Für einen individuellen Ausdruck passen Sie bitte die
Einstellungen in der Druckvorschau Ihres Browsers an.
Regelwerk, EU 2016, Immissionsschutz - EU Bund

Durchführungsbeschluss (EU) 2016/265 der Kommission vom 25. Februar 2016 über die Genehmigung des Motorgenerators von MELCO als innovative Technologie zur Verringerung der CO2-Emissionen von Personenkraftwagen gemäß der Verordnung (EG) Nr. 443/2009 des Europäischen Parlaments und des Rates

(Text von Bedeutung für den EWR)

(ABl. Nr. L 50 vom 26.02.2016 S. 30;
Beschl. (EU) 2020/1806 - ABl. L 402 vom 01.12.2020 S. 91aufgehoben)



aufgehoben/ersetzt gem. Art. 5 des Beschl.'es (EU) 2020/1806

Hinweis: s. Liste - über die Genehmigung ... als innovative Technologie ...

Die Europäische Kommission -

gestützt auf den Vertrag über die Arbeitsweise der Europäischen Union,

gestützt auf die Verordnung (EG) Nr. 443/2009 des Europäischen Parlaments und des Rates vom 23. April 2009 zur Festsetzung von Emissionsnormen für neue Personenkraftwagen im Rahmen des Gesamtkonzepts der Gemeinschaft zur Verringerung der CO2-Emissionen von Personenkraftwagen und leichten Nutzfahrzeugen 1, insbesondere auf Artikel 12 Absatz 4,

in Erwägung nachstehender Gründe:

(1) Der Zulieferer Mitsubishi Electric Corporation (MELCO), in der Union vertreten durch Mitsubishi Electric Automotive Europe B.V. (im Folgenden "Antragsteller"), beantragte am 27. Mai 2015 die Genehmigung seiner zweiten innovative Technologie: des Motorgenerators von MELCO. Die Vollständigkeit des Antrags wurde gemäß Artikel 4 der Durchführungsverordnung (EU) Nr. 725/2011 der Kommission 2 geprüft. Der Antrag wurde für vollständig befunden, und der Zeitraum für die Bewertung des Antrags durch die Kommission nach Artikel 10 Absatz 2 der genannten Verordnung begann am 28. Mai 2015.

(2) Der Antrag wurde gemäß Artikel 12 der Verordnung (EG) Nr. 443/2009, der Durchführungsverordnung (EU) Nr. 725/2011 und dem technischen Leitfaden für die Vorbereitung von Anträgen auf Genehmigung innovativer Technologien gemäß der Verordnung (EG) Nr. 443/2009 3 (im Folgenden "technischer Leitfaden") geprüft. Aus dem Antrag geht hervor, dass die in Artikel 12 der Verordnung (EG) Nr. 443/2009 und in den Artikeln 2 und 4 der Durchführungsverordnung (EU) Nr. 725/2011 genannten Bedingungen und Kriterien erfüllt wurden.

(3) Der Motorgenerator von MELCO verfügt über eine Generatorfunktion ähnlich einem regulären Generator. Im Vergleich mit einem Vergleichsgenerator senkt er Statorkupferverluste mittels eines mit einer Methode für ultradichtes Wickeln von Draht hergestellten Stators mit ultrahohem Füllfaktor und mittels einer neuen Zweiwegekühlstruktur. Darüber hinaus senkt er Statoreisenverluste mittels eines dünnen, hochwertigen elektromagnetischen Statorkerns aus Stahl. Außerdem senkt er Gleichrichterverluste mittels eines neuen Metall-Oxid-Halbleiter-Feldeffekttransistormoduls.

(4) Der Antragsteller hat nachgewiesen, dass im Einklang mit Artikel 2 Absatz 2 Buchstabe a der Durchführungsverordnung (EU) Nr. 725/2011 ein Anteil von 3 % oder weniger aller neuen, im Bezugsjahr 2009 registrierten Personenkraftwagen mit einem Motorgenerator des im Antrag beschriebenen Typs ausgestattet war.

(5) Um festzustellen, wie viel CO2 eingespart wird, wenn diese innovative Technologie in ein Kraftfahrzeug eingebaut wird, muss eine Vergleichstechnologie bestimmt werden, mit der der Wirkungsgrad der innovativen Technologie gemäß den Artikeln 5 und 8 der Durchführungsverordnung (EU) Nr. 725/2011 verglichen wird. Im Sinne des vom Antragsteller gewählten und im technischen Leitfaden beschriebenen vereinfachten Konzepts ist ein 12-V-Generator mit einem Wirkungsgrad von 67 % als Vergleichstechnologie angemessen, wie vom Antragsteller dargelegt.

(6) Der Antragsteller hat eine Methode für die Prüfung und Berechnung der CO2-Verringerungen übermittelt, die Formeln umfasst, die mit den Formeln vereinbar sind, die im technischen Leitfaden für ein vereinfachtes Konzept in Bezug auf effiziente Generatoren beschrieben sind. Für eine akkurate Bestimmung der statistischen Signifikanz sollte die Formel jedoch berücksichtigen, dass die Masse des Motorgenerators im Vergleich zu der des Vergleichsgenerators (7 kg) evaluiert werden muss. Um zu gewährleisten, dass dieselben Gewichtungsfaktoren und Drehzahlpunkte verwendet werden, sollte der Hersteller zum Zwecke der Bescheinigung der Einsparungen nachweisen, dass die Drehzahlbereiche des Motorgenerators von MELCO mit denen für Generatoren übereinstimmen. Diese Methode wird im Einklang mit Artikel 6 der Durchführungsverordnung (EU) Nr. 725/2011 nachprüfbare, wiederholbare und vergleichbare Ergebnisse erbringen und in realistischer Weise und mit hoher statistischer Signifikanz die Vorteile der innovativen Technologie in Bezug auf die CO2-Emissionen nachweisen.

(7) Deshalb hat der Antragsteller in zufriedenstellender Weise belegt, dass die durch die innovative Technologie erzielte Emissionsreduktion mindestens 1 g CO2/km beträgt.

(8) Die Einsparungen durch die innovative Technologie können teilweise mit dem Standard-Prüfzyklus nachgewiesen werden, weshalb die endgültigen Gesamteinsparungen zum Zwecke der Zertifizierung eines mit der innovativen Technologie ausgestatteten Fahrzeugs gemäß Artikel 11 der Durchführungsverordnung (EU) Nr. 725/2011 im Einklang mit Artikel 8 Absatz 2 Unterabsatz 2 der genannten Durchführungsverordnung ermittelt werden sollten.

(9) Der Prüfbericht des akkreditierten technischen Dienstes UTAC, einer unabhängigen und zertifizierten Stelle, bestätigt die im Antrag angeführten Ergebnisse.

(10) Deswegen sollten gegen die Genehmigung der betreffenden innovativen Technologie keine Einwände erhoben werden.

(11) Für die Bestimmung des allgemeinen Ökoinnovationscodes, der in den betreffenden Typgenehmigungsunterlagen gemäß den Anhängen I, VIII und IX der Richtlinie 2007/46/EG des Europäischen Parlaments und des Rates 4 zu verwenden ist, sollte der individuelle Code für die mit dem vorliegenden Durchführungsbeschluss genehmigte innovative Technologie festgelegt werden.

- hat folgenden Beschluss erlassen:

Artikel 1

(1) Der ein dem von Mitsubishi Electric Automotive Europe B.V. in Vertretung der Mitsubishi Electric Corporation (MELCO) vorgelegten Antrag beschriebene, für die Verwendung in Fahrzeugen der Klasse M1 vorgesehene Motorgenerator von MELCO wird als innovative Technologie im Sinne von Artikel 12 der Verordnung (EG) Nr. 443/2009 genehmigt.

(2) Die Verringerung der CO2-Emissionen durch den Einsatz des in Absatz 1 genannten Motorgenerators wird nach der im Anhang beschriebenen Methode bestimmt.

(3) Der in die Typgenehmigungsunterlagen einzutragende Ökoinnovationscode für die mit diesem Beschluss genehmigte innovative Technologie ist "16".

Artikel 2

Dieser Beschluss tritt am zwanzigsten Tag nach seiner Veröffentlichung im Amtsblatt der Europäischen Union in Kraft.

Brüssel, den 25. Februar 2016

1) ABl. Nr. L 140 vom 05.06.2009 S. 1.

2) Durchführungsverordnung (EU) Nr. 725/2011 der Kommission vom 25. Juli 2011 zur Einführung eines Verfahrens zur Genehmigung und Zertifizierung innovativer Technologien zur Verringerung der CO2-Emissionen von Personenkraftwagen nach der Verordnung (EG) Nr. 443/2009 des Europäischen Parlaments und des Rates (ABl. Nr. L 194 vom 26.07.2011 S. 19).

3) https://circabc.europa.eu/d/a/workspace/Spaces Store/42c4a33e-6fd7-44aa-adac-f28620bd436f/Technical%20Guidelines%20February %202013.pdf

4) Richtlinie 2007/46/EG des Europäischen Parlaments und des Rates vom 5. September 2007 zur Schaffung eines Rahmens für die Genehmigung von Kraftfahrzeugen und Kraftfahrzeuganhängern sowie von Systemen, Bauteilen und selbstständigen technischen Einheiten für diese Fahrzeuge (Rahmenrichtlinie) (ABl. Nr. L 263 vom 09.10.2007 S. 1).

.

Anhang

1. Einleitung

Um zu ermitteln, welche Einsparungen bei den CO2-Emissionen auf den Einsatz des Motorgenerators in einem Fahrzeug der Klasse M1 zurückgeführt werden können, ist Folgendes zu präzisieren:

  1. die Prüfbedingungen,
  2. die Prüfgeräte,
  3. die Bestimmung des Wirkungsgrads der innovativen Technologie und die Vergleichstechnologie,
  4. die Berechnung der CO2-Einsparungen,
  5. die Berechnung des statistischen Fehlers und die Signifikanz der Ergebnisse.

2. Symbole, Parameter und Einheiten

Lateinische Symbole

- CO2-Einsparungen [g CO2/km];
CO2 - Kohlendioxid
CF - Umrechnungsfaktor (l/100 km) - (g CO2/km) [gCO2/l] wie in Tabelle 3 definiert
h - Frequenz wie in Tabelle 1 definiert
I - Stromstärke, bei der die Messung durchzuführen ist [A]
m - Anzahl der Messungen der Stichprobe
M - Drehmoment [Nm]
n - Drehzahl [min-1] wie in Tabelle 1 definiert
P - Leistung [W]
- Standardabweichung des Wirkungsgrads des Motorgenerators [%]
- Standardabweichung des Wirkungsgrads des Motorgenerators Mittel [%]
- Standardabweichung der CO2-Gesamteinsparungen [g CO2/km];
U - Prüfspannung, bei der die Messung durchzuführen ist [V]
v - Durchschnittliche Fahrgeschwindigkeit des neuen europäischen Fahrzyklus (NEFZ) [km/h]
VPe - Tatsächlicher Energieverbrauch [l/kWh] wie in Tabelle 2 definiert
- Sensitivität der berechneten CO2-Einsparungen im Zusammenhang mit dem Wirkungsgrad des Motorgenerators

Griechische Symbole

Δ - Differenz
ηB - Wirkungsgrad des Vergleichsgenerators [%]
ηMG - Wirkungsgrad des Motorgenerators [%]
- Mittel des Wirkungsgrads des Motorgenerators am Betriebspunkt i [%]

Tiefgestellte Symbole

i bezieht sich auf den Betriebspunkt

j bezieht sich auf die Messung der Stichprobe

MG - Motorgenerator
m - Mechanisch
RW - Reale Bedingungen
TA - Typgenehmigungsbedingungen
B - Vergleich

3. Prüfbedingungen

Die Prüfbedingungen müssen die Anforderungen der Norm ISO 8854 2012 erfüllen 1

4. Prüfgeräte

Die Prüfgeräte müssen den Spezifikationen der Norm ISO 8854 2012 1 entsprechen.

5. Messungen und Bestimmung des Wirkungsgrads

Der Wirkungsgrad des Motorgenerators wird im Einklang mit ISO 8854 2012 bestimmt; eine Ausnahme stellen die in diesem Abschnitt dargestellten Elemente dar.

Gegenüber der Typgenehmigungsbehörde ist nachzuweisen, dass die Drehzahlbereiche des Motorgenerators mit den nachstehend beschriebenen übereinstimmen. Die Messungen sind an unterschiedlichen Betriebspunkten i, wie in Tabelle 1 definiert, vorzunehmen. Die Stromstärke des Motorgenerators ist definiert als die halbe Nennstromstärke für alle Betriebspunkte. Für jede Drehzahl müssen Spannung und Ausgangsstromstärke des Motorgenerators konstant gehalten werden, die Spannung bei 14,3 V.

Tabelle 1: Betriebspunkte

Betriebspunkt
i
Haltezeit
[s]
Drehzahl
ni [min- 1]
Frequenz
hi
1 1.200 1.800 0,25
2 1.200 3.000 0,40
3 600 6.000 0,25
4 300 10.000 0,10

Der Wirkungsgrad ist nach Formel 1 zu berechnen.

Formel 1

ηMgi = (60 · Ui · Ii) / (2π · Mi · ni) · 100

Alle Messungen des Wirkungsgrads sind mindestens fünf (5) Mal hintereinander auszuführen. Zu berechnen ist der Durchschnitt der Messungen bei jedem Betriebspunkt ().

Der Wirkungsgrad des Motorgenerators (ηMG) wird nach Formel 2 berechnet.

Formel 2

Der Motorgenerator führt zu einer Einsparung bei der mechanischen Leistung unter realen Bedingungen (ΔPmRW) und unter Typgenehmigungsbedingungen (ΔPmTA) wie in Formel 3 definiert.

Formel 3

ΔPm = ΔPmRW - ΔPmTA

Dabei werden die Einsparungen bei der mechanischen Leistung unter realen Bedingungen (ΔPmRW) nach Formel 4 und die Einsparungen bei der mechanischen Leistung unter den Bedingungen der Typgenehmigung (ΔPmTA) nach Formel 5 berechnet.

Formel 4

ΔPmRW = (PRWB) - (PRWMG)

Formel 5

ΔPmTA = (PTAB) - (PTAMG)

Dabei ist:

PRW: Leistungsbedarf unter realen Bedingungen [W]: 750 W
PTA: Leistungsbedarf unter Bedingungen der Typgenehmigung [W]: 350 W
ηB: Wirkungsgrad des Vergleichsgenerators: 67 %

6. Berechnung der CO2-Einsparungen

Die CO2-Einsparungen des Motorgenerators werden nach folgender Formel berechnet:

Formel 6

Dabei ist:

v: Durchschnittliche Fahrgeschwindigkeit des NEFZ [km/h]: 33,58 km/h
VPe: Tatsächlicher Energieverbrauch [l/kWh] wie in Tabelle 2 definiert

Tabelle 2: Tatsächlicher Energieverbrauch

Motortyp Tatsächlicher Energieverbrauch (VPe)
[l/kWh]
Benzin 0,264
Turbobenzin 0,280
Diesel 0,220

CF: Umrechnungsfaktor (l/100 km) - (g CO2/km) [gCO2/l] wie nachstehend in Tabelle 3 definiert

Tabelle 3: Kraftstoffumrechnungsfaktor

Art des Kraftstoffs Umrechnungsfaktor (l/100 km) - (g CO2/km)
[gCO2/l]
Benzin 2.330
Diesel 2.640

7. Berechnung des statistischen Fehlers

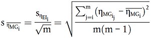
Statistische Fehler bei den Ergebnissen der Prüfmethode aufgrund der Messungen sind zu quantifizieren. Für jeden Betriebspunkt ist die Standardabweichung wie mit der folgenden Formel definiert zu berechnen:

Formel 7

Die Standardabweichung des Wirkungsgrads des Motorgenerators (sηMG) wird nach Formel 8 berechnet:

Formel 8

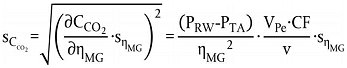
Die Standardabweichung der Wirkungsgrad des Motorgenerators (sηMG) führt zu einem Fehler bei den CO2-Einsparungen (). Der Fehler wird mit Formel 9 berechnet:

Formel 9

8. Statistische Signifikanz

Für jeden Typ, jede Variante und jede Version eines Fahrzeugs, das mit dem Motorgenerator ausgestattet ist, ist nachzuweisen, dass der nach der Formel 9 berechnete Fehler bei den CO2-Einsparungen nicht größer ist als die Differenz zwischen den CO2-Gesamteinsparungen und dem Schwellenwert für die Mindesteinsparungen gemäß Artikel 9 Absatz 1 der Verordnung (EU) Nr. 725/2011 (vgl. Formel 10).

Formel 10

Dabei ist:

MT: Mindestschwelle [gCO2/km]: 1 gCO2/km
 : CO2-Korrektureffizient, der sich aus der positiven Massendifferenz zwischen dem Motorgenerator und dem Vergleichsgenerator ergibt. Fürsind die in der Tabelle 4 aufgeführten Daten zu verwenden.

Tabelle 4: CO2-Korrekturkoeffizient infolge der Extramasse

Art des Kraftstoffs CO2-Korrekturkoeffizient infolge der Extramasse (ΔCO2m)
[g CO2/km]
Benzin 0,0277 · Δm
Diesel 0,0383 · Δm

In Tabelle 4 ist ”m die Extramasse infolge des Einbaus des Motorgenerators. Es ist die positive Differenz zwischen der Masse des Motorgenerators und der Masse des Vergleichsgenerators. Die Masse des Vergleichsgenerators beträgt 7 kg.

9. In Fahrzeuge einzubauender Motorgenerator

Die Typgenehmigungsbehörde zertifiziert die CO2-Einsparungen anhand von Messungen am Motor- und am Vergleichsgenerator unter Verwendung der in diesem Anhang festgelegten Prüfmethode. Liegen die Einsparungen bei den CO2-Emissionen unterhalb des in Artikel 9 Absatz 1 angegebenen Schwellenwerts, so gilt Artikel 11 Absatz 2 Unterabsatz 2 der Verordnung (EU) Nr. 725/2011.

1) ISO 8854 2012 Straßenfahrzeuge - Drehstrom-Generatoren mit Regler - Prüfungen und allgemeine Anforderungen; Referenznummer ISO 8854:2012, veröffentlicht am 1. Juni 2012.

ENDE

umwelt-online - Demo-Version


(Stand: 18.12.2020)

Alle vollständigen Texte in der aktuellen Fassung im Jahresabonnement
Nutzungsgebühr: ab 105.- € netto

(derzeit ca. 7200 Titel s.Übersicht - keine Unterteilung in Fachbereiche)

Preise & Bestellung

Die Zugangskennung wird kurzfristig übermittelt

? Fragen ?
Abonnentenzugang/Volltextversion