zurück

C.2.5 Rechnerische Ermittlung der Einschränkungen

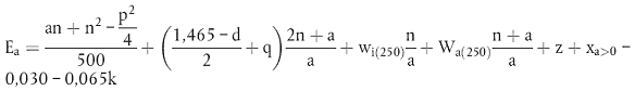
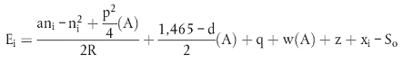
Die Einschränkungen Ei oder Ea werden anhand folgender grundlegender Beziehungen bestimmt:

Einschränkung Ei oder Ea = Verschiebung Di oder Da- Ausladung So

innere Einschränkungen

äußere Einschränkungen

In diesen Formeln bedeutet:

xi und xa Sonderglieder für die Berechnung von Wagen mit sehr großem Drehzapfenabstand

C.2.5.1 Formelglieder zur Berechnung der Verschiebungen (D)

Aufgrund der jeder Fahrzeugart eigenen Besonderheiten sind Ergänzungsglieder notwendig, und Parameter können die in der Folge aufgeführten Glieder verändern:

C.2.5.1.1 Glied für den Ausschlag des Fahrzeugs im Gleisbogen (geometrische Ausragung) = Geometrische Ausragung eines betrachteten Querschnitts nach der Innenseite eines Gleisbogens mit dem Radius R (Problem der Kastenquerschnitte, die zwischen den Drehzapfen bzw. Endradsätzen liegen). = Geometrische Ausragung eines betrachteten Querschnitts nach der Außenseite eines Gleisbogens mit 2R dem Radius R (Problem der Kastenquerschnitte, die außerhalb der Drehzapfen bzw. Endradsätze liegen).

Anmerkung: Für Sonderfahrzeuge mit besonderen Drehgestell-Konfigurationen müssen diese Formeln ggf. angepasst werden.

C.2.5.1.2 Formelglieder für die Querspiele

Diese Spiele werden direkt an den Radsätzen oder den Drehzapfen gemessen, wobei alle Bauteile die größte Abnutzung aufweisen.

Die Stellungen der Fahrzeuge im Gleis (siehe Punkt 7.2.2) ermöglichen es, die Spiele in den Formeln sowie den maßgebenden Schränkungskoeffizienten zu bestimmen und deren Auswirkung auf den betrachteten Querschnitt zu berechnen.

(1,465 - d) / 2 = Spurspiel im Gleis
q = Spiel zwischen Radsätzen und Drehgestellrahmen bzw. zwischen Radsätzen und Untergestell. Dies ist die Querverschiebung zwischen den Radsatzlagergehäusen und den Wellenschenkeln, zuzüglich derjenigen zwischen dem Untergestell und den Radsatzlagergehäusen.
w = Spiele der Drehzapfen oder der Wiegen Dies ist die mögliche Querverschiebung der Drehzapfen oder der Wiegen aus der Mittellage heraus nach jeder Seite, bzw. bei Fahrzeugen ohne Drehzapfen die mögliche Querverschiebung des Untergestells gegenüber den Drehgestellrahmen aus der Mittellage heraus, jeweils in Abhängigkeit vom Gleisbogenradius und der Verschieberichtung.

Ist die Größe von w in Abhängigkeit vom Gleisbogenradius variabel, so gilt:

Entsprechend den Besonderheiten jeder Fahrzeugart kann dieses Glied auch w", wi, w"i usw. heißen; es kann auch der Summe bestimmter dieser Bezeichnungen entsprechen: wi+ wa usw. Jedes dieser Glieder kann unter Umständen mit dem entsprechenden Schränkungskoeffizienten versehen sein.

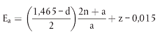
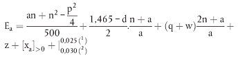
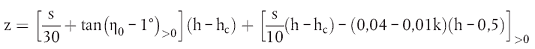
C.2.5.1.3 Quasistatische Verschiebungen (Glied für die Neigung des Fahrzeugs auf seiner Federung und für seine Unsymmetrie, wenn diese 1° übersteigt)

Eine graphische Darstellung der verschiedenen Glieder von z findet sich unter Punkt C.2.4.2.3 "Quasistatisch Verschiebungen".

z = Quasistatische Verschiebung gegenüber der Mittellage im Gleis. Diese quasistatische Verschiebung setzt sich aus zwei Teilen zusammen:

tan [η0- 1° ] |h - hc|: Teil, der auf die Unsymmetrie zurückgeht (Querverschiebung infolge des Teils der Unsymmetrie, der 1° übersteigt)

Diese Summe wird ggf. vergrößert durch:: Glied, das einen Überhöhungsfehlbetrag bzw. einen Überhöhungsüberschuss von 0,2 m berücksichtigt, und das unter den in Punkt 1.4.2.3 dargelegten Bedingungen angewandt wird.

Für die abgefederten Teile, in einer Höhe h, ergeben obengenannte Glieder in den Formeln folgenden Wert:

  1. Sonderfälle

    Für die nicht abgefederten Teile z = 0.


  2. Einfluss der Gleitstückspiele von Drehgestellgüterwagen
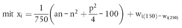
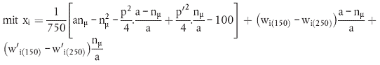
  3. Sonderglieder xi und xa

    Glieder zur Berichtigung bestimmter Formeln für die drehzapfenfernen Teile von Fahrzeugen mit sehr großem Radsatzstand und/oder Überhang, die den Raumbedarf in Gleisbögen zwischen 250 und 150 m begrenzen:

    Man stellt fest, dass:

    Besondere Bemerkung zu xa:

    Das Glied xa wirkt sich nicht auf die Einschränkungsberechnung derjenigen Fahrzeuge aus, deren Überhang die für die Automatische Kupplung festgelegten Bedingungen erfüllt.

