Für einen individuellen Ausdruck passen Sie bitte dieEinstellungen in der Druckvorschau Ihres Browsers an. Regelwerk |
![]() |
TRD 301 Anlage 1 - Berechnung auf Wechselbeanspruchung durch schwellenden Innendruck bzw. durch kominierte Innendruck- und Temperaturänderung
- Berechnung -
Technische Regeln für Dampfkessel (TRD)
Ausgabe April1975
(ArbSch. 7-8/1975 S. 301;1-2/1978 S. 59; 4/1978 S.121; 9/1978 S. 310; BArbBl. 3/1980 S. 58; 5/1986 S. 51; 7-8/1996 S. 78aufgehoben)
Vorbemerkung
Für die Berechnung auf Wechselbeanspruchung sind örtliche Spannungspitzen maßgebend. Bei statischer Beanspruchung werden diese nur mittelbar über Mittelspannung und zugehörige Verschwächungsbeiwerte, die eine begrenzte teilplastische Verformung berücksichtigen, erfaßt
1. Geltungsbereich
1.1. Diese Anlage 1 zu TRD 301 gilt für die Nachrechnung von Bauteilen, die nach TRD 301 ausgelegt wurden, im Hinblick auf wechselnde Beanspruchungen, die durch Innendruck einerseits und radiale Temperaturdifferenzen beim Anfahren (Aufheizen) und beim Abfahren (Abkühlen) andererseits an den hierdurch höchstbeanspruchten Stellen entstehen 1.
Es wird vorausgesetzt, daß bei druckführenden und temperaturbeanspruchten Bauteilen die größten örtlichen Spannungsspitzen an der Innenseite der Lochränder von Ausschnitten oder an Abzweigen In Zylinderschalen auftreten. Zusätzliche Kräfte und Momente nennenswerter Größe müssen gesondert berechnet werden (Regeln zur Zeit in Vorbereitung).
Die folgenden Berechnungsregeln werden noch in dem Maße vervollständigt, wie neue Erkenntnisse gewonnen werden.
1.2. Die Berechnung geht von den tatsächlich ausgeführten Abmessungen des betreffenden Anlagenteiles aus, die durch Nachmessen festzustellen sind. Ist die tatsächlich ausgeführte Wanddicke nicht bekannt, so ist die wahrscheinliche Wanddicke wie folgt zu berechnen:
Ist die Wanddicke se eine mittlere Wanddicke, so gilt als Berechnungswanddicke sb = se. Ist se eine Mindestwanddicke, so ist bei nahtlosen Zylinderschalen sb = 1,15 ⋅ se und bei geschweißten Mänteln aus Blech sb = se + 1 einzusetzen 2.
Gleichzeitig gilt, je nachdem ob di oder da als Nenndurchmesser vorliegt:
da = di + 2 sb
di = da - 2 sb
dm = 0,5 (da + di)
1.3. Für die Berechnung wird während einer betrachteten An- und Abfahrperiode (Lastzyklus) als maßgebende Temperatur ϑ* definiert:
( 1)
Alle temperaturabhängigen Größen sind auf diese maßgebende Zyklustemperatur ϑ* des betreffenden Lastzyklus zu beziehen 3.
1.4. Wegen der annähernd linearen Abhängigkeit der Spannungen vom maßgebenden Innendruck p* kann die Berechnung der zulässigen Temperaturdifferenzen allein auf die zwei Punkte des minimalen und maximalen Druckes des betrachteten Lastzyklus beschränkt werden. Zwischenwerte sind dann linear zu interpolieren.
2. Berechnungsgrößen und -einheiten
Siehe TRD 301 Abschnitt 2.
