![]() |
zurück | ![]() |
Achtung! Ein wichtiger Hinweis darf an dieser Stelle nicht fehlen: Vorsicht beim Lösen der Verzurrung von kippgefährdeten Gütern, wenn Ratschen als Spannelement von Zurrgurten benutzt werden! Wer die Wirkungsweise einer Ratsche kennt, weiß, dass zum Entriegeln der Ratsche der Spannhebel aus der Ruhestellung (Transportstellung) um 180° herumgeschwenkt wird. Dadurch wird der Sperrschieber, der die Ratschenwickelwelle in gespanntem Zustand blockiert, außer Eingriff gebracht. Damit kann sich die Wickelwelle drehen (sie befindet sich in Freilaufstellung), und das auf ihr aufgewickelte Gurtband spult sich schlagartig ab, insbesondere wenn es unter Vorspannung steht. Die Möglichkeit, wieder mit der Ratsche nachzuspannen, sobald bemerkt wird, dass die entsicherte Ladung zu kippen beginnt, ist so gut wie ausgeschlossen. Man müsste den Spannhebel erst wieder um 180° zurückschwenken und dann mit dem Spannvorgang beginnen, was nur möglich wäre, wenn das eingefädelte Gurtende nicht schon aus dem Schlitz der Wickelwelle herausgeschnellt ist. Mit großer Wahrscheinlichkeit wurde dieser Schwachpunkt der Ratschen den in den Fällen 1 und 3 am Unfallgeschehen beteiligten Personen letztendlich zum Verhängnis. Weitere gleichgelagerte Fälle sind bekannt.
Darum: Zum Verzurren von kippgefährdeten Gütern sollte der Einsatz von Zurrgurten mit Ratschen in der herkömmlichen Wirkungsweise vermieden, wenn nicht sogar verboten werden. Andere Spannelemente, die sich kontrolliert öffnen lassen, sind geeigneter, z.B. Spezialratschen mit stufenweiser Entriegelung, zugelassene Spannwinden, Spindelspanner oder Mehrzweck-Kettenzüge. Werden diese Elemente gelöst, würde man durch den nicht nachlassenden Spanndruck bemerken, dass die Ladung zu kippen beginnt. Ein gefahrloses erneutes Anspannen wäre möglich, um entsprechende Sicherheitsmaßnahmen einzuleiten.
Abb. 191a: Spezialratschen mit stufenweiser Entriegelung
Abb. 191b: Spezialratschen mit automatischer Vorentspannung des Gurtbandes
17.2 Vorsicht beim Öffnen von Bordwänden
Aus Unfallanzeigen:
Abb. 192
Solche und ähnliche Schilderungen ließen sich beliebig fortsetzen. Festzuhalten ist, dass Unfälle, wie die anfangs geschilderten, im Wesentlichen folgende Gründe haben können:
(Siehe hierzu auch § 37 Abs. 3 UVV "Fahrzeuge")
Die Unfälle führten dazu, dass bei bestimmten Fahrzeugen seit Oktober 1993 (Erstzulassung) die von Hand zu betätigenden Bordwandverschlüsse so gestaltet sein müssen, dass möglicher Ladungsdruck vor dem vollständigen Entriegeln festgestellt werden kann (siehe § 22 Abs. 11 Nr. 3 UVV "Fahrzeuge").
Diese Bordwandverschlüsse "mit Ladungsdruckerkennung" sind in der überwiegenden Zahl so gestaltet, dass beim Öffnen zwei Phasen durchlaufen werden ("2-Phasen-Entriegelung"). Dabei wird in der ersten Phase der Verschluss entriegelt und erst in der zweiten Phase die Bordwand freigegeben ("geöffnet"). Die zweite Öffnungsbewegung des Verschlusshebels ist bei anstehendem Ladungsdruck in der Regel aber nur mit "deutlich erhöhtem Kraftaufwand" möglich und warnt so den Fahrer vor dem nachdrückenden Ladegut.
Da aber optisch nicht zu erkennen ist, ob man einen Verschluss mit oder ohne Ladungsdruckerkennung vor sich hat, ist immer mit der Gefahr des unbeabsichtigten Aufschlagens einer Bordwand und dem Herabfallen nachdrückenden Ladegutes zu rechnen (siehe § 38 Abs. 2 UVV "Fahrzeuge"). Vielfach deuten schon schwer zu öffnende Normal-Verschlüsse auf diese Gefahr hin. Deshalb - und nicht nur, weil es im § 38 Abs. 3 UVV "Fahrzeuge" so steht:
Merke: Wenn irgendwie möglich, Aufbauverriegelungenimmer von einem Standort außerhalb des Gefahrbereichs öffnen! Als Gefahrbereich gilt der gesamte Schwenkbereich der Bordwand.
Abb. 193: ... bitte so nicht öffnen!
18 Haftung und Verantwortlichkeiten bei der Ladungssicherung
- Rechtsanwältin Andrea Heid 2 -
Das richtige Sichern von Ladung führt in der Praxis immer wieder zu Problemen. Insbesondere wird häufig diskutiert, was unter einer ausreichenden Ladungssicherung zu verstehen ist. Daneben stellt sich bei Defiziten, d.h. wenn es zu Schäden auf Grund von mangelhafter Ladungssicherung kommt, häufig auch die rechtliche Frage: Wer ist dafür verantwortlich, wer haftet? Dieses soll im Folgenden näher beleuchtet werden.