C.3 Begrenzungslinie G1

1991 wurde beschlossen, die Regeln der statischen Begrenzungslinie nicht mehr für den Bau von Güterwagen anzuwenden.

Diese Regeln sind somit nur noch für Begrenzungslinien anwendbar, die speziell für Ladungen definiert wurden wie z.B. die Begrenzungslinien GA, GB, GBl, GB2 und GC.

Nachstehend aufgeführte Regeln für die statische Begrenzungslinie beinhalten:

  1. eine Bezugslinie (obere Teile)
  2. die dieser Bezugslinie zugeordneten Einschränkungsformeln.

C.3.1 Bezugslinie der statischen Begrenzungslinie

Bild C14

C.3.1.1 Einschränkungsformeln

Querschnitte zwischen den Endradsätzen oder den Drehzapfen

Querschnitte außerhalb der Endradsätze oder der Drehzapfen

C.3.2 Bezugslinie der kinematischen Begrenzungslinie G1

C.3.2.1 Der allen Fahrzeugarten gemeinsame Teil

Bild C15

Die kinematische Bezugslinie G1 berücksichtigt die Lage der festen Anlagen und der restriktivsten Gleisabstände, die auf europäischer Ebene bei den UIC-Bahnen vorkommen.

Sie ist in zwei Bereiche unterteilt, deren Grenze die Höhe von 400 mm bildet, die gleichzeitig auch die Berechnung der Ausladungen begrenzt:

Der unter 130 mm über SO liegende Teil ist je nach Fahrzeugart unterschiedlich.

Besetzte Reisezugwagen müssen die Bestimmungen in Punkt C.3.2.2 einhalten, wenn sie sich auf einem vertikal nicht gekrümmten Gleis befinden.

Gepäckwagen und Güterwagen - mit Ausnahme von Tiefladewagen und bestimmten Wagen des Kombinierten Verkehrs - müssen leer und beladen Punkt C.3.2.3 erfüllen.

Bei Güterwagen, die zum Übergang auf das finnische Streckennetz vorgesehen sind, müssen die unteren Wagenteile die Begrenzungslinie gemäß den geltenden Normen einhalten.

Güterwagen, die Ablaufberge mit einem Krümmungshalbmesser von 250 m sowie Gleisbremsen und andere Rangiereinrichtungen oder Hemmeinrichtungen nicht befahren dürfen,

C.3.2.2 Unter 130 mm über SO liegender Teil für Fahrzeuge, die weder Gleisbremsen noch andere Rangier- und Hemmeinrichtungen in Arbeitsstellung befahren dürfen

Bestimmte Einschränkungen der Begrenzungslinie sind im Bereich der Radsätze beim Befahren von Unterflurradsatzdrehmaschinen zu beachten.

Bild C16

a) Raum für von den Rädern weiter entfernte Bauteile

b) Raum für Bauteile in unmittelbarer Nachbarschaft der Räder

c) Raum für die Bürsten der Krokodile

d) Raum für die Räder und andere Bauteile, die mit den Schienen in Berührung kommen

e) Raum, der ausschließlich von den Rädern eingenommen werden darf

1) Grenzlinie für die außerhalb der Endradsätze liegenden Bauteile (Schienenräumer, Sandstreuer usw.), die das Überfahren von Knallkapseln gewährleistet. Diese Grenzlinie braucht nicht von den Bauteilen eingehalten werden, die zwischen den Rädern liegen, vorausgesetzt, sie bleiben im Radschatten.

2) Unterstellte größte Breite der Spurkränze bei Vorhandensein von Radlenkern

3) Tatsächliche Grenzlage der äußeren Stirnfläche der Räder und von Bauteilen, die mit den Rädern verbunden sind.

4) Wenn sich das Fahrzeug in beliebiger Stellung in einem Gleisbogen mit dem Radius R = 250 m (dem kleinsten Radius für die Anbringung von Krokodilen) und der Spurweite von 1.465 mm befindet, darf - mit Ausnahme der Krokodilbürste - kein Fahrzeugteil, das bis auf ein Maß von 100 mm oder weniger über Schienenoberkante herabreichen kann, darf weniger als 125 mm von der Gleismitte entfernt sein.
Bei den Bauteilen zwischen den Drehgestellen beträgt dieses Maß 150 mm.

5) Tatsächliche Grenzlage der inneren Stirnfläche der Räder, wenn der Radsatz an der gegenüberliegenden Schiene anliegt. Dieses Maß hängt ab von der Spurerweiterung des Gleises.

C.3.2.3 Unter 130 mm über SO liegender Teil für Fahrzeuge, die Ablaufberge sowie Gleisbremsen und andere Rangier- und Hemmeinrichtungen in Arbeitsstellung befahren dürfen

Bild C17

a) Raum für von den Rädern weiter entfernte Bauteile

b) Raum für Bauteile in unmittelbarer Nachbarschaft der Räder

c) Raum für den Auswurf von vereinheitlichten Hemmschuhen

d) Raum für die Räder und andere Bauteile, die mit den Schienen in Berührung kommen

e) Raum, der ausschließlich von den Rädern eingenommen werden darf

f) Raum für die Gleisbremsen in gelöster Stellung

(1) Grenzlinie für die außerhalb der Endradsätze liegenden Bauteile (Schienenräumer, Sandstreuer usw.), die das Überfahren von Knallkapseln gewährleistet.

(2) Unterstellte größte Breite der Spurkränze bei Vorhandensein von Radlenkern.