3. Einzelspannungen
3.1. Ideal-elastische mechanische Lochrandspannungen
3.1.1. Die maximale Lochrandspannung für Zylinderschalen mit senkrechten Abzweigen wird nach folgender Beziehung ermittelt:
σip = αm⋅ p* dm/2sb ( 2)
Für die Formzahl αmgilt
αm = αm0+ fu ⋅ αb ( 3)
Falls αmbzw. die Formzahl αm0 weder durch Messungen noch durch Rechnung bestimmt wurden, ist einzusetzen:
| αm0 = 2,6 | für durchgesteckte und durchgeschweißte Abzweige, Bild 1, sowie für im Gesenk geschmiedete Abzweige mit kegeligem Übergang und Ausrundung, Bilder 2 und 3, jeweils ohne Restspalt |
| αm0= 2,9 | für aufgeschweißte Abzweige; Aufsatzfläche angepaßt oder ebengefräst; Wurzel ausgebohrt oder überschliffen, ohne Restspalt, Bild 4
Abweichend hiervon kann für dAi< 50 mm; dAi/di< 0,2 und 1,6 < sA0/sv < 2,0 die Formzahl αm0 = 2,4 gesetzt werden. |
| αm0= 3,2 | für ausgehalste Grundkörper mit angeschweißtem Abzweig; Wurzel ausgebohrt oder überschliffen, ohne Restspalt, Bild 5 |
| αm0= 5,0 | für Walz- oder Walz/Schweißverbindungen |
Sind die Anforderungen an die Schweißverbindung nicht erfüllt, z.B. bei unbearbeiteter Schweißwurzel oder einem Restspalt< 1,5 mm, so ist αm0 um den Faktor für den Einfluß des Wurzelspaltes
( 4)
zu erhöhen. Bei Durchmesserverhältnissen dAi/di; > 0,5 und zugleich di > 300 mm sind jedoch die Anforderungen nach ( 1) grundsätzlich einzuhalten. Wurzelspalte >1,5 mm sind unzulässig.
(2) Falls die Formzahl αbweder durch Messungen noch durch Rechnung bestimmt wurde, gilt für alle Abzweige αb= 2,0.
(3) Unrundheitsfaktor fu für elliptische Formabweichung. Bild 6,
( 5)
![]() |
![]() |
![]() |
![]() |
![]() |
![]() |
3.1.2. Zylinderschalen mit schrägen und/oder nicht radial angeordneten Abzweigen sind vorerst noch Nummer 3.1.1 zu berechnen.
3.1.3. Lochfelder in Zylinderscholen werden bei dieser Betrachtung wie Einzelausschnitte noch Nummer 3.1.1 behandelt.
3.1.4. Zylinderschalen mit Y-förmigen Abzweigen unter dem Öffnungswinkel ψA sind vorerst wie folgt zu berechnen:
σip = αm ⋅ p* dm/2sb ( 6)
Hierin ist einzusetzen:
αm = 2,5 + (90-ψA)2 / 1000 ( 7)
jedoch nicht weniger als 3,2.
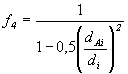
Eine Schweißnahtwurzel im Zwickelbereich ist zu bearbeiten; falls dies nicht möglich ist, ist αm mit f4 = 1,2 zu multiplizieren.
3.2. Ideal-elastische Lochrand-Wärmespannungen
Diese Spannungen hängen nur vom radialen Temperaturverlauf in der Behälterwand ab. Für die Innenwand gilt unter der Annahme eines rotationssymmetrischen Temperaturverlaufs (auch bei Thermoschock)
( 8)
Hierin ist die FormzahlaJ = 2 einzusetzen, es sei denn, daß ein anderer Wert rechnerisch nachgewiesen wird.
Unter der Voraussetzung eines quasistationären Temperaturverlaufs bei isolierter Außenwand wird die TemperaturdifferenzDJ = ϑm - ϑi = const. =DJ¥ und kann wie folgt als Funktion der Temperaturänderungsgeschwindigkeit vϑ angegeben werden:
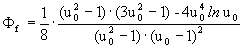
DJ¥ = 1/aϑ ⋅ Φf ⋅ vϑ ⋅ sb2 ( 9)
Hier ist Φf ein Farmfaktor nach Bild 7.
Für die meßtechnische Überwachung kann ϑm mit ausreichender Genauigkeit in der Mitte der Wand gemessen werden.
