Für einen individuellen Ausdruck passen Sie bitte dieEinstellungen in der Druckvorschau Ihres Browsers an. Regelwerk, EU 2012, Energienutzung - EU Bund |
![]() |
Delegierte Verordnung (EU) Nr. 392/2012 der Kommission vom 1. März 2012 zur Ergänzung der Richtlinie 2010/30/EU im Hinblick auf die Kennzeichnung von Haushaltswäschetrocknern in Bezug auf den Energieverbrauch
(Text von Bedeutung für den EWR)
(ABl. Nr. L 123 vom 09.05.2012 S. 1, ber. L 124 S. 56;
VO (EU) 518/2014 - ABl. Nr. L 147 vom 17.05.2014 S. 1 Inkrafttreten;
VO (EU) 2017/254 - ABl. Nr. L 38 vom 15.02.2017 S. 1 Inkrafttreten;
VO (EU) 2020/1059 - ABl. L 232 vom 20.07.2020 S. 28 Inkrafttreten;
VO (EU) 2023/2534 - ABl. L 2023/2534 vom 22.11.2023aufgehoben)
aufgehoben/ersetzt gem. Art. 8 der VO (EU) 2023/2534
Neufassung -Ersetzt RL 95/13/EG
| Ergänzende Informationen |
| Normenübersicht |
| Regelungen zur Umsetzung der Ökodesign-Richtlinie |
| EU - Liste zur Ergänzung der RL 2010/30/EU im Hinblick auf die Energiekennzeichnung von .... |
Die Europäische Kommission -
gestützt auf den Vertrag über die Arbeitsweise der Europäischen Union,
gestützt auf die Richtlinie 2010/30/EU des Europäischen Parlaments und des Rates vom 19. Mai 2010 über die Angabe des Verbrauchs an Energie und anderen Ressourcen durch energieverbrauchsrelevante Produkte mittels einheitlicher Etiketten und Produktinformationen 1, insbesondere auf Artikel 10,
in Erwägung nachstehender Gründe:
(1) Die Kommission hat gemäß der Richtlinie 2010/30/EU delegierte Rechtsakte zur Kennzeichnung energieverbrauchsrelevanter Produkte zu erlassen, die ein erhebliches Potenzial zur Einsparung von Energie sowie große Unterschiede in den Leistungsniveaus bei gleichwertigen Funktionen aufweisen.
(2) Bestimmungen für die Kennzeichnung von Haushaltswäschetrocknern in Bezug auf den Energieverbrauch wurden durch die Richtlinie 95/13/EG der Kommission vom 23. Mai 1995 zur Durchführung der Richtlinie 92/75/EWG des Rates im Hinblick auf das Energieetikett für elektrische Haushaltswäschetrockner 2festgelegt.
(3) Auf Haushaltswäschetrockner entfällt ein wesentlicher Teil des Gesamtenergieverbrauchs der Haushalte in der Europäischen Union. Über die bereits erzielten Energieeffizienzsteigerungen hinaus besteht ein erhebliches Potenzial für die weitere Verringerung des Energieverbrauchs von Haushaltswäschetrocknern.
(4) Durch diese Verordnung sollten die Richtlinie 95/13/EG aufgehoben und neue Bestimmungen festgelegt werden, um zu gewährleisten, dass das Energieetikett den Lieferanten dynamische Anreize dafür bietet, die Energieeffizienz von Haushaltswäschetrocknern weiter zu verbessern und die Marktumstellung auf energieeffiziente Technologien zu beschleunigen.
(5) Kombinierte Haushalts-Wasch-Trockenautomaten sind Gegenstand der Richtlinie 96/60/EG der Kommission vom 19. September 1996 zur Durchführung der Richtlinie 92/75/EWG des Rates betreffend die Energieetikettierung für kombinierte Haushalts-Wasch-Trockenautomaten 3. Sie weisen besondere Merkmale auf und sollten daher vom Geltungsbereich dieser Verordnung ausgenommen werden.
(6) Die auf dem Etikett angegebenen Informationen sollten durch zuverlässige, genaue und reproduzierbare Messverfahren ermittelt werden, die dem anerkannten Stand der Messtechnik sowie gegebenenfalls harmonisierten Normen Rechnung tragen, die von den in Anhang I der Richtlinie 98/34/EG des Europäischen Parlaments und des Rates vom 22. Juni 1998 über ein Informationsverfahren auf dem Gebiet der Normen und technischen Vorschriften 4 aufgeführten europäischen Normungsgremien erlassen wurden.
(7) Diese Verordnung sollte eine einheitliche Gestaltung und einen einheitlichen Inhalt des Etiketts für Haushaltswäschetrockner, einschließlich gasbeheizten Trocknern, vorgeben.
(8) Daneben sollten in dieser Verordnung Anforderungen an die technischen Unterlagen und das Datenblatt für Haushaltswäschetrockner festgelegt werden.
