![]() |
zurück | ![]() |
| Wesentliche Merkmale der Motortypen in der Motorfamilie 1 | Anlage 3 |
1 Beschreibung des Motors
1.1 Hersteller:
1.2 Motorkennummer des Herstellers: ...
1.3 Arbeitsweise: Viertakt/Zweitakt 2
1.4 Bohrung: .. mm
1.5 Hub: .. mm
1.6 Anzahl und Anordnung der Zylinder: ...
1.7 Hubraum: .. cm3
1.8 Nenndrehzahl: ..
1.9 Drehzahl bei maximalem Drehmoment: ...
1.10 Volumetrisches Verdichtungsverhältnis 3: ..
1.11 Beschreibung des Verbrennungsprinzips ..
1.12 Zeichnung(en) des Brennraums und des Kolbenbodens: ...
1.13 Mindestquerschnitt der Einlaß- und Auslaßkanäle: ...
1.14. Kühlsystem
1.14.1. Flüssigkeitskühlung
1.14.1.1 Art der Flüssigkeit: ....
1.14.1.2 Kühlmittelpumpe(n): ja/nein 2
1.14.1.3 Kenndaten oder Marke(n) und Typ(en) (falls zutreffend): ..
1.14.1.4 Übersetzungsverhältnis(se) des Antriebs (falls zutreffend): ..
1.14.2. Luftkühlung
1.14.2.1 Gebläse: ja/nein 2
1.14.2.2 Kenndaten oder Marke(n) und Typ(en) (falls zutreffend): ..
1.14.2.3 Übersetzungsverhältnis(se) des Antriebs (falls zutreffend): ..
1.15 Vom Hersteller zugelassene Temperatur
1.15.1 Flüssigkeitskühlung: höchste Temperatur am Motoraustritt: .. K
1.15.2 Luftkühlung: Bezugspunkt: ....
Höchste Temperatur am Bezugspunkt: . .. K
1.15.3 Höchste Ladelufttemperatur am Austritt des Zwischenkühlers (falls zutreffend): ... K
1.15.4 Höchste Abgastemperatur an der Anschlußstelle zwischen Auspuffsammelrohr(en) und Auspuffkrümmer(n): .. K
1.15.5 Schmiermitteltemperatur: mindestens .. K
höchstens .. K
1.16 Auflader: ja/nein 2
1.16.1. Marke:..
1.16.2. Typ:..
1.16.3 Beschreibung des Systems (z.B. maximaler Ladedruck, Druckablaßventil (wastegate), falls zu treffend): ..
1.16.4 Zwischenkühler: ja/nein 2
1.17 Ansaugsystem: höchstzulässiger Ansaugunterdruck bei Motornenndrehzahl und bei Vollast: .. kPa
1.18 Auspuffanlage: höchstzulässiger Abgasgegendruck bei Motornenndrehzahl und Vollast: .. kPa
2 Massnahmen gegen Luftverunreinigung
2.1. Einrichtung zur Rückführung der Kurbelgehäusegase: ja/nein 2...
2.2. Zusätzliche Einrichtungen zur Abgasreinigung (falls vorhanden und nicht in einem anderen Abschnitt aufgeführt)
2.2.1. Katalysator: ja/nein 2
2.2.1.1. Marke(n): ...
2.2.1.2. type(n): ...
2.2.1.3. Anzahl der Katalysatoren und Monolithen: ...
2.2.1.4. Abmessungen und Volumen des Katalysators (der Katalysatoren): ...
2.2.1.5. Art der katalytischen Reaktion: ...
2.2.1.6. Gesamtbeschichtung mit Edelmetall: ...
2.2.1.7. Konzentrationsverhältnis der Edelmetalle: ...
2.2.1.8. Trägerkörper (Aufbau und Werkstoff): ...
2.2.1.9. Zellendichte: ...
2.2.1.10. Art des (der) Katalysatorgehäuse(s) : ...
2.2.1.11. Lage des Katalysators (der Katalysatoren) (Ort und Höchst-/Mindestentfernung vom Motor): ....
2.2.1.12. Normaler Betriebstemperaturbereich (K): ...
2.2.1.13. Gegebenenfalls erforderliches Reagens: ...
2.2.1.13.1. Art und Konzentration des für die katalytische Reaktion erforderlichen Reagens: ...
2.2.1.13.2. Normaler Betriebstemperaturbereich des Reagens: ...
2.2.1.13.3. Gegebenenfalls geltende internationale Norm: ...
2.2.1.14. NOx -Sonde: ja/nein 2
2.2.2. Sauerstoffsonde: ja/nein 2
2.2.2.1. Marke(n): ...
2.2.2.2. Typ: ...
2.2.2.3. Lage: ...
2.2.3. Lufteinblasung: ja/nein 2
2.2.3.1. Art (Selbstansaugung, Luftpumpe usw.): ...
2.2.4. Abgasrückführung: ja/nein 2
2.2.4.1. Eigenschaften (gekühlt/nicht gekühlt, Hochdruck/Niederdruck usw.): ...
2.2.5. Partikelfilter: ja/nein 2
2.2.5.1. Abmessungen und Volumen des Partikelfilters : ...
2.2.5.2. Typ und Aufbau des Partikelfilters : ...
2.2.5.3. Lage (Ort und Höchst-/Mindestentfernung vom Motor): ...
2.2.5.4. Verfahren/Einrichtung zur Regenerierung: Beschreibung und/oder Zeichnung ...
2.2.5.5. Normaler Betriebstemperaturbereich (K) und Betriebsdruckbereich (kPa) : ...
2.2.6. Andere Einrichtungen: ja/nein 2
2.2.6.1. Beschreibung und Wirkungsweise: ...
3. Kraftstoffsystemfür Dieselmotoren
3.1. Kraftstoffpumpe
Druck (3) oder Kennlinie: ..Pa
3.2. Einspritzanlage
3.2.1. Pumpe
3.2.1.1 Marke(n): ..
3.2.1.2. TYP(en): ..
3.2.1.3 Einspritzmenge: .. und .. mm3 3 je Hub oder Takt bei .. min-1 der Pumpe (Nenndrehzahl) bzw. .. min-1 (maximales Drehmoment) oder Kennlinie
Angabe des angewandten Verfahrens: am Motor/auf dem Pumpenprüfstand 2 ...