Hier sei darauf hingewiesen, dass sich die nachfolgenden Ausführungen in erster Linie auf gewerbliche Beförderungen im innerdeutschen Straßenverkehr beziehen. Auf Besonderheiten, z.B. wenn die Beteiligten keine Vollkaufleute sind oder Umzugsgut befördert wird, wird nicht eingegangen.
1. Handelsrechtliche Pflichten und Haftung
1.1 Frachtvertrag
Um die Frage nach Haftung und Verantwortlichkeiten zu beantworten, muss zunächst geklärt werden, wer durch welche Vorschriften überhaupt zur Ladungssicherung verpflichtet ist. Dabei sind zuerst die Vorschriften des Handelsgesetzbuches über das
Frachtgeschäft zu beachten. Konkret fordert § 412 HGB 3, der für Beförderung zu Land, auf Binnengewässern und mit Luftfahrzeugen gilt (§ 407 Abs. 3 Satz 1 HGB): "Soweit sich aus den Umständen oder der Verkehrssitte nicht etwas anderes ergibt, hat der Absender das Gut beförderungssicher zu laden, zu stauen und zu befestigen (verladen) sowie zu entladen. Der Frachtführer hat für die betriebssichere Verladung zu sorgen.
"Beförderungssicher" bedeutet dabei, dass das Ladegut im Beförderungsmittel oder auf der Ladefläche so zu verstauen oder zu befestigen ist, dass es einen normalen, vertragskonformen Transport unbeschadet überstehen kann. 4
Unter "betriebssicher" ist eine Verladung des Gutes in der Weise zu verstehen, dass einerseits ein ausreichender Schutz für das Gut selbst besteht und andererseits das Gut niemanden gefährdet oder schädigt. 5
Die in § 412 HGB festgelegte Pflichtenverteilung ist durch die Worte "soweit sich aus den Umständen oder der Verkehrssitte nichts anderes ergibt" eingeschränkt.
"Umstände" sind dabei das, was die Parteien als tatsächliche Gegebenheiten vor Ort und zum betreffenden Zeitpunkt als vorhanden bzw. als nicht vorhanden beweisen können.
"Verkehrssitte" bedeutet die im Verkehr der beteiligten Kreise herrschende tatsächliche Übung, also dasjenige Verhalten, das zwischen den beteiligten Personengruppen als immer üblich und nie anders zu handhaben anzusehen ist. Wird ein Sachverhalt in der Praxis von den Beteiligten immer so gehandhabt, ist es Verkehrssitte, wird es häufig so und manchmal anders gehandhabt, ist es keine Verkehrssitte. Unter Kaufleuten wird die Verkehrssitte auch Handelsbrauch genannt 6.
Im handelsrechtlichen Sinne ist unter "Absender", der Auftraggeber des (Haupt)Frachtführers zu verstehen, also derjenige, dem gegenüber sich der Frachtführer unmittelbar verpflichtet, das Gut zu befördern, und der sich seinerseits verpflichtet, als Gegenleistung die vereinbarte Fracht zu zahlen. 7 Als "Frachtführer" wird nach HGB jeder Beförderer bezeichnet, der es auf Grund eines Frachtvertrages im Rahmen seines gewerblichen Unternehmens übernommen hat, Güter zum Bestimmungsort zu befördern und dort an den Empfänger abzuliefern. 8
Die Pflicht für Absender und Frachtführer zu einer ordnungsgemäßen Ladungssicherung nach § 412 HGB setzt aber voraus, dass ein Frachtvertrag gemäß § 407 HGB geschlossen wurde, der den Frachtführer zur Beförderung und den Absender zur Frachtzahlung verpflichtet. Dieser Vertrag begründet die Pflichten von Absender und Frachtführer und zieht haftungsrechtliche Konsequenzen nach sich.
Der Absender haftet verschuldensabhängig für die Beschädigung oder den Verlust des Gutes, wenn dies (auch) auf die nicht beförderungssichere Verladung durch den Absender zurückgeht.
Der Frachtführer haftet grundsätzlich verschuldensunabhängig, aber der Höhe nach begrenzt 9 für den Schaden, der durch Verlust oder Beschädigung des Gutes in der Zeit vor der Übernahme zur Beförderung bis zur Ablieferung entsteht (vgl. § 425 Abs. 1 HGB). Er ist allerdings gemäß § 427 Abs. 1 HGB von seiner Haftung, soweit der Verlust oder die Beschädigung auf ungenügende Verpackung durch den Absender oder Behandlung, Verladen oder Entladen des Gutes durch den Absender oder Empfänger zurückzuführen ist, befreit.
Der Unternehmer, der die Betriebssicherheit vernachlässigt, haftet ferner gemäß § 823 Abs. 1 BGB 10 (deliktischer Schadensersatzanspruch), und zwar sowohl gegenüber dem Absender als auch gegenüber Dritten, also beispielsweise dem Passanten, der durch die herabrutschende Ware verletzt worden ist. Dies ergibt sich schon aus den allgemeinen Grundsätzen der Verkehrssicherungspflicht. Die Haftung setzt hier ein Verschulden voraus, d.h. Vorsatz oder Fahrlässigkeit.