(9) Ferner sollten in dieser Verordnung Anforderungen an die Informationen festgelegt werden, die beim Verkauf von Haushaltswäschetrocknern in jeglicher Form des Fernabsatzes sowie bei der Werbung und in technischem Werbematerial für solche Geräte bereitzustellen sind.
(10) Es ist zweckmäßig, eine Überprüfung dieser Verordnung vorzusehen, um dem technischen Fortschritt Rechnung zu tragen.
(11) Um die Umstellung von der Richtlinie 95/13/EG auf diese Verordnung zu erleichtern, sollten Haushaltswäschetrockner, die gemäß dieser Verordnung etikettiert sind, als der Richtlinie 95/13/EG entsprechend angesehen werden.
(12) Die Richtlinie 95/13/EG sollte daher aufgehoben werden
- hat folgende Verordnung erlassen:
Artikel 1 Gegenstand und Geltungsbereich
(1) Diese Verordnung legt Anforderungen an die Kennzeichnung von mit Netzstrom betriebenen elektrischen Haushaltswäschetrocknern, gasbeheizten Haushaltswäschetrocknern und Einbau-Haushaltswäschetrocknern, einschließlich solcher Geräte, die für einen anderen Gebrauch als im Haushalt verkauft werden, sowie an die Bereitstellung ergänzender Produktinformationen zu solchen Geräten fest.
(2) Diese Verordnung gilt nicht für kombinierte Haushalts- Wasch-Trockenautomaten und Haushalts-Wäscheschleudern.
Artikel 2 Begriffsbestimmungen
Zusätzlich zu den Begriffsbestimmungen des Artikels 2 der Richtlinie 2010/30/EU gelten für die Zwecke dieser Verordnung folgende Begriffsbestimmungen:
1. "Haushaltswäschetrockner" bezeichnet ein Gerät, in dem Textilien durch Umwälzung in einer rotierenden, von erwärmter Luft durchströmten Trommel getrocknet werden, und das hauptsächlich für die Benutzung zu nicht gewerblichen Zwecken ausgelegt ist;2. "Einbau-Haushaltswäschetrockner" bezeichnet einen Haushaltswäschetrockner, der zum Einbau in einen Schrank, eine vorbereitete Wandaussparung oder einen ähnlichen Ort bestimmt ist und eine Dekorabdeckung erfordert;
3. "kombinierter Haushalts-Wasch-Trockenautomat" bezeichnet eine Haushaltswaschmaschine, die sowohl eine Schleuderfunktion als auch die Möglichkeit zum Trocknen der Textilien - üblicherweise durch Erwärmung und Umwälzung in der Trommel - bietet;
4. "Haushalts-Wäscheschleuder" bezeichnet ein Gerät, in dem durch Zentrifugieren in einer rotierenden Trommel Wasser aus Textilien entfernt und durch eine Automatikpumpe abgeleitet wird, und das hauptsächlich für die Benutzung zu nicht gewerblichen Zwecken ausgelegt ist;
5. "Abluftwäschetrockner" bezeichnet einen Wäschetrockner, bei dem Frischluft angesaugt, über die Textilien geleitet und die entstehende Feuchtluft in den Aufstellraum oder an die Außenluft abgeleitet wird;
6. "Kondensationswäschetrockner" bezeichnet einen Wäschetrockner mit einer Vorrichtung, mit der der zum Trocknen verwendeten Luft Feuchtigkeit (entweder durch Kondensation oder auf andere Weise) entzogen wird;
7. "Wäschetrockner mit Automatik" bezeichnet einen Wäschetrockner, bei dem der Trockenvorgang selbsttätig abgeschaltet wird, wenn ein bestimmter Feuchtigkeitsgehalt des Füllguts erkannt wird, z.B. durch Messung der Leitfähigkeit oder Temperatur;
8. "Wäschetrockner ohne Automatik" bezeichnet einen Wäschetrockner, bei dem der Trockenprozess nach Ablauf einer vorher festgelegten Zeit, in der Regel durch eine Zeitschaltuhr gesteuert, selbsttätig abgeschaltet wird, der aber auch von Hand abgeschaltet werden kann;
9. "Programm" bezeichnet eine Reihe voreingestellter Operationen, die vom Lieferanten als geeignet für das Trocknen bestimmter Textilienarten erklärt werden;
10. "Zyklus" bezeichnet einen für die betreffende Programmwahl festgelegten vollständigen Trockenprozess;
11. "Programmdauer" bezeichnet den Zeitraum zwischen der Einleitung des Programms bis zum Abschluss des Programms ohne etwaige vom Nutzer programmierte Zeitverzögerung;
12. "Nennkapazität" bezeichnet die in Kilogramm ausgedrückte und vom Lieferanten in Schritten von 0,5 kg angegebene Masse der Höchstmenge an trockenen Textilien einer bestimmten Art, die von einem Haushaltswäschetrockner in dem ausgewählten Programm bei Befüllung nach Lieferantenanweisung behandelt werden kann;
