![]() |
zurück | ![]() |
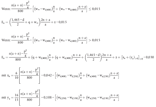
C.4.2.3 Reisezugwagen und Gepäckwagen
C.4.2.3.1 Kinematische Begrenzungslinien Ga und GB
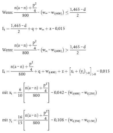
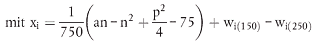
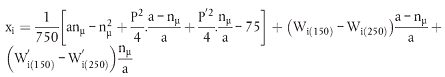
Wenn an - n2+ (p2/4) - 500(W∞- Wi(250)) ≤ 250(1,465 - d) + 32,5k
![]() |
( 611) |
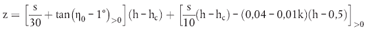
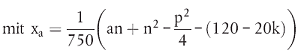
Wenn an - n2+ (p2/4) - 500(W∞- Wi(250))>250(1,465 - d) + 32,5k
![]() |
( 612) |
k und z= (siehe Tabelle 3)
Wenn
![]() |
( 613) |
Wenn
![]() |
( 614) |
k und z= (siehe Tabelle 3)
Für jeden Punkt des Fahrzeugs ist die sich bei Anwendung der:
![]() |
( 615) |
mit ∞> R ≥ 250 m
![]() |
( 616) |
mit 250 > R ≥ 150 m
k und z = (siehe Tabelle 3)
Für jeden Punkt des Fahrzeugs ist die sich bei Anwendung der:
![]() |
( 617) |
mit ∞> R ≥ 250 m
![]() |
( 618) |
mit 250 > R ≥ 150 m
k und z= (siehe Tabelle 3)
TABELLE 3:
BEGRENZUNGSLINIE GA
Wenn 3,25 < h < 3,88 m, k = (h - 3,25) / 0,63
Wenn h ≥ 3,88 m, k = 1
BEGRENZUNGSLINIE GB
Wenn 3,25 < h < 4,11 m, k = (h - 3,25) / 0,86
Wenn h ≥ 4,11 m, k = 1
1) Die für einen bestimmten Wert von n maßgebende Einschränkung ist die größte von denen, die sich aus den folgenden Formeln ergeben: ( 603a) und ( 604a)
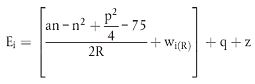
C.4.2.3.2 Kinematische Begrenzungslinie GC
Unabhängig von der Höhe h sind die Formeln der Bezugslinie G1 anzuwenden.
C.4.2.4 Güterwagen
C.4.2.4.1 Kinematische Begrenzungslinien Ga und GB
Für die Querschnitte zwischen den Endradsätzen:
Wenn an -n2 ≤ 7,5 + 32,5 k
![]() |
( 619) |
Wenn an -n2 ≤ 7,5 + 32,5 k
![]() |
( 620) |
mit k und z = (siehe Tabelle 4)
Für die Querschnitte außerhalb der Endradsätze
Wenn an + n2 ≤ 7,5 + 32,5 k
![]() |
( 621) |
Wenn an + n2 > 7,5 + 32,5 k wenn
![]() |
( 622) |
mit k und z = (siehe Tabelle 4)
Für die Querschnitte zwischen den Endradsätzen
Wenn an -n2+ (p2/4) ≤ 250(1,465 -d ) + 32,5k
![]() |
( 623) |
Wenn an -n2+ (p2/4) > 250(1,465 - d ) + 32,5k
![]() |
( 624) |
k und z = (siehe Tabelle 4)
Für die Querschnitte außerhalb der Drehzapfen
![]() |
( 625) |

![]() |
( 614) |
k und z = (siehe Tabelle 4)
TABELLE 4:
BEGRENZUNGSLINIE GA
wenn 3,25 < h < 3,88 m, k = (h - 3,25) / 0,63
wenn h ≥ 3,88 m,k = 1
BEGRENZUNGSLINIE GB
wenn 3,25 < h < 4,11 m k = (h - 3,25) / 0,86
wenn h ≥ 4,11 m, k=1
C.4.2.4.2 Kinematische Begrenzungslinie GC
Unabhängig von der Höhe h sind die Formeln der Bezugslinie G1 anzuwenden.
C.5 Begrenzungslinien, für die es bi- oder multilateraler Vereinbarungen Bedarf
Die Infrastrukturbetreiber der verschiedenen Länder können untereinander bi- oder multilaterale Vereinbarungen treffen, um den Einsatz von Fahrzeugen, die nicht nach den Begrenzungslinien G1, GA, GB, GC gebaut wurden, begrenzt auf einem Teil ihres Netzes oder auf allen Strecken zu genehmigen.
Für den Abschluss solcher Vereinbarungen reicht die Festlegung einer kinematischen Bezugslinie und der dazugehörigen Regeln aus.
C.5.1 Begrenzungslinie G2
C.5.1.1 Bezugslinie der statischen Begrenzungslinie G2
Einige Bahnen 1 gestatten auf ihren jeweiligen Strecken, auf denen die Regeln für die statische Bezugslinie G1 gelten, den Verkehr von Ladungen auf der Grundlage der nachstehenden Bezugslinie des Bildes C22.
Es sind die Regeln für die statische Bezugslinie G1 anzuwenden.
