![]() |
zurück | ![]() |
1.10 Abstände zwischen den Kalibrierungen
Die Analysatoren sind mindestens alle drei Monate sowie nach jeder Reparatur des Systems oder Veränderung, die die Kalibrierung beeinflussen könnte, entsprechend Abschnitt 1.5 zu kalibrieren.
1.11. Zusätzliche Kalibrierungsvorschriften für Rohabgasmessungen bei der NRTC-Prüfung
1.11.1. Prüfung der Ansprechzeit des Analysesystems
Zur Bewertung der Ansprechzeit werden die gleichen Systemeinstellungen wie bei der Messung des Prüflaufs (d. h. Druck, Durchsatz, Filtereinstellungen des Analysegeräts und alle übrigen Einflüsse auf die Ansprechzeit) verwendet. Die Bestimmung der Ansprechzeit erfolgt durch Gasumstellung direkt am Einlass der Probenahmesonde. Die Gasumstellung muss in weniger als 0,1Sekunden erfolgen. Die für die Prüfung verwendeten Gase müssen eine Konzentrationsänderung von mindestens 60 % des vollen Skalenendwertes bewirken.
Die Konzentrationsspur jedes einzelnen Gasbestandteils ist aufzuzeichnen. Die Ansprechzeit ist definiert als die zeitliche Differenz zwischen der Gasumstellung und der entsprechenden Veränderung der aufgezeichneten Konzentration. Die Ansprechzeit des Systems (t90) setzt sich zusammen aus der Verzögerungszeit bis zum Messdetektor und der Anstiegszeit des Detektors. Die Verzögerungszeit ist definiert als die Zeit von der Veränderung (t0) bis zum Ansprechen bei 10 % des endgültigen Ablesewertes (t10). Die Anstiegszeit ist definiert als die Ansprechzeit zwischen 10 % und 90 % des endgültigen Ablesewertes (t90 -t10).
Für die zeitliche Angleichung des Analysegeräts und des Abgasstromsignalgebers bei der Rohabgasmessung ist die Umwandlungszeit definiert als die Zeit von der Veränderung (t0) bis zu dem Zeitpunkt, an dem das Ansprechen bei 50% des endgültigen Ablesewertes (t50) liegt.
Die Ansprechzeit des Systems muss für alle verwendeten Bestandteile (CO, NOx, HC) und alle Bereiche ≤ 10 Sekunden bei einer Anstiegszeit von ≤ 2,5 Sekunden betragen.
1.11.2. Kalibrierung des Tracergas-Analysators für die Messung des Abgasdurchsatzes
Der Analysator für die Messung der Tracergaskonzentration ist unter Verwendung des Kalibriergases zu kalibrieren.
Die Kalibrierkurve muss aus mindestens 10 Kalibrierpunkten (Nullpunkt ausgenommen) erstellt werden, die so angeordnet sein sollen, dass die Hälfte der Kalibrierpunkte zwischen 4 und 20 % des vollen Skalenendwerts des Analysators und der Rest zwischen 20 und 100 % des vollen Skalenendwertes liegt. Die Kalibrierkurve wird nach der Methode der Fehlerquadrate berechnet.
Die Kalibrierkurve darf im Bereich von 20 % bis 100 % des vollen Skalenendwertes höchstens um ± 1 % des vollen Skalenendwertes vom Nennwert jedes Kalibrierpunktes abweichen. Im Bereich von 4 % bis 20 % des vollen Skalenendwertes darf sie zudem höchstens ± 2 % vom Nennwert abweichen.
Vor dem Prüflauf ist der Analysator auf Null einzustellen und zu kalibrieren; dazu ist ein Nullgas und ein Kalibriergas zu verwenden, dessen Nennwert mehr als 80 % des vollen Skalenendwertes des Analysators beträgt.
2 Kalibrierung des Partikelmessystems
2.1. Einleitung
Jedes Gerät ist so oft wie nötig zu kalibrieren, damit es den in diesem Standard festgelegten Anforderungen an die Genauigkeit entspricht. Das bei den Geräten nach Anhang III Anlage 1 Abschnitt 1.5 und Anhang VI anzuwendende Kalibrierverfahren ist in diesem Abschnitt beschrieben.
2.2 Die Kalibrierung der Gasströmungsmesser oder Durchflussmengenmessgeräte muss auf nationale und/ oder internationale Normen rückführbar sein.
Der Fehler des gemessenen Wertes darf höchstens ± 2 % des Ablesewerts betragen.
Bei Teilstrom-Verdünnungssystemen ist die Genauigkeit des Probenstroms GSE von besonderer Bedeutung, die zwar nicht direkt gemessen, sondern durch Differenzdruckmessung bestimmt wird:
GSE= GTOTW- GDILW
In diesem Fall ist eine Genauigkeit von ± 2 % für GTOTW und GDW nicht ausreichend, um annehmbare Genauigkeit von GSE sicherzustellen. Wird die Gasströmung durch Differenzdruckmessung bestimmt, so darf der Fehler der Differenz höchstens so groß sein, dass die Genauigkeit von GSE innerhalb einer Toleranz von ± 5 % liegt, wobei das Verdünnungsverhältnis weniger als 15 beträgt. Die Berechnung kann durch Bilden der mittleren Quadratwurzel der Fehler jedes Geräts erfolgen.
2.3 Überprüfung des Verdünnungsverhältnisses
Bei Anwendung von Partikel-Probenahmesystemen ohne EGa (Anhang VI Abschnitt 1.2.1.1) ist das Verdünnungsverhältnis für jede neue Motorinstallation bei laufendem Motor und unter Verwendung der Messungen der CO2- oder der NOx -Konzentrationen im Rohabgas und im verdünnten Abgas zu überprüfen.
Das gemessene Verdünnungsverhältnis darf von dem anhand der CO2- oder NOx-Konzentrationsmessung berechneten Verdünnungsverhältnis um höchstens ± 10 % abweichen.
2.4 Überprüfung der Teilstrombedingungen
Der Bereich der Abgasgeschwindigkeit und der Druckschwankungen ist zu überprüfen und erforderlichenfalls entsprechend den Vorschriften in Anhang V Abschnitt 1.2.1.1 (EP) einzustellen.
2.5 Abstände zwischen den Kalibrierungen
Die Durchflußmengenmeßgeräte sind mindestens alle drei Monate sowie nach Veränderungen des Systems, die die Kalibrierung beeinflussen könnten, zu kalibrieren.
2.6. Zusätzliche Kalibrierung bei Teilstrom-Verdünnungssystemen
2.6.1. Periodische Kalibrierung
Wird die Gasprobenströmung durch Differenzdruckmessung bestimmt, so müssen der Strömungsmesser oder das Durchflussmessgerät nach einem der folgenden Verfahren kalibriert werden, so dass der Probenstrom GSE in den Tunnel den Anforderungen an die Messgenauigkeit gemäß Anlage I Abschnitt 2.4 entspricht.
Der Durchflussmesser für GDILW wird in Reihe geschaltet mit dem Durchflussmesser für GTOTW, die Differenz zwischen den beiden Durchflussmessern wird für mindestens 5 Sollwerte kalibriert, wobei die Durchflusswerte äquidistant zwischen dem niedrigsten bei der Prüfung verwendeten GDILW-Wert und dem bei der Prüfung verwendeten GTOTW-Wert liegen. Der Verdünnungstunnel kann umgangen werden.
Ein kalibriertes Massendurchsatzmessgerät wird in Reihe geschaltet mit dem Durchflussmesser für GTOTW und die Genauigkeit des für die Prüfung verwendeten Wertes wird geprüft. Dann wird das kalibrierte Massendurchsatzmessgerät in Reihe geschaltet mit dem Durchflussmesser für GDILW, und die die Genauigkeit wird für mindestens 5 dem Verdünnungsverhältnis zwischen 3 und 50 entsprechende Einstellungen (bezogen auf den bei der Prüfung verwendeten GTOTW) geprüft.
Das Übertragungsrohr TT wird vom Auspuff entfernt und ein kalibriertes Durchflussmessgerät mit einer zur Messung von GSE geeigneten Reichweite wird an das Übertragungsrohr angeschlossen. Dann wird GTOTW auf den bei der Prüfung verwendeten Wert eingestellt und GDILW fortlaufend auf mindestens 5 den Verdünnungsverhältnissen q zwischen 3 und 50 entsprechende Werte eingestellt. Alternativ kann eine spezielle Kalibrierstrombahn bereitgestellt werden, bei der der Tunnel umgangen wird, aber die gesamte und die verdünnte Luft durch die entsprechenden Messer wie bei der tatsächlichen Prüfung geleitet werden.
Ein Tracergas wird in das Übertragungsrohr TT geleitet. Dieses Tracergas kann ein Abgasbestandteil sein, etwa CO2 oder NOx. Nach der Verdünnung im Tunnel wird der Tracergasbestandteil gemessen. Dies erfolgt bei 5Verdünnungsverhältnisses zwischen 3 und 50. Die Genauigkeit des Probenstroms wird durch das Verdünnungsverhältnis q bestimmt:
GSE= GTOTW/q
Die Genauigkeit der Gasanalysegeräte ist bei der Garantie der Genauigkeit von GSE zu berücksichtigen.
2.6.2. Prüfung des Kohlenstoffdurchsatzes
Eine Prüfung des Kohlenstoffdurchsatzes unter Verwendung tatsächlicher Abgase wird nachdrücklich empfohlen zur Aufdeckung von Mess- und Regelungsproblemen und zur Überprüfung des ordnungsgemäßen Betriebs des Teilstrom-Verdünnungssystems. Die Prüfung des Kohlenstoffdurchsatzes ist mindestens jedes Mal durchzuführen, wenn ein neuer Motor eingebaut wird oder sich die Konfiguration der Prüfzelle entscheidend ändert.
Der Motor ist bei Volllast-Drehmoment und -drehzahl oder jeder anderen stationären Betriebsphase, bei der 5 % oder mehr CO2 entstehen, zu betreiben. Das Probenahme-Teilstrom-Verdünnungssystem ist mit einem Verdünnungsfaktor von etwa 15:1 zu betreiben.
2.6.3. Kontrollen vor der Prüfung
Eine Kontrolle vor der Prüfung ist innerhalb von 2Stunden vor dem Prüflauf folgendermaßen durchzuführen:
Die Genauigkeit der Durchflussmesser ist nach derselben Methode zu prüfen, die für die Kalibrierung von mindestens zwei Punkten verwendet wird, einschließlich der Durchsatzwerte von GDILW, die den Verdünnungsverhältnissen zwischen 5 und 15 für den in der Prüfung verwendeten GTOTW-Wert entsprechen.
Falls anhand der Aufzeichnungen des vorstehend beschriebenen Kalibrierungsverfahrens bewiesen werden kann, dass die Kalibrierung des Durchflussmessers über einen längeren Zeitraum stabil ist, kann auf die Kontrolle vor der Prüfung verzichtet werden.
2.6.4 Bestimmung der Umwandlungszeit
Die Systemeinstellungen für die Bewertung der Umwandlungszeit sind die gleichen wie bei der Messung des Prüflaufs. Die Umwandlungszeit wird anhand folgender Methode bestimmt:
Ein unabhängiger Bezugsdurchflussmesser mit einem dem Sondenstrom angemessenen Messbereich wird mit der Sonde in Reihe geschaltet und an sie angeschlossen. Dieser Durchflussmesser muss über eine Umwandlungszeit von unter 100ms für die bei der Messung der Ansprechzeit verwendeten Verdünnungsschritte sowie einen Strömungswiderstand verfügen, der gering genug ist, um sich nicht auf die dynamische Leistung des Teilstrom-Verdünnungssystems auszuwirken, und der guter technischer Praxis entspricht.
Der Abgasdurchsatz des Teilstrom-Verdünnungssystems (oder der Luftdurchsatz, wenn der Abgasdurchsatz berechnet wird) wechselt sprungförmig, von niedrigem Durchfluss bis auf mindestens 90 % des vollen Skalenendwertes. Der Auslöser für den Schrittwechsel sollte der gleiche sein, wie er zum Start der Look-Ahead-Funktion bei der tatsächlichen Prüfung verwendet wird. Das Eingangssignal des Abgasverdünnungsschritts und das Ansprechen des Durchflussmessers sind mit einer Abtastfrequenz von mindestens 10Hz aufzuzeichnen.
Anhand dieser Daten ist die Umwandlungszeit für das Teilstrom-Verdünnungssystem zu bestimmen, d. h. die Zeit vom Beginn Eingangsignals des Verdünnungsschritts bis zu dem Punkt, an dem der Durchflussmesser zu 50 % anspricht. In gleicher Weise sind die Umwandlungszeiten des GSE-Signals des Teilstrom-Verdünnungssystems und des G-Signals des Abgasdurchflussmessers zu bestimmen. Diese Signale werden bei den nach jeder Prüfung durchgeführten Regressionsprüfungen verwendet (Anlage I Abschnitt 2.4).
Die Berechnung muss für mindestens 5 Anstiegs- und Abfallstimuli wiederholt und aus den Ergebnissen ein Mittelwert gebildet werden. Die interne Transformationszeit (< 100 ms) des Bezugsdurchflussmessers ist von diesem Wert zu subtrahieren. Dies ist der look-ahead-Wert des Teilstromverdünnungssystems, der gemäß Anlage I Abschnitt 2.4. anzuwenden ist.
3. Kalibrierung des CVS-Systems
3.1. Allgemein
Das CVS-System wird mit einem Präzisionsdurchflussmesser kalibriert und dient zur Änderung der Betriebsbedingungen.
Der Durchfluss im System wird unter unterschiedlichen Durchflusseinstellungen gemessen; ebenso werden die Regelkenngrößen des Systems ermittelt und ins Verhältnis zu den Durchflüssen gesetzt.
Verschiedene Arten von Durchflussmessern können verwendet werden, z.B. kalibriertes Venturi-Rohr, kalibrierter Laminardurchflussmesser, kalibrierter Flügelraddurchflussmesser.
3.2. Kalibrierung der Verdrängerpumpe (PDP)
Sämtliche Kennwerte der Pumpe werden gleichzeitig mit den Kennwerten des Kalibrierungs-Venturirohrs gemessen, das mit der Pumpe in Reihe geschaltet ist. Danach kann die Kurve des berechneten Durchflusses (ausgedrückt in m3/min am Pumpeneinlass bei absolutem Druck und absoluter Temperatur) als Korrelationsfunktion aufgezeichnet werden, die einer bestimmten Kombination von Pumpenkennwerten entspricht. Die lineare Gleichung, die das Verhältnis zwischen dem Pumpendurchsatz und der Korrelationsfunktion ausdrückt, wird sodann aufgestellt. Hat die Pumpe des CVS-Systems mehrere Antriebsgeschwindigkeiten, so muss für jede verwendete Geschwindigkeit eine Kalibrierung vorgenommen werden.
Während der Kalibrierung ist eine gleichbleibende Temperatur zu gewährleisten.
Lecks an allen Anschlüssen und Röhren zwischen dem Kalibrierungs-Venturirohr und der CVS-Pumpe sind unter 0,3 % des niedrigsten Durchflusspunktes (höchster Widerstand und niedrigste PDP-Geschwindigkeit) zu halten.
3.2.1. Datenanalyse
Die Luftdurchflussmenge (Qs) an jeder Drosselstelle (mindestens 6 Einstellungen) wird nach den Angaben des Herstellers aus den Messwerten des Durchflussmessers in m3/min ermittelt. Die Luftdurchflussmenge wird dann auf den Pumpendurchsatz (V0) in m3 je Umdrehung bei absoluter Temperatur und absolutem Druck am Pumpeneinlass umgerechnet:
| Qs | T | 101,3 | |||
| V0 | x | x | |||
| n | 273 | PA |
Dabei bedeutet:
Qs = Luftdurchsatz unter Standardbedingungen (101,3 kPa, 273 K) (m3/s) T = Temperatur am Pumpeneinlass (K)
pA = absoluter Druck am Pumpeneinlass (pB-p1) (kPa)
n = Pumpgeschwindigkeit (Umdrehung/s)
Zur Kompensierung der gegenseitigen Beeinflussung der Druckschwankungen mit der Pumpendrehzahl und der Verlustrate der Pumpe wird die Korrelationsfunktion (X0) zwischen der Pumpendrehzahl, der Druckdifferenz zwischen Ein- und Auslass der Pumpe und dem absoluten Druck am Pumpenauslass wie folgt berechnet:
Dabei bedeutet:
Δpp= Differenzdruck vom Pumpeneinlass bis zum Pumpenauslass (kPa)
pA = absoluter Auslassdruck am Pumpenauslass (kPa)
Mit der Methode der kleinsten Quadrate wird eine lineare Anpassung vorgenommen, um folgende Gleichung zu erhalten:
V0= D0- m x (X0)
D0 und m sind die Konstanten für den Achsabschnitt und die Steigung, die die Regressionsgeraden beschreiben.
Hat ein CVS-System mehrere Antriebsgeschwindigkeiten, so müssen die für jede Pump-Geschwindigkeit erzielten Kalibrierkurven annähernd parallel sein, und die Ordinatenwerte (D0) müssen größer werden, wenn der Durchsatzbereich der Pumpe kleiner wird.
Die anhand der Gleichung berechneten Werte dürfen höchstens um ± 0,5 % vom gemessenen V0-Wert abweichen. Der Werte von m ist je nach Pumpe verschieden. Im Laufe der Zeit bewirkt der Partikelzustrom eine Abnahme der Verlustrate der Pumpe, die sich in niedrigeren Werten für m niederschlägt. Daher muss die Kalibrierung bei Inbetriebnahme der Pumpe, nach wesentlichen Wartungsarbeiten sowie dann erfolgen, wenn bei der Überprüfung des gesamten Systems (Abschnitt 3.5) eine Veränderung der Verlustrate festgestellt wird.
3.3. Kalibrierung des Venturi-Rohrs mit kritischer Strömung (CFV)
Bei der Kalibrierung des CFV bezieht man sich auf die Durchflussgleichung für ein Venturi-Rohr mit kritischer Strömung. Wie unten dargestellt, ist die Gasdurchflussmenge eine Funktion des Eintrittsdrucks und der Eintrittstemperatur.
Dabei bedeutet:
Kv = Kalibrierkoeffizient
PA = absoluter Druck am Eintritt des Venturirohrs (kPa)
T = Temperatur am Eintritt des Venturirohrs (K)
3.3.1. Datenanalyse
Die Luftdurchflussmenge (Qs) an jeder Drosselstelle (mindestens 8 Stellen) wird nach den Angaben des Herstellers aus den Messwerten des Durchflussmessers in m3/min ermittelt. Der Kalibrierkoeffizient ist anhand der Kalibrierdaten für jede Drosselstelle wie folgt zu berechnen:
Dabei bedeutet:
Qs = Luftdurchflussmenge unter Standardbedingungen (101,3kPa, 273 K) (m3/s)
T = Temperatur am Eintritt des Venturirohrs (K)
PA = absoluter Duck am Eintritt des Venturirohrs (kPa)
Zur Bestimmung des Bereichs der kritischen Strömung ist eine Kurve Kv in Abhängigkeit vom Druck am Eintritt des Venturirohrs aufzunehmen. Bei kritischer (gedrosselter) Strömung ist Kv relativ konstant. Fällt der Druck (d. h. bei wachsendem Unterdruck) so wird das Venturirohr frei und Kv nimmt ab; dies ist ein Anzeichen dafür, dass der Betrieb des CFV außerhalb des zulässigen Bereichs erfolgt.
Bei mindestens acht Drosselstellen im kritischen Bereich sind der Mittelwert von KV und die Standardabweichung zu berechnen. Die Standardabweichung darf höchstens ± 0,3 % des mittleren KVbetragen.
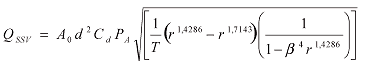
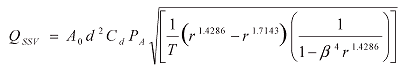
3.4. Kalibrierung der kritisch betriebenen Venturidüse (SSV)
Bei der Kalibrierung der SSV bezieht man sich auf die Durchflussgleichung für eine kritisch betriebene Venturidüse. Wie unten dargestellt, ist die Gasdurchflussmenge eine Funktion des Eintrittsdrucks und der Temperatur, des Druckabfalls zwischen SSV-Eintritt und -verengung.
