags des üblichen Messbereichs ist dem (H) CLD-Analysator zuzuführen und der Wert für NO als Wert "D" aufzuzeichnen. Sodann ist das NO-Prüfgas bei Raumtemperatur durch Wasser zu leiten und anschließend dem (H)CLD-Analysator zuzuführen; der NO-Wert ist als Wert "C" aufzuzeichnen. Der Absolutdruck im Analysator und die Wassertemperatur sind zu bestimmen und als Werte "E" beziehungsweise "F" aufzuzeichnen. Der Sättigungsdampfdruck der Gasmischung, weicher der Wassertemperatur (F) entspricht, ist zu bestimmen und als Wert "G" aufzuzeichnen. Die Wasserdampfkonzentration (in %) der Mischung ist wie folgt zu berechnen:
| ( 3) | H = 100 × (G / E) |
Das Ergebnis ist als Wert "H" aufzuzeichnen. Die erwartete Konzentration des verdünnten NO-Prüfgases (im Wasserdampf) ist wie folgt zu berechnen:
| ( 4) | De = D × (1 - H/100) |
Das Ergebnis ist als Wert "De" aufzuzeichnen.
Für Abgase von Dieselmotoren ist die größte während der Prüfung zu erwartende Wasserdampfkonzentration des Abgases (in %) unter der Annahme eines Verhältnisses von Wasserstoff- zu Kohlenstoff-Atomen im Kraftstoff (HI C) von 1,8 zu 1 aus der unverdünnten CO2-Prüfgaskonzentration (Wert "A", gemessen nach Punkt 8.2.1) nach folgender Gleichung als Schätzwert zu ermitteln:
| ( 5) | Hm = 0.9 × A |
Das Ergebnis ist als Wert "Hm " aufzuzeichnen.
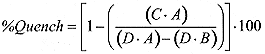
8.2.2.3 Der Quencheffekt, der nicht mehr als 3 % betragen darf, ist wie folgt zu berechnen:
| (De - C) | Hm | |||
| ( 6) | % Quench = 100 × | × | ||
| De | H |
Dabei ist
De = erwartete verdünnte NO-Konzentration ppm
C = verdünnte NO-Konzentration ppm
Hm = Wasserdampf-Sättigungskonzentration %
H = tatsächliche Wasserdampfkonzentration %
Anmerkung: Es ist wichtig, daß das NO-Prüfgas bei dieser Prüfung eine möglichst geringe NO2-Konzentration enthält, weil die Absorption von NO2 im Wasser bei den Quencheffektsberechnungen nicht berücksichtigt worden ist.
8.3 Querempfindlichkeit des O2-Analysators
8.3.1 Die Empfindlichkeit eines PMD-Analysators gegenüber anderen Gasen ist vergleichsweise gering. Die sauerstoffäquivalenten Anzeigen üblicher Abgasbestandteile sind in Tabelle 5 aufgeführt.
Tabelle 5 Sauerstoffäquivalente Anzeige
| Gaskonzentration 100 % | Sauerstoffäquivalent % O2 |
| Kohlendioxid, CO2 | - 0,623 |
| Kohlenmonoxid, CO | - 0,354 |
| Stickstoffmonoxid, NO | + 44,4 |
| Stickstoffdioxid, NO2 | + 28,7 |
| Wasser, H2O | -0,381 |
8.3.2 Ist bei einer Messung eine hohe Genauigkeit der Sauerstoffkonzentration zu ermitteln, so ist die nachstehende Korrekturgleichung anzuwenden:
| ( 7) | Querempfindlichkeit = (Äquivalent % O2 Obs.Conc.) /100 |
8.3.3 Die Querempfindlichkeit von ZRDO- und ECS-Analysatoren gegenüber anderen Gasen als Sauerstoff ist nach den Anweisungen des Instrumentenherstellers zu kompensieren.