13. "Teilbefüllung" bezeichnet die Befüllung zur Hälfte der Nennkapazität eines Haushaltswäschetrockners für ein bestimmtes Programm;
14. "Kondensationseffizienz" bezeichnet den Quotienten aus der Masse an Feuchtigkeit, die von einem Kondensationswäschetrockner kondensiert wird, und der Masse an Feuchtigkeit, die aus dem Füllgut am Ende eines Zyklus entfernt wurde;
15. "Aus-Zustand" bezeichnet einen Zustand, in dem der Haushaltswäschetrockner durch Bedienelemente oder Schalter am Gerät ausgeschaltet ist, die dem Endnutzer zugänglich und zur Betätigung durch denselben während des normalen Betriebs bestimmt sind, um die niedrigste dauerhaft mögliche Leistungsaufnahme zu erzielen, während der Haushaltswäschetrockner an eine Stromquelle angeschlossen ist und nach Lieferantenanweisung betrieben wird; in Ermangelung eines dem Endnutzer zugänglichen Bedienelements oder Schalters bezeichnet "Aus-Zustand" den Betriebszustand mit stabiler Leistungsaufnahme, den der Haushaltswäschetrockner selbsttätig erreicht;
16. "unausgeschalteter Zustand" bezeichnet den Betriebszustand mit der geringsten Leistungsaufnahme, der nach Abschluss des Programms abgesehen vom Entleeren des Haushaltswäschetrockners ohne weiteres Einwirken des Endnutzers zeitlich unbegrenzt möglich ist;
17. "gleichwertiger Haushaltswäschetrockner" bezeichnet ein in Verkehr gebrachtes Haushaltswäschetrockner-Modell mit der gleichen Nennkapazität, den gleichen technischen Eigenschaften und Leistungsmerkmalen, dem gleichen Energieverbrauch, ggf. der gleichen Kondensationseffizienz, der gleichen Standard-Baumwollprogrammdauer sowie den gleichen Luftschallemissionen während des Trocknens wie ein von demselben Lieferanten unter einer anderen numerischen Handelsbezeichnung in Verkehr gebrachtes anderes Haushaltswäschetrocknermodell;
18. "Endnutzer" ist ein Verbraucher, der einen Haushaltswäschetrockner kauft oder zu kaufen im Begriff ist;
19. "Verkaufsstelle" ist ein Ort, an dem Haushaltswäschetrockner ausgestellt oder zum Verkauf, zur Vermietung oder zum Mietkauf angeboten werden.
20. "Standard-Baumwollprogramm" ist der Zyklus, bei dem Baumwollwäsche mit einem anfänglichen Feuchtigkeitsgehalt des Trockenguts von 60 % bis zu einem restlichen Feuchtigkeitsgehalt des Trockenguts vom 0 % getrocknet wird.
Artikel 3 Pflichten der Lieferanten 14
Die Lieferanten stellen sicher, dass
Artikel 4 Pflichten der Händler 14
Die Händler stellen sicher, dass
Artikel 5 Messverfahren
Die gemäß Artikel 3 und 4 bereitzustellenden Informationen werden durch ein zuverlässiges, genaues und reproduzierbares Messverfahren ermittelt, das dem anerkannten Stand der Messtechnik Rechnung trägt.
Artikel 6 Nachprüfungsverfahren zur Marktaufsicht
Die Mitgliedstaaten ermitteln die Einhaltung der gemachten Angaben zur Energieeffizienzklasse, zum Energieverbrauch je Zyklus, gegebenenfalls zur Kondensationseffizienzklasse, zur Nennkapazität, zur Leistungsaufnahme im Aus-Zustand und im unausgeschalteten Zustand, zur Dauer des unausgeschalteten Zustands, zur Programmdauer und zu den Luftschallemissionen nach dem Verfahren gemäß Anhang V.
Artikel 7 Überprüfung
Die Kommission überprüft diese Verordnung spätestens fünf Jahre nach ihrem Inkrafttreten im Lichte des technischen Fortschritts. Bei der Überprüfung werden insbesondere die Prüftoleranzen nach Anhang V bewertet.
Artikel 8 Aufhebung
Die Richtlinie 95/13/EG wird mit Wirkung zum 29. Mai 2013 aufgehoben.
Artikel 9 Übergangsbestimmungen
(1) Artikel 3 Buchstaben d und e sowie Artikel 4 Buchstaben b, c und d gelten nicht für gedruckte Werbung und gedrucktes technisches Werbematerial, die bzw. das vor dem 29. September 2013 veröffentlicht wird.
(2) Haushaltswäschetrockner, die vor dem 29. Mai 2013 in Verkehr gebracht werden, müssen den Bestimmungen der Richtlinie 95/13/EG entsprechen.