1.2 Haftung im Innenverhältnis
Es stellt sich die Frage, ob neben den erläuterten Haftungsgrundsätzen im Außenverhältnis (also zwischen den Vertragspartnern bzw. gegenüber Dritten) auch im Innenverhältnis ein Ausgleich erfolgt, d.h. ob der Unternehmer von dem bei ihm angestellten Fahrzeugführer wiederum Ersatz verlangen kann. Dies wird grundsätzlich nach den von der Rechtsprechung entwickelten Grundsätzen zur Arbeitnehmerhaftung 11 beurteilt, die in der Tätigkeit von Berufskraftfahrern ihren Ursprung hat und inzwischen für alle betriebsbedingten Tätigkeiten gilt. Danach hat gegenüber dem Arbeitgeber ein voller Ausgleich nur bei vorsätzlichem oder grob fahrlässigem Verhalten des Arbeitnehmers zu erfolgen, bei mittlerer Fahrlässigkeit ist der Schadensbetrag aufzuteilen und bei leichter Fahrlässigkeit vom Arbeitgeber, d.h. Unternehmer, voll zu tragen.
Bei dem transportierten Gut kann es sich auch um Gefahrgut handeln. Dann sind die Vorschriften über die Beförderung gefährlicher Güter anzuwenden. Nach § 9 Abs. 13 GGVSE 12 sind Verlader und Fahrzeugführer für die Ladungssicherung verantwortlich.
In diesem Zusammenhang sei darauf hingewiesen, dass in den Gefahrgutvorschriften eine vom HGB abweichende Terminologie angewandt wird: § 2 Nr. 1 GGVSE bezeichnet als "Absender" denjenigen, der selbst oder für einen Dritten gefährliche Güter versendet. Erfolgt die Beförderung auf Grund eines Beförderungsvertrages, gilt als Absender der Absender gemäß diesem Vertrags.
Als Beförderer wird derjenige definiert, § 2 Nr. 2 GGVSE, der die Beförderung mit oder ohne Beförderungsvertrag (= andere Bezeichnung für Frachtvertrag) durchführt. "Verlader" ist das Unternehmen, das gefährliche Güter verlädt sowie das Unternehmen, das als unmittelbarer Besitzer das gefährliche Gut dem Beförderer zur Beförderung übergibt oder selbst befördert (vgl. § 2 Nr. 4 GGVSE). Daneben kennen die Gefahrgutvorschriften, wie bereits erwähnt, den Begriff des Fahrzeugführers.
1.3 Speditionsvertrag
Sehr häufig wird in der Praxis ein Spediteur eingesetzt, der in erster Linie eine Maklerfunktion hat, d.h. er soll dafür sorgen, dass eine bestimmte Ware zu einem bestimmten Zeitpunkt befördert wird. Es kommt dann zu einem Speditionsvertrag gem. § 453 HGB, der den Spediteur zur Besorgung der Versendung des Gutes und den Versender zur Zahlung der Vergütung verpflichtet. Falls der Spediteur sich entscheidet, die Beförderung nicht von einem anderen durchführen zu lassen, sondern im Selbsteintritt fährt, dann hat er gleichzeitig die Rechte und Pflichten eines Frachtführers (vgl. § 458 HGB). In jedem Fall ist seine Haftung für Schäden, die durch Verlust oder Beschädigung des in seiner Obhut befindlichen Gutes entstehen, im Wesentlichen entsprechend der Frachtführerhaftung, vgl. § 461 HGB. Neben dieser Haftung im Außenverhältnis gelten die Ausführungen zur Haftung im Innenverhältnis auch hier.
In Einzelverträgen und Allgemeinen Geschäftsbedingungen werden darüber hinaus Begriffe wie z.B. Kunde; Auftragnehmer etc. verwendet. Hier soll jedoch nicht weiter zum babylonischen Sprachgewirr beigetragen werden, sondern vielmehr sollen die folgenden Beispiele die bisher benutzten Begriffe nochmals bildlich verdeutlichen. Dabei sei allerdings darauf hingewiesen, dass weitere Varianten möglich sind, z.B. wenn weitere Unterfrachtführer tätig sind; von diesen wird jedoch aus Gründen der Übersichtlichkeit abgesehen.
Beispiel 1:

Beispiel 2:
Beispiel 3:
Anhand dieser Ausführungen sollte deutlich geworden sein, dass sich die Pflichten zur Ladungssicherung nach HGB und GGVSE eindeutig nur feststellen lassen, wenn klar ist, welche Art von Vertrag zustande gekommen ist.
1.4 Allgemeinen Geschäftsbedingungen
Die im HGB verankerten Pflichten zur Ladungssicherung können durch individuelle Vereinbarungen noch genauer bestimmt oder übertragen werden.
Beispielsweise seien hier die ADSp 13 und die VBGL 14 genannt. Diese sind Allgemeine Geschäftsbedingungen im Sinne des § 1 AGBG 15, die bisher nicht zum Handelsbrauch Verkehrssitte geworden sind. 16
§ 5 Abs. 1 Satz 1 und 2 VBGL verpflichtet den Absender beförderungssicher nach den einschlägigen Rechtsvorschriften und dem Stand der Technik zu beladen und rechnet ihm Handlungen und Unterlassungen der für ihn tätigen Personen zu. Für den Frachtführer wird in § 5 Abs. 1 Satz 3 VBGL deutlich gemacht, dass er grundsätzlich die Betriebssicherheit der Verladung sicherzustellen hat. Das Wort "grundsätzlich" macht dabei deutlich, dass abweichende Vereinbarungen möglich sind. Das Gleiche gilt auch für die beförderungssichere Verladung durch den Frachtführer, die nach § 5 Abs. 1 Satz 4 VBGL möglich ist, wenn eine angemessene Vergütung erfolgt. Gibt es eine entsprechende Vereinbarung, hat dies natürlich auch Konsequenzen im Hinblick auf die Haftungsfrage.
