Für einen individuellen Ausdruck passen Sie bitte dieEinstellungen in der Druckvorschau Ihres Browsers an. Regelwerk, Gefahrgut, Richtlinien |
TRT 009 Sachgemäße Ausführung von Schweißarbeiten
Technische Richtlinien Tanks (TRT)
Zu 6.8.2.1.23 ADR/RID
(VkBl. Heft 7 2003 S. 178; 03.02.2011 S. 146aufgehoben)
Bemerkung:
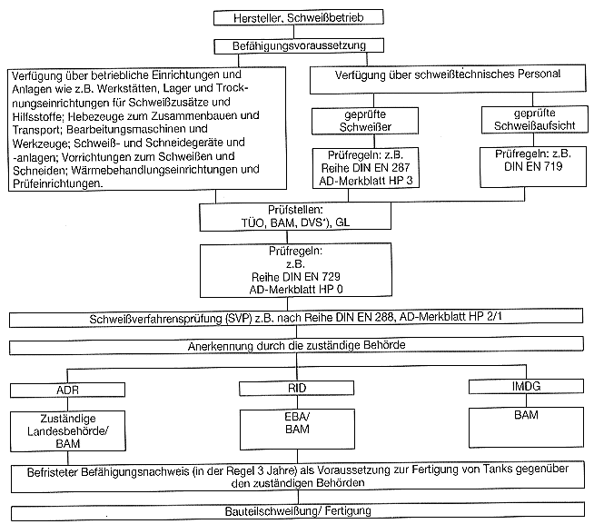
Zur Fertigung von geschweißten Tanks ist ein Befähigungsnachweis des Herstellers erforderlich.
Unter 1. sind die Voraussetzungen für diesen Befähigungsnachweis des Herstellers dargestellt.
Unter 2. wird auf die erforderlichen Qualitätsprüfungen bei der Fertigung von Tanks eingegangen.
1. Befähigungsnachweis zur Fertigung von geschweißten Tanks
In der nachstehenden Übersicht sind die Voraussetzungen zur Erlangung eines Befähigungsnachweises angegeben.

*) und die von ihm anerkannten schweißtechnischen Lehr- und versuchsanstalten.
2. Qualitätsprüfung bei der Fertigung
2.1 Die Anforderungen an die Güte der Schweißverbindungen richten sich nach den Festlegungen in den entsprechenden Regelwerken (z.B. AD-Merkblätter HP 5/2 und 5/3).
Die Prüftemperatur bei der Prüfung der Kerbschlagzähigkeit muss der niedrigsten Betriebstemperatur entsprechen, jedoch darf die höchste Prüftemperatur nicht mehr als -20"C betragen.
Die Bewertung der Güte von Schweißverbindungen ist in der DIN EN 25817 bzw. DIN EN 30042 festgelegt.
In Abhängigkeit von den in Anspruch genommenen Schweißnahtfaktoren sind die in der folgenden Tabelle aufgeführten Prüfungen durchzuführen:
| Schweißnahtfaktor | Prüfungen |
| λ = 0,8 | Die Schweißnähte werden auf beiden Seiten so weit wie möglich visuell geprüft. Alle geschweißten Stoßstellen mit einer Gesamtlänge der Schweißnaht von nicht weniger als 10% der Summe aller Längs-, Umfangs- und Radial- (im Tankboden befindlichen) Schweißnähte werden einer zerstörungsfreien Prüfung unterzogen. |
| λ = 0,9 | Die Schweißnähte sind auf beiden Seiten so weit wie möglich visuell zu prüfen. Alle Längsnähte werden über ihre gesamte Länge, die Rundnähte in einem Ausmaß von 25 % der Gesamtlänge der Umfangs- und Radial- (im Tankboden befindlichen) Schweißnähte sowie die Schweißnähte von größeren Ausschnitten werden zerstörungsfrei geprüft, wobei alle Stoßstellen erfasst sein müssen. |
| λ = 1,0 | Alle Schweißnähte werden zerstörungsfrei und soweit wie möglich auf beiden Seiten visuell geprüft. Ein Schweißprobestück ist zu entnehmen. |
Wenn die zuständige Behörde hinsichtlich der Qualität der Schweißnähte Bedenken hat, kann sie zusätzliche Prüfungen anordnen.
Schweißnähte von Tanks zur Beförderung von Gasen sind immer entsprechend Schweißnahtfaktor 1,0 zu prüfen.
2.2 Zahl der Arbeitsproben oder Prüfstücke (Platten) für Tanks mit Schweißnahtfaktor 1,0
Tabelle 1 bis 3 gilt für alle Tanktypen und Verkehrsträger
Die Anzahl der mit den Tankmänteln mitzuschweißenden Arbeitsproben/Prüfstück (Platten) ergibt sich aus den Tabellen 1 und 2.