(3) Haushaltswäschetrockner, die den Bestimmungen dieser Verordnung entsprechen und vor dem 29. Mai 2013 in Verkehr gebracht oder zum Verkauf, zur Vermietung oder zum Mietkauf angeboten werden, sind als den Bestimmungen der Richtlinie 95/13/EG entsprechend anzusehen.
Artikel 10 Inkrafttreten und Geltung
(1) Diese Verordnung tritt am zwanzigsten Tag nach ihrer Veröffentlichung im Amtsblatt der Europäischen Union in Kraft.
(2) Sie gilt ab dem 29. Mai 2013. Artikel 3 Buchstaben d und e sowie Artikel 4 Buchstaben b, c und d gelten hingegen ab 29. September 2013.
Diese Verordnung ist in allen ihren Teilen verbindlich und gilt unmittelbar in jedem Mitgliedstaat.
Brüssel, den 1. März 2012
2) ABl. Nr. L 136 vom 21.06.1995 S. 28.
3) ABl. Nr. L 266 vom 18.10.1996 S. 1.
4) ABl. Nr. L 204 vom 21.07.1998 S. 37.
| Etikett | Anhang I |
1. Etikett für Abluft-Haushaltswäschetrockner
1.1. Das Etikett für Abluft-Haushaltswäschetrockner muss die folgenden Informationen enthalten:
1.2. Die Gestaltung des Etiketts für Abluft-Haushaltswäschetrockner muss Nummer 4 entsprechen. Das EU-Umweltzeichen kann hinzugefügt werden, wenn für das betreffende Modell ein EU-Umweltzeichen gemäß der Verordnung (EG) Nr. 66/2010 des Europäischen Parlaments und des Rates 1 vergeben wurde.
2. Etikett für Kondensations-Haushaltswäschetrockner
2.1. Zusätzlich zu den in Nummer 1 (1) aufgeführten Informationen muss das Etikett für Kondensations-Haushaltswäschetrockner die folgenden Informationen enthalten:
IX. Kondensationseffizienzklasse gemäß Anhang VI Nummer 2;
2.2. Die Gestaltung des Etiketts für Kondensations-Haushaltswäschetrockner muss Nummer 4 entsprechen. Das EU- Umweltzeichen kann hinzugefügt werden, wenn für das betreffende Modell ein EU-Umweltzeichen gemäß der Verordnung (EG) Nr. 66/2010 vergeben wurde.
3. Etikett für gasbeheizte Haushaltswäschetrockner
3.1. Das Etikett für gasbeheizte Haushaltswäschetrockner muss die in Nummer 1 (1) aufgeführten Informationen enthalten.
3.2. Die Gestaltung des Etiketts für gasbeheizte Haushaltswäschetrockner muss Nummer 4 entsprechen. Das EU-Umweltzeichen kann hinzugefügt werden, wenn für das betreffende Modell ein EU-Umweltzeichen gemäß der Verordnung (EG) Nr. 66/2010 vergeben wurde.
4. Grafische Gestaltung des Etiketts
4.1. Die Gestaltung des Etiketts für Abluft-Haushaltswäschetrockner muss folgender Abbildung entsprechen:
Dabei gilt:

4.2. Die Gestaltung des Etiketts für Kondensations-Haushaltswäschetrockner muss folgender Abbildung entsprechen:
Dabei gilt:

4.3. Die Gestaltung des Etiketts für gasbeheizte Haushaltswäschetrockner muss folgender Abbildung entsprechen:
Dabei gilt:

| Produktdatenblatt | Anhang II |
gewichteter jährlicher Energieverbrauch (AEc) auf eine Dezimalstelle aufgerundet; dieser ist anzugeben als: "Energieverbrauch von 'X' kWh/Jahr auf der Grundlage von 160 Trocknungszyklen für das Standard-Baumwollprogramm bei vollständiger Befüllung und Teilbefüllung sowie des Verbrauchs der Betriebsarten mit geringer Leistungsaufnahme. Der tatsächliche Energieverbrauch je Zyklus hängt von der Art der Nutzung des Geräts ab.";
für gasbeheizte Haushaltswäschetrockner:
gewichteter jährlicher Energieverbrauch (AEC(Gas)), auf eine Dezimalstelle aufgerundet; dieser ist anzugeben als: "Energieverbrauch von 'X' kWh-Gas/Jahr auf der Grundlage von 160 Trocknungszyklen für das Standard-Baumwollprogramm bei vollständiger Befüllung und Teilbefüllung. Der tatsächliche Energieverbrauch je Zyklus hängt von der Art der Nutzung des Geräts ab."
und
gewichteter jährlicher Energieverbrauch (AEC(Gas)el), auf eine Dezimalstelle aufgerundet; dieser ist anzugeben als: "Energieverbrauch von 'X' kWh/Jahr auf der Grundlage von 160 Trocknungszyklen für das Standard-Baumwollprogramm bei vollständiger Befüllung und Teilbefüllung sowie des Verbrauchs der Betriebsarten mit geringer Leistungsaufnahme. Der tatsächliche Energieverbrauch je Zyklus hängt von der Art der Nutzung des Geräts ab.";
| Technische Unterlagen | Anhang III |
Energieverbrauch (Edry, Edry1/2, Egdry, Egdry1/2, Egdry,a, Egdry1/2,a) des Standard-Baumwollprogramms bei vollständiger Befüllung und Teilbefüllung; für gasbeheizte Haushaltswäschetrockner:
gewichteter jährlicher Energieverbrauch (AEC(Gas)), auf eine Dezimalstelle aufgerundet; dieser ist anzugeben als: "Energieverbrauch von 'X' kWh-Gas/Jahr auf der Grundlage von 160 Trocknungszyklen für das Standard-Baumwollprogramm bei vollständiger Befüllung und Teilbefüllung. Der tatsächliche Energieverbrauch je Zyklus hängt von der Art der Nutzung des Geräts ab."
und
gewichteter jährlicher Energieverbrauch (AEC(Gas)el), auf eine Dezimalstelle aufgerundet; dieser ist anzugeben als: "Energieverbrauch von 'X' kWh/Jahr auf der Grundlage von 160 Trocknungszyklen für das Standard-Baumwollprogramm bei vollständiger Befüllung und Teilbefüllung sowie des Verbrauchs der Betriebsarten mit geringer Leistungsaufnahme. Der tatsächliche Energieverbrauch je Zyklus hängt von der Art der Nutzung des Geräts ab.";
| Informationen, die in Fällen bereitzustellen sind, in denen nicht davon auszugehen ist, dass der Nutzer das Gerät ausgestellt sieht | Anhang IV |
gewichteter jährlicher Energieverbrauch (AEc), auf die nächste Ganzzahl aufgerundet, anzugeben als: "Energieverbrauch von 'X' kWh/Jahr auf der Grundlage von 160 Standard-Trocknungszyklen für das Standard-Baumwollprogramm bei vollständiger Befüllung und Teilbefüllung sowie des Verbrauchs der Betriebsarten mit geringer Leistungsaufnahme. Der tatsächliche Energieverbrauch je Zyklus hängt von der Art der Nutzung des Geräts ab.";
für gasbeheizte Haushaltswäschetrockner:
gewichteter jährlicher Energieverbrauch (AEC(Gas)), auf eine Dezimalstelle aufgerundet; dieser ist anzugeben als: "Energieverbrauch von 'X' kWh-Gas/Jahr auf der Grundlage von 160 Trocknungszyklen für das Standard-Baumwollprogramm bei vollständiger Befüllung und Teilbefüllung. Der tatsächliche Energieverbrauch je Zyklus hängt von der Art der Nutzung des Geräts ab."
und
gewichteter jährlicher Energieverbrauch (AEC(Gas)el), auf eine Dezimalstelle aufgerundet; dieser ist anzugeben als: "Energieverbrauch von 'X' kWh/Jahr auf der Grundlage von 160 Trocknungszyklen für das Standard-Baumwollprogramm bei vollständiger Befüllung und Teilbefüllung sowie des Verbrauchs der Betriebsarten mit geringer
Leistungsaufnahme. Der tatsächliche Energieverbrauch je Zyklus hängt von der Art der Nutzung des Geräts ab.";
| Prüfung der Produktkonformität durch die Marktaufsichtsbehörden | Anhang V |
Die in diesem Anhang festgelegten Prüftoleranzen betreffen nur die Nachprüfung der gemessenen Parameter durch die Behörden der Mitgliedstaaten und dürfen vom Lieferanten keinesfalls als zulässige Toleranzen für die Angabe der Werte in den technischen Unterlagen verwendet werden. Die auf dem Etikett und dem Produktdatenblatt angegebenen Werte und Klassen dürfen für den Lieferanten nicht günstiger sein als die in den technischen Unterlagen vermerkten Werte.
Wenn die Behörden der Mitgliedstaaten prüfen, ob das Modell eines Produkts den in dieser Delegierten Verordnung festgelegten Anforderungen in Bezug auf die in diesem Anhang genannten Anforderungen entspricht, wenden sie folgendes Verfahren an:
(1) Die Behörden der Mitgliedstaaten prüfen ein einziges Exemplar des Modells.
(2) Das Modell gilt als konform mit den geltenden Anforderungen, wenn
(3) Werden die in Absatz 2 Buchstaben a oder b genannten Ergebnisse nicht erreicht, gelten das Modell und alle in den technischen Unterlagen des Lieferanten als gleichwertig aufgeführten Modelle von Haushaltswäschetrocknern als nicht konform mit dieser Delegierten Verordnung.
(4) Wird das in Absatz 2 Buchstabe c genannte Ergebnis nicht erreicht, wählen die Behörden des Mitgliedstaats drei weitere Exemplare des gleichen Modells für die Prüfung aus. Alternativ können drei weitere Exemplare eines oder mehrerer anderer Modelle ausgewählt werden, die in den technischen Unterlagen des Lieferanten als gleichwertige Modelle aufgeführt werden.
(5) Das Modell gilt als konform mit den geltenden Anforderungen, wenn für diese drei Exemplare das arithmetische Mittel der ermittelten Werte innerhalb der in Tabelle 1 angegebenen Toleranzen liegt.
(6) Wird das in Absatz 5 genannte Ergebnis nicht erreicht, gelten das Modell und alle in den technischen Unterlagen des Lieferanten als gleichwertig aufgeführten Modelle von Haushaltswäschetrocknern als nicht konform mit dieser Delegierten Verordnung.
(7) Die Behörden des Mitgliedstaats übermitteln den Behörden der anderen Mitgliedstaaten und der Kommission alle relevanten Informationen unverzüglich nach einer Entscheidung über die Nichtkonformität des Modells gemäß den Absätzen 3 und 6.
Die Behörden der Mitgliedstaaten verwenden Messverfahren, die sich auf allgemein anerkannte, dem Stand der Technik entsprechende, zuverlässige, genaue und reproduzierbare Messmethoden stützen, einschließlich von Methoden, die in Dokumenten dargelegt werden, deren Nummern zu diesem Zweck im Amtsblatt der Europäischen Union veröffentlicht wurden. Die Behörden der Mitgliedstaaten verwenden die Mess- und Berechnungsmethoden, die in Anhang VII beschrieben werden.
Die Behörden der Mitgliedstaaten wenden nur die in Tabelle 1 aufgeführten Prüftoleranzen und in Bezug auf die in diesem Anhang genannten Anforderungen nur das in den Absätzen 1 bis 7 beschriebene Verfahren an. Es finden keine anderen Toleranzen Anwendung, die etwa in harmonisierten Normen oder in anderen Messverfahren festgelegt sind.
Tabelle 1 Prüftoleranzen
| Parameter | Prüftoleranzen |
| Gewichteter jährlicher Energieverbrauch (AEC) | Der ermittelte Wert darf den angegebenenAEC-Wert nicht um mehr als 6 % überschreiten. |
| Gewichteter Energieverbrauch (Et) | Der ermittelte Wert darf den angegebenenEt-Wert nicht um mehr als 6 % überschreiten. |
| Gewichtete Kondensationseffizienz (Ct) | Der ermittelte Wert darf den angegebenenCt-Wert nicht um mehr als 6 % unterschreiten. |
| Gewichtete Programmdauer (Tt) | Der ermittelte Wert darf den angegebenenTt-Wert nicht um mehr als 6 % überschreiten. |
| Leistungsaufnahme im Aus-Zustand und im unausgeschalteten Zustand (Po undPl) | Die ermittelten Leistungsaufnahmewerte fürPo undPl von über 1,00 W dürfen die angegebenen Werte fürPo undPl nicht um mehr als 6 % überschreiten. Die ermittelten Leistungsaufnahmewerte fürPo undPl bis 1,00 W dürfen die angegebenen Werte fürPo undPl nicht um mehr als 0,10 W überschreiten. |
| Dauer des unausgeschalteten Zustands (Tl) | Der ermittelte Wert darf den angegebenenTl-Wert nicht um mehr als 6 % überschreiten. |
| SchallleistungspegelLWA | Der ermittelte Wert darf den fürLWA angegebenen Wert nicht überschreiten. |
| Energieeffizienzklassen und Kondensationseffizienzklassen | Anhang VI 20 |
1. Energieeffizienzklassen
Die Energieeffizienzklasse eines Haushaltswäschetrockners wird auf der Grundlage seines Energieeffizienzindex (EEI) gemäß Tabelle 1 ermittelt.
Der Energieeffizienzindex (EEI) eines Haushaltswäschetrockners wird gemäß Anhang VII Nummer 1 ermittelt.
Tabelle 1: Energieeffizienzklassen
| Energieeffizienzklasse | Energieeffizienzindex |
| A+++ (höchste Effizienz) | EEI < 24 |
| A++ | 24 ≤ EEI < 32 |
| A+ | 32≤ EEI < 42 |
| A | 42 ≤ EEI < 65 |
| B | 65 ≤ EEI < 76 |
| C | 76 ≤ EEI < 85 |
| D (geringste Effizienz) | 85 ≤ EEI |
2. Kondensationseffizienzklassen 20
Die Kondensationseffizienzklasse eines Kondensations-Haushaltswäschetrockners wird auf der Grundlage der gewichteten Kondensationseffizienz (Ct) gemäß Tabelle 2 ermittelt.
Die gewichtete Kondensationseffizienz (Ct) eines Kondensations-Haushaltswäschetrockners wird gemäß Anhang VII Nummer 3 ermittelt.
Tabelle 2: Kondensationseffizienzklassen
| Kondensationseffizienzklasse | Gewichtete Kondensationseffizienz |
| a (höchste Effizienz) | Ct > 90 |
| B | 80 <Ct ≤ 90 |
| C | 70 <Ct ≤ 80 |
| D | 60 <Ct ≤ 70 |
| E | 50 <Ct ≤ 60 |
| F | 40 <Ct ≤ 50 |
| G (geringste Effizienz) | Ct ≤ 40 |
| Methode zur Berechnung des Energieeffizienzindex und der gewichteten Kondensationseffizienz | Anhang VII |
1. Berechnung des Energieeffizienzindex
Zur Berechnung des Energieeffizienzindex (EEI) eines Haushaltswäschetrocknermodells wird der gewichtete jährliche Energieverbrauch eines Haushaltswäschetrockners für das Standard-Baumwollprogramm bei vollständiger Befüllung und Teilbefüllung mit seinem jährlichen Standardenergieverbrauch verglichen.
| EEI= | AEC | × 100 |
| SAEC |
Hierbei ist
AEC = jährlicher Energieverbrauch des Haushaltswäschetrockners;
SAEC = jährlicher Standardenergieverbrauch des Haushaltswäschetrockners.
SAEC = 140 × c0,8
Hierbei ist
c die Nennkapazität des Haushaltswäschetrockners im Standard-Baumwollprogramm;
Ttist die gewichtete Programmdauer des Standard-Baumwollprogramms.
Hierbei ist
Et = gewichteter Energieverbrauch in kWh, auf zwei Dezimalstellen auf- oder abgerundet;
Po = Leistungsaufnahme im Aus-Zustand des Standard-Baumwollprogramms mit vollständiger Befüllung in W, auf zwei Dezimalstellen auf- oder abgerundet;
Pl = Leistungsaufnahme im unausgeschalteten Zustand des Standard-Baumwollprogramms mit vollständiger Befüllung in W, auf zwei Dezimalstellen auf- oder abgerundet;
Tt = gewichtete Programmdauer in Minuten, auf die nächste ganze Minute auf- oder abgerundet;
160 = Gesamtzahl der Standard-Trocknungszyklen im Jahr.
Hierbei ist
Tl = Dauer des unausgeschalteten Zustands des Standard-Baumwollprogramms bei vollständiger Befüllung in Minuten, auf die nächste ganze Minute auf- oder abgerundet.
Tt = (3 x Tdry + 4 x Tdry1/2)/7
Hierbei ist
Tdry= Programmdauer des Standard-Baumwollprogramms bei vollständiger Befüllung in Minuten, auf die nächste ganze Minute auf- oder abgerundet;
Tdry1/2 = Programmdauer des Standard-Baumwollprogramms bei Teilbefüllung in Minuten, auf die nächste ganze Minute auf- oder abgerundet.
Et = (3 x Edry + 4 x Edry1/2)/7
Hierbei ist
Edry = Energieverbrauch im Standard-Baumwollprogramm bei vollständiger Befüllung in kWh, auf zwei Dezimalstellen auf- oder abgerundet;
Edry1/2 = Energieverbrauch im Standard-Baumwollprogramm bei Teilbefüllung in kWh, auf zwei Dezimalstellen auf- oder abgerundet.
Hierbei ist
Egdry = Gasverbrauch im Standard-Baumwollprogramm bei vollständiger Befüllung in kWh, auf zwei Dezimalstellen auf- oder abgerundet;
Edry1/2 = Gasverbrauch im Standard-Baumwollprogramm bei Teilbefüllung in kWh, auf zwei Dezimalstellen auf- oder abgerundet;
Egdry,a = zusätzlicher Stromverbrauch im Standard-Baumwollprogramm bei vollständiger Befüllung in kWh, auf zwei Dezimalstellen auf- oder abgerundet;
Egdry1/2,a = zusätzlicher Stromverbrauch im Standard-Baumwollprogramm bei Teilbefüllung in kWh, auf zwei Dezimalstellen auf- oder abgerundet;
fg = 2,5.
2. Berechnung für die Produktinformation gemäss "Anhang II Produktdatenblatt", "Anhang III Technische Unterlagen" und "Anhang IV Informationen, die in Fällen bereitzustellen sind, in denen nicht davon auszugehen ist, dass der Nutzer das Gerät ausgestellt sieht"
Für gasbeheizte Haushaltswäschetrockner wird der Energieverbrauch (Gas) für das Standard-Baumwollprogramm bei vollständiger Befüllung und Teilbefüllung zum Zweck der Angabe in den Anhängen II, III und IV in kWhGas auf zwei Dezimalstellen gerundet angegeben als
AEC(Gas) = 160 × (3 × Egdry + 4 × Egdry1/2)/7
Für gasbeheizte Haushaltswäschetrockner wird der Energieverbrauch (Strom) für das Standard-Baumwollprogramm bei vollständiger Befüllung und Teilbefüllung zum Zweck der Angabe in den Anhängen II, III und IV in kWh auf zwei Dezimalstellen gerundet angegeben als
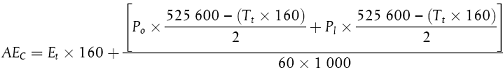
AEC(Gas)el = 160 × (3 × Egdry,a+ 4 × Egdry1/2,a )/7 + ((Pl × Tl × 160) + Po × [525 600 - (Tt × 160) - (Tl × 160)])/60 × 1 000
3. Berechnung der gewichteten Kondensationseffizienz
Die Kondensationseffizienz eines Programms ist der Quotient der Masse der kondensierten, im Behälter eines Kondensations-Haushaltswäschetrockners gesammelten Feuchtigkeit und der der Befüllung durch das Programm entzogenen Feuchtigkeit, wobei letztere die Differenz der Masse des nassen Testfüllguts vor dem Trocknen und der Masse des Testfüllguts nach dem Trocknen ist. Zur Berechnung der gewichteten Kondensationseffizienz wird die durchschnittliche Kondensationseffizienz für das Standard-Baumwollprogramm bei vollständiger Befüllung als auch bei Teilbefüllung berücksichtigt.
Die gewichtete Kondensationseffizienz (Ct) eines Programms wird wie folgt in Prozent berechnet und auf das nächste ganze Prozent auf- oder abgerundet:
Ct = (3 x Cdry + 4 x Cdry1/2)/7
Hierbei ist
Cdry= durchschnittliche Kondensationseffizienz des Standard-Baumwollprogramms bei vollständiger Befüllung;
Cdry1/2 = durchschnittliche Kondensationseffizienz des Standard-Baumwollprogramms bei Teilbefüllung.
Die durchschnittliche Kondensationseffizienz C wird anhand der Werte für die Kondensationseffizienz der Testläufe berechnet und als Prozentsatz angegeben:
Hierbei ist
n die Zahl der Testläufe, die mindestens vier gültige Testläufe für das gewählte Programm umfassen müssen;
j ist die Nummer des Testlaufs;
Wwj ist die Masse des im Kondensationsbehälter beim Testlauf j gesammelten Wassers;
Wi ist die Masse des nassen Testfüllguts vor dem Trocknen;
Wf ist die Masse des Testfüllguts nach dem Trocknen.
| Informationen, die im Fall des Verkaufs, der Vermietung oder des Mietkaufs über das Internet bereitzustellen sind | Anhang VIII 14 |
(1) Für die Zwecke der Nummern 2 bis 5 gelten die folgenden Begriffsbestimmungen:
(2) Das von den Lieferanten gemäß Artikel 3 Buchstabe f bereitgestellte Etikett ist auf dem Anzeigemechanismus in der Nähe des Produktpreises darzustellen. Die Größe ist so zu wählen, dass das Etikett gut sichtbar und leserlich ist, und die Proportionen müssen der in Anhang I Nummer 4 festgelegten Größe entsprechen. Das Etikett kann mit Hilfe einer geschachtelten Anzeige angezeigt werden, wobei das für den Zugang zum Etikett verwendete Bild den Vorgaben in Nummer 3 entsprechen muss. Bei Anwendung einer geschachtelten Anzeige muss das Etikett beim ersten Mausklick auf das Bild, beim ersten Maus-Rollover über das Bild bzw. beim ersten Berühren oder Aufziehen des Bildes auf einem Touchscreen erscheinen.
(3) Das für den Zugang zum Etikett genutzte Bild muss bei einer geschachtelten Anzeige
(4) Bei einer geschachtelten Anzeige muss die Reihenfolge, in der das Etikett angezeigt wird, folgenden Vorgaben entsprechen:
(5) Das von den Lieferanten gemäß Artikel 3 Buchstabe g bereitgestellte Produktdatenblatt ist auf dem Anzeigemechanismus in der Nähe des Produktpreises darzustellen. Die Größe ist so zu wählen, dass das Produktdatenblatt gut sichtbar und leserlich ist. Das Produktdatenblatt kann mit Hilfe einer geschachtelten Anzeige dargestellt werden; in diesem Fall muss auf dem Link für den Zugriff auf das Datenblatt klar und leserlich ,Produktdatenblatt' angegeben sein. Bei Anwendung einer geschachtelten Anzeige muss das Produktdatenblatt beim ersten Mausklick auf den Link, beim ersten Maus-Rollover über den Link bzw. beim ersten Berühren oder Aufziehen des Links auf einem Touchscreen erscheinen.
![]() |
ENDE | ![]() |
(Stand: 26.08.2025)
Alle vollständigen Texte in der aktuellen Fassung im Jahresabonnement
Nutzungsgebühr: ab 105.- € netto (Grundlizenz)
(derzeit ca. 7200 Titel s.Übersicht - keine Unterteilung in Fachbereiche)
Die Zugangskennung wird kurzfristig übermittelt
? Fragen ?
Abonnentenzugang/Volltextversion