Auch die ALB-Cargo 17 sehen als Allgemeinen Geschäftsbedingungen Bestimmungen für die Ladungssicherung vor. Dazu heißt es unter 5.1: "Der Kunde ist für die sichere Verladung ... verantwortlich. Einzelheiten regeln unsere Verladerichtlinien. Wir sind berechtigt, Wagen und Ladeeinheiten auf die Betriebssicherheit der Verladung zu überprüfen."
Auch wenn die hier aufgeführten Verladerichtlinien verbindlich sind, entbindet die Regelung die DB Cargo nicht von ihrer Pflicht, die Betriebssicherheit der Verladung (§ 412 Abs. 1 Satz 2 HGB) zu überprüfen, denn nach herrschender Meinung ist diese Klausel gemäß § 9 AGBG unangemessen, weil der Kunde in aller Regel kein Transportfachmann ist. 18
2. Gefahrgutvorschriften
Im Hinblick auf die Ladungssicherungspflichten in Zusammenhang mit der Beförderung gefährlicher Güter wurde bereits auf § 9 Abs. 13 GGVSE hingewiesen. Nach dieser Vorschrift sind der Verlader und der Fahrzeugführer verantwortlich. Bei Verstößen können diese gemäß § 10 Nr. 17 GGVSE ordnungswidrigkeitenrechtlich verfolgt und mit einem Bußgeld belegt werden.
Zu den bereits erläuterten Begriffen Verlader, Absender und Beförderer sie noch erwähnt, dass sich stellvertretend für die Verantwortlichen der Unternehmen, in denen die entsprechenden Handlungen durchgeführt werden bzw. die dort eingesetzten sog. "beauftragten Personen" nach § 9 OWiG 19 stehen (z.B. Transporteur Herr Fink als Beförderer, Verlademeister Herr Meyer der Chemie AG als beauftragte Person des Verladers).
Der gefahrgutrechtlichen Verantwortung zur Ladungssicherung liegt die in Abschnitt 7.5.7 ADR 20 formulierte Pflicht zu Grunde, deren Absatz 1 besagt: "Die einzelnen Teile einer Ladung mit gefährlichen Gütern müssen auf dem Fahrzeug oder im Container so verstaut oder durch geeignete Mittel gesichert sein, dass sie ihre Lage zueinander sowie zu den Wänden des Fahrzeugs nur geringfügig verändern können. Die Ladung kann z.B. durch Zurrgurte, Klemmbalken, Transportschutzkissen, rutschhemmende Unterlagen gesichert werden. Eine ausreichende Ladungssicherung im Sinne des ersten Satzes liegt auch vor, wenn die gesamte Ladefläche in jeder Lage mit Versandstücken vollständig aufgefüllt ist."
Der Verstoß gegen die gefahrgutrechtlichen Ladungssicherungspflichten kann mit einem Bußgeld bis zu 50.000 Euro geahndet werden (vgl. § 10 Abs. 4 GGBefG 21), der Regelsatz, der von fahrlässiger Begehung, normalen Tatumständen und mittleren wirtschaftlichen Verhältnissen des Betroffenen ausgeht, beträgt 50 Euro bis 1500 Euro nach RSE 22.
Die Verpflichtung des Verladers zur Beachtung der Vorschriften über die Handhabung und Verstauung von Versandstücken gilt bei der Gefahrgutbeförderung nach einem Urteil des OLG Koblenz 23 nicht nur bis zur Übergabe an den Fahrzeugführer. Wenn sich erkennen lässt, dass es zu Teilentladungen kommt, ist der Verlader für die ordnungsgemäße Ladungssicherung während der gesamten Beförderung mitverantwortlich. Das bedeutet, er muss dem Fahrzeugführer gegebenenfalls geeignetes Sicherungsmaterial mitgeben, damit eine vorschriftsmäßige Sicherung auch nach der Teilentladung möglich ist. Für die weiteren Beteiligten führt die RSE 24 aus: "Belädt der Fahrzeugführer nicht selbst, so bleibt er im Rahmen der zumutbaren Einwirkungsmöglichkeiten neben demjenigen, der tatsächlich belädt, verantwortlich. Von dem Fahrzeugführer ist zu verlangen, dass er vor Abfahrt die sichere Verstauung durch äußere Besichtigung prüft und während der Fahrt erkennbare Störungen behebt. Der Beförderer hat für die Bereitstellung der Mittel zur Ladungssicherung zu sorgen."
3. Straßenverkehrsrecht
Neben diesen spezialrechtlichen Regelungen zum Gefahrguttransport bestimmen die Vorschriften der StVO 25 und der StVZO 26.
So besagt § 22 Abs. 2 StVO zwar generalklauselartig, dass "die Ladung ... verkehrssicher zu verstauen und gegen Herabfallen besonders zu sichern" ist, sie lässt hier aber offen, wer diese Ladungssicherung im einzelnen durchzuführen hat.
Eine ähnliche allgemeine Bestimmung findet sich in § 37 Abs. 4 der Unfallverhütungsvorschrift Fahrzeuge BGV D29 27, wonach "die Ladung so zu verstauen und bei Bedarf zu sichern [ist], dass bei üblichen Gefahrensituationen eine Gefährdung von Personen ausgeschlossen ist."
Aus der Vorschrift des § 22 StVO lässt sich jedoch der Rückschluss ziehen, dass jeder, der für den Ladevorgang verantwortlich ist (z.B. Leiter der Ladearbeiten), die genannten Sorgfaltspflichten erfüllen muss.