(3) Tatsächliche Grenzlage der äußeren Stirnfläche der Räder und von Bauteilen, die mit den Rädern verbunden sind.

(4) Dieses Maß stellt auch die größte Höhe der vereinheitlichten Hemmschuhe dar, die zum Festlegen bzw. zum Abbremsen der Fahrzeuge verwendet werden.

(5) Kein Fahrzeugbauteil darf in diesen Raum hineinragen.

(6) Tatsächliche Grenzlage Stirnfläche der Räder, wenn der Radsatz an der gegenüberliegenden der inneren Schiene anliegt. Dieses Maß hängt ab von der Spurerweiterung des Gleises.

(7) Siehe Punkt "Anwendung von Rangiereinrichtungen in Gleisbögen ".

C.3.2.3.1 Anwendung von Rangiereinrichtungen in Gleisbögen

Gleisbremsen und andere Rangier- oder Hemmeinrichtungen, die in Arbeitsstellung die Maße 115 bzw. 125 mm erreichen können, insbesondere Hemmschuhe von 125 mm Höhe, dürfen in Gleisbögen mit einem Radius von R ≥ 150 m angebracht werden.

Bild C18

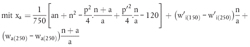
Hieraus folgt, dass die Grenze für die Anwendung der Maße 115 bzw. 125 mm, die sich in einem gleichbleibenden Abstand (80 mm) von der Schieneninnenkante befindet, gemäß obenstehendem Bild C17 in einer veränderlichen Entfernung D von der Wagenlängsachse liegt, die sich - mit Werten in Metern - wie folgt errechnet (Angaben in m)

Anmerkung: (1) Im besonderen Fall der Anwendung von Rangiereinrichtungen kann der Einfluss der Spiele q+w als vernachlässigbar angesehen werden.

C.3.3 Zulässige Ausladungen So (S)

Die tatsächlichen Ausladungen S dürfen die Werte So der nachstehenden Tabelle nicht überschreiten.

Wert der Ausladungen So1

Fahrzeugart Gleis Für die Berechnung von Ei3 Für die Berechnung von Ea3
Querschnitte zwischen den Endradsätzen der Fahrzeuge ohne Drehgestelle oder zwischen den Drehzapfen der Fahrzeuge mit Drehgestellen Querschnitte außerhalb der Endradsätze der Fahrzeuge ohne Drehgestelle oder außerhalb der Drehzapfen der Fahrzeuge mit Drehgestellen
h ≤ 0,400 h > 0,400 h ≤ 0,400 h > 0,400
Alle Triebfahrzeuge oder Wagen im geraden Gleis 0,015 0,015 0,015 0,015
Triebfahrzeuge, Wagen mit Einzelradsätzen, einzeln betrachtete Drehgestelle sowie die damit verbundenen Bauteile im 250 m-Bogen 0,025 0,030 0,025 0,030
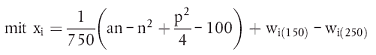
im 150 m-Bogen 0,025 + (1002/ 750) = 0,1583 0,030 + (1002/ 750) = 0,1633 0,025 + (1202/ 750) = 0,185 0,030 + (1202/ 750) = 0,190
Wagen mit Drehgestellen oder vergleichbare Wagen im 250 m-Bogen 0,010 0,015 0,025 0,030
im 150 m-Bogen 0,010 + (1002/ 750) = 0,1433 0,015 + (1002/ 750) = 0,1483 0,025 + (1202/ 750) = 0,185 0,030 + (1202/ 750) = 0,190
1) Diese Werte sind mit dem Wert der Spurweite l berechnet, der zu der größten Einschränkung E führt. Dieser Wert ist immer L = l max. =1,465 m außer bei der inneren Einschränkung Ei der Wagen mit Drehgestellen oder vergleichbaren Wagen, für die man den Wert l min. = 1,435 m nehmen muss. Außerdem beträgt die bei den Formeln der inneren Einschränkung Ei berücksichtigte Spurweite für Triebwagen mit einem als "Triebdrehgestell" anzusehenden Drehgestell und einem Laufdrehgestell bzw. einem als "Laufdrehgestell" anzusehenden Drehgestell (siehe Punkt 7.2.2.1) 1,435 m für das Laufdrehgestell und 1,465 m für das Triebdrehgestell. Jedoch kann man bei der Ermittlung der Einschränkungen durch graphische Verfahren der Einfachheit halber für beide Drehgestelle l = 1,435 m im geraden Gleis und 1,465 m im Gleisbogen von 250 m ansetzen. Im letzteren Fall wird die Wagenkastenbreite im Bereich des Laufdrehgestells geringfügig kleiner.

2) Glied xi oder xa der Einschränkungsformeln

3) Diese Werte gelten nicht für die Bezugslinie der Ausrüstungsteile auf dem Dach.

C.3.4 Einschränkungsformeln

Anmerkung: Die Formeln der nachstehenden Absätze sind für die Berechnung der Einhaltung der Begrenzungslinie von Gelenkfahrzeugen zu verwenden, deren Radsatzachsen oder Drehzapfen mit den Gelenkachsen der Wagenkästen übereinstimmen. Für andere Bauformen von Gelenkfahrzeugen sollten die Formeln an die tatsächlichen geometrischen Verhältnisse angepasst werden.