C.5.1.2 Bezugslinie der kinematischen Begrenzungslinie G2
Für die Anwendung der Bestimmungen zu den kinematischen Begrenzungslinien gilt die nachstehende kinematische Bezugslinie als gleichwertig.
C.5.2 Begrenzungslinien GBl und GB2
C.5.2.1 Allgemeines
Die Begrenzungslinien GBl und GB2 wurden auf der Grundlage bestimmter seit 1989 aufgetretener Anforderungen an den KLV erstellt.
Im Hinblick auf die Anwendung der Begrenzungslinien GBl und GB2 bedarf es des Abschlusses bi- und multilateraler Vereinbarungen unter den Infrastrukturbetreibern.
C.5.2.2 Statische Bezugslinien GBl und GB2 (Ladebegrenzungslinien)
Statische Bezugslinie GBl
Anmerkung: Bis zu einer Höhe von 3.220 mm entspricht die Bezugslinie der Begrenzungslinie GBl der Begrenzungslinie G1. Statische Bezugslinie GB2
Anmerkung: Bis zu einer Höhe von 3.220 mm entspricht die Bezugslinie der Begrenzungslinie GB2 der Begrenzungslinie G1.
C.5.2.3 Regeln der statischen Bezugslinien GBl und GB2
Die anzuwendenden Regeln sind die der Begrenzungslinie GB mit Ausnahme des in Tabelle 1 angegebenen Koeffizienten k, dessen Wert in der nachstehenden Tabelle aufgeführt ist:
BEGRENZUNGSLINIE GBl und GB2
wenn 3,22 < h < 4,18 m, k = (h - 3,22) / 0,96
wenn h ≥ 4,18 m, k = 1
C.5.2.4 Kinematische Bezugslinien GBl und GB2
Kinematische Bezugslinie GBl
Anmerkung: Bis zu einer Höhe von 3.220 mm entspricht die Bezugslinie der Begrenzungslinie GBl der Begrenzungslinie G1.
Kinematische Bezugslinie GB2
Anmerkung: Bis zu einer Höhe von 3.220 mm entspricht die Bezugslinie der Begrenzungslinie GB2 der Begrenzungslinie G1.
C.5.2.5 Regeln zu den kinematischen Bezugslinien GBl und GB2
Anzuwenden sind die für die Begrenzungslinie GB geltenden Regeln mit Ausnahme des in den Tabellen 2, 3 und 4 angegebenen Koeffizienten k, dessen Wert in der nachstehenden Tabelle aufgeführt ist:
BEGRENZUNGSLINIE GBl und GB2
wenn 3,2 5 < h < 4,21 m, k = (h - 3,25) / 0,96
wenn h ≥ 4,21 m, k = 1
C.5.3 Begrenzungslinie 3.3
C.5.3.1 Allgemeines
Die kinematische Begrenzungslinie 3.3 ist für Relationen auf dem französischen Streckennetz zu verwenden.
Diese Begrenzungslinie bietet im Vergleich zu Begrenzungslinie G1 zusätzlichen Raum im oberen Bereich. Sie ist bei Fahrzeugen (z.B. Doppelstockreisezugwagen) anzuwenden, die nur auf Strecken fahren, die für die Begrenzungslinie 3.3 zugelassen sind.
Begrenzungslinie 3.3 betrifft nur den oberen Bereich der Bezuglinie in einer Höhe von 3,25 m über SO. Der untere Teil ist der gleiche wie bei Begrenzungslinie G1. Wie jede Begrenzungslinie besteht auch sie aus einer Bezugslinie und den dazugehörigen Regeln.
C.5.3.2 Bezugslinie der kinematischen Begrenzungslinie 3.3
C.5.3.3 Regeln zur Bezugslinie zur Ermittlung der Fahrzeugbegrenzungslinie
Die Regeln zur Bezugslinie der Begrenzungslinie 3.3 entsprechen bis auf die nachstehend aufgeführten besonderen Punkte denen der Begrenzungslinie G1:
C.5.3.3.1 Zulässige Ausladungen So (S)
Darüber hinaus wird der Wert So im geraden Gleis auf 0,015 m festgelegt.
C.5.3.3.2 Quasistatische Verschiebungen z
Für die abgefederten Teile in einer Höhe h, beträgt der Wert z:
C.5.3.4 Einschränkungsformeln
Geltende Einschränkungsformeln für:
| - | Triebfahrzeuge (Lokomotiven, Triebköpfe) | Punkt C.5.3.4.1 |
| - | Triebwagen | Punkt C.5.3.4.2 |
| - | Reisezugwagen | Punkt C.5.3.4.3 |
C.5.3.4.1 Einschränkungsformeln für Triebfahrzeuge (Maße in Metern)
Triebfahrzeuge, bei denen das Spiel w unabhängig von der Gleiskrümmung ist oder sich linear mit ihr verändert
Innere Einschränkungen Ei (mit n = ni)
Querschnitte zwischen den Endradsätzen der Triebfahrzeuge ohne Drehgestelle oder zwischen den Drehzapfen der Triebfahrzeuge mit Drehgestellen.
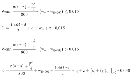
wenn an -n2+ (p2/4) - 500(W∞- Wi(250)) ≤ 67,5, ist die Einstellung des Fahrzeugs im geraden Gleis ausschlaggebend:
| Ei = [(1,465 - d) / 2] + q + W∞ + z - 0,015 | ( 101) |
wenn an -n2+ (p2/4) - 500(W∞- Wi(250)) > 67,5, ist die Einstellung im Gleisbogen ausschlaggebend:
![]() |
( 102) |
![]() |
( 103) |
Äußere Einschränkungen Ea (mit n = na)
Querschnitte außerhalb der Endradsätze der Triebfahrzeuge ohne Drehgestelle oder außerhalb der Drehzapfen der Triebfahrzeuge mit Drehgestellen.
wenn
, ist die Einstellung des Fahrzeugs im geraden Gleis ausschlaggebend:
![]() |
( 106) |
wenn
, ist die Einstellung im Gleisbogen ausschlaggebend:
![]() |
( 107) |
![]() |
( 108) |
Triebfahrzeuge, bei denen das Spiel w nichtlinear von der Gleiskrümmung abhängt (Ausnahmefall)
Für jeden Querschnitt des Triebfahrzeugs ist die sich bei Anwendung der Formeln ( 101) oder ( 106) ergebende größte Einschränkung anzuwenden, wobei der Wert von R maßgebend ist, bei dem der Klammerausdruck am größten wird.
Innere Einschränkungen Ei (mit n = ni)
Wenn ∞> R ≥ 250
![]() |
( 104) |
Wenn 250 > R ≥ 150
![]() |
( 105) |
In der Praxis sind die Formeln ( 105) und ( 110) nicht von Bedeutung, die Veränderung des Spiels w bei gleisbogenabhängigen Anschlägen tritt bei R>250 m ein.
Wenn ∞> R ≥ 250
Wenn 250 > R ≥ 150
Äußere Einschränkungen Ea (mit n = na)
Wenn ∞> R ≥ 250
![]() |
( 109) |
Wenn 250 > R ≥ 150
![]() |
( 110) |
C.5.3.4.2 Einschränkungsformeln für Triebwagen (Maße in Metern) *
Für Triebwagen mit einem Trieb- und einem Laufdrehgestell (siehe Tabelle der Begrenzungslinie G1):
Innere Einschränkungen Ei1
Querschnitte zwischen den Drehzapfen
![]() |
( 101a) |
![]() |
( 102a) |
mit:
![]() |
( 103a) |
Äußere Einschränkungen Ea2 am Triebdrehgestell (in Fahrtrichtung vorne)
Querschnitte außerhalb der Drehzapfen (mit n = na)
![]() |
( 106a) |
![]() |
( 107a) |
mit:
![]() |
( 108a) |
(1), (2) Die für einen bestimmten Wert von n maßgebende Einschränkung ist die größte von denen, die sich aus den folgenden Formeln ergeben:
Äußere Einschränkungen Ea1 am Laufdrehgestell (in Fahrtrichtung vorn)
Querschnitte außerhalb der Drehzapfen (mit n = na)
![]() |
( 106b) |
![]() |
( 107b) |
![]() |
( 108b) |
(1) Die für einen bestimmten Wert von n maßgebende Einschränkung ist die größte von denen, die sich aus den folgenden Formeln ergeben:
( 106b) oder ( 107b) und ( 108b).
C.5.3.4.3 Einschränkungsformeln für Reisezugwagen, Beiwagen und Steuerwagen (Maße in Metern)
Für Reisezugwagen mit Drehgestellen, ausgenommen die Drehgestelle selbst und die mit ihnen verbundenen Bauteile.
Reisezugwagen, bei denen das Spiel w von der Gleiskrümmung unabhängig ist oder sich linear mit ihr verändert
Innere Einschränkungen Ei
Querschnitte zwischen den Drehzapfen (mit n = ni)
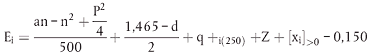
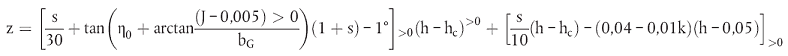
wenn an - n2+ (p2/4) - 500 (w∞- wi(250)) ≤ 250(1,465 - d) + 67,5
ist die Einstellung des Fahrzeugs im geraden Gleis ausschlaggebend:
| Ea = [(1,465 - d) / 2] + q + w∞ + z - 0,015 | ( 201) |
wenn an -n2+ (p2/4) -500(w∞- wi(250)) > 250(1,465 d) + 67,5
ist die Einstellung im Gleisbogen ausschlaggebend:
![]() |
( 202) |
![]() |
( 203) |
Äußere Einschränkungen Ea
Querschnitte außerhalb der Drehzapfen (mit n = na)
ist die Einstellung des Fahrzeugs im geraden Gleis ausschlaggebend:
![]() |
( 206) |
ist die Einstellung im Gleisbogen ausschlaggebend:
![]() |
( 207) |
![]() |
( 208) |
Reisezugwagen, bei denen das Spiel w nicht linear von der Gleiskrümmung abhängt.
Für jeden Querschnitt des Reisezugwagens ist die sich bei Anwendung der nachstehenden Formeln ( 201) oder ( 206) ergebende größte Einschränkung anzuwenden, wobei der Wert von R maßgebend ist, bei dem der Klammerausdruck am größten wird.
Innere Einschränkungen Ei (mit n = ni)
Wenn ∞ > R ≥ 150
![]() |
( 204) |
Äußere Einschränkungen Ea (mit n = na)
wenn ∞> R ≥ 250
![]() |
( 209) |
wenn 250 > R ≥ 150
![]() |
( 210) |
C.5.4 Begrenzungslinie GB-M6
C.5.4.1 Allgemeines
Die kinematische Begrenzungslinie GB-M6 ist für die Relationen auf dem belgischen Netz der SNCB zu verwenden.
Die kinematische Begrenzungslinie GB-M6 beruht auf den gleichen Grundsätzen wie Begrenzungslinie G1 und wurde an die Infrastruktur der SNCB angepasst. Auch die Einschränkungsformeln dieser Begrenzungslinie wurden hinsichtlich der zulässigen Radien und der zulässigen Ausladungen im Gleisbogen angepasst.
Die zulässigen Ausladungen sind größer als die der Begrenzungslinie G1 und ermöglichen von daher die Fahrt breiterer Fahrzeuge.
Bezüglich der Stromabnehmer lässt die belgische Infrastruktur neben den Regeln des UIC-Merkblattes 505-1, die den Einsatz von Fahrzeugen mit Stromabnehmern einer Breite von 1.950 mm erlauben, auch Stromabnehmer mit einer Breite von 1.760 mm zu, die auf Fahrzeugen mit größerem Federverhalten und folgenden Eigenschaften eingebaut sind: s ≤ 0,4 und (q + w) ≤ 0,065 m.
Die Drehgestelle und ihre Bauteile, mit denen die Fahrzeuge ausgerüstet sind, die diese Begrenzungslinie einhalten, halten die Regeln der Begrenzungslinie G1 streng ein.
Abgefederte Teile, die sich auf einer Höhe von weniger als 100 mm über SO befinden oder aufgrund vertikaler Verschiebungen auf diese Höhe abgesenkt werden können, werden nach den Bestimmungen der Begrenzungslinie G1 berechnet.
Kann ein Punkt, der sich nahe der Höhe von 1.170 mm befindet, diese Höhe infolge vertikaler Verschiebungen über- oder unterschreiten, ist die zulässige Mindestbreite entweder anhand der Formeln, die für die Teile oberhalb 1.170 mm gelten oder anhand der Formeln, die für die Teile in einer Höhe von maximal 1.170 mm gelten, zu betrachten.
Die Einschränkungsformeln für Triebfahrzeuge und Fahrzeuge im Zugverband werden auf die gleiche Weise wie bei der Begrenzungslinie G1 auf der Grundlage der Anfahrhaftreibungszahl ausgewählt.
C.5.4.2 Bezugslinie der kinematischen Begrenzungslinie GB-M6
C.5.4.3 Einschränkungsformeln
C.5.4.3.1 Triebfahrzeuge
Querschnitte zwischen den Drehzapfen:
Querschnitte außerhalb der Drehzapfen:
Querschnitte zwischen den Drehzapfen
Querschnitte außerhalb der Drehzapfen
C.5.4.3.2 Fahrzeuge im Zugverband
Querschnitte zwischen den Drehzapfen:
Querschnitte außerhalb der Drehzapfen:
Querschnitte zwischen den Drehzapfen
Querschnitte außerhalb der Drehzapfen
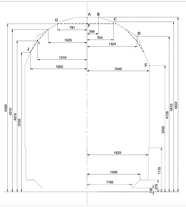
C.6 Anlage 1
C.6.1 Fahrzeugbegrenzungslinie
C.6.1.1 Bedingungen für Türen, Einstiege und Stufen
maximal um den Wert
verringert werden, gilt nur wenn wa > 0,02 m
Es ist zugelassen, Türen zu verwenden, die die Bedingungen unter a) und b) gleichzeitig erfüllen. In diesem Fall sind die Bestimmungen unter a) auch während des Öffnungsvorgangs einzuhalten.
C.7 Anlage 2
C.7.1 Fahrzeugbegrenzungslinie
C.7.1.1 Absenkung der Einfederungen für die Bereiche außerhalb des Abstützungsvielecks B, C und D
Für diese zusätzlichen Absenkungen können folgende vereinfachten Formeln verwendet werden:
Gleichmäßige Absenkung an 2 Drehgestellen und einem Schienenstrang.
Absenkung an einem einzigen Drehgestell bzw. einem Radsatz.
(Prinzip der Berechnung Bereich C).
Durchbiegung (in einem ersten Ansatz).
C.8 Anlage 3 Fahrzeugbegrenzungslinie
C.8.1 Berechnung der Begrenzungslinie von Fahrzeugen mit Neigetechnik
C.8.1.1 Allgemeines
Die Zulassung von Fahrzeugen mit Neigetechnik für den internationalen Verkehr muss durch bi- oder multilaterale Vereinbarungen zwischen den Eisenbahnunternehmen geregelt werden.
C.8.1.2 Gegenstand
In vorliegender Anlage wird die Berechnungsmethode für die Begrenzungslinie von Fahrzeugen mit Neigetechnik (nachstehend mit NeiTech-Fahrzeugen bezeichnet) behandelt.
In den Punkten 2 - 3 - 4 wird die Berechnung der Begrenzungslinie von NeiTech-Fahrzeugen technisch analysiert. Punkt 5 enthält Erläuterungen zu den Neigebedingungen und Geschwindigkeiten von NeiTech-Fahrzeugen.
C.8.1.3 Anwendungsbereich
NeiTech-Fahrzeuge sind Fahrzeuge, deren Wagenkasten beim Befahren von Gleisbögen Wankbewegungen gegenüber dem Laufwerk zum Ausgleich der Fliehbeschleunigung ausführen kann.
Aufgrund der Entwicklung und des internationalen Einsatzes von Zügen, die sich aus Fahrzeugen mit Neigetechnik zusammensetzen, mussten einige der für herkömmliche Fahrzeuge festgelegten Bestimmungen hinsichtlich der Berechnung der Begrenzungslinie angepasst werden.
Die vorliegende Anlage enthält die Regeln, nach denen die maximale Fahrzeugbegrenzungslinie für NeiTech-Fahrzeuge ermittelt werden kann.
C.8.1.4 Geschichtlicher Überblick
NeiTech-Fahrzeuge werden seit 1970/1980 in mehreren europäischen Ländern entwickelt, um vorhandene Strecken ohne Beeinträchtigung des Komforts der Reisenden mit höheren Geschwindigkeiten befahren zu können.
Die Geschwindigkeit von Schienenfahrzeugen ist in Gleisbögen aufgrund der Querbeschleunigung, die auf die Reisenden einwirkt, begrenzt. Der Grenzwert der nicht ausgeglichenen Querbeschleunigung liegt bei den Fahrzeugen in der Größenordnung von 1 bis 1,3 ms-2.
NeiTech-Fahrzeuge, insbesondere Fahrzeuge mit aktiver Neigetechnik, können mit höheren nicht ausgeglichenen Querbeschleunigungen fahren (z.B. 1,82 ms-2 beim FIAT ETR 450, was einem Überhöhungsfehlbetrag von 278 mm entspricht), da die auf den Reisenden einwirkende Querbeschleunigung durch die Wagenkastenneigung verringert wird.
C.8.1.5 Sicherheitsbedingungen
Die Hersteller müssen nachweisen, dass die NeiTech-Fahrzeuge die Begrenzungslinie in allen vorgesehenen Betriebsfällen einhalten.
Neben den Berechnungen der Begrenzungslinie müssen die Hersteller eine zusätzliche Untersuchung der zugrunde gelegten Kriterien und der sicherheitsrelevanten Einrichtungen bereitstellen.
Gewisse Störfälle, die dazu führen können, dass die NeiTech-Fahrzeuge die Bezugslinie überschreiten, müssen vom Hersteller untersucht werden; ihre Auswirkungen müssen ggf. Gegenstand besonderer Maßnahmen (Betriebsabwicklung, Störungsanzeigen, Anweisungen an den Triebfahrzeugführer usw.) sein, die von den Bahnen festzulegen sind.
Die Hersteller müssen in gleicher Weise gewährleisten, dass die NeiTech-Fahrzeuge im Falle einer Störung ihres Neigesystems nicht mit höheren unausgeglichenen Querbeschleunigungen fahren können als herkömmliche Fahrzeuge.
C.8.1.6 Verwendete Formelzeichen
In vorliegender Anlage werden folgende zusätzliche Formelzeichen verwendet:
IP = Wert des beim NeiTech-Fahrzeug betrachteten Überhöhungsfehlbetrages
IC = Wert des größten vom Baudienst 2 der Bahn zugelassenen Überhöhungsfehlbetrages
E = Wert der Überhöhung
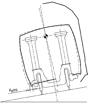
zP = quasistatische Verschiebungen abgestimmt auf die NeiTech-Fahrzeuge
C.8.2 Grundbedingungen zur Ermittlung der Begrenzungslinie von NeiTech-Fahrzeugen
Bei der Berechnung der Begrenzungslinie von NeiTech-Fahrzeugen müssen alle Betriebsfälle, unabhängig davon, ob das Neigesystem wirksam ist oder nicht, geprüft werden.
Die ungünstigsten Fälle sind zu prüfen, d. h.:
| SITUATION 1) Das Fahrzeug | befährt einen Gleisbogen mit maximalem Überhöhungsfehlbetrag (maximale Wagenkastenneigung); |
| SITUATION 2) Das Fahrzeug | hält im Gleisbogen. Hält ein Fahrzeug mit aktiver Neigetechnik in einem Gleisbogen, nimmt es die gleiche Lage wie ein herkömmliches Fahrzeug ein und kann somit entsprechend den Grundsätzen eines herkömmlichen Fahrzeugs behandelt werden. |
Es ist darüber hinaus zu berücksichtigen, dass es bei einigen Fahrzeugbauarten mit passiver Neigetechnik wie z.B. dem TALGO keine auf die Federung zurückzuführende quasistatische Neigung z gibt (s= 0).
C.8.2.1 Neigearten der Wagenkästen
Die unterschiedlichen Bauarten lassen sich nach dem Neigeprinzip der Wagenkästen einteilen: Die Neigung kann entweder durch eine natürliche oder äquivalente (passive) Pendelbewegung erreicht werden, wenn sich der Wankpol des Wagenkastens über dem Wagenkastenschwerpunkt befindet wie beim TALGO-Prinzip, oder aber durch Hubzylinder, die den Wagenkasten in Abhängigkeit von Gleisbogenhalbmesser und Fahrgeschwindigkeit neigen (aktive Pendelbewegung wie beim FIAT-Prinzip).
Nachstehend soll die zulässige Wagenkastenneigung der verschiedenen Neigetechniken untersucht werden.
Bei Fahrzeugen mit AKTIVER Neigetechnik erfahren die Wagenkästen eine quasistatische Neigung, die durch die nicht ausgeglichene Querbeschleunigung hervorgerufen wird. Diese ist jedoch unabhängig von der Neigung, die separat vom System erzwungen wird. Bild C30 stellt das Neigeprinzip eines Fahrzeuges mit aktiver Pendelbewegung dar.
Die tatsächlichen Bewegungen können aufgeteilt werden in eine Drehung infolge des Wankens (Bewegung 1), der man die vom System erzwungene Drehung (Bewegung 2) überlagert.
Bei Fahrzeugen mit PASSIVER Neigetechnik pendelt der Wagenkasten unter dem Einfluss der Fliehkraft auf natürliche Weise proportional zum Überhöhungsfehlbetrag.
Bild C31 stellt das Neigeprinzip eines Fahrzeuges mit natürlicher oder passiver Pendelbewegung dar.
C.8.3 Formelanalyse
C.8.3.1 Grundformeln
Je nach Gattung der zu untersuchenden NeiTech-Fahrzeuge (Reisezugwagen, Triebfahrzeuge oder Triebzüge) ist der Anwender gehalten, sich auf die entsprechenden Formeln im Kapitel zur Begrenzungslinie G1 zu beziehen und sie wie in dieser Anlage angegeben zu ändern.
C.8.3.2 Änderungen der Formeln für NeiTech-Fahrzeuge
Bei NeiTech-Fahrzeugen ist die maximale Wagenkastenneigung, die dem maximalen Überhöhungsfehlbetrag Ip entspricht, zu berücksichtigen. Die folgenden Glieder der Einschränkungsformeln sind dementsprechend zu prüfen:
C.8.3.2.1 Ausdruck für die Querspiele bei geneigtem Wagenkasten
Der Wagenkasten wird nur dann maximal geneigt, wenn das Fahrzeug Gleisbögen mit maximalem Ip befährt.
Da das Fahrzeug einer sehr starken Fliehkraft zur Bogenaußenseite hin ausgesetzt ist, sind die Formelglieder für die Querverschiebungen zu überarbeiten.
Fahrzeuge mit Drehgestellen, Berechnung Bogeninnenseite:
Die Ergebnisse der Streckenversuche haben gezeigt, dass bei Fahrzeugen mit Drehgestellen die Radsätze beim Befahren von Gleisbögen die Außenschienen mit ihren Spurkränzen - wenn auch nicht ständig alle - berühren. Folglich müssen sicherheitshalber die oben genannten Spiele mit Null angesetzt werden.
Fahrzeuge mit Drehgestellen, Berechnung Bogenaußenseite:
Die Spiele (1,465-d)/2 und q werden ebenfalls sicherheitshalber in Richtung Bogenaußenseite angesetzt.
Fahrzeuge mit Losrädern:
Versuche haben bestätigt, dass die Spiele (1,465-d)/2 und q zur Bogenaußenseite hin in Anspruch genommen werden.
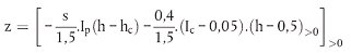
C.8.3.2.2 Quasistatische Verschiebungen der NeiTech-Fahrzeuge
Zur Ermittlung der Grenzlinie für feste Anlagen muss der Baudienst den Maßen der Bezugslinie bestimmte Formelglieder hinzufügen. Die quasistatischen Verschiebungen der Fahrzeuge werden somit nach folgender Formel berechnet:
Der allgemein akzeptierte zulässige Höchstwert für Eoder I beträgt 200 mm.
Jeder Infrastrukturbetreiber legt für seine Strecken einen eigenen Höchstwert für I fest. Normalerweise werden Werte zwischen 90 und 180 mm genommen.
Die Fahrzeuge dürfen diesen Höchstwert von I während der Fahrt nicht überschreiten.
NeiTech-Fahrzeuge dagegen erreichen höhere Werte. Deshalb müssen die Abmessungen dieser Fahrzeuge über eine andere Berechnung der quasistatischen Verschiebungen ermittelt werden.
Wie bei herkömmlichen Fahrzeugen wird der Wagenkasten bei NeiTech-Fahrzeugen aufgrund des Überhöhungsfehlbetrages um eine Längsachse geneigt, eine Drehbewegung, die auf die Federwirkung zurückzuführen ist. In den Formeln werden die quasistatischen Verschiebungen, die dieser Drehung entsprechen, im Formelglied "z" berücksichtigt. Da NeiTech-Fahrzeuge höhere Überhöhungsfehlbeträge bis Ip zulassen, muss die Berechnung dieses Formelgliedes (zp) überarbeitet werden.
Es empfiehlt sich, dieses neue Formelglied zp so einzuführen, dass damit der gesamten quasistatischen Verschiebung infolge Ip sowie der von den Baudiensten berücksichtigten quasistatischen Verschiebung infolge IC Rechnung getragen wird (siehe Punkt 3.2.2.1 und 3.2.2.2).
Da ferner bei aktiver Neigetechnik die Wagenkastenneigung zum Ausgleich der Fliehbeschleunigung unabhängig von der durch das Wanken bedingten Neigung ist, muss diese Wirkung in den Formeln durch ein zusätzliches Formelglied berücksichtigt werden (siehe Punkt 3.2.3).
C.8.3.2.2.1 Ausdruck der quasistatischen Verschiebungen zp für Einschränkungen an der Bogeninnenseite
Unter dem Einfluss der Querbeschleunigung (die den Werten Ip >0 entspricht) neigt sich der Wagenkasten aufgrund des Federverhaltens bei Fahrzeugen mit aktiver Neigetechnik zur Bogenaußenseite und bei Fahrzeugen mit passiver Neigetechnik zur Bogeninnenseite hin. In den folgenden beiden Bildern ist die jeweilige Verschiebungsart ausgehend von der Position I = 0 dargestellt. Aufgrund des jeweiligen unterschiedlichen Neigeverhaltens finden die größten Verschiebungen bei aktiver Neigetechnik im oberen Bereich und bei passiver Neigetechnik im unteren Bereich des Wagenkastens statt.
Bild C32: AKTIVES System
Anmerkung: Die vom System erzwungene Neigung wurde hier nicht dargestellt.
Bild C33: PASSIVES System

Die Verschiebungen, die dem unterschiedlichen Neigeverhalten in den Bildern C32 und C33 entsprechen, werden nachstehend angegeben.
Bei einem Fahrzeug mit aktiver Neigetechnik, das einen Gleisbogen mit einem Überhöhungsfehlbetrag IP befährt, sind die quasistatischen Verschiebungen:
Bei einem Fahrzeug mit passiver Neigetechnik, das einem Überhöhungsfehlbetrag IP ausgesetzt ist, sind die quasistatischen Verschiebungen:
Es ist darauf hinzuweisen, dass s den spezifischen Wert nur in dem betrachteten Berechnungsfall aufweist und folglich durch die erzwungene Wagenkastenneigung beeinflusst werden kann.
C.8.3.2.2.2 Ausdruck der quasistatischen Verschiebungen zp für Einschränkungen an der Bogenaußenseite
Unter dem Einfluss der Querbeschleunigung (die den Werten Ip >0 entspricht) neigt sich der Wagenkasten aufgrund des Federungsverhaltens bei Fahrzeugen mit aktiver Neigetechnik zur Bogenaußenseite und bei Fahrzeugen mit passiver Neigetechnik zur Bogeninnenseite hin.
Analog zu den Bildern C32 und C33 stellen die Bilder C34 und C35 dieses Neigeverhalten ausgehend von der Position I = 0 dar.
Bild C34: AKTIVES System
Anmerkung: Die vom System erzwungene Neigung wurde hier nicht dargestellt.
Bild C35: PASSIVES System

Befahren die Fahrzeuge einen Gleisbogen, nähern sie sich also der Bezugslinie in Richtung Bogenaußenseite proportional zum Wert von Ip. Wenn Ip >Ic, dann reicht der vom Baudienst für die ortsfesten Anlagen vorgehaltene Raum nicht aus. Da der Standort der ortsfesten Anlagen nicht in Frage gestellt werden soll, müssen die für die Fahrzeuge berechneten Einschränkungen ggf. um einen Wert erhöht werden, der der Differenz zwischen den quasistatischen Verschiebungen infolge von Ip und den vom Baudienst berücksichtigten Verschiebungen entspricht, d. h.:
Aktives System
Passives System
Dabei ist folgendes anzumerken:
Zudem müssen die Bedingungen in 5.1 erfüllt sein.
C.8.3.2.3 AKTIVES System: Verschiebungen infolge der Wankbewegung des Wagenkastens
Wenn ein Fahrzeug mit aktivem Neigesystem einen Gleisbogen mit einer Geschwindigkeit befährt, so dass IP>0, stellt das Neigesystem den Neigungswinkel βdes Wagenkastens nach der Messung von bestimmten Parametern (Geschwindigkeit, Überhöhungsneigung, Gleisbogenradius) ein.
Der Winkel β ist unabhängig von der Neigung infolge des Federverhaltens.
In Bild C36 werden folgende Größen dargestellt:
h0: Höhe des vom System erzwungenen Drehpols des Wagenkastens;
β: Neigewinkel des Wagenkastens gegenüber der Abstützebene des Systems; dieser Winkel wird vom System in Abhängigkeit vom Überhöhungsfehlbetrag Ip bestimmt.
Da der Winkel βWerte bis zu 10° erreichen kann, darf die vertikale Verschiebung nicht vernachlässigt werden und muss bei einer exakten Berechnung berücksichtigt werden.
Werden lediglich die Querverschiebungen berücksichtigt, können deren Näherungswerte nach folgendem Ausdruck berechnet werden:
tanβ(h - h0)
Unter Berücksichtigung der vom System erzwungenen Drehrichtung hat dieses Formelglied:
C.8.4 Regeln
C.8.5 Erläuterungen
C.8.5.1 Bedingung für die Einstellung der Neigung (Fahrzeuge mit aktiver Neigetechnik)
Damit die Formeln dieser Anlage tatsächlich für die Berechnung der Begrenzungslinie von NeiTech-Fahrzeugen verwendet werden können, muss die Neigetechnik gewährleisten, dass sich der Wagenkasten proportional zur Änderung des Überhöhungsfehlbetrages neigt.
Bei passiver Neigetechnik wird diese Bedingung zwangsläufig erfüllt, da ja die Neigung des Wagenkastens durch den vorhandenen Überhöhungsfehlbetrag bewirkt wird.
Bei Fahrzeugen mit aktiver Neigetechnik werden dagegen bei der Auslegung oder Einstellung des Systems Werte festgelegt, um die der Wagenkasten vom System geneigt wird.
Diese Werte müssen die folgenden Bedingungen erfüllen, damit die Wagenkästen die vorgesehene Bezugslinie nicht überschreiten:
C.8.5.2 Bedingung für die Geschwindigkeit von NeiTech-Fahrzeugen
Bei NeiTech-Fahrzeugen kann unter dem Gesichtspunkt der Begrenzungslinie eine zulässige Höchstgeschwindigkeit berechnet werden.
Verwiesen sei auf die Gleichung, die den Bezug zwischen Überhöhungsfehlbetrag und Geschwindigkeit herstellt:
Die Geschwindigkeiten vP und vC entsprechen jeweils der tatsächlichen Geschwindigkeit des NeiTech-Fahrzeuges und der entsprechenden zulässigen Streckengeschwindigkeit.
Man erhält:
Von diesem Ausdruck kann man den Grenzwert der vom NeiTech-Fahrzeug einzuhaltenden Geschwindigkeit gemäß folgender Formel ableiten:
C.8.6 Anlage 4: Fahrzeugbegrenzungslinie
Nutzung der vorhandenen Freiräume des Fahrwegs durch Fahrzeuge mit feststehenden Kenngrößen
Die Anwendung muss Gegenstand einer bilateralen Vereinbarung sein.
Beispiel:
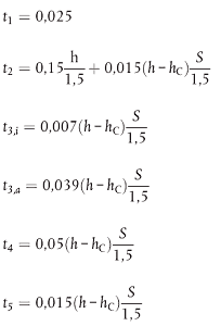
Bei einem geraden Gleis mit gutem Instandhaltungszustand und den üblichen Gleislagefehlern ist das maßgebende Kriterium der maximale Gleisabstand; er entspricht der Breite der Bezugslinie plus den Freiräumen, die die zufälligen Verschiebungen des Fahrzeuges aufgrund von Gleislagefehlern (D) abdecken.
| t1 | = Querverschiebung des Gleises |
| t2 | = Auswirkung eines Überhöhungs- oder Querhöhenfehlers von 0,015 m |
| t3i, a | = Schwingungen nach Innen und nach Außen |
| t4 und t5 | = Auswirkung des Ladeungleichgewichts und der Unsymmetrien |
Die folgenden Kenngrößen dienen der Festlegung der Freiräume, die zur Bezugslinie G1 hinzuzuaddieren sind:
h = 3,25 m
hc = 0,5 m
s = 0,4
Die feststehenden Kenngrößen des zu untersuchenden Fahrzeugs können verwendet werden wie z.B.:
h = 1,8 m (Höhe über SO bei einem bestimmten Wagenkastenquerschnitt)
hc = 0,7 m
s = 0,24
Werden die oben genannten Kenngrößen zugrundegelegt, ergeben sich folgende Werte:
| - | für die Bezugslinie G1 | D = 0,113 m |
| - | für das Fahrzeug mit feststehenden Kenngrößen | D" = 0,058 m |
Die Differenz D - D" = 0,055 m kann für die Verbreiterung des Fahrzeugs mit feststehenden Kenngrößen zugrundegelegt werden.
Wird der zusätzliche Freiraum, der die zufälligen Verschiebungen abdeckt, nicht auf diese Weise berechnet, sondern pauschal festgelegt, und äußert sich dies durch kleinere Abmessungen, sollte dies in die Berechnung von D-D' einfließen.
Beispiel: SNCF, V ≤ 120 km/h: DSNCF = 0,05 + 0,03 = 0,08 m.
Die Verbreiterung des Fahrzeugs mit feststehenden Kenngrößen könnte dann in einer Höhe von 1,8 m einem Wert von 0,022 m entsprechen.
_____
1) Zugelassen von: HSH, GySEV, BHEV, PKP, BDZ, CFR, CD, ZSR, MAV, JZ, CH, TCDD, DB, ÖBB, CFL, NS, DSB, CFS, BV, IRR, mit Ausnahme der Bahnhöfe von:
JZ: Divaca, Sezana, Hrpelje-Kozina, Koper, Kilovce, Ilirska, Bistrica, Sapljane, Jurdani, Opatija-Matulji, Rijeka,
MAV: Budapest-Deli pu.-Budapest.Kelenföld
2) Die Begründung, weshalb dieser von den Baudiensten der Bahnen festgelegte Wert bei der Berechnung der Abmessungen der Fahrzeuge berücksichtigt werden muss, wird in Punkt 3.2.2 der vorliegenden Anlage gegeben.
3) Bei der Berechnung von NeiTech-Fahrzeugen muss dieses Formelglied in Höhe hc über SO gemessen werden. Für ein- und dasselbe Fahrzeug kann dieses Formelglied je nach Berechnungsfall, Neigetechnik und einer möglichen Zentrierung des Wagenkastens unterschiedliche Werte haben.
![]() |
weiter . | ![]() |
(Stand: 03.06.2025)
Alle vollständigen Texte in der aktuellen Fassung im Jahresabonnement
Nutzungsgebühr: ab 105.- € netto
(derzeit ca. 7200 Titel s.Übersicht - keine Unterteilung in Fachbereiche)
Die Zugangskennung wird kurzfristig übermittelt
? Fragen ?
Abonnentenzugang/Volltextversion