Für einen individuellen Ausdruck passen Sie bitte die
Einstellungen in der Druckvorschau Ihres Browsers an.
Regelwerk, EU 2013, Immissionsschutz - EU Bund

Durchführungsbeschluss 2013/341/EU der Kommission vom 27. Juni 2013 über die Genehmigung des Wechselstromgenerators "Valeo Efficient Generation Alternator" als innovative Technologie zur Verringerung der CO2-Emissionen von Personenkraftwagen gemäß der Verordnung (EG) Nr. 443/2009 des Europäischen Parlaments und des Rates

(Text von Bedeutung für den EWR)

(ABl. Nr. L 179 vom 29.06.2013 S. 98;
Beschl. 2014/465/EU - ABl. Nr. L 210 vom 17.07.2014 S. 17 Inkrafttreten;
Beschl. (EU) 2020/1806 - ABl. L 402 vom 01.12.2020 S. 91aufgehoben)



aufgehoben/ersetzt gem. Art. 5 des Beschl.'es (EU) 2020/1806

Hinweis: s. Liste - über die Genehmigung ... als innovative Technologie ...

Die Europäische Kommission -

gestützt auf den Vertrag über die Arbeitsweise der Europäischen Union,

gestützt auf die Verordnung (EG) Nr. 443/2009 des Europäischen Parlaments und des Rates vom 23. April 2009 zur Festsetzung von Emissionsnormen für neue Personenkraftwagen im Rahmen des Gesamtkonzepts der Gemeinschaft zur Verringerung der CO2-Emissionen von Personenkraftwagen und leichten Nutzfahrzeugen 1, insbesondere auf Artikel 12 Absatz 4,

in Erwägung nachstehender Gründe:

(1) Der Zulieferer Valeo Equipments Electriques Moteur (nachstehend der "Antragsteller") hat am 18. Dezember 2012 beantragt, den Wechselstromgenerator "Valeo Efficient Generation Alternator" (Valeo EG Alternator] als innovative Technologie zu genehmigen. Die Vollständigkeit des Antrags wurde gemäß Artikel 4 der Durchführungsverordnung (EU) Nr. 725/2011 der Kommission vom 25. Juli 2011 zur Einführung eines Verfahrens zur Genehmigung und Zertifizierung innovativer Technologien zur Verringerung der CO2-Emissionen von Personenkraftwagen nach der Verordnung (EG) Nr. 443/2009 des Europäischen Parlaments und des Rates 2 überprüft. Der Antrag wurde für vollständig befunden, und der Zeitraum für die Prüfung des Antrags durch die Kommission begann am Tag nach dem Datum des offiziellen Eingangs, also am 19. Dezember 2012.

(2) Der Antrag wurde gemäß Artikel 12 der Verordnung (EG) Nr. 443/2009, der Durchführungsverordnung (EU) Nr. 725/2011 und den technischen Leitlinien für die Vorbereitung von Anträgen auf Genehmigung innovativer Technologien gemäß der Verordnung (EG) Nr. 443/2009 (Technical Guidelines) 3 bewertet.

(3) Der Antrag betrifft den Wechselstromgenerator "Valeo EG Alternator", einen Generator mit einem Wirkungsgrad von mindestens 77 %, wie mit dem unter Punkt 5.1.2 und in Anhang I der technischen Leitlinien beschriebenen VDA-Verfahren ermittelt wurde. Der Wechselstromgenerator des Antragstellers verfügt über eine Synchrongleichrichtung mittels Metalloxid-Halbleiter-Feldeffekttransistoren, wodurch ein hoher Wirkungsgrad erzielt wird.

(4) Nach Auffassung der Kommission geht aus dem Antrag hervor, dass die in Artikel 12 der Verordnung (EG) Nr. 443/2009 und in den Artikeln 2 und 4 der Durchführungsverordnung (EU) Nr. 725/2011 genannten Bedingungen und Kriterien erfüllt wurden.

(5) Der Antragsteller hat nachgewiesen, dass der hocheffiziente Wechselstromgenerator des in diesem Antrag beschriebenen Typs erst ab 2013 auf dem EU-Markt verfügbar sein wird und dass folglich der Marktanteil für diese Art von Wechselstromgeneratoren im Jahr 2009 unter dem in Artikel 2 Absatz 2 Buchstabe a der Durchführungsverordnung (EU) Nr. 725/2011 festgesetzten Schwellenwert von 3 % lag. Diese Aussage wird auch durch den beigefügten Prüfbericht bestätigt. Aus diesem Grund ist die Kommission der Auffassung, dass der vom Antragsteller angebotene hocheffiziente Wechselstromgenerator als den Auswahlkriterien gemäß Artikel 2 Absatz 2 Buchstabe a der Durchführungsverordnung (EU) Nr. 725/2011 entsprechend anzusehen ist.

(6) Um festzustellen, wie viel CO2 eingespart wird, wenn diese innovative Technologie in ein Kraftfahrzeug eingebaut wird, muss ein Vergleichsfahrzeug bestimmt werden, mit dem die Effizienz des mit der innovativen Technologie ausgestatteten Fahrzeugs gemäß den Artikeln 5 und 8 der Durchführungsverordnung (EU) Nr. 725/2011 verglichen wird. Nach Auffassung der Kommission ist es sinnvoll, einen Wechselstromgenerator mit einem Wirkungsgrad von 67 % als geeignete Vergleichstechnologie vorzusehen, wenn die innovative Technologie in einen neuen Fahrzeugtyp eingebaut wird. Wird der "Valeo EG Alternator" in einen bereits vorhandenen Fahrzeugtyp eingebaut, so sollte der Wechselstromgenerator der neuesten auf dem Markt verfügbaren Version dieses Typs als Vergleichstechnologie herangezogen werden.

(7) Der Antragsteller hat eine umfassende Methode übermittelt, mit der die Verringerung der CO2-Emissionen geprüft wird. Sie beinhaltet Formeln, die mit den in den technischen Leitlinien beschriebenen Formeln für einen vereinfachten Ansatz in Bezug auf effiziente Wechselstromgeneratoren übereinstimmen. Nach Auffassung der Kommission wird die Prüfmethode im Einklang mit Artikel 6 der Durchführungsverordnung (EU) Nr. 725/2011 nachprüfbare, wiederholbare und vergleichbare Ergebnisse erbringen und in realistischer Weise und mit hoher statistischer Signifikanz die Vorteile der innovativen Technologie in Bezug auf die CO2-Emissionen nachweisen.

(8) Deshalb ist die Kommission der Auffassung, dass der Antragsteller in zufriedenstellender Weise nachgewiesen hat, dass die durch die innovative Technologie erzielte Emissionsreduktion mindestens 1 g CO2/km beträgt.

(9) Die Kommission nimmt zur Kenntnis, dass die Einsparungen durch die innovative Technologie teilweise mit dem standardisierten Prüfzyklus nachgewiesen werden können; weshalb die zu zertifizierenden endgültigen Gesamteinsparungen gemäß Artikel 8 Absatz 2 Unterabsatz 2 der Durchführungsverordnung (EU) Nr. 725/2011 ermittelt werden sollten.

(10) Die Kommission stellt fest, dass der Prüfbericht von UTAC, einer unabhängigen und zertifizierten Stelle, erarbeitet wurde und der Bericht die im Antrag angeführten Ergebnisse bestätigt.

(11) Vor diesem Hintergrund ist die Kommission der Auffassung, dass gegen die Genehmigung der betreffenden innovativen Technologie keine Einwände erhoben werden sollten.

(12) Jeder Hersteller, der zur Einhaltung seiner Zielvorgabe für spezifische Emissionen von einer Verringerung der durchschnittlichen spezifischen CO2-Emissionen durch den Einsatz der mit diesem Beschluss genehmigten innovativen Technologie profitieren will, sollte in seinem Antrag auf eine EG-Typgenehmigung für die betreffenden Fahrzeuge gemäß Artikel 11 Absatz 1 der Durchführungsverordnung (EU) Nr. 725/2011 auf diesen Beschluss verweisen

- hat folgenden Beschluss erlassen:

Artikel 1

(1) Der Wechselstromgenerator "Valeo Efficient Generation Alternator" mit einem Wirkungsgrad von mindestens 77 % zur Verwendung in Fahrzeugen der Klasse M1 wird als innovative Technologie im Sinne von Artikel 12 der Verordnung (EG) Nr. 443/2009 genehmigt.

(2) Die Verringerung der CO2-Emissionen durch den Einsatz des in Absatz 1 genannten Wechselstromgenerators wird nach der im Anhang beschriebenen Methode bestimmt.

(3) Gemäß Artikel 11 Absatz 2 Unterabsatz 2 der Durchführungsverordnung (EU) Nr. 725/2011 kann die gemäß Absatz 2 des vorliegenden Artikels festgestellte Verringerung der CO2-Emissionen nur dann zertifiziert und in eine Übereinstimmungsbescheinigung und die betreffenden Typgenehmigungsunterlagen gemäß den Anhängen I, VIII und IX der Richtlinie 2007/46/EG des Europäischen Parlaments und des Rates 4 eingetragen werden, wenn die Verringerungen mindestens auf oder über Schwellenwert gemäß Artikel 9 Absatz 1 der Durchführungsverordnung (EU) Nr. 725/2011 liegen.

Artikel 2

Dieser Beschluss tritt am zwanzigsten Tag nach seiner Veröffentlichung im Amtsblatt der Europäischen Union in Kraft.

Brüssel, den 27. Juni 2013

1) ABl. Nr. L 140 vom 05.06.2009 S. 1.

2) ABl. Nr. L 194 vom 26.07.2011 S. 19.

3) http://ec.europa.eu/clima/policies/transport/vehicles/cars/docs/guidelines_en.pdf

4) ABl. Nr. L 263 vom 09.10.2007 S.1.

.

Methode für die Bestimmung der Verringerung der CO2-Emissionen durch den Einsatz des Wechselstromgenerators "Valeo Efficient Generation Alternator" in einem Fahrzeug der Klasse M1 Anhang


1. Einleitung

Um zu ermitteln, welche Verringerung der CO2-Emissionen auf den Einsatz des Wechselstromgenerators "Valeo EG Alternator" in einem Fahrzeug der Klasse M1 zurückgeführt werden kann, ist Folgendes zu bestimmen:

  1. das zur Bestimmung des Wirkungsgrads des Wechselstromgenerators anzuwendende Prüfverfahren;
  2. die Anordnung des Prüfstands;
  3. die Formeln zur Berechnung der Standardabweichung;
  4. die CO2-Einsparungen zur Bescheinigung durch die für die Typgenehmigung zuständigen Behörden.

2. Prüfverfahren 14

Der Wirkungsgrad des Wechselstromgenerators ist durch Messungen bei verschiedenen Geschwindigkeiten - 1.800, 3.000, 6.000, 10.000 Umdrehungen pro Minute - zu bestimmen. Bei jeder Geschwindigkeit wird der Generator mit 50 % der Höchstlast belastet. Die zeitliche Aufteilung bei der Berechnung des Wirkungsgrads beträgt 25 %, 40 %, 25 % und 10 % bei einer Drehzahl von jeweils 1.800/min, 3.000/min, 6.000/min und 10 000/min (vgl. VDA-Verfahren entsprechend Punkt 5.1.2 in Anhang I der technischen Leitlinien).

Hierdurch ergibt sich folgende Formel 1:

Dabei ist:

Die Anordnung des Prüfstands und das Prüfverfahren müssen den Genauigkeitsvorgaben der Norm ISO 8854:2012 1 entsprechen.

3. Prüfstand

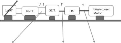
Zu verwenden ist ein Prüfstand für einen Wechselstromgenerator mit "Direktantrieb". Der Wechselstromgenerator ist direkt an den Drehmomentmesser und den Schaft des Antriebs angebracht. An den Wechselstromgenerator wird eine Batterie und eine elektronische Last angeschlossen. Siehe Anordnung des Prüfstands in Abbildung 1.

Abbildung 1 Anordnung des Prüfstands


Vom Wechselstromgenerator
erzeugte elektrische Leistung
Den Wechselstromgenerator
zugeführte mechanische Leistung
Vom bürstenlosen Motor erzeugte mechanische Leistung
 
DM = Drehmomentmesser
GEN. = Wechselstromgenerator
BATT. = Batterie
U, I = Spannung, Stromstärke
T = Drehmoment
ω = Winkelgeschwindigkeit

Abbildung 1 zeigt eine Übersicht über die Anordnung des Prüfstands. Der Wechselstromgenerator wandelt die mechanische Leistung des bürstenlosen Motors in elektrische Leistung um. Der bürstenlose Motor erzeugt die Leistung, die durch das Drehmoment (Nm) und die Winkelgeschwindigkeit (rad.s-1) bestimmt wird. Drehmoment und Geschwindigkeit werden durch den Drehmomentmesser gemessen.

Der Wechselstromgenerator erzeugt Leistung, um die an ihn angeschlossene Last zu überwinden. Diese Leistung ist definiert als Wechselstromgeneratorspannung (U) multipliziert mit dem Wechselstromgeneratorstromstärke (I).

Der Wirkungsgrad des Wechselstromgenerators wird definiert als elektrische Leistung (Leistung des Wechselstromgenerators) geteilt durch die mechanische Leistung (Anzeige des Drehstrommessers).

Formel 2: ηA = (U * i)/(T * ω)

Dabei ist:

ηA: Wirkungsgrad des Wechselstromgenerators;

U: Spannung (V);

I: Stromstärke (A);

T: Drehmoment (Nm);

ω: Winkelgeschwindigkeit des Wechselstromgenerators (rad. s-1)

4. Messung des Drehmoments und Berechnung des Wirkungsgrads des Wechselstromgenerators

Die Prüfungen sind unter Einhaltung der Norm ISO 8854:2012 durchzuführen.

Die Belastung ist bei 50 % der Stromstärke einzustellen, die für den Wechselstromgenerator bei einer Temperatur von 25 °C und einer Rotordrehzahl von 6.000/min garantiert ist, d. h. bei einem Generator der Klasse 180 a (bei 25 °C und 6.000/min) bei 90 A.

Bei jeder Geschwindigkeit werden Spannung und Ausgangsstromstärke konstant gehalten, bei einem 180 A-Wechselstromgenerator beträgt die Spannung 14,3 V und die Stromstärke 90 A. Für jede Geschwindigkeit wird das Drehmoment mithilfe des Prüfstands (vgl. Abb. 1) gemessen und der Wirkungsgrad anhand der Formel 2 berechnet.

Mit dieser Prüfun sollen die Wirkungsgrade des Wechselstromgenerators bei 4 unterschiedlichen Geschwindigkeiten in Drehzahlen (min-1) ermittelt werden:

Der durchschnittliche Wirkungsgrad des Wechselstromgenerators ist anhand der Formel 1 zu berechnen.

5. Standardabweichung beim arithmetischen Mittel des Wirkungsgrads des Wechselstromgenerators

Statistische Fehler bei den Ergebnissen der Prüfmethode aufgrund der Messungen sind zu quantifizieren. Als Format des Fehlers ist eine Standardabweichung anzusetzen, die einem zweiseitigen Konfidenzintervall von 84 % entspricht (vgl. Formel 3).

Formel 3:

Dabei ist:: Standardabweichung des arithmetischen Mittels;

xi: Messwert;: arithmetisches Mittel;

n: Anzahl der Messungen.

Alle Messungen sind mindestens fünf (5) Mal hintereinander auszuführen. Für jede Geschwindigkeit wird die Standardabweichung berechnet.

Die Standardabweichung des Wirkungsgrads des Wechselstromgenerators (ΔηA ) wird wie folgt berechnet:

Formel 4: ΔηA = √ (0,25 * (S1.800 )2 + 0,40 * (S3.000 )2 + 0,25 * (S6.000 )2 + 0,1 * (S10.000)2 )

Wobei es sich bei den Werten 0,25, 0,40, 0,25 und 0,1 um dieselben Gewichtungswerte handelt wie in der Formel 2 und S1.800, S3.000, S6 000 und S10.000 die nach der Formel 3 berechneten Standardabweichungen sind.

6. Fehler bei den CO2-Einsparungen aufgrund der Standardabweichung (Fehlerfortpflanzungsgesetz)

Durch die Standardabweichung des Wirkungsgrads des Wechselstromgenerators (ΔηA) kommt es bei den CO2-Einsparungen zu einem Fehler. Dieser lässt sich anhand der nachstehenden Formel berechnen 2:

Formel 5: ΔCO2 = (Pm-RW - Pm-TA ) · (1/ηA-EI2) · ΔηA · (VPe · CFp/v)

Dabei:

ΔCO2: Fehler bei den CO2-Einsparungen (g CO2/km);

PRW: 750 W;

PTA: 350 W;

ηA-EI: Wirkungsgrad des hocheffizienten Wechselstromgenerators;

ΔηA: Standardabweichung bei der Effizienz des Wechselstromgenerators (Ergebnis der Berechnung nach Formel 4);

VPe: Willans-Faktor (l/kWh);

CF: Umrechnungsfaktor (g CO2/l);

v: durchschnittliche Fahrgeschwindigkeit des NEFZ (km/h)

7. Berechnung des zu berücksichtigenden Anteils der eingesparten mechanischen Leistung

Der hocheffiziente Wechselstromgenerator führt zu einer Einsparung bei der mechanischen Leistung, die in zwei Schritten zu berechnen ist. In einem ersten Schritt wird die eingesparte mechanische Leistung unter "realen" Bedingungen berechnet. Der zweite Schritt besteht in der Berechnung der eingesparten mechanischen Leistung unter den Bedingungen der Typgenehmigung. Die Subtraktion dieser beiden Einsparungen an mechanischer Leistung ergibt den zu berücksichtigenden Anteil der eingesparten mechanischen Leistung.

Die unter "realen" Bedingungen eingesparte mechanische Leistung wird nach der Formel 6 berechnet.

Formel 6: ΔPm-RW = (PRWA ) - (PRWA-EI)

Wobei:

APm-RW: unter "realen" Bedingungen eingesparte mechanische Leistung (W);

PRW: elektrische Leistung unter "realen" Bedingungen, d. h. 750 W;

ηA: Wirkungsgrad des Vergleichs-Wechselstromgenerators;

ηA-EI: Wirkungsgrad des hocheffizienten Wechselstromgenerators.

Die eingesparte mechanische Leistung unter den Bedingungen der Typgenehmigung wird nach der Formel 7 berechnet.

Formel 7: ΔPm-TA = (PTAA) - (PTAA-EI )

Dabei ist:

ΔPm-TA: eingesparte mechanische Leistung unter den Bedingungen der Typgenehmigung (W);

PTA: elektrische Leistung unter den Bedingungen der Typgenehmigung, d. h. 350 W;

ηA: Wirkungsgrad des Vergleichs-Wechselstromgenerators;

ηA-EI: Wirkungsgrad des hocheffizienten Wechselstromgenerators

Der zu berücksichtigende Anteil der eingesparten mechanischen Leistung wird nach der Formel 8 berechnet.

Formel 8: ΔPm = ΔPm-RW - ΔPm-TA

Dabei ist:

ΔPm: zu berücksichtigender Anteil der eingesparten mechanischen Leistung (W);

ΔPm-TA: eingesparte mechanische Leistung unter den Bedingungen der Typgenehmigung (W);

8. Formel zur Berechnung der CO2-Einsparungen

Die CO2-Einsparungen werden nach folgender Formel berechnet:

Formel 9: CCO2 = ΔPm · VPe · CF/v

Dabei ist:

CCO2: Verringerung der CO2-Emissionen (g CO2/km);

ΔPm: zu berücksichtigender Anteil der eingesparten mechanischen Leistung nach der Formel 8 (W);

VPe: Willans-Faktor (l/kWh);

CF: Umrechnungsfaktor (g CO2/l)

v: durchschnittliche Fahrgeschwindigkeit des NEFZ (km/h)

Für die Berechnung der Willans-Faktoren sind die in der Tabelle 1 aufgeführten Daten zu verwenden:

Tabelle 1: Willans-Faktoren

Motortyp Verbrauch an effektiver Energie VPe
(l/kWh)
Benzin (VPe-P) 0,264
Benzin Turbo 0,28
Diesel (VPe-D) 0,22

Für die Umrechnungsfaktoren sind die in der Tabelle 2 aufgeführten Daten zu verwenden:

Tabelle 2: Umrechnungsfaktoren

Art des Kraftstoffs Umrechnungsfaktor (l/100 km) → (gCO2/km)
(100 g/l)
Benzin 23,3 = 2 330 g CO2/l)
Turbobenzin 23,3 (= 2 330 g CO2/l)
Diesel 26,4 (= 2 640 g CO2/l)

Durchschnittliche Fahrgeschwindigkeit des NEFZ (v): 33,58 km/h

9. Statistische Signifikanz

Für jeden Typ, jede Variante und jede Version eines Fahrzeugs, das mit dem "Valeo EG Alternator" ausgestattet ist, ist nachzuweisen, dass der nach der Formel 5 berechnete Fehler bei den CO2-Einsparungen nicht größer ist als die Differenz zwischen den CO2-Gesamteinsparungen und dem Schwellenwert für die Mindesteinsparungen gemäß Artikel 9 Absatz 1 der Durchführungsverordnung (EU) Nr. 725/2011 (vgl. Forme 7).

Formel 10: MT < CCO2 - Dabei ist:

MT: Mindestschwellenwert (g CO2/km);

CCO2: CO2-Gesamteinsparungen (g CO2/km);: Fehler bei den CO2-Einsparungen (g CO2/km)

10. Der hocheffiziente Wechselstromgenerator zum Einbau in Fahrzeuge

Zur Ermittlung der CO2-Einsparungen durch die Verwendung des "Valeo EG Alternator", die durch die Typgenehmigungsbehörde gemäß Artikel 12 der Durchführungsverordnung (EU) Nr. 725/2011 zu zertifizieren sind, muss der Hersteller des Fahrzeugs der Klasse M1, in den der Wechselstromgenerator eingebaut wird, gemäß Artikel 5 der genannten Verordnung ein mit dem "Valeo EG Alternator" ausgestattetes Ökoinnovationsfahrzeug und eines der nachstehenden Vergleichsfahrzeuge bestimmen:

  1. Wird die Ökoinnovation in einen neuen Fahrzeugtyp eingebaut, für den eine neue Typgenehmigung beantragt wird, so muss es sich beim Vergleichsfahrzeug in jeder Hinsicht um den neuen Fahrzeugtyp handeln, mit Ausnahme hinsichtlich des Wechselstromgenerators, der ein Generator mit einem Wirkungsgrad von 67 % sein muss.
  2. Wird die Ökoinnovation in eine vorhandene Version des Fahrzeugs eingebaut, dessen Typgenehmigung nach Austausch des vorhandenen Wechselstromgenerators durch die Ökoinnovation verlängert wird, so muss das Vergleichsfahrzeug in jeder Hinsicht - mit Ausnahme des Wechselstromgenerators, der dem Generator der vorhandenen Fahrzeugversion entsprechen muss - dasselbe sein wie das Ökoinnovationsfahrzeug.

Die Typgenehmigungsbehörde zertifiziert die CO2-Einsparungen anhand von Messungen am Vergleichsfahrzeug und am Ökoinnovationsfahrzeug gemäß Artikel 8 Absatz 1 und Artikel 8 Absatz 2 Unterabsatz 2 der Durchführungsverordnung (EU) Nr. 725/2011 unter Verwendung der in diesem Anhang festgelegten Testmethode. Liegen die Einsparungen bei den CO2-Emissionen unterhalb des in Artikel 9 Absatz 1 angegebenen Schwellenwerts, so gilt Artikel 11 Absatz 2 Unterabsatz 2 der Durchführungsverordnung (EU) Nr. 725/2011.

11. In die Typgenehmigungsunterlagen einzutragender Ökoinnovationscode

Bezüglich der Festlegung des allgemeinen Ökoinnovationscodes für die mit dem vorliegenden Beschluss genehmigte innovative Technologie in den betreffenden Typgenehmigungsunterlagen gemäß den Anhängen I, VIII und IX der Richtlinie 2007/46/EG ist der individuelle Code "2" zu verwenden.

Beispiel: Der Code für die Ökoinnovation im Falle von Ökoinnovationseinsparungen, die von der deutschen Typgenehmigungsbehörde zertifiziert werden, lautet "e1 2".

________

1) ISO 8854. Road vehicles - Alternators with regulators - Test methods and general requirements Referenznummer ISO 8854:2012(E).

2) Die Formel 5 lässt sich aus dem Fehlerfortpflanzungsgesetz ableiten, das in Abschnitt 4.2.1 der technischen Leitlinien erläutert ist.

ENDE

umwelt-online - Demo-Version


(Stand: 18.12.2020)

Alle vollständigen Texte in der aktuellen Fassung im Jahresabonnement
Nutzungsgebühr: ab 105.- € netto

(derzeit ca. 7200 Titel s.Übersicht - keine Unterteilung in Fachbereiche)

Preise & Bestellung

Die Zugangskennung wird kurzfristig übermittelt

? Fragen ?
Abonnentenzugang/Volltextversion