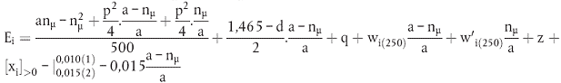
C.3.4.1 Einschränkungsformeln für Triebfahrzeuge (Maße in Metern)

Triebfahrzeuge, bei denen das Spiel w unabhängig von der Gleiskrümmung ist oder sich linear mit ihr verändert

Innere Einschränkungen Ei (mit n = ni)

Querschnitte zwischen den Endradsätzen der Triebfahrzeuge ohne Drehgestelle oder zwischen den Drehzapfen der Triebfahrzeuge mit Drehgestellen.

ist die Einstellung des Fahrzeugs im geraden Gleis ausschlaggebend:

( 101)

ist die Einstellung des Fahrzeugs im Gleisbogen ausschlaggebend:

( 102)
( 103)

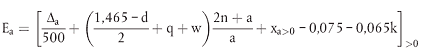
Äußere Einschränkungen Ea (mit n = na)

Querschnitte außerhalb der Endradsätze der Triebfahrzeuge ohne Drehgestelle oder außerhalb der Drehzapfen der Triebfahrzeuge mit Drehgestellen.

ist die Einstellung des Fahrzeugs im geraden Gleis ausschlaggebend:

( 106)

ist die Einstellung des Fahrzeugs im Gleisbogen ausschlaggebend:

( 107)
  ( 108)

ANMERKUNGEN

(1) Dieser Wert gilt für Fahrzeugteile bis zu einer Höhe von 0,400 m über SO sowie für diejenigen Fahrzeugteile, welche bei Berücksichtigung der Abnutzungen und senkrechten Ausschläge unter dieses Maß hinunterreichen können.

(2) Dieser Wert gilt für Fahrzeugteile in einer Höhe von mehr als 0,400 m über SO, außer den in der Fußnote (1) genannten.

Triebfahrzeuge, bei denen das Spiel w nichtlinear von der Gleiskrümmung abhängt (Ausnahmefall)

Innere Einschränkungen Ei (mit n = ni)

Wenn ∞> R ≥ 250

( 104)

wenn 250 > R ≥ 150

( 105)3

Äußere Einschränkungen Ea (mit n = na)

wenn ∞> R ≥ 250

( 109)

wenn 250 > R ≥ 150

( 110)3

ANMERKUNGEN

(1) Dieser Wert gilt für Fahrzeugteile bis zu einer Höhe von 0,400 m über SO sowie für diejenigen Fahrzeugteile, welche bei Berücksichtigung der Abnutzungen und senkrechten Ausschläge unter dieses Maß hinunterreichen können.

(2) Dieser Wert gilt für Fahrzeugteile in einer Höhe von mehr als 0,400 m über SO, außer den in der Fußnote (1) genannten.

(3) In der Praxis sind die Formeln ( 105) und ( 110) nicht von Bedeutung, die Veränderung des Spiels w bei gleisbogenabhängigen Anschlägen tritt bei R > 250 ein.

C.3.4.2 Einschränkungsformeln für Triebwagen (Maße in Metern)

Formeln für Triebwagen mit einem Triebdrehgestell und einem Laufdrehgestell (siehe nachstehende Tabelle)

Triebwagen mit: Wert µ für jedes Drehgestell Einstellungen im Gleis Punkt 2.4.2.2 Einschränkungsformeln
zwei Triebdrehgestellen
zwei als "Laufdrehgestelle" angesehenen Drehgestellen
µ ≥ 0,2
0 < µ < 0,2
Fälle 2 und 5
Fälle 2 und 7
§ 3.4.1
§ 3.4.3
einem als "Laufdrehgestell" angesehenen Drehgestell
und einem Laufdrehgestell
0 < µ < 0,2
µ = 0
 
1 Triebdrehgestell und
1 Laufdrehgestell
oder als "Laufdrehgestell" angesehenem Drehgestell
µ ≥ 0,2
µ = 0
0 < µ < 0,2
Fälle 3 und 6 § 3.4.23
oder
§ 3.4.13

Innere Einschränkungen Ei4

Querschnitte zwischen den Drehzapfen

( 101a)
( 102a)
( 103a)

ANMERKUNGEN

3) Die durch die Formeln der in Punkt 3.4.1 und 3.4.2 angegebenen Ergebnisse sind sich sehr ähnlich. Infolgedessen werden im allgemeinen die Formeln in Punkt 2.4.1 benutzt; diejenigen in Punkt 3.4.2.bleiben den Fällen vorbehalten, bei denen der erzielte Einschränkungsgewinn für das halbe Breitenmaß der Fahrzeugbegrenzungslinie besonders bedeutend ist (0 bis 12,5 mm je nach dem betrachteten Querschnitt des Fahrzeugs).

4) Die für einen bestimmten Wert von n maßgebende Einschränkung ist die größte von denen, die sich aus den folgenden Formeln ergeben:

Äußere Einschränkungen Ea4 am Triebdrehgestell (in Fahrtrichtung vorn)

Querschnitte außerhalb der Drehzapfen (mit n = na)

( 106a)
( 107a)
( 108a)

Äußere Einschränkungen Ea4 am Laufdrehgestell (in Fahrtrichtung vorn)

Querschnitte außerhalb der Drehzapfen (mit n = na)

( 106b)
( 107b)
( 108b)

ANMERKUNGEN

4) Die für einen bestimmten Wert von n maßgebende Einschränkung ist die größte von denen, die sich aus den folgenden Formeln ergeben:

1) Dieser Wert gilt für Fahrzeugteile bis zu einer Höhe von 0,400 m über SO sowie für diejenigen Fahrzeugteile, welche bei Berücksichtigung der Abnutzungen und senkrechten Ausschläge unter dieses Maß hinunterreichen können.

2) Dieser Wert gilt für Fahrzeugteile in einer Höhe von mehr als 0,400 m über SO, außer den in der vorausgehenden Fußnote (1) erwähnten.