9 Kalibrierintervalle
Die Analysatoren sind nach Maßgabe von Abschnitt 5 mindestens alle 3 Monate sowie nach jeder Reparatur oder Veränderung, die einen Einfluß auf die Kalibrierung haben könnte, zu kalibrieren.
| Mustervordruck für einen Prüfbericht (siehe Punkt 5.10 der Technischen NOx-Vorschrift) |
Anhang 5 |
| Emissions-Prüfbericht Nr. | Angaben zum Motor * |
| Motor | |||||
| Hersteller | |||||
| Motortyp | |||||
| Motorfamilie oder -gruppe | |||||
| Seriennummer | |||||
| Nenndrehzahl | min-1 | ||||
| Nennleistung | kW | ||||
| Zwischendrehzahl | min-1 | ||||
| Maximales Drehmoment bei Zwischendrehzahl | Nm | ||||
| Statische Einspritzeinstellung | ° Ca BTDC [Grad Kurbelwinkel vor oberem Totpunkt] |
||||
| Elektronische Einspritzregelung | nein: ja: | ||||
| Variable Einspritzeinstellung | nein: ja: | ||||
| Variable Turbolader-Geometrie | nein: ja: | ||||
| Bohrung | mm | ||||
| Hub | mm | ||||
| Nominales Verdichtungsverhältnis | |||||
| Effektiver Mitteldruck bei Nennleistung | kPa | ||||
| Maximaler Zylinderdruck bei Nennleistung | kPa | ||||
| Zahl und Anordnung der Zylinder | Anzahl: ..... V:.... Reihe: ..... | ||||
| Hilfseinrichtungen | |||||
| Umgebungsbedingungen: | |||||
| Maximale Seewassertemperatur | °C | ||||
| Maximale Ladelufttemperatur, falls anwendbar | °C | ||||
| Kühlsystem-Spezifikation Zwischenkühler | nein: ja: | ||||
| Kühlsystem-Spezifikation Ladeluftstufen | |||||
| Untere/obere Temperatur-Einstellpunkte des Kühlsystems | / °C | ||||
| Max. Druckabfall im Einlaßsystem | kPa | ||||
| Max. Abgasgegendruck | kPa | ||||
| Kraftstoffspezifikation | |||||
| Kraftstofftemperatur | °C | ||||
| Schmierölspezifikation | |||||
| Verwendungszweck: | |||||
| Kunde | |||||
| End-Verwendungszweck/Einbau, Schiff | |||||
| End-Verwendungszweck/Einbau, Motor | Hauptantrieb: Hilfsantrieb: | ||||
| Emissionsprüfergebnisse: | |||||
| Zyklus | |||||
| NOx | g/kWh | ||||
| Prüfung | |||||
| Datum/Uhrzeit | |||||
| Prüfort/Prüfstand | |||||
| Prüfnummer | |||||
| Besichtiger | |||||
| Datum und Ort des Berichts | |||||
| Unterschrift | |||||
| Emissions-Prüfbericht Nr.: .......... | Angaben zur Motorfamilie * |
| Angaben zur Motorfamilie/-gruppe (Gemeinsame Spezifikationen) | |
| Verbrennungstakt | Zweitaktmotor/Viertaktmotor |
| Kühlmittel | Luft/Wasser |
| Zylinderanordnung | Angabe nur erforderlich, wenn Abgasreinigungseinrichtungen verwendet werden |
| Luftansaugsystem | nicht aufgeladene/aufgeladene Motoren |
| an Bord verwendeter Kraftstoff | Destillat/Destillat oder Schweröl/Diesel-Gas-Kraftstoff |
| Brennraum | offen/geteilt |
| Ventile/Schlitze, Konfiguration | Zylinderkopf/Zylinderwand |
| Ventile/Schlitze, Größe und Anzahl | |
| Kraftstoffsystem | |
| Verschiedenes: | |
| Abgasrückführung | nein /ja |
| Wassereinspritzung/Emulsion | nein /ja |
| Lufteinspritzung | nein /ja |
| Ladeluftkühlsystem | nein /ja |
| Abgasnachbehandlung | nein /ja |
| Art der Abgasnachbehandlung | |
| Diesel-Gas-Kraftstoff | nein /ja |
| Informationen zur Motorfamilie/gruppe (Auswahl des Stamm-Motors für das Prüfstandverfahren) |
||||
| Motorfamilie oder -gruppe | ||||
| Art der Aufladung | ||||
| Ladeluftkühlsystem | ||||
| Auswahlkriterien (angeben) | Maximale Kraftstoffzufuhrrate/sonstiges Verfahren (angeben) | |||
| Anzahl der Zylinder | ||||
| Maximale Nennleistung pro Zylinder | ||||
| Nenndrehzahl | ||||