Was bedeutet in diesem Zusammenhang "verantwortlich sein"? Hier kann in Anlehnung an die Begriffsbestimmungen für "beauftragte Personen" nach § 9 Abs. 2 OWIG zurückgegriffen werden. Das hat zur Folge, dass verantwortlich derjenige ist, der ausdrücklich oder durch seine Funktion vom Unternehmer Verantwortung - hier: für die Ladungssicherung - zugewiesen bekommen hat und dabei eigenverantwortlich tätig wird 28. Das kann also beispielsweise der Leiter der Ladearbeiten oder der Fuhrparkleiter sein. Diese Auffassung wird unterstützt durch die ständige Rechtsprechung, die den Kreis der Verantwortlichen für eine korrekte Ladungssicherung nach § 22 StVO ausweitet. In verschiedenen Urteilen wurde und wird immer wieder betont, dass für eine ordnungsgemäße tatsächliche Ladungssicherung insbesondere derjenige verantwortlich ist, der unter eigener Verantwortung das Fahrzeug beladen hat 29 - daneben werden bereits durch die Vorschriften auch andere Personenkreise verantwortlich. So bestimmt § 23 Abs. 1 Satz 2 StVO: "[Der Fahrzeugführer] muss dafür sorgen, dass ... die Ladung vorschriftsmäßig [ist] und dass die Verkehrssicherheit des Fahrzeugs durch die Ladung nicht leidet."
Damit erfolgt eine gesetzliche Verantwortungszuweisung an den Fahrzeugführer. Zur Frage, was konkret unter "verkehrssicher" zu verstehen ist, gibt die Allgemeine Verwaltungsvorschrift zu § 22 Absatz 1 StVO 30 nähere Auskunft: "Zu verkehrssicherer Verstauung gehört sowohl eine die Verkehrs- und Betriebssicherheit nicht beeinträchtigende Verteilung der Ladung als auch deren sichere Verwahrung, wenn nötig Befestigung, die ein Verrutschen oder gar Herabfallen unmöglich macht."
Nach der Rechtsprechung setzt ein sachgerechtes Verstauen in diesem Sinne die Betrachtung der anerkannten Regeln des Speditions- und Fuhrbetriebes voraus; derzeit dürfte der Inhalt der VDI-Richtlinie 2700 "Ladungssicherung auf Straßenfahrzeugen" die technisch anerkannten Beladungsregeln umfassen und deshalb allgemein zu beachten sein. 31
Die Verantwortung des Fahrzeugführers wird durch die des Fahrzeughalters nach StVZO ergänzt. Sie ergibt sich direkt aus § 31 Abs. 2 StVZO, wonach er "die Inbetriebnahme nicht anordnen oder zulassen [darf], wenn ihm bekannt ist oder bekannt sein muss, dass ... die Ladung ... nicht vorschriftsmäßig ist oder dass die Verkehrssicherheit des Fahrzeugs durch die Ladung ... leidet. "
Daraus lässt sich natürlich auch der Rückschluss ziehen, dass der Fahrzeughalter zur Mitgabe von Ladungssicherungsmaterial verpflichtet ist, d.h. den Fahrzeugführer in die Lage versetzen muss, eine ordnungsgemäße Ladungssicherung überhaupt durchzuführen.
Darüber hinaus ist der Fahrzeughalter (in seiner Eigenschaft als Unternehmer im Sinne der gesetzlichen Unfallversicherung) nach §§ 3, 22 Abs. 1 Satz 3 BGV D29 zur Ausrüstung von Fahrzeugen mit Pritschenaufbauten und von Tiefladern mit Verankerungen zur Ladungssicherung (Zurrpunkten entsprechend DIN 75410 Teil 1) verpflichtet. Den Fahrzeughersteller trifft diese Verpflichtung über § 3 Abs. 1 GSG 32, denn Fahrzeuge sind technische Arbeitsmittel und müssen den sicherheitstechnischen Anforderungen und sonstigen Voraussetzungen nach dieser Vorschrift (einschließlich Unfallverhütungsvorschriften) genügen.
Verstöße gegen die in der StVO verankerte Ladungssicherungspflicht sind gemäß § 49 Abs. 1 Nr. 21 und Nr. 22 StVO Ordnungswidrigkeiten und können mit einem Bußgeld geahndet werden. Nach den vorhergehenden Ausführungen kann Empfänger des Bußgeldbescheides wegen Vernachlässigung der Pflicht zur Ladungssicherung nach Straßenverkehrsrecht also neben dem für den Ladevorgang Verantwortlichen insbesondere auch der Fahrer und der Halter sein.
Übrigens stellen auch Verstöße gegen die BGV D29 Ordnungswidrigkeiten dar und können geahndet werden; zuständig für die Ahndung ist der jeweilige Unfallversicherungsträger.
Die Verhängung eines Bußgeldes auf Grund eines Verstoßes gegen § 22 StVO setzt übrigens keine konkrete Gefährdung, Schädigung, Behinderung oder auch nur Belästigung voraus 33. Es genügt hier die Feststellung durch die zuständige Bußgeldbehörde, dass die Ladung nicht verkehrssicher gestaut und gegen Herabfallen besonders gesichert ist, also folglich eine abstrakte, d.h. mögliche Gefährdung von Personen und/oder Sachen bestand. Das Bußgeld kann bis zu 475 Euro betragen, der Regelsatz beläuft sich nach Nr. 103 BKatV 34 auf 50 Euro.