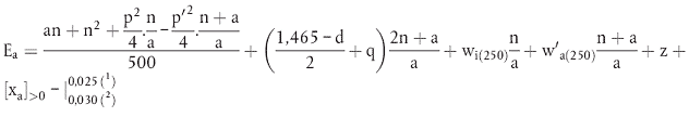
C.3.4.3 Einschränkungsformeln für Reisezugwagen, Beiwagen und Steuerwagen (Maße in Metern)

a) Für Reisezugwagen mit Drehgestellen, ausgenommen die Drehgestelle selbst und die mit ihnen verbundenen Bauteile.

Reisezugwagen, bei denen das Spiel w von der Gleiskrümmung unabhängig ist oder sich linear mit ihr verändert.

Anmerkung: Die nachstehenden Formeln sind auch zu verwenden für die Berechnung der Begrenzungslinie der Reisezugwagen mit Einzelradsätzen.

Innere Einschränkungen Ei

Querschnitte zwischen den Drehzapfen (mit n = ni)

ist die Einstellung des Fahrzeugs im geraden Gleis ausschlaggebend:

( 201)

ist die Einstellung des Fahrzeugs im Gleisbogen ausschlaggebend:

( 202)
( 203)

ANMERKUNGEN

(1) Dieser Wert gilt für Fahrzeugteile bis zu einer Höhe von 0,400 m über SO sowie für diejenigen Fahrzeugteile, welche bei Berücksichtigung der Abnutzungen und senkrechten Ausschläge unter dieses Maß hinunterreichen können.

(2) Dieser Wert gilt für Fahrzeugteile in einer Höhe von mehr als 0,400 m über SO, außer den in der vorausgehenden Fußnote (1) erwähnten.

Äußere Einschränkungen Ea

Querschnitte außerhalb der Drehzapfen (mit n = na)

ist die Einstellung des Fahrzeugs im geraden Gleis ausschlaggebend:

ist die Einstellung im Gleisbogen ausschlaggebend:

mit:

ANMERKUNGEN

(1) Dieser Wert gilt für Fahrzeugteile bis zu einer Höhe von 0,400 m über SO sowie für diejenigen Fahrzeugteile, welche bei Berücksichtigung der Abnutzungen und senkrechten Ausschläge unter dieses Maß hinunterreichen können.

(2) Dieser Wert gilt für Fahrzeugteile in einer Höhe von mehr als 0,400 m über SO, außer den in der vorausgehenden Fußnote (1) erwähnten.

Reisezugwagen, bei denen sich das Spiel w in Abhängigkeit von der Gleiskrümmung nichtlinear verändert.

Für das gerade Gleis sind die Einschränkungen nach den Formeln ( 201) und (206) zu berechnen.

Für Gleisbögen müssen die Einschränkungen nach den Formeln ( 204), ( 205), ( 209) und ( 210) für R = 150 m und 250 m berechnet werden.

Anmerkung: Für R = 250 m sind die Formeln ( 204) und ( 209) identisch mit den Formeln ( 202) und (207).

Außerdem müssen die Formeln ( 204), ( 205) und ( 209), ( 210) für den Wert von R ausgerechnet werden, für den 1/R eine Diskontinuität aufweist, d. h. der Wert von R, von dem an wieder ein Spiel gegenüber den Anschlägen vorhanden ist.

Für jeden Querschnitt des Reisezugwagens ist die sich bei Anwendung der vorstehenden Formeln ergebende größte Einschränkung anzuwenden, wobei derjenige Wert von R maßgebend ist, bei dem der Klammerausdruck am größten wird.

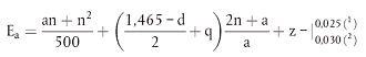
Innere Einschränkungen Ei (mit n = ni)

Wenn ∞> R ≥ 250

( 204)

Wenn 250 > R ≥ 150

( 205)3

Äußere Einschränkungen Ea (mit n = na)

Wenn ∞> R ≥ 250

( 209)

Wenn 250 > R ≥ 150

( 210)3

ANMERKUNGEN

(1) Dieser Wert gilt für Fahrzeugteile bis zu einer Höhe von 0,400 m über SO sowie für diejenigen Fahrzeugteile, welche bei Berücksichtigung der Abnutzungen und senkrechten Ausschläge unter dieses Maß hinunterreichen können.

(2) Dieser Wert gilt für Fahrzeugteile in einer Höhe von mehr als 0,400 m über SO, außer den in der vorausgehenden Fußnote (1) erwähnten.

(3) In der Praxis sind die Formeln ( 205) und ( 210) nicht von Bedeutung, die Veränderung des Spiels w bei gleisbogenabhängigen Anschlägen tritt bei R > 250 ein.

b) Für Drehgestelle und die mit ihnen verbundenen Bauteile

Die anzuwendenden Einschränkungsformeln sind unter § 4.2.1.8.2 angegeben. Der Abstand zwischen den Endradsätzen der Drehgestelle ist in den meisten Fällen so, dass die obengenannten Formeln ( 201) und (206), identisch mit den Formeln ( 101) und ( 106) zur Anwendung kommen.

C.3.4.4 Einschränkungsformeln für Güterwagen (Maße in Metern)

a) Für Güterwagen mit Einzelradsätzen sowie für einzeln betrachtete Drehgestelle und die mit ihnen verbundenen Teile (w = 0)

Bei Güterwagen mit 2 Radsätzen kann für Bauteile mit einer Höhe unter 1,17 m über SO das Glied z der Formeln ( 301) bis (307) um 0,005 m verringert werden, wenn (z-0,005) > 0 ist. z ist Null zu setzen, wenn (z-0,005) ≤ 0 ist.