Art und Umfang der mechanisch-technologischen Untersuchungen an den Arbeitsproben ergibt sich aus Tabelle 3.
Die Arbeitsproben oder Prüfstücke (Platten) sind grundsätzlich zusammen mit den Tanks zu glühen. Muss hiervon im Einzelfall abgewichen werden, so ist eine gleichartige Wärmebehandlung sicherzustellen und nachzuweisen. Auf die TRT 201 wird hingewiesen.
Tabelle 1: Werkstoffgruppen1
| Werkstoffgruppen | Stahlsorte n | Streckgrenze (Mindestwert) N/mm2 |
|||||
| 1 | 2 | 3 | 4 | 5 | 6 | ||
| 1 | X | X | 380 | ||||
| 2 | X | > 380 bis 440 | |||||
| 3 | X | > 440 | |||||
| 4 | X | 440 | |||||
| 4 | X | - | |||||
| 5 | X | > 440 | |||||
| 6 | X | - | |||||
| 7 | X | - | |||||
| 1 = Baustähle nach DIN-EN 10 025 2 = Feinkornbaustähle, ausgenommen kaltzähe nach DIN EN 1028-3 3 = kaltzähe Feinkornbaustähle 4 = Älterungsbeständige Stähle nach DIN 17 115 5 = kaltzähe Nickelstähle nach DIN EN 1028-4 6 = austenitische Stähle nach DIN EN 1088-1 nach DIN EN 1028-3 1) Andere Werkstoffe als die in der Tabelle genannten sind entsprechend zuzuordnen. |
|||||||
Tabelle 2: Anzahl der Arbeitsproben/Prüfstücke (Platten)
| Werkstoffgruppe | Schüsse Anzahl | Arbeitsprobe/Prüfstücke* (Anzahl der Platten) |
|
| Je Schmelze | Mindestens je Tank | ||
| 1 + 7 | < 5 | - | 1 |
| 1 + 7 | > 5 | - | 2 |
| 2, 3, 4, 5, 6 | < 5 | 1 | 1 |
| 2, 3, 4, 5, 6 | > 5 | 1 | 2 |
| Aluminium | - | - | 1 |
| Alu-Legierung | - | 1 | 2 |
| 2) Bei Serienfertigung - etwa ab 25 Stück - kann die Zahl der Arbeitsproben/Prüfstücke für Tanks zur Beförderung tiefgekühlter verflüssigter Gase im Einvernehmen mit dem Sachverständigen verringert werden. | |||
Tabelle 3: Art und Umfang der mechanisch-technischen Untersuchungen
| Anzahl pro Arbeitsprobe/Prüfstücke (Platte) | ||||||||
| Werkstoffgruppe | Werkstoffe bei Tanks für Gase nach 2.2.2.3 Ziffer 3 | |||||||
| Art der Proben | gem. Tab. 1: 1, 2, 3, 4, 5, 6, 7 |
Ferristisch und austenitisch | Aluminium und Alu - Legierungen | Durchführung nach: |
Anforderungen | |||
| Zug - Versuch | 1 | 1 | 1 | DIN 50 120 bzw. DIN 50 123 HP/2/1 Nr. 4.2, Ziff. 1 |
wie an Grund- und Zusatzwerkstoff und oder nach Gutachten des Sachverständigen für den Schweißzusatzwerkstoff | |||
| Falt - Versuch bzw. | 2 | 2* | - | Zugseite unbearbeitet DIN 50121 1 x FD, 1 x FW |
nach AD HP 2/1 | |||
| Biegezahl | - | - | 4 | ADR, RID 6.8.5.2.2 | ||||
| Gefüge(Makro) | 1 | 1 | 1 | - | einwandfreier Lagenaufbau und Durchschweißung | |||
| Kerbschlag probe (Sätze zu je 3 Stück) | 1 x Übergang 1 x Schweißnaht |
2 bzw. je nach Wanddicke | - | ADR/RID 6.8.5.3 | ADR/RID 6.8.5.3 | |||
*) nur bei Stählen mit Ni-Gehalt 5 %.
|
||||||||
(Stand: 29.08.2018)
Alle vollständigen Texte in der aktuellen Fassung im Jahresabonnement
Nutzungsgebühr: ab 105.- € netto
(derzeit ca. 7200 Titel s.Übersicht - keine Unterteilung in Fachbereiche)
Die Zugangskennung wird kurzfristig übermittelt
? Fragen ?
Abonnentenzugang/Volltextversion