Für einen individuellen Ausdruck passen Sie bitte dieEinstellungen in der Druckvorschau Ihres Browsers an. Regelwerk; BGI / DGUV-I |
![]() |
BGI 649 / DGUV Information 214-003 - Ladungssicherung auf Fahrzeugen
Ein Handbuch für Unternehmer, Einsatzplaner, Fahr- und Ladepersonal
Berufsgenossenschaftliche Informationen für Sicherheit und Gesundheit bei der Arbeit (BGI)
(bisherige ZH 1/413)
(Ausgabe 2002aufgehoben)
| Redaktioneller Hinweis: Berufsgenossenschaften sind gemäß § 210 SGB VII Behörden; ihre amtlichen Veröffentlichungen nach § 15 SGB VII unterliegen gemäß § 5 Abs. 2 UrhG keinem Urheberrechtsschutz. |
03/2018 BGHM: zurückgezogen
Ein Wort vorweg
Die Erstauflage dieses Handbuches vom Juni 1995 sowie die 2. Auflage vom Januar 1998 wurde in 35000 Exemplaren ausgegeben. Zwischenzeitlich eingetretene Veränderungen im Vorschriftenwerk und in den Regeln der Technik wurden in der vorliegenden Neuauflage berücksichtigt. Die Europäischen Normen zur Ladungssicherung, die derzeit erarbeitet werden, sowie die in Überarbeitung befindlichen VDI-Richtlinien 2700 "Ladungssicherung auf Straßenfahrzeugen", können erst zu einem späteren Zeitpunkt berücksichtigt werden.
Dieses Handbuch ist in erster Linie für den Praktiker und die für die Ladungssicherung Verantwortlichen gedacht. Weiterhin wendet es sich an diejenigen, die "etwas mehr" wissen wollen über physikalische Zusammenhänge und Verantwortlichkeit bei der Ladungssicherung und die auch das entsprechende Vorschriftenwerk interessiert. Außerdem möchten wir sowohl Herstellern als auch Käufern von Fahrzeugen und Hilfsmitteln zur Ladungssicherung den Blick für Qualität schärfen.
Das Handbuch gilt nur für den Transport von Gütern auf Fahrzeugen im öffentlichen Straßenverkehr und für den innerbetrieblichen Transport und Verkehr. Es werden keine neuen Regeln zur Ladungssicherung aufgestellt, sondern vielmehr das Unfallgeschehen und die Konsequenzen, die daraus gezogen werden sollten, behandelt.
Die unkonventionelle Zusammenfassung völlig verschiedener Ladegüter unter manchmal nur einer Kapitelüberschrift ist beabsichtigt. So geht es beispielsweise in Kapitel "Schwere Ladegüter" sowohl um Betonteile und Bleche als auch um fahrbare Arbeitsmaschinen. Die Auswahl erfolgte nach Unfallschwerpunkten und dem immer wieder zu hörenden - schwerwiegend falschen - Argument: "Die Ladung ist so schwer, die kann nicht verrutschen". Der letzte Abschnitt "Haftung und Verantwortlichkeit" wurde freundlicherweise von Rechtsanwältin Andrea Heid, Frankfurt am Main, übernommen, die dafür auch verantwortlich zeichnet. Er ist für die Neuauflage aktualisiert worden.
Wir wünschen uns, dass besonders die Bilder aus der Praxis zum Lesen anregen und dazu beitragen, dass Ladung vorschriftsmäßig und sicher transportiert wird.
1 Allgemeines zur Ladungssicherung
In den letzten Jahren sind Verbesserungen bei der Durchführung der Ladungssicherung zu beobachten. Dies dürfte sowohl auf eine allgemein erweiterte Ausstattung der Fahrzeuge in Bau und Ausrüstung durch die Fahrzeughersteller, auf vermehrten Einsatz von Spezialfahrzeugen für bestimmte Ladegüter als auch auf ein umfangreicheres Angebot von Hilfsmitteln zur Ladungssicherung zurückzuführen sein. Als Beispiel sei hier nur an die weite Verbreitung von textilen Zurrgurten hingewiesen.
Weiterhin ist ein verstärktes Sicherheitsbewusstsein aller für den schadensfreien Transport Verantwortlichen erkennbar, vermutlich nicht zuletzt durch wirtschaftliche Aspekte.
Trotzdem berichten nach wie vor die Medien täglich über schwere Unfälle, die auf ungenügende oder gar fehlende Ladungssicherungen zurückzuführen sind. Zur Erinnerung ein paar Schlagzeilen:
![]() |
Es bedarf keiner besonderen Mühe, sich beim sorgfältigen Lesen von Tageszeitungen in kurzer Zeit eine solche Sammlung von Schlagzeilen zuzulegen. Bei genauer Betrachtung des Personenkreises, der bei diesen Unfällen zu Schaden kommt, sieht man, dass es jeden treffen kann. Darum stellt die Ladungssicherung wahrhaft eine Nahtstelle zwischen Verkehrssicherheit und Arbeitssicherheit dar. In manchen Fällen sind die beiden Begriffe kaum voneinander zu trennen.
Beispiel: Ein Fahrer kippt während einer Kurvenfahrt durch verrutschte Ladung mit seinem Lkw um und verletzt sich dabei. Da er im Zusammenhang mit seiner beruflichen Tätigkeit den Lkw lenkte, handelt es sich um einen Arbeitsunfall. Weitere Personen, die als Verkehrsteilnehmer ebenfalls durch den umkippenden Lkw geschädigt wurden, erleiden einen Verkehrsunfall. Sind diese Personen jedoch gerade beruflich unterwegs, handelt es sich zugleich um einen Arbeitsunfall. Daraus lässt sich erkennen, wie dicht die Begriffe Verkehrssicherheit und Arbeitssicherheit im öffentlichen Straßenverkehr beieinander liegen. So makaber es klingen mag, aber mit Sicherheit werden in den jährlichen Unfallstatistiken viele Verletzte und Tote doppelt gezählt, sowohl in der Statistik der Arbeits- als auch der Verkehrsunfälle.
Hier soll bei der Betrachtung von Unfällen, die während des Fahrbetriebes durch mangelnde Ladungssicherung ausgelöst werden, nicht weiter auf die Unfallarten eingegangen werden. Es muss jedoch darauf hingewiesen werden, dass eine Berufsgenossenschaft nur dann direkte Kenntnis von einem derartigen Unfall erhält, wenn eine bei ihr versicherte Person durch einen arbeitsbedingten Unfall einen Körperschaden erleidet.
Weitaus undramatischer als in den Massenmedien wird den Berufsgenossenschaften in den eingehenden Unfallanzeigen das Unfallgeschehen geschildert. Sachlich, manchmal fast entschuldigend oder hilflos, wird als Unfallursache eine unzureichende Ladungssicherung beschrieben. Bei näheren Ermittlungen zu den Unfallursachen ist immer wieder festzustellen, dass nach wie vor der Irrglaube weit verbreitet ist, schwere Ladungen könnten während der Fahrt nicht verrutschen (Abb. 1 + 2). Sie hätten eine so hohe Gewichtskraft, dass eine Bewegung unmöglich sei. Hier die typische Antwort eines Fahrers, der auf die ungenügende Sicherung seiner Ladung hingewiesen wurde: "Steigen Sie mal auf mein Fahrzeug und versuchen Sie, die Ladung zu verschieben. Das schaffen Sie nie. Die ist so schwer, die kann gar nicht verrutschen."
Abb. 1
Jetzt stellt sich sofort die Frage, ob dem Fahrer jemals eine entsprechende Schulung ermöglicht wurde. Häufig hört man auch die Erklärung: "Ich fahre schon über zehn Jahre so, und es ist noch nie etwas passiert. Nun kommen Sie und wollen mir erklären, dass das gefährlich sei."
Andererseits ist vielen der Begriff "Ladungssicherung" schon bekannt. Er wird jedoch leider zu einseitig ausgelegt. Man denkt dabei oft nur an die Ladung, aber nicht an die Unfallgefahr für den Menschen. Wie lässt es sich sonst erklären, dass empfindliches oder wertvolles Ladegut im allgemeinen ordnungsgemäß, manchmal sogar überdimensioniert, auf dem Fahrzeug gesichert wird? Natürlich nur deshalb, um die Ladung unversehrt und wohlbehalten ans Ziel zu befördern. Dagegen wird bei weniger wertvollen oder unempfindlichen Ladungen vielfach auf jegliche Sicherung verzichtet.
Abb. 2
Häufig wird der Versuch unternommen, Unfälle, deren Ursachen eindeutig auf fehlende oder mangelnde Ladungssicherung zurückzuführen sind, mit dem Hinweis auf einen "unglücklichen Umstand" oder sogar auf "höhere Gewalt" abzutun. Damit wird z.B. auf "unvorhersehbare Notbremsungen", "plötzliche Ausweichmanöver" oder gar "schlechte Fahrbahnverhältnisse" während einer "nicht eingeplanten Umleitungsstrecke" hingewiesen. Diese Entschuldigungen und Ausreden, anders kann man sie nicht bezeichnen, können keine Gültigkeit und vor keinem Richter Bestand haben. Extreme Fahrbedingungen während des Transportes sind vor jedem Fahrtantritt als "übliche Verkehrsbedingungen" einzukalkulieren.
2 Gesetzliche Bestimmungen, Unfallverhütungsvorschriften, Normen, Richtlinien und Betriebsanweisungen zur Ladungssicherung
Was ist darunter zu verstehen?
Die vom Gesetzgeber in der Straßenverkehrs-Ordnung ( StVO) aufgestellten Forderungen dienen dem Schutz aller Personen, die sich im öffentlichen Verkehrsbereich befinden. Das können Personen sein, die ein motorisiertes oder ein unmotorisiertes Fahrzeug führen, Fußgänger, Reiter oder selbst spielende Kinder.
In der Straßenverkehrs-Zulassungs-Ordnung ( StVZO) werden u.a.
Beschaffenheitsanforderungen an Fahrzeuge gestellt, die für den öffentlichen Straßenverkehr zugelassen werden sollen, die Straßenverkehrs-Ordnung ( StVO) regelt den sicheren Betrieb. Die von den Berufsgenossenschaften als Träger der gesetzlichen Unfallversicherung erlassenen Unfallverhütungsvorschriften (UVVen) sind autonome Rechtsnormen. Sie gelten primär für die Unternehmer (Mitglieder der Berufsgenossenschaft) und deren Beschäftigte (Versicherte).
Da das staatliche Straßenverkehrsrecht nicht den innerbetrieblichen Transport und Verkehr abdeckt und auch nicht den Schutz von Personen während der Be- und Entladephase von Fahrzeugen regelt, gelten hier UVVen, z.B. die UVV "Fahrzeuge" (BGV D29). Die UVV "Fahrzeuge" wurde von allen gewerblichen Berufsgenossenschaften für ihre Mitgliedsbetriebe erlassen, da Fahrzeuge, gleich welcher Art, in fast allen Betrieben eingesetzt werden. In der UVV "Fahrzeuge" werden im Abschnitt "Betrieb" Forderungen erhoben, die ähnlich, aber auch weitreichender sind, als in der StVO. Gleiches gilt für den Abschnitt "Bau- und Ausrüstung". Hier bestehen z.T. inhaltsgleiche oder ähnliche Vorschriften wie in der StVZO. Etliche weitere Forderungen, die dem Arbeitsschutz dienen, kommen jedoch hinzu. Als klassisches Beispiel sei hier die Forderung nach Ausrüstung von bestimmten Fahrzeugen mit Zurrpunkten erwähnt; die StVZO hat eine solche Bestimmung nicht zum Inhalt. Diese Forderung aus der UVV "Fahrzeuge", die ordnungsgemäße Verzurrung von Ladung ermöglicht, dient in erster Linie dem Schutz der Fahrzeuginsassen. Sie soll Arbeitsunfälle verhindern. Aber auch alle übrigen Verkehrsteilnehmer im öffentlichen Straßenverkehr profitieren davon. Die Forderungen nach Ladungssicherung in und auf Fahrzeugen bildet deshalb eine Nahtstelle zwischen der Verkehrssicherheit und der Arbeitssicherheit. Es lässt sich die Gleichung aufstellen:
Betriebssicherheit = Verkehrssicherheit + Arbeitssicherheit
Sowohl die der Verkehrssicherheit dienenden gesetzlichen Vorschriften ( StVO, StVZO) als auch die der Arbeitssicherheit dienende UVV "Fahrzeuge" stützen sich auf anerkannte Regeln der Technik, z.B. DIN- und EN-Normen sowie VDI-Richtlinien. Diese sind mit ihren Mindestanforderungen an die Ladungssicherung einerseits dem Anwender bei der Durchführung einer Ladungssicherung behilflich, andererseits werden sie aber auch in der Rechtsprechung zu Fragen der Ladungssicherung herangezogen.
Folgend seien die wichtigsten Vorschriften und Regeln der Technik aufgeführt, die für eine ordnungsgemäße Ladungssicherung von Bedeutung sein können.
Voraussetzung für die Durchführung einer ordnungsgemäßen Ladungssicherung ist, wie in der Grundregel Nr. 1 im Kapitel "Grundregeln zur Ladungssicherung für den Fahrbetrieb" aufgeführt, der Einsatz eines geeigneten Fahrzeuges, das durch Aufbau und Ausrüstung die durch die Ladung auftretenden Kräfte sicher aufzunehmen vermag. Eignung und Beschaffenheit der Fahrzeuge werden sowohl in der StVZO als auch in der UVV "Fahrzeuge" gefordert.
2.1 Wichtige Paragraphen zur Ladungssicherung aus StVZO, StVO und UVV " Fahrzeuge"
Straßenverkehrs-Zulassungs-Ordnung ( StVZO)
Fahrzeugaufbauten, Aufbauteile, Einrichtungen und Hilfsmittel zur Ladungssicherung (UVV "Fahrzeuge")
Ladung ( StVO)
Verladen und Entladen ( HGB)
Be- und Entladen (UVV "Fahrzeuge" BGV D29)
Übrigens: Sichtbehinderung durch Frontscheibendekoration
Im Zusammenhang mit den Forderungen aus § 23 (1) StVO und aus § 44 (3) BGV D29 sei hier einmal kurz vom Thema "Ladungssicherung" aus gegebener Veranlassung abgewichen. In beiden Paragraphentexten wird auch auf die Sicht eingegangen, die der Fahrzeugführer auf die Fahrbahn haben soll und die nicht zu beeinträchtigen ist. Die meisten Fahrzeughersteller haben dafür gesorgt, die Fahrzeuge, ob nun Pkw oder Lkw, mit großflächigen Frontscheiben auszurüsten, um eine optimale Sicht des Fahrzeugführers auf die Fahrbahn zu gewährleisten.
In letzter Zeit hat die Unsitte zugenommen, diese Sicht durch Innendekoration des Führerhauses derart einzuschränken, dass z.T. nur noch "Sehschlitze" übrig bleiben. Allein gegen den Vornamen "Micha" dürfte nichts einzuwenden sein (Abb. 3). Jedoch gegen das Schild selbst, welches das Sichtfeld des Fahrers erheblich verkleinert, muss Einwand erhoben werden. Weitere aufgehängte Wimpel- und Fähnchengirlanden, Aufkleber und Andenken, aufgestellte Kaffeemaschine und Fernseher (Abb. 4) engen die Sicht bei einigen Fahrzeugen derart ein, dass sie sofort aus dem Verkehr gezogen werden müssten und erst nach Beseitigung dieser Gefahrenquellen ihre Fahrt fortsetzen dürften. Es ist zu hoffen, dass dieser Unfug aufhört, denn er stellt einen klaren Verstoß gegen bestehende Vorschriften dar.
Abb. 3
Abb. 4
2.2 Regeln der Technik:
In den vorab zitierten Vorschriften aus StVZO, StVO und UVV "Fahrzeuge" werden überwiegend Forderungen allgemeiner Art erhoben. Wie jedoch im einzelnen eine Ladung zu sichern ist oder wie ein Fahrzeug, z.B. mit Zurrpunkten, vorschriftsmäßig auszurüsten ist, sagen die Regeln der Technik.
VDI 2700 "Ladungssicherung auf Straßenfahrzeugen"
Diese Richtlinie gibt wertvolle praktische Hinweise zur Durchführung einer geeigneten Ladungssicherung für verschiedene Transportgüter, Auswahl und Einsatz von Hilfsmitteln sowie über die richtige Lastverteilung.
Sie sollte als Nachschlagewerk in keinem Betrieb fehlen, in dem die Verladung oder Beförderung bestimmter Ladegüter zum üblichen Arbeitsablauf gehören.
Die Richtlinie gilt als Basiswerk. Im Zuge ihrer Überarbeitung entstanden Folgeblätter, die konkretere Hinweise bezüglich des Transportes bestimmter Ladegüter geben, sich aber auch mit unterschiedlichen Verkehrsarten und dem System Ladungssicherung mit allen maßgeblichen Einflussgrößen beschäftigen. Auf die Folgeblätter wird im Weiteren eingegangen.
VDI 2701 "Ladungssicherung auf Straßenfahrzeugen; Zurrmittel" Deckblatt siehe Anhang 7.
VDI 2702 "Ladungssicherung auf Straßenfahrzeugen; Zurrkräfte" Deckblatt siehe Anhang 8.
VDI 2700 Blatt 4 "Ladungssicherung auf Straßenfahrzeugen; Lastverteilungsplan"
Durch diese Richtlinie werden die Angaben der VDI 2700 zum Lastverteilungsplan konkretisiert.
So gilt für alle Lastkraftwagen, Anhänger (Gelenkdeichselanhänger), Sattelkraftfahrzeuge (Sattelanhänger) sowie Spezialfahrzeuge.
VDI 2700 Blatt 5 "Ladungssicherung auf Straßenfahrzeugen; Qualitätsmanagement-Systeme"
Diese Richtlinie soll dem Anwender das System Ladungssicherung mit allen maßgeblichen Einflussgrößen beschreiben.
Sie gibt dem Unternehmer ein Hilfsmittel an die Hand, mit dem er die Ladungssicherung als Qualitätsfaktor in sein betriebliches Qualitätssicherungssystem integrieren kann.
VDI 2700 Blatt 7 "Ladungssicherung auf Straßenfahrzeugen; Ladungssicherung im kombinierten Ladungsverkehr (KLV)"
Dieses Blatt ergänzt die Richtlinie VDI 2700 durch Besonderheiten im kombinierten Ladungsverkehr "Straße/Schiene". Beim KLV "Straße/Schiene" werden Ladeeinheiten in der Regel mit genormten Abmessungen von und zu den Umschlagbahnhöfen auf der Straße und im Hauptlauf auf der Schiene befördert.
Die Richtlinie gibt Hinweise bezüglich der Transportbeanspruchungen, der Anforderungen an die Ladeeinheiten und der Sicherung in den Ladeeinheiten.
VDI 2700 Blatt 8 "Ladungssicherung auf Straßenfahrzeugen; Sicherung von Pkw und leichten Nutzfahrzeugen auf Autotransportern"
In dieser Richtlinie werden Autotransporter betrachtet, die für den Transport von Pkw, Kleinbussen und Pkw-Kombis unter 4,0 t zulässigem Gesamtgewicht geeignet und entsprechend ausgerüstet sind. Die Ladeflächen der betrachteten Autotransporter bestehen aus Fahrbahnelementen, die zur kraft- und formschlüssigen Aufnahme der Ladungssicherungshilfsmittel geeignet sein müssen. Die aufgezeigten Ladungssicherungsmöglichkeiten stellen Beispiele für eine ausreichende Befestigung der zu transportierenden Fahrzeuge dar.
Weitere VDI-Richtlinien "Ladungssicherung auf Straßenfahrzeugen" befinden sich zur Zeit (Stand März 2002) mit folgenden Untertiteln noch in Vorbereitung:
- VDI "Ladungssicherungshilfsmittel"
- VDI "Zusammenladung von Stückgütern"
- VDI "Ladungssicherung beim Transport von Papierrollen"
- VDI "Ladungssicherung von Betonteilen"
- VDI "Ladungssicherung bei Getränketransporten"
- VDI "Baustahlmatten"
DIN EN 12195-2 "Ladungssicherungseinrichtungen auf Straßenfahrzeugen; Sicherheit; Teil 2: Zurrgurte aus Chemiefasern"
Diese Norm behandelt den Zurrgurt. Sie legt Sicherheitsanforderungen zum sicheren Transport von Ladungen auf Fahrzeugen fest.
Als Grundlage zur Erarbeitung dieser Norm diente die bis Februar 2001 gültige DIN 60060 Teil 1 "Zurrgurte aus Chemiefasern zur Ladungssicherung von Lasten auf Nutzfahrzeugen zur Güterbeförderung", die vollständig in die europäische Norm übernommen wurde.
DIN EN 12195-3 "Ladungssicherungseinrichtungen auf Straßenfahrzeugen; Sicherheit; Teil 3: Zurrketten"
Diese Norm legt Sicherheitsanforderungen für Zurrketten und Zurrkombinationen mit Ketten zum sicheren Transport von Ladungen auf Straßenfahrzeugen fest. Sie behandelt Gefährdungen, die bei der bestimmungsgemäßen Anwendung von Zurrketten auftreten können.
Das Technische Komitee CEN/TC 168/WG 6 hat die Aufgabe übernommen, das gesamte Vorschriftenwerk aller CEN-Mitgliedsstaaten einheitlich zusammenzufassen und zu harmonisieren. Zur Zeit (März 2002) liegen folgende Normen im Entwurf vor bzw. befinden sich in Vorbereitung:
"Ladungssicherungseinrichtungen, Sicherheit DIN EN 12195
Teil 1: Berechnung von Zurrkräften
Teil 4: Zurrdrahtseile"
DIN EN 12640 "Ladungssicherung auf Straßenfahrzeugen; Zurrpunkte an Nutzfahrzeugen zur Güterbeförderung; Mindestanforderungen und Prüfung"
Wie bereits abgehandelt, müssevfn gemäß § 22 (1) UVV "Fahrzeuge" ab 1. Okt. 1993 erstmals in Verkehr gebrachte Pritschenfahrzeuge und Tieflader mit Zurrpunkten ausgerüstet sein.
Als Grundlage zur Erarbeitung dieser Norm diente die DIN 75410 Teil 1, die als Vorschlag für eine europäische Norm eingebracht und fast vollständig übernommen wurde.
Die DIN EN 12640 legt Mindestanforderungen und Prüfungen für Zurrpunkte an Lastkraftwagen und Anhängern mit Pritschenaufbauten mit einer zulässigen Gesamtmasse von mehr als 3,5 t fest, die zur Stückgutbeförderung bestimmt sind. Weiter Ausführungen siehe Abschnitt "Zurrpunkte".
DIN 75410 Teil 1 "Ladungssicherung auf Straßenfahrzeugen; Zurrpunkte an Nutzfahrzeugen zur Güterbeförderung; Mindestanforderungen"
Mit dem Erscheinen der europäischen Norm über Zurrpunkte (DIN EN 12640) wurde die DIN 75410 Teil 1 komplett ersetzt. Das bedeutete, dass es für Zurrpunkte auf Fahrzeugen bis 3,5 t keine Regelung mehr gab. Um den damit bestehenden Regelungsbedarf zu decken, wurde die DIN 75410 Teil 1 für Fahrzeuge bis einschließlich 3,5 t wiederbelebt. Abweichend von der europäischen Norm werden hier jedoch keine Zurrpunkte in der Stirnwand von Fahrzeugen gefordert.
DIN 75410 Teil 2 "Ladungssicherung auf Straßenfahrzeugen; Ladungssicherung in Pkw, Pkw-Kombi und Mehrzweck-Pkw"
Gemäß Durchführungsanweisungen schließt die Forderung aus § 22 (1) UVV "Fahrzeuge" auch Fahrzeugaufbauten und Ladeflächen von Pkw-Kombi ein, mit dem Querverweis auf DIN 75410 Teil 2. Da sich die zu sichernde Ladung im Pkw oder Pkw-Kombi direkt in der Fahrgastzelle befindet, werden hier für die Auslegung der Zurrpunkte und der Rückhalteeinrichtungen Verzögerungswerte für einen genormten Fahrzeugaufprall angesetzt. Bestimmte Prüfkörper müssen bei einer vorgegebenen Aufprallgeschwindigkeit von den Rückhalteeinrichtungen aufgehalten werden. Weitere Ausführungen siehe unter Abschnitt "Ladungssicherung in und auf Pkw und Pkw-Kombi".
DIN 75410 Teil 3 "Ladungssicherung auf Straßenfahrzeugen; Ladungssicherung in Kastenwagen"
Der Kastenwagen, oft "Transporter" genannt, kann als Zwischending zwischen Pkw-Kombi und Lkw bezeichnet werden. Führerhaus und Laderaum bilden vielfach eine Einheit. Das Fahrpersonal wird damit unmittelbar durch die Ladung gefährdet. Die DIN 75410 Teil 3, Ausgabe April 1996, ist das erste Regelwerk, welches konkrete Ladungssicherungsanforderungen an Kastenwagen zum Inhalt hat. Auch auf diese Norm wird in den Durchführungsanweisungen zum § 22 (1) UVV "Fahrzeuge" verwiesen. Weitere Ausführungen siehe unter Abschnitt "Ladungssicherung in Kastenwagen".
2.3 Betriebsanweisungen zur Ladungssicherung
UVV "Fahrzeuge" (BGV D29)
Abb. 5: Interne Beladevorschriften
3 Grundregeln der Ladungssicherung für den Fahrbetrieb
Abb. 6: Dachgepäckträger mit gesicherter Leiter
Abb. 7: Pkw-Kombi mit zusätzlich gespannter Rückhaltesicherung
Ungenügende oder gar fehlende Ladungssicherung ist die Ursache vieler vermeidbarer Unfälle. Bei jeder Geschwindigkeits- und Richtungsänderung eines Fahrzeugs treten Kräfte auf, die die Ladung zum Verrutschen, Verrollen, Umfallen oder Herabfallen bringen können. Die Folgen können sein, dass das Fahrzeug dem Fahrer außer Kontrolle gerät, umkippt oder dass es zur Zerstörung des Führerhauses durch die Ladung kommt. Dadurch werden nicht nur das Fahrpersonal, sondern auch alle übrigen Verkehrsteilnehmer gefährdet. Um derartige Unfälle und Schäden zu vermeiden, gelten für jeden Transport folgendefolgende Grundregeln:
Bei Teilbeladung für Gewichtsverteilung sorgen, damit jede Achse anteilmäßig belastet wird (siehe Kapitel "Lastverteilung").
Bei Einhaltung dieser fünf Grundregeln ist für die Ladungssicherung schon viel getan. Sie gelten für den Transport von Gütern sowohl im öffentlichen als auch im innerbetrieblichen Verkehr, egal welches Transportfahrzeug zum Einsatz kommt (siehe Abb. 6 - 10).
Abb. 8: Blechpaket durch Zurrgurte und rutschhemmende Zwischenlagen gesichert. Siehe auch Hinweis zu Abb. 56
Abb. 9: Gesicherte Pkw auf Spezialfahrzeug
Abb. 10: Gesicherte Ladung beim Schwertransport
4 Physikalische Grundlagen zur Ladungssicherung
4.1 Begriffe
Im Zusammenhang mit der Ladungssicherung werden folgende Begriffe - ob nun physikalisch richtig oder falsch - häufig genannt:
Was vor allem bei den ersten drei Begriffen im täglichen Sprachgebrauch oft "in einen topf geworfen" wird, hat bei näherer Betrachtung völlig unterschiedliche Bedeutungen. Zum besseren Verständnis sollen vorab kurz die Einheiten erläutert werden.
Gemäß "Gesetz über Einheiten im Messwesen" (SI-Einheiten) sind anzugeben:
Diese Vereinheitlichung gilt weltweit. Dadurch sollen u.a. Differenzen vermieden werden, wie sie beim Umrechnen von Einheiten entstehen können. Obwohl diese SI-Einheiten bereits in den sechziger Jahren beschlossen und durch das besagte Gesetz 1970 verbindlich wurden, setzen sie sich nur sehr langsam durch. Dies dürfte jedoch mehr ein Generationenproblem sein, als dass wirklich sachliche Gründe vorliegen - man denke nur an das altbekannte "Pfund", mit dem im Lebensmitteleinzelhandel heute noch gerechnet wird.
4.1.1 Kraft und Masse
Wenn ein Körper beschleunigt oder abgebremst werden soll, ist dazu eine Kraft erforderlich. Diese Kraft, die dazu benötigt wird, hängt im wesentlichen von zwei Faktoren ab:
Anwendungsbeispiel: "Abbremsen eines fahrenden Schlittens" (Abb. 11) (Ausführlicher Rechengang siehe Anhang 1)
Abb. 11: Abbremsen eines fahrenden Schlittens
Am Ende einer sehr glatten Rodelbahn versucht ein Vater, den mit seinen zwei Kindern besetzten Schlitten aufzuhalten, bevor die rasante Fahrt durch einen Baumstumpf gestoppt wird. Um den mit einer Geschwindigkeit von v = 5 m/s (entspricht = 18 km/h) ankommenden, insgesamt m = 50 kg (Masse) schweren Schlitten auf einer Strecke von s = 2,5 m abzubremsen, benötigt der Vater eine Kraft von F = 250 N (Newton). Diese Kraft von 250 N ist annähernd gleichzusetzen mit einer durch den Vater aufgebrachten "Gegenmasse" von 25 kg.
HinweisZur Vereinfachung haben sich im Bereich der Ladungssicherung die Kräfteangaben in der Einheit daN (deka-Newton) durchgesetzt. "Deka" bedeutet, dass der Newton-Wert durch den Faktor 10 dividiert (geteilt) wurde, so dass er mit der kg-Angabe annähernd gleichzusetzen ist.
Somit ergibt sich in Anlehnung an das Rechenbeispiel:
F = 250 N = 25 daN ≈ 25 kg
Dieser "Trick" hat zwei Vorteile:
4.1.2 Gewicht und Gewichtskraft
Mit dem gebräuchlichen Begriff Gewicht ist die Gewichtskraft gemeint. Die Gewichtskraft ist die Kraft, mit der ein Körper von der Erde angezogen wird. Dass es sich dabei tatsächlich um eine Kraft handelt ist daran zu erkennen, dass ein freifallender Körper bis zu einer vom Luftwiderstand abhängigen Endgeschwindigkeit ununterbrochen beschleunigt wird. Diese Beschleunigung, die man mit dem Buchstaben g kennzeichnet und "Normfallbeschleunigung" (oder "Erdbeschleunigung") nennt, beträgt konstant ca. 9,81 m/s2. Dies entspricht einer Beschleunigung von v = 0 km/h auf v = 100 km/h in einer Zeit t von ungefähr 2,8 s.
Die Erdanziehungskraft wirkt ständig auf alle Körper, auch auf den Menschen. Es ist leicht zu erkennen, wenn sich eine Person auf die Waage stellt. Durch die Gewichtskraft drücken sich die Federn in der Waage zusammen. Dieser Federweg wird auf der Waage als Kraft angezeigt. Richtigerweise müsste diese Anzeige das Gewicht natürlich in Newton [N] angeben, doch die kg-Einteilung ist - wie schon erwähnt - z.Z. einfach gebräuchlicher.
4.1.3 Reibung
Die Reibungskraft ist eine Widerstandskraft gegen das Verschieben eines Körpers auf einer Unterlage. Sie wirkt dabei immer entgegen der Bewegungsrichtung. Man unterscheidet zwischen zwei Arten von Reibungskräften, der Haftreibung und der Gleitreibung:
Zu beachten ist, dass die Haftreibung stets größer als die Gleitreibung ist.
Abb. 12: Tabelle der Gleitreibungszahlen verschiedener Materialpaarungen
| Gleitreibungszahl µ | |||
| Materialpaarung | trocken | nass | fettig |
| Holz/Holz | 0,20-0,50 | 0,20-0,25 | 0,05-0,15 |
| Metall/Holz | 0,20-0,50 | 0,20-0,25 | 0,02-0,10 |
| Metall/Metall | 0,10-0,25 | 0,10-0,20 | 0,01-0,10 |
| Beton/Holz | 0,30-0,60 | 0,30-0,50 | 0,10-0,20 |
Quelle: VDI 2700 "Ladungssicherung auf Straßenfahrzeugen". Weitere, insbesondere für die Ladungssicherung relevante Reibwerte sind zusätzlich in der VDI 2700 aufgeführt. (Gleitreibungszahlen, die innerhalb eines BGF-Forschungsprojektes ermittelt wurden, siehe Anhang 19.)
Dazu ein Beispiel aus der Praxis:
Jemand versucht vergeblich, alleine eine Kiste zu verschieben. Erst als eine zweite Person zu Hilfe eilt und mitarbeitet, setzt sich die Kiste in Bewegung. Gemeinsam haben beide die Haftreibung überwunden. Nun lässt sich die Kiste mühelos von nur einer Person weiterbewegen (Gleitreibung wirkt!).
Merke: Haftreibung ist stets größer als Gleitreibung!
Bei der Ladungssicherung beschränkt man sich ausschließlich auf die Gleitreibung. Es wird davon ausgegangen, dass die Ladung beim Fahrbetrieb durch die Fahrzeugschwingungen in eine Art Schwebezustand gerät und dadurch dem Verrutschen keinen erhöhten Anfangswiderstand entgegensetzen kann. Die Höhe des Reibungswiderstandes - die "Gleitreibungszahl" µ (sprich: "mue") - hängt von der Materialpaarung ab, d.h. vom Material der Körper (Ladung) und dem der Unterlage (Ladefläche).
Wie aus Abb. 12 unschwer zu erkennen ist, unterliegen die Werte sehr starken Schwankungen. Das kann zum einen vom Material selbst abhängen - von der Härte und Oberflächenbeschaffenheit - zum anderen von äußeren Einflüssen wie Öl, Fett, Farbe oder Witterungsbedingungen (Regen, Schnee, Eis). Da diese vielen Einflussfaktoren immer wieder zu Unsicherheiten und Meinungsverschiedenheiten in der Praxis führen, werden im Zuge der europäischen Normung folgende Werte diskutiert: Gleitreibungszahl µ bei einer Holzladefläche 0,2 und bei einer aus Metall 0,1. Es sei denn, der Ladeflächenhersteller bescheinigt - z.B. durch Versuche ermittelt - höhere Werte.
Was besagt die Reibungszahl µ?
Bezogen auf die genannten Werte 0,2 bei Holz und 0,1 bei Metall bedeutet sie, dass ein auf einer waagerechten Holzladefläche liegender Körper dem Verschieben eine Reibungskraft (Widerstandskraft) vom 0,2fachen, d.h. 20 % seiner Gewichtskraft, entgegensetzt, bei Metall nur dem 0,1fachen (10 %).
Die Reibungs- oder Widerstandskraft errechnet sich bei einer waagerechten Unterlage nach der Formel
FR = µ * FG
oder - falls FG nicht bekannt ist -:
FR = µ * m * g
Dabei sind:
| FR | die Reibungskraft (Widerstandskraft) in Newton [N] |
| µ | die Gleitreibungszahl [ohne Einheit] |
| G | die Gewichtskraft des Körpers (der Ladung) in Newton [N] |
| m | die Masse des Körpers (der Ladung) in Kilogramm [kg] |
| g | die Normfallbeschleunigung 9,81 m/s2 |
Anwendungsbeispiel:
Mit welcher Reibungskraft (Widerstandskraft) FR wird die Ladung allein durch Reibung auf der Ladefläche gehalten?
Angenommene Werte:
µHolzladefläche = 0,2
mLadung = 1000 kg
somit ergibt sich:
FG = m * g = 1000 kg * 9,81 m/s2 ≈ 10000 N
FR = µ * FG = 0,2 * 10000 N = 2000 N = 200 daN ≈ 200 kg
Einfach ausgedrückt: Einer Ladung von 1000 kg Masse setzen sich bei einer waagerechten Holzladefläche 200 kg Reibungs- bzw. Widerstandsmasse (20 % von 1000 kg) dem Verschieben entgegen. Dieses als Beispiel gewählte Verhältnis von 20 % (µ = 0,2) bliebe im übrigen bei einer Veränderung der Masse gleich - egal, ob die Ladung 10 kg oder 25000 kg "schwer" ist.
Merke: Die Reibungszahl µ ändert sich nicht bei Vergrößerung oder Verkleinerung der Masse oder der Auflagefläche, sie bleibt konstant!
Dieser Satz ist enorm wichtig und wird in den folgenden Kapiteln noch zu beachten sein.
4.1.4 Energie
Die Formel für die Energieberechnung lautet:
Ihre Bedeutung für die tägliche Praxis soll folgendes Beispiel verdeutlichen:
Wenn ein Nagel in eine Wand getrieben werden soll, wird das üblicherweise mit möglichst weit ausholenden Schlägen getan. Niemand käme auf die Idee, einen Nagel mit dem Hammer in die Wand zudrücken. Warum? Die Erfahrung zeigt, dass das Einschlagen des Nagels um so leichter fällt, je höher die Auftreffgeschwindigkeit des Hammers ist. Auch die Hammermasse (Gewicht des Hammers) spielt dabei eine Rolle, ist aber im Vergleich zur Auftreffgeschwindigkeit von eher untergeordneter Bedeutung. Die physikalische Gesetzmäßigkeit, die - nicht nur - beim Hämmern zum Tragen kommt, wird als Bewegungsenergie ("kinetische" Energie) bezeichnet und mit dem Zeichen Wkin abgekürzt.
Sie tritt immer dann auf, wenn Gegenstände in Bewegung sind.
Es soll noch einmal das "Schlittenbeispiel" aus dem Abschnitt "Kraft und Masse" zur Anschauung herangezogen werden (ausführlicher Rechengang siehe Anhang 3). Die Kraft F von 250 N (25 daN ≈ 25 kg), die der Vater zum Abbremsen des Schlittens auf der angenommenen Strecke s = 2,5 m benötigt, hängt zum einen von der Masse des besetzten Schlittens, zum anderen von dessen Geschwindigkeit ab. Der Unterschied zwischen beiden Einflussgrößen liegt nun darin, dass die Masse m des Schlittens "einfach", die Geschwindigkeit v jedoch "quadratisch" eingeht. Konkret ausgedrückt: Eine Verdoppelung der Schlittenmasse m auf 100 kg bewirkt eine Verdoppelung der erforderlichen Kraft F auf 500 N (50 daN ≈ 50 kg), eine Verdoppelung der Geschwindigkeit v auf 36 km/h erfordert jedoch schon eine Vervierfachung der Kraft F auf 1000 N (100 daN ≈ 100 kg).
Führt man dies fort, ist zu erkennen, dass eine Erhöhung der Masse m um den Faktor 4 eine Erhöhung der Kraft F um das 4fache bewirkt. Die Erhöhung der Geschwindigkeit v um denselben Faktor 4 bewirkt bei der Kraft F jedoch eine Zunahme um das (4 x 4 =) 16fache! Diese physikalische Gesetzmäßigkeit, die der Fahrer nicht beeinflussen kann, macht ins Rutschen gekommene Ladung so gefährlich.
4.2 Das Verhalten der Ladung im Fahrbetrieb
Wer sich in einem mit mehr als 200 km/h auf einer geraden Strecke dahinrasenden Zug befindet, spürt von der Geschwindigkeit fast nichts. Nur die draußen "vorbeihuschenden" Bäume und Häuser und die leichte Unruhe im Zug signalisieren in Verbindung mit den auftretenden Fahrgeräuschen: "Es geht ziemlich voran". Trotz der Geschwindigkeit kann man sich problemlos im Zug bewegen, eine Tasse Kaffee steht auf dem Tisch, ohne dass sie festgehalten werden muss.
Abb. 14: Kaffeetasse auf einem Tisch
4.2.1 Der Bremsvorgang
Diese zuvor geschilderten Bedingungen ändern sich schlagartig, wenn der Zug plötzlich abbremst. Je nachdem, wie stark gebremst wird, ist der stehende Fahrgast gezwungen, sich festzuhalten, um nicht umzufallen, und der entgegen der Fahrtrichtung sitzende Mitreisende hat unter Umständen die eben noch auf dem Tisch stehende Kaffeetasse auf seinem Schoß. Was ist geschehen?
Nach dem "Trägheitsgesetz" hat jeder Körper das Bestreben, sich mit der Geschwindigkeit weiter fortzubewegen, die er innehat. Dies bezeichnet man auch mit Massenträgheit ("Masse ist das, was einen Körper träge macht."). Auf das Beispiel bezogen geschieht nun beim Bremsen des Zuges Folgendes mit dem Gegenstand "Kaffeetasse": Der Zug verlangsamt seine Geschwindigkeit um einen bestimmten Verzögerungswert ab ("negative Beschleunigung"). Diese negative Beschleunigung ab des Zuges wirkt auf die Tasse als echte (positive) Beschleunigung, da sie "versucht", ihre ursprüngliche Geschwindigkeit beizubehalten. Dass die Tasse sich nicht sofort, sondern erst ab einer bestimmten Bremsverzögerung ab in Bewegung setzt, hängt mit der Reibungskraft (Widerstandskraft) FR zusammen, die die Tasse auf dem Tisch bis zu einem bestimmten Grad "festhält."
Folgende Frage drängt sich jetzt auf: Ab welcher Bremsverzögerung ab des Zuges beginnt die Tasse sich zu bewegen? Dies soll die folgende Berechnung klären:
Analog der vorangegangenen Berechnung im Abschnitt "Reibung" folgt:
FR = µ * FG
FG = m * g
Dabei sind:
| FR | die Reibungskraft (Widerstandskraft) in Newton [N] |
| µ | die Gleitreibungszahl Tasse - Tisch [ohne Einheit] |
| FG | die Gewichtskraft des Körpers (der Tasse) in Newton [N] |
| m | die Masse des Körpers (der Tasse) in Kilogramm [kg] |
| g | die Normfallbeschleunigung 9,81 m/s2 |
Angenommene Werte:
mTasse = 500 g = 0,5 kg
µ = 0,15
Somit ergibt sich:
FG = m * g = 0,5 kg * 9,81 m/s2 = 4,91 N
FR = µ * FG =0,15 * 4,91 N = 0,74 N
Das bedeutet, dass die Tasse ab einer Bremsverzögerung des Zuges von ab > 1,47 m/s2 in Bewegung gerät. Diese Verzögerung ist nicht sehr groß, denn der Zug würde mit diesem Wert bei der angenommenen Geschwindigkeit von 200 km/h eine Strecke von ca. 1 km bis zum Stillstand benötigen.
Ist dieses Ergebnis zu verbessern, d.h. bleibt die Tasse länger stehen, wenn ihre Masse erhöht wird?
Angenommene Werte:
mTasse = 1000 g = 1,0 kg
N = 0,15
Somit ergibt sich:
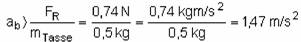
G = m * g = 1,0 kg * 9,81 m/s2 = 9,81 N
FR = µ * FG =0,15 * 9,81 N = 1,47 N
Wie man aus der Berechnung unschwer erkennt, ist der Verzögerungswert gleich geblieben, obwohl die Masse der Tasse verdoppelt wurde! Das bedeutet, ob sich ein Körper in Bewegung setzt oder nicht, ist unabhängig von seiner Masse (siehe auch Anhang 2). Gerade diese Tatsache ist jedoch häufig unbekannt. Der Satz: "Die Ladung ist so schwer, die kann gar nicht verrutschen!" ist ein großer Irrtum, der schwere Folgen haben kann. Denn die größten Schäden werden üblicherweise durch das Verrutschen schwerer Ladungen verursacht.
Merke: Ladung immer sichern, egal ob sie leicht oder schwer ist!
4.2.2 Fliehkraft (Kurvenfahrt)
Die Massenträgheit bewirkt nicht nur, dass ein Körper versucht, sich mit der ihm einmal mitgegebenen Geschwindigkeit weiterzubewegen. Diese Bewegung ist auch noch geradlinig, d.h. "stur geradeaus". Soll der Körper eine Kurve beschreiben, kommt eine neue Kraft ins Spiel: die Fliehkraft (Zentrifugalkraft).
Diese Kraft tritt auf, wenn z.B. bei einem Sportfest ein "Hammerwerfer" die am Stahlseil hängende Kugel im Kreis herumschleudert. Dieses Stahlseil muss je nach Gewicht der Kugel und nach deren Geschwindigkeit, mit der sie im Kreis herumgeschleudert wird, mehr oder minder stark festgehalten werden. Wird dieses Seil losgelassen, bewegt sich die Kugel geradlinig (tangential zur Kreisbahn) in eine Richtung aus dem Abwurfkreis des Hammerwerfers heraus weiter. Folgende mathematische Formel liegt dem zugrunde:
Das bedeutet:
desto größer wird die Fliehkraft FZ. Dabei ist ähnlich wie bei der Energie zu beachten, dass die Geschwindigkeit auch hier "quadratisch" eingeht.
Für den Kraftfahrer, der eine Kurve durchfährt, folgt daraus, dass er es allein in der Hand (im Fuß) hat, die Fliehkraft zu beeinflussen: Er passt die Geschwindigkeit seines Fahrzeugs dem Kurvenlauf an - und zwar rechtzeitig. Denn eine Vergrößerung des Kurvenradius dürfte im Normalfall nur schwer möglich sein (siehe auch Abschnitt "Unfallschwerpunkt Nr. 1: Kurvenfahrt").
Abb. 15: Hammerwerfer (Prinzipskizze)
5 Berechnung der erforderlichen Sicherungskräfte
5.1 Die Massenkräfte der Ladung
Die im Kapitel "Physikalische Grundlagen zur Ladungssicherung" an Beispielen erläuterten Zusammenhänge sind auf die Verhältnisse beim Transport von Gütern übertragbar. An einer Lkw-Ladung können aufgrund von Anfahr- und Bremsvorgängen sowie bei Kurvenfahrten Kräfte wirken, gegen die die Ladung zu sichern ist.
Nach den anerkannten Regeln der Technik, wie den VDI-Richtlinien 2700 und voraussichtlich auch nach künftigen europäischen Normen, sind die zu berücksichtigenden maximalen Massenkräfte für den Fahrbetrieb wie in Abb. 16 dargestellt festgelegt.
HinweisDie hier festgelegten Massenkräfte gelten nur für den Straßenverkehr. Die entsprechenden Werte für Huckepack-, Kombi-, RoRo-Transporte etc. können zum Teil erheblich abweichen.
Abb. 16: Massenkräfte im Fahrbetrieb
5.1.1 Die Massenkräfte der Ladung in Fahrtrichtung
Worauf basiert diese Festlegung?
Bei der Sicherung der Ladung gegen Bewegen nach vorne ist zu beachten, dass bei einer Vollbremsung Spitzenverzögerungswerte um 8 m/s2 erreicht werden können. Aus diesem Grund sind Massenkräfte von 0,8 x G (s. Abb. 16), das entspricht 80 % des Ladungsgewichtes, zu berücksichtigen.
Das bedeutet für eine Ladung von 1000 daN Gewichtskraft (ca. 1000 kg Masse):
Fv = 0,8 * 1000 daN = 800 daN (ca. 800 kg) nach vorne wirkende Massenkraft.
Übrigens: Die genannten Spitzenverzögerungswerte von ca. 8 m/s2 treten unabhängig von der zuvor gefahrenen Geschwindigkeit im allgemeinen erst kurz vor Stillstand des Fahrzeuges auf. Aus diesem Grund ist es völlig unerheblich, ob aus einer Geschwindigkeit von 80 km/h oder 25 km/h bis zum Stillstand abgebremst wird. Jeder kennt diesen Effekt: Bei einem an der Station anhaltenden Omnibus gibt es unmittelbar vor dem Stillstand einen starken Ruck, der einen bis dahin freihändig im Gang stehenden Fahrgast dann doch umzuwerfen droht.
Merke: Ladungssicherung ist immer erforderlich, auch wenn man nur langsam fährt!
![]() |
weiter . | ![]() |
(Stand: 24.07.2025)
Alle vollständigen Texte in der aktuellen Fassung im Jahresabonnement
Nutzungsgebühr: ab 105.- € netto
(derzeit ca. 7200 Titel s.Übersicht - keine Unterteilung in Fachbereiche)
Die Zugangskennung wird kurzfristig übermittelt
? Fragen ?
Abonnentenzugang/Volltextversion