4. Gesamtspannungszustand
Liegen außer Innendruck keine nennenswerten äußeren Kräfte und Momente vor, so laßt sich die Gesamt-Lochrandspannung wie folgt ermitteln:
σi = σip + σiϑ ( 10)
5. Zulässige Spannungen und Lastwechselzahlen
5.1. Spannungsgrenzen bei bekannter Lastwechselzahl
5.1.1. Ist nur die Anzahl n der vorgesehenen oder zu erwartenden Kaltstarts angegeben, so ist die Anriß-Lastwechselzahl
> 5 ⋅ n zugrunde zu legen, damit genügende Reserven für Warmstarts sichergestellt werden (siehe TRD 301 Nummer 6.2.1). Ist dagegen ein Lastwechselkollektiv, bestehend aus n1Kaltstarts und n2, n3, ... Warmstarts (mit gegebenenfalls unterschiedlichsten Anfangs- und Endzuständen) gegeben, so sind die Anriß-Lastwechselzahlen
1,
2,
3usw. so zu wählen, daß Gl. ( 25) erfüllt wird.
Für die Lastwechselzahlen
1,
2 usw. müssen nach Nummer 5.1.2 die reduzierten Schwingbreiten ermittelt werden.
5.1.2 Für ungekerbte Stäbe sind noch Bild 8 die zulässigen Schwingbreiten 2σa, in Abhängigkeit von der Anriß-Lastwechselzahl n zu bestimmen. Diese müssen für Bauteile wegen Oberflächeneinflüssen reduziert werden. Dies erfolgt durch den Korrekturfaktor f3 nach Tafel 1 und ergibt
Ds* = 2σa/f3 ( 11)
Diese SchwingbreiteDs* ist folgender Korrektur zu unterziehen,
(1) Im elastischen FalleDs*< 2
0,2/ϑ* ist eine Korrektur erforderlich, um den Einfluß der größtmöglichen Mittelspannung zu berücksichtigen. Man erhält unter Verwendung der Gerber-Parabel die zulässige reduzierte Schwingbreite der ideal-elastischen Spannungen
( 12)
(2) Im überelastischen FalleDs* > 2
0,2/ϑ* ist zu berücksichtigen, daß man in Wirklichkeit mit einer größeren Dehnung als der im idealisierten elastischen Fall rechnen muß. Es gilt dann
( 13)
5.1.3. Sind die zulässigen reduzierten Schwingbreiten Δ σi für die einzelnen Lastzyklen ermittelt, so müssen die zulässigen Oberspannungen
i, und die zulässigen Unterspannungen
i, festgelegt werden, mit denen σi während des An- und Abfahrens zu begrenzen ist und schließlich die zulässigen Temperaturdifferenzen zu berechnen sind.
Da die Spannungsgrenzen für die einzelnen Zyklen durch die Wahl der An- und Abfahrgeschwindigkeit beeinflußbar sind, kann man sie in einem gewissen Bereich frei wählen. Hier empfiehlt sich,
i, über einen Beiwert γ wie folgt festzulegen:
( 14)
γ> 0 ist das absolute Verhältnis der zulässigen Wärmespannung bei Abfahrbeginn zur zulässigen Wärmespannung bei Anfahrbeginn. Wenn bei Abfahrbeginn nicht nur die Temperatur, sondern auch der Druck abgesenkt wird, das Bauteil dabei nicht regelmäßig durch zusätzlich eingeleitetes kälteres Medium gekühlt wird und zwischen Kesselhersteller, Besteller und Überwacher nichts anderes vereinbart wird, kann mit γ = 0 gerechnet werden. In diesem Fall ist also
i =
ip und
i =
ip -Ddi.
Ansonsten wird die Oberspannung
i =
i -Ddi. ( 15).
5.1.4. Bei wasserberührten Teilen aus nicht austenitischen Stählen muß auf die Erhaltung der Magnetitschutzschicht besonders geachtet werden. Für diese Teile werden daher die Spannungsgrenzen zusätzlich wie folgt eingeschränkt:
i> σip4 - 600 N/mm2 ( 16)
i< σip4+ 200 N/mm2 ( 17)
5.1.5. Die Gl. ( 14) bis (17) ergeben die zulässigen Ober- und Unterspannungen für die einzelnen Lastzyklen. Aus diesen lassen sich mit den Gl. ( 8) und ( 10) die zulässigen Temperaturdifferenzen beim An- und Abfahren wie folgt berechnen:
Anfahren:
( 18)
Abfahren:
( 19)
5.2. Zulässige Lastwechselzahl für gegebene Spannungen
5.2.1. Sind für einen Lastzyklus die Spannungsgrenzen
1, und
1 bekannt, so läßt sich die Anriß-Lastwechselzahl
für diesen Zyklus wie folgt ermitteln:
Ausgehend von der vorhandenen Spannungsschwingbreite
Dsi =
i-
i ( 20)
gilt
(1) für den überelastischen FallDsi > 2 ⋅ σ0,2/ϑ *
( 21)
(2) für den elastischen FallDsi< 2 ⋅ σ0,2/ϑ*
( 22)
Mit dem Wert 2σa wird die Anriß-Lastwechselzahl
aus Bild 8 entnommen.
Bild 8: Zulässige Spannungsschwingbreite 2σ a bei der maßgebenden Zyklustemperatur ϑ* in Abhängigkeitvon der Anrißlastzahl
für ungekerbte Probestäbe aus warmfesten ferritischen Walz- und Schmiedestäbe
(gilt vorerst auch für austenitische Stähle) (Nach Versuchen der MPA-Stuttgart an ungekerbten Stäben)

Die zulässige Lastwechselzahl ergibt sich hieraus für alleinige Kaltstarts zu n =
/5.
Für Lastwechselkollektive sind die zulässigen Lastwechselzahlen n1, n2, n3, ..... so zu wählen, daß Gl. ( 25) erfüllt ist.
5.2.2. Für Vorausberechnungen können die Spannungsgrenzen
i und
i ausgehend von den Temperaturänderungsgeschwindigkeiten vϑ1, und vϑ2 unter der Annahme quasistationärer Verhältnisse, wie folgt abgeschätzt werden:
( 23)
( 24)
Die Ergebnisse nach Gl. (23) und (24) liegen auf der sicheren Seite, weil die maximale Wärmespannung und die maximale mechanische Spannung ohne Berücksichtigung einer zusätzlichen Phasenverschiebung addiert werden. Für genauere Berechnungen ist die tatsächliche zeitliche Zuordnung zu beachten.
5.2.3. Bei wasserberührten Teilen dürfen
i und
i die unter Nummer 5.1.4 festgelegten Grenzen nicht überschreiten, was gegebenenfalls durch Begrenzung der ideal-elastischen Wärmespannungen zu erzielen ist.
6. Überlagerung verschiedener Lastzyklen
Ein gegebenes Laufwechselkollektiv mit nach Größe und Häufigkeit unregelmäßig schwankenden Spannungen wird in Lautzyklen gleicher oder nahezu gleicher Schwingbreite (wie z.B. Kalt- und Warmstarts) zerlegt und nach der linearen Schädigungsakkumulationshypothese bewertet.
Hiernach muß der Erschöpfungsgrad D aller Lautzyklen beschränkt bleiben auf
( 25)
Erschöpfungssicherheit SD> 2
Tafel 1. Korrekturfaktor f3 zur Berücksichtigung des Oberflächeneinflusses in Abhängigkeit von der Streckgrenze
| σs in N/mm2 | f3 |
| < 355 | 1,0 |
| > 355 bis 600 | 1,2 |
| > 600 | 1,4 |
1) Erläuterungen in Vorbereitung
2) Der Faktor 1,15 entspricht etwa der halben Plustoleranz von 25 % für Rohre mit Mindestwanddicke
3) Stoffwerte sind VDI-Richtlinie 3128
Formblatt 1: Formblatt zur Berechnung der zulässigen Lastwechselzahl bei vorgegebenen Temperaturdifferenzen bzw. Temperaturänderungsgescbwindigkeiten
a) Konstruktions- und Bererchnungsdaten
| 1 | Art und (Nenn-)Abmessungen der Kugelschale | |||||
| 2 | Werkstoff | nahtlos längsgschweißt |
||||
| 3 | Berechnungswanddicke (ohne Wärmespannung: sb = sv) |
sb = (gemessen) sb = × 1,15 (gepreßt) sb = + l (längsgeschweißt) |
sb | mm | ||
| 4 | innerer Durchmesser (bei äußerem Ø di= da - 2⋅ sb) | di | mm | |||
| 5 | größter Ausschnittdurchmesser | dAi | mm | |||
| 6 | Unrundheit | U | % | |||
| 7 | Öffnungswinkel für Y-förmige Abzweige | ψA | ° | |||
| 8 | Betriebsüberdruck | p4 | N/mm2 | |||
| 9 | minimaler Zyklusdruck | (für Kaltstart = 0) |
![]() |
N/mm2 | ||
| 10 | maximaler Zyklusdruck | ![]() |
N/mm2 | |||
| 11 | minimale Zyklustemperatur | ![]() |
°C | |||
| 12 | maximale Zyklustemperatur | ![]() |
°C | |||
| 13 | maßgebende Zyklustemperatur | ϑ* = 0,75 · + 0,25 ·![]() |
ϑ* | °C | ||
| 14 | Anfahrgeschwindigkeit bei Anfahrbeginn, quasistationär gerechnet bei (positiv) |
vv1 | K/min | |||
| 15 | Temperaturdifferenz bei Anfahrbeginn, bei (negativ!) |
Δv1 | K | |||
| 16 | Abfahrgeschwindigkeit bei Abfahrbeginn, quasistationär gerechnet bei![]() (für γ = 0 wird vv2= 0, sonst negativ) |
vv2 | K/min | |||
| 17 | Temperaturdifferenz bei Abfahrbeginn bei![]() (für γ = 0 wird Δv2 = 0, sonst positiv!) |
Δv2 | K | |||
| 18 | differentieller Wärmeausdehnungskoeffizient | (bei ϑ*) | βLϑ | 1/K | ||
| 19 | Temperaturleitfähigkeit | (bei ϑ*) | aϑ | mm2/min | ||
| 20 | (Mindest-) Zugfestigkeit | (bei Raumtemperatur) | B |
N/mm2 | ||
| 21 |
|
= 1,0 (wenn s< 355 N/mm2)= 1,2 (355 < s< 600 N/mm2)= 1,4 (wenn s > 600 N/mm2) |
f3 | - | ||
| 22 | theoretische Formzahl für Membranspannung |
αm0 = 2,6 geschmiedet/durchgesteckt αm0 = 2,9 aufgeschweißt ohne Spalt αm0 = 3,2 ausgehalst |
αm0 | - | ||
| 23 |
|
= 1,0 (bearbeitete Wurzeln) (unbearbeitet)= 1,2 Y-Abzweig (unbearbeitet) |
f4 | - | ||
b) Rechenschema
| 24 | dm = 0,5(da + di) | dm | mm | |||||
| 25 | u0 = 1 + 2 (sb / di) | u0 | - | |||||
| 26 | W = 0,35 / (βLϑ · Eϑ) | W | (mm2·K)/N | |||||
| 27 | ![]() |
aus Diagramm entnehmen oder maschinell rechnen |
Φf | - | ||||
| 28 | V= aϑ /(Φf⋅ sb2 | V | 1/min | |||||
| 29 | ![]() |
fu(p4) | - | |||||
| 30 | αm(p4) = αm0 · f4 + 2 · fu(p4) oder | ![]() αm> 3,2 |
αm(p4) | - | ||||
| 31 | αip4 = αm0(p4) · p4 · dm/2sb | σip4 | N/mm2 | |||||
| 32 | ![]() |
fu( ) |
- | |||||
| 33 | αm( ) = αm0 · f4 + 2 · fu( ) oder |
![]() αm> 3,2 |
αm( ) |
- | ||||
| 34 | ip = αm( ) · · dm/2sb |
ip |
N/mm2 | |||||
| 35 | ![]() |
fu( ) |
- | |||||
| 36 | αm( ) = αm0 · f4 + 2 · fu( ) oder |
![]() αm> 3,2 |
αm( ) |
- | ||||
| 37 | ip = αm( ) · · dm/2sb |
ip |
N/mm2 | |||||
| 38 | ![]() |
σiϑ1 | N/mm2 | |||||
| 39 | ![]() |
σiϑ2 | N/mm2 | |||||
| 40 | i = ip + siϑ1 * (quasistationärer Fall !) |
i |
N/mm2 | |||||
| 41 | i = ip+ σiϑ2 * (quasistationärer Fall !) |
i |
N/mm2 | |||||
| 42 | Dsi = i - i |
Dsi | N/mm2 | |||||
| 43 |
|
2σa | N/mm2 | |||||
| 44 | Anriß-Lastwechselzahl für 2σa bei ϑ* |
![]() |
- | |||||
| 45 | zulässige Anzahl der Zyklen | nur Kaltstart: n< ( /5)
Lastkollektiv: ni wählen; |
n | - | ||||
| 46 | S1 = σip4 - 600 | S1 | N/mm2 | |||||
| 47 | S2 = σip4 + 200 | S2 | N/mm2 | |||||
| 48 | Bei wasserbenetzten Teilen müssen noch zusätzlich erfüllt sein: S1< i S2> i |
|||||||
|
*) Siehe hierzu die Bemerkungen unter Abschnitt 5.2.2 der Anlage 1 zur TRD 301 |
||||||||
Formblatt 2: Formblatt zur Berechnung der zulässigen Temperaturdifferenzen und Temperaturänderungsgeschwindigkeiten bei vorgegebener Lastwechselzahl
| 1 | Art und (Nenn-)Abmessungen der Kugelschale | |||||
| 2 | Werkstoff | nahtlos längsgeschweißt | ||||
| 3 | Berechnungswanddicke: | sb = (gemessen) sb = × 1,15 (nahtlos) sb = + 1 (längsgeschweißt) |
sb | mm | ||
| 4 | innerer Durchmesser | (bei äußerem Ø di = da - 2 ⋅Sb) | di | mm | ||
| 5 | größter Ausschnittdurchmesser | dAi | mm | |||
| 6 | Öffnungswinkel | für Y-förmige Abzweige | ψA | ° | ||
| 7 | Betriebsüberdruck | p4 | N/mm2 | |||
| 8 | minimaler Zyklusdruck | (für Kaltstart = 0) |
![]() |
N/mm2 | ||
| 9 | maximaler Zyklusdruck | ![]() |
N/mm2 | |||
| 10 | minimale Zyklustemperatur | ![]() |
°C | |||
| 11 | maximale Zyklustemperatur | ![]() |
°C | |||
| 12 | geforderte Lastwechselzahl | (für Kaltstart n> 2000) | n | - | ||
| 13 | Anriß-Lastspielzahl | nur Kaltstart: > 5 ⋅ nLastkollektiv: ni wählen: Σ(ni/ )< 0,5 |
![]() |
- | ||
| 14 | maßgeb. Zyklustemperatur | ϑ* = 0,75 ⋅ + 0,25 ⋅![]() |
ϑ* | °C | ||
| 15 | Elastizitätsmodul | (bei ϑ*) | EJ | N/mm2 | ||
| 16 | (Mindest-)Warmstreckgrenze | (bei ϑ*) | 0,2/ϑ |
N/mm2 | ||
| 17 | differentieller Wärmeausdehnungskoeffizient | (bei ϑ*) | βLϑ | 1/K | ||
| 18 | Temperaturleitfähigkeit | (bei ϑ*) | aϑ | mm2/min | ||
| 19 | (Mindest-)Zugfestigkeit | (bei Raumtemperatur) | B |
N/mm2 | ||
| 20 | Verhältniszahl γ | γ = 1 (Normalfall) 0< γ < 1 (für schnelleres Anfahren) γ > 1 (für schnelleres Abfahren) |
γ | - | ||
| 21 |
|
= 1,0 (wenn s< 355 N/mm2)= 1,2 (355 < s< 600 N/mm2)= 1,4 (wenn s > 600 N/mm2) |
f3 | - | ||
| 22 | Zulässige Schwingbreite | (2σa für bei ϑ*) |
2σa | N/mm2 | ||
| 23. | Unrundheit | U | % | |||
| 24 | theoretische Formzahl für Membranspannung |
αm0 = 2,6 geschmiedet/durchgesteckt αm0 = 2,9 aufgeschweißt ohne Spalt αm0 = 3,2 ausgehalst |
αm0 | - | ||
| 25 |
|
= 1,0 (bearbeitete Wurzeln) (unbearbeitet)= 1,2 Y-Abzweig (unbearbeitet) |
f4 | - | ||
b) Rechenschema
| 26 | dm = 0,5(da + di) | dm | mm | |
| 27 | u0 = 1 + 2 (sb / di) = | u0 | - | |
| 28 | W = 0,35 / (βLϑ · Eϑ) | W | mm2·K / N | |
| 29 | ![]() |
aus Diagramm entnehmen oder maschinell rechnen |
Φf | - |
| 30 | V = aϑ / (Φf ⋅ sb2) | V | 1/min | |
| 31 | Ds* = 2 σa / f3 | Dszul | N/mm2 | |
| 32 | (für den überelastischen FallDs*> 2 ⋅ 0,2/ϑ)
|
Dsi | N/mm2 | |
| 33 | ![]() |
fu(p4) | - | |
| 34 | αm(p4) = αm0 · f4 + 2 · fu(p4) oder | ![]() αm> 3,2 |
αm(p4) | - |
| 35 | σip4 = αm0(p4) · p4 · dm/2sb | σip4 | N/mm2 | |
| 36 | ![]() |
fu( ) |
- | |
| 37 | αm( ) = αm0 · f4 + 2 · fu( ) oder |
![]() αm> 3,2 |
αm( ) |
- |
| 38 | ip = αm( ) · · dm/2sb |
ip |
N/mm2 | |
| 39 | ![]() |
fu( ) |
- | |
| 40 | αm( ) = αm0 · f4 + 2 · fu( ) oder |
![]() αm> 3,2 |
αm( ) |
- |
| 41 | ip = αm( ) · · dm/2sb |
ip |
N/mm2 | |
| 42 | S1 = ip/ (1+γ) + - ip -Dsi |
S1 | N/mm2 | |
| 43 | S2 = σip4 - 600 | S2 | N/mm2 | |
| 44 | i = S1 i = S2 i = S1 |
(nicht wasserbenetzt) wenn S2 > S1 (bei Wasserbenetzung) wenn S1 > S2 (bei Wasserbenetzung) |
|
N/mm2 |
| 45 | S3 =Dsi + i |
S3 | N/mm2 | |
| 46 | S4= σip4 + 200 | S4 | N/mm2 | |
| 47 | i = S3 i = S4 i = S3 |
(nicht wasserbenetzt) wenn S4 < S3 (bei Wasserbenetzung) wenn S3 < S4 (bei Wasserbenetzung) |
|
N/mm2 |
| 48 | DJ1 = W ⋅ ( i - ip) |
DJ1 | K | |
| 49 | DJ2 = W ⋅ ( i - ip) |
DJ2 | K | |
| 50 | DJ3 = W ⋅ ( i - ip) |
DJ3 | K | |
| 51 | DJ4 = W ⋅ ( i - ip) |
DJ4 | K | |
| 52 | vϑ1= V ⋅DJ1 * | vϑ1 | K/min | |
| 53 | vϑ2= V ⋅DJ2 * | vϑ2 | K/min | |
| 54 | vϑ3= V×DJ3 * | vϑ3 | K/min | |
| 55 | vϑ4= V ⋅DJ4 * | vϑ4 | K/min | |
| * Siehe hierzu die Bemerkung unter Nummer 5.2.2 der Anlage | ||||
Grapische Darstellung der Ergebnisse:
Bild 1 Zulässige Temperaturdifferenzen

Bild 2 Zulässige Temperaturänderungsgeschwindigkeit, quasistationär gerechnet

![]() |
ENDE | ![]() |
(Stand: 20.08.2018)
Alle vollständigen Texte in der aktuellen Fassung im Jahresabonnement
Nutzungsgebühr: ab 105.- € netto
(derzeit ca. 7200 Titel s.Übersicht - keine Unterteilung in Fachbereiche)
Die Zugangskennung wird kurzfristig übermittelt
? Fragen ?
Abonnentenzugang/Volltextversion