Dabei bedeutet:
A0 = Sammlung von Konstanten und Einheitenumwandlungen
d = Durchmesser der SSV-Verengung (m)
Cd = Durchflusskoeffizient der SSV
PA = absoluter Druck am Eintritt der Venturidüse (kPa)
T = Temperatur am Eintritt der Venturidüse (K)
r = Verhältnis der SSV-Verengung zum Eintritt absolut, statischer Druck = 1- Δ P/PA
ß = Verhältnis des Durchmessers der SSV-Verengung zum inneren Durchmesser des Eintrittsrohrs = d/D
3.4.1. Datenanalyse
Die Luftdurchflussmenge (QSSV) an jeder Durchflussstelle (mindestens 16 Stellen) wird nach den Angaben des Herstellers aus den Messwerten des Durchflussmessers in m3/min ermittelt. Der Durchflusskoeffizient ist anhand der Kalibrierdaten für jede Stelle wie folgt zu berechnen:
Dabei bedeutet:
QSSV = Luftdurchflussmenge unter Standardbedingungen (101,3kPa, 273 K) (m3/s)
T = Temperatur am Eintritt des Venturirohrs (K)
d = Durchmesser der SSV-Verengung (m)
r = Verhältnis der SSV-Verengung zum Eintritt absolut, statischer Druck = 1- Δ P/PA
ß = Verhältnis des Durchmessers der SSV-Verengung, d, zum inneren Durchmesser des Eintrittröhrs = d/D
Zur Bestimmung des Bereichs der kritisch betriebenen Strömung ist eine Kurve Cd in Abhängigkeit von der Reynolds-Zahl an der SSV-Verengung aufzunehmen. Die Re an der SSV-Verengung berechnet sich nach folgender Formel:
| QSSv | |
| Re = A1 | |
| dµ |
Dabei bedeutet:
A1 = Sammlung von Konstanten und Einheitenumwandlungen
QSSV = Luftdurchflussmenge unter Standardbedingungen (101,3kPa, 273 K) (m3/s)
d = Durchmesser der SSV-Verengung (m)
µ = absolute oder dynamische Viskosität des Gases, berechnet nach folgender
Darin bedeuten:
b = empirische Konstante =1,458 x 106 kg / msk1/2
S = empirische Konstante = 110,4 K
Da QSSV ein Input der Re-Formel ist, müssen die Berechnungen mit einer ersten Schätzung für QSSV oder Cd des Kalibrierungs-Venturirohrs beginnen und solange wiederholt werden, bis QSSV konvergiert. Die Konvergenzmethode muss auf mindestens 0,1 % genau sein.
Für mindestens sechzehn Punkte im Bereich der kritisch betriebenen Strömung dürfen die für Cd anhand der resultierenden Gleichung zur Anpassung der Kalibrierkurve berechneten Werte höchstens um ± 0,5 % vom für jeden Kalibrierpunkt gemessenen Wert Cd abweichen.
3.5. Überprüfung des gesamten Systems
Die Gesamtgenauigkeit des CVS-Entnahmesystems und des Analysesystems wird ermittelt, indem eine bekannte Menge luftverunreinigenden Gases in das System eingeführt wird, wenn dieses normal in Betrieb ist. Der Schadstoff wird analysiert und die Masse gemäß Anhang III Anlage 3 Abschnitt 2.4.1 berechnet, allerdings ist anstelle von 0,000479 für HC bei Propan ein Faktor von 0,000472 zu verwenden. Eines der beiden folgenden Verfahren ist zu verwenden.
3.5.1. Messung mit einer Messblende für kritische Strömung
Durch eine kalibrierte Messblende wird eine bekannte Menge reinen Gases (Propan) in das CVS-System eingeführt. Ist der Eintrittsdruck groß genug, so ist die von der Messblende eingestellte Durchflussmenge unabhängig vom Austrittsdruck der Messblende (Bedingung für kritische Strömung). Das CVS-System ist wie bei einer normalen Prüfung der Abgasemission 5 bis 10Minuten zu betreiben. Eine Gasprobe wird mit dem normalerweise verwendeten Gerät analysiert (Beutel oder Integrationsmethode) und die Masse des Gases berechnet. Die auf diese Weise bestimmte Masse muss ± 3 % der bekannten Masse des eingespritzten Gases betragen.
3.5.2. Messung mit einem gravimetrischen Verfahren
Das Gewicht eines kleinen, mit Propan gefüllten Zylinders ist auf ± 0,01g genau zu bestimmen. Danach wird das CVS-System 5 bis 10Minuten lang wie für eine normale Prüfung zur Bestimmung der Abgasemissionen betrieben, wobei Kohlenmonoxid oder Propan in das System eingeführt wird. Die abgegebene Menge reinen Gases wird durch Messung der Massendifferenz ermittelt. Eine Gasprobe wird mit dem normalerweise verwendeten Gerät analysiert (Beutel oder Integrationsmethode) und die Masse des Gases berechnet. Die auf diese Weise bestimmte Masse muss ± 3 % der bekannten Masse des eingespritzten Gases betragen.
1) Das Kalibrierungsverfahren ist gleich für die NRSC- und die NRTC Prüfung, mit Ausnahme der in den Abschnitten 1.11 und 2.6 genannten Anforderungen.
| Auswertung der Messwerte und Berechnungen | Anlage 3 04 |
1 Auswertung der Messwerte und Berechnungen - NRSC-Prüfung
1.1 Auswertung der Meßwerte bei gasförmigen Emissionen
Zur Bewertung der Emissionen gasförmiger Schadstoffe ist der Durchschnittswert aus den Aufzeichnungen der letzten 60 Sekunden jeder Prüfphase zu bilden, und die durchschnittlichen Konzentrationen (conc) von HC, CO, NOx und - bei Verwendung der Kohlenstoffbilanzmethode - von CO2 während jeder Prüfphase sind aus den Durchschnittswerten der Aufzeichnungen und den entsprechenden Kalibrierdaten zu bestimmen. Es kann eine andere Art der Aufzeichnung angewandt werden, wenn diese eine gleichwertige Datenerfassung gewährleistet.
Die durchschnittlichen Hintergrundkonzentrationen (concd) können anhand der Beutelablesewerte der Verdünnungsluft oder anhand der fortlaufenden (ohne Beutel vorgenommenen) Hintergrundmessung und der entsprechenden Kalibrierdaten bestimmt werden.
1.2. Partikelemissionen
Zur Partikelbewertung sind die Gesamtmassen (MSAM, i) der durch die Filter geleiteten Probe für jede Prüfphase aufzuzeichnen. Die Filter sind wieder in die Wägekammer zu bringen und wenigstens eine, jedoch nicht mehr als 80 Stunden lang zu konditionieren und dann zu wägen. Das Bruttogewicht der Filter ist aufzuzeichnen und das Nettogewicht (Anhang III, Abschnitt 3.1) abzuziehen. Die Partikelmasse (Mf bei Einfachfiltermethode, Mf, i bei Mehrfachfiltermethode) ist die Summe der auf den Haupt- und Nachfiltern gesammelten Partikelmassen. Bei Anwendung einer Hintergrundkorrektur ist die Masse (MDIL) der durch die Filter geleiteten Verdünnungsluft und die Partikelmasse (Md) aufzuzeichnen. Wurde mehr als eine Messung vorgenommen, so ist der Quotient Md/MDIL für jede einzelne Messung zu berechnen und der Durchschnitt der Werte zu bestimmen.
1.3 Berechnung der gasförmigen Emissionen
Die in das Prüfprotokoll aufzunehmenden Prüfergebnisse werden in folgenden Schritten ermittelt:
1.3.1 Bestimmung des Abgasdurchsatzes
Die Werte des Abgasdurchsatzes (GEXHW) sind für jede Prüfphase nach Anhang III Anlage 1 Abschnitte 1.2.1 bis 1.2.3. zu bestimmen.
Bei Verwendung eines Vollstrom-Verdünnungssystems ist der Gesamtdurchsatz des verdünnten Abgases (GTOTW) für jede Prüfphase nach Anhang III Anlage 1 Abschnitt 1.2.4. zu bestimmen.
1.3.2 Umrechnung vom trockenen in den feuchten Bezugszustand
"Umrechnung vom trockenen in den feuchten Bezugszustand (GEXHW) ist für jede Prüfphase gemäß Anhang III Anlage 1 Abschnitte 1.2.1 bis 1.2.3. festzulegen.
Wird G verwendet, so ist die gemessene Konzentration nach folgender Formel in einen Wert für den feuchten Bezugszustand umzurechnen, falls die Messung nicht schon für den feuchten Bezugszustand vorgenommen worden ist:
conc (feucht) = kw × conc (trocken)
Für das Rohabgas gilt:
Für das verdünnte Gas gilt:
oder
Für die Verdünnungsluft:
Für die Ansaugluft (wenn anders als die Verdünnungsluft) gilt:
Dabei bedeuten:
Ha: absolute Feuchtigkeit der Ansaugluft (g Wasser je kg trockener Luft)
Hd: absolute Feuchtigkeit der Verdünnungsluft (g Wasser je kg trockener Luft)
Rd: relative Feuchtigkeit der Verdünnungsluft(%)
Ra: relative Feuchtigkeit der Ansaugluft(%)
pd: Sättigungsdampfdruck der Verdünnungsluft (kPa)
pa: Sättigungsdampfdruck der Ansaugluft (kPa)
pB: barometrischer Gesamtdruck (kPa)
Anmerkung: Ha und Hd können von der vorstehend beschriebenen Messung der relativen Feuchtigkeit oder von der Messung am Taupunkt, der Messung des Dampfdrucks oder der Trocken/Feuchtmessung unter Verwendung der allgemein anerkannten Formeln abgeleitet werden.
1.3.3. Feuchtigkeitskorrektur bei NOx
Da die NOx-Emission von den Bedingungen der Umgebungsluft abhängig ist, ist die NOx- Konzentration unter Berücksichtigung von Temperatur und Feuchtigkeit der Umgebungsluft mithilfe des in der folgenden Formel angegebenen Faktors KH zu korrigieren:
Dabei bedeuten:
Ta: Lufttemperatur in (K)
Ha: Feuchtigkeit der Ansaugluft (g Wasser je kg trockener Luft)
Dabei bedeuten:
Ra: relative Feuchtigkeit der Ansaugluft (%)
pa: Sättigungsdampfdruck der Ansaugluft (kPa)
pB: barometrischer Gesamtdruck (kPa)
Anmerkung: Ha kann von der vorstehend beschriebenen Messung der relativen Feuchtigkeit oder von der Messung am Taupunkt, der Messung des Dampfdrucks oder der Trocken/ Feuchtmessung unter Verwendung der allgemein anerkannten Formeln abgeleitet werden.
1.3.4. Berechnung der Emissionsmassendurchsätze
Die Massendurchsätze der Emissionen für jede Prüfphase sind wie folgt zu berechnen:
Dabei bedeuten:
concc = die hintergrundkorrigierte Konzentration
concc = conc - concd x (1- (1 / DF))
DF = 13.4 / (concCO2 + (concCO + concHC) x 10-4
oder
DF = 13,4 / concCO2
Der Koeffizient u - feucht ist entsprechend der Tabelle 4 zu verwenden:
Tabelle 4: Werte des Koeffizienten u - feucht für verschiedene Abgasbestandteile
| Gas | u | conc |
| NOx | 0,001587 | ppm |
| CO | 0,000966 | ppm |
| HC | 0,000479 | ppm |
| CO2 | 15,19 | Prozent |
Die Dichte von HC basiert auf einem durchschnittlichen Kohlenstoff-Wasserstoff-Verhältnis von 1:1,85.
1.3.5. Berechnung der spezifischen Emissionen
Die spezifische Emission (g/ kWh) ist für alle einzelnen Bestandteile folgendermaßen zu berechnen:
Hierbei ist Pi = Pm, i+ PAE, i.
Die in der obigen Berechnung verwendeten Wichtungsfaktoren und die Anzahl der Prüfphasen (n) entsprechen Anhang III Abschnitt 3.7.1.
1.4. Berechnung der Partikelemission
Die Partikelemission ist folgendermaßen zu berechnen:
1.4.1. Feuchtigkeits- Korrekturfaktor für Partikel
Da die Partikelemission der Dieselmotoren von den Bedingungen der Umgebungsluft abhängig ist, muss der Massendurchsatz der Partikel unter Berücksichtigung der Feuchtigkeit der Umgebungsluft mithilfe des in der folgenden Formel angegebenen Faktors Kp korrigiert werden:
Kp = 1/(1 + 0,0133 x (Ha - 10,71))
Dabei bedeutet:
Ha: Feuchtigkeit der Ansaugluft (g Wasser je kg trockener Luft)
| 6,220 x Ra x pa | |
| Ha = | |
| pB - pa x Ra x 10-2 |
Dabei bedeuten:
Ra: relative Feuchtigkeit der Ansaugluft (%)
pa: Sättigungsdampfdruck der Ansaugluft (kPa)
pB: barometrischer Gesamtdruck (kPa)
Anmerkung: Ha kann von der vorstehend beschriebenen Messung der relativen Feuchtigkeit oder von der Messung am Taupunkt, der Messung des Dampfdrucks oder der Trocken-/ Feuchtmessung unter Verwendung der allgemein anerkannten Formeln abgeleitet werden.
1.4.2. Teilstrom-Verdünnungssystem
Die in das Prüfprotokoll aufzunehmenden Ergebnisse der Prüfung der Partikelemissionen werden in folgenden Schritten ermittelt. Da verschiedene Arten der Kontrolle des Verdünnungsverhältnisses angewandt werden dürfen, gelten verschiedene Methoden zur Berechnung des äquivalenten Massendurchsatzes des verdünnten Abgases GEDF. Alle Berechnungen müssen auf den Durchschnittswerten der einzelnen Prüfphasen (i) während der Probenahmedauer beruhen.
1.4.2.1. Isokinetische Systeme
GEDFW,i = GEXHW,i× qi
wobei r dem Verhältnis der Querschnittsflächen der isokinetischen Sonde Ap und des Auspuffrohrs AT entspricht:
| Ap | |
| r = | |
| AT |
1.4.2.2. Systeme mit Messung von CO2- oder NOx- Konzentration
GEDFW, i= GEXHW, i × qi
| ConcE,i - ConcA,i | |
| qi = | |
| ConcD,i - ConcA,i |
Darin bedeuten:
ConcE = Konzentration des feuchten Tracergases im unverdünnten Abgas
ConcD = Konzentration des feuchten Tracergases im verdünnten Abgas
ConcA = Konzentration des feuchten Tracergases in der Verdünnungsluft
Die auf trockener Basis gemessenen Konzentrationen sind gemäß Abschnitt 1.3.2 in Feuchtwerte umzuwandeln.
1.4.2.3. Systeme mit CO2-Messung und Kohlenstoffbilanzmethode
Dabei bedeuten:
CO2D = CO2- Konzentration des verdünnten Abgases
CO2a = CO2- Konzentration der Verdünnungsluft (Konzentrationen in Volumenprozent, feucht)
Diese Gleichung beruht auf der Annahme der Kohlenstoffbilanz (die dem Motor zugeführten Kohlenstoffatome werden als CO2 freigesetzt) und wird in nachstehenden Schritten ermittelt:
GEDFW, i= GEXHW, i× qi
und
1.4.2.4. Systeme mit Durchsatzmessung
GEDFW, i= GEXHW, i× qi
1.4.3. Vollstrom-Verdünnungssystem
Die in das Prüfprotokoll aufzunehmenden Ergebnisse der Prüfung der Partikelemissionen werden in folgenden Schritten ermittelt.
Alle Berechnungen müssen auf den Mittelwerten der einzelnen Prüfphasen (i) während der Probenahmedauer beruhen.
GEDFW, i= GTOTW, i
1.4.4. Berechnung des Partikelmassendurchsatzes
Der Partikelmassendurchsatz ist wie folgt zu berechnen:
Bei der Einfachfiltermethode:
Dabei bedeuten:
(GEDFW)averist über den Prüfzyklus durch Addition der in den einzelnen Prüfphasen während der Probenahmedauer ermittelten Durchschnittswerte zu bestimmen:
wobei i = 1, ... n
Bei der Mehrfachfiltermethode:
wobei i = 1, ... n
Die Hintergrundkorrektur des Partikelmassendurchsatzes kann wie folgt vorgenommen werden:
Bei der Einfachfiltermethode:
Wird mehr als eine Messung durchgeführt, so ist (Md/MDIL) durch (Md/MDIL)averzu ersetzen.
DF = 13,4 / (concCO2 + (concCO + concHC) x 10-4)
oder
DF = 13,4/concCO2
Bei der Mehrfachfiltermethode:
Wird mehr als eine Messung durchgeführt, so ist (Md/MDIL) durch (Md/MDIL)averzu ersetzen.
DF = 13,4 / (concCO2 + (concCO + concHC) x 10-4)
oder
DF = 13,4 / concCO2
1.4.5. Berechnung der spezifischen Emissionen
Die spezifischen Partikelemissionen PT (g/kWh) sind folgendermaßen zu berechnen2:
Bei der Einfachfiltermethode:
Bei der Mehrfachfiltermethode:
1.4.6. Effektiver Wichtungsfaktor
Bei der Einfachfiltermethode ist der effektive Wichtungsfaktor WFE, i für jede Prüfphase folgendermaßen zu berechnen:
wobei i = 1, ... n
Der Wert der effektiven Wichtungsfaktoren darf von den Werten der in Anhang III Abschnitt 3.7.1 aufgeführten Wichtungsfaktoren um höchstens ± 0,005 (absoluter Wert) abweichen.
2. Auswertung der Messwerte und Berechnungen (NRTC-Prüfung)
In diesem Abschnitt werden die beiden Messgrundsätze beschrieben, die bei der Bestimmung der Schadstoffemissionen über den NRTC-Prüfzyklus hinweg angewandt werden können:
2.1. Berechnung der gasförmigen Emissionen in den Rohabgasen und der Partikelemissionen mit einem Teilstrom-Verdünnungssystem
2.1.1. Einleitung
Die momentanen Konzentrationssignale der gasförmigen Bestandteile werden zur Berechnung der Masseemissionen durch Multiplikation mit dem momentanen Abgasmassendurchsatz verwendet. Der Abgasmassendurchsatz kann direkt gemessen oder anhand der in Anhang III Anlage 1 Abschnitt 2.2.3 beschriebenen Methoden berechnet werden (Messung des Ansaugluft- und des Kraftstoffstroms, Tracermethode, Messung der Ansaugluft und des Luft- Kraftstoff-Verhältnisses). Besondere Aufmerksamkeit ist den Ansprechzeiten der einzelnen Instrumente zu widmen. Diese Differenzen sind durch zeitliche Angleichung der Signale zu berücksichtigen.
Bei Partikeln werden die Abgasmassendurchsatzsignale zur Regelung des Teilstrom-Verdünnungssystems verwendet, um eine zum Abgasmassendurchsatz proportionale Probe zu nehmen. Die Qualität der Proportionalität wird geprüft durch eine Regressionsanalyse zwischen Probe- und Abgasstrom, wie in Anhang III Anlage 1 Abschnitt 2.4 beschrieben.
2.1.2. Bestimmung der gasförmigen Bestandteile
2.1.2.1. Berechnung der emittierten Masse
Die Schadstoffmasse Mgas (g/Prüfung) ist zu bestimmen durch Berechnung der momentanen Masseemissionen aus den Rohschadstoffkonzentrationen, den u-Werten aus Tabelle 4 (siehe auch Abschnitt 1.3.4) und dem Abgasmassendurchsatz, angeglichen für die Umwandlungszeit und Integrieren der momentanen Werte über den gesamten Zyklus. Die Konzentrationen sind vorzugsweise im feuchten Bezugszustand zu messen. Wenn die Messung auf trockener Basis erfolgt, ist die nach-stehend erläuterte Umrechnung vom trockenen in den feuchten Bezugszustand auf die momentanen Konzentrationswerte anzuwenden, bevor weitere Berechnungen vorgenommen werden.
Tabelle 4. Werte des Koeffizienten u - feucht für verschiedene Abgasbestandteile
| Gas | u | conc |
| NOx | 0,001587 | ppm |
| CO | 0,000966 | ppm |
| HC | 0,000479 | ppm |
| CO2 | 15,19 | Prozent |
Die Dichte von HC basiert auf einem durchschnittlichen Kohlenstoff-Wasserstoff-Verhältnis von 1:1,85.
Hierzu dient die folgende Formel:
In dieser Formel bedeutet:
| u | = | Verhältnis zwischen der Dichte des Abgasbestandteils und der Abgasdichte |
| conci | = | momentane Konzentration des jeweiligen Bestandteils im Rohabgas (ppm) |
| GEXHW, i | = | momentaner Abgasmassendurchsatz (kg/s) |
| f | = | Datenauswahlsatz (Hz) |
| n | = | Anzahl der Messungen |
Zur Berechnung von NOx ist der Feuchtigkeits- Korrekturfaktor kH wie nachstehend beschrieben zu verwenden.
Die momentan gemessene Konzentration ist in einen Wert für den feuchten Bezugszustand umzurechnen, falls die Messung nicht schon für den feuchten Bezugszustand vorgenommen worden ist:
2.1.2.2. Umrechnung vom trockenen in den feuchten Bezugszustand
Wenn die momentane Konzentration im trockenen Bezugszustand gemessen wird, ist sie anhand folgender Formel in den feuchten Bezugszustand umzurechnen:
concfeu. = kW × conctro.