| Einspritzeinstellung (Bereich) | ||||
| Maximale Kraftstoffzufuhr des Stamm-Motors | ||||
| Ausgewählter Stamm-Motor | Stamm-Motor | |||
| Anwendung | ||||
| Emissions-Prüfbericht Nr. | Angaben zur Prüfzelle * |
| Abgasrohr | |||||||||
| Durchmesser | mm | ||||||||
| Länge | m | ||||||||
| Isolierung | nein /ja | ||||||||
| Sondenposition | |||||||||
| Anmerkung | |||||||||
| Meßgeräte | |||||||||
| Hersteller | Modell | Meßbereiche | Kalibrierung | ||||||
| Prüfgaskonzentration | Fehler | ||||||||
| Analysator | |||||||||
| NOx-Analysator | ppm | % | |||||||
| CO-Analysator | ppm | % | |||||||
| CO2-Analysator | % | % | |||||||
| O2-Analysator | % | % | |||||||
| HC-Analysator | ppm | % | |||||||
| Drehzahl | min-1 | % | |||||||
| Drehmoment | Nm | % | |||||||
| Leistung, falls anwendbar | kW | % | |||||||
| Kraftstoffstrom | % | ||||||||
| Luftstrom | % | ||||||||
| Abgasstrom | % | ||||||||
| Temperaturen | |||||||||
| Kühlmittel | °C | °C | |||||||
| Schmiermittel | °C | °C | |||||||
| Abgas | °C | °C | |||||||
| Ansaugluft | °C | °C | |||||||
| Zwischengekühlte Luft | °C | °C | |||||||
| Kraftstoff | °C | °C | |||||||
| Druck | |||||||||
| Abgas | kPa | % | |||||||
| Ansaugkrümmer | kPa | % | |||||||
| Luftdruck | kPa | % | |||||||
| Dampfdruck | |||||||||
| Ansaugluft | kPa | % | |||||||
| Feuchtigkeit | |||||||||
| Ansaugluft | % | % | |||||||
| Kraftstoffcharakteristika | |||||||||
| Kraftstofftyp | |||||||||
| Eigenschaften des Kraftstoffs: | Analyse der Kraftstoffbestandteile | ||||||||
| Kohlenstoff | Massenanteil % | ||||||||
| Dichte | ISO 3675 | kg/l | Wasserstoff | Massenanteil % | |||||
| Viskosität | ISO 3104 | mm /s | Stickstoff | Massenanteil % | |||||
| Sauerstoff | Massenanteil % | ||||||||
| Schwefel | Massenanteil % | ||||||||
| LHV/Hu (= unterer Heizwert) | MJ/kg | ||||||||
| Emissions-Prüfbericht Nr. | Umgebungsbedingungen und gasförmige Emissionen |
| Prüfstufe | 1 | 2 | 3 | 4 | 5 | 6 | 7 | 8 | 9 | 10 | |
| Leistung/Drehmoment | % | ||||||||||
| Drehzahl | % | ||||||||||
| Zeit zu Beginn der Prüfstufe | |||||||||||
| Umgebungsbedingungen | |||||||||||
| Luftdruck | kPa | ||||||||||
| Ansauglufttemperatur | °C | ||||||||||
| Feuchte der Ansaugluft | g/kg | ||||||||||
| Atmosphärischer Faktor (fa) | |||||||||||
| Gasförmige Emissionen | |||||||||||
| NOx-Konzentration trocken/feucht | ppm | ||||||||||
| CO- Konzentration trocken/feucht | ppm | ||||||||||
| CO2-Konzentration trocken/feucht | % | ||||||||||
| O2- Konzentration trocken/feucht | % | ||||||||||
| HC- Konzentration trocken/feucht | ppm | ||||||||||
| O2-Feuchte-Korrekturfaktor | |||||||||||
| Gasförmige Emissionen (Fortsetzung) | |||||||||||
| Kraftstoffspezifischer Faktor (FFH) | |||||||||||
| Trocken-/Feucht-Korrekturfaktor | |||||||||||
| NOx-Massenstrom | kg/h | ||||||||||
| CO-Massenstrom | kg/h | ||||||||||
| CO2-Massenstrom | kg/h | ||||||||||
| O2-Massenstrom | kg/h | ||||||||||
| HC-Massenstrom | kg/h | ||||||||||
| SO2-Massenstrom | kg/h | ||||||||||
| NO2-spezifisch | g/kWh | ||||||||||
| * sofern anwendbar | |||||||||||
![]() |
weiter . | ![]() |
(Stand: 29.08.2018)
Alle vollständigen Texte in der aktuellen Fassung im Jahresabonnement
Nutzungsgebühr: ab 105.- € netto
(derzeit ca. 7200 Titel s.Übersicht - keine Unterteilung in Fachbereiche)
Die Zugangskennung wird kurzfristig übermittelt
? Fragen ?
Abonnentenzugang/Volltextversion