  1. Innere Einschränkungen Ei- Querschnitte zwischen den Endradsätzen (mit n = ni)

    wenn ist die Einstellung des Fahrzeugs im geraden Gleis ausschlaggebend:

    ( 301)

    wenn ist die Einstellung im Gleisbogen ausschlaggebend:

    ( 302)
  2. Äußere Einschränkungen Ea - Querschnitte außerhalb der Endradsätze (mit n = na)

    wenn ist die Einstellung des Fahrzeugs im geraden Gleis ausschlaggebend:

    ( 306)

    wenn ist die Einstellung im Gleisbogen ausschlaggebend:

      ( 307)

ANMERKUNGEN

1) Dieser Wert gilt für Fahrzeugteile bis zu einer Höhe von 0,400 m über SO sowie für diejenigen Fahrzeugteile, welche bei Berücksichtigung der angegebenen Abnutzungen und senkrechten Ausschläge unter dieses Maß hinunterreichen können.

2) Dieser Wert gilt für Fahrzeugteile in einer Höhe von mehr als 0,400 m über SO, außer den in der vorausgehenden Fußnote (1) erwähnten.

b) Güterwagen mit Drehgestellen

Güterwagen mit Drehgestellen, deren Spiele als konstant betrachtet werden mit Ausnahme der Drehgestelle selbst und der mit ihnen verbundenen Bauteile.

Besondere Bemerkung zur Berechnung von z: siehe Punkt 1.5.1.3.

  1. - Innere Einschränkungen Ei- Querschnitte zwischen den Drehzapfen (mit n = ni)

    Wenn ist die Einstellung des Fahrzeugs im geraden Gleis ausschlaggebend:

    ( 311)

    Wenn ist die Einstellung im Gleisbogen ausschlaggebend:

    ( 312)
    ( 313)
  2. Äußere Einschränkungen Ea - Querschnitte außerhalb der Drehzapfen (mit n = na)

    Wenn ist die Einstellung des Fahrzeugs im geraden Gleis ausschlaggebend:

    ( 316)

    Wenn ist die Einstellung im Gleisbogen ausschlaggebend:

    ( 317)
    ( 318)

ANMERKUNGEN

(1) Dieser Wert gilt für Fahrzeugteile bis zu einer Höhe von 0,400 m über SO sowie für diejenigen Fahrzeugteile, welche bei Berücksichtigung der angegebenen Abnutzungen und senkrechten Ausschläge unter dieses Maß hinunterreichen können:

(2) Dieser Wert gilt für Fahrzeugteile in einer Höhe von mehr als 0,400 m über SO, außer den in der vorausgehenden Fußnote (1) erwähnten.

C.3.5 Bezugslinie der Stromabnehmer und der spannungsführenden nicht isolierten Bauteile auf dem Dach

Bild C19

Anmerkung: Für Fahrzeuge, die auf elektrifizierten Strecken verkehren, können die schraffierten Bereiche für die Durchfahrt mit abgesenkter Stromabnehmerwippe ohne Überschreitung der Begrenzungslinie in Anspruch genommen werden.

Auf nicht elektrifizierten Strecken können vorbehaltlich besonderer Studien der Bahnen die gleichen Möglichkeiten vorgesehen werden.

C.3.6 Mit der Bezugslinie verbundene Regeln zur Bestimmung der Begrenzungslinie

C.3.6.1 Triebfahrzeuge mit Stromabnehmern Stromabnehmer in angehobener Stellung

Die vorliegende Norm bezieht sich auf Eigenschaften von Stromabnehmern von Normalspur-Fahrzeugen.

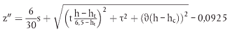
Damit die mit Stromabnehmern ausgerüsteten Triebfahrzeuge die Grenzstellung einhalten können, die sich aus der Bezugslinie gemäß Punkt C.2.4 ergibt, müssen die Eigenschaften dieser Fahrzeuge (Spiele und Neigungskoeffizient des die Stromabnehmer tragenden Teils) und die Lage des Stromabnehmers zu den Radsätzen derartig sein, dass die Größen E"i und E"a (Stromabnehmer auf 6,5 m über SO angehoben) und E"i und E"a (Stromabnehmer auf 5 m über SO angehoben) negativ oder gleich Null sind.

Diese Bedingung wird eingehalten, wenn der Fahrzeugquerschnitt, in dem sich die Wippe des Stromabnehmers bewegt, in der Nähe der Quermitte der Drehgestelle liegt, d. h. wenn n sehr klein oder gleich Null ist.

Die Grenzstellung ist dann bestimmt durch die Bezugslinie der Bauteile auf dem Dach nach Punkt C.2.5. Sie entspricht einer größten geometrischen Ausragung der Wippe des Stromabnehmers von 2,5/R.

  1. Vorausberechnungen

    Zur Bestimmung von E"i, E"a, E"i und E"a sind die folgenden Vorausberechnungen erforderlich1:

    j"i = q + wi- 0,03752

    wenn s ≤ 0,225 (allgemeiner Fall)

    wenn jedoch s > 0,225, wird

    wenn s ≤ 0,225 (allgemeiner Fall)

    wenn jedoch s > 0,225, wird

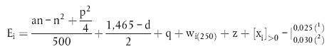
  2. Berechnungen für Querschnitte zwischen den Endradsätzen oder den Drehzapfen

    Ausdrücke für E"i und E""i (mit n = ni)

    wenn an - n2+ (p2/4) ≤ 5: ist die Einstellung im geraden Gleis ausschlaggebend

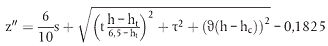
    h = 6,5 m E"i = j"i+ z" ( 111)
    h = 5 m E'"i = j"i+ z'" ( 115)

    wenn an - n2+ (p2/4) > 5: ist die Einstellung des Fahrzeugs im Gleisbogen ausschlaggebend

    h = 6,5 m ( 112)
    h = 5 m ( 116)
  3. Berechnungen für Querschnitte außerhalb der Endradsätze oder der Drehzapfen