Neben den Aspekten der ordnungswidrigkeitenrechtlichen Verantwortung und der zivilrechtlichen Haftung bzw. des Ausgleichs im Schadensfall ist die Frage der strafrechtlichen Verantwortung noch zu klären.
4. Strafrechtliche Aspekte
Zu einem Strafverfahren kann es immer kommen, wenn Strafrechtsnormen (z.B. Sachbeschädigung, § 303 StGB 35; Körperverletzung, § 223 StGB; fahrlässige Tötung, § 222 StGB) verletzt worden sind. Eine strafrechtliche Verurteilung setzt neben der rechtswidrigen Erfüllung der Tatbestandselemente ein schuldhaftes, vorsätzliches oder fahrlässiges Verhalten voraus.
Im Zusammenhang mit der Thematik Ladungssicherung kommen als Täter alle in Betracht, die eine Pflicht zur Ladungssicherung trifft und die in Nicht- oder Schlechterfüllung dieser Pflicht gleichzeitig einen Straftatbestand erfüllen.
Neben den bereits beispielhaft erwähnten "allgemeinen" Straftaten ist in Verbindung mit fehlender oder schlechter Ladungssicherung insbesondere an § 315b StGB (Gefährliche Eingriffe in den Straßenverkehr) zu denken: "Wer die Sicherheit des Straßenverkehrs dadurch beeinträchtigt, dass er
Besonders erwähnt werden soll in diesem Zusammenhang und im Hinblick auf Gefahrguttransporte auch § 328 Abs. 3 Nr. 2 StGB (unerlaubter Umgang mit radioaktiven Stoffen und anderen gefährlichen Stoffen und Gütern). Hier wird eine Bestrafung desjenigen vorgesehen, der "gefährliche Güter unter grober Verletzung verwaltungsrechtlicher Pflichten befördert, versendet, verpackt oder auspackt, verlädt oder entlädt, entgegennimmt oder anderen überlässt ... und dadurch ... Menschen, Tiere oder Sachen gefährdet".
Ein grob pflichtwidriger Verstoß gegen die gefahrgutrechtliche Ladungssicherungspflicht nach Rn. 10414 Abs. 1 der Anlage B zum ADR kann also bei einer konkreten Gefährdung von Menschen oder Sachen bis zu einer strafrechtlichen Verfolgung führen. Hier sind der Verfasserin dieses Abschnittes zwar bisher noch keine Fälle einer Verurteilung bekannt, jedoch sollte die Androhung einer Strafverfolgung für alle am Transport Beteiligten Grund genug sein, um auf eine ordnungsgemäße Ladungssicherung hinzuwirken.
| Ausführlicher Rechengang zum Anwendungsbeispiel "Schlitten" | Anhang 1 |
(siehe Abschnitt "Kraft und Masse")
Zur Erinnerung die angenommenen Werte:
Rechengang
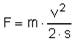
Kraft ist gleich Masse * Beschleunigung
F = m * a
Ersetzen der Beschleunigung a
Nebenrechnung:
Umwandeln der Geschwindigkeits-Einheit "km/h" in "m/s"
Einsetzen der angenommenen Werte
Quadrieren des Klammerausdrucks
Berechnen des Nenners
Berechnen des Bruchs (Einheiten kürzen)
Somit beträgt die Kraft zum Bremsen
F = 250kgm/s2 = 250N
| Anhang 2 |
Für Mathematik-Freunde: Um wieviel muss die Beschleunigungskraft größer sein als die Reibungskraft (Widerstandskraft), damit sich ein Körper in Bewegung setzt (weitere Informationen siehe Abschnitt "Der Bremsvorgang")?
Beim Bremsen muss die Massenträgheit m * ab des Körpers größer sein als die Reibungskraft (Widerstandskraft) FR.
| m * ab > FR | |
| m * ab > µ * FG | | FR = µ * FG |
| m * ab > µ * m * g | | FG = m * g |
| | Kürzen der Masse m | |
| ab > µ * g |
D.h., bei einer Bremsverzögerung, die wenig mehr als dem 9,81fachen (Normfallbeschleunigung) der Reibungszahl entspricht, setzt sich der Körper in Bewegung. Somit setzt sich eine Ladung bei einer Materialpaarung Stahl/Stahl mit einer Reibungszahl von µ = 0,1 bereits bei einer Bremsverzögerung von ca. 1 m/s2 in Bewegung. Im Straßenverkehr sind aber Bremsverzögerungen von 8 m/s2 möglich. Die Masse des Körpers (der Ladung) ist dabei völlig unerheblich!
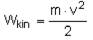
| Ausführlicher Rechengang zur Ermittlung der Kraft F über die Formel für die kinetische Energie Wkin | Anhang 3 |
Einsetzen von a
Umstellen der Gleichung
Somit ist
Zur Erinnerung:
|
Masse in Kilogramm [kg] |
|
Geschwindigkeit in Meter pro Sekunde [m/s] |
|
Weg (Strecke) in Meter [m] |
| 1 kg m/s2 = 1 N |
Übertragen auf das Beispiel "Schlitten" im Abschnitt "Energie" ergibt sich:
|
= 50 kg |
|
= 18 km/h = 5 m/s |
|
= 2,5 m |
Verdoppelung der Schlitten masse auf m = 100 kg (Geschwindigkeit v = 18 km/h = 5 m/s, Weg (Strecke) s = 2,5 m):
Dieser Zusammenhang (Verdoppelung der Masse m bewirkt Verdoppelung der Kraft, Verdoppelung der Geschwindigkeit v bewirkt Vervierfachung der Kraft F) wird noch deutlicher, wenn Masse m Verdoppelung der Schlitten geschwindigkeit auf v = 36 km/h = 10 m/s (Weg (Strecke) s = 2,5 m, Masse m = 50 kg):
und Geschwindigkeit v mit dem Faktor 4 multipliziert werden, und man die ermittelten Werte in ein Diagramm (Abb. 194) überträgt.