In dieser Formel bedeutet:
Dabei ist:
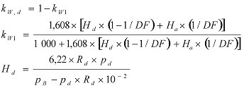
| 1608 x Ha | |
| kw2 = | |
| 1000 + 1608 x Ha |
In dieser Formel bedeutet:
concCO2= CO2- Konzentration im trockenen Bezugszustand(%)
concCO= CO- Konzentration im trockenen Bezugszustand(%)
Ha = Feuchtigkeit der Ansaugluft (g Wasser je kg trockener Luft)
| 6220 x Ra x pa | |
| H a = | |
| pB - pa x Ra x 10-2 |
Ra: relative Feuchtigkeit der Ansaugluft (%)
pa: Sättigungsdampfdruck der Ansaugluft (kPa)
pB: barometrischer Gesamtdruck (kPa)
Anmerkung: Ha kann von der vorstehend beschriebenen Messung der relativen Feuchtigkeit oder von der Messung am Taupunkt, der Messung des Dampfdrucks oder der Trocken-/ Feuchtmessung unter Verwendung der allgemein anerkannten Formeln abgeleitet werden.
2.1.2.3. Korrektur der NOx- Konzentration unter Berücksichtigung von Temperatur und Feuchtigkeit
Da die NOx-Emission von den Bedingungen der Umgebungsluft abhängig ist, ist die NOx- Konzentration unter Berücksichtigung von Feuchtigkeit und Temperatur der Umgebungsluft mithilfe der in der folgenden Formel angegebenen Faktoren zu korrigieren:
| 1 | |
| kH = | |
| 1 - 0,0182 x (Ha - 10,71) + 0,0045 x Ta - 298) |
Dabei ist:
Ta = Temperatur der Ansaugluft( K)
Ha = Feuchtigkeit der Ansaugluft (g Wasser je kg trockener Luft)
| 6,220 x Ra x pa | |
| Ha= | |
| PB - pa x Ra x 10-2 |
Dabei ist:
Ra: relative Feuchtigkeit der Ansaugluft(%)
pa: Sättigungsdampfdruck der Ansaugluft (kPa)
pB: barometrischer Gesamtdruck (kPa)
Anmerkung: Ha kann von der vorstehend beschriebenen Messung der relativen Feuchtigkeit oder von der Messung am Taupunkt, der Messung des Dampfdrucks oder der Trocken-/ Feuchtmessung unter Verwendung der allgemein anerkannten Formeln abgeleitet werden.
2.1.2.4. Berechnung der spezifischen Emissionen
Die spezifischen Emissionen (g/kWh) sind für jeden einzelnen Bestandteil folgendermaßen zu berechnen:
| (1/10)Mgas,cold + (9/10)Mgas,hot | |
| Einzelnes Gas = | |
| (1/10)Wact,cold + (9/10)Wact,hot |
Dabei bedeutet:
Mgas,cold = Gesamtmasse gasförmiger Schadstoffe über den Kaltstart-Zyklus (g)Mgas,hot = Gesamtmasse gasförmiger Schadstoffe über den Warmstart-Zyklus (g)
Wact,cold = tatsächliche Arbeit über den Kaltstart-Zyklus gemäß Anhang III Abschnitt 4.6.2 (kWh)
Wact,hot = tatsächliche Arbeit über den Warmstart-Zyklus gemäß Anhang III Abschnitt 4.6.2 (kWh).
2.1.3. Partikelbestimmung
2.1.3.1. Berechnung der emittierten Masse
Die Partikelmassen MPT,cold und MPT,hot (g/Prüfung) sind mit einer der folgenden Methoden zu berechnen:
a)
| Mf | MEDFW | ||
| MPT= | x | ||
| MSAM | 1000 |
Dabei bedeutet:
MPT = MPT,cold für den Kaltstart-ZyklusMPT = MPT,hot für den Warmstart-Zyklus
Mf = über den Zyklus abgeschiedene Partikelprobenahmemasse (mg)
MEDFW = Masse des äquivalenten verdünnten Abgases über den Zyklus (kg)
MSAM = Masse des durch Partikelfilter geleiteten verdünnten Abgases (kg)
Die Gesamtmasse des äquivalenten verdünnten Abgases über den Zyklus ist wie folgt zu bestimmen:
Dabei bedeutet:
GEDFW,i = momentaner äquivalenter Massendurchsatz des verdünnten Abgases(kg/s)GEXHW,i = momentaner Abgasmassendurchsatz(kg/s)
qi = momentanes Verdünnungsverhältnis
GTOTW,i = momentaner Massendurchsatz des verdünnten Abgases durch Verdünnungstunnel(kg/s)
GDILW,i = momentaner Massendurchsatz der Verdünnungsluft(kg/s)
f = Datenerfassungsrate (Hz)
n = Anzahl der Messungen
b)
| Mf | |
| MPT = | |
| rs x 1000 |
Dabei ist:
MPT = MPT,cold für den Kaltstart-ZyklusMPT = MPT,hot für den Warmstart-Zyklus
Mf = über den Zyklus abgeschiedene Partikelprobenahmemasse (mg)
rs = mittlerer Probenahmequotient über den Zyklus
Dabei ist:
| MSE | MSAM | ||
| rs = | x | ||
| MEXHW | MTOTW |
MSE = Abgasmassenproben über den gesamten Zyklus (kg)
MExHW = Gesamtabgasmassendurchsatz über den gesamten Zyklus (kg)
MSAM = Masse des durch Partikelfilter geleiteten verdünnten Abgases (kg)
MTOTW = Masse des durch den Verdünnungstunnel geleiteten verdünnten Abgases (kg)
ANMERKUNG: Bei einem Gesamtprobenahmesystem sind MSAM und MTOTW identisch.
2.1.3.2. Feuchtigkeitskorrekturfaktor für Partikel
Da die Partikelemission der Dieselmotoren von den Bedingungen der Umgebungsluft abhängig ist, muss die Partikelkonzentration unter Berücksichtigung der Feuchtigkeit der Umgebungsluft mithilfe des in der folgenden Formel angegebenen Faktors Kp korrigiert werden:
| 1 | |
| kp = | |
| [1 + 0,0133 x (Ha- 10,71)] |
In dieser Formel bedeutet:
Ha = Feuchtigkeit der Ansaugluft (g Wasser je kg trockener Luft)
| 6,220 x Ra x pa | |
| Ha = | |
| pB - pa x Ra x 10-2 |
Ra: relative Feuchtigkeit der Ansaugluft(%)
pa: Sättigungsdampfdruck der Ansaugluft (kPa)
pB: barometrischer Gesamtdruck (kPa)
Anmerkung: Ha kann von der vorstehend beschriebenen Messung der relativen Feuchtigkeit oder von der Messung am Taupunkt, der Messung des Dampfdrucks oder der Trocken-/ Feuchtmessung unter Verwendung der allgemein anerkannten Formeln abgeleitet werden.
2.1.3.3. Berechnung der spezifischen Emissionen
Die spezifischen Emissionen (g/kWh) sind folgendermaßen zu berechnen:
| (1/10)Kp, cold xMPT,cold +(9/10)Kp, hot x MPT,hot | |
| PT = | |
| (1/10)Wact, cold + (9/10)Wact, hot |
Dabei ist:
MPT,cold = Partikelmasse über den Kaltstart-Zyklus (g/Prüfung)MPT,hot = Partikelmasse über den Warmstart-Zyklus (g/Prüfung)
Kp, cold = Feuchtigkeits-Korrekturfaktor für Partikel über den Kaltstart-Zyklus
Kp, hot = Feuchtigkeits-Korrekturfaktor für Partikel über den Warmstart-Zyklus
Wact, cold = tatsächliche Arbeit über den Kaltstart-Zyklus gemäß Anhang III Abschnitt 4.6.2. (kWh)
Wact, hot = tatsächliche Arbeit über den Warmstart-Zyklus gemäß Anhang III Abschnitt 4.6.2.(kWh)
2.2. Bestimmung von gasförmigen und Partikelbestandteilen mit einem Vollstrom-Verdünnungssystem
Zur Berechnung der Emissionen des verdünnten Abgases muss der Massendurchsatz des verdünnten Abgases bekannt sein. Der Durchfluss des gesamten verdünnten Abgases MTOTW über den Zyklus (kg/Prüfung) berechnet sich aus den Messwerten über den Zyklus und den entsprechenden Kalibrierdaten des Durchflussmessgeräts (V0 für PDP, KVfür CFV, Cdfür SSV) anhand des entsprechenden in Abschnitt 2.2.1 beschriebenen Verfahrens. Überschreitet die Probengesamtmasse der Partikel (MSAM) und gasförmigen Schadstoffen 0,5 % des gesamten CVS-Durchsatzes MTOTW), so ist der CVS-Durchsatz für MSAM zu korrigieren oder der Strom der Partikelprobe ist vor der Durchflussmesseinrichtung zum CVS zurückzuführen.
2.2.1. Bestimmung des Durchsatzes des verdünnten Abgases PDP-CVS-System
Der Massendurchsatz über den gesamten Zyklus berechnet sich, wenn die Temperatur des verdünnten Abgases bei Verwendung eines Wärmeaustauschers über den Zyklus hinweg höchstens ± 6 K beträgt, wie folgt:
MTOTW= 1,293 × V0 × NP × (pB - p1) × 273 / (101,3 x T)
In dieser Formel bedeutet:
| MTOTW | = | Masse des verdünnten Abgases im feuchten Bezugszustand über den Zyklus |
| V0 | = | Volumen je Pumpenumdrehung unter Prüfbedingungen (m3/rev) |
| NP | = | Pumpengesamtumdrehungszahl je Prüfung |
| pB | = | atmosphärischer Druck in der Prüfzelle (kPa) |
| p1 | = | Absenkung des Drucks am Pumpeneinlass unter atmosphärischen Druck (kPa) |
| T | = | mittlere Temperatur des verdünnten Abgases am Pumpeneinlass über den Zyklus (K) |
Wird ein System mit Durchflussmengenkompensation verwendet (d.h. ohne Wärmeaustauscher), so sind die momentanen Masseemissionen über den Zyklus zu berechnen und integrieren. In diesem Fall ist die momentane Masse des verdünnten Abgases wie folgt zu berechnen:
MTOTW, i= 1,293 × V0 × NP, i × (pB - p1) × 273 / (101,3 × T)
In dieser Formel bedeutet:
NP, i= Pumpenumdrehungen insgesamt je Zeitabschnitt
CFV-CVS-System
Der Massendurchsatz über den gesamten Zyklus berechnet sich, wenn die Temperatur des verdünnten Abgases bei Verwendung eines Wärmeaustauschers über den Zyklus hinweg höchstens ± 11 K beträgt, wie folgt:
MTOTW= 1,293 × t × KV × pA /T0,5
In dieser Formel bedeutet:
| MTOTW | = | Masse des verdünnten Abgases im feuchten Bezugszustand über den Zyklus |
| t | = | Zykluszeit(s) |
| KV | = | Kalibrierungskoeffizient des Venturi-Rohrs mit kritischer Strömung unter Standardbedingungen |
| pA | = | absoluter Druck am Eintritt des Venturirohrs (kPa) |
| T | = | absolute Temperatur am Eintritt des Venturirohrs (K) |
Wird ein System mit Durchflussmengenkompensation verwendet (d. h. ohne Wärmeaustauscher), so sind die momentanen Masseemissionen über den Zyklus zu berechnen und integrieren. In diesem Fall ist die momentane Masse des verdünnten Abgases wie folgt zu berechnen:
MTOTW, i= 1,293 × Δti× KV× pa/T0,5
In dieser Formel bedeutet:
Δti= Zeitabschnitt(s)
SSV-CVS-System
Der Massendurchsatz über den gesamten Zyklus berechnet sich wie folgt, wenn die Temperatur des verdünnten Abgases bei Verwendung eines Wärmaustauschers über den Zyklus hinweg höchstens ± 11 K beträgt:
MTOTW = 1,293 x QSSV
dabei bedeutet:
A0 = Sammlung von Konstanten und Einheitenumwandlungen
| d | = | Durchmesser der SSV-Verengung(m) |
| Cd | = | Durchflusskoeffizient des SSV |
| PA | = | absoluter Druck am Eintritt des Venturirohrs (kPa) T = Temperatur am Eintritt des Venturirohrs( K) |
| r | = | Verhältnis der SSV-Verengung zum Eintritt absolut, statischer Druck = 1ΔP / PΔ |
| ß | = | Verhältnis des Durchmessers der SSV-Verengung, d, zum inneren Durchmesser des Eintrittsrohrs = d / D |
Wird ein System mit Durchflussmengenkompensation verwendet (d. h. ohne Wärmeaustauscher), so sind die momentanen Masseemissionen über den Zyklus zu berechnen und integrieren. In diesem Fall ist die momentane Masse des verdünnten Abgases wie folgt zu berechnen:
MTOTW= 1,293 x QSSV Δti
In dieser Formel bedeutet:
Δi = Zeitabschnitt(s)
Die Echtzeit-Berechnung ist entweder mit einem angemessenen Wert für Cdwie 0,98 oder mit einem angemessenen Wert für QSSV zu beginnen. Wird die Berechnung mit QSSV begonnen, so ist der Anfangswert von QSSV zur Bewertung von Re zu verwenden.
Während aller Emissionsprüfungen muss die Reynolds-Zahl an der SSV-Verengung im Bereich der Reynolds-Zahlen liegen, die zur Ableitung der in Anlage 2 Abschnitt 3.2 entwickelten Kalibrierkurve verwendet wurden.
2.2.2. Feuchtigkeitskorrektur bei NOx
Da die NOx-Emission von den Bedingungen der Umgebungsluft abhängig ist, ist die NOx- Konzentration unter Berücksichtigung der Feuchtigkeit der Umgebungsluft mithilfe der in den folgenden Formeln angegebenen Faktoren zu korrigieren:
| 1 | |
| kH = | |
| 1 - 0,0182 x (Ha - 10,71 + 0,0045 x (Ta - 298) |
dabei bedeutet:
Ta = Lufttemperatur( K)
Ha = Feuchtigkeit der Ansaugluft (g Wasser je kg trockener Luft) Hierbei bedeuten:
| 6,220 x Ra x pa | |
| Ha = | |
| pB - pa x Ra + 10-2 |
Ra = relative Feuchtigkeit der Ansaugluft(%)
pa = Sättigungsdampfdruck der Ansaugluft (kPa)
pB = barometrischer Gesamtdruck (kPa)
Anmerkung: Ha kann von der vorstehend beschriebenen Messung der relativen Feuchtigkeit oder von der Messung am Taupunkt, der Messung des Dampfdrucks oder der Trocken-/ Feuchtmessung unter Verwendung der allgemein anerkannten Formeln abgeleitet werden.
2.2.3. Berechnung des Emissionsmassendurchsatzes
2.2.3.1. Systeme mit konstantem Massendurchsatz
Bei Systemen mit Wärmeaustauscher ist die Schadstoffmasse MGAS (g/Prüfung) anhand der folgenden Gleichung zu berechnen:
MGAS= u × conc × MTOTW
In dieser Formel bedeutet:
| u | = | Verhältnis zwischen der Dichte des Abgasbestandteils und der Dichte des verdünnten Abgases, wie in Abschnitt 2.1.2.1 Tabelle 4 angegeben |
| conc | = | mittlere hintergrundkorrigierte Konzentrationen über den gesamten Zyklus aus Integration (obligatorisch für NOx und HC) oder Beutelmessung (ppm) |
| MTOTW | = | Gesamtmasse des verdünnten Abgases über den gesamten Zyklus gemäß Abschnitt 2.2.1 (kg) |
Da die NOx-Emission von den Bedingungen der Umgebungsluft abhängig ist, ist die NOx- Konzentration unter Berücksichtigung der Feuchtigkeit der Umgebungsluft mithilfe des Faktors kH gemäß Abschnitt 2.2.2 zu korrigieren:
Die auf trockener Basis gemessenen Konzentrationen sind gemäß Abschnitt 1.3.2 in Feuchtwerte umzuwandeln.
2.2.3.1.1. Bestimmung der hintergrundorientierten Konzentrationen
Um die Nettokonzentration der Schadstoffe zu bestimmen, sind die mittleren Hintergrundkonzentrationen der gasförmigen Schadstoffe in der Verdünnungsluft von den gemessenen Konzentrationen abzuziehen. Die mittleren Werte der Hintergrundkonzentrationen können mithilfe der Beutel-Methode oder durch laufende Messungen mit Integration bestimmt werden. Die nachstehende Formel ist zu verwenden.
conc = conce - concd × (1 - (1/DF))
dabei bedeutet:
| conc | = | Konzentration des jeweiligen Schadstoffs, gemessen im verdünnten Abgas, korrigiert um die Menge des in der Verdünnungsluft enthaltenen jeweiligen Schadstoffs (ppm) |
| conce | = | Konzentration des jeweiligen Schadstoffs, gemessen im verdünnten Abgas (ppm) |
| concd | = | Konzentration des jeweiligen Schadstoffs, gemessen in der Verdünnungsluft (ppm) |
| DF | = | Verdünnungsfaktor |
Der Verdünnungsfaktor berechnet sich wie folgt:
| 13,4 | |
| DF = | |
| conce CO2 + (conce HC + conce CO) x 10- 4 |
2.2.3.2. Systeme mit Durchflussmengenkompensation
Bei Systemen ohne Wärmeaustauscher ist die Masse der Schadstoffe MGAS (g/Prüfung) durch Berechnen der momentanen Masseemissionen und Integrieren der momentanen Werte über den gesamten Zyklus zu bestimmen. Darüber hinaus ist die Hintergrundkorrektur direkt auf den momentanen Konzentrationswert anzuwenden. Hierzu dienen die folgenden Formeln:
dabei bedeutet:
| conce, i | = | momentane Konzentration des jeweiligen Schadstoffs, gemessen im verdünnten Abgas (ppm) |
| concd | = | Konzentration des jeweiligen Schadstoffs, gemessen in der Verdünnungsluft (ppm) |
| u | = | Verhältnis zwischen der Dichte des Abgasbestandteils und der Dichte des verdünnten Abgases, wie in Abschnitt 2.1.2.1 Tabelle 4 angegeben |
| MTOTW, i | = | momentane Masse des verdünnten Abgases (Abschnitt 2.2.1) (kg) |
| MTOTW | = | Gesamtmasse des verdünnten Abgases über den Zyklus (Abschnitt 2.2.1) (kg) |
| DF | = | Verdünnungsfaktor, wie unter Abschnitt 2.2.3.1.1 bestimmt |
Da die NOx-Emission von den Bedingungen der Umgebungsluft abhängig ist, ist die NOx- Konzentration unter Berücksichtigung der Feuchtigkeit der Umgebungsluft mithilfe des Faktors kH wie in Abschnitt 2.2.2 beschrieben zu korrigieren:
2.2.4. Berechnung der spezifischen Emissionen
Die spezifischen Emissionen (g/kWh) sind für jeden einzelnen Bestandteil folgendermaßen zu berechnen:
| (1/10)Mgas,cold + (9/10)Mgas,hot | |
| Einzelnes Gas = | |
| (1/10)Wact,cold + (9/10)Wact,hot |
Dabei ist:
Mgas,cold = Gesamtmasse gasförmiger Schadstoffe über den Kaltstart-Zyklus (g)Mgas,hot = Gesamtmasse gasförmiger Schadstoffe über den Warmstart-Zyklus (g)
Wact,cold = tatsächliche Arbeit über den Kaltstart-Zyklus gemäß Anhang III Abschnitt 4.6.2 (kWh)
Wact,hot = tatsächliche Arbeit über den Warmstart-Zyklus gemäß Anhang III Abschnitt 4.6.2 (kWh)
2.2.5. Berechnung der Partikelemission
2.2.5.1. Berechnung des Massendurchsatzes
Die Partikelmassen MPT,cold und MPT,hot (g/Prüfung) errechnen sich wie folgt:
| Mf | MTOTW | ||
| MPT = | x | ||
| MSAM | 1000 |
Dabei ist:
MPT = M PT,cold für den Kaltstart-ZyklusMPT = M PT,hot für den Warmstart-Zyklus
Mf = über den Zyklus abgeschiedene Partikelprobenahmemasse (mg)
MTOTW = Gesamtmasse des verdünnten Abgases über den gesamten Zyklus gemäß Abschnitt 2.2.1 (kg)
MSAM = Masse des aus dem Verdünnungstunnel zum Abscheiden von Partikeln entnommenen verdünnten Abgases (kg)
und
M f = M f,p + M f,b, sofern getrennt gewogen (mg)
M f,p = am Hauptfilter abgeschiedene Partikelmasse (mg)
M f,b = am Nachfilter abgeschiedene Partikelmasse (mg)
Bei Verwendung eines Doppelverdünnungssystems ist die Masse der Sekundärverdünnungsluft von der Gesamtmasse des zweifach verdünnten Abgases, das zur Probenahme durch die Partikelfilter geleitet wurde, abzuziehen.