    Ausdrücke für E"a und E'"a (mit n = na)

    wenn an - n2+ (p2/4) ≤ 5: ist die Einstellung des Fahrzeugs im geraden Gleis ausschlaggebend:

    h = 6,5 m ( 113)
    h = 5 m ( 117)

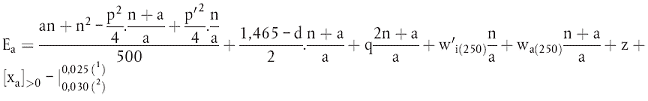
    wenn an - n2+ (p2/4) > 5: ist die Einstellung des Fahrzeugs im Gleisbogen ausschlaggebend:

    h = 6,5 m ( 114)
    h = 5 m ( 118)

______
1) Für Triebwagen ohne feste Drehzapfen siehe die Anmerkung zu Punkt 2.1.

2) Ändern sich die Spiele in Abhängigkeit vom Radius der Gleiskrümmung, ist der größte Wert wi in Höhe des Drehzapfens (reell oder fiktiv) in j"j zu verwenden; in j'a ist der größte Wert von wa und der entsprechende Wert von wi zu verwenden.

C.3.6.2 Triebwagen mit Stromabnehmern

Die Grenzstellung der Stromabnehmer eines elektrischen Triebwagens mit einem Trieb- und einem Laufgestell muss so bestimmt werden, als ob beide Drehgestelle gleich dem wären, über dem der Stromabnehmer angebracht ist.

C.3.6.3 Stromabnehmer in abgesenkter Stellung

Unter dem Vorbehalt, dass ggf. auch die Bedingungen der Isolierung zu beachten sind, muss der gesenkte Stromabnehmer voll und ganz innerhalb vorgegebenen Begrenzungslinie bleiben.

C.3.6.4 Isolationsmarge bei 25kV

Bei Fahrzeugen, die unter 25 kV fahren sollen, müssen die nicht isolierten Bauteile, die stromführend bleiben können, derart angeordnet werden, dass sie 0,170 m von der Bezugslinie entfernt liegen.

C.4 Begrenzungslinien GA, GB, GC 12

Gegenüber der Begrenzungslinie G1 haben die Begrenzungslinien GA, GB und GC im oberen Bereich größere Abmessungen.

Ladungen und Schienenfahrzeuge nach den erweiterten Begrenzungslinien GA, GB oder GC dürfen nur auf den hierfür zugelassenen Strecken verkehren. Beförderungen nach den Begrenzungslinien GA, GB und GC auf nicht hierfür zugelassenen Strecken gelten als Spezialbeförderungen.

Güter- und Reisezugwagen, die nach der Begrenzungslinie GA, GB oder GC gebaut wurden, sind durch eine Anschrift wie in Anhang B.32 festgelegt zu kennzeichnen (bleibt als Offener Punkt).

C.4.1 Bezugslinien der statischen Begrenzungslinien und dazugehörige Regeln

Die statischen Bezugslinien GA, GB und GC (siehe Bild C20) und die dazugehörigen Regeln sind ausschließlich für die Ermittlung des größten Umrisses von Ladungen vorgesehen. Sie gelten nur unter der Voraussetzung, dass der Neigungskoeffizient des Gesamtsystems Güterwagen und Ladung nicht den der Musterladung mit folgenden Eigenschaften überschreitet:

q+w=0,023 m; p = 1,8m; d = 1,41m;

J = 0,005m η0 < 1° hC = 0,5m

s = 0,3

vertikale Schwingungen 0,03m (GA, GB); 0,05m (GC)

Unter Berücksichtigung der Zentriertoleranzen dürfen die halben Breiten der Ladungen höchstens gleich den halben Breiten der um die nachstehenden Werte Ei und Ea verringerten Bezugslinien sein.

Bezugslinien der statischen Begrenzungslinien GA, GB und GC (Ladebegrenzungslinien)

Bild C20

Anmerkung: Bis zu einer Höhe von 3.220 mm entspricht die statische Bezugslinie der Begrenzungslinien GA, GB, GC der statischen Begrenzungslinie G1.

C.4.1.1 Statische Begrenzungslinien Ga und GB

  1. Für die Querschnitte zwischen den Drehzapfen oder den Endradsätzen der Fahrzeuge ohne Drehgestelle
    ( 601)

    k = (siehe Tabelle 1)


  2. Für die Querschnitte außerhalb der Drehzapfen oder der Endradsätze der Fahrzeuge ohne Drehgestelle
    ( 602)

    k = (siehe Tabelle 1)

    TABELLE 1:

    BEGRENZUNGSLINIE GA

    Wenn 3,22 < h < 3,85 m, k = (h - 3,22) / 0,63

    Wenn h ≥ 3,85 m, k = 1

    BEGRENZUNGSLINIE GB

    Wenn 3,22 < h < 4,08 m, k = (h - 3,22) / 0,86

    Wenn h ≥ 4,08 m, k = 1

C.4.1.2 Statische Begrenzungslinie GC

Unabhängig von der Höhe h sind die Einschränkungsformeln Ei und Ea für die statische Begrenzungslinie G1 anzuwenden.

C.4.2 Bezugslinien der kinematischen Begrenzungslinien und dazugehörige Regeln

Die kinematischen Bezugslinien GA, GB und GC, (siehe Bild C21) und die dazugehörigen Regeln ermöglichen anhand der Begrenzungslinie G1 die einheitliche Ermittlung der größten Abmessungen der Fahrzeuge.

Für konkret definierte Ladungen dürfen die Regeln der kinematischen Berechnungsweise angewendet werden.

Unter konkret definierten Ladungen sind zu verstehen: auswechselbare Ladeeinheiten mit bekannten Abmessungen wie Container und Wechselbehälter, die auf Tragwagen mit Aufsetzzapfen befördert werden, und Sattelauflieger mit Luftfedern im entlüfteten Zustand oder mit mechanischer Federung (mit bekanntem Neigungskoeffizienten), die auf Taschenwagen befördert werden.

Unter diesen Bedingungen ist die Einheit Wagen-Ladung wie ein einzelner Wagen normaler Bauweise anzusehen.

Bezugslinien der kinematischen Begrenzungslinien GA, GB und GC

Bild C21

Anmerkung: Bis zu einer Höhe von 3.220 mm entspricht die Bezugslinie der Begrenzungslinien GA, GB, GC der Begrenzungslinie G1.

C.4.2.1 Triebfahrzeuge (ohne Triebwagen)

C.4.2.1.1 Kinematische Begrenzungslinien Ga und GB

  1. Fahrzeuge, bei denen das Spiel w unabhängig von der Gleiskrümmung ist oder sich linear mit ihr verändert.
    1. Bei Querschnitten zwischen den Drehzapfen oder Endradsätzen der Fahrzeuge ohne Drehgestelle

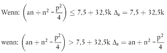
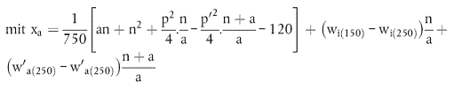
      Wenn: an - n2+ (p2/4) - 500 (W∞- Wi(250)) ≤ 7,5 + 32,5k

      ( 603)

      Wenn: an - n2+ (p2/4) - 500 (W∞- Wi(250)) > 7,5 + 32,5k

      ( 604)

      k und z= (siehe Tabelle 2)


    2. Bei Querschnitten außerhalb der Drehzapfen oder der Endradsätze der Fahrzeuge ohne Drehgestelle
      ( 605)

      Wenn:

      ( 606)

      mit

      k und z= (siehe Tabelle 2)

  2. Fahrzeuge, bei denen sich das Spiel w nichtlinear zur Gleiskrümmung verändert.
    1. Für Querschnitte zwischen den Drehzapfen oder Endradsätzen der Fahrzeuge ohne Drehgestelle

      Für jeden Punkt des Fahrzeugs ist die sich bei Anwendung der

      oben genannten

      • Formel ( 603)
      • der nachstehenden Formeln ( 607) und ( 608) ergebende größte Einschränkung Ei anzuwenden, wobei der Wert von R maßgebend ist, bei dem der Klammerausdruck am größten wird.
      ( 607)

      mit: ∞> R ≥ 250 m

      ( 608)

      mit: 250 > R ≥ 150 m

      k und z= (siehe Tabelle 2)


    2. Für die Querschnitte außerhalb der Drehzapfen oder der Endradsätze der Fahrzeuge ohne Drehgestelle

      Für jeden Punkt des Fahrzeugs ist die sich bei Anwendung der

      • oben genannten Formel ( 605)

        der nachstehenden Formeln ( 609) und ( 610) ergebende größte Einschränkung Ea anzuwenden, wobei der Wert von R maßgebend ist, bei dem der Klammerausdruck am größten wird.
      ( 609)

      mit: ∞> R ≥ 250 m

      ( 610)

      mit: 250 > R ≥ 150 m

      k und z= (siehe Tabelle 2)

      TABELLE 2:

      BEGRENZUNGSLINIE GA

      Wenn 3,25 < h < 3,38, k = (h - 3,25) / 0,63

      Wenn h ≥ 3,88 m, k = 1

      BEGRENZUNGSLINIE GB

      Wenn 3,25 < h < 4,11, k = (h - 3,25) / 0,86

      Wenn h ≥ 4,11 m, k = 1

C.4.2.1.2 Kinematische Begrenzungslinie GC

Unabhängig von der Höhe h sind die Formeln der Bezugslinie G1 anzuwenden.

C.4.2.2 Triebwagen

Anmerkung: Die Besonderheiten der Begrenzungslinie von Triebwagen, die mit Trieb- oder Laufdrehgestellen ausgerüstet sind, sind § 3.4.2 zu entnehmen.

C.4.2.2.1 Kinematische Begrenzungslinien Ga und GB

  1. Zwischen den Drehzapfen1
    ( 603a)
    ( 604a)

    k und z= (siehe Tabelle 2)


  2. Außerhalb der Drehzapfen, beim Triebdrehgestell1
    ( 605b)
    ( 606b)

    mit:

    k und z= (siehe Tabelle 2)

_____
1) Die für einen bestimmten Wert von n maßgebende Einschränkung ist die größte von denen, die sich aus den folgenden Formeln ergeben: ( 603a) und ( 604a)

C.4.2.2.2 Kinematische Begrenzungslinie GC

Unabhängig von der Höhe h sind die Formeln der Bezugslinie G1 anzuwenden.


weiter .

umwelt-online - Demo-Version


(Stand: 03.06.2025)

Alle vollständigen Texte in der aktuellen Fassung im Jahresabonnement
Nutzungsgebühr: ab 105.- € netto

(derzeit ca. 7200 Titel s.Übersicht - keine Unterteilung in Fachbereiche)

Preise & Bestellung

Die Zugangskennung wird kurzfristig übermittelt

? Fragen ?
Abonnentenzugang/Volltextversion