Abb. 194
| Vollständiger Rechengang zum Anwendungsbeispiel im Abschnitt "Schrägzurren" Die erforderlichen Haltekräfte S können über folgende Formeln ermittelt werden: | Anhang 4 |
bzw.
Angenommene Werte:
Berechnung der Haltekraft in Längsrichtung Sl:
Berechnung der Haltekraft in Querrichtung Sq:
| Vollständiger Rechengang zum Anwendungsbeispiel im Abschnitt "Diagonalzurren" | Anhang 5 |
Die erforderlichen Haltekräfte S können über folgende Formeln ermittelt werden:
Sicherungskräfte längs
bzw.
Sicherungskräfte zu den Seiten ("quer")
bzw.
Zu beachten ist, dass der jeweils höhere Wert Sl oder Sq maßgeblich ist.
Angenommene Werte:
Berechnung der Haltekraft in Längsrichtung Sl:
Berechnung der Haltekraft in Querrichtung Sq:

| Anhang 6 |
| Anhang 7 |
| Anhang 8 |
| Anhang 9 |
| Anhang 10 |
| Anhang 11 |
| Anhang 12 |
| Anhang 13 |
| Anhang 14 |
| Anhang 15 |
| Anhang 16 |
| Anhang 17 |
| Anhang 18 |
| Empfehlung für zugrunde zu legende Gleitreibungszahlen bei der Ladungssicherung | Anhang 19 |
| Reibpaarung | Empfohlene Gleitreibungszahl µG | |
| Ladefläche | Ladungsträger/Ladegut | |
| Sperrholz, melaminharzbeschichtet, glatte Oberfläche | Europaletten (Holz) | 0,20 |
| Gitterboxpaletten (Stahl) | 0,25 | |
| Kunststoffpaletten (PP) | 0,20 | |
| Sperrholz, melaminharzbeschichtet, Siebstruktur | Europaletten (Holz) | 0,25 |
| Gitterboxpaletten (Stahl) | 0,25 | |
| Kunststoffpaletten (PP) | 0,25 | |
| Aluminiumträger in der Ladefläche -Lochschienen | Europaletten (Holz) | 0,25 |
| Gitterboxpaletten (Stahl) | 0,35 | |
| Kunststoffpaletten (PP) | 0,25 | |
Entnommen aus dem BGF-Forschungsprojekt
| Anschriften der Berufsgenossenschaften für Fahrzeughaltungen |
Zuständigkeitsbereiche und Anschriften der technischen Aufsichtsdienste der Bezirksverwaltungen
| 1. | Hamburg, Mecklenburg-Vorpommern und Schleswig-Holstein Berufsgenossenschaft für Fahrzeughaltungen Ottenser Hauptstraße 54 22765 Hamburg Tel.: (0 40) 39 80-0 Fax: (0 40) 39 80-27 99 |
| 2. | Bremen und Niedersachsen Berufsgenossenschaft für Fahrzeughaltungen Walderseestraße 5-6 30163 Hannover Tel.: (05 11) 39 95-6 Fax: (05 11) 39 95-7 85 |
| 3. | Berlin, Brandenburg und der Regierungsbezirk Magdeburg des Landes Sachsen-Anhalt Berufsgenossenschaft für Fahrzeughaltungen Axel-Springer-Straße 52 10969 Berlin Tel.: (0 30) 2 59 97-0 Fax: (0 30) 2 59 97-2 97 |
| 4. | Sachsen, Thüringen und die Regierungsbezirke Halle und Dessau des Landes Sachsen-Anhalt Berufsgenossenschaft für Fahrzeughaltungen Hofmühlenstraße 4 01187 Dresden Tel.: (03 51) 42 36-50 Fax: (03 51) 42 36-5 91 |
| 5. | Nordrhein-Westfalen Berufsgenossenschaft für Fahrzeughaltungen Aue 96 42103 Wuppertal Tel.: (02 02) 38 95-0 Fax: (02 02) 38 95-4 01 |
| 6. | Baden-Württemberg, Hessen, Rheinland-Pfalz und Saarland Berufsgenossenschaft für Fahrzeughaltungen Wiesbadener Straße 70 65197 Wiesbaden Tel.: (06 11) 94 13-0 Fax: (06 11) 94 13-1 21 |
| 7. | Bayern Berufsgenossenschaft für Fahrzeughaltungen Deisenhofener Straße 74 81539 München Tel.: (0 89) 6 23 02-0 Fax: (0 89) 6 23 02-2 00 |
________________
| 1 | Die Mindestvorderachslast errechnet sich aus dem Momentangewicht (Gtats) des Fahrzeugs. Bei üblichen Lkw beträgt die Mindestvorderachslast 20-25 % von Gtats. Bei o.a. Lkw im Leerzustand sollte sie also ca. 2,1 t (20 % von 10,5 t Fahrzeugleergewicht), voll beladen ca. 4,4 t (20 % von 22,0 t zulässigem Gesamtgewicht) betragen. |
| 2 | Rechtsanwältin Held leitet den Bereich Verkehr im Verband der Chemischen Industrie e.V. (VCI), Frankfurt am Main |
| 3 | Handelsgesetzbuch vom 10. Mai 1897 zuletzt geändert durch Artikel 1 Gesetz vom 24.02.2000 |
| 4 | Koller, Transportrecht (Kommentar), 4. Auflage, München 2000, § 412 HGB Anmerkung 5 |
| 5 | Koller, a.a.O. § 412 HGB Anmerkung 41 ff. |
| 6 | Palandt, Bürgerliches Gesetzbuch (Kommentar), 57. Auflage, München 1998, § 133 Anmerkung 20 |
| 7 | Koller, a.a.O., § 407 HGB, Anmerkung 7 |
| 8 | Koller, a.a.O., § 407 HGB, Anmerkung 5 |
| 9 | Begrenzt auf den 3fachen Betrag der Fracht, vgl. § 431 Abs. 3 HGB |
| 10 | Bürgerliches Gesetzbuch vom 18. August 1896 zuletzt geändert durch Gesetz vom 27.06.2000 |
| 11 | früher: "gefahrgeneigten Tätigkeit" |
| 12 | Verordnung über die innerstaatliche und grenzüberschreitende Beförderung gefährlicher Güter auf der Straße und mit Eisenbahnen (Gefahrgutverordnung Straße und Eisenbahn - GGVSE -) vom 11. Dezember 2001 |
| 13 | Allgemeine Spediteurbedingungen, Stand 1. Januar 2002 |
| 14 | Vertragsbedingungen für den Güterkraftverkehr- und Logistikuntemehmer, Fassung vom 23.07.1998 |
| 15 | Gesetz zur Regelung des Rechts der allgemeinen Geschäftsbedingungen (AGB-Gesetz) in der Fassung der Bekanntmachung vom 29. Juni 2000 |
| 16 | Koller, a.a.O., vor Ziff. 1 DDSp Anmerkung 1 und § 1 VGBL Anmerkung 1 |
| 17 | Allgemeine Leistungsbedingungen der DB Cargo AG (Stand 1.7.1998) |
| 18 | Koller, a.a.O., ALB-Cargo, Anmerkung 1 zu 5 |
| 19 | Gesetz über Ordnungswidrigkeiten vom 19. Februar 1987 zuletzt geändert durch Gesetz vom 25.08.1998 |
| 20 | Europäisches Übereinkommen für die internationale Beförderung gefährlicher Güter auf der Straße, Anlage a und B zum ADR in der Fassung der 15. ADR-Änderungsverordnung vom 15. Juni 2001. |
| 21 | Gesetz über die Beförderung gefährlicher Güter ( Gefahrgutbeförderungsgesetz) in der Fassung der Bekanntmachung vom 15. Dezember 2001 |
| 22 | Richtlinien zur Durchführung der Gefahrgutverordnung Straße und Eisenbahn (GGVSE-Durchführungsrichtlinien RSE) vom 11. Dezember 2001, zu § 10 Ordnungswidrigkeiten |
| 23 | OLG Koblenz, 22.02.1988 - 1 Ss 72/88 |
| 24 | Zu § 9 Verantwortlichkeiten, 9.4 |
| 25 | Straßenverkehrs-Ordnung vom 16. November 1970 zuletzt geändert durch Verordnung vom 25.06.1998 |
| 26 | Straßenverkehrs-Zulassungs-Ordnung in der Fassung der Bekanntmachung vom 28. September 1988 zuletzt geändert durch Verordnung vom 23.03.2000 sowie Unfallverhütungsvorschriften der Berufsgenossenschaften Allgemeine Pflichten zur Ladungssicherung |
| 27 | früher: VBG 12 |
| 28 | vgl. Göhler, Ordnungswidrigkeitengesetz (Kommentar), 11. Auflage, München 1995, § 9 Anmerkung 19 ff. |
| 29 | so z.B. OLG Stuttgart, 27.12.82 - 1 Ss 858/82 |
| 30 | Allgemeine Verwaltungsvorschrift zur Straßenverkehrs-Ordnung vom 22.10.1998 |
| 31 | Jagusch/Hentschel, Straßenverkehrsrecht (Kommentar), 33. Auflage, München 1995, § 22 StVO Anmerkung 13 |
| 32 | Gesetz über technische Arbeitsmittel (Gerätesicherheitsgesetz) in der Fassung der Bekanntmachung vom 23. Oktober 1992, zuletzt geändert durch Gesetz vom 24.04.1998 |
| 33 | Ständige Rechtsprechung, z.B. OLG Düsseldorf, 10.8.92 - 5 Ss Owi/189/92 - Owi 118/921; vgl. auch Jagusch/Hentschel, a.a.O., § 23 StVO Anmerkung 27 |
| 34 | Verordnung über Regelsätze für Geldbußen und über die Anordnung eines Fahrverbotes wegen Ordnungswidrigkeiten im Straßenverkehr (Bußgeldkatalog-Verordnung) vom 13. November 2001, in Kraft getreten am 1. Januar 2002 |
| 35 | Strafgesetzbuch in der Fassung der Bekanntmachung vom 13. November 1998 zuletzt geändert durch Gesetz vom 11.08.1999 |
![]() |
ENDE | ![]() |
(Stand: 24.02.2022)
Alle vollständigen Texte in der aktuellen Fassung im Jahresabonnement
Nutzungsgebühr: ab 105.- € netto
(derzeit ca. 7200 Titel s.Übersicht - keine Unterteilung in Fachbereiche)
Die Zugangskennung wird kurzfristig übermittelt
? Fragen ?
Abonnentenzugang/Volltextversion