MSAM= MTOT- MSEC
Dabei bedeutet:
MTOT = Masse des durch Partikelfilter geleiteten doppelt verdünnten Abgases (kg)MSEC = Masse der Sekundärverdünnungsluft (kg)
Wird der Partikelhintergrund der Verdünnungsluft gemäß Anhang III Abschnitt 4.4.4 bestimmt, so kann die Partikelmasse hintergrundkorrigiert werden. In diesem Fall sind die Partikelmassen MPT,cold und MPT,hot (g/Prüfung) wie folgt zu berechnen:
Dabei ist:
MPT = MPT,cold für den Kaltstart-ZyklusM PT = MPT,hot für den Warmstart-Zyklus
Mf, MSAM, MTOTW = siehe oben
MDIL = Masse der Primärverdünnungsluft, Probenahme mittels Probenehmer für Hintergrundpartikel (kg)
Md = abgeschiedene Hintergrundpartikelmasse der Primärverdünnungsluft (mg)
DF = Verdünnungsfaktor gemäß Abschnitt 2.2.3.1.1
2.2.5.2. Feuchtigkeitskorrekturfaktor für Partikel
Da die Partikelemission der Dieselmotoren von den Bedingungen der Umgebungsluft abhängig ist, muss die Partikelkonzentration unter Berücksichtigung der Feuchtigkeit der Umgebungsluft mithilfe des in der folgenden Formel angegebenen Faktors Kp korrigiert werden:
| 1 | |
| Kp= | |
| [1+ 0,0133 x (Ha - 10,71)] |
In dieser Formel bedeutet:
Ha = Feuchtigkeit der Ansaugluft (g Wasser je kg trockener Luft)
| 6,220 x Ra x pa | |
| Ha = | |
| pB - pa x Ra x 10-2 |
In dieser Formel bedeutet:
Ra: relative Feuchtigkeit der Ansaugluft (%)
pa: Sättigungsdampfdruck der Ansaugluft (kPa)
pB: barometrischer Gesamtdruck (kPa)
Anmerkung: Ha kann von der vorstehend beschriebenen Messung der relativen Feuchtigkeit oder von der Messung am Taupunkt, der Messung des Dampfdrucks oder der Trocken/ Feuchtmessung unter Verwendung der allgemein anerkannten Formeln abgeleitet werden.
2.2.5.3. Berechnung der spezifischen Emission
Die spezifischen Emissionen (g/kWh) sind folgendermaßen zu berechnen:
| (1/10)Kp, cold xMPT,cold +(9/10)Kp, hot x MPT,hot | |
| PT = | |
| (1/10)Wact, cold + (9/10)Wact, hot |
Dabei ist:
MPT,cold = Partikelmasse über den Kaltstart-Zyklus des NRTC (g/Prüfung)MPT,hot = Partikelmasse über den Warmstart-Zyklus des NRTC (g/Prüfung)
Kp, cold = Feuchtigkeits-Korrekturfaktor für Partikel über den Kaltstart-Zyklus
Kp, hot = Feuchtigkeits-Korrekturfaktor für Partikel über den Warmstart-Zyklus
Wact, cold = tatsächliche Arbeit über den Kaltstart-Zyklus gemäß Anhang III Abschnitt 4.6.2. (kWh)
Wact, hot = tatsächliche Arbeit über den Warmstart-Zyklus gemäß Anhang III Abschnitt 4.6.2. (kWh)
| NRTC-Ablaufplan für den Motorleistungprüfstand | Anlage 4 04 |
| Zeit (s) |
Norm. Drehz (%) |
Norm. Drehmoment (%) |
| 1 | 0 | 0 |
| 2 | 0 | 0 |
| 3 | 0 | 0 |
| 4 | 0 | 0 |
| 5 | 0 | 0 |
| 6 | 0 | 0 |
| 7 | 0 | 0 |
| 8 | 0 | 0 |
| 9 | 0 | 0 |
| 10 | 0 | 0 |
| 11 | 0 | 0 |
| 12 | 0 | 0 |
| 13 | 0 | 0 |
| 14 | 0 | 0 |
| 15 | 0 | 0 |
| 16 | 0 | 0 |
| 17 | 0 | 0 |
| 18 | 0 | 0 |
| 19 | 0 | 0 |
| 20 | 0 | 0 |
| 21 | 0 | 0 |
| 22 | 0 | 0 |
| 23 | 0 | 0 |
| 24 | 1 | 3 |
| 25 | 1 | 3 |
| 26 | 1 | 3 |
| 27 | 1 | 3 |
| 28 | 1 | 3 |
| 29 | 1 | 3 |
| 30 | 1 | 6 |
| 31 | 1 | 6 |
| 32 | 2 | 1 |
| 33 | 4 | 13 |
| 34 | 7 | 18 |
| 35 | 9 | 21 |
| 36 | 17 | 20 |
| 37 | 33 | 42 |
| 38 | 57 | 46 |
| 39 | 44 | 33 |
| 40 | 31 | 0 |
| 41 | 22 | 27 |
| 42 | 33 | 43 |
| 43 | 80 | 49 |
| 44 | 105 | 47 |
| 45 | 98 | 70 |
| 46 | 104 | 36 |
| 47 | 104 | 65 |
| 48 | 96 | 71 |
| 49 | 101 | 62 |
| 50 | 102 | 51 |
| 51 | 102 | 50 |
| 52 | 102 | 46 |
| 53 | 102 | 41 |
| 54 | 102 | 31 |
| 55 | 89 | 2 |
| 56 | 82 | 0 |
| 57 | 47 | 1 |
| 58 | 23 | 1 |
| 59 | 1 | 3 |
| 60 | 1 | 8 |
| 61 | 1 | 3 |
| 62 | 1 | 5 |
| 63 | 1 | 6 |
| 64 | 1 | 4 |
| 65 | 1 | 4 |
| 66 | 0 | 6 |
| 67 | 1 | 4 |
| 68 | 9 | 21 |
| 69 | 25 | 56 |
| 70 | 64 | 26 |
| 71 | 60 | 31 |
| 72 | 63 | 20 |
| 73 | 62 | 24 |
| 74 | 64 | 8 |
| 75 | 58 | 44 |
| 76 | 65 | 10 |
| 77 | 65 | 12 |
| 78 | 68 | 23 |
| 79 | 69 | 30 |
| 80 | 71 | 30 |
| 81 | 74 | 15 |
| 82 | 71 | 23 |
| 83 | 73 | 20 |
| 84 | 73 | 21 |
| 85 | 73 | 19 |
| 86 | 70 | 33 |
| 87 | 70 | 34 |
| 88 | 65 | 47 |
| 89 | 66 | 47 |
| 90 | 64 | 53 |
| 91 | 65 | 45 |
| 92 | 66 | 38 |
| 93 | 67 | 49 |
| 94 | 69 | 39 |
| 95 | 69 | 39 |
| 96 | 66 | 42 |
| 97 | 71 | 29 |
| 98 | 75 | 29 |
| 99 | 72 | 23 |
| 100 | 74 | 22 |
| 101 | 75 | 24 |
| 102 | 73 | 30 |
| 103 | 74 | 24 |
| 104 | 77 | 6 |
| 105 | 76 | 12 |
| 106 | 74 | 39 |
| 107 | 72 | 30 |
| 108 | 75 | 22 |
| 109 | 78 | 64 |
| 110 | 102 | 34 |
| 111 | 103 | 28 |
| 112 | 103 | 28 |
| 113 | 103 | 19 |
| 114 | 103 | 32 |
| 115 | 104 | 25 |
| 116 | 103 | 38 |
| 117 | 103 | 39 |
| 118 | 103 | 34 |
| 119 | 102 | 44 |
| 120 | 103 | 38 |
| 121 | 102 | 43 |
| 122 | 103 | 34 |
| 123 | 102 | 41 |
| 124 | 103 | 44 |
| 125 | 103 | 37 |
| 126 | 103 | 27 |
| 127 | 104 | 13 |
| 128 | 104 | 30 |
| 129 | 104 | 19 |
| 130 | 103 | 28 |
| 131 | 104 | 40 |
| 132 | 104 | 32 |
| 133 | 101 | 63 |
| 134 | 102 | 54 |
| 135 | 102 | 52 |
| 136 | 102 | 51 |
| 137 | 103 | 40 |
| 138 | 104 | 34 |
| 139 | 102 | 36 |
| 140 | 104 | 44 |
| 141 | 103 | 44 |
| 142 | 104 | 33 |
| 143 | 102 | 27 |
| 144 | 103 | 26 |
| 145 | 79 | 53 |
| 146 | 51 | 37 |
| 147 | 24 | 23 |
| 148 | 13 | 33 |
| 149 | 19 | 55 |
| 150 | 45 | 30 |
| 151 | 34 | 7 |
| 152 | 14 | 4 |
| 153 | 8 | 16 |
| 154 | 15 | 6 |
| 155 | 39 | 47 |
| 156 | 39 | 4 |
| 157 | 35 | 26 |
| 158 | 27 | 38 |
| 159 | 43 | 40 |
| 160 | 14 | 23 |
| 161 | 10 | 10 |
| 162 | 15 | 33 |
| 163 | 35 | 72 |
| 164 | 60 | 39 |
| 165 | 55 | 31 |
| 166 | 47 | 30 |
| 167 | 16 | 7 |
| 168 | 0 | 6 |
| 169 | 0 | 8 |
| 170 | 0 | 8 |
| 171 | 0 | 2 |
| 172 | 2 | 17 |
| 173 | 10 | 28 |
| 174 | 28 | 31 |
| 175 | 33 | 30 |
| 176 | 36 | 0 |
| 177 | 19 | 10 |
| 178 | 1 | 18 |
| 179 | 0 | 16 |
| 180 | 1 | 3 |
| 181 | 1 | 4 |
| 182 | 1 | 5 |
| 183 | 1 | 6 |
| 184 | 1 | 5 |
| 185 | 1 | 3 |
| 186 | 1 | 4 |
| 187 | 1 | 4 |
| 188 | 1 | 6 |
| 189 | 8 | 18 |
| 190 | 20 | 51 |
| 191 | 49 | 19 |
| 192 | 41 | 13 |
| 193 | 31 | 16 |
| 194 | 28 | 21 |
| 195 | 21 | 17 |
| 196 | 31 | 21 |
| 197 | 21 | 8 |
| 198 | 0 | 14 |
| 199 | 0 | 12 |
| 200 | 3 | 8 |
| 201 | 3 | 22 |
| 202 | 12 | 20 |
| 203 | 14 | 20 |
| 204 | 16 | 17 |
| 205 | 20 | 18 |
| 206 | 27 | 34 |
| 207 | 32 | 33 |
| 208 | 41 | 31 |
| 209 | 43 | 31 |
| 210 | 37 | 33 |
| 211 | 26 | 18 |
| 212 | 18 | 29 |
| 213 | 14 | 51 |
| 214 | 13 | 11 |
| 215 | 12 | 9 |
| 216 | 15 | 33 |
| 217 | 20 | 25 |
| 218 | 25 | 17 |
| 219 | 31 | 29 |
| 220 | 36 | 66 |
| 221 | 66 | 40 |
| 222 | 50 | 13 |
| 223 | 16 | 24 |
| 224 | 26 | 50 |
| 225 | 64 | 23 |
| 226 | 81 | 20 |
| 227 | 83 | 11 |
| 228 | 79 | 23 |
| 229 | 76 | 31 |
| 230 | 68 | 24 |
| 231 | 59 | 33 |
| 232 | 59 | 3 |
| 233 | 25 | 7 |
| 234 | 21 | 10 |
| 235 | 20 | 19 |
| 236 | 4 | 10 |
| 237 | 5 | 7 |
| 238 | 4 | 5 |
| 239 | 4 | 6 |
| 240 | 4 | 6 |
| 241 | 4 | 5 |
| 242 | 7 | 5 |
| 243 | 16 | 28 |
| 244 | 28 | 25 |
| 245 | 52 | 53 |
| 246 | 50 | 8 |
| 247 | 26 | 40 |
| 248 | 48 | 29 |
| 249 | 54 | 39 |
| 250 | 60 | 42 |
| 251 | 48 | 18 |
| 252 | 54 | 51 |
| 253 | 88 | 90 |
| 254 | 103 | 84 |
| 255 | 103 | 85 |
| 256 | 102 | 84 |
| 257 | 58 | 66 |
| 258 | 64 | 97 |
| 259 | 56 | 80 |
| 260 | 51 | 67 |
| 261 | 52 | 96 |
| 262 | 63 | 62 |
| 263 | 71 | 6 |
| 264 | 33 | 16 |
| 265 | 47 | 45 |
| 266 | 43 | 56 |
| 267 | 42 | 27 |
| 268 | 42 | 64 |
| 269 | 75 | 74 |
| 270 | 68 | 96 |
| 271 | 86 | 61 |
| 272 | 66 | 0 |
| 273 | 37 | 0 |
| 274 | 45 | 37 |
| 275 | 68 | 96 |
| 276 | 80 | 97 |
| 277 | 92 | 96 |
| 278 | 90 | 97 |
| 279 | 82 | 96 |
| 280 | 94 | 81 |
| 281 | 90 | 85 |
| 282 | 96 | 65 |
| 283 | 70 | 96 |
| 284 | 55 | 95 |
| 285 | 70 | 96 |
| 286 | 79 | 96 |
| 287 | 81 | 71 |
| 288 | 71 | 60 |
| 289 | 92 | 65 |
| 290 | 82 | 63 |
| 291 | 61 | 47 |
| 292 | 52 | 37 |
| 293 | 24 | 0 |
| 294 | 20 | 7 |
| 295 | 39 | 48 |
| 296 | 39 | 54 |
| 297 | 63 | 58 |
| 298 | 53 | 31 |
| 299 | 51 | 24 |
| 300 | 48 | 40 |
| 301 | 39 | 0 |
| 302 | 35 | 18 |
| 303 | 36 | 16 |
| 304 | 29 | 17 |
| 305 | 28 | 21 |
| 306 | 31 | 15 |
| 307 | 31 | 10 |
| 308 | 43 | 19 |
| 309 | 49 | 63 |
| 310 | 78 | 61 |
| 311 | 78 | 46 |
| 312 | 66 | 65 |
| 313 | 78 | 97 |
| 314 | 84 | 63 |
| 315 | 57 | 26 |
| 316 | 36 | 22 |
| 317 | 20 | 34 |
| 318 | 19 | 8 |
| 319 | 9 | 10 |
| 410 | 68 | 83 |
| 411 | 102 | 48 |
| 412 | 62 | 0 |
| 413 | 41 | 39 |
| 414 | 71 | 86 |
| 415 | 91 | 52 |
| 416 | 89 | 55 |
| 417 | 89 | 56 |
| 418 | 88 | 58 |
| 419 | 78 | 69 |
| 420 | 98 | 39 |
| 421 | 64 | 61 |
| 422 | 90 | 34 |
| 423 | 88 | 38 |
| 424 | 97 | 62 |
| 425 | 100 | 53 |
| 426 | 81 | 58 |
| 427 | 74 | 51 |
| 428 | 76 | 57 |
| 429 | 76 | 72 |
| 430 | 85 | 72 |
| 431 | 84 | 60 |
| 432 | 83 | 72 |
| 433 | 83 | 72 |
| 434 | 86 | 72 |
| 435 | 89 | 72 |
| 436 | 86 | 72 |
| 437 | 87 | 72 |
| 438 | 88 | 72 |
| 439 | 88 | 71 |
| 440 | 87 | 72 |
| 441 | 85 | 71 |
| 442 | 88 | 72 |
| 443 | 88 | 72 |
| 444 | 84 | 72 |
| 445 | 83 | 73 |
| 446 | 77 | 73 |
| 447 | 74 | 73 |
| 448 | 76 | 72 |
| 449 | 46 | 77 |
| 450 | 78 | 62 |
| 451 | 79 | 35 |
| 452 | 82 | 38 |
| 453 | 81 | 41 |
| 454 | 79 | 37 |
| 455 | 78 | 35 |
| 456 | 78 | 38 |
| 457 | 78 | 46 |
| 458 | 75 | 49 |
| 459 | 73 | 50 |
| 460 | 79 | 58 |
| 461 | 79 | 71 |
| 462 | 83 | 44 |
| 463 | 53 | 48 |
| 464 | 40 | 48 |
| 465 | 51 | 75 |
| 466 | 75 | 72 |
| 467 | 89 | 67 |
| 468 | 93 | 60 |
| 469 | 89 | 73 |
| 470 | 86 | 73 |
| 471 | 81 | 73 |
| 472 | 78 | 73 |
| 473 | 78 | 73 |
| 474 | 76 | 73 |
| 475 | 79 | 73 |
| 476 | 82 | 73 |
| 477 | 86 | 73 |
| 478 | 88 | 72 |
| 479 | 92 | 71 |
| 480 | 97 | 54 |
| 481 | 73 | 43 |
| 482 | 36 | 64 |
| 483 | 63 | 31 |
| 484 | 78 | 1 |
| 485 | 69 | 27 |
| 486 | 67 | 28 |
| 487 | 72 | 9 |
| 488 | 71 | 9 |
| 489 | 78 | 36 |
| 490 | 81 | 56 |
| 491 | 75 | 53 |
| 492 | 60 | 45 |
| 493 | 50 | 37 |
| 494 | 66 | 41 |
| 495 | 51 | 61 |
| 496 | 68 | 47 |
| 497 | 29 | 42 |
| 498 | 24 | 73 |
| 499 | 64 | 71 |
| 500 | 90 | 71 |
| 501 | 100 | 61 |
| 502 | 94 | 73 |
| 503 | 84 | 73 |
| 504 | 79 | 73 |
| 505 | 75 | 72 |
| 506 | 78 | 73 |
| 507 | 80 | 73 |
| 508 | 81 | 73 |
| 509 | 81 | 73 |
| 510 | 83 | 73 |
| 511 | 85 | 73 |
| 512 | 84 | 73 |
| 513 | 85 | 73 |
| 514 | 86 | 73 |
| 515 | 85 | 73 |
| 516 | 85 | 73 |
| 517 | 85 | 72 |
| 518 | 85 | 73 |
| 519 | 83 | 73 |
| 520 | 79 | 73 |
| 521 | 78 | 73 |
| 522 | 81 | 73 |
| 523 | 82 | 72 |
| 524 | 94 | 56 |
| 525 | 66 | 48 |
| 526 | 35 | 71 |
| 527 | 51 | 44 |
| 528 | 60 | 23 |
| 529 | 64 | 10 |
| 530 | 63 | 14 |
| 531 | 70 | 37 |
| 532 | 76 | 45 |
| 533 | 78 | 18 |
| 534 | 76 | 51 |
| 535 | 75 | 33 |
| 536 | 81 | 17 |
| 537 | 76 | 45 |
| 538 | 76 | 30 |
| 539 | 80 | 14 |
| 540 | 71 | 18 |
| 541 | 71 | 14 |
| 542 | 71 | 11 |
| 543 | 65 | 2 |
| 544 | 31 | 26 |
| 545 | 24 | 72 |
| 546 | 64 | 70 |
| 547 | 77 | 62 |
| 548 | 80 | 68 |
| 549 | 83 | 53 |
| 550 | 83 | 50 |
| 551 | 83 | 50 |
| 552 | 85 | 43 |
| 553 | 86 | 45 |
| 554 | 89 | 35 |
| 555 | 82 | 61 |
| 556 | 87 | 50 |
| 557 | 85 | 55 |
| 558 | 89 | 49 |
| 559 | 87 | 70 |
| 560 | 91 | 39 |
| 561 | 72 | 3 |
| 562 | 43 | 25 |
| 563 | 30 | 60 |
| 564 | 40 | 45 |
| 565 | 37 | 32 |
| 566 | 37 | 32 |
| 567 | 43 | 70 |
| 568 | 70 | 54 |
| 569 | 77 | 47 |
| 570 | 79 | 66 |
| 571 | 85 | 53 |
| 572 | 83 | 57 |
| 573 | 86 | 52 |
| 574 | 85 | 51 |
| 575 | 70 | 39 |
| 576 | 50 | 5 |
| 577 | 38 | 36 |
| 578 | 30 | 71 |
| 579 | 75 | 53 |
| 580 | 84 | 40 |
| 581 | 85 | 42 |
| 582 | 86 | 49 |
| 583 | 86 | 57 |
| 584 | 89 | 68 |
| 585 | 99 | 61 |
| 586 | 77 | 29 |
| 587 | 81 | 72 |
| 588 | 89 | 69 |
| 589 | 49 | 56 |
| 590 | 79 | 70 |
| 591 | 104 | 59 |
| 592 | 103 | 54 |
| 593 | 102 | 56 |
| 594 | 102 | 56 |
| 595 | 103 | 61 |
| 596 | 102 | 64 |
| 597 | 103 | 60 |
| 598 | 93 | 72 |
| 599 | 86 | 73 |
| 600 | 76 | 73 |
| 601 | 59 | 49 |
| 602 | 46 | 22 |
| 603 | 40 | 65 |
| 604 | 72 | 31 |
| 605 | 72 | 27 |
| 606 | 67 | 44 |
| 607 | 68 | 37 |
| 608 | 67 | 42 |
| 609 | 68 | 50 |
| 610 | 77 | 43 |
| 611 | 58 | 4 |
| 612 | 22 | 37 |
| 613 | 57 | 69 |
| 614 | 68 | 38 |
| 615 | 73 | 2 |
| 616 | 40 | 14 |
| 617 | 42 | 38 |
| 618 | 64 | 69 |
| 619 | 64 | 74 |
| 620 | 67 | 73 |
| 621 | 65 | 73 |
| 622 | 68 | 73 |
| 623 | 65 | 49 |
| 624 | 81 | 0 |
| 625 | 37 | 25 |
| 626 | 24 | 69 |
| 627 | 68 | 71 |
| 628 | 70 | 71 |
| 629 | 76 | 70 |
| 630 | 71 | 72 |
| 631 | 73 | 69 |
| 632 | 76 | 70 |
| 633 | 77 | 72 |
| 634 | 77 | 72 |
| 635 | 77 | 72 |
| 636 | 77 | 70 |
| 637 | 76 | 71 |
| 638 | 76 | 71 |
| 639 | 77 | 71 |
| 640 | 77 | 71 |
| 641 | 78 | 70 |
| 642 | 77 | 70 |
| 643 | 77 | 71 |
| 644 | 79 | 72 |
| 645 | 78 | 70 |
| 646 | 80 | 70 |
| 647 | 82 | 71 |
| 648 | 84 | 71 |
| 649 | 83 | 71 |
| 650 | 83 | 73 |
| 651 | 81 | 70 |
| 652 | 80 | 71 |
| 653 | 78 | 71 |
| 692 | 99 | 68 |
| 693 | 100 | 69 |
| 694 | 102 | 72 |
| 695 | 101 | 69 |
| 696 | 100 | 69 |
| 697 | 102 | 71 |
| 698 | 102 | 71 |
| 699 | 102 | 69 |
| 700 | 102 | 71 |
| 701 | 102 | 68 |
| 702 | 100 | 69 |
| 703 | 102 | 70 |
| 704 | 102 | 68 |
| 705 | 102 | 70 |
| 706 | 102 | 72 |
| 707 | 102 | 68 |
| 708 | 102 | 69 |
| 709 | 100 | 68 |
| 710 | 102 | 71 |
| 711 | 101 | 64 |
| 712 | 102 | 69 |
| 713 | 102 | 69 |
| 714 | 101 | 69 |
| 715 | 102 | 64 |
| 716 | 102 | 69 |
| 717 | 102 | 68 |
| 718 | 102 | 70 |
| 719 | 102 | 69 |
| 720 | 102 | 70 |
| 721 | 102 | 70 |
| 722 | 102 | 62 |
| 723 | 104 | 38 |
| 724 | 104 | 15 |
| 725 | 102 | 24 |
| 726 | 102 | 45 |
| 727 | 102 | 47 |
| 728 | 104 | 40 |
| 729 | 101 | 52 |
| 730 | 103 | 32 |
| 731 | 102 | 50 |
| 732 | 103 | 30 |
| 733 | 103 | 44 |
| 734 | 102 | 40 |
| 735 | 103 | 43 |
| 736 | 103 | 41 |
| 737 | 102 | 46 |
| 738 | 103 | 39 |
| 739 | 102 | 41 |
| 740 | 103 | 41 |
| 741 | 102 | 38 |
| 742 | 103 | 39 |
| 743 | 102 | 46 |
| 744 | 104 | 46 |
| 745 | 103 | 49 |
| 746 | 102 | 45 |
| 747 | 103 | 42 |
| 748 | 103 | 46 |
| 749 | 103 | 38 |
| 750 | 102 | 48 |
| 751 | 103 | 35 |
| 752 | 102 | 48 |
| 753 | 103 | 49 |
| 754 | 102 | 48 |
| 755 | 102 | 46 |
| 756 | 103 | 47 |
| 757 | 102 | 49 |
| 758 | 102 | 42 |
| 759 | 102 | 52 |
| 760 | 102 | 57 |
| 761 | 102 | 55 |
| 762 | 102 | 61 |
| 763 | 102 | 61 |
| 764 | 102 | 58 |
| 765 | 103 | 58 |
| 766 | 102 | 59 |
| 767 | 102 | 54 |
| 768 | 102 | 63 |
| 769 | 102 | 61 |
| 770 | 103 | 55 |
| 771 | 102 | 60 |
| 772 | 102 | 72 |
| 773 | 103 | 56 |
| 774 | 102 | 55 |
| 775 | 102 | 67 |
| 776 | 103 | 56 |
| 777 | 84 | 42 |
| 778 | 48 | 7 |
| 779 | 48 | 6 |
| 780 | 48 | 6 |
| 781 | 48 | 7 |
| 782 | 48 | 6 |
| 783 | 48 | 7 |
| 784 | 67 | 21 |
| 785 | 105 | 59 |
| 786 | 105 | 96 |
| 787 | 105 | 74 |
| 788 | 105 | 66 |
| 789 | 105 | 62 |
| 790 | 105 | 66 |
| 791 | 89 | 41 |
| 792 | 52 | 5 |
| 793 | 48 | 5 |
| 794 | 48 | 7 |
| 795 | 48 | 5 |
| 796 | 48 | 6 |
| 797 | 48 | 4 |
| 798 | 52 | 6 |
| 799 | 51 | 5 |
| 800 | 51 | 6 |
| 801 | 51 | 6 |
| 802 | 52 | 5 |
| 803 | 52 | 5 |
| 804 | 57 | 44 |
| 805 | 98 | 90 |
| 806 | 105 | 94 |
| 807 | 105 | 100 |
| 808 | 105 | 98 |
| 809 | 105 | 95 |
| 810 | 105 | 96 |
| 811 | 105 | 92 |
| 812 | 104 | 97 |
| 813 | 100 | 85 |
| 814 | 94 | 74 |
| 815 | 87 | 62 |
| 816 | 81 | 50 |
| 817 | 81 | 46 |
| 818 | 80 | 39 |
| 819 | 80 | 32 |
| 820 | 81 | 28 |
| 821 | 80 | 26 |
| 822 | 80 | 23 |
| 823 | 80 | 23 |
| 824 | 80 | 20 |
| 825 | 81 | 19 |
| 826 | 80 | 18 |
| 827 | 81 | 17 |
| 828 | 80 | 20 |
| 829 | 81 | 24 |
| 830 | 81 | 21 |
| 831 | 80 | 26 |
| 832 | 80 | 24 |
| 833 | 80 | 23 |
| 834 | 80 | 22 |
| 835 | 81 | 21 |
| 836 | 81 | 24 |
| 837 | 81 | 24 |
| 838 | 81 | 22 |
| 839 | 81 | 22 |
| 840 | 81 | 21 |
| 841 | 81 | 31 |
| 842 | 81 | 27 |
| 843 | 80 | 26 |
| 844 | 80 | 26 |
| 845 | 81 | 25 |
| 846 | 80 | 21 |
| 847 | 81 | 20 |
| 848 | 83 | 21 |
| 849 | 83 | 15 |
| 850 | 83 | 12 |
| 851 | 83 | 9 |
| 852 | 83 | 8 |
| 853 | 83 | 7 |
| 854 | 83 | 6 |
| 855 | 83 | 6 |
| 856 | 83 | 6 |
| 857 | 83 | 6 |
| 858 | 83 | 6 |
| 859 | 76 | 5 |
| 860 | 49 | 8 |
| 861 | 51 | 7 |
| 862 | 51 | 20 |
| 863 | 78 | 52 |
| 864 | 80 | 38 |
| 865 | 81 | 33 |
| 866 | 83 | 29 |
| 867 | 83 | 22 |
| 868 | 83 | 16 |
| 869 | 83 | 12 |
| 870 | 83 | 9 |
| 871 | 83 | 8 |
| 872 | 83 | 7 |
| 873 | 83 | 6 |
| 874 | 83 | 6 |
| 875 | 83 | 6 |
| 876 | 83 | 6 |
| 877 | 83 | 6 |
| 878 | 59 | 4 |
| 879 | 50 | 5 |
| 880 | 51 | 5 |
| 881 | 51 | 5 |
| 882 | 51 | 5 |
| 883 | 50 | 5 |
| 884 | 50 | 5 |
| 885 | 50 | 5 |
| 886 | 50 | 5 |
| 887 | 50 | 5 |
| 888 | 51 | 5 |
| 889 | 51 | 5 |
| 890 | 51 | 5 |
| 891 | 63 | 50 |
| 892 | 81 | 34 |
| 893 | 81 | 25 |
| 894 | 81 | 29 |
| 895 | 81 | 23 |
| 896 | 80 | 24 |
| 897 | 81 | 24 |
| 898 | 81 | 28 |
| 899 | 81 | 27 |
| 900 | 81 | 22 |
| 901 | 81 | 19 |
| 902 | 81 | 17 |
| 903 | 81 | 17 |
| 904 | 81 | 17 |
| 905 | 81 | 15 |
| 906 | 80 | 15 |
| 907 | 80 | 28 |
| 908 | 81 | 22 |
| 909 | 81 | 24 |
| 910 | 81 | 19 |
| 911 | 81 | 21 |
| 912 | 81 | 20 |
| 913 | 83 | 26 |
| 914 | 80 | 63 |
| 915 | 80 | 59 |
| 916 | 83 | 100 |
| 917 | 81 | 73 |
| 918 | 83 | 53 |
| 919 | 80 | 76 |
| 920 | 81 | 61 |
| 921 | 80 | 50 |
| 922 | 81 | 37 |
| 923 | 82 | 49 |
| 924 | 83 | 37 |
| 925 | 83 | 25 |
| 926 | 83 | 17 |
| 927 | 83 | 13 |
| 928 | 83 | 10 |
| 929 | 83 | 8 |
| 930 | 83 | 7 |
| 931 | 83 | 7 |
| 932 | 83 | 6 |
| 933 | 83 | 6 |
| 934 | 83 | 6 |
| 935 | 71 | 5 |
| 936 | 49 | 24 |
| 937 | 69 | 64 |
| 938 | 81 | 50 |
| 939 | 81 | 43 |
| 940 | 81 | 42 |
| 941 | 81 | 31 |
| 942 | 81 | 30 |
| 943 | 81 | 35 |
| 944 | 81 | 28 |
| 945 | 81 | 27 |
| 946 | 80 | 27 |
| 947 | 81 | 31 |
| 948 | 81 | 41 |
| 949 | 81 | 41 |
| 950 | 81 | 37 |
| 951 | 81 | 43 |
| 952 | 81 | 34 |
| 953 | 81 | 31 |
| 954 | 81 | 26 |
| 955 | 81 | 23 |
| 956 | 81 | 27 |
| 957 | 81 | 38 |
| 958 | 81 | 40 |
| 959 | 81 | 39 |
| 960 | 81 | 27 |
| 961 | 81 | 33 |
| 962 | 80 | 28 |
| 963 | 81 | 34 |
| 964 | 83 | 72 |
| 965 | 81 | 49 |
| 966 | 81 | 51 |
| 967 | 80 | 55 |
| 968 | 81 | 48 |
| 969 | 81 | 36 |
| 970 | 81 | 39 |
| 971 | 81 | 38 |
| 972 | 80 | 41 |
| 973 | 81 | 30 |
| 974 | 81 | 23 |
| 975 | 81 | 19 |
| 976 | 81 | 25 |
| 977 | 81 | 29 |
| 978 | 83 | 47 |
| 979 | 81 | 90 |
| 980 | 81 | 75 |
| 981 | 80 | 60 |
| 982 | 81 | 48 |
| 983 | 81 | 41 |
| 984 | 81 | 30 |
| 985 | 80 | 24 |
| 986 | 81 | 20 |
| 987 | 81 | 21 |
| 988 | 81 | 29 |
| 989 | 81 | 29 |
| 990 | 81 | 27 |
| 991 | 81 | 23 |
| 992 | 81 | 25 |
| 993 | 81 | 26 |
| 994 | 81 | 22 |
| 995 | 81 | 20 |
| 996 | 81 | 17 |
| 997 | 81 | 23 |
| 998 | 83 | 65 |
| 999 | 81 | 54 |
| 1.000 | 81 | 50 |
| 1.001 | 81 | 41 |
| 1.002 | 81 | 35 |
| 1.003 | 81 | 37 |
| 1.004 | 81 | 29 |
| 1.005 | 81 | 28 |
| 1.006 | 81 | 24 |
| 1.007 | 81 | 19 |
| 1.008 | 81 | 16 |
| 1.009 | 80 | 16 |
| 1.010 | 83 | 23 |
| 1.011 | 83 | 17 |
| 1.012 | 83 | 13 |
| 1.013 | 83 | 27 |
| 1.014 | 81 | 58 |
| 1.015 | 81 | 60 |
| 1.016 | 81 | 46 |
| 1.017 | 80 | 41 |
| 1.018 | 80 | 36 |
| 1.019 | 81 | 26 |
| 1.020 | 86 | 18 |
| 1.021 | 82 | 35 |
| 1.022 | 79 | 53 |
| 1.023 | 82 | 30 |
| 1.024 | 83 | 29 |
| 1.025 | 83 | 32 |
| 1.026 | 83 | 28 |
| 1.027 | 76 | 60 |
| 1.028 | 79 | 51 |
| 1.029 | 86 | 26 |
| 1.030 | 82 | 34 |
| 1.031 | 84 | 25 |
| 1.032 | 86 | 23 |
| 1.033 | 85 | 22 |
| 1.034 | 83 | 26 |
| 1.035 | 83 | 25 |
| 1.036 | 83 | 37 |
| 1.037 | 84 | 14 |
| 1.038 | 83 | 39 |
| 1.039 | 76 | 70 |
| 1.040 | 78 | 81 |
| 1.041 | 75 | 71 |
| 1.042 | 86 | 47 |
| 1.043 | 83 | 35 |
| 1.044 | 81 | 43 |
| 1.045 | 81 | 41 |
| 1.046 | 79 | 46 |
| 1.047 | 80 | 44 |
| 1.048 | 84 | 20 |
| 1.049 | 79 | 31 |
| 1.050 | 87 | 29 |
| 1.051 | 82 | 49 |
| 1.052 | 84 | 21 |
| 1.053 | 82 | 56 |
| 1.054 | 81 | 30 |
| 1.055 | 85 | 21 |
| 1.056 | 86 | 16 |
| 1.057 | 79 | 52 |
| 1.058 | 78 | 60 |
| 1.059 | 74 | 55 |
| 1.060 | 78 | 84 |
| 1.061 | 80 | 54 |
| 1.062 | 80 | 35 |
| 1.063 | 82 | 24 |
| 1.064 | 83 | 43 |
| 1.065 | 79 | 49 |
| 1.066 | 83 | 50 |
| 1.067 | 86 | 12 |
| 1.068 | 64 | 14 |
| 1.069 | 24 | 14 |
| 1.070 | 49 | 21 |
| 1.071 | 77 | 48 |
| 1.072 | 103 | 11 |
| 1.073 | 98 | 48 |
| 1.074 | 101 | 34 |
| 1.075 | 99 | 39 |
| 1.076 | 103 | 11 |
| 1.077 | 103 | 19 |
| 1.078 | 103 | 7 |
| 1.079 | 103 | 13 |
| 1.080 | 103 | 10 |
| 1.081 | 102 | 13 |
| 1.082 | 101 | 29 |
| 1.083 | 102 | 25 |
| 1.084 | 102 | 20 |
| 1.085 | 96 | 60 |
| 1.086 | 99 | 38 |
| 1.087 | 102 | 24 |
| 1.088 | 100 | 31 |
| 1.089 | 100 | 28 |
| 1.090 | 98 | 3 |
| 1.091 | 102 | 26 |
| 1.092 | 95 | 64 |
| 1.093 | 102 | 23 |
| 1.094 | 102 | 25 |
| 1.095 | 98 | 42 |
| 1.096 | 93 | 68 |
| 1.097 | 101 | 25 |
| 1.098 | 95 | 64 |
| 1.099 | 101 | 35 |
| 1.100 | 94 | 59 |
| 1.101 | 97 | 37 |
| 1.102 | 97 | 60 |
| 1.103 | 93 | 98 |
| 1.104 | 98 | 53 |
| 1.105 | 103 | 13 |
| 1.106 | 103 | 11 |
| 1.107 | 103 | 11 |
| 1.108 | 103 | 13 |
| 1.109 | 103 | 10 |
| 1.110 | 103 | 10 |
| 1.111 | 103 | 11 |
| 1.112 | 103 | 10 |
| 1.113 | 103 | 10 |
| 1.114 | 102 | 18 |
| 1.115 | 102 | 31 |
| 1.116 | 101 | 24 |
| 1.117 | 102 | 19 |
| 1.118 | 103 | 10 |
| 1.119 | 102 | 12 |
| 1.120 | 99 | 56 |
| 1.121 | 96 | 59 |
| 1.122 | 74 | 28 |
| 1.123 | 66 | 62 |
| 1.124 | 74 | 29 |
| 1.125 | 64 | 74 |
| 1.126 | 69 | 40 |
| 1.127 | 76 | 2 |
| 1.128 | 72 | 29 |
| 1.129 | 66 | 65 |
| 1.130 | 54 | 69 |
| 1.131 | 69 | 56 |
| 1.132 | 69 | 40 |
| 1.133 | 73 | 54 |
| 1.134 | 63 | 92 |
| 1.135 | 61 | 67 |
| 1.136 | 72 | 42 |
| 1.137 | 78 | 2 |
| 1.138 | 76 | 34 |
| 1.139 | 67 | 80 |
| 1.140 | 70 | 67 |
| 1.141 | 53 | 70 |
| 1.142 | 72 | 65 |
| 1.143 | 60 | 57 |
| 1.144 | 74 | 29 |
| 1.145 | 69 | 31 |
| 1.146 | 76 | 1 |
| 1.147 | 74 | 22 |
| 1.148 | 72 | 52 |
| 1.149 | 62 | 96 |
| 1.150 | 54 | 72 |
| 1.151 | 72 | 28 |
| 1.152 | 72 | 35 |
| 1.153 | 64 | 68 |
| 1.154 | 74 | 27 |
| 1.155 | 76 | 14 |
| 1.156 | 69 | 38 |
| 1.157 | 66 | 59 |
| 1.158 | 64 | 99 |
| 1.159 | 51 | 86 |
| 1.160 | 70 | 53 |
| 1.161 | 72 | 36 |
| 1.162 | 71 | 47 |
| 1.163 | 70 | 42 |
| 1.164 | 67 | 34 |
| 1.165 | 74 | 2 |
| 1.166 | 75 | 21 |
| 1.167 | 74 | 15 |
| 1.168 | 75 | 13 |
| 1.169 | 76 | 10 |
| 1.170 | 75 | 13 |
| 1.171 | 75 | 10 |
| 1.172 | 75 | 7 |
| 1.173 | 75 | 13 |
| 1.174 | 76 | 8 |
| 1.175 | 76 | 7 |
| 1.176 | 67 | 45 |
| 1.177 | 75 | 13 |
| 1.178 | 75 | 12 |
| 1.179 | 73 | 21 |
| 1.180 | 68 | 46 |
| 1.181 | 74 | 8 |
| 1.182 | 76 | 11 |
| 1.183 | 76 | 14 |
| 1.184 | 74 | 11 |
| 1.185 | 74 | 18 |
| 1.186 | 73 | 22 |
| 1.187 | 74 | 20 |
| 1.188 | 74 | 19 |
| 1.189 | 70 | 22 |
| 1.190 | 71 | 23 |
| 1.191 | 73 | 19 |
| 1.192 | 73 | 19 |
| 1.193 | 72 | 20 |
| 1.194 | 64 | 60 |
| 1.195 | 70 | 39 |
| 1.196 | 66 | 56 |
| 1.197 | 68 | 64 |
| 1.198 | 30 | 68 |
| 1.199 | 70 | 38 |
| 1.200 | 66 | 47 |
| 1.201 | 76 | 14 |
| 1.202 | 74 | 18 |
| 1.203 | 69 | 46 |
| 1.204 | 68 | 62 |
| 1.205 | 68 | 62 |
| 1.206 | 68 | 62 |
| 1.207 | 68 | 62 |
| 1.208 | 68 | 62 |
| 1.209 | 68 | 62 |
| 1.210 | 54 | 50 |
| 1.211 | 41 | 37 |
| 1.212 | 27 | 25 |
| 1.213 | 14 | 12 |
| 1.214 | 0 | 0 |
| 1.215 | 0 | 0 |
| 1.216 | 0 | 0 |
| 1.217 | 0 | 0 |
| 1.218 | 0 | 0 |
| 1.219 | 0 | 0 |
| 1.220 | 0 | 0 |
| 1.221 | 0 | 0 |
| 1.222 | 0 | 0 |
| 1.223 | 0 | 0 |
| 1.224 | 0 | 0 |
| 1.225 | 0 | 0 |
| 1.226 | 0 | 0 |
| 1.227 | 0 | 0 |
| 1.228 | 0 | 0 |
| 1.229 | 0 | 0 |
| 1.230 | 0 | 0 |
| 1.231 | 0 | 0 |
| 1.232 | 0 | 0 |
| 1.233 | 0 | 0 |
| 1.234 | 0 | 0 |
| 1.235 | 0 | 0 |
| 1.236 | 0 | 0 |
| 1.237 | 0 | 0 |
| 1.238 | 0 | 0 |
Nachstehend folgt eine grafische Darstellung des NRTC-Ablaufplans für den Motorleistungsprüfstand:
NRTC-Ablaufplan für Leistungsprüfstand
| Dauerhaltbarkeitsanforderungen | Anlage 5 04 |
1. Prüfung der Dauerhaltbarkeit von Kompressionszündungsmotoren der Stufen IIIa und IIIB
Diese Anlage gilt nur für Kompressionszündungsmotoren der Stufe IIIa und IIIB.
1.1. Die Hersteller legen für jeden reglementierten Schadstoff für alle Motorfamilien der Stufen IIIa und IIIB einen Verschlechterungsfaktor fest. Diese Verschlechterungsfaktoren sind für die Typgenehmigung und die Prüfung an der Fertigungsstraße anzuwenden.
1.1.1. Prüfungen zur Festlegung der Verschlechterungsfaktoren sind wie folgt durchzuführen:
1.1.1.1. Der Hersteller muss nach einem Prüfplan Dauerhaltbarkeitsprüfungen durchführen. Dieser Prüfplan ist
nach bestem technischem Ermessen auszuwählen, damit er in Bezug auf Merkmale der Verschlechterung der Emissionsleistung von Motoren repräsentativ ist. Der Dauerhaltbarkeitsprüfzeitraum sollte in der Regel mindestens einem Viertel der Emissions-Dauerhaltbarkeitsperiode entsprechen.
Die Dauerprüfung kann durchgeführt werden, indem der Motor auf einem Prüfstand läuft oder tatsächlich in Betrieb ist. Beschleunigte Dauerhaltbarkeitsprüfungen können durchgeführt werden, wobei das Betriebsakkumulationsprogramm bei einem höheren Belastungsgrad durchlaufen wird, als er in der Regel in diesem Bereich vorkommt. Der Beschleunigungsfaktor, der die Anzahl der Motorhaltbarkeitsprüfstunden zur entsprechenden Anzahl der EDP-Stunden ins Verhältnis setzt, wird vom Motorhersteller nach bestem technischem Ermessen festgelegt.
Während des Zeitraums der Dauerhaltbarkeitsprüfung dürfen emissionsempfindliche Bestandteile nur nach dem vom Hersteller empfohlenen regelmäßigen Wartungsplan gewartet oder ausgetauscht werden.
Der Prüfmotor, die Baugruppen oder Bauteile, die zur Bestimmung der Abgasemissions-Verschlechterungsfaktoren für eine Motorenfamilie oder für Motorenfamilien mit vergleichbarer Emissionsminderungstechnologie verwendet werden, sind vom Motorhersteller nach bestem technischem Ermessen auszuwählen. Der Prüfmotor sollte die Emissionsverschlechterungsmerkmale der Motorenfamilien repräsentieren, die die resultierenden Verschlechterungsfaktorwerte bei der Typgenehmigung anwenden. Motoren mit unterschiedlicher Bohrung und unterschiedlichem Hub, unterschiedlicher Konfiguration, unterschiedlichen Luftaufbereitungssystemen und unterschiedlichen Kraftstoffsystemen können in Bezug auf die Emissionsverschlechterungsmerkmale als äquivalent eingestuft werden, sofern es hierfür eine hinreichende technische Grundlage gibt.
Die Werte der Verschlechterungsfaktoren eines anderen Herstellers können angewandt werden, sofern es eine hinreichende Grundlage dafür gibt, in Bezug auf die Verschlechterung bei den Emissionen von technischer Äquivalenz auszugehen, und die Prüfungen nachweislich gemäß den vorgeschriebenen Anforderungen durchgeführt wurden. Die Emissionsprüfung wird gemäß dem in dieser Richtlinie festgelegten Verfahren für eingefahrene Prüfmotoren vor der Betriebsakkumulationsprüfung und am Ende der Dauerhaltbarkeitsprüfung durchgeführt. Emissionsprüfungen können auch in Abständen während des Dauerprüfungszeitraums durchgeführt und zur Bestimmung der Verschlechterungstendenz angewandt werden.
1.1.1.2. Bei den zur Bestimmung der Verschlechterung durchgeführten Dauerprüfungen oder Emissionsprüfungen muss kein Vertreter der Genehmigungsbehörde zugegen sein.
1.1.1.3. Bestimmung der Verschlechterungsfaktorwerte durch Dauerhaltbarkeitsprüfungen
Ein additiver Verschlechterungsfaktor ist definiert als der Wert, der durch Subtraktion des zu Beginn der Emissions-Dauerhaltbarkeitsperiode bestimmten Wertes vom am Ende der Emissions-Dauerhaltbarkeitsperiode bestimmten Wert, der der Emissionsleistung entspricht, ermittelt wird.
Ein multiplikativer Verschlechterungsfaktor ist definiert als der am Ende der Emissions-Dauerhaltbarkeitsperiode bestimmte Emissionswert geteilt durch den zu Beginn der Emissions-Dauerhaltbarkeitsperiode aufgezeichneten Emissionswert.
Für jeden in Rechtsvorschriften erfassten Schadstoff sind gesonderte Werte für den Verschlechterungsfaktor zu erstellen. Wird der Wert des Verschlechterungsfaktors gegenüber dem NOx + HC-Standard bestimmt, so geschieht dies bei einem additiven Verschlechterungsfaktor basierend auf der Summe der Schadstoffe, unbeschadet der Tatsache, dass eine negative Verschlechterung bei einem Schadstoff die Verschlechterung eines anderen Faktors nicht ausgleichen kann. Bei einem multiplikativen NOx + HC-Verschlechterungsfaktor sind bei der Berechnung der verschlechterten Emissionswerte anhand des Ergebnisses einer Emissionsprüfung gesonderte Verschlechterungsfaktoren für NOx und HC festzulegen und anzuwenden, bevor die resultierenden verschlechterten NOx- und HC-Werte im Hinblick auf die Einhaltung des Standards kombiniert werden.
Wird die Prüfung nicht für die vollständige Emissions-Dauerhaltbarkeitsperiode durchgeführt, so werden die Emissionswerte am Ende der Emissions-Dauerhaltbarkeitsperiode durch Extrapolation der für den Prüfzeitraum festgestellten Emissionsverschlechterungstendenz auf die vollständige Emissions-Dauerhaltbarkeitsperiode bestimmt.
Wurden Ergebnisse von Emissionsprüfungen während der Dauerhaltbarkeitsprüfung regelmäßig aufgezeichnet, so sind bei der Bestimmung der Emissionswerte am Ende der Emissions-Dauerhaltbarkeitsperiode auf vorbildlichen Verfahren basierende Standardtechniken der statistischen Aufbereitung anzuwenden; die statistische Signifikanz kann bei der Bestimmung der endgültigen Emissionswerte geprüft werden.
Ergibt die Berechnung einen Wert unter 1,00 für einen multiplikativen Verschlechterungsfaktor oder unter 0,00 für einen additiven Verschlechterungsfaktor, so gilt der Verschlechterungsfaktor 1,0 bzw. 0,00.
1.1.1.4. Ein Hersteller kann mit Genehmigung der Typgenehmigungsbehörde Verschlechterungsfaktorwerte verwenden, die anhand der Ergebnisse Dauerhaltbarkeitsprüfungen bestimmt wurden, die zur Ermittlung von Verschlechterungsfaktorwerten bei Kompressionszündungsmotoren für schwere Nutzfahrzeuge durchgeführt wurden. Dies ist zulässig, wenn der Kfz-Prüfmotor und die Motorenfamilien für mobile Maschinen und Geräte, die die Verschlechterungsfaktorwerte für die Typgenehmigungszwecke anwenden, technisch äquivalent sind. Die aus den Ergebnissen von Emissionsdauerhaltbarkeitsprüfungen von Kfz-Motoren abgeleiteten Verschlechterungsfaktorwerte sind auf der Grundlage der in Abschnitt 3 definierten Werte der Emissions-Dauerhaltbarkeitsperiode zu berechnen.
1.1.1.5. Verwendet die Motorenfamilie anerkannte Technologien, so kann nach Genehmigung durch die Typgenehmigungsbehörde anstelle der Prüfung eine auf guter technischer Praxis basierende Analyse herangezogen werden, um einen Verschlechterungsfaktor für diese Motorenfamilie zu bestimmen.
1.2. Angaben zum Verschlechterungsfaktor in Anträgen auf Typgenehmigung
1.2.1. Für jeden Schadstoff sind im Typgenehmigungsantrag für eine Motorenfamilie von Kompressionszündungsmotoren ohne Nachbehandlungseinrichtung additive Verschlechterungsfaktoren anzugeben.
1.2.2. Für jeden Schadstoff sind im Typgenehmigungsantrag für eine Motorenfamilie von Kompressionszündungsmotoren mit Nachbehandlungseinrichtung multiplikative Verschlechterungsfaktoren anzugeben.
1.2.3. Der Hersteller muss der Typgenehmigungsbehörde auf Anfrage Informationen zur Verfügung stellen, die die Verschlechterungsfaktoren belegen. Dazu zählen in der Regel die Ergebnisse von Emissionsprüfungen, das Betriebsakkumulationsprogramm, die Wartungsverfahren sowie gegebenenfalls unterstützende Angaben zum technischen Ermessen hinsichtlich der technischen Äquivalenz.
2. Prüfung der Dauerhaltbarkeit von Kompressionszündungsmotoren der Stufe IV
2.1. Allgemeine Bemerkungen
2.1.1. Dieser Abschnitt gilt für Kompressionszündungsmotoren der Stufe IV. Auf Antrag des Herstellers kann er alternativ zu den Vorschriften in Abschnitt 1 dieser Anlage auch auf Kompressionszündungsmotoren der Stufen IIIa und IIIB angewendet werden.
2.1.2. In diesem Abschnitt werden die Verfahren für die Auswahl jener Motoren beschrieben, die für das Betriebsakkumulationsprogramm zur Ermittlung der Verschlechterungsfaktoren im Rahmen des Typgenehmigungsverfahrens und der Bewertungen der Übereinstimmung der Produktion bei Motoren der Stufe IV ausgewählt werden. Die Verschlechterungsfaktoren sind gemäß Absatz 2.4.7 auf die gemäß Anhang III dieser Richtlinie gemessenen Emissionen anzuwenden.
2.1.3. Bei den zur Bestimmung der Verschlechterung durchgeführten Betriebsakkumulationsprogrammen oder Emissionsprüfungen muss kein Vertreter der Genehmigungsbehörde zugegen sein.
2.1.4. Außerdem enthält dieser Abschnitt 2 Bestimmungen zur emissionsrelevanten und nicht emissionsrelevanten Wartung von Motoren, die einem Betriebsakkumulationsprogramm unterzogen werden. Diese Wartung muss der Wartung entsprechen, die an in Betrieb befindlichen Motoren vorgenommen und den Besitzern von neuen Motoren mitgeteilt wird.
2.1.5. Auf Antrag des Herstellers kann die Typgenehmigungsbehörde die Verwendung von Verschlechterungsfaktoren, die mit anderen Verfahren als mit den in den Abschnitten 2.4.1 bis 2.4.5 beschriebenen ermittelt wurden, erlauben. In diesem Fall muss der Hersteller zur Zufriedenheit der Typgenehmigungsbehörde nachweisen, dass diese alternativen Verfahren mindestens so streng sind, wie die in den Abschnitten 2.4.1 bis 2.4.5 beschriebenen.
2.2. Begriffsbestimmungen
Anzuwenden für Anlage 5 Abschnitt 2.
2.2.1. "Alterungszyklus" bezeichnet den Maschinen- oder Motorbetrieb (Drehzahl, Last, Leistung), der während des Betriebsakkumulationszeitraums realisiert werden soll;
2.2.2. "kritische emissionsrelevante Bauteile" bezeichnet die Bauteile, die hauptsächlich auf die Emissionsminderung ausgelegt sind, d. h. alle Abgasnachbehandlungssysteme, das elektronische Motorsteuergerät mit zugehörigen Sensoren und Aktuatoren und das Abgasrückführungssystem (AGR) einschließlich aller zugehörigen Filter, Kühler, Regelventile und Röhren;
2.2.3. "kritische emissionsrelevante Wartung" bezeichnet die Wartung, die bei kritischen emissionsrelevanten Bauteilen durchzuführen ist;
2.2.4. "emissionsrelevante Wartung" bezeichnet die Wartung, die sich wesentlich auf Emissionen auswirkt oder sich wahrscheinlich auf die Verschlechterung der Emissionsleistung des Fahrzeugs oder des Motors im normalen Fahrbetrieb auswirken wird;
2.2.5. "Abgasnachbehandlungssystem-Motorenfamilie" bezeichnet eine vom Hersteller gebildete Untermenge von Motoren einer Motorenfamilie, die jedoch in eine weitere Unterfamilie von Motorenfamilien mit ähnlichen Abgasnachbehandlungssystemen unterteilt sind;
2.2.6. "nicht emissionsrelevante Wartung" bezeichnet die Wartung, die sich nicht wesentlich auf Emissionen auswirkt und nach Durchführung keine nachhaltigen Auswirkungen auf die Verschlechterung der Emissionsleistung der Maschine oder des Motors im normalen Fahrbetrieb hat;
2.2.7. "Betriebsakkumulationsprogramm" bezeichnet den Alterungszyklus und den Betriebsakkumulationszeitraum zur Festlegung von Verschlechterungsfaktoren für die Abgasnachbehandlungssystem-Motorenfamilie;
2.3. Auswahl der Motoren für die Festlegung von Verschlechterungsfaktoren für die Emissions-Dauerhaltbarkeitsperiode
2.3.1. Aus der gemäß Abschnitt 6 von Anhang I dieser Richtlinie festgelegten Motorenfamilie werden Motoren für die Emissionsprüfung zur Bestimmung der Verschlechterungsfaktoren für die Emissions-Dauerhaltbarkeitsperiode entnommen.
2.3.2. Motoren aus verschiedenen Motorenfamilien können nach der Art ihres Abgasnachbehandlungssystems zu weiteren Motorenfamilien zusammengefasst werden. Wenn der Hersteller Motoren, die sich hinsichtlich der Anordnung der Zylinder unterscheiden, jedoch hinsichtlich technischer Merkmale und Installation des Abgasnachbehandlungssystems ähneln, in einer Abgasnachbehandlungssystem-Motorenfamilie zusammenfassen möchte, muss er der Genehmigungsbehörde Daten vorlegen, aus denen hervorgeht, dass die Leistung der Emissionsreduzierung dieser Motorsysteme ähnlich ist.
2.3.3. Der Motorenhersteller wählt einen Motor aus, der für die Abgasnachbehandlungssystem-Motorenfamilie gemäß Abschnitt 2.3.2 repräsentativ ist. Dieser Motor wird gemäß dem in Abschnitt 2.4.2 festgelegten Betriebsakkumulationsprogramm geprüft. Vor Beginn der Prüfungen ist die Typgenehmigungsbehörde über den gewählten Motor zu informieren.
2.3.3.1. Falls die Typgenehmigungsbehörde zu dem Schluss kommt, dass es günstiger ist, die schlechtesten Emissionswerte des Abgasnachbehandlungssystems der Motorenfamilie anhand eines anderen Motors zu bestimmen, so ist der Prüfmotor von der Typgenehmigungsbehörde und dem Hersteller gemeinsam auszuwählen.
2.4. Festlegung von Verschlechterungsfaktoren für die Emissions- Dauerhaltbarkeitsperiode
2.4.1. Allgemeine Bemerkungen
Die für eine Abgasnachbehandlungssystem-Motorenfamilie geltenden Verschlechterungsfaktoren werden von den ausgewählten Motoren abgeleitet, auf Grundlage eines Betriebsakkumulationsprogramms, das die regelmäßige Prüfung auf gasförmige Schadstoffe und luftverunreinigende Partikel während der NRSC- und NRTC-Prüfungen umfasst.
2.4.2. Betriebsakkumulationsprogramm
Betriebsakkumulationsprogramme kann der Hersteller entweder anhand einer im Betrieb befindlichen Maschine mit dem gewählten Motor oder anhand des Betriebs des gewählten Motors auf dem Prüfstand durchführen.
2.4.2.1. Prüfung im Betrieb und Prüfung auf dem Prüfstand
2.4.2.1.1. Der Hersteller bestimmt nach den Regeln der Technik die Art und die Dauer des Betriebsakkumulationsprogramms und des Alterungszyklus für die Motoren.
2.4.2.1.2. Der Hersteller legt fest, wann während der NRTC-Prüfung mit Warmstart und der NRSC-Prüfung gasförmige und Partikel-Emissionen gemessen werden. Es muss mindestens drei Prüfpunkte geben, einen zu Beginn, einen etwa in der Mitte und einen am Ende des Prüfprogramms.
2.4.2.1.3. Die Emissionswerte am Anfang und am Ende der Emissions-Dauerhaltbarkeitsperiode, die gemäß Abschnitt 2.4.5.2 errechnet werden, müssen den für die Motorenfamilie geltenden Grenzwerten entsprechen; einzelne Emissionsergebnisse der Prüfpunkte dürfen diese Grenzwerte jedoch überschreiten.
2.4.2.1.4. Auf Antrag des Herstellers und mit Zustimmung der Typgenehmigungsbehörde braucht an jedem Prüfpunkt nur ein Prüfzyklus (entweder NRTC-Zyklus mit Warmstart oder NRSC-Zyklus) durchgeführt zu werden; der andere Prüfzyklus ist dann lediglich am Anfang und am Ende des Betriebsakkumulationsprogramms durchzuführen.
2.4.2.1.5. Für Motoren mit konstanter Drehzahl, Motoren unter 19 kW, Motoren über 560 kW und Motoren, die zur Verwendung in Binnenschiffen oder den Antrieb von Lokomotiven und Triebwagen bestimmt sind, ist nur der NRSC-Zyklus an jedem Prüfpunkt zu verwenden.
2.4.2.1.6. Die Betriebsakkumulationsprogramme können bei Motoren verschiedener Abgasnachbehandlungssystem- Motorenfamilien unterschiedlich sein.
2.4.2.1.7. Die Betriebsakkumulationsprogramme können kürzer als die Emissions-Dauerhaltbarkeitsperiode sein, aber sie dürfen nicht kürzer als mindestens ein Viertel der entsprechenden, in Abschnitt 3 dieser Anlage angegebenen Emissions-Dauerhaltbarkeitsperiode sein.
2.4.2.1.8. Künstliches Altern ist zulässig, indem das Betriebsakkumulationsprogramm auf Grundlage des Kraftstoffverbrauchs eingestellt wird. Die Einstellung muss auf dem Verhältnis zwischen dem typischen Kraftstoffverbrauch im Betrieb und dem Kraftstoffverbrauch im Alterungszyklus basieren, aber der Kraftstoffverbrauch im Alterungszyklus darf den typischen Kraftstoffverbrauch im Betrieb nicht um mehr als 30 Prozent übersteigen.
2.4.2.1.9. Auf Antrag des Herstellers und mit Zustimmung der Typgenehmigungsbehörde können andere Methoden zur beschleunigten Alterung verwendet werden.
2.4.2.1.10. Das Betriebsakkumulationsprogramm ist im Antrag auf Typgenehmigung ausführlich zu beschreiben und vor Aufnahme der Prüfungen der Typgenehmigungsbehörde mitzuteilen.
2.4.2.2. Falls die Typgenehmigungsbehörde zu dem Schluss kommt, dass zusätzliche Messungen zwischen den vom Hersteller bestimmten Prüfpunkten erforderlich sind, teilt sie dies dem Hersteller mit. Der Hersteller muss dann die Betriebsakkumulationsprogramme überarbeiten und von der Typgenehmigungsbehörde billigen lassen.
2.4.3. Motorprüfung
2.4.3.1. Stabilisierung des Motorsystems
2.4.3.1.1. Für jede Motorenfamilie hinsichtlich des Abgasnachbehandlungssystems ermittelt der Hersteller, nach wie vielen Betriebsstunden der Maschine oder des Motors sich das Betriebsverhalten des Abgasnachbehandlungssystems stabilisiert hat. Auf Verlangen der Genehmigungsbehörde muss der Hersteller ihr die diesem Wert zugrunde liegenden Daten und Berechnungen vorlegen. Wahlweise kann der Hersteller den Motor oder die Maschine zwischen 60 und 125 Stunden lang oder über die entsprechende Zeit im Alterungszyklus betreiben, um das Abgasnachbehandlungssystem zu stabilisieren.
2.4.3.1.2. Das Ende der Stabilisierungsphase gemäß Abschnitt 2.4.3.1.1 gilt als Beginn des Betriebsakkumulationsprogramms.
2.4.3.2. Betriebsakkumulationsprüfung
2.4.3.2.1. Nach der Stabilisierung wird der Motor gemäß dem vom Hersteller gewählten und in Abschnitt 2.3.2 beschriebenen Betriebsakkumulationsprogramm betrieben. Der Motor wird regelmäßig zu den vom Hersteller und gegebenenfalls von der Typgenehmigungsbehörde gemäß Abschnitt 2.4.2.2 im Betriebsakkumulationsprogramm festgelegten Zeitpunkten dem NRTC-Prüfzyklus mit Warmstart und dem NRSC-Prüfzyklus auf gasförmige Schadstoffe und luftverunreinigende Partikel unterzogen.
Der Hersteller kann die Schadstoffemissionen vor Anbringung eines Abgasnachbehandlungssystems getrennt von den Schadstoffemissionen nach Anbringung eines Abgasnachbehandlungssystems messen.
Wurde nach Abschnitt 2.4.2.1.4. vereinbart, dass an jedem Prüfpunkt nur ein Prüfzyklus (NRTC mit Warmstart oder NRSC) durchgeführt wird, muss der jeweils andere Prüfzyklus (NRTC mit Warmstart oder NRSC) am Anfang und am Ende des Betriebsakkumulationsprogramms durchgeführt werden.
Gemäß Abschnitt 2.4.2.1.5 ist für Motoren mit konstanter Drehzahl, Motoren unter 19 kW, Motoren über 560 kW und Motoren, die zur Verwendung in Binnenschiffen oder für den Antrieb von Lokomotiven und Triebwagen bestimmt sind, nur der NRSC-Zyklus an jedem Prüfpunkt zu verwenden.
2.4.3.2.2. Während des Betriebsakkumulationsprogramms sind gemäß Abschnitt 2.5 Wartungsarbeiten am Motor durchzuführen.
2.4.3.2.3. Während des Betriebsakkumulationsprogramms können außerplanmäßige Wartungsarbeiten am Motor vorgenommen werden, wenn beispielsweise das normale Diagnosesystem des Herstellers eine Störung erkannt hat, die dem Maschinenbediener einen Fehler angezeigt hätte.
2.4.4. Berichterstattung
2.4.4.1. Die Ergebnisse sämtlicher während des Betriebsakkumulationsprogramms durchgeführter Emissionsprüfungen (NRTC mit Warmstart und NRSC) sind der Typgenehmigungsbehörde vorzulegen. Erklärt der Hersteller eine Emissionsprüfung für ungültig, so muss er dies begründen. In einem solchen Fall ist innerhalb der nächsten 100 Stunden Betriebsakkumulation eine weitere Reihe von Emissionsprüfungen durchzuführen.
2.4.4.2. Der Hersteller hat alle Informationen über sämtliche während des Betriebsakkumulationsprogramms am Motor durchgeführten Emissionsprüfungen und Wartungsarbeiten aufzuzeichnen. Diese Informationen sind der Typgenehmigungsbehörde zusammen mit den Ergebnissen der im Rahmen des Betriebsakkumulationsprogramms durchgeführten Emissionsprüfungen zu übergeben.
2.4.5. Ermittlung der Verschlechterungsfaktoren
2.4.5.1. Für jeden im NRTC-Zyklus mit Warmstart und NRSC-Zyklus gemessenen Schadstoff und für jeden Prüfpunkt des Betriebsakkumulationsprogramms ist auf der Grundlage der Prüfergebnisse eine lineare "Bestfit"- Regressionsanalyse vorzunehmen. Für jeden Schadstoff sind die Ergebnisse auf so viele Dezimalstellen anzugeben wie der Schadstoff-Grenzwert, der für die entsprechende Motorenfamilie vorgesehen ist, sowie zusätzlich auf eine Dezimalstelle mehr.
Wurde gemäß Abschnitt 2.4.2.1.4 oder Abschnitt 2.4.2.1.5 für jeden Prüfpunkt nur ein Prüfzyklus (NRTC mit Warmstart oder NRSC) durchgeführt, so ist die Regressionsanalyse nur anhand der Ergebnisse des an allen Prüfpunkten durchgeführten Prüfzyklus vorzunehmen.
Auf Antrag des Herstellers und mit vorheriger Zustimmung der Typgenehmigungsbehörde ist eine nichtlineare Regression zulässig.
2.4.5.2. Die Emissionswerte für jeden Schadstoff zu Beginn des Betriebsakkumulationsprogramms und am Ende der für den zu prüfenden Motor geltenden Emissions-Dauerhaltbarkeitsperiode sind aus der Regressionsgleichung zu berechnen. Wenn das Betriebsakkumulationsprogramm kürzer ist als die Emissions-Dauerhaltbarkeitsperiode, dann sind die Emissionswerte am Ende der Emissions-Dauerhaltbarkeitsperiode durch Extrapolation der Regressionsgleichung gemäß Abschnitt 2.4.5.1 zu bestimmen.
Werden Emissionswerte für Motorenfamilien verwendet, die hinsichtlich des Abgasnachbehandlungssystems zur gleichen Familie gehören, jedoch unterschiedliche Emissions-Dauerhaltbarkeitsperioden aufweisen, dann sind die Emissionswerte am Ende der Emissions-Dauerhaltbarkeitsperiode durch Extrapolation oder Interpolation der Regressionsgleichung gemäß Abschnitt 2.4.5.1 zu bestimmen.
2.4.5.3. Der Verschlechterungsfaktor für jeden Schadstoff ist das Verhältnis der geltenden Emissionswerte am Ende der Emissions-Dauerhaltbarkeitsperiode und am Anfang des Betriebsakkumulationsprogramms (multiplikativer Verschlechterungsfaktor).
Auf Antrag des Herstellers und mit vorheriger Zustimmung der Typgenehmigungsbehörde kann ein additiver Verschlechterungsfaktor für jeden Schadstoff angewendet werden. Der additive Verschlechterungsfaktor ist die Differenz zwischen den berechneten Emissionswerten am Ende der Emissions-Dauerhaltbarkeitsperiode und am Anfang des Betriebsakkumulationsprogramms.
Ein Beispiel zur Bestimmung von Verschlechterungsfaktoren unter Verwendung der linearen Regression ist in Abbildung 1 für NOx-Emissionen angegeben.
Die Vermischung von multiplikativen und additiven Verschlechterungsfaktoren innerhalb eines Schadstoffsatzes ist nicht zulässig.
Ergibt die Berechnung einen Wert unter 1,00 für einen multiplikativen Verschlechterungsfaktor oder unter 0,00 für einen additiven Verschlechterungsfaktor, so gilt der Verschlechterungsfaktor 1,0 bzw. 0,00.
Wurde nach Abschnitt 2.4.2.1.4 vereinbart, dass an jedem Prüfpunkt nur ein Prüfzyklus (NRTC mit Warmstart oder NRSC) durchgeführt werden soll und der jeweils andere Prüfzyklus (NRTC mit Warmstart oder NRSC) lediglich am Anfang und am Ende des Betriebsakkumulationsprogramms durchgeführt wird, so ist der Verschlechterungsfaktor, der für den Prüfzyklus errechnet wurde, welcher an jedem Prüfpunkt durchgeführt wurde, auch bei dem anderen Prüfzyklus anzuwenden.
Abbildung 1 Beispiel für die Bestimmung der Verschlechterungsfaktoren
2.4.6. Vorgegebene Verschlechterungsfaktoren
2.4.6.1. Als Alternative zur Ermittlung der Verschlechterungsfaktoren mittels eines Betriebsakkumulationsprogramms können Motorenhersteller folgende vorgegebene multiplikative Verschlechterungsfaktoren heranziehen:
| Prüfzyklus | CO | HC | NOx | PM |
| NRTC | 1,3 | 1,3 | 1,15 | 1,05 |
| NRSC | 1,3 | 1,3 | 1,15 | 1,05 |
Vorgegebene additive Verschlechterungsfaktoren werden nicht angegeben. Es ist nicht zulässig, vorgegebene multiplikative Verschlechterungsfaktoren in additive Verschlechterungsfaktoren umzuwandeln.
Werden vorgegebene Verschlechterungsfaktoren verwendet, muss der Hersteller der Typgenehmigungsbehörde einen eindeutigen Nachweis darüber vorlegen, dass bei den emissionsmindernden Bauteilen davon ausgegangen werden kann, dass die Emissions-Dauerhaltbarkeitsperiode mit den vorgegebenen Faktoren zusammenhängt. Dieser Nachweis kann durch eine Bauartanalyse, Prüfungen oder eine Kombination aus beidem gestützt werden.
2.4.7. Anwendung der Verschlechterungsfaktoren
2.4.7.1. Die Motoren müssen nach Anwendung der Verschlechterungsfaktoren auf die Prüfergebnisse, die gemäß Anhang III (gewichtete Ergebnisse des Prüfzyklus für die spezifischen Emissionen von Partikeln und jedes einzelnen Gases) gemessen wurden, den jeweiligen Emissionsgrenzwerten für jeden Schadstoff entsprechen, die für die Motorenfamilie gelten. Abhängig von der Art des Verschlechterungsfaktors (DF) gelten die folgenden Bestimmungen:
Falls der Hersteller gemäß der Option in Abschnitt 1.2.1 dieses Anhangs das Verfahren von Anhang 4B der UN/ECE-Regelung Nr. 96 Änderungsserie 03 anwendet, kann das gewichtete Ergebnis des Prüfzyklus für die spezifische Emission gegebenenfalls auch die Anpassung hinsichtlich einer sporadischen Regenerierung einschließen.
2.4.7.2. Bei einem multiplikativen NOx + HC-Verschlechterungsfaktor sind bei der Berechnung der verschlechterten Emissionswerte anhand des Ergebnisses einer Emissionsprüfung gesonderte Verschlechterungsfaktoren für NOx und HC festzulegen und anzuwenden, bevor die resultierenden verschlechterten NOx - und HC- Werte im Hinblick auf die Einhaltung des Emissionsgrenzwerts kombiniert werden.
2.4.7.3. Der Hersteller kann die für eine Abgasnachbehandlungssystem-Motorenfamilie ermittelten Verschlechterungsfaktoren auf ein Motorsystem übertragen, das nicht zu derselben Abgasnachbehandlungssystem- Motorenfamilie gehört. In diesem Fall muss er gegenüber der Typgenehmigungsbehörde nachweisen, dass für das Motorsystem für welches das Abgasnachbehandlungssystem ursprünglich geprüft wurde und das Motorsystem, auf das die Verschlechterungsfaktoren übertragen werden, ähnliche technische Merkmale und Vorschriften für den Einbau in die Maschine gelten und dass die Emissionen dieses Motors oder Motorsystems ähnlich sind.
Werden Verschlechterungsfaktoren auf ein Motorsystem mit einer unterschiedlichen Emissions-Dauerhaltbarkeitsperiode übertragen, dann sind die Verschlechterungsfaktoren für die geltende Emissions-Dauerhaltbarkeitsperiode durch Extrapolation oder Interpolation der Regressionsgleichung gemäß Abschnitt 2.4.5.1 zu bestimmen.
2.4.7.4. Für jeden Prüfzyklus werden die Verschlechterungsfaktoren für jeden Schadstoff in dem in Anhang VII Anlage 1 enthaltenen Bericht für Prüfergebnisse eingetragen.
2.4.8. Überprüfung der Übereinstimmung der Produktion
2.4.8.1. Die Übereinstimmung der Produktion hinsichtlich der Einhaltung der Emissionsgrenzwerte wird gemäß Abschnitt 5 von Anhang I überprüft.
2.4.8.2. Anlässlich der Typgenehmigungsprüfung kann der Hersteller zugleich auch die Schadstoffemissionen vor Anbringung eines Abgasnachbehandlungssystems messen. Dabei kann der Hersteller für den Motor und für das Abgasnachbehandlungssystem separate informelle Verschlechterungsfaktoren ausarbeiten, die er als Hilfe für die Prüfung am Ende der Fertigungsstraße verwenden kann.
2.4.8.3. Für die Zwecke der Typgenehmigung werden nur die Verschlechterungsfaktoren in dem in Anhang VII Anlage 1 enthaltenen Bericht für Prüfergebnisse eingetragen, die nach den Abschnitten 2.4.5 oder 2.4.6 ermittelt wurden.
2.5. Wartung
Für die Zwecke des Betriebsakkumulationsprogramms sind die Wartungsarbeiten gemäß der Anleitung des Herstellers für Service und Wartung durchzuführen.
2.5.1. Emissionsrelevante planmäßige Wartungsarbeiten
2.5.1.1. Emissionsrelevante planmäßige Wartungsarbeiten bei Motorbetrieb für die Zwecke der Durchführung eines Betriebsakkumulationsprogramms müssen in gleichwertigen Intervallen stattfinden wie jene, die in den Wartungsvorschriften des Herstellers für die Besitzer von Maschinen oder Motoren festgelegt sind. Die Wartungsvorschriften können erforderlichenfalls während des gesamten Betriebsakkumulationsprogramms aktualisiert werden, sofern kein Wartungsvorgang aus dem Wartungsprogramm gestrichen wird, nachdem er am Prüfmotor durchgeführt wurde.
2.5.1.2. Der Motorenhersteller muss für die Betriebsakkumulationsprogramme Angaben zur Einstellung, Reinigung und (gegebenenfalls) Wartung und zum planmäßigen Austausch folgender Bestandteile machen:
2.5.1.3. Kritische emissionsrelevante planmäßige Wartungsarbeiten sind nur an in Betrieb befindlichen Maschinen durchzuführen und müssen dem Besitzer der Maschine mitgeteilt werden.
2.5.2. Änderungen an der planmäßigen Wartung
2.5.2.1. Der Hersteller muss alle neuen planmäßigen Wartungsarbeiten, die er während des Betriebsakkumulationsprogramms durchführen und daher auch den Besitzern von Maschinen oder Fahrzeugen empfehlen möchte, von der Typgenehmigungsbehörde genehmigen lassen. Dem Antrag müssen Daten beiliegen, die die neuen planmäßigen Wartungsarbeiten und die Wartungsabstände begründen.
2.5.3. Planmäßige nicht emissionsrelevante Wartungsarbeiten
2.5.3.1. Planmäßige nicht emissionsrelevante Wartungsarbeiten, die technisch gerechtfertigt sind (z.B. Ölwechsel, Ölfilterwechsel, Kraftstofffilterwechsel, Luftfilterwechsel, Wartung des Kühlsystems, Leerlaufeinstellung, Regler, Anzugsmoment der Schrauben, Ventilspiel, Einspritzdüsenspiel, Ventileinstellung, Einstellung der Spannung des Antriebsriemens usw.) können mit der geringsten vom Hersteller empfohlenen Wartungshäufigkeit an Motoren oder Maschinen im Rahmen des Betriebsakkumulationsprogramms durchgeführt werden (z.B. nicht in den Abständen, die für wichtige Wartungsarbeiten empfohlen werden).
2.5.4. Reparatur
2.5.4.1. Bauteile eines Motorsystems, das für die Prüfung im Rahmen eines Betriebsakkumulationsprogramms ausgewählt wurde, dürfen nur repariert werden, wenn eine Fehlfunktion der Bauteile oder des Motorsystems vorliegt. Reparaturen am Motor, an der emissionsmindernden Einrichtung oder an der Kraftstoffanlage sind nur in dem Umfang zulässig, der in Abschnitt 2.5.4.2 festgelegt ist.
2.5.4.2. Wenn der Motor selbst, das Emissionsminderungssystem oder das Kraftstoffsystem während des Betriebsakkumulationsprogramms eine Fehlfunktion aufweisen, so gilt die Betriebsakkumulation als ungültig und es muss eine neue Betriebsakkumulation mit einem neuen Motorsystem eingeleitet werden, es sei denn, die fehlerhaften Bauteile werden durch gleichwertige Bauteile mit einer ähnlichen Betriebstundendauer ersetzt.
3. Emissions-Dauerhaltbarkeitsperiode für Motoren der Stufen IIIA, IIIB und IV
3.1. Hersteller müssen die Emissions-Dauerhaltbarkeitsperiode in Tabelle 1 dieses Abschnitts verwenden.
Tabelle 1: Emissions-Dauerhaltbarkeitsperiode für Kompressionszündungsmotoren der Stufen IIIA, IIIB und IV (Stunden)
| Kategorie (Leistungsbereich) | Emissions-Dauerhaltbarkeitsperiode (Stunden) |
| ≤ 37 kW (Motoren mit konstanter Drehzahl) |
3 000 |
| ≤ 37 kW (Motoren mit variabler Drehzahl) |
5 000 |
| > 37 kW | 8 000 |
| Motoren zum Antrieb von Binnenschiffen | 10 000 |
| Motoren von Triebwagen und Lokomotiven | 10 000 |
| Bestimmung der CO2-Emissionen für Motoren der Stufen I, II, IIIA, IIIB und IV | Anlage 6 |
1. Einleitung
1.1. Nachfolgend sind die Bestimmungen und Prüfverfahren für die Meldung von Kohlendioxidemissionen für die Stufen I bis IV beschrieben. Falls der Hersteller gemäß der Option in Abschnitt 1.2.1 dieses Anhangs das Verfahren von Anhang 4B der UN/ECE-Regelung Nr. 96 Änderungsserie 03 anwendet, gelten die Bestimmungen der Anlage 7 dieses Anhangs.
2. Allgemeine Vorschriften
2.1. Die Kohlendioxidemissionen sind nach dem entsprechenden in Anhang III Abschnitt 1.1 beschriebenen Prüfzyklus gemäß Anhang III Abschnitt 3 (NRSC) oder Abschnitt 4 (NRTC mit Warmstart) zu bestimmen. Für die Stufe IIIB sind die Kohlendioxidemissionen nach dem NRTC-Prüfzyklus mit Warmstart zu bestimmen.
2.2. Die Prüfergebnisse sind als bremsspezifische, über den Prüfzyklus gemittelte Werte in der Einheit g/kWh zu übermitteln.
2.3. Führt der Hersteller den NRSC-Prüfzyklus als gestuften modalen Zyklus durch, gelten entweder die in dieser Anlage enthaltenen Bestimmungen in Bezug auf den NRTC-Prüfzyklus oder jene von Anhang III Anlage 7.
3. Bestimmung von CO2-Emissionen
3.1. Messung der Rohabgase
Dieser Abschnitt findet Anwendung, wenn das Kohlendioxid in den unverdünnten Abgasen gemessen wird.
3.1.1. Messung
Die Kohlendioxidemissionen in den unverdünnten Abgasen des zu prüfenden Motors sind mit einem nicht dispersiven Infrarotabsorptionsanalysator (NDIR) gemäß Anhang III Anlage 1 Abschnitt 1.4.3.2 (NRSC) oder Abschnitt 2.3.3.2 (NRTC) zu messen.
Das Messsystem muss den Linearitätsanforderungen in Anhang III Anlage 2 Abschnitt 1.5 entsprechen.
Das Messsystem muss den Vorschriften von Anhang III Anlage 1 Abschnitt 1.4.1 (NRSC) oder Abschnitt 2.3.1 (NRTC) entsprechen.
3.1.2. Datenauswertung
Die emissionsrelevanten Daten müssen gemäß Anhang III Abschnitt 3.7.4 (NRSC) oder Abschnitt 4.5.7.2 (NRTC) registriert und gespeichert werden.
3.1.3. Berechnung der auf den Zyklus gemittelten Emissionen
Wird im trockenen Bezugszustand gemessen, so sind die Werte gemäß Anhang III Anlage 3 Abschnitt 1.3.2 (NRSC) oder Abschnitt 2.1.2.2 (NRTC) in Feuchtwerte umzurechnen.
Für die NRSC-Prüfung wird die CO2-Masse (g/h) für jede einzelne Prüfphase durch Berechnung gemäß Anhang III Anlage 3 Abschnitt 1.3.4 bestimmt. Die Abgasdurchflusswerte sind gemäß Anhang III Anlage 1 Abschnitte 1.2.1 bis 1.2.5 zu bestimmen.
Für die NRTC-Prüfung wird die CO2-Masse (g/Prüfung) durch Berechnung gemäß Anhang III Anlage 3 Abschnitt 2.1.2.1 bestimmt. Die Abgasdurchflusswerte sind gemäß Anhang III Anlage 1 Abschnitt 2.2.3 zu bestimmen.
3.2. Messung im verdünnten Gas
Dieser Abschnitt findet Anwendung, wenn das Kohlendioxid in den verdünnten Abgasen gemessen wird.
3.2.1. Messung
Die Kohlendioxidemissionen in den verdünnten Abgasen des zu prüfenden Motors sind mit einem nicht dispersiven Infrarotabsorptionsanalysator (NDIR) gemäß Anhang III Anlage 1 Abschnitt 1.4.3.2 (NRSC) oder Abschnitt 2.3.3.2 (NRTC) zu messen. Die Abgase sind mit gefilterter Umgebungsluft, synthetischer Luft oder Stickstoff zu verdünnen. Die Durchflussleistung des Verdünnungssystems muss so groß sein, dass Wasserkondensation im Verdünnungs- und im Probenahmesystem vollständig verhindert wird.
Das Messsystem muss den Linearitätsanforderungen in Anhang III Anlage 2 Abschnitt 1.5 entsprechen.
Das Messsystem muss den Vorschriften von Anhang III Anlage 1 Abschnitt 1.4.1 (NRSC) oder Abschnitt 2.3.1 (NRTC) entsprechen.
3.2.2. Datenauswertung
Die emissionsrelevanten Daten müssen gemäß Anhang III Abschnitt 3.7.4 (NRSC) oder Abschnitt 4.5.7.2 (NRTC) registriert und gespeichert werden.
3.2.3. Berechnung der auf den Zyklus gemittelten Emissionen
Wird im trockenen Bezugszustand gemessen, so sind die Werte gemäß Anhang III Anlage 3 Abschnitt 1.3.2 (NRSC) oder Abschnitt 2.1.2.2 (NRTC) in Feuchtwerte umzurechnen.
Für die NRSC-Prüfung wird die CO2-Masse (g/h) für jede einzelne Prüfphase durch Berechnung gemäß Anhang III Anlage 3 Abschnitt 1.3.4 bestimmt. Die Durchflusswerte des verdünnten Abgases sind gemäß Anhang III Anlage 1 Abschnitt 1.2.6 zu bestimmen.
Für die NRTC-Prüfung wird die CO2-Masse (g/Prüfung) durch Berechnung gemäß Anhang III Anlage 3 Abschnitt 2.2.3 bestimmt. Der Durchflusswert des verdünnten Abgases ist gemäß Anhang III Anlage 3 Abschnitt 2.2.1 zu bestimmen.
Die Werte müssen gemäß Anhang III Anlage 3 Abschnitt 2.2.3.1.1 hintergrundkorrigiert werden.
3.3. Berechnung der bremsspezifischen Emissionen
3.3.1. NRSC
Die bremsspezifischen Emissionen eCO2 (g/kWh) sind folgendermaßen zu berechnen:
Hierbei bedeuten:
Pi = Pm,i + PAE,i
sowie
CO2 mass,i CO2-Masse der einzelnen Prüfphase (g/h)
Pm,i gemessene Leistung der einzelnen Prüfphase (kW)
PAE,i Leistung der Hilfseinrichtungen in der einzelnen Prüfphase (kW)
WF,i Wichtungsfaktor der einzelnen Prüfphase
3.3.2. NRTC
Die für die Berechnung der bremsspezifischen CO2-Emissionen erforderliche Zyklusarbeit ist gemäß Anhang III Abschnitt 4.6.2 zu bestimmen.
Die bremsspezifischen Emissionen eCO2 (g/kWh) sind folgendermaßen zu berechnen:
| mCO2,hot | |
| eCO2 | |
| Wact,hot |
Hierbei bedeuten:
mCO2, hot die CO2-Emissionsmenge bei der NRTC-Prüfung mit Warmstart (g)
Wact, hot die tatsächliche Zyklusarbeit in der NRTC-Prüfung mit Warmstart (kWh).
| Alternative Bestimmung von CO2-Emissionen | Anlage 7 |
1. Einleitung
Falls der Hersteller gemäß der Option in Abschnitt 1.2.1 dieses Anhangs das Verfahren von Anhang 4B der UN/ECE-Regelung Nr. 96 Änderungsserie 03 anwendet, gelten für die Meldung von Kohlendioxidemissionen die in dieser Anlage enthaltenen Bestimmungen und Prüfverfahren.
2. Allgemeine Vorschriften
2.1. Die Kohlendioxidemissionen sind nach dem in Abschnitt 7.8.3 Anhang 4B der UN/ECE-Regelung Nr. 96 Änderungsserie 03 beschriebenen NRTC-Prüfzyklus mit Warmstart zu bestimmen.
2.2. Die Prüfergebnisse sind als bremsspezifische, auf den Zyklus gemittelte Werte in der Einheit g/kWh zu übermitteln.
3. Bestimmung von CO2 -Emissionen
3.1. Messung der Rohabgase
Dieser Abschnitt findet Anwendung, wenn das Kohlendioxid in den unverdünnten Abgasen gemessen wird.
3.1.1. Messung
Die Kohlendioxidemissionen in den Rohabgasen des zu prüfenden Motors sind mit einem nicht dispersiven Infrarotabsorptionsanalysator (NDIR) gemäß Anhang 4B Abschnitt 9.4.6 der UNECE/ECE-Regelung Nr. 96 Änderungsserie 03 zu messen.
Das Messsystem muss den Linearitätsanforderungen von Anhang 4B Abschnitt 8.1.4 der UN/ECE-Regelung Nr. 96 Änderungsserie 03 entsprechen.
Das Messsystem muss den Vorschriften von Anhang 4B Abschnitt 8.1.9 der UN/ECE-Regelung Nr. 96 Änderungsserie 03 entsprechen.
3.1.2. Datenauswertung
Die emissionsrelevanten Daten müssen gemäß Anhang 4B Abschnitt 7.8.3.2 der UN/ECE-Regelung Nr. 96 Änderungsserie 03 registriert und gespeichert werden.
3.1.3. Berechnung der auf den Zyklus gemittelten Emissionen
Wird im trockenen Bezugszustand gemessen, so sind die momentanen Konzentrationswerte nach Anlage 8 Abschnitt A.8.2.2 oder Anlage 7 Abschnitt A.7.3.2 von Anhang 4B der UN/ECE-Regelung Nr. 96 Änderungsserie 03 in den feuchten Bezugszustand umzurechnen, ehe sie für weitere Berechnungen verwendet werden.
Die CO2-Masse (g/Prüfung) ist durch Multiplikation der zeitlich korrigierten momentanen CO2-Konzentrationen mit dem Abgasdurchfluss sowie der Integration über den Prüfzyklus gemäß den folgenden Vorschriften zu bestimmen: entweder
3.2. Messung im verdünnten Gas
Dieser Abschnitt findet Anwendung, wenn das Kohlendioxid in den verdünnten Abgasen gemessen wird.
3.2.1. Messung
Die Kohlendioxidemissionen in den verdünnten Abgasen des zu prüfenden Motors sind mit einem nicht dispersiven Infrarotabsorptionsanalysator (NDIR) gemäß Abschnitt 9.4.6 von Anhang 4B der UN/ECE-Regelung Nr. 96 Änderungsserie 03 zu messen. Die Abgase sind mit gefilterter Umgebungsluft, synthetischer Luft oder Stickstoff zu verdünnen. Die Durchflussleistung des Verdünnungssystems muss so groß sein, dass Wasserkondensation im Verdünnungs- und im Probenahmesystem vollständig verhindert wird.
Das Messsystem muss den Linearitätsanforderungen von Anhang 4B Abschnitt 8.1.4 der UN/ECE-Regelung Nr. 96 Änderungsserie 03 entsprechen.
Das Messsystem muss den Vorschriften von Anhang 4B Abschnitt 8.1.9 der UN/ECE-Regelung Nr. 96 Änderungsserie 03 entsprechen.
3.2.2. Datenauswertung
Die emissionsrelevanten Daten müssen gemäß Anhang 4B Abschnitt 7.8.3.2 der UN/ECE-Regelung Nr. 96 Änderungsserie 03 registriert und gespeichert werden.
3.2.3. Berechnung der auf den Zyklus gemittelten Emissionen
Wird im trockenen Bezugszustand gemessen, so sind die momentanen Konzentrationswerte nach Anlage 8 Abschnitt A.8.3.2 oder Anlage 7 Abschnitt A.7.4.2 von Anhang 4B der UN/ECE-Regelung Nr. 96 Änderungsserie 03 in den feuchten Bezugszustand umzurechnen, ehe sie für weitere Berechnungen verwendet werden.
Die CO2-Masse (g/Prüfung) ist durch Multiplikation der CO2-Konzentrationen mit dem Durchsatz des verdünnten Abgases gemäß den folgenden Vorschriften zu bestimmen: entweder
Die Werte müssen gemäß Anlage 8 Abschnitt A.8.3.2.4 oder Anlage 8 Abschnitt A.7.4.1 von Anhang 4B der UN/ECE-Regelung Nr. 96 Änderungsserie 03 hintergrundkorrigiert werden.
3.3. Berechnung der bremsspezifischen Emissionen
Die für die Berechnung der bremsspezifischen CO2-Emissionen erforderliche Zyklusarbeit ist gemäß Anhang 4B Abschnitt 7.8.3.4 der UN/ECE-Regelung Nr. 96 Änderungsserie 03 zu bestimmen.
Die bremsspezifischen Emissionen eCO2 (g/kWh) sind folgendermaßen zu berechnen:
| mCO2,hot | |
| eCO2 | |
| Wact,hot |
Hierbei bedeuten:
m CO2, hot die CO2-Emissionsmenge bei der NRTC-Prüfung mit Warmstart (g)
Wact, hot die tatsächliche Zyklusarbeit in der NRTC-Prüfung mit Warmstart (kWh)."
| Prüfverfahren für Fremdzündungsmotoren | Anhang IV |
1. Einleitung
1.1. In diesem Anhang wird das Verfahren zur Bestimmung der Emission gasförmiger Schadstoffe aus den zu prüfenden Motoren beschrieben.
1.2. Die Prüfung ist an einem Motor vorzunehmen, der auf dem Prüfstand mit einem Dynamometer verbunden ist.
2. Prüfbedingungen
2.1. Bedingungen für die Prüfung des Motors
Die absolute Temperatur Ta (Kelvin) der Verbrennungsluft am Einlass des Motors und der trockene atmosphärische Druck ps(in kPa) sind zu messen, und die Kennzahl fa ist nach folgender Formel zu berechnen:
fa = (99 / ps)1,2 x (Ta/98)0,6
2.1.1. Gültigkeit der Prüfung
Eine Prüfung ist dann als gültig anzusehen, wenn die Kennzahl fa:
0,93 ≤ fa ≤ 1,07
2.1.2. Motoren mit Ladeluftkühlung
Die Temperatur des Kühlmittels und die Temperatur der Ladeluft sind zu protokollieren.
2.2. Ansaugsystem des Motors
Der zu prüfende Motor muss mit einem Ansaugsystem versehen sein, dessen Lufteinlasswiderstand innerhalb von 10 % der vom Hersteller angegebenen Obergrenze für einen sauberen Luftfilter bei dem Betriebszustand des Motors liegt, bei dem sich nach Angaben des Herstellers der größte Luftdurchsatz bei der jeweiligen Motoranwendung ergibt.
Für kleine Fremdzündungsmotoren (Hubraum < 1.000 cm3) ist ein System zu verwenden, das für den installierten Motor repräsentativ ist.
2.3. Motorauspuffanlage
Der zu prüfende Motor muss mit einer Auspuffanlage versehen sein, deren Abgasgegendruck innerhalb von 10 % der vom Hersteller angegebenen Obergrenze bei den Motorbetriebsbedingungen liegt, die zur angegebenen Höchstleistung bei der jeweiligen Motoranwendung führen.
Für kleine Fremdzündungsmotoren (Hubraum < 1.000 cm3) ist ein System zu verwenden, das für den installierten Motor repräsentativ ist.
2.4. Kühlsystem
Es ist ein Motorkühlsystem mit einer Leistungsfähigkeit zu verwenden, die es ermöglicht, die vom Hersteller vorgegebenen üblichen Betriebstemperaturen des Motors aufrechtzuerhalten. Diese Bestimmung gilt für Einheiten, die zur Messung der Leistung abgebaut werden müssen, z.B. für ein Gebläse, bei dem der Lüfter demontiert werden muss, damit die Kurbelwelle zugänglich ist.
2.5. Schmieröl
Es ist das Schmieröl zu verwenden, das den Angaben des Herstellers für einen bestimmten Motor und für den Einsatzzweck entspricht. Die Hersteller müssen Motorschmiermittel verwenden, die für handelsübliche Motorschmiermittel repräsentativ sind.
Die Kenndaten des zur Prüfung verwendeten Schmieröls sind in Anhang VII Anlage 2 (Fremdzündungsmotoren) Abschnitt 1.2 zu protokollieren und zusammen mit den Prüfergebnissen vorzulegen.
2.6. Verstellbare Vergaser
Für Motoren mit begrenzt verstellbaren Vergasern ist die Motorprüfung bei beiden Extremeinstellungen vorzunehmen.
2.7. Prüfkraftstoff
Als Kraftstoff ist der in Anhang V spezifizierte Bezugskraftstoff zu verwenden. Die Oktanzahl und die Dichte des für die Prüfung verwendeten Bezugskraftstoffs sind in Anhang VII Anlage 2 (Fremdzündungsmotoren) Abschnitt 1.1.1 zu protokollieren. Bei Zweitaktmotoren muss das Mischungsverhältnis von Kraftstoff und Öl der Empfehlung des Herstellers entsprechen. Der Ölanteil im den Zweitaktmotoren zugeführten Kraftstoff-Schmiermittel-Gemisch und die sich daraus ergebende Kraftstoffdichte sind in Anhang VII Anlage 2 (Fremdzündungsmotoren) Abschnitt 1.1.4 zu protokollieren.
2.8. Bestimmung der Einstellungen des Leistungsprüfstands
Grundlage der Emissionsmessung ist die nichtkorrigierte Bremsleistung. Bestimmte Hilfseinrichtungen, die nur für den Betrieb der Maschine erforderlich und möglicherweise am Motor angebracht sind, sind zur Prüfung zu entfernen. Wurden Hilfseinrichtungen nicht entfernt, ist zur Berechnung der Einstellungen des Leistungsprüfstands die von diesen Einrichtungen aufgenommene Leistung zu bestimmen; ausgenommen sind Motoren, bei denen derartige Hilfseinrichtungen einen integralen Bestandteil des Motors bilden (z.B. Kühlgebläse bei luftgekühlten Motoren).
Der Lufteinlasswiderstand und der Abgasgegendruck sind bei Motoren, bei denen eine Einstellung möglich ist, entsprechend den Abschnitten 2.2 und 2.3 auf die vom Hersteller angegebenen Obergrenzen einzustellen. Die maximalen Drehmomentwerte sind bei den vorgegebenen Prüfdrehzahlen durch Messung zu ermitteln, um die Drehmomentwerte für die vorgeschriebenen Prüfphasen berechnen zu können. Bei Motoren, die nicht für den Betrieb über einen bestimmten Drehzahlbereich auf der Volllast-Drehmomentkurve ausgelegt sind, ist das maximale Drehmoment bei den jeweiligen Prüfdrehzahlen vom Hersteller anzugeben. Die Motoreinstellung für jede Prüfphase ist nach folgender Formel zu berechnen:
Darin bedeuten:
| S | Einstellwert des Leistungsprüfstands [kW] |
| PM | beobachtete oder angegebene Höchstleistung bei Prüfdrehzahl unter den Prüfbedingungen (siehe Anlage 2 des Anhangs VII) [kW] |
| PAE | angegebene Gesamtleistung, die von einer für die Prüfung angebrachten und nicht in Anhang VII Anlage 3 vorgeschriebenen Hilfseinrichtung aufgenommen wurde [kW] |
| L | für die Prüfphase vorgegebenes Teildrehmoment |
Bei einem Verhältnis von
PAE / PM ≥ 0,03
kann der Wert von PAE durch die technische Behörde überprüft werden, die die Typgenehmigung erteilt.
3. Durchführung der Prüfung
3.1. Anbringung der Messgeräte
Die Geräte und die Probenahmesonden sind wie vorgeschrieben anzubringen. Wird zur Verdünnung der Auspuffgase ein Vollstrom-Verdünnungssystem verwendet, so ist das Abgasrohr an das System anzuschließen.
3.2. Inbetriebnahme des Verdünnungssystems und des Motors
Das Verdünnungssystem ist zu starten und der Motor anzulassen und warmzufahren, bis alle Temperaturen und Drücke bei Volllast und Nenndrehzahl stabil sind (Abschnitt 3.5.2).
3.3. Einstellung des Verdünnungsverhältnisses
Das Gesamtverdünnungsverhältnis darf nicht weniger als vier betragen.
Bei CO2- oder NOx-konzentrationsgeregelten Systemen ist der CO2- bzw. NOx-Gehalt der Verdünnungsluft zu Beginn und Ende jeder Prüfung zu messen. Die vor der Prüfung gemessene CO2- bzw. NOx, Hintergrundkonzentration der Verdünnungsluft darf von der nach der Prüfung gemessenen Konzentration um höchstens 100 ppm bzw. 5 ppm abweichen.
Bei Verwendung eines mit verdünntem Abgas arbeitenden Analysesystems sind die jeweiligen Hintergrundkonzentrationen zu bestimmen, indem über die gesamte Prüffolge hinweg Verdünnungsluftproben in einen Probenahmebeutel geleitet werden.
Die fortlaufende Hintergrundkonzentration (ohne Beutel) kann an mindestens drei Punkten (zu Beginn, am Ende und nahe der Zyklusmitte) bestimmt und der Durchschnitt der Werte ermittelt werden. Auf Antrag des Herstellers kann auf Hintergrundmessungen verzichtet werden.
3.4. Überwachung der Analysegeräte
Die Geräte für die Emissionsanalyse sind auf Null zu stellen und der Messbereich ist zu kalibrieren.
3.5. Prüfzyklus
3.5.1. Vorschrift c für Maschinen und Geräte nach Anhang I Abschnitt 1 a) iii).
Die Prüfung des Motors auf dem Leistungsprüfstand ist nach folgenden Zyklen je nach Art der Maschinen und Geräte durchzuführen:
| Zyklus D 1: | Motoren mit konstanter Drehzahl und veränderlicher Last, z.B. Stromaggregate; |
| Zyklus G1: | nicht handgehaltene Geräte für Zwischendrehzahlanwendungen; |
| Zyklus G2: | nicht handgehaltene Geräte für Nenndrehzahlanwendungen; |
| Zyklus G3: | handgehaltene Geräte. |
3.5.1.1. Prüfphasen und Wichtungsfaktoren
| Zyklus D | |||||||||||
| Prüfphase | 1 | 2 | 3 | 4 | 5 | ||||||
| Last1 % | 100 | 75 | 50 | 25 | 10 | ||||||
| Wichtungsfaktor | 0,05 | 0,25 | 0,3 | 0,3 | 0,1 | ||||||
| Zyklus G1 | |||||||||||
| Prüfphase | 1 | 2 | 3 | 4 | 5 | ||||||
| Motordrehzahl | Nenndrehzahl | Zwischendrehzahl | Untere Leerlaufdrehzahl | ||||||||
| Last % | 100 | 75 | 50 | 25 | 10 | 0 | |||||
| Wichtungsfaktor | 0,09 | 0,2 | 0,29 | 0,3 | 0,07 | 0,05 | |||||
| Zyklus G2 | |||||||||||
| Prüfphase | 1 | 2 | 3 | 4 | 5 | ||||||
| Motordrehzahl | Nenndrehzahl | Zwischendrehzahl | Untere Leerlaufdrehzahl | ||||||||
| Last % | 100 | 75 | 50 | 25 | 10 | 0 | |||||
| Wichtungsfaktor | 0,09 | 0,2 | 0,29 | 0,3 | 0,07 | 0,05 | |||||
| Zyklus G3 | |||||||||||
| Prüfphase | 1 | 2 | 3 | 4 | 5 | ||||||
| Motordrehzahl | Nenndrehzahl | Zwischendrehzahl | Untere Leerlaufdrehzahl | ||||||||
| Last % | 100 | 0 | |||||||||
| Wichtungsfaktor | 0,85* | 0,15* | |||||||||
| 1) Die Lastzahlen sind Prozentwerte des Drehmoments entsprechend der Grundleistungsangabe, die definiert wird als während einer Folge mit variabler Leistung verfügbare maximale Leistung, die für eine unbegrenzte Anzahl von Stunden pro Jahr erbracht werden kann, und zwar zwischen angegebenen Wartungsintervallen und unter den angegebenen Umgebungsbedingungen, wenn die Wartung wie vom Hersteller vorgeschrieben durchgeführt wird. Eine bessere Veranschaulichung der Grundleistung vermittelt Bild 2 der Norm ISO 8528-1: 1993(E).
*) Für Stufe I ist die Anwendung von 0,90 und 0,10 anstelle von 0,85 bzw. 0,15 zulässig. |
|||||||||||
![]() |
weiter . | ![]() |
(Stand: 15.07.2024)
Alle vollständigen Texte in der aktuellen Fassung im Jahresabonnement
Nutzungsgebühr: ab 105.- € netto
(derzeit ca. 7200 Titel s.Übersicht - keine Unterteilung in Fachbereiche)
Die Zugangskennung wird kurzfristig übermittelt
? Fragen ?
Abonnentenzugang/Volltextversion