Für einen individuellen Ausdruck passen Sie bitte die
Einstellungen in der Druckvorschau Ihres Browsers an.
Regelwerk, EU 2017, Immissionsschutz - EU Bund

Durchführungsbeschluss (EU) 2017/785 der Kommission vom 5. Mai 2017 über die Genehmigung von effizienten 12-Volt-Motorgeneratoren zur Verwendung in Personenkraftwagen mit konventionellem Verbrennungsmotorantrieb als innovative Technologie zur Verringerung der CO2-Emissionen von Personenkraftwagen gemäß der Verordnung (EG) Nr. 443/2009 des Europäischen Parlaments und des Rates

(Text von Bedeutung für den EWR)

(ABl. Nr. L 118 vom 06.05.2017 S. 20;
Beschl. (EU) 2020/1806 - ABl. L 402 vom 01.12.2020 S. 91aufgehoben)



aufgehoben/ersetzt gem. Art. 5 des Beschl.'es (EU) 2020/1806

Hinweis: s. Liste - über die Genehmigung ... als innovative Technologie ...

Die Europäische Kommission -

gestützt auf den Vertrag über die Arbeitsweise der Europäischen Union,

gestützt auf die Verordnung (EG) Nr. 443/2009 des Europäischen Parlaments und des Rates vom 23. April 2009 zur Festsetzung von Emissionsnormen für neue Personenkraftwagen im Rahmen des Gesamtkonzepts der Gemeinschaft zur Verringerung der CO2-Emissionen von Personenkraftwagen und leichten Nutzfahrzeugen 1, insbesondere auf Artikel 12 Absatz 4,

gestützt auf die Durchführungsverordnung (EU) Nr. 725/2011 der Kommission vom 25. Juli 2011 zur Einführung eines Verfahrens zur Genehmigung und Zertifizierung innovativer Technologien zur Verringerung der CO2-Emissionen von Personenkraftwagen nach der Verordnung (EG) Nr. 443/2009 des Europäischen Parlaments und des Rates 2, insbesondere auf Artikel 10 Absatz 2,

in Erwägung nachstehender Gründe:

(1) Der Antrag des Herstellers Valeo Electrical Systems vom 21. Juli 2016 auf Genehmigung der effizienten Generatorfunktion des 12-Volt-Riemen-Starter-Generators i-StARS als Ökoinnovation wurde gemäß Artikel 12 der Verordnung (EG) Nr. 443/2009, der Durchführungsverordnung (EU) Nr. 725/2011 und den Technischen Leitlinien für die Vorbereitung von Anträgen auf Genehmigung innovativer Technologien gemäß der Verordnung (EG) Nr. 443/2009 und der Verordnung (EU) Nr. 510/2011 3 geprüft.

(2) Aus dem Antrag geht hervor, dass die in Artikel 12 der Verordnung (EG) Nr. 443/2009 und in den Artikeln 2 und 4 der Durchführungsverordnung (EU) Nr. 725/2011 genannten Bedingungen und Kriterien erfüllt wurden. Darüber hinaus liegt dem Antrag im Einklang mit Artikel 7 der letztgenannten Verordnung der Prüfbericht einer unabhängigen und zertifizierten Stelle bei. Deshalb sollte die vom Antragsteller vorgeschlagene effiziente Generatorfunktion des 12-Volt-Riemen-Starter-Generators i-StARS als Ökoinnovation genehmigt werden.

(3) Aufgrund der im vorliegenden Antrag und im Durchführungsbeschluss (EU) 2016/265 der Kommission 4 enthaltenen Informationen und angesichts der im Rahmen der Durchführungsbeschlüsse 2013/341/EU 5, 2014/465/EU 6, (EU) 2015/158 7, (EU) 2015/295 8, (EU) 2015/2280 9 und (EU) 2016/588 10 der Kommission gewonnenen Erfahrung mit der Bewertung von Anträgen betreffend Technologien, die zur Wirkungsgradsteigerung von Generatoren beitragen, wurde zufriedenstellend und schlüssig belegt, dass ein 12-Volt-Motorgenerator mit einer Masse von maximal 7 kg und einem Mindestwirkungsgrad der Generatorfunktion die in Artikel 12 Absatz 2 der Verordnung (EG) Nr. 443/2009 genannten Kriterien erfüllt und im Einklang mit Artikel 9 der Durchführungsverordnung (EU) Nr. 725/2011 eine Senkung der CO2-Emissionen um mindestens 1 g CO2/km bewirkt. Bei einem 12-Volt-Motorgenerator, dessen Masse 7 kg überschreitet, muss bei der Berechnung, ob die Reduktionsschwelle von 1 g CO2/km erreicht wird, ein Massenkorrekturfaktor angewendet werden.

(4) Es ist daher angezeigt, die Fähigkeit dieser innovativen Technologie zur Reduktion von CO2-Emissionen allgemein anzuerkennen und im Einklang mit Artikel 12 Absatz 4 der Verordnung (EG) Nr. 443/2009 zu bescheinigen und eine allgemeine Prüfmethode zur Zertifizierung der durch Nutzung der Generatorfunktion von effizienten 12-Volt-Motorgeneratoren erzielten CO2-Einsparungen vorzusehen.

(5) Um die Zertifizierung der durch effiziente 12-Volt-Motorgeneratoren erzielten CO2-Einsparungen zu erhalten, sollte der Hersteller der Typgenehmigungsbehörde zusammen mit dem Zertifizierungsantrag einen Prüfbericht einer unabhängigen und zertifizierten Stelle vorlegen, in dem bestätigt wird, dass der Motorgenerator die in diesem Beschluss genannten Bedingungen erfüllt.

(6) Stellt die Typgenehmigungsbehörde fest, dass der vom Hersteller präsentierte Motorgenerator die in diesem Beschluss genannten Zertifizierungsbedingungen nicht erfüllt, sollte der Antrag auf Zertifizierung der Einsparungen abgelehnt werden.

(7) Die mit effizienten 12-Volt-Motorgeneratoren erzielte CO2-Emissionssenkung sollte nach der Prüfmethode im Anhang ermittelt werden.

(8) Zur Ermittlung der CO2-Einsparungen muss eine Vergleichstechnologie bestimmt werden, an der der Wirkungsgrad des effizienten 12-Volt-Motorgenerators gemäß den Artikeln 5 und 8 der Durchführungsverordnung (EU) Nr. 725/2011 gemessen werden sollte. Auf der Grundlage der Erfahrungen empfiehlt es sich, einen 12-Volt-Generator mit einem Wirkungsgrad von 67 % als Vergleichstechnologie zu betrachten.

(9) Die Einsparungen durch einen effizienten 12-Volt-Motorgenerator können zum Teil durch die Prüfung gemäß Anhang XII der Verordnung (EG) Nr. 692/2008 der Kommission 11 nachgewiesen werden. Die endgültigen Gesamteinsparungen zum Zwecke der Zertifizierung eines mit der innovativen Technologie ausgestatteten Fahrzeugs gemäß Artikel 11 der Durchführungsverordnung (EU) Nr. 725/2011 sollten daher im Einklang mit Artikel 8 Absatz 2 Unterabsatz 2 der genannten Durchführungsverordnung ermittelt werden.

(10) Um den breiteren Einsatz von effizienten 12-Volt-Motorgeneratoren in neuen Fahrzeugen zu erleichtern, sollte ein Hersteller außerdem die Möglichkeit haben, mit einem einzigen Zertifizierungsantrag die Zertifizierung der CO2-Einsparungen mehrerer unterschiedlicher 12-Volt-Motorgeneratoren zu beantragen. Es empfiehlt sich jedoch sicherzustellen, dass, wenn von dieser Möglichkeit Gebrauch gemacht wird, automatisch Anreize dafür gegeben werden, dass nur die 12-Volt-Motorgeneratoren mit dem höchsten Wirkungsgrad zum Einsatz kommen.

(11) Für die Bestimmung des allgemeinen Ökoinnovationscodes, der in den betreffenden Typgenehmigungsunterlagen gemäß den Anhängen I, VIII und IX der Richtlinie 2007/46/EG des Europäischen Parlaments und des Rates 12 zu verwenden ist, sollte der individuelle Code für die innovative Technologie festgelegt werden

- hat folgenden Beschluss erlassen:

Artikel 1 Genehmigung

Die im Antrag von Valeo Electrical Systems beschriebene effiziente Generatorfunktion des 12-Volt-Motorgenerators (des Riemen-Starter-Generators i-StARS) wird als innovative Technologie im Sinne von Artikel 12 der Verordnung (EG) Nr. 443/2009 genehmigt.

Artikel 2 Begriffsbestimmungen

Für die Zwecke dieses Beschlusses bedeutet effizienter 12-Volt-Motorgenerator die effiziente Generatorfunktion eines 12-Volt-Motorgenerators.

Artikel 3 Antrag auf Zertifizierung von CO2-Einsparungen

(1) Der Hersteller kann die Zertifizierung der CO2-Einsparungen eines oder mehrerer effizienter 12-Volt-Generatoren zur Verwendung in Fahrzeugen mit konventionellem Verbrennungsmotorantrieb der Klasse M1 beantragen, sofern jeder Motorgenerator folgende Bedingungen erfüllt:

  1. Die Masse des effizienten 12-Volt-Motorgenerators überschreitet nicht die Masse des Vergleichsgenerators von 7 kg, und der gemäß dem Anhang ermittelte Wirkungsgrad der Generatorfunktion beträgt mindestens
    1. 73,8 % bei Fahrzeugen mit Ottomotor;
    2. 73,4 % bei Fahrzeugen mit Turbo-Ottomotor;
    3. 74,2 % bei Fahrzeugen mit Dieselmotor

    oder

  2. die Masse des 12-Volt-Motorgenerators überschreitet die in Buchstabe a genannte Masse des Vergleichsgenerators; die zusätzliche Masse wird in diesem Fall nach der Formel 10 im Anhang berücksichtigt und muss den in Artikel 9 Absatz 1 der Durchführungsverordnung (EU) Nr. 725/2011 genannten Schwellenwert der Mindesteinsparung von 1 g CO2/km erreichen.

Die zusätzliche Masse muss geprüft und in dem Prüfbericht bestätigt werden, der der Typgenehmigungsbehörde mit dem Zertifizierungsantrag vorzulegen ist.

(2) Einem Antrag auf Zertifizierung der Einsparungen eines oder mehrerer effizienter 12-Volt-Motorgeneratoren liegt der Prüfbericht einer unabhängigen und zertifizierten Stelle bei, die darin bescheinigt, dass die effizienten 12-Volt-Motorgeneratoren die in Absatz 1 genannten Bedingungen erfüllen, und die die Masse der 12-Volt-Motorgeneratoren prüft und bestätigt.

(3) Die Typgenehmigungsbehörde lehnt den Antrag auf Zertifizierung ab, wenn sie feststellt, dass die effizienten 12-Volt-Motorgeneratoren die in Absatz 1 genannten Bedingungen nicht erfüllen.

Artikel 4 Zertifizierung der CO2-Einsparungen

(1) Die Verringerung der CO2-Emissionen durch den Einsatz der effizienten 12-Volt-Motorgeneratoren gemäß Artikel 2 Absatz 1 wird nach der im Anhang beschriebenen Methode bestimmt.

(2) Beantragt der Hersteller in Bezug auf eine Fahrzeugversion die Zertifizierung der CO2-Einsparungen von mehr als einem effizienten 12-Volt-Motorgenerator, so ermittelt die Typgenehmigungsbehörde, welcher der geprüften Motorgeneratoren die geringsten CO2-Einsparungen bewirkt, und trägt den niedrigsten Wert in die entsprechenden Typgenehmigungsunterlagen ein. Der Wert wird gemäß Artikel 11 Absatz 2 der Durchführungsverordnung (EU) Nr. 725/2011 in der Übereinstimmungsbescheinigung aufgeführt.

Artikel 5 Ökoinnovationscode

Der Ökoinnovationscode Nr. 22 wird in die Typgenehmigungsunterlagen eingetragen, wenn gemäß Artikel 11 Absatz 1 der Durchführungsverordnung (EU) Nr. 725/2011 auf diesen Beschluss verwiesen wird.

Artikel 6 Inkrafttreten

Diese Verordnung tritt am zwanzigsten Tag nach ihrer Veröffentlichung im Amtsblatt der Europäischen Union in Kraft.

Brüssel, den 5. Mai 2017

1) ABl. Nr. L 140 vom 05.06.2009 S. 1.

2) ABl. Nr. L 194 vom 26.07.2011 S. 19.

3) https://circabc.europa.eu/w/browse/f3927eae-29f8-4950-b3b3-d2e700598b52

4) Durchführungsbeschluss (EU) 2016/265 der Kommission vom 25. Februar 2016 über die Genehmigung des Motorgenerators von MELCO als innovative Technologie zur Verringerung der CO2-Emissionen von Personenkraftwagen gemäß der Verordnung (EG) Nr. 443/2009 des Europäischen Parlaments und des Rates (ABl. Nr. L 50 vom 26.02.2016 S. 30).

5) Durchführungsbeschluss 2013/341/EU der Kommission vom 27. Juni 2013 über die Genehmigung des Wechselstromgenerators "Valeo Efficient Generation Alternator" als innovative Technologie zur Verringerung der CO2-Emissionen von Personenkraftwagen gemäß der Verordnung (EG) Nr. 443/2009 des Europäischen Parlaments und des Rates (ABl. Nr. L 179 vom 29.06.2013 S. 98).

6) Durchführungsbeschluss 2014/465/EU der Kommission vom 16. Juli 2014 über die Genehmigung des effizienten DENSO-Wechselstromgenerators als innovative Technologie zur Verringerung der CO2-Emissionen von Personenkraftwagen gemäß der Verordnung (EG) Nr. 443/2009 des Europäischen Parlaments und des Rates und zur Änderung des Durchführungsbeschlusses 2013/341/EU der Kommission (ABl. Nr. L 210 vom 17.07.2014 S. 17).

7) Durchführungsbeschluss (EU) 2015/158 der Kommission vom 30. Januar 2015 über die Genehmigung von zwei hocheffizienten Generatoren der Robert Bosch GmbH als innovative Technologie zur Verringerung der CO2-Emissionen von Personenkraftwagen gemäß der Verordnung (EG) Nr. 443/2009 des Europäischen Parlaments und des Rates (ABl. Nr. L 26 vom 31.01.2015 S. 31), (Der Durchführungsbeschluss (EU) 2015/158 betrifft zwei Anträge).

8) Durchführungsbeschluss (EU) 2015/295 der Kommission vom 24. Februar 2015 über die Genehmigung des effizienten Generators MELCO GXi als innovative Technologie zur Verringerung der CO2-Emissionen von Personenkraftwagen gemäß der Verordnung (EG) Nr. 443/2009 des Europäischen Parlaments und des Rates (ABl. Nr. L 53 vom 25.02.2015 S. 11).

9) Durchführungsbeschluss (EU) 2015/2280 der Kommission vom 7. Dezember 2015 über die Genehmigung des effizienten Generators DENSO als innovative Technologie zur Verringerung der CO2-Emissionen von Personenkraftwagen gemäß der Verordnung (EG) Nr. 443/2009 des Europäischen Parlaments und des Rates (ABl. Nr. L 322 vom 08.12.2015 S. 64).

10) Durchführungsbeschluss (EU) 2016/588 der Kommission vom 14. April 2016 über die Genehmigung der in effizienten 12-Volt-Generatoren eingesetzten Technologie als innovative Technologie zur Verringerung der CO2-Emissionen von Personenkraftwagen gemäß der Verordnung (EG) Nr. 443/2009 des Europäischen Parlaments und des Rates (ABl. Nr. L 101 vom 16.04.2016 S. 25).

11) Verordnung (EG) Nr. 692/2008 der Kommission vom 18. Juli 2008 zur Durchführung und Änderung der Verordnung (EG) Nr. 715/2007 des Europäischen Parlaments und des Rates über die Typgenehmigung von Kraftfahrzeugen hinsichtlich der Emissionen von leichten Personenkraftwagen und Nutzfahrzeugen (Euro 5 und Euro 6) und über den Zugang zu Reparatur- und Wartungsinformationen für Fahrzeuge (ABl. Nr. L 199 vom 28.07.2008 S. 1).

12) Richtlinie 2007/46/EG des Europäischen Parlaments und des Rates vom 5. September 2007 zur Schaffung eines Rahmens für die Genehmigung von Kraftfahrzeugen und Kraftfahrzeuganhängern sowie von Systemen, Bauteilen und selbstständigen technischen Einheiten für diese Fahrzeuge (Rahmenrichtlinie) (ABl. Nr. L 263 vom 09.10.2007 S. 1).

.

Methode zur Ermittlung der CO2-Einsparungen von effizienten 12-Volt-Motorgeneratoren für durch konventionelle Verbrennungsmotoren angetriebene Fahrzeuge der Klasse M1 Anhang

1. Einführung

Um zu ermitteln, welche Verringerung der CO2-Emissionen auf die Generatorfunktion eines 12-Volt-Motorgenerators (im Folgenden "effizienter 12-Volt-Motorgenerator" oder "Motorgenerator") zur Verwendung in einem durch einen Verbrennungsmotor angetriebenen Fahrzeug der Klasse M1 zurückgeführt werden kann, ist Folgendes zu bestimmen:

(1) die Prüfbedingungen;

(2) die Prüfgeräte;

(3) die Bestimmung der Spitzenleistung,

(4) die Berechnung der CO2-Einsparungen;

(5) die Berechnung der statistischen Marge der CO2-Einsparungen.

2. Symbole, Parameter und Einheiten

Lateinische Symbole

- CO2-Einsparungen [g CO2/km]
CO2 - Kohlenstoffdioxid
CF - Umrechnungsfaktor (l/100 km) - (g CO2/km) [g CO2/l] wie in definiert table 3
h - Frequenz wie in Tabelle 1 definiert
I - Stromstärke, bei der die Messung durchzuführen ist [A]
m - Anzahl der Messungen der Stichprobe
M - Drehmoment [Nm]
n - Drehzahl [min-1] wie in Tabelle 1 definiert
P - Leistung [W]
- Standardabweichung des Wirkungsgrads des Motorgenerators [%]
- Standardabweichung des mittleren Wirkungsgrads des Motorgenerators [%]
- Standardabweichung der CO2-Gesamteinsparungen [g CO2/km];
U - Prüfspannung, bei der die Messung durchzuführen ist [V]
v - Durchschnittliche Fahrgeschwindigkeit des neuen europäischen Fahrzyklus (NEFZ) [km/h]
VPe - Tatsächlicher Energieverbrauch [l/kWh] wie in table 2 definiert
- Sensitivität der berechneten CO2-Einsparungen bezogen auf den Wirkungsgrad des Motorgenerators

Griechische Symbole

Δ - Differenz
ηB - Wirkungsgrad des Vergleichsgenerators [%]
ηMG - Wirkungsgrad des Motorgenerators [%]
- Mittlerer Wirkungsgrad des Motorgenerators am Betriebspunkt i [%]

Tiefgestellte Indizes

i bezieht sich auf den Betriebspunkt

j bezieht sich auf die Messung der Stichprobe

MG - Motorgenerator
m - Mechanisch
RW - Reale Bedingungen
TA - Typgenehmigungsbedingungen
B - Vergleichswert

3. Messungen und Bestimmung des Wirkungsgrads

Der Wirkungsgrad des 12-Volt-Motorgenerators wird nach ISO 8854:2012 bestimmt; eine Ausnahme stellen die in diesem Abschnitt dargestellten Elemente dar.

Gegenüber der Typgenehmigungsbehörde ist nachzuweisen, dass die Drehzahlbereiche des 12-Volt-Motorgenerators mit den in Tabelle 1 festgelegten übereinstimmen. Die Messungen sind an unterschiedlichen Betriebspunkten, wie in table 1 festgelegt, vorzunehmen. Die Stromstärke des effizienten 12-Volt-Motorgenerators ist als die halbe Nennstromstärke für alle Betriebspunkte zu definieren. Für jede Drehzahl müssen Spannung und Ausgangsstromstärke des Generators konstant bei 14,3 V gehalten werden.

Tabelle 1 Betriebspunkte

Betriebspunkt
i
Haltezeit
[s]
Drehzahl
ni[min- 1]
Frequenz
hi
1 1.200 1.800 0,25
2 1.200 3.000 0,40
3 600 6.000 0,25
4 300 10.000 0,10

Der Wirkungsgrad an jedem Betriebspunkt wird nach folgender Formel 1 berechnet:

Formel 1

Alle Messungen des Wirkungsgrads sind mindestens fünf (5) Mal hintereinander auszuführen. Zu berechnen ist der Durchschnittswert der Messungen an jedem Betriebspunkt ().

Der Wirkungsgrad des Motorgenerators (ηMG) wird nach folgender Formel 2 berechnet:

Formel 2

Der Motorgenerator führt zu einer Einsparung bei der mechanischen Leistung unter realen Fahrbedingungen (ΔPmRW) und unter Typgenehmigungsbedingungen (ΔPmTA) wie in Formel 3 festgelegt.

Formel 3

ΔPm =ΔPmRW -ΔPmTA

Dabei werden die Einsparungen bei der mechanischen Leistung unter realen Fahrbedingungen (ΔPmRW) nach Formel 4 und die Einsparungen bei der mechanischen Leistung unter den Bedingungen der Typgenehmigung (ΔPmTA) nach Formel 5 berechnet.

Formel 4

ΔPmRW = (PRWB) - (PRWBG)

Formel 5

ΔPmTA = (PTAB) - (PTAMG)

Dabei ist

PRW: der Leistungsbedarf unter realen Fahrbedingungen [W]: 750 W
PTA: der Leistungsbedarf unter Bedingungen der Typgenehmigung [W]: 350 W
ηB: der Wirkungsgrad des Vergleichsgenerators: 67 %

4. Berechnung der CO2-Einsparungen

Die CO2-Einsparungen des effizienten 12-Volt-Motorgenerators werden nach folgender Formel 6 berechnet:

Formel 6

= ΔPm · (VPe · CF / v)

Dabei ist

v: die durchschnittliche Fahrgeschwindigkeit des NEFZ [km/h]: 33,58 km/h
VPe: der tatsächliche Energieverbrauch wie in table 2 definiert

Tabelle 2 Tatsächlicher Energieverbrauch

Motortyp Tatsächlicher Energieverbrauch (VPe)
[l/kWh]
Ottomotor 0,264
Turbo-Ottomotor 0,280
Dieselmotor 0,220

CF: Umrechnungsfaktor (l/100 km) - (g CO2/km) [g CO2/l] wie in definiert table 3

Tabelle 3 Kraftstoffumrechnungsfaktor

Kraftstofftyp Umrechnungsfaktor (l/100 km) - (g CO2/km)
[g CO2/l]
Benzin 2.330
Diesel 2.640

5. Berechnung des statistischen Fehlers

Statistische Fehler bei den Ergebnissen der Prüfmethode aufgrund der Messungen sind zu quantifizieren. Für jeden Betriebspunkt ist die Standardabweichung nach folgender Formel 7 zu berechnen:

Formel 7

Die Standardabweichung des Wirkungsgrads des effizienten 12-Volt-Motorgenerators () wird nach folgender Formel 8 berechnet:

Formel 8

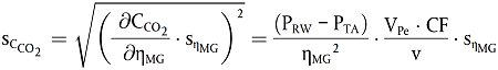
Die Standardabweichung des Wirkungsgrads des effizienten Motorgenerators () führt zu einem Fehler bei den CO2-Einsparungen (). Der Fehler wird nach folgender Formel 9 berechnet:

Formel 9

6. Statistische Signifikanz

Für jeden Typ, jede Variante und jede Version eines Fahrzeugs, das mit dem effizienten 12-Volt-Motorgenerator ausgestattet ist, ist nachzuweisen, dass der nach Formel 9 berechnete Fehler bei den CO2-Einsparungen nicht größer ist als die Differenz zwischen den CO2-Gesamteinsparungen und dem Schwellenwert für die Mindesteinsparungen gemäß Artikel 9 Absatz 1 der Durchführungsverordnung (EU) Nr. 725/2011 der Kommission (vgl. Formel 10)

Formel 10

Dabei ist

MT : Mindestschwellenwert (g CO2/km);
: CO2-Gesamteinsparungen [g CO2/km];
: Standardabweichung der CO2-Gesamteinsparungen [g CO2/km];
  : CO2-Korrektureffizient, der sich aus der positiven Massendifferenz zwischen dem 12-Volt-Motorgenerator und dem Vergleichsgenerator ergibt. Für sind die in der Tabelle 4 aufgeführten Daten zu verwenden.

Tabelle 4 CO2-Korrekturkoeffizient infolge der zusätzlichen Masse

Kraftstofftyp CO2-Korrekturkoeffizient infolge der positiven Massendifferenz ()
[g CO2/km]
Benzin 0,0277 · Δm
Diesel 0,0383 · Δm

Δm (in Tabelle 4) ist die zusätzliche Masse infolge des Einbaus des Motorgenerators. Es ist die positive Differenz zwischen der Masse des effizienten 12-Volt-Motorgenerators und der Masse des Vergleichsgenerators. Die Masse des Vergleichsgenerators beträgt 7 kg. Die zusätzliche Masse muss geprüft und in dem Prüfbericht bestätigt werden, der der Typgenehmigungsbehörde mit dem Zertifizierungsantrag vorzulegen ist.

7. In Fahrzeuge einzubauender 12-Volt-Motorgenerator

Die Typgenehmigungsbehörde zertifiziert die CO2-Einsparungen anhand von Messungen am 12-Volt-Motorgenerator und am Vergleichsgenerator nach der in diesem Anhang festgelegten Prüfmethode. Liegen die CO2-Emissionseinsparungen unter der Schwelle gemäß Artikel 9 Absatz 1 der Durchführungsverordnung (EU) Nr. 725/2011, ist Artikel 11 Absatz 2 Unterabsatz 2 der Verordnung anwendbar.

ENDE

umwelt-online - Demo-Version


(Stand: 18.12.2020)

Alle vollständigen Texte in der aktuellen Fassung im Jahresabonnement
Nutzungsgebühr: ab 105.- € netto

(derzeit ca. 7200 Titel s.Übersicht - keine Unterteilung in Fachbereiche)

Preise & Bestellung

Die Zugangskennung wird kurzfristig übermittelt

? Fragen ?
Abonnentenzugang/Volltextversion