Für einen individuellen Ausdruck passen Sie bitte dieEinstellungen in der Druckvorschau Ihres Browsers an. Regelwerk |
![]() |
TRGS 407 - Tätigkeiten mit Gasen - Gefährdungsbeurteilung
Technische Regeln für Gefahrstoffe (TRGS)
Ausgabe Juni 2013
(GMBl. Nr. 41/42 vom 29.08.2013 S. 814, ber. S. 1263)
- Bek. d. BMAS v. 26.6.2013 - IIIb 3 - 35125 - 5 -
Die Technischen Regeln für Gefahrstoffe (TRGS) geben den Stand der Technik, Arbeitsmedizin und Arbeitshygiene sowie sonstige gesicherte arbeitswissenschaftliche Erkenntnisse für Tätigkeiten mit Gefahrstoffen, einschließlich deren Einstufung und Kennzeichnung, wieder.
Sie werden vom
Ausschuss für Gefahrstoffe (AGS)
ermittelt bzw. angepasst und vom Bundesministerium für Arbeit und Soziales im Gemeinsamen Ministerialblatt bekannt gegeben.
Diese TRGS konkretisiert im Rahmen ihres Anwendungsbereichs Anforderungen der Gefahrstoffverordnung. Bei Einhaltung der Technischen Regeln kann der Arbeitgeber insoweit davon ausgehen, dass die entsprechenden Anforderungen der Verordnung erfüllt sind. Wählt der Arbeitgeber eine andere Lösung, muss er damit mindestens die gleiche Sicherheit und den gleichen Gesundheitsschutz für die Beschäftigten erreichen.
1 Anwendungsbereich
(1) Diese TRGS gilt für Tätigkeiten mit Gasen, einschließlich Flüssiggas und Gasen zu Brennzwecken.
(2) Diese TRGS gilt auch für Tätigkeiten mit Cyanwasserstoff (HCN).
(3) Diese TRGS beschreibt in Ergänzung zu TRGS 400 "Gefährdungsbeurteilung für Tätigkeiten mit Gefahrstoffen" Vorgehensweisen bei der Informationsermittlung und Gefährdungsbeurteilung sowie gasspezifische Schutzmaßnahmen bei Tätigkeiten mit Gasen.
(4) In dieser TRGS werden Einstufungen gemäß Verordnung (EG) Nr. 1272/2008 (im Folgenden CLP-Verordnung genannt) verwendet.
2 Begriffsbestimmungen
(1) In dieser TRGS werden die Begriffe so verwendet, wie sie im "Begriffsglossar zu den Regelwerken der Betriebssicherheitsverordnung ( BetrSichV), Biostoffverordnung ( BioStoffV) und der Gefahrstoffverordnung ( GefStoffV)" 1 des ABAS, ABS und AGS bestimmt sind. Weitere Begriffe werden im Folgenden bestimmt.
(2) Gase im Sinne dieser Technischen Regel und gemäß CLP-Verordnung sowie Gefahrgutrecht sind Stoffe oder Gemische/Zubereitungen, die
In dieser TRGS wird der Begriff "Gas" im Sinne von "Gas und Gasgemisch" verwendet, andernfalls wird explizit darauf hingewiesen, z.B. durch die Verwendung des Begriffs "reines Gas" oder die alleinige Verwendung des Begriffs "Gasgemisch".
(3) Gase sind, bezogen auf den Zustand nach Austritt, d. h. bei der jeweiligen Temperatur des Gases und dem Druck der Umgebungsatmosphäre,
(4) Tiefgekühlt verflüssigte Gase sind Gase, deren flüssiger Zustand durch Kühlung, Verdampfung oder Wärmedämmung bei einer Temperatur gehalten wird, die unter der Temperatur der Umgebung liegt.
(5) Gasgemische sind Gemische, die der Definition für Gase der CLP-Verordnung entsprechen und die aus zwei oder mehreren Gasen oder ggf. auch Flüssigkeiten bestehen. Sie haben bei 50 °C einen Dampfdruck von mehr als 300 kPa (absolut) oder sind bei 20 °C und einem Standarddruck von 101,3 kPa vollständig gasförmig. Sie können auch einen oder mehrere kondensierbare Stoffe enthalten. Als kondensierbar gilt dabei jedes Gas mit einer kritischen Temperatur Tk> -50 °C und jede Flüssigkeit.
(6) Technische Gasgemische sind Gasgemische, die im ADR /1/ Abschnitt 4.1.4.1 Verpackungsanweisung P200, aufgeführt sind und eine dem spezifischen Gemisch zugeordnete UN-Nummer haben.
(7) Gasgemische-G (gasförmig) sind Gasgemische, die beim höchstzulässigen Druck der Füllung bei 15 °C nur im gasförmigen Zustand vorliegen. Die Bestimmung der Füllmenge erfolgt im Allgemeinen durch Druckmessung (manometrisch).
(8) Gasgemische-L (flüssig bzw. liquid) sind Gasgemische, die im Druckgasbehälter bei 15 °C sowohl im flüssigen als auch im gasförmigen Zustand vorliegen. Die Bestimmung der Füllmenge erfolgt im Allgemeinen nach Gewicht (gravimetrisch).
(9) Druckgasbehälter sind Druckbehälter für Gase, unabhängig vom Druck. Zum Druckgasbehälter gehören die Ausrüstungsteile, die dessen Sicherheit beeinflussen können. Es werden ortsbewegliche und ortsfeste Druckgasbehälter unterschieden. Druckgasbehälter sind
(10) Druckanlagen im Sinne dieser TRGS sind Druckanlagen gemäß TRBS 2141, soweit sie für Gase bestimmt sind.
(11) Explosionsgrenzen sind Grenzen des Explosionsbereiches. Die untere Explosionsgrenze (UEG) bzw. die obere Explosionsgrenze (OEG) sind der untere bzw. obere Grenzwert der Konzentration (Stoffmengenanteil) eines brennbaren Stoffes in einem Gemisch von Gasen, Dämpfen, Nebeln und/oder Stäuben, in dem sich nach dem Zünden eine von der Zündquelle unabhängige Flamme gerade nicht mehr selbstständig fortpflanzen kann.
(12) Die Sauerstoffgrenzkonzentration (SGK bzw. LOC für limiting oxygen concentration) ist die maximale Sauerstoffkonzentration in einem Gemisch eines brennbaren Stoffes mit Luft und inertem Gas, in dem eine Explosion nicht auftritt, bestimmt unter festgelegten Versuchsbedingungen.
3 Informationsermittlung und Gefährdungsbeurteilung
3.1 Gefahrstoffeigenschaften
3.1.1 Allgemeine Hinweise zu Eigenschaften
(1) Die gefährlichen Eigenschaften von Gasen werden im Wesentlichen durch die gefahrstoffrechtliche Einstufung und Kennzeichnung wieder gegeben und erkennbar. Einstufung und Kennzeichnung gasförmiger Gefahrstoffe sind daher auch Grundlage für die Gefährdungsbeurteilung bei Tätigkeiten mit Gasen. Gemäß CLP-Verordnung werden Gase entsprechend ihrer entzündbaren oder oxidierenden Eigenschaften sowie gemäß ihrer Gesundheits- und/oder Umweltgefahren eingestuft und gekennzeichnet. Unabhängig davon erfolgt nach CLP-Verordnung die Einstufung und Kennzeichnung als "Gase unter Druck" (verdichtete Gase ab einem Überdruck von 200 kPa/2 bar, verflüssigte Gase, tiefgekühlt verflüssigte Gase und gelöste Gase). Die Einstufung und Kennzeichnung bei innerbetrieblichen Tätigkeiten erfolgt nach TRGS 201 "Einstufung und Kennzeichnung bei Tätigkeiten mit Gefahrstoffen". Ortsbewegliche Gasflaschen sind in der Regel auch mit einer Farbkennzeichnung versehen, die die Identifizierung des Inhalts auch aus der Entfernung erlaubt (z.B. im Gefahrenfall), siehe DIN EN 1089-3 /2/.
(2) Zusätzlich zu den einstufungsrelevanten gefährlichen Eigenschaften können Gase weitere Eigenschaften haben, die bei der Gefährdungsbeurteilung zu berücksichtigen und im Folgenden aufgeführt sind.
(3) Temperatur und Druck beeinflussen die Eigenschaften von Gasen erheblich und hängen auch voneinander ab. So führt eine Temperaturerhöhung zu einer Druckerhöhung im Druckgasbehälter (durch Wärmeausdehnung bei Permanentgasen2 bzw. durch Dampfdruckerhöhung bei verflüssigten Gasen). Umgekehrt führt eine Druckerhöhung durch adiabatische Verdichtung zu einer Temperaturerhöhung. Bei verflüssigten Gasen führt die Temperaturerhöhung auch zur Ausdehnung der Flüssigphase und kann in geschlossenen Behältern bzw. Anlagen (z.B. bei Überschreitung der Füllfaktoren von ortsbeweglichen Druckgasbehältern) zu sehr hohen Drücken führen.
(4) Als entzündbar eingestufte Gase können ggf. zusätzlich pyrophor (selbstentzündlich) sein, d. h., sie können sich an Luft von selbst entzünden und dadurch besondere Brand- und Explosionsgefährdungen verursachen. In der Regel gelten Gase als pyrophor, wenn die Zündtemperatur < 100 °C ist3. Beispiele sind Silan oder Phosphan (veraltet Phosphin).
(5) Gase können ggf. chemisch instabil sein, d. h., sie können ohne die Anwesenheit von Sauerstoff (oder Luft) explosionsartig reagieren (zerfallen). Im Allgemeinen handelt es sich dabei um entzündbare Gase wie z.B. Acetylen (Ethin), Ethylenoxid (1,2-Epoxyethan), Propadien oder Methylvinylether (Methoxyethen), es gibt aber auch nicht entzündbare Gase, die chemisch instabil sind, wie z.B. Ozon oder Distickstoffoxid (Lachgas). Eine Liste mit einigen entzündbaren chemisch instabilen Gasen einschließlich Konzentrationsgrenzen ist im UN Handbuch über Prüfungen und Kriterien /3/ in Section 35 enthalten.
(6) Gase können ggf. als solche oder in Verbindung mit Wasser oder Feuchtigkeit korrosiv wirken und dadurch Behälter- bzw. Konstruktionswerkstoffe angreifen. Beispiele sind Ammoniak, Schwefelwasserstoff oder Halogenwasserstoffe bzw. Gase, die durch Reaktion mit Wasser diese Gase bilden. Dazu zählen insbesondere Gase, die durch Reaktion mit Wasser Halogenwasserstoff bilden, wie z.B. Fluor, Chlor oder zahlreiche andere Gase, die Halogene enthalten. Durch Reaktion mit Wasser oder Feuchtigkeit können aber auch andere korrosive Stoffe entstehen, wie z.B. bei der Reaktion von Schwefeldioxid mit Wasser zu Schwefligsäure (veraltet Schweflige Säure).
(7) Gase können ggf. polymerisieren. Polymerisationsreaktionen können je nach Lager- bzw. Umgebungsbedingungen heftig und unter starkem Druck- und Temperaturanstieg oder langsam ablaufen. Beispiele für heftig ablaufende Reaktionen sind die Polymerisation von Ethylenoxid zu Polyethylenglykol, von 1,3-Butadien zu Polybutadienen oder von Ethylen (Ethen) zu Polyethylen.
(8) Die Sauerstoffgrenzkonzentrationen von entzündbaren Gasen im Gemisch mit den Inertgasen Stickstoff und Kohlendioxid sind in der TRBS 2152 Teil 2 bzw. TRGS 722 "Vermeidung oder Einschränkung gefährlicher explosionsfähiger Atmosphäre" jeweils in Nummer 2.3.3.2 Tabelle 1 aufgeführt. Explosionsgrenzen und Sauerstoffgrenzkonzentrationen für weitere Gasgemische sind in den sicherheitstechnischen Datenbanken GSBL /4/ und Chemsafe /5/ und in der Literatur /6, 7/ zu finden. Prüfmethoden für die Bestimmung von Explosionsgrenzen sind in DIN EN 1839 /8/ und für Sauerstoffgrenzkonzentrationen in DIN EN 14756 /9/ beschrieben.
(9) Im Allgemeinen werden Explosionsgrenzen für atmosphärische Bedingungen angegeben. Bei erhöhter Temperatur und/oder erhöhtem Druck weitet sich der Explosionsbereich in der Regel auf, d. h., die UEG verschiebt sich zu niedrigeren und die OEG zu höheren Werten. Deshalb kann ein Gas, das unter atmosphärischen Bedingungen keinen Explosionsbereich hat und dementsprechend nicht als entzündbares Gas eingestuft ist, bei erhöhter Temperatur und/oder erhöhtem Druck einen Explosionsbereich haben. Beispiele sind teilhalogenierte Kohlenwasserstoffe, wie z.B. das Kältemittelgas R134a.
(10) Andere Eigenschaften, wie z.B. oxidierende Eigenschaften oder chemische Instabilität, verändern sich ebenfalls in Abhängigkeit von Temperatur und Druck.
(11) Mit Ausnahme von Sauerstoff oder Luft (oder auch anderen Atemgasen) wirken Gase in genügend hohen Konzentrationen grundsätzlich erstickend, da sie den Luftsauerstoff verdrängen.
(12) Gasgemische mit Gasen, die leichter als Luft sind (z.B. Wasserstoff), können durch die anderen Bestandteile im Gemisch eine höhere Dichte als Luft haben und sich daher in Bodennähe ansammeln. Die Gemische entmischen sich unter Einwirkung der Schwerkraft nicht.
(13) Befinden sich Gase unterhalb ihrer kritischen Temperatur, lassen sie sich verflüssigen. Bei entsprechenden Temperaturen kann es daher zur Kondensation von Gasen kommen, was ggf. zur Entstehung von Unterdruck im Druckgasbehälter oder in der Druckanlage und damit zu gefährlichen Zuständen führen kann.
(14) Tiefgekühlt verflüssigte Gase können aufgrund ihrer niedrigen Temperatur zu Kälteverbrennungen führen, wenn sie mit der Haut in Berührung kommen. Auch die Armaturen für solche Gase können sehr niedrige Temperaturen haben.
3.1.2 Einteilung der Gase in Gruppen
(1) Gase können aufgrund ihrer Eigenschaften in Gruppen eingeteilt werden. Die Einteilung erfolgt anhand der kritischen Temperatur und anhand bestimmter gefährlicher Eigenschaften (Entzündbarkeit, chemische Instabilität). Diese Einteilung in Gruppen ist in Anlage 1 für einige wichtige technische Gase angegeben. Daten für reine Gase sind in A.1.1 enthalten und für Gasgemische in A.1.2. Aus der Zuordnung zu einer Gruppe können grundlegende gemeinsame sicherheitstechnische Eigenschaften und Anforderungen abgeleitet werden. Weitere Eigenschaften, wie der Siedepunkt, die Dichte (bzw. die relative Dichte) und Informationen, die aus dem Gefahrgutrecht stammen, wie die UN-Nr. und der Klassifizierungscode sind dort zusätzlich angegeben. Diese Informationen können als Unterstützung für die Gefährdungsbeurteilung genutzt werden.
(2) Tabelle 1 von Anlage 1 enthält die sogenannten Permanentgase mit einer kritischen Temperatur Tk d -50 °C. Diese Gase lassen sich auch unter Druck nicht verflüssigen (gilt für Temperaturen > -50 °C). Innerhalb von Tabelle 1 sind die Gase nach ihrer Entzündbarkeit in die Gruppen 1.1 und 1.2 unterteilt.
(3) Tabelle 2 enthält Gase mit einer kritischen Temperatur -50 °C < Tk d +65 °C. Diese Gase lassen sich unter vergleichsweise hohem Druck verflüssigen (gilt für Temperaturen < Tk). Innerhalb von Tabelle 2 sind die Gase nach ihrer Entzündbarkeit und ihrer chemischen Stabilität in die Gruppen 2.1 bis 2.3 eingeteilt.
(4) Tabelle 3 enthält Gase mit einer kritischen Temperatur Tk > +65 °C. Diese Gase lassen sich bereits unter vergleichsweise geringem Druck verflüssigen. Innerhalb von Tabelle 3 sind die Gase nach ihrer Entzündbarkeit und ihrer chemischen Stabilität in die Gruppen 3.1 bis 3.3 eingeteilt.
(5) Darüber hinaus enthalten die Tabellen in Anlage 1 Bemerkungen und besondere Maßgaben, die für innerbetriebliche Tätigkeiten mit Gasen gelten, wie z.B. das Füllen für Zwecke der innerbetrieblichen Verwendung. Die Gefahrgutvorschriften einschließlich der Regelungen aus ADR /1/ und RID bleiben durch diese Bemerkungen und besonderen Maßgaben unberührt.
3.1.3 Gasgemische
(1) Gasgemische können die gleichen Gefahrstoffeigenschaften aufweisen wie reine Gase. Für innerbetrieblich hergestellte und nicht in Verkehr gebrachte Gasgemische wird eine entsprechende Einstufung nach CLP-Verordnung empfohlen (siehe dazu Anlage 2).
(2) Die Eigenschaften eines Gasgemischs werden auch durch die enthaltenen inerten Gase bestimmt, da diese in unterschiedlichem Maß inertisierend wirken. Argon wirkt beispielsweise wesentlich weniger inertisierend als Stickstoff. Zwei Gasgemische, die dasselbe entzündbare Gas oder dasselbe oxidierende Gas in derselben Konzentration enthalten, können daher - je nach Inertgas - trotzdem unterschiedliche Entzündbarkeit oder unterschiedliches Oxidationsvermögen haben. Der Explosionsbereich bzw. das Oxidationsvermögen eines Gasgemischs werden vom Inertgas mitbestimmt.
(3) Für einige Stoffe sind die bei Inertisierung sicher zu unter- oder überschreitenden Grenzwerte entzündbarer Gase und Dämpfe bei 1 bar Gesamtdruck in TRBS 2152 Teil 2 bzw. TRGS 722 jeweils Nummer 2.3.3.2 Tabelle 1 angegeben.
(4) Gasgemische, die transportiert werden sollen, sind mit Ausnahme der Technischen Gasgemische mit eigener UN-Nr. einer Sammeleintragung nach ADR zuzuordnen. Diese Sammeleintragungen "n. a. g" (nicht anderweitig genannt) sind über einen Klassifizierungscode den Eigenschaften erstickend (A), entzündbar (F), oxidierend (O), giftig (T) und ätzend (C) Gasgruppen zugeordnet.
(5) Gasgemische, die pyrophore Gase mit einem Stoffmengenanteil von mehr als 1 mol% enthalten, sind ebenfalls als pyrophor einzustufen, sofern keine anderen Erkenntnisse dazu vorliegen.
(6) Auch ein nicht entsprechend eingestuftes Gasgemisch kann, wenn es entzündbare und oxidierende Bestandteile enthält, unter Druck, z.B. in Druckgasbehältern, trotzdem gefährlich reagieren.
(7) Gasgemische, die chemisch instabile Gase enthalten, wie z.B. Acetylen, können auch ohne Oxidationsmittel, wie z.B. Luftsauerstoff, gefährlich reagieren. Tabellen mit chemisch instabilen Gasen sowie entsprechenden Konzentrationsgrenzen sind im UN Handbuch über Prüfungen und Kriterien /3/ in Section 35 enthalten.
(8) Für Gasgemische, die gegenüber Behälter- und Konstruktionswerkstoffen korrosive Gase4 enthalten, kann keine allgemeine Konzentrationsgrenze festgelegt werden, unterhalb derer mit einer korrosiven Wirkung des Gasgemischs nicht mehr gerechnet werden muss. Sie hängt von dem enthaltenen korrosiven Gas ab, aber auch von den zu berücksichtigenden Werkstoffen.
(9) Bei der Herstellung von Gasgemischen ist zu berücksichtigen, dass auch die einzelnen Gase des Gemisches gefährlich miteinander reagieren können (siehe Nummer 3.2.8 und Anlage 3).
3.2 Gefährdungsermittlung und -beurteilung
3.2.1 Allgemeine Hinweise zur Gefährdungsbeurteilung
(1) Der Arbeitgeber hat im Rahmen der Gefährdungsbeurteilung gemäß § 5 Arbeitsschutzgesetz und § 6 GefStoffV sowie § 3 BetrSichV zu ermitteln, ob sich durch die Tätigkeiten mit Gasen Gefährdungen für die Beschäftigten oder andere Personen ergeben, und entsprechende Schutzmaßnahmen zu ergreifen. Zur Durchführung der Gefährdungsbeurteilung wird insbesondere auf die TRGS 400 und die TRBS 1111 sowie auf die TRGS 401 "Gefährdung durch Hautkontakt - Ermittlung, Beurteilung, Maßnahmen" und TRGS 402 "Ermitteln und Beurteilen der Gefährdungen bei Tätigkeiten mit Gefahrstoffen: Inhalative Exposition" (dermale und inhalative Exposition) verwiesen.
(2) Die wichtigsten Informationsquellen für die bei der Gefährdungsbeurteilung für Tätigkeiten mit Gasen zu berücksichtigenden Eigenschaften der Gase sind die Kennzeichnung nach CLP-Verordnung und/oder nach den Gefahrgutvorschriften und das Sicherheitsdatenblatt nach Verordnung (EG) Nr. 1907/2006 in der aktuellen Fassung sowie ergänzende Angaben des Herstellers.
(3) Weitere nützliche Informationsquellen sind die Sicherheitshinweise und Merkblätter des Industriegasverband (IGV) sowie DGUV-Regeln und Informationen (siehe Literaturverzeichnis).
(4) Gefährdungen bei Tätigkeiten mit Gasen können sich insbesondere ergeben durch
(5) Die Ermittlung der Ursachen für Gefährdungen kann als Unterstützung bei der Gefährdungsbeurteilung und der Auswahl geeigneter Schutzmaßnahmen genutzt werden. Eine Gefährdung kann verschiedene und auch mehrere Ursachen haben (z.B. Undichtigkeit eines Anschlusses aufgrund einer beschädigten Dichtung oder unterlassener Dichtheitsprüfung nach der Montage oder Bersten eines Behälters aufgrund von Materialermüdung, Korrosion oder Fehlbedienung).
(6) Kann unter atmosphärischen Bedingungen die Bildung gefährlicher explosionsfähiger Atmosphäre nicht vermieden werden, so gelten für die Festlegung explosionsgefährdeter Bereiche und die dort erforderlichen Schutzmaßnahmen die TRBS 2152 ff/ TRGS 720 ff "Gefährliche explosionsfähige Atmosphäre".
(7) Bei Tätigkeiten mit entzündbaren oder chemisch instabilen Gasen ist in der Gefährdungsbeurteilung auch die Bildung explosionsfähiger Gemische bzw. die Möglichkeit explosionsartiger Reaktionen zu ermitteln und zu berücksichtigen.
(8) Für Explosionsgefährdungen bei und durch Instandhaltungsarbeiten ist die TRBS 1112 Teil 1 zu berücksichtigen.
(9) Bei Tätigkeiten mit Gasen sind im Rahmen der Gefährdungsbeurteilung Bereiche mit möglicher Gefährdung und Bereiche zum Schutz der Druckanlage zu ermitteln und festzulegen. Dabei sind sowohl bestimmungsgemäßer Betrieb als auch Abweichungen vom bestimmungsgemäßen Betrieb zu berücksichtigen (siehe dazu Nummer 3.2.4).
(10) Anhand der ermittelten Gefährdungen sind die erforderlichen Schutzmaßnahmen festzulegen. Hierbei sind insbesondere auch die in der TRGS 500 "Schutzmaßnahmen", TRGS 800 "Brandschutzmaßnahmen" und der TRBS 2152/ TRGS 720 ff beschriebenen Schutzmaßnahmen zu berücksichtigen.
3.2.2 Berücksichtigung der Eigenschaften von Gasen in der Gefährdungsbeurteilung
(1) Die gefährlichen Eigenschaften von Gasen sind insbesondere vor dem Hintergrund ihrer hohen Volatilität (Flüchtigkeit) und der Handhabung unter Druck zu beurteilen.
(2) Die Kompatibilität von Gasen mit Konstruktionswerkstoffen hängt nicht nur vom Gas selber ab, sondern kann zusätzlich durch im Gas enthaltene andere Stoffe bestimmt sein, wie z.B. Verunreinigungen oder die Lösemittel Aceton oder Dimethylformamid (DMF) in Acetylen, die insbesondere Dichtmaterialien angreifen können oder ggf. auch Reaktionsprodukte. Korrosion kann auch durch Eintrag von Feuchtigkeit entstehen. Außerdem können auch durch Reaktion des Gases mit Feuchtigkeit entstehende Stoffe zu Inkompatibilitäten führen, z.B. die Entstehung von Halogenwasserstoffen, die zur Korrosion metallischer Werkstoffe führen können. Hinweise zur Auswahl geeigneter Werkstoffe finden sich z.B.
(3) Die Temperatur- und Druckabhängigkeit der Eigenschaften von Gasen ist zu berücksichtigen, d. h. Prozesse sind daraufhin zu überprüfen, ob erforderliche physikalische und chemische Parameter einschließlich der sicherheitstechnischen Kenngrößen, wie z.B. Explosionsgrenzen, auch für die relevanten Prozessbedingungen vorliegen oder ob ein Gas unter den Prozessbedingungen z.B. chemisch instabil wird oder polymerisieren oder in anderer Weise gefährlich reagieren kann.
(4) Es ist zu berücksichtigen, dass die Eigenschaften eines Gasgemischs auch von den enthaltenen inerten Gasen abhängen. Kenngrößen eines Gemischs lassen sich daher nur begrenzt auf ein anderes Gemisch übertragen, selbst wenn beide gleiche Konzentrationen haben und sich nur bezüglich des enthaltenen Inertgases unterscheiden.
(5) Chemisch instabile Gase bzw. Gasgemische, die ein entzündbares und ein oxidierendes Gas beinhalten, können unter Umständen explosionsartig reagieren. Hierbei sind Zündquellen gemäß TRBS 2152 Teil 3 5 zu berücksichtigen. Dazu gehören neben den bekannten Zündquellen wie z.B. offene Flammen, Funken oder heiße Oberflächen auch weniger bekannte Zündquellen, die insbesondere innerhalb von Druckgasbehältern oder Druckanlagen für Gase wirksam werden können. Beispiele dafür sind:
(6) Unter bestimmten Umständen kann der Druck in Druckgasbehältern oder Druckanlagen auch unter Atmosphärendruck absinken (d. h. es entsteht Unterdruck). Dies kann dazu führen, dass Luft (und damit Sauerstoff) oder andere Stoffe aus verbundenen Behältern oder Anlagenteilen eindringen und ggf. in gefährlicher Weise mit dem Gas reagieren können. Ursachen für die Entstehung von Unterdruck können sein:
(7) Bei Tätigkeiten mit tiefgekühlt verflüssigten Gasen sind ihre niedrige Temperatur und die Möglichkeit von Kälteverbrennungen zu berücksichtigen.
(8) Das Ausbreitungsverhalten von Gasen (leichter als Luft oder schwerer als Luft) in Abhängigkeit von ihrer Dichte und in Abhängigkeit von dem Gemisch, in dem sie vorliegen, ist zu berücksichtigen. Eventuell zu ergreifende Maßnahmen sind daran zu orientieren, wie z.B. die Belüftung und die Positionierung von Gaswarngeräten.
(9) Die Konzentration von Gasen ist im Hinblick auf eine mögliche erstickende Wirkung zu beurteilen.
(10) Sauerstoff ist selbst nicht brennbar, ermöglicht und fördert aber die Verbrennung. Die Luft der Erdatmosphäre enthält 21 Vol.-% Sauerstoff. Schon eine geringe Anreicherung bewirkt eine lebhaftere Verbrennung, d. h. eine beträchtliche Steigerung der Verbrennungsgeschwindigkeit. Bei erhöhtem Sauerstoffgehalt der Luft kann sich z.B. aus einem Glimmbrand eine lebhafte Flamme entwickeln.
(11) Sauerstoff kann eine Selbstentzündung von Öl und Fett sowie von Textilien, die mit Öl und Fett verunreinigt sind, bewirken.
(12) Bei erhöhten Sauerstoffkonzentrationen können sich auch sicherheitstechnische Kenngrößen verändern. Beispiele sind obere Explosionsgrenzen, Staubexplosionsklassen, Druckanstiegsgeschwindigkeiten, Zünd- und Glimmtemperaturen, Explosionsdrucke und Flammentemperaturen. Einige nicht als entzündbar eingestufte Gase (Kältemittel, teilhalogenierte Kohlenwasserstoffe) können in Sauerstoff einen Explosionsbereich haben.
(13) Mit Ausnahme der Edelmetalle und der Metalloxide der höchsten Oxidationsstufe sind alle Konstruktionswerkstoffe in Sauerstoff, vor allem in verdichtetem Sauerstoff, brennbar. Das trifft auch auf Stoffe und Materialien zu, die in Luft nicht zur Entzündung gebracht werden können.
(14) Sauerstoff geht mit fast allen Elementen Verbindungen ein. Die meisten Stoffe reagieren mit Sauerstoff so heftig, dass sie entweder nach der Entzündung verbrennen oder sich sogar von selbst entzünden. Die Reaktionen können stark durch Fremdsubstanzen beeinflusst werden, die als Katalysator oder als Inhibitor wirken.
(15) Bei der Tieftemperatur-Luftzerlegung können sich im flüssigen Sauerstoff Kohlenwasserstoffe (z.B. Acetylen) anreichern. Bei einer Acetylenkonzentration von 5,6 ppm in flüssigem Sauerstoff kristallisiert das Acetylen aus und kann zu einer explosionsartigen Reaktion führen.
(16) Das Mischen von Gasen kann ihre Eigenschaften in gefährlicher Weise verändern, siehe dazu Nummer 3.2.8.
3.2.3 Berücksichtigung von Gefährdungen durch Tätigkeiten mit Gasen unter Druck
(1) Für Tätigkeiten mit Gasen sind bei der Gefährdungsbeurteilung alle Gefährdungen durch Druck sowohl beim bestimmungsgemäßen Betrieb als auch bei Abweichungen davon zu ermitteln (siehe auch TRBS 1111 und TRBS 2141).
(2) Mögliche Gefährdungen bei Tätigkeiten mit Gasen unter Druck für Beschäftigte und andere Personen können beispielsweise sein:
(3) Durch Öffnen von Verschlüssen, Klappen, Deckeln etc., die unter Druck stehen, kann eine Gefährdung durch die freigesetzte Energie entstehen. Beispiele sind Schnellöffnungsventile, Schnellverschlüsse, Lösen von Verbindungen bei der Demontage etc. Auch bei geöffneter Absperrarmatur ist nicht in jedem Fall eine vollständige Druckentlastung gegeben, z.B. wenn der Entlastungsquerschnitt verstopft, verklebt oder zu gering ist. Für Hinweise dazu siehe z.B. ISO 25760 /13/.
(4) Bei einigen Gasen können, insbesondere durch ungewollte Polymerisation von z.B. Butadien, Ethylen oder Propylen, Druckentlastungs- oder Druckmesseinrichtungen beeinträchtigt oder unwirksam werden und so unzulässig hohen Druck oder eine falsche Druckanzeige zur Folge haben.
(5) Bei der Verdichtung von Gasen, die Feuchtigkeit enthalten, wie z.B. Luft, kann diese Feuchtigkeit kondensieren und zu Korrosion führen.
(6) Ursachen für die in Absatz 2 genannten Gefährdungen können z.B. Materialversagen, Gas- oder Stoffunverträglichkeiten, Fehlbedienung oder unsachgemäße Aufstellung sein. Konkrete Beispiele für solche Ursachen und geeignete Maßnahmen sind in TRBS 2141 Teil 1 Nummer 3.1 sowie TRBS 2141 Teil 2 Nummer 3.1 aufgeführt. Die Ermittlung dieser Ursachen kann als Unterstützung bei der Gefährdungsbeurteilung und der Auswahl geeigneter Schutzmaßnahmen genutzt werden.
3.2.4 Berücksichtigung von Gefährdungen durch Freisetzung von Gasen
(1) Der Arbeitgeber hat zu ermitteln, welche Mengen von Gasen bei bestimmungsgemäßem Betrieb betriebsbedingt austreten. Dabei hat er insbesondere zu berücksichtigen:
(2) Der Arbeitgeber hat darüber hinaus zu ermitteln, inwieweit durch vernünftigerweise nicht auszuschließende Abweichungen vom bestimmungsgemäßen Betrieb größere Mengen von Gasen austreten können. Als vernünftigerweise nicht auszuschließende Abweichungen vom bestimmungsgemäßen Betrieb sind insbesondere zu berücksichtigen:
(3) Bei der Betrachtung sind die sicherheitstechnischen Kenngrößen des Gases sowie das Ausbreitungsverhalten (siehe Nummer 3.2.2 Absatz 8) zu berücksichtigen.
(4) Unabhängig von der Beurteilung für den bestimmungsgemäßen Betrieb sind Bereiche mit möglicher Gefährdung bei den in Absatz 2 genannten Abweichungen vom bestimmungsgemäßen Betrieb (ggf. auch außerhalb des Betriebsgeländes) festzulegen, die von Auswirkungen aus diesen Abweichungen betroffen sein können.
(5) Die Gefährdungen, die aus den möglicherweise austretenden Gasmengen im bestimmungsgemäßen Betrieb oder bei vernünftigerweise nicht auszuschließenden Abweichungen davon resultieren können, sind bei der Gefährdungsbeurteilung und bei den Maßnahmen zur Alarmierung (z.B. Gaswarneinrichtungen) und zur Gefahrenabwehr im Hinblick auf die Beschäftigen und andere Personen zu berücksichtigen.
(6) Der Arbeitgeber hat zu beurteilen, ob aufgrund der schnellen Ausbreitung von Gasen eine selbstständige Flucht von Beschäftigten und anderen Personen unmöglich werden kann.
3.2.5 Berücksichtigung von Gefährdungen durch Einwirkungen von außerhalb der Druckanlage
(1) Der Arbeitgeber hat zu ermitteln, inwieweit durch vernünftigerweise nicht auszuschließende Einwirkungen aus dem Bereich um die Druckanlage Gefährdungen auftreten können.
(2) Als Einwirkungen sind insbesondere zu betrachten:
(3) Die durch diese Ereignisse entstehenden Einwirkungen sind mit der Auslegung der Druckanlage abzugleichen und in der Gefährdungsbeurteilung und bei den Notfallmaßnahmen zu berücksichtigen.
(4) Ausgehend von den Gefährdungen hat der Arbeitgeber einen Bereich zum Schutz der Druckanlage zu definieren, in dem keine den Betrieb der Druckanlage beeinflussenden Ereignisse erfolgen dürfen oder geeignete Notfallmaßnahmen festgelegt werden müssen.
3.2.6 Besondere Gefährdungen durch Tätigkeiten mit Acetylen
(1) In Acetylenanlagen einschließlich Behältern und Rohrleitungen ist die Möglichkeit eines Acetylenzerfalls zu berücksichtigen. Die Zerfallsfähigkeit des Acetylens hängt von den zu erwartenden Betriebszuständen (insbesondere Druck und Temperatur) ab und kann deflagrativ oder detonativ verlaufen. Die entstehenden Explosionsdrücke können vom zehn- bis elffachen des Anfangsdrucks bei deflagrativem Zerfall bis zum 50-fachen des Anfangsdrucks bei detonativem Zerfall reichen.
(2) Acetylen lässt sich relativ leicht verflüssigen oder verfestigen und Acetylen in flüssiger oder fester Phase ist sehr instabil und leicht zur Explosion zu bringen. Dies ist insbesondere im Hinblick auf die zu erwartenden Betriebszustände zu berücksichtigen.
(3) In Abhängigkeit von Temperatur und Feuchtigkeitsgehalt ist die Bildung von festem Acetylenhydrat, das ggf. zur Verstopfung von Rohrleitungen führen kann, zu berücksichtigen.
(4) Wegen der Zerfallsfähigkeit von Acetylen können Zündquellen (siehe dazu auch TRBS 2152 Teil 3) auch innerhalb von Anlagen, Behältern und Rohrleitungen für Acetylen wirksam werden. Dabei sind insbesondere folgende Zündquellen zu berücksichtigen:
(5) Die Möglichkeit eines explosiven Acetylenzerfalls ist auch bei der Art und Anordnung von Sicherheitseinrichtungen zur Druckentlastung und von Zerfallsperren sowie der Ausrüstung von Druckgasflaschen zu berücksichtigen.
(6) Falls ein Acetylenzerfall bei den zu erwartenden Betriebszuständen nicht sicher ausgeschlossen werden kann, müssen die dabei auftretenden Druckbeanspruchungen durch deflagrativen oder detonativen Zerfall unter Beachtung der möglichen Explosionsdrücke berücksichtigt werden (siehe dazu auch /14/).
(7) Die Auswirkungen einer Explosion müssen bei der Gestaltung von Aufstellungsräumen für Acetylenanlagen berücksichtigt werden. Dabei sind insbesondere die Gasundurchlässigkeit und Feuerbeständigkeit von Wänden und Türen zu berücksichtigen. Druckentlastungsflächen sind vorzusehen.
3.2.7 Besondere Gefährdungen durch Tätigkeiten mit Sauerstoff
(1) Bei Druckgasbehältern und Druckanlagen ist ggf. mit hohen Strömungsgeschwindigkeiten, insbesondere in Armaturen, zu rechnen. Es ist dann mit Zündung und somit mit Ausbränden von Anlagenteilen zu rechnen, wenn
(2) Durch adiabatische Druckstöße können Materialien oder Armaturen, die ansonsten als sicherheitstechnisch für den Einsatz von Sauerstoff als geeignet eingestuft wurden, dennoch durch die entstehende Verdichtungswärme gezündet werden. Dies geschieht z.B. beim schlagartigen Öffnen eines Sauerstoffdruckgasflaschenventils, was dann die Membran des nachgeschalteten Druckminderers zünden kann, wenn diese Armatur zuvor nicht entlastet wurde.
(3) Bei nicht abgeschirmten Kolbenverdichtern, Sauerstoff-Turboverdichtern und Turbogebläsen mit Betriebsüberdrücken > 1 bar kann es bei einer unbeabsichtigten Zündung zu intensiven Bränden kommen, die explosionsartig sein können. Sich in der Nähe befindende Personen sind in diesem Fall extrem gefährdet.
(4) Es kann zur Selbstzündung kommen, wenn Verunreinigungen wie Öl, Fett oder andere organische Materialien mit Sauerstoff in Berührung kommen.
(5) Bei Verwendung von ungeeigneten Werkstoffen, kann eine Zünd- und somit Brandgefahr bestehen. So dürfen beispielsweise Zirkon und dessen Legierungen oder Titan und dessen Legierungen in Sauerstoff nicht verwendet werden.
(6) Bei Tätigkeiten mit tiefgekühlt verflüssigten Sauerstoff entstehen zusätzlich besondere Gefährdungen:
(7) Sauerstoffaustritt, z.B. bedingt durch Undichtigkeiten, führt zu Sauerstoffanreicherung außerhalb des Druckgasbehälters bzw. der Druckanlage und kann somit auch zur Sauerstoffanreicherung in der Arbeitskleidung der Beschäftigten führen. Die gleiche Gefährdung durch Sauerstoffanreicherung ist bei Instandhaltungsmaßnahmen an Anlagen, in denen Sauerstoff eingesetzt worden ist, gegeben. Sauerstoffanreicherung durch Leckagen in brennbaren Dämmstoffen führt zu unbeherrschbaren Brandlasten im Falle einer Zündung.
(8) Sauerstoff unter Druck darf nicht an Stelle von Druckluft verwendet werden. Dies gilt insbesondere für:
(9) Bei längerfristiger Einatmung hoher Sauerstoffkonzentrationen, insbesondere unter hohem Druck, kann sich ein Lungenödem bilden.
3.2.8 Besondere Gefährdungen beim Mischen von Gasen
(1) Beim Mischen von Gasen können aufgrund ihrer physikalischen und chemischen Eigenschaften besondere Gefährdungen auftreten. Gefährdungen aufgrund physikalischer Eigenschaften sind z.B. temperatur- und druckabhängiges Entmischen sowie unbekanntes Ausdehnungsverhalten von Gemischen. Gefährdungen aufgrund chemischer Eigenschaften sind mögliche gefährliche Reaktionen zwischen den Stoffen eines Gemisches oder Reaktionen mit dem Behälterwerkstoff (Korrosivität) sowie Ausrüstungsteilen und Dichtmaterialien.
(2) Gasgemische werden in gasförmige Gasgemische-G und flüssige Gasgemische-L unterteilt (siehe Begriffsbestimmungen). Als dritte Kategorie gibt es technische Gasgemische (mit eigener UN-Nr.), die entweder gasförmig oder flüssig sein können. Der Aggregatzustand kann über die UN-Nr. eruiert werden.
(3) Aus dem Aggregatzustand eines Gasgemisches können sich zusätzliche Gefährdungen ergeben durch:
(4) Bei der Herstellung von Gasgemischen ist besonders zu berücksichtigen, dass die Stoffe des Gemisches nicht gefährlich miteinander reagieren können (siehe Nummer 4.2 und Anlage 3). Beispiele für Gefährdungen sind explosionsartige Reaktionen von entzündbaren Gasen mit Oxidationsmitteln, z.B. mit Sauerstoff oder halogenhaltigen Gasen.
3.3 Festlegung von Betriebsparametern zur Auswahl bzw. Auslegung von Arbeitsmitteln
(1) Die in dieser TRGS beschriebenen Eigenschaften der verwendeten Gase oder Gasgemische müssen bei der Festlegung von Betriebsparametern und der Auswahl von Konstruktionswerkstoffen berücksichtigt werden. Sie sind erforderlich für die Auswahl bzw. Auslegung von Druckgasbehältern, Druckanlagen und von Arbeitsmitteln und Ausrüstungsteilen, die besonderen Anforderungen unterliegen, wie z.B. an den Explosionsschutz, sowie bei der Festlegung von Aufstellbedingungen.
(2) Die maximale und die minimale Betriebstemperatur sowie der maximale und der minimale Betriebsdruck sind unter Berücksichtigung der im Druckgasbehälter bzw. in der Druckanlage zu erwartenden Drücke und Temperaturen festzulegen. Dabei sind Eigenschaften des Gases bzw. der Gase und chemische Reaktionen gemäß Nummer 3.1 und 3.2 zu berücksichtigen, wie z.B.
(3) Konstruktionswerkstoffe von Druckgasbehältern bzw. Druckanlagen einschließlich aller Ausrüstungsteile und Sicherheitseinrichtungen müssen unter Berücksichtigung der vorgesehenen Betriebsparameter geeignet sein. Primär sollen dazu die Angaben des Inverkehrbringers zur bestimmungsgemäßen Verwendung herangezogen werden. Gibt es keine entsprechenden Informationen, können Informationen zur Kompatibilität der Konstruktionswerkstoffe aus entsprechenden Normen entnommen werden, siehe dazu Nummer 3.2.2 Absatz 2.
(4) Die verwendeten Druckgasbehälter bzw. Druckanlagen einschließlich ihrer Ausrüstungsteile müssen für die vorgesehenen Betriebsparameter geeignet sein, d. h. sie müssen unter Berücksichtigung der TRBS 2141 entsprechend ausgewählt werden bzw. die Betriebsparameter müssen bei der Auslegung von Druckgasbehältern und Druckanlagen entsprechend berücksichtigt (an den Hersteller kommuniziert) werden. Die Betriebsparameter sind auch bei der Auswahl und Anordnung von Sicherheitseinrichtungen zu berücksichtigen, die eine Abweichung von den Betriebsparametern verhindern sollen.
(5) Arbeitsmittel mit Anforderungen an den Explosionsschutz müssen unter Berücksichtigung der vorgesehenen Betriebsparameter geeignet sein. Daher sind, basierend auf den Eigenschaften der entzündbaren Gase bzw. Gasgemische, für die Auswahl dieser Arbeitsmittel Parameter zu ermitteln, wie z.B.
(6) Die entsprechenden Informationen bzw. Anforderungen ergeben sich aus der Gefährdungsbeurteilung bzw. dem Explosionsschutzdokument. Hinweise dazu, wann eine Einteilung in Zonen ggf. nicht erforderlich ist, finden sich z.B. in der TRBS 1112 Teil 1. Hinweise in Bezug auf gefährliche explosionsfähige Atmosphäre finden sich in der TRBS 2152 ff/ TRGS 720 ff und zur Vermeidung von Zündgefahren infolge elektrostatischer Aufladungen in der TRBS 2153.
4 Schutzmaßnahmen bei Tätigkeiten mit Gasen
4.1 Regelungen zu Schutzmaßnahmen
(1) Allgemeine Regelungen zu Schutzmaßnahmen bei Tätigkeiten mit Gasen finden sich in
(2) Regelungen zu Schutzmaßnahmen bei bestimmten Tätigkeiten finden sich in
(3) Weitere Hinweise finden sich u.a. in
(4) Spezifische Schutzmaßnahmen sind bei Tätigkeiten mit ortsbeweglichen Druckgasbehältern in der TRBS 3145/ TRGS 725 und bei Tätigkeiten mit ortsfesten Druckanlagen für Gase in der TRBS 3146/TRGS 726 (in Vorbereitung) geregelt. Darüber hinaus sind in Nummer 4.2 Schutzmaßnahmen für das Mischen von Gasen aufgeführt.
4.2 Schutzmaßnahmen beim Mischen von Gasen
(1) Bei der Herstellung oder bestimmungsgemäßen Entstehung von Gasgemischen in Druckgasbehältern bzw. Druckanlagen muss sichergestellt werden, dass die Integrität der Behälter bzw. Anlagen nicht beeinträchtigt wird. Dabei sind mögliche Reaktionen der einzelnen Gemischbestandteile untereinander sowie mit Konstruktionswerkstoffen zu berücksichtigen.
(2) Beim Mischen von Gasen muss das Rückströmen der einzelnen Gase bzw. des Gemischs in Leitungen oder die Vorratsbehälter verhindert werden.
(3) Ein ortsbeweglicher Druckgasbehälter darf nur mit einem Gasgemisch-G oder Gasgemisch-L gefüllt werden wenn
(4) Gasgemische dürfen nur gefüllt werden
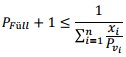
(5) Unter Beachtung von Absatz 2 dürfen Gasgemische-G mit kondensierbaren Stoffen (siehe dazu Nummer 2 Absatz 5) nur bis zu einem Druck gefüllt werden, bei dem der Partialdruck des kondensierbaren Stoffs seinen Dampfdruck bei + 5 °C nicht übersteigt. Dabei sind alle kondensierbaren Stoffe im Gemisch zu berücksichtigen. Die Berechnung erfolgt nach folgender Gleichung:
| P Füll | = | Maximal zulässiger Fülldruck des Gemisches in bar |
| Pvi | = | Dampfdruck der kondensierbaren Komponente i bei +5 °C in bar abs |
| xi | = | Stoffmengenanteil der kondensierbaren Komponente i im Gasgemisch |
| n | = | Anzahl der kondensierbaren Komponenten im Gasgemisch |
(6) Zu jedem Gasgemisch muss dem Füllbetrieb eine Füllanweisung vorliegen.
(7) Einer möglichen Entmischung eines Gasgemisches beim Entleeren bzw. der Entnahme muss durch geeignete Maßnahmen begegnet werden.
(8) Bei zweiphasigen (verflüssigten) Gasgemischen hat die Gasphase in der Regel eine andere Zusammensetzung als die Flüssigphase. Die Gasphase enthält einen größeren Anteil der leichter siedenden Stoffe (mit höherem Dampfdruck) und die Flüssigphase enthält einen größeren Anteil der Stoffe mit niedrigerem Dampfdruck. Bei Entnahme aus der Gasphase ist daher zu berücksichtigen, dass die Zusammensetzung und damit auch die Eigenschaften des Gemischs sich mit der Entnahme ändern (wie bei einer Destillation). Wenn dies verhindert werden soll, dann muss die Entnahme über ein Steigrohr aus der Flüssigphase erfolgen.
(9) Für die Herstellung von Brenngas/Luft- oder Brenngas/ Sauerstoff-Gemischen, sind folgende Maßgaben zu berücksichtigen:
| (0 % < x< 25 %) UEG: | bis zum maximalen Betriebsdruck des Druckgasbehälters, höchstens jedoch bis 200 bar |
| (25 % < x< 50 %) UEG: | bis zum maximalen Betriebsdruck des Druckgasbehälters, höchstens jedoch bis 150 bar |
| (50 % < x d< 75 %) UEG: | bis zum 0,1-fachen des maximalen Betriebsdrucks des Druckgasbehälters |
Achtung: Teilhalogenierte Kohlenwasserstoffe, z.B. Kältemittelgase, können bei atmosphärischen Bedingungen nicht entzündbar sein, d. h. sie haben keine untere Explosionsgrenze. Bei höherem Drücken können diese Gase mit Luft trotzdem explosionsfähige Gemische bilden.
| (0 % < y< 50 %) SGK: | bis zum maximalen Betriebsdruck des Druckgasbehälters |
| (50 % < y< 75 %) SGK: | bis zum 0,05-fachen des maximalen Betriebsdrucks des Druckgasbehälters |
| (0 < y< 1000) ppm(V): | bis zum maximalen Betriebsdruck des Druckgasbehälters |
Für die Ermittlung von Explosionsgrenzen und Sauerstoffgrenzkonzentrationen siehe Nummer 3.1.1 Absatz 8.
(10) Ob die einzelnen Gase eines Gasgemisches in gefährlicher Weise reagieren können, kann Anlage 3 entnommen werden. Die Prüfung der Herstellbarkeit eines Gemisches mit Gasen, die nach Anlage 3 gefährlich miteinander reagieren können, und bei denen die unter Absatz 9 genannten Maßgaben nicht erfüllt sind, sowie die Herstellung von Gemischen mit Acetylen oder mit Fluor erfordert besondere Kenntnisse und Fachkunde und ist in einem schriftlichen Bericht festzulegen. Über die erforderlichen Kenntnisse und die Fachkunde zur Beurteilung der Herstellbarkeit solcher Gasgemische verfügt die BAM.
(11) Für die Herstellung von Gasgemischen in Druckgasbehältern ist die Reihenfolge der Füllung von Bedeutung. Die Bestandteile sind möglichst so zu füllen, dass der Explosionsbereich beim Füllvorgang nicht durchschritten wird. Lässt sich dies nicht vermeiden, sind weitere Schutzmaßnahmen zu ergreifen, um eine Gefährdung von Personen auszuschließen.
(12) Wird bei der Herstellung von Gasgemischen Sauerstoff bei hohem Druck gefüllt, müssen die Druckgasbehälter, Ventile und Armaturen der Fülleinrichtung für Sauerstoff geeignet sein. Sauerstoff darf ohne Spülung der Armaturen und Leitungen bei hohem Druck nicht direkt im Anschluss an entzündbare Gase gefüllt werden.
/1/ ADR (European Agreement concerning the International Carriage of Dangerous Goods by Road): www.unece.org/trans/danger/publi/adr/adr2011/11contentse.html
/2/ DIN EN 1089-3 "Ortsbewegliche Gasflaschen - Gasflaschen-Kennzeichnung (ausgenommen Flüssiggas (LPG)) - Teil 3: Farbcodierung"
/3/ UN Handbuch über Prüfungen und Kriterien (UN Manual of Tests and Criteria): www.unece.org/trans/danger/publi/manual/rev5/ manrev5-amendments.html
/4/ GSBL - Gemeinsamer Stoffdatenpool Bund/Länder: http://www.gsbl.de
/5/ Chemsafe-Datenbank mit bewerteten sicherheitstechnischen Kenngrößen, DECHEMA, BAM und PTB, Frankfurt/M.: http://www.dechema.de/chemsafe.html
/6/ Brandes, E., Möller, W.: Safety Characteristic Data, Volume 1: Flammable Liquids and Gases", NW-Verlag, Bremerhaven 2008
/7/ Molnarne, M., Schendler, Th., Schröder, V.: Safety Characteristic Data, Volume 2: Explosion Regions of Gas Mixtures, NW-Verlag, Bremerhaven 2008
/9/ DIN EN 1839 "Bestimmung der Explosionsgrenzen von Gasen und Dämpfen"
/10/ DIN EN 14756 "Bestimmung der Sauerstoffgrenzkonzentration (SGK) für brennbare Gase und Dämpfe"
/11/ DIN EN ISO 11114-1 "Gasflaschen - Verträglichkeit von Werkstoffen für Gasflaschen und Ventile mit den in Berührung kommenden Gasen - Teil 1: Metallische Werkstoffe"
/12/ ISO 11114-2 "Gasflaschen - Verträglichkeit von Flaschen- und Ventilwerkstoffen mit den in Berührung kommenden Gasen - Teil 2: Nichtmetallische Werkstoffe"
/13/ DIN EN 1797 "Kryo-Behälter - Verträglichkeit von Gas/Werkstoffen"
/13/ ISO 25760 "Gas cylinders - Operational procedures for the safe removal of valves from gas cylinders" (zurzeit existiert keine entsprechende DIN)
/14/ Code of Practice Acetylen: www.industriegaseverband.de/documents.php
/15/ DIN EN ISO 10156 "Gase und Gasgemische - Bestimmung der Brennbarkeit und des Oxidationsvermögens zur Auswahl von Ventilausgängen"
/16/ ISO 10298 "Determination of toxicity of a gas or gas mixture" (zurzeit existiert keine entsprechende DIN)
/17/ Informationsportal Gase unter Druck der BG RCI: www.gase.bgrci.de
2) Zu Permanentgasen siehe Nummer 3.1.2 Absatz 2.
3) Die Zündtemperatur kann z.B. in Anlehnung an DIN 51794 bestimmt werden.
4) Hinweise auf die Korrosivität von Gasen finden sich z.B. in den Tabellen in Anlage 1.
5) TRBS 2152 Teil 3 bezieht sich zwar auf explosionsfähige Atmosphäre und nicht auf chemisch instabile Gase, kann aber unabhängig davon hilfreiche Informationen über mögliche Zündquellen liefern.
| Einteilung der Gase in Gruppen und gasspezifische Maßgaben | Anlage 1 zu TRGS 407 |
(1) Die besonderen Maßgaben der folgenden Tabellen gelten für innerbetriebliche Tätigkeiten mit Gasen, wie z.B. das Füllen für Zwecke der innerbetrieblichen Verwendung. Die Gefahrgutvorschriften einschließlich ADR /1/ und RID bleiben durch die Bemerkungen und besonderen Maßgaben in den folgenden Tabellen unberührt.
(2) Folgende Erläuterungen gelten für die Tabellen:
A.1.1 Reine Gase
Tab. 1 Permanentgase mit einer kritischen Temperatur Tk< -50 °C
Diese Gase lassen sich unter Druck nicht verflüssigen. Innerhalb der Tabelle sind die Gase nach ihrer Entzündbarkeit in die Gruppen 1.1 und 1.2 unterteilt. Die Füllmenge wird üblicherweise manometrisch bestimmt.
| Permanentgase, Gruppe 1.1: nicht entzündbar | ||||||
| Gas | Tk in °C | Sdp. in °C | Rel. Dichte | Korrosiv | UN-Nr. | KC |
| Argon Ar |
- 122,4 | - 185,9 | 1,38 | 1006 1951 |
1A 3A |
|
| Fluor F2 |
- 129,0 | - 188,1 | 1,31 | Ja | 1045 | 1TOC |
| Stark oxidierendes Gas, kann mit oxidierbaren Materialien gefährlich reagieren.
Besondere Maßgaben:
|
||||||
| Helium He |
- 268,0 | - 268,9 | 0,14 | 1046 1963 |
1A 3A |
|
| Krypton Kr |
- 63,8 | - 153,4 | 2,90 | 1056 1970 |
1A 3A |
|
| Neon | -228,8 | -246,0 | 0,70 | 1913 | 3A | |
| Sauerstoff O2 |
- 118,4 | - 183,0 | 1,10 | 1072 1073 |
1O 3O |
|
| Stark oxidierendes Gas, kann mit oxidierbaren Materialien gefährlich reagieren.
Besondere Maßgaben:
|
||||||
| Stickstoff N2 |
- 146,9 | - 195,8 | 0,97 | 1066 1977 |
1A 3A |
|
| Stickstoffmonoxid NO |
- 92,9 | - 151,8 | 1,04 | 1660 | 1TOC | |
| Stark oxidierendes Gas, kann mit oxidierbaren Materialien gefährlich reagieren. Trockenes Stickstoffmonoxid greift ferritische Stähle praktisch nicht an. Es bildet mit Sauerstoff sofort NO2 bzw. N2O4. Feuchtes N2O4 greift Stahl stark an.
Besondere Maßgaben:
|
||||||
| Permanentgase, Gruppe 1.2: entzündbar | ||||||
| Gas | Tk in °C | Sdp. in °C | Rel. Dichte | Korrosiv | UN-Nr. | KC |
| Deuterium D2 |
- 234,8 | - 249,5 | 0,14 | 1957 | 1F | |
| Kohlenmonoxid CO | - 140,2 | - 191,5 | 0,97 | 1016 | 1TF | |
| Bei Behältern aus Stahl besteht Gefahr der Spannungsrisskorrosion durch Verunreinigung mit Schwefelwasserstoff.
Besondere Maßgaben:
|
||||||
| Methan CH4 |
-82,5 | -161,5 | 0,55 | 1971 1972 |
1F 3F |
|
Besondere Maßgaben:
|
||||||
| Wasserstoff H2 |
- 239,9 | - 252,8 | 0,07 | 1049 1966 |
1F 3F |
|
Tab. 2 Gase mit einer kritischen Temperatur -50 °C < Tk d +65 °C
Diese Gase lassen sich nur unter vergleichsweise hohem Druck verflüssigen. Innerhalb der Tabelle sind die Gase nach ihrer Entzündbarkeit und ihrer chemischen Stabilität in die Gruppen 2.1 bis 2.3 eingeteilt. Die Füllmenge wird üblicherweise gravimetrisch bestimmt.
| Unter hohem Druck zu verflüssigende Gase, Gruppe 2.1: nicht entzündbar, chemisch stabil | ||||||
| Gas | Tk in °C | Sdp. in °C | Rel. Dichte | Korrosiv | UN-Nr. | KC |
| Bortrifluorid BF3 |
- 12,2 | - 100,3 | 2,37 | 1008 | 2TC | |
Besondere Maßgaben:
|
||||||
| Chlortrifluormethan (R13) CClF3 | + 28,8 | - 81,9 | 3,64 | 1022 | 2A | |
| Chlorwasserstoff HCl |
+ 51,5 | - 85,0 | 1,27 | Ja | 1050 | 2TC |
Besondere Maßgaben:
|
||||||
| Distickstoffoxid N2O |
+ 36,4 | - 88,5 | 1,53 | 1070 | 2O | |
| Kohlendioxid CO2 |
+ 31,0 | - 78,56 | 1,53 | 1013 2187 |
2A 3A |
|
Besondere Maßgaben:
_________________ |
||||||
| Schwefelhexafluorid SF6 |
+ 45,6 | - 63,86 | 5,11 | 1080 | 2A | |
| Stickstofftrifluorid NF3 |
- 39,3 | - 129,0 | 2,44 | 2451 | 2O | |
Besondere Maßgaben:
|
||||||
| Tetrafluormethan (R14) CF4 | - 45,7 | - 128,0 | 3,04 | 1982 | 2A | |
| Trifluormethan (R23) CHF3 | + 26,0 | - 82,2 | 2,44 | 1984 | 2A | |
| Xenon Xe |
+16,6 | -108,1 | 4,56 | 2036 2591 |
2A 3A |
|
| Unter hohem Druck zu verflüssigende Gase, Gruppe 2.2: entzündbar, chemisch stabil | ||||||
| Gas | Tk in °C | Sdp. in °C | Rel. Dichte | Korrosiv | UN-Nr. | KC |
| Ethan C2H6 |
+ 32,3 | - 88,6 | 1,05 | 1035 1961 |
2F 3F |
|
| Ethylen C2H4 |
+ 9,2 | - 103,8 | 0,97 | 1962 1038 |
2F 3F |
|
| Phosphan PH3 |
+ 51,9 | - 87,8 | 1,18 | 2199 | 2TC | |
| Phosphan ist pyrophor (selbstentzündlich).
Besondere Maßgaben:
|
||||||
| Monosilan SiH4 |
- 3,5 | - 111,4 | 1,11 | 2203 | 2F | |
| Monosilan ist pyrophor (selbstentzündlich).
Besondere Maßgaben:
|
||||||
| Unter hohem Druck zu verflüssigende Gase, Gruppe 2.3: chemisch instabil (in der Regel entzündbar) | ||||||
| Gas | Tk in °C | Sdp. in °C | Rel. Dichte | Korrosiv | UN-Nr. | KC |
| Difluorethylen (R1132a) C2H2F2 | + 29,7 | - 84,0 | 2,23 | 1959 | 2F | |
| Vinylfluorid (Fluorethen) (R1141) C2H3F | +54,7 | -72,2 | 1,62 | 1860 | 2F | |
Tab. 3 Gase mit einer kritischen Temperatur Tk > +65 °C
Diese Gase lassen sich bereits unter vergleichsweise geringem Druck verflüssigen. Innerhalb der Tabelle sind die Gase nach ihrer Entzündbarkeit und ihrer chemischen Stabilität in die Gruppen 3.1 bis 3.3 eingeteilt. Die Füllmenge wird üblicherweise gravimetrisch oder volumetrisch bestimmt.
| Unter geringem Druck zu verflüssigende Gase, Gruppe 3.1: nicht entzündbar, chemisch stabil | ||||||
| Gas | Tk in °C | Sdp. in °C | Rel. Dichte | Korrosiv | UN-Nr. | KC |
| Bortrichlorid BCl3 |
178,8 | + 12,5 | 4,06 | 1741 | 2TC | |
Besondere Maßgaben:
|
||||||
| Bromchlordifluormethan (R12B1)CBrClF2 |
+ 154,0 | - 3,3 | 5,88 | 1974 | 2A | |
| Bromtrifluormethan (R13B1) CBrF3 | + 66,8 | - 57,9 | 5,23 | |||
| Bromwasserstoff HBr | + 89,9 | - 66,7 | 2,82 | Ja | 1048 | 2TC |
Besondere Maßgaben:
|
||||||
| Carbonylchlorid | + 182,3 | + 7,4 | 3,50 | 1076 | 2TC | |
| (Phosgen) COCl2 |
Besondere Maßgaben:
|
|||||
| Chlor Cl2 |
+ 144,0 | - 34,1 | 2,49 | Ja | 1017 | 2TOC |
| Stark oxidierendes Gas, kann mit oxidierbaren Materialien gefährlich reagieren.
Besondere Maßgaben:
|
||||||
| Chlordifluormethan (R22) CHClF2 | +96,2 | -40,6 | 2,99 | 1018 | 2A | |
| Chlorpentafluorethan (R115) C2ClF5 | +80,0 | -39,1 | 5,44 | 1020 | 2A | |
| 2-Chlor-1,1,1-trifluorethan (R133a) C2H2ClF3 |
+ 150,0 | + 6,9 | 4,09 | 1983 | 2A | |
| Chlortrifluorid ClF3 |
+ 174,0 | + 11,8 | 3,29 | 1749 | 2TOC | |
| Stark oxidierend wirkendes Gas, kann mit oxidierbaren Materialien gefährlich reagieren.
Besondere Maßgaben:
|
||||||
| Dichlordifluormethan (R12) CCl2F2 | +112,0 | -24,9 | 4,26 | 1028 | 2A | |
| Dichlorfluormethan (R21) CHCl2F | 178,5 | +8,9 | 3,65 | 1029 | 2A | |
| Dichlortetrafluorethan (R114) C2Cl2F4 | 145,7 | +3,5 | 6,11 | 1958 | 2A | |
| Heptafluorpropan (R227) C3HF7 | + 100,0 | - 17,0 | (5,87) | 3296 | 2A | |
| Hexafluorpropen (R1216) C3F6 |
+86,2 | -29,6 | (5,28) | 1858 | 2A | |
| Gas | Tk in °C | Sdp. in °C | Rel. Dichte | Korrosiv | UN-Nr. | KC |
| Oktafluorcyclobutan (RC318) C4F8 | 115,3 | - 6,4 | 7,17 | 1976 | 2A | |
| Oktafluorpropan (R218) C3F8 | 71,9 | - 36,7 | 8,54 | 2424 | 2A | |
| Pentafluorethan (R125) C2HF5 | + 66,2 | - 48,1 | 1,21 | 3220 | 2A | |
| Schwefeldioxid SO2 |
+ 157,5 | - 10,0 | 2,26 | Ja | 1079 | 2TC |
Besondere Maßgaben:
|
||||||
| Stickstofftetroxid N2O4 |
+ 158,2 | + 21,1 | 2,83 | Ja | 1975 | 2TOC |
| Stark oxidierend wirkendes Gas, kann mit oxidierbaren Materialien gefährlich reagieren.
Besondere Maßgaben:
|
||||||
| Sulfurylfluorid SO2F2 |
+ 91,8 | - 55,4 | 3,47 | 2191 | 2T | |
| 1,1,1,2 -Tetrafluorethan | + 101,0 | - 26,1 | 3,59 | 3159 | 2A | |
| (R134a) C2H2F4 | Besondere Maßgaben:
Das zu füllende Gas muss trocken sein, d.h., der Taupunkt muss < -10 °C sein und darf nur in trockene Behälter gefüllt werden. |
|||||
| Trifluoracetylchlorid CF3COCl |
(+ 109) | (- 24,8) | (4,57) | 3057 | 2TC | |
| Besondere Maßgaben:
Das zu füllende Gas muss trocken sein, d.h. der Taupunkt muss < -10 °C sein und darf nur in trockene Behälter gefüllt werden. |
||||||
| Wolframhexafluorid WF6 |
+ 170,0 | + 17,1 | 10,28 | 2196 | 2TC | |
| Besondere Maßgaben:
1. Es sind nur Flaschen bis zu einem Fassungsraum von 85 l zulässig. 2. Die Behälter müssen innen trocken und frei sein von Stoffen, die mit dem Gas in gefährlicher Weise reagieren. 3. Die Ventile müssen gasdicht schließende und unverlierbar mit dem Ventil verbundene Verschlussmuttern besitzen. Die Verschlussmuttern müssen geeignete, unbeschädigte Dichtungen haben. 4. Das Gas darf bis zu einem Gesamtdruck von 5 bar (bei 15 °C) mit Argon überlagert werden. |
||||||
| Unter geringem Druck zu verflüssigende Gase, Gruppe 3.2: entzündbar, chemisch stabil | ||||||
| Gas | Tk in °C | Sdp. in °C | Rel. Dichte | Korrosiv | UN-Nr. | KC |
| Ethylamin C2H5NH2 |
+ 183,4 | + 16,6 | 1,61 | 1036 | 2F | |
| Ethylchlorid (R160) C2H5Cl | + 187,2 | + 12,3 | 2,31 | 1037 | 2F | |
| Ammoniak NH3 | + 132,4 | - 33,4 | 0,60 | 1005 | 2TC | |
| Unter geringem Druck zu verflüssigende Gase, Gruppe 3.2: entzündbar, chemisch stabil | ||||||
| Gas | Tk in °C | Sdp. in °C | Rel. Dichte | Korrosiv | UN-Nr. | KC |
| n-Butan C4H10 |
+ 152,0 | - 0,5 | 2,11 | 1011 | 2F | |
| i-Butan C4H10 |
+ 135,0 | - 11,7 | 2,11 | 1969 | 2F | |
| 1-Buten C4H8 |
+ 146,4 | - 6,2 | 2,00 | 1012 | 2F | |
| cis-2-Buten C4H8 |
+ 162,4 | + 3,7 | 2,00 | 1012 | 2F | |
| trans-2-Buten C4H8 |
+ 155,5 | + 0,9 | 2,00 | 1012 | 2F | |
| i-Buten C4H8 |
+ 144,7 | - 7,1 | 2,00 | 1055 | 2F | |
| Chlordifluorethan (R142b)C2H3ClF2 | +137,1 | -9,6 | 3,61 | 2517 | 2F | |
| Cyclopropan C3H6 |
+ 124,6 | - 32,9 | 1,45 | 1027 | 2F | |
| Dichlorsilan SiH2Cl2 |
+ 176,3 | + 8,4 | 3,56 | 2189 | 2TFC | |
Besondere Maßgaben:
|
||||||
| 1,1-Difluorethan (R152a) C2H4F2 | + 113,5 | - 25,0 | 2,34 | 1030 | 2F | |
| Difluormethan (R32) CH2F2 |
+ 78,4 | - 51,7 | 1,82 | 3252 | 2F | |
| Dimethylether C2H6O |
+126,9 | -24,8 | 1,63 | 1033 | 2F | |
| Dimethylamin C2H6NH | +164,6 | +7,4 | 1,60 | 1032 | 2F | |
| Dimethylsilan (CH3)2SiH2 |
+ 125,0 | - 19,6 | 2,11 | |||
| Besondere Maßgaben:
Die besonderen Maßgaben für Methylsilan (s. Gruppe 3.2) gelten sinngemäß. |
||||||
| Methanthiol CH3SH |
+ 196,8 | + 6,0 | 1,70 | 1064 | 2TF | |
| Bei Behältern aus Stahl besteht die Gefahr der Spannungsrisskorrosion durch Verunreinigungen mit Schwefelwasserstoff.
Besondere Maßgaben:
|
||||||
| Methylamin CH3NH2 |
+ 156,9 | - 6,3 | 1,80 | 1061 | 2F | |
| Methylbromid (R40B1) CH3Br | + 194,0 | + 3,6 | 3,07 | 1062 | 2T | |
| Methylchlorid (R40) CH3Cl | +143,0 | -23,8 | 1,78 | 1063 | 2F | |
| Unter geringem Druck zu verflüssigende Gase, Gruppe 3.2: entzündbar, chemisch stabil | ||||||
| Gas | Tk in °C | Sdp. in °C | Rel. Dichte | Korrosiv | UN-Nr. | KC |
| Methylsilan CH3SiH3 |
+ 79,3 | - 57,5 | 1,61 | |||
| Besondere Maßgaben:
Der Ausgangsanschluss der Flaschenventile muss das für Wasserstoff zu verwendende Gewinde W 21,80 x 1/14 LH haben. |
||||||
| Propan C3H8 |
+ 96,8 | - 42,1 | 1,55 | 1978 | 2F | |
| Propen C3H6 |
+ 91,8 | - 47,7 | 1,48 | 1077 | 2F | |
| Schwefelwasserstoff H2S |
+ 100,4 | - 60,2 | 1,19 | Ja | 1053 | 2TF |
| Es besteht die Gefahr der Spannungsrisskorrosion.
Besondere Maßgaben:
Besondere Maßgaben für Behälter aus Stahl:
|
||||||
| 1,1,1-Trifluorethan (R143a) C2H3F3 | +73,0 | -47,6 | 2,95 | 2035 | 2F | |
| 3,3,3-Trifluorpropen (TFP) C3H3F3 |
+ 107,0 | - 30,0 | 3,32 | |||
| Besondere Maßgaben:
Das zu füllende Gas muss trocken sein, d.h., der Taupunkt muss < -10 °C sein und darf nur in trockene Behälter gefüllt werden. |
||||||
| Trimethylamin (CH3)3N |
+160,2 | +2,9 | +2,00 | 1083 | 2F | |
| Trimethylsilan (CH3)3SiH |
+ 155,0 | + 6,7 | (2,61) | |||
| Besondere Maßgaben:
Die besonderen Maßgaben für Methylsilan (s. Gruppe 3.2) gelten sinngemäß. |
||||||
| Unter geringem Druck zu verflüssigende Gase, Gruppe 3.3: chemisch instabil (in der Regel entzündbar) | ||||||
| Gas | Tk in °C | Sdp. in °C | Rel. Dichte | Korrosiv | UN-Nr. | KC |
| Ethylenoxid C2H4O |
+ 195,8 | + 10,5 | 1,52 | 1040 | 2TF | |
| Ethylenoxid ist ein chemisch instabiles (explosionsfähiges) Gas, das auch ohne Luftsauerstoff beim Wirksamwerden einer Zündquelle explosionsartig reagieren kann.
Besondere Maßgaben:
|
||||||
| 1,2-Butadien C4H6 |
+ 170,6 | + 10,9 | 1,95 | 1010 | 2F | |
Besondere Maßgaben:
|
||||||
| 1,3-Butadien C4H6 |
+ 152,0 | - 4,5 | 1,92 | 1010 | 2F | |
| Butadien ist zwar nicht als chemisch instabil eingestuft (UN-Prüfhandbuch, Section 35), kann aber bereits mit Spuren von Sauerstoff Peroxide bilden, die dann zu explosionsartigen Reaktionen führen können.
Besondere Maßgaben
|
||||||
| Chlorcyan ClCN |
(+ 175,0) | + 12,9 | 2,19 | 1589 | 2TC | |
| Chlorcyan ist bei nichtatmosphärischen Bedingungen ein chemisch instabiles Gas, das ohne Anwesenheit anderer Stoffe gefährlich reagieren kann. Chlorcyan ist nicht entzündbar. Bei Behältern aus Stahl besteht die Gefahr der Spannungsrisskorrosion bei Anwesenheit von Cyaniden.
Besondere Maßgaben
Besondere Maßgaben für Behälter aus Stahl:
|
||||||
| Chlortrifluorethylen (R1113) C2ClF3 |
+ 105,8 | - 28,4 | 4,11 | 1082 | 2TF | |
Besondere Maßgaben
|
||||||
| Cyanwasserstoff HCN |
+ 183,5 | + 25,7 | 0,95 | 1051 | TF1 | |
| Bei Behältern aus Stahl besteht die Gefahr der Spannungsrisskorrosion bei Anwesenheit von Cyaniden.
Besondere Maßgaben:
|
||||||
| Unter geringem Druck zu verflüssigende Gase, Gruppe 3.3: chemisch instabil (in der Regel entzündbar) | ||||||
| Gas | Tk in °C | Sdp. in °C | Rel. Dichte | Korrosiv | UN-Nr. | KC |
| Dicyan C2N2 |
+ 126,6 | - 21,2 | 1,80 | 1026 | 2TF | |
Besondere Maßgaben
|
||||||
| Vinylbromid (R1140B1) C2H3Br | + 198,0 | + 15,7 | 3,7 | 1085 | 2F | |
| Vinylchlorid (R1140) C2H3Cl | +156,5 | -13,7 | 2,16 | 1086 | 2F | |
| Vinylmethylether C3H6 O |
+ 172,0 | + 6,0 | 2,06 | 1087 | 2F | |
| Besondere Maßgaben
Hinweis: Für einige Druckgasbehälter ist ggf. ein Sonnenschutz erforderlich. |
||||||
| Acetylen: chemisch instabil | ||||||
| Gas | Tk in °C | Sdp. in °C | Rel. Dichte | Korrosiv | UN-Nr. | KC |
| Acetylen C2H2 |
+ 35,2 | - 84,07 | 0,91 | 1001 3374 |
4F 2F |
|
Besondere Maßgaben:
____________ |
||||||
A.1.2 Gasgemische
Für definierte Gasgemische wird, soweit möglich, für die kritische Temperatur Tk die pseudokritische Temperatur8 angegeben. Wenn vorhanden, wird für den Siedepunkt der Siedebeginn angegeben.
______________
8) Zur Berechnung der pseudokritischen Temperatur von Gasgemischen siehe Anlage 2 Nummer A.2.1 Absatz 2.
Tab. 1 Permanentgasgemische mit einer kritischen Temperatur Tk<- 50 °C
Diese Gase lassen sich unter Druck nicht verflüssigen. Innerhalb der Tabelle sind die Gase nach ihrer Entzündbarkeit in die Gruppen 1.1 und 1.2 unterteilt. Die Füllmenge wird üblicherweise manometrisch bestimmt.
| Permanentgase, Gruppe 1.1: nicht entzündbar | ||||||
| Gas | Tk in °C | Sdp. in °C | Rel. Dichte | Korrosiv | UN-Nr. | KC |
| Luft | - 140,7 | - 194,4 | 1 | 1002 1003 |
1A 3O |
|
| Permanentgase, Gruppe 1.2: entzündbar | ||||||
| Gas | Tk in °C | Sdp. in °C | Rel. Dichte | Korrosiv | UN-Nr. | KC |
| Gemisch aus Wasserstoff und Methan | 2034 | 1F | ||||
| Besondere Maßgaben:
Das zu füllende Gas muss trocken sein, d. h., der Taupunkt muss < - 10 °C sein und darf nur in trockene Behälter gefüllt werden. |
||||||
Tab. 2 Gasgemische mit einer kritischen Temperatur - 50 °C < Tk< + 65 °C
Diese Gase lassen sich nur unter vergleichsweise hohem Druck verflüssigen. Innerhalb der Tabelle sind die Gase nach ihrer Entzündbarkeit und ihrer chemischen Stabilität in die Gruppen 2.1 bis 2.3 eingeteilt. Die Füllmenge wird üblicherweise gravimetrisch bestimmt.
| Unter hohem Druck zu verflüssigende Gase, Gruppe 2.1: nicht entzündbar, chemisch stabil | ||||||
| Gas | Tk in °C | Sdp. in °C | Rel. Dichte | Korrosiv | UN-Nr. | KC |
| Azeotropes Gemisch aus 59,9 %
Chlortrifluormethan und 40,1 % Trifluormethan (R503) |
+ 27,6 | 2599 | 2A | |||
Tab. 3 Gasgemische mit einer kritischen Temperatur Tk > + 65 °C
Diese Gase lassen sich bereits unter vergleichsweise geringem Druck verflüssigen. Innerhalb der Tabelle sind die Gase nach ihrer Entzündbarkeit und ihrer chemischen Stabilität in die Gruppen 3.1 bis 3.3 eingeteilt. Die Füllmenge wird üblicherweise gravimetrisch oder volumetrisch bestimmt.
| Unter geringem Druck zu verflüssigende Gase, Gruppe 3.1: nicht entzündbar, chemisch stabil | ||||||
| Gas | Tk in °C | Sdp. in °C | Rel. Dichte | Korrosiv | UN-Nr. | KC |
| Gemisch aus 44 % R125, 4 % R134a und 52 % R143a (R404A) | + 71,2 | 3337 | 2A | |||
Besondere Maßgaben:
|
||||||
| Gemisch aus 20 % R32, 40 % R125 und 40 % R1 34a (R407A) | + 82,6 | 3338 | 2A | |||
Besondere Maßgaben:
|
||||||
| Gemisch aus 10 % R32, 70 % R125 und 20 % R1 34a (R407B) | + 74,4 | 3339 | 2A | |||
Besondere Maßgaben:
|
||||||
| Gemisch aus 23 % R32, 25 % R125 und 52 % R1 34a (R407C) | + 87,1 | 3340 | 2A | |||
Besondere Maßgaben:
|
||||||
| Azeotropes Gemisch aus 73,8 % R12 und 26,2 % R152a (R500) | + 112,4 | 2602 | 2A | |||
| Azeotropes Gemisch aus 48,8 % R22 und 51,2 % R115 (R502) | + 87,9 | 1973 | 2A | |||
| Unter geringem Druck zu verflüssigende Gase, Gruppe 3.2: entzündbar, chemisch stabil | ||||||
| Gas | Tk in °C | Sdp. in °C | Rel. Dichte | Korrosiv | UN-Nr. | KC |
| Flüssiggas (entsprechend DIN 51622) | 1075 | 2F | ||||
| Gemische aus Kohlenwasserstoffen, z.B. Gemisch A, A01, A02, A0, A1, B1, B2, B oder C | 1965 | 2F | ||||
| Unter geringem Druck zu verflüssigende Gase, Gruppe 3.3: chemisch instabil (in der Regel entzündbar) | ||||||
| Gas | Tk in °C | Sdp. in °C | Rel. Dichte | Korrosiv | UN-Nr. | KC |
| Gemisch aus maximal 87 % Ethylenoxid mit Kohlendioxid | 3300 | 2TF | ||||
| Besondere Maßgaben:
Das Gasgemisch darf nur aus der flüssigen Phase entnommen werden, entweder aus Überkopfstellung oder mittels Steigrohr. |
||||||
| Gemisch aus Dichlordifluormethan mit maximal 12 % Ethylenoxid | 3070 | 2A | ||||
| Besondere Maßgaben:
Das Gasgemisch darf nur aus der flüssigen Phase entnommen werden, entweder aus Überkopfstellung oder mittels Steigrohr. |
||||||
| Methylacetylen/ Propadien-Gemisch I, z.: Gemisch P1 oder P2 |
1060 | 2F | ||||
Besondere Maßgaben:
|
||||||
| Einstufung von Gasgemischen | Anlage 2 zu TRGS 407 |
Die Einstufung und Kennzeichnung von Gasgemischen beim Inverkehrbringen muss spätestens ab dem 1. Juni 2015 gemäß CLP-Verordnung erfolgen 9. Für innerbetrieblich hergestellte und nicht in Verkehr gebrachte Gasgemische wird eine entsprechende Einstufung nach CLP-Verordnung empfohlen, die im Folgenden näher erläutert ist.
A.1.1 Physikalisch-chemische Gefahren
(1) Gasgemische sind dann Gase unter Druck, wenn sie in einem Behältnis unter einem Druck von 200 kPa (Überdruck) oder mehr enthalten sind oder verflüssigt oder verflüssigt und tiefgekühlt sind. Dazu gehören verdichtete, verflüssigte, gelöste und tiefgekühlt verflüssigte Gase (siehe dazu auch Nummer 3.1.1 Absatz 1 Satz 4).
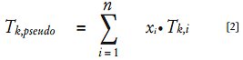
(2) Für Gasgemische kann die pseudokritische Temperatur aus den kritischen Temperaturen der Bestandteile wie folgt berechnet werden:
9 Bis zum 30. Mai 2015 dürfen sowohl die Zubereitungsrichtlinie (Richtlinie 199/45/EG) als auch die CLP-Verordnung angewendet werden. Bei Anwendung der CLP-Verordnung muss allerdings bis zum 1. Juni 2015 auch die Einstufung nach Zubereitungsrichtlinie im Sicherheitsdatenblatt mit angegeben werden. Darüber hinaus besteht noch eine zusätzliche zweijährige "Abverkaufsfrist".
| Tk,pseudo | = | Pseudokritische Temperatur des Gasgemisches in K (oder °C) |
| Tk,i | = | Kritische Temperatur des Bestandteils i in K (oder °C) |
| xi | = | Stoffmengenanteil des Bestandteils i im Gasgemisch |
| n | = | Anzahl der Bestandteile im Gasgemisch |
Mithilfe der pseudokritischen Temperatur erfolgt die Zuordnung zu einer Gruppe innerhalb der Gefahrenklasse Gase unter Druck nach der CLP-Verordnung sowie die Zuordnung zu einer Gruppe nach Anlage 1 Nummer A.1.2.
(3) Die Entzündbarkeit ist durch Prüfungen zu bestimmen. Für Gemische kann sie auch durch Berechnung nach DIN EN ISO 10156 /14/ in der jeweils aktuellen Fassung erfolgen, wenn die dafür erforderlichen Daten vorliegen. Reicht die Datenlage für die Anwendung des Berechnungsverfahrens nicht aus, kann das Prüfverfahren nach DIN EN 1839 /8/ "Bestimmung der Explosionsgrenzen von Gasen und Dämpfen" in der jeweils aktuellen Ausgabe angewandt werden.
(4) Liegen für ein Gasgemisch die Grenzwerte der Entzündbarkeit für alle enthaltenen entzündbaren Stoffe (Gase oder Dämpfe) sowie die Stickstoffäquivalenzkoeffiziente für alle inerten Gase vor, so kann wie folgt berechnet werden, ob auch das Gemisch entzündbar ist:

| Ai | = | Stoffmengenanteil des entzündbaren Gases oder Dampfes i in mol% [3] |
| Tci | = | Maximaler Anteil des entzündbaren Gases oder Dampfes i in Stickstoff, bei dem das Gemisch in Luft gerade noch nicht entzündbar ist (Grenzwert der Entzündbarkeit) in mol% |
| Bk | = | Stoffmengenanteil des inerten Gases k |
| Kk | = | Stickstoffäquivalenzkoeffizient des inerten Gases k |
Die Werte für Tci und Kk sind in den Tabellen der DIN EN ISO 10156 /14/ in der jeweils aktuellen Fassung zu finden.
Ist die Gleichung [2] erfüllt, so ist das Gemisch bei 101,3 hPa und 20 °C nicht entzündbar.
(5) Die Oxidationskraft eines Gasgemisches mit oxidierenden Gasen ist durch Prüfungen oder Berechnung nach DIN EN ISO 10156 /14/ in der jeweils aktuellen Fassung zu bestimmen.
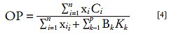
(6) Liegen für ein Gasgemisch die Sauerstoffäquivalenzkoeffiziente für alle oxidierenden Gase sowie die Stickstoffäquivalenzkoeffiziente für alle inerten Gase vor, so kann wie folgt berechnet werden, ob auch das Gemisch oxidierend ist:
| OP | = | Oxidationskraft |
| xi | = | Stoffmengenanteil des oxidierenden Gases i in mol% |
| Ci | = | Sauerstoffäquivalenzkoeffizient des oxidierenden Gases i |
| Bk | = | Stoffmengenanteil des inerten Gases k |
| Kk | = | Stickstoffäquivalenzkoeffizient des inerten Gases k |
Die Werte für Ci und Kk sind in den Tabellen der DIN EN ISO 10156 /14/ in der jeweils aktuellen Fassung zu finden.
Ist die Oxidationskraft des Gemisches OP> 23,5 %, ist das Gemisch als oxidierend einzustufen.
(7) Enthalten Gasgemische brennbare und oxidierende Stoffe, sind gefährliche Reaktionen der Stoffe in Betracht zu ziehen. Die Einstufung ist entsprechend Abschnitt 5 der DIN EN ISO 10156 /14/ vorzunehmen. Die Herstellung solcher Gemische erfordert die Beachtung besonderer Maßgaben (siehe Nummer 3.2.8, Nummer 4.2 und Anlage 3).
A.2.2 Gesundheitsgefahren
Gasgemische sind nach ihrer akuten Toxizität in 4 Kategorien, entsprechend CLP-Verordnung, einzustufen:
Kategorie 1: (ATE< 100) ppm(V)
Kategorie 2: (100 < ATE< 500) ppm(V)
Kategorie 3: (500 < ATE< 2500) ppm(V)
Kategorie 4: (2500 < ATE< 20.000) ppm(V)
ATE = Schätzwert der akuten Toxizität bei 4 h inhalativer Exposition
(2) Die akute Toxizität für Gasgemische kann entsprechend der CLP-Verordnung nach folgender Gleichung ermittelt werden:
| i | = Laufvariable für die einzelnen Bestandteile |
| n | = Anzahl der Bestandteile |
| Ci | = Stoffmengenanteil von Bestandteil i in % v/v oder mol% |
Liegen ATE-Werte für 4 h Exposition nicht vor, lassen sich diese aus den LC50-Werten (1 h inhalative Exposition) der Bestandteile nach ADR /1/ Abschnitt 4.1.4.1 P200 oder ISO 10298 /15/ in der jeweils aktuellen Fassung durch Teilen mit dem Faktor 2 berechnen.
(3) Die Ätz-/Reizwirkung von Gasgemischen ist, wenn keine anderen Erkenntnisse vorliegen, dann zu unterstellen, wenn das Gemisch mehr als 1 mol% eines ätzenden/reizenden Bestandteils enthält.
(4) Weitere Einstufungen in die Gefahrenklassen Schwere Augenschädigung/Augenreizung, Sensibilisierung der Atemwege oder der Haut, Keimzellmutagenität, Karzinogenität, Reproduktionstoxizität sowie Spezifische Zielorgantoxizität erfolgen entsprechend CLP-Verordnung.
| Gasgemische-Diagramm | Anlage 3 zu TRGS 407 |
Die folgende Kreuztabelle ist bei der Beurteilung, ob die einzelnen Gase eines Gemisches in gefährlicher Weise reagieren können, heranzuziehen.
Legende:
| X | Die Gase können in beliebigen Konzentrationen gemischt werden, gefährliche Reaktionen sind nicht möglich. |
| O | Die Gase können in bestimmten Konzentrationen gemischt werden, aber gefährliche Konzentrationen sind möglich. |
| n | Die Gase dürfen nicht gemischt werden (Ausnahmen sind möglich, erfordern jedoch besondere Kenntnisse und Fachkunde und sind in einem schriftlichen Bericht festzulegen. Über die erforderlichen Kenntnisse und die Fachkunde zur Beurteilung der Herstellbarkeit solcher Gasgemische verfügt die BAM. |
| leer | Keine Informationen vorhanden. |
| Gas | Ace- tylen |
Am- mon- iak |
Ar- gon |
Ar- sen- was- ser- stoff |
Bor- tri- chlo- rid |
Bor- tri- flu- orid |
Brom- was- ser- stoff |
Bu- ta- dien |
n-Bu- tan |
i-Bu- tan |
1-Bu ten |
cis-2 -Bu- ten |
trans- 2-Bu- ten |
i-Bu- ten |
Car- bo- nyl- chlo- rid |
Car- bo- nyl- flu- orid |
Chlor | Chlor- was- ser- stoff |
Chlor- cyan |
Cyan- was- ser- stoff |
Cy- clo- pro- pan |
Deu- teri- um |
Di- bo- ran |
Di- cyan |
Di- me- thyl- amin |
Di- me- thyl ether |
Di- me- thyl- silan |
Di- stick- stoff- oxid |
Ethan | Ethyl- amin |
| Acetylen | n | n | n | n | n | n | n | n | n | n | n | n | n | n | n | n | n | n | n | n | n | n | n | n | n | n | n | n | n | |
| Ammoniak | n | x | n | n | n | n | x | x | x | x | x | x | n | n | n | n | n | n | x | x | n | n | x | x | n | x | x | |||
| Argon | n | x | x | x | x | x | x | x | x | x | x | x | x | x | x | x | x | x | x | x | x | n | x | x | x | x | x | x | x | |
| Arsenwasserstoff | n | x | n | x | n | n | ||||||||||||||||||||||||
| Bortrichlorid | n | n | x | n | n | n | n | n | n | n | n | n | ||||||||||||||||||
| Bortrifluorid | n | n | x | n | n | n | n | n | n | n | n | n | ||||||||||||||||||
| Bromwasserstoff | n | n | x | n | x | x | n | n | n | n | n | x | n | x | n | n | n | n | x | n | ||||||||||
| Butadien | n | n | x | n | n | n | x | x | x | x | x | x | n | n | n | n | n | x | x | n | n | x | n | x | n | |||||
| n-Butan | n | x | x | x | x | x | x | x | x | x | n | n | n | x | n | x | x | x | n | x | x | x | x | n | x | x | ||||
| i-Butan | n | x | x | x | x | x | x | x | x | x | n | n | n | x | n | x | x | x | n | x | x | x | x | n | x | x | ||||
| 1-Buten | n | x | x | n | n | n | x | x | x | x | x | x | n | n | n | n | n | x | x | x | n | x | x | x | x | n | x | x | ||
| cis-2-Buten | n | x | x | n | n | n | x | x | x | x | x | x | n | n | n | n | n | x | x | x | n | x | x | x | x | n | x | x | ||
| trans-2-Buten | n | x | x | n | n | n | x | x | x | x | x | x | n | n | n | n | n | x | x | x | n | x | x | x | x | n | x | x | ||
| i-Buten | n | x | x | n | x | x | x | x | x | x | n | n | n | n | n | x | x | x | n | x | x | x | x | n | x | x | ||||
| Carbonylchlorid | n | n | x | n | n | n | n | n | n | n | x | n | n | n | n | n | n | |||||||||||||
| Carbonylfluorid | n | n | x | n | n | n | n | n | n | n | x | n | n | n | n | n | n | |||||||||||||
| Chlor | n | n | x | n | n | n | n | n | n | n | n | n | x | x | x | n | n | n | n | n | n | n | n | n | n | |||||
| Chlorwasserstoff | n | n | x | x | n | x | x | n | n | n | n | x | n | x | n | n | n | n | x | n | ||||||||||
| Chlorcyan | n | n | x | n | n | n | n | n | n | n | n | n | n | n | ||||||||||||||||
| Cyanwasserstoff | n | n | x | x | x | x | x | x | x | n | x | x | n | n | x | |||||||||||||||
| Cyclopropan | n | x | x | n | x | x | x | x | x | x | x | n | n | n | n | n | x | x | n | x | x | x | x | n | x | x | ||||
| Deuterium | n | x | x | x | x | x | x | x | x | x | x | x | n | x | x | x | n | x | x | x | x | n | x | x | ||||||
| Diboran | n | n | n | n | n | n | n | n | n | n | n | n | n | n | n | n | n | n | n | n | n | n | n | n | n | n | n | |||
| Dicyan | n | n | x | x | x | x | x | x | x | n | x | x | n | n | x | |||||||||||||||
| Dimethylamin | n | x | x | n | n | n | n | x | x | x | x | x | x | n | n | n | n | x | x | n | x | n | x | x | ||||||
| Dimethylether | n | x | x | n | x | x | x | x | x | x | x | n | n | x | x | n | x | n | x | x | ||||||||||
| Dimethylsilan | n | x | x | x | x | x | x | x | n | n | n | x | x | n | n | x | ||||||||||||||
| Distickstoffoxid | n | n | x | n | n | n | n | n | n | n | n | n | n | n | n | n | n | n | n | n | n | n | ||||||||
| Ethan | n | x | x | x | x | x | x | x | x | x | x | n | n | n | x | n | x | x | x | n | x | x | x | x | n | x | ||||
| Ethylamin | n | x | x | n | n | n | n | x | x | x | x | x | x | n | n | n | n | n | x | x | n | x | x | n | x | |||||
| Ethylen | n | x | x | n | n | n | x | x | x | x | x | x | x | n | n | n | n | n | x | x | x | n | x | x | x | x | n | x | x | |
| Ethylenoxid | n | n | x | n | n | n | n | x | x | x | x | x | x | n | n | n | n | n | x | n | n | n | x | n | ||||||
| Fluor | n | n | n | n | n | n | n | n | n | n | n | n | n | n | n | n | n | n | n | n | n | n | n | n | n | n | n | n | n | n |
| Germaniumwasserstoff | n | n | n | n | n | n | n | n | n | n | n | n | n | n | n | n | n | n | n | n | n | n | n | n | n | n | n | n | n | n |
| Gas | Ace- tylen |
Am- mon- iak |
Ar- gon |
Ar- sen- was- ser- stoff |
Bor- tri- chlo- rid |
Bor- tri- flu- orid |
Brom- was- ser- stoff |
Bu- ta- dien |
n-Bu- tan |
i-Bu- tan |
1-Bu ten |
cis-2 -Bu- ten |
trans- 2-Bu- ten |
i-Bu- ten |
Car- bo- nyl- chlo- rid |
Car- bo- nyl- flu- orid |
Chlor | Chlor- was- ser- stoff |
Chlor- cyan |
Cyan- was- ser- stoff |
Cy- clo- pro- pan |
Deu- teri- um |
Di- bo- ran |
Di- cyan |
Di- me- thyl- amin |
Di- me- thyl ether |
Di- me- thyl- silan |
Di- stick- stoff- oxid |
Ethan | Ethyl- amin |
| Helium | n | X | X | X | X | X | X | X | X | X | X | X | X | X | X | X | X | X | X | X | X | X | n | X | X | X | X | X | X | X |
| Kohlendioxid | n | n | X | n | X | X | X | X | X | X | X | X | X | X | X | X | X | n | n | X | X | X | n | |||||||
| Kohlenmonoxid | n | n | X | X | X | X | X | X | X | X | n | X | X | n | n | X | n | X | n | |||||||||||
| Krypton | n | X | X | X | X | X | X | X | X | X | X | X | X | X | X | X | X | X | X | X | X | X | n | X | X | X | X | X | X | X |
| Luft | n | O | X | n | n | n | O | O | O | O | O | O | X | n | n | n | O | n | n | O | O | n | X | O | O | |||||
| Methan | n | X | X | X | X | X | X | X | X | X | X | n | n | n | X | n | X | X | X | n | X | X | X | X | n | X | X | |||
| Methanthiol | n | n | X | X | X | X | X | X | X | n | n | n | X | X | n | n | n | X | n | |||||||||||
| Methylamin | n | X | X | n | n | n | n | X | X | X | X | X | X | n | n | n | n | n | X | X | n | X | X | n | X | X | ||||
| Methylsilan | n | X | X | X | n | n | n | n | n | X | n | X | n | X | ||||||||||||||||
| Monosilan | n | X | X | X | n | n | n | n | n | X | n | n | X | n | X | |||||||||||||||
| Neon | n | X | X | X | X | X | X | X | X | X | X | X | X | X | X | X | X | X | X | X | X | n | X | X | X | X | X | X | X | |
| Ozon | n | n | n | n | n | n | n | n | n | n | n | n | n | n | n | n | n | n | n | n | n | n | n | n | n | n | n | n | n | |
| Phosphan | n | n | X | n | X | X | n | n | X | n | n | X | n | X | n | |||||||||||||||
| Propan | n | X | X | X | X | X | X | X | X | X | n | n | n | X | n | X | X | X | n | X | X | X | X | n | X | X | ||||
| Propylen (Propen) | n | X | X | X | X | X | X | X | X | X | n | n | n | n | n | X | X | X | n | X | X | X | X | n | X | X | ||||
| R12 (CCl2F2) | n | X | X | X | X | X | X | X | X | X | X | n | X | n | X | |||||||||||||||
| R12B1 (CBrClF2) | n | X | X | X | X | X | X | X | X | X | X | n | X | n | X | |||||||||||||||
| R13 (CClF3) | n | X | X | X | X | X | X | X | X | X | X | n | X | n | X | |||||||||||||||
| R13B1 (CBrF3) | n | X | X | X | X | X | X | X | X | X | X | n | X | n | X | |||||||||||||||
| R14 (CF4) | n | X | X | X | X | X | X | X | X | X | X | n | X | n | X | |||||||||||||||
| R21 (CCl2F) | n | X | X | X | X | X | X | X | n | X | X | X | n | X | n | X | ||||||||||||||
| R22 (CHClF2) | n | X | X | X | X | X | X | X | n | X | X | X | n | X | n | X | ||||||||||||||
| R23 (CHF3) | n | X | X | X | X | X | X | X | n | X | X | X | n | X | n | X | ||||||||||||||
| R40 (CH3Cl) | n | X | X | X | X | X | X | X | n | X | X | X | n | X | n | X | ||||||||||||||
| R40B1 (CH3Br) | n | X | X | X | X | X | X | X | n | X | X | X | n | X | n | X | ||||||||||||||
| R114 (C2Cl2F4) | n | X | X | X | X | X | X | X | X | X | X | n | X | n | X | |||||||||||||||
| R115 (C2ClF5) | n | X | X | X | X | X | X | X | X | X | X | n | X | n | X | |||||||||||||||
| R116 (C2F6) | n | X | X | X | X | X | X | X | X | X | X | n | X | n | X | |||||||||||||||
| R125 (C2HF5) | n | X | X | X | X | X | X | X | n | X | X | X | n | X | n | X | ||||||||||||||
| R133a (C2H2ClF3) | n | X | X | X | X | X | X | X | n | X | X | X | n | X | n | X | ||||||||||||||
| R134a (C2H2F4) | n | X | X | X | X | X | X | X | n | X | X | X | n | X | n | X | ||||||||||||||
| R142b (C2H3ClF2) | n | X | X | X | X | X | X | X | n | X | X | X | n | X | n | X | ||||||||||||||
| R143a (C2H3F3) | n | X | X | X | X | X | X | X | n | X | X | X | n | X | n | X | ||||||||||||||
| R152a (C2H4F2) | n | X | X | X | X | X | X | X | n | X | X | X | n | X | n | X | ||||||||||||||
| R160 (C2H5Cl) | n | X | X | X | X | X | X | X | n | X | X | X | n | X | n | X | ||||||||||||||
| R1113 (C2ClF3) | n | X | n | n | n | n | n | n | ||||||||||||||||||||||
| R1.132a (C2H2F2) | n | X | n | n | n | n | n | n | ||||||||||||||||||||||
| R1140B1 (C2H3Br) | n | X | n | n | n | n | n | n | ||||||||||||||||||||||
| R1141 (C2H3F) | n | X | n | n | n | n | n | n | ||||||||||||||||||||||
| R218 (C3F8) | n | X | X | X | X | X | X | X | X | X | X | n | X | n | X | |||||||||||||||
| R227 (C3HF7) | n | X | X | X | X | X | X | X | n | X | X | X | n | X | n | X | ||||||||||||||
| Sauerstoff | n | O | X | n | n | O | O | O | O | O | O | n | n | n | O | n | n | O | O | n | X | O | O | |||||||
| Schwefeldioxid | n | n | X | n | X | X | n | n | n | n | X | n | ||||||||||||||||||
| Schwefelhexafluorid | n | X | n | X | ||||||||||||||||||||||||||
| Schwefelwasserstoff | n | n | X | X | X | X | X | X | X | n | X | X | n | n | n | X | n | |||||||||||||
| Stickstoff | n | X | X | X | X | X | X | X | X | X | X | X | X | X | X | X | X | X | X | X | X | n | X | X | X | X | X | X | X | |
| Stickstoffdioxid | n | n | X | n | n | n | n | n | n | n | n | n | n | n | n | n | n | n | n | n | n | n | n | |||||||
| Stickstoffmonoxid | n | n | X | n | n | n | n | n | n | n | n | n | n | n | n | n | n | n | n | n | n | n | n | |||||||
| Stickstofftrifluorid | n | n | X | n | n | n | n | n | n | n | n | n | n | n | n | n | n | n | n | n | n | n | n | |||||||
| Trimethylamin | n | X | X | n | n | n | X | X | X | X | X | X | n | n | n | n | X | X | n | X | X | n | X | X | ||||||
| Trimethylsilan | n | X | X | X | X | X | X | X | n | n | n | n | X | n | X | n | X | |||||||||||||
| Vinylchlorid (Chlorethen) | n | n | X | n | X | X | n | n | n | n | n | n | X | n | ||||||||||||||||
| Wasserstoff | n | X | X | X | X | X | X | X | X | X | X | X | n | X | X | X | X | n | X | X | X | n | X | X | ||||||
| Xenon | n | X | X | X | X | X | X | X | X | X | X | X | X | X | X | X | X | X | X | X | X | n | X | X | X | X | X | X | X |
| Gas | Ethy- len |
Ethy- len- oxid |
Flu- or |
Ger- man- ium- was- ser- stoff |
He- lium |
Koh- len- di- oxid |
Koh- len- mon- oxid |
Kryp- ton |
Luft | Me- than |
Me- than- thiol |
Me- thyl- amin |
Me- thyl- silan |
Mo- no- si- lan |
Ne- on |
Ozon | Phos- phan |
Pro- pan |
Pro- py- len (Pro- pen) |
R12 (CCl2 F2) |
R12B1 (CBr ClF2) |
R13 (CCl F3) |
R13B1 (CBr F3) |
R14 (CF4) | R21 (C Cl2F) |
R22 (CH ClF2) |
R23 (CH F3) |
R40 (CH3 Cl) |
R40B1 (CH3 Br) |
R114 (C2Cl2 F4) |
| Acetylen | n | n | n | n | n | n | n | n | n | n | n | n | n | n | n | n | n | n | n | n | n | n | n | n | n | n | n | n | n | n |
| Ammoniak | X | n | n | n | X | n | n | X | O | X | n | X | X | n | n | X | X | |||||||||||||
| Argon | X | X | n | n | X | X | X | X | X | X | X | X | X | X | X | n | X | X | X | X | X | X | X | X | X | X | X | X | X | X |
| Arsenwasserstoff | n | n | X | n | X | n | X | n | ||||||||||||||||||||||
| Bortrichlorid | n | n | n | n | X | X | n | X | n | |||||||||||||||||||||
| Bortrifluorid | n | n | n | n | X | X | n | X | n | |||||||||||||||||||||
| Bromwasserstoff | n | n | n | n | X | X | X | n | X | n | n | n | X | n | n | X | n | X | X | X | X | X | X | X | X | X | X | X | ||
| Butadien | X | n | n | n | X | X | X | X | n | X | n | X | n | n | X | X | ||||||||||||||
| n-Butan | X | X | n | n | X | X | X | X | O | X | X | X | X | X | X | n | X | X | X | X | X | X | X | X | X | X | X | X | X | X |
| i-Butan | X | X | n | n | X | X | X | X | O | X | X | X | X | X | X | n | X | X | X | X | X | X | X | X | X | X | X | X | X | X |
| 1-Buten | X | X | n | n | X | X | X | X | O | X | X | X | X | n | X | X | X | X | X | X | X | X | X | X | X | X | X | |||
| cis-2-Buten | X | X | n | n | X | X | X | X | O | X | X | X | X | n | X | X | X | X | X | X | X | X | X | X | X | X | X | |||
| trans-2-Buten | X | X | n | n | X | X | X | X | O | X | X | X | X | n | X | X | X | X | X | X | X | X | X | X | X | X | X | |||
| i-Buten | X | X | n | n | X | X | X | X | O | X | X | X | X | n | X | X | X | X | X | X | X | X | X | X | X | X | X | |||
| Carbonylchlorid | n | n | n | n | X | X | X | n | n | n | n | X | n | n | n | |||||||||||||||
| Carbonylfluorid | n | n | n | n | X | X | X | n | n | n | n | X | n | n | n | |||||||||||||||
| Chlor | n | n | n | n | X | n | X | X | n | n | n | n | n | X | n | n | n | n | n | n | n | n | n | |||||||
| Chlorwasserstoff | n | n | n | n | X | X | X | n | X | n | n | n | X | n | n | X | n | X | X | X | X | X | X | X | X | X | X | X | ||
| Chlorcyan | n | n | n | n | X | X | n | n | n | n | X | n | n | n | ||||||||||||||||
| Cyanwasserstoff | X | n | n | X | X | n | X | X | n | X | X | |||||||||||||||||||
| Cyclopropan | X | X | n | n | X | X | X | X | n | X | X | X | X | n | X | X | X | X | X | X | X | X | X | X | X | X | X | |||
| Deuterium | X | n | n | X | X | X | X | O | X | X | X | X | X | X | n | X | X | X | X | X | X | X | X | X | X | X | X | X | X | |
| Diboran | n | n | n | n | n | n | n | n | n | n | n | n | n | n | n | n | n | n | n | n | n | n | n | n | n | n | n | n | n | n |
| Dicyan | X | n | n | X | X | n | X | X | n | X | X | |||||||||||||||||||
| Dimethylamin | X | n | n | n | X | n | n | X | O | X | n | X | n | X | n | n | X | X | ||||||||||||
| Dimethylether | X | n | n | X | X | X | X | O | X | X | X | n | X | X | X | X | X | X | X | X | X | X | X | X | X | |||||
| Dimethylsilan | X | n | n | X | X | n | X | X | X | X | n | X | X | X | ||||||||||||||||
| Distickstoffoxid | n | n | n | n | X | X | n | X | X | n | n | n | n | n | X | n | n | n | n | n | n | n | n | n | n | n | n | n | n | n |
| Ethan | X | X | n | n | X | X | X | X | O | X | X | X | X | X | X | n | X | X | X | X | X | X | X | X | X | X | X | X | X | X |
| Ethylamin | X | n | n | n | X | n | n | X | O | X | n | X | X | n | n | X | X | |||||||||||||
| Ethylen | X | n | n | X | X | X | X | n | X | X | X | X | n | X | X | X | X | X | X | X | X | X | X | X | X | X | ||||
| Ethylenoxid | X | n | n | X | X | X | n | X | n | n | n | n | X | n | n | X | X | X | X | X | X | X | X | X | X | X | X | X | ||
| Fluor | n | n | n | n | n | n | n | n | n | n | n | n | n | n | n | n | n | n | n | n | n | n | n | n | n | n | n | n | n | |
| Germaniumwasserstoff | n | n | n | n | n | n | n | n | n | n | n | n | n | n | n | n | n | n | n | n | n | n | n | n | n | n | n | n | n | |
| Helium | X | X | n | n | X | X | X | X | X | X | X | X | X | X | n | X | X | X | X | X | X | X | X | X | X | X | X | X | X | |
| Kohlendioxid | X | X | n | n | X | X | X | X | X | X | n | X | n | X | X | X | X | X | X | X | X | X | X | X | X | X | ||||
| Kohlenmonoxid | X | n | n | X | X | X | O | X | n | X | n | X | X | |||||||||||||||||
| Krypton | X | X | n | n | X | X | X | X | X | X | X | X | X | X | n | X | X | X | X | X | X | X | X | X | X | X | X | X | X | |
| Luft | n | n | n | n | X | X | O | X | O | O | O | n | n | X | n | n | O | O | X | X | X | X | X | n | n | n | n | n | X | |
| Methan | X | X | n | n | X | X | X | X | O | X | X | X | X | X | n | X | X | X | X | X | X | X | X | X | X | X | X | X | X | |
| Methanthiol | X | n | n | n | X | X | X | O | X | n | X | n | X | X | ||||||||||||||||
| Methylamin | X | n | n | n | X | n | n | X | O | X | n | n | X | n | n | X | X | |||||||||||||
| Methylsilan | n | n | n | X | X | n | X | X | X | n | X | X | ||||||||||||||||||
| Monosilan | n | n | n | X | X | n | X | n | X | X | n | X | X | |||||||||||||||||
| Neon | X | X | n | n | X | X | X | X | X | X | X | X | X | X | n | X | X | X | X | X | X | X | X | X | X | X | X | X | X | |
| Ozon | n | n | n | n | n | n | n | n | n | n | n | n | n | n | n | n | n | n | n | n | n | n | n | n | n | n | n | n | n | |
| Phosphan | n | n | n | X | X | n | X | n | X | X | X | n | X | |||||||||||||||||
| Propan | X | X | n | n | X | X | X | X | O | X | X | X | X | X | X | n | X | X | X | X | X | X | X | X | X | X | X | X | X |
| Gas | Ethy- len |
Ethy- len- oxid |
Flu- or |
Ger- man- ium- was- ser- stoff |
He- lium |
Koh- len- di- oxid |
Koh- len- mon- oxid |
Kryp- ton |
Luft | Me- than |
Me- than- thiol |
Me- thyl- amin |
Me- thyl- silan |
Mo- no- si- lan |
Ne- on |
Ozon | Phos- phan |
Pro- pan |
Pro- py- len (Pro- pen) |
R12 (CCl2 F2) |
R12B1 (CBr ClF2) |
R13 (CCl F3) |
R13B1 (CBr F3) |
R14 (CF4) | R21 (C Cl2F) |
R22 (CH ClF2) |
R23 (CH F3) |
R40 (CH3 Cl) |
R40B1 (CH3 Br) |
R114 (C2Cl2 F4) |
| Propylen (Propen) | X | X | n | n | X | X | X | X | O | X | X | X | X | n | X | X | X | X | X | X | X | X | X | X | X | X | ||||
| R12 (CCl2F2) | X | X | n | n | X | X | X | X | X | X | n | X | X | X | X | X | X | X | X | X | X | X | X | |||||||
| R12B1 (CBrClF2) | X | X | n | n | X | X | X | X | X | X | n | X | X | X | X | X | X | X | X | X | X | X | X | |||||||
| R13 (CClF3) | X | X | n | n | X | X | X | X | X | X | n | X | X | X | X | X | X | X | X | X | X | X | X | |||||||
| R13B1 (CBrF3) | X | X | n | n | X | X | X | X | X | X | n | X | X | X | X | X | X | X | X | X | X | X | X | |||||||
| R14 (CF4) | X | X | n | n | X | X | X | X | X | X | n | X | X | X | X | X | X | X | X | X | X | X | X | |||||||
| R21 (CCl2F) | X | X | n | n | X | X | X | n | X | X | n | X | X | X | X | X | X | X | X | X | X | X | X | |||||||
| R22 (CHClF2 | X | X | n | n | X | X | X | n | X | X | n | X | X | X | X | X | X | X | X | X | X | X | X | |||||||
| R23 (CHF3) | X | X | n | n | X | X | X | n | X | X | n | X | X | X | X | X | X | X | X | X | X | X | X | |||||||
| R40 (CH3Cl) | X | X | n | n | X | X | X | n | X | X | n | X | X | X | X | X | X | X | X | X | X | X | X | |||||||
| R40B1 (CH3Br) | X | X | n | n | X | X | X | n | X | X | n | X | X | X | X | X | X | X | X | X | X | X | X | |||||||
| R114 (C2Cl2F4) | X | X | n | n | X | X | X | X | X | X | n | X | X | X | X | X | X | X | X | X | X | X | X | |||||||
| R115 (C2ClF5) | X | X | n | n | X | X | X | X | X | X | n | X | X | X | X | X | X | X | X | X | X | X | X | X | ||||||
| R116 (C2F6) | X | X | n | n | X | X | X | X | X | X | n | X | X | X | X | X | X | X | X | X | X | X | X | X | ||||||
| R125 (C2HF5) | X | X | n | n | X | X | X | n | X | X | n | X | X | X | X | X | X | X | X | X | X | X | X | X | ||||||
| R133a (C2H2ClF3) | X | X | n | n | X | X | X | n | X | X | n | X | X | X | X | X | X | X | X | X | X | X | X | X | ||||||
| R134a (C2H2F4) | X | X | n | n | X | X | X | n | X | X | n | X | X | X | X | X | X | X | X | X | X | X | X | X | ||||||
| R142b (C2H3ClF2) | X | X | n | n | X | X | X | n | X | X | n | X | X | X | X | X | X | X | X | X | X | X | X | X | ||||||
| R143a (C2H3F3) | X | X | n | n | X | X | X | n | X | X | n | X | X | X | X | X | X | X | X | X | X | X | X | X | ||||||
| R152a (C2H4F2) | X | X | n | n | X | X | X | n | X | X | n | X | X | X | X | X | X | X | X | X | X | X | X | X | ||||||
| R160 (C2H5Cl) | X | X | n | n | X | X | X | n | X | X | n | X | X | X | X | X | X | X | X | X | X | X | X | X | ||||||
| R1113 (C2ClF3) | n | n | X | X | n | X | n | X | ||||||||||||||||||||||
| R1.132a (C2H2F2) | n | n | X | X | n | X | n | X | ||||||||||||||||||||||
| R1140B1 (C2H3Br) | n | n | X | X | n | X | n | X | ||||||||||||||||||||||
| R1141 (C2H3F) | n | n | X | X | n | X | n | X | ||||||||||||||||||||||
| R218 (C3F8) | X | X | n | n | X | X | X | X | X | X | n | X | X | X | X | X | X | X | X | X | X | X | X | X | ||||||
| R227 (C3HF7) | X | X | n | n | X | X | X | n | X | X | n | X | X | X | X | X | X | X | X | X | X | X | X | X | ||||||
| Sauerstoff | n | n | n | n | X | X | O | X | X | O | O | O | n | n | X | n | n | O | O | n | n | n | n | X | n | n | n | n | n | n |
| Schwefeldioxid | n | n | n | X | X | X | X | X | n | X | n | |||||||||||||||||||
| Schwefelhexafluorid | n | n | X | X | X | X | X | n | ||||||||||||||||||||||
| Schwefelwasserstoff | X | n | n | n | X | X | X | O | X | n | X | n | X | X | ||||||||||||||||
| Stickstoff | X | X | n | n | X | X | X | X | X | X | X | X | X | X | X | n | X | X | X | X | X | X | X | X | X | X | X | X | X | X |
| Stickstoffdioxid | n | n | n | n | X | X | n | X | X | n | n | n | n | n | X | n | n | n | n | n | n | n | n | n | n | n | n | n | n | n |
| Stickstoffmonoxid | n | n | n | n | X | X | n | X | n | n | n | n | n | n | X | n | n | n | n | n | n | n | n | n | n | n | n | n | n | n |
| Stickstofftrifluorid | n | n | n | n | X | n | X | X | n | n | n | n | n | X | n | n | n | n | n | n | n | n | n | n | n | n | n | n | n | |
| Trimethylamin | X | n | n | n | X | n | n | X | O | X | n | X | n | X | n | n | X | X | ||||||||||||
| Trimethylsilan | n | n | n | X | X | n | X | X | X | X | n | X | X | |||||||||||||||||
| Vinylchlorid (Chlorethen | n | n | n | X | X | n | X | n | X | n | ||||||||||||||||||||
| Wasserstoff | X | n | n | X | X | X | X | O | X | X | X | X | X | X | n | X | X | X | ||||||||||||
| Xenon | X | X | n | n | X | X | X | X | X | X | X | X | X | X | X | n | X | X | X | X | X | X | X | X | X | X | X | X | X | X |
| Gas | R115 (C2Cl F5) |
R116 (C2 F6) |
R125 (C2H F5) |
R133a (C2H2 ClF3) |
R134a (C2H2 F4) |
R142b (C2H3 ClF2) |
R143a (C2H3 F3) |
R152a (C2H4 F2) |
R160 (C2H5 Cl) |
R1113 (C2Cl F3) |
R1132a (C2H2 F2) |
R1140B1 (C2H3 Br) |
R1141 (C2H3 F) |
R218 (C3 F8) |
R227 (C3H F2) |
Sau- er- stoff |
Schwe- fel- di- oxid |
Schwe- fel- hexa- fluo- rid |
Schwe- fel- was- ser- stoff |
Stick- stoff |
Stick- stoff- di- oxid |
Stick- stoff- mon- oxid |
Stick- stoff- tri- fluo- rid |
Tri- me- thyl- amin |
Tri- me- thyl- si- lane |
Vinyl- chlo- rid (Chlor- ethen) |
Was- ser- stoff |
Xe- non |
| Acetylen | n | n | n | n | n | n | n | n | n | n | n | n | n | n | n | n | n | n | n | n | n | n | n | n | n | n | n | n |
| Ammoniak | O | n | n | X | n | n | n | X | X | X | ||||||||||||||||||
| Argon | X | X | X | X | X | X | X | X | X | X | X | X | X | X | X | X | X | X | X | X | X | X | X | X | X | X | X | X |
| Arsenwasserstoff | n | X | n | n | n | X | X | |||||||||||||||||||||
| Bortrichlorid | X | n | n | X | ||||||||||||||||||||||||
| Bortrifluorid | X | n | n | X | ||||||||||||||||||||||||
| Bromwasserstoff | X | X | X | X | X | X | X | X | X | n | n | n | n | X | X | n | X | n | n | n | n | n | n | X | X | |||
| Butadien | n | n | n | n | n | n | X | n | n | n | n | n | X | X | ||||||||||||||
| n-Butan | X | X | X | X | X | X | X | X | X | X | X | O | X | X | X | n | n | n | X | X | X | X | X | |||||
| i-Butan | X | X | X | X | X | X | X | X | X | X | X | O | X | X | X | n | n | n | X | X | X | X | X | |||||
| 1-Buten | X | X | X | X | X | X | X | X | X | X | X | O | X | X | n | n | n | X | X | X | X | |||||||
| cis-2-Buten | X | X | X | X | X | X | X | X | X | X | X | O | X | X | n | n | n | X | X | X | X | |||||||
| trans-2-Buten | X | X | X | X | X | X | X | X | X | X | X | O | X | X | n | n | n | X | X | X | X | |||||||
| i-Buten | X | X | X | X | X | X | X | X | X | X | X | O | X | X | n | n | n | X | X | X | ||||||||
| Carbonylchlorid | X | n | n | X | ||||||||||||||||||||||||
| Carbonylfluorid | X | n | n | X | ||||||||||||||||||||||||
| Chlor | n | n | n | n | n | n | n | n | n | n | n | n | n | n | X | n | n | n | n | X | ||||||||
| Chlorwasserstoff | X | X | X | X | X | X | X | X | X | n | n | n | n | X | X | n | X | n | n | n | n | n | n | X | X | |||
| Chlorcyan | X | X | ||||||||||||||||||||||||||
| Cyanwasserstoff | n | n | n | n | n | n | X | n | n | n | n | X | X | |||||||||||||||
| Cyclopropan | X | X | X | X | X | X | X | X | X | X | X | n | X | X | n | n | n | X | X | X | ||||||||
| Deuterium | X | X | X | X | X | X | X | X | X | X | X | O | X | X | n | n | n | X | X | X | X | |||||||
| Diboran | n | n | n | n | n | n | n | n | n | n | n | n | n | n | n | n | n | n | n | n | n | n | n | n | n | n | n | n |
| Dicyan | n | X | n | n | n | X | X | |||||||||||||||||||||
| Dimethylamin | O | n | n | X | n | n | n | X | n | X | X | |||||||||||||||||
| Dimethylether | X | X | X | X | X | X | X | X | X | X | X | O | X | n | n | n | X | X | X | |||||||||
| Dimethylsilan | n | X | n | n | n | X | X | |||||||||||||||||||||
| Distickstoffoxid | n | n | n | n | n | n | n | n | n | n | n | n | n | n | n | X | n | n | X | n | n | n | n | n | n | n | X | |
| Ethan | X | X | X | X | X | X | X | X | X | X | X | O | X | X | X | n | n | n | X | X | X | X | X | |||||
| Ethylamin | O | n | n | X | n | n | n | X | n | X | X | |||||||||||||||||
| Ethylen | X | X | X | X | X | X | X | X | X | X | X | n | X | X | n | n | n | X | X | X | ||||||||
| Ethylenoxid | X | X | X | X | X | X | X | X | X | X | X | n | n | n | X | n | n | n | n | n | n | X | ||||||
| Fluor | n | n | n | n | n | n | n | n | n | n | n | n | n | n | n | n | n | n | n | n | n | n | n | n | n | n | n | n |
| German | n | n | n | n | n | n | n | n | n | n | n | n | n | n | n | n | n | n | n | n | n | n | n | n | n | n | n | n |
| Helium | X | X | X | X | X | X | X | X | X | X | X | X | X | X | X | X | X | X | X | X | X | X | X | X | X | X | X | X |
| Kohlendioxid | X | X | X | X | X | X | X | X | X | X | X | X | X | X | X | X | X | X | X | n | X | X | ||||||
| Kohlenmonoxid | O | X | n | n | n | n | X | X | ||||||||||||||||||||
| Krypton | X | X | X | X | X | X | X | X | X | X | X | X | X | X | X | X | X | X | X | X | X | X | X | X | X | X | X | X |
| Luft | X | X | n | n | n | n | n | n | n | n | n | n | n | X | n | X | X | X | O | X | X | n | X | O | n | n | O | X |
| Methan | X | X | X | X | X | X | X | X | X | X | X | O | X | X | X | X | n | n | n | X | X | X | X | X | ||||
| Methanthiol | O | X | n | n | n | n | X | X | ||||||||||||||||||||
| Methylamin | O | n | n | X | n | n | n | X | n | X | X | |||||||||||||||||
| Methylsilan | n | X | n | n | n | X | X | X | ||||||||||||||||||||
| Monosilan | n | X | n | n | n | n | X | X | X | |||||||||||||||||||
| Neon | X | X | X | X | X | X | X | X | X | X | X | X | X | X | X | X | X | X | X | X | X | X | X | X | X | X | X | X |
| Ozon | n | n | n | n | n | n | n | n | n | n | n | n | n | n | n | n | n | n | n | n | n | n | n | n | n | n | n | n |
| Phosphan | n | X | n | n | n | n | X | X | X | |||||||||||||||||||
| Propan | X | X | X | X | X | X | X | X | X | X | X | O | X | X | n | n | n | X | X | X | X |
| Gas | R115 (C2Cl F5) |
R116 (C2 F6) |
R125 (C2H F5) |
R133a (C2H2 ClF3) |
R134a (C2H2 F4) |
R142b (C2H3 ClF2) |
R143a (C2H3 F3) |
R152a (C2H4 F2) |
R160 (C2H5 Cl) |
R1113 (C2Cl F3) |
R1132a (C2H2 F2) |
R1140B1 (C2H3 Br) |
R1141 (C2H3 F) |
R218 (C3 F8) |
R227 (C3H F2) |
Sau- er- stoff |
Schwe- fel- di- oxid |
Schwe- fel- hexa- fluo- rid |
Schwe- fel- was- ser- stoff |
Stick- stoff |
Stick- stoff- di- oxid |
Stick- stoff- mon- oxid |
Stick- stoff- tri- fluo- rid |
Tri- me- thyl- amin |
Tri- me- thyl- si- lane |
Vinyl- chlo- rid (Chlor- ethen) |
Was- ser- stoff |
Xe- non |
| Propylen (Propen) | X | X | X | X | X | X | X | X | X | X | X | O | X | X | n | n | n | X | X | X | ||||||||
| R12 (CCl2F2) | X | X | X | X | X | X | X | X | X | X | X | n | X | n | n | n | X | |||||||||||
| R12B1 (CBrClF2) | X | X | X | X | X | X | X | X | X | X | X | n | X | n | n | n | X | |||||||||||
| R13 (CClF3) | X | X | X | X | X | X | X | X | X | X | X | n | X | n | n | n | X | |||||||||||
| R13B1 (CBrF3) | X | X | X | X | X | X | X | X | X | X | X | n | X | n | n | n | X | |||||||||||
| R14 (CF4) | X | X | X | X | X | X | X | X | X | X | X | X | X | n | n | n | X | |||||||||||
| R21 (CCl2F) | X | X | X | X | X | X | X | X | X | X | X | n | X | n | n | n | X | |||||||||||
| R22 (CHClF2 | X | X | X | X | X | X | X | X | X | X | X | n | X | n | n | n | X | |||||||||||
| R23 (CHF3) | X | X | X | X | X | X | X | X | X | X | X | n | X | n | n | n | X | |||||||||||
| R40 (CH3Cl) | X | X | X | X | X | X | X | X | X | X | X | n | X | n | n | n | X | |||||||||||
| R40B1 (CH3Br) | X | X | X | X | X | X | X | X | X | X | X | n | X | n | n | n | X | |||||||||||
| R114 (C2Cl2F4) | X | X | X | X | X | X | X | X | X | X | X | n | X | n | n | n | X | |||||||||||
| R115 (C2ClF5) | X | X | X | X | X | X | X | X | X | X | n | X | n | n | n | X | ||||||||||||
| R116 (C2F6) | X | X | X | X | X | X | X | X | X | X | n | X | n | n | n | X | ||||||||||||
| R125 (C2HF5) | X | X | X | X | X | X | X | X | X | X | n | X | n | n | n | X | ||||||||||||
| R133a (C2H2ClF3) | X | X | X | X | X | X | X | X | X | X | n | X | n | n | n | X | ||||||||||||
| R134a (C2H2F4) | X | X | X | X | X | X | X | X | X | X | n | X | n | n | n | X | ||||||||||||
| R142b (C2H3ClF2) | X | X | X | X | X | X | X | X | X | X | n | X | n | n | n | X | ||||||||||||
| R143a (C2H3F3) | X | X | X | X | X | X | X | X | X | X | n | X | n | n | n | X | ||||||||||||
| R152a (C2H4F2) | X | X | X | X | X | X | X | X | X | X | n | X | n | n | n | X | ||||||||||||
| R160 (C2H5Cl) | X | X | X | X | X | X | X | X | X | X | n | X | n | n | n | X | ||||||||||||
| R1113 (C2ClF3) | n | X | n | n | n | X | ||||||||||||||||||||||
| R1.132a (C2H2F2F2) | n | X | n | n | n | X | ||||||||||||||||||||||
| R1140B1 (C2H3Br) | n | X | n | n | n | X | ||||||||||||||||||||||
| R1141 (C2H3F) | n | X | n | n | n | X | ||||||||||||||||||||||
| R218 (C3F8) | X | X | X | X | X | X | X | X | X | X | n | X | n | n | n | X | ||||||||||||
| R227 (C3HF7) | X | X | X | X | X | X | X | X | X | X | n | X | n | n | n | X | ||||||||||||
| Sauerstoff | n | n | n | n | n | n | n | n | n | n | n | n | n | n | n | O | X | X | n | O | n | n | O | X | ||||
| Schwefeldioxid | n | X | n | n | n | n | X | |||||||||||||||||||||
| Schwefelhexafluorid | X | X | ||||||||||||||||||||||||||
| Schwefelwasserstoff | O | X | n | n | n | n | X | X | ||||||||||||||||||||
| Stickstoff | X | X | X | X | X | X | X | X | X | X | X | X | X | X | X | X | X | X | X | X | X | X | X | X | X | X | X | |
| Stickstoffdioxid | n | n | n | n | n | n | n | n | n | n | n | n | n | n | n | X | n | n | X | X | n | n | n | n | X | |||
| Stickstoffmonoxid | n | n | n | n | n | n | n | n | n | n | n | n | n | n | n | n | n | n | X | X | n | n | n | n | n | X | ||
| Stickstofftrifluorid | n | n | n | n | n | n | n | n | n | n | n | n | n | n | n | n | n | X | n | n | n | n | n | X | ||||
| Trimethylamin | O | n | n | X | n | n | n | X | X | |||||||||||||||||||
| Trimethylsilan | n | X | n | n | n | n | X | X | ||||||||||||||||||||
| Vinylchlorid (Chlorethen | n | X | n | n | n | n | X | |||||||||||||||||||||
| Wasserstoff | O | X | X | n | n | n | X | X | X | |||||||||||||||||||
| Xenon | X | X | X | X | X | X | X | X | X | X | X | X | X | X | X | X | X | X | X | X | X | X | X | X | X | X | X |
![]() |
ENDE | ![]() |
(Stand: 15.09.2022)
Alle vollständigen Texte in der aktuellen Fassung im Jahresabonnement
Nutzungsgebühr: ab 105.- € netto
(derzeit ca. 7200 Titel s.Übersicht - keine Unterteilung in Fachbereiche)
Die Zugangskennung wird kurzfristig übermittelt
? Fragen ?
Abonnentenzugang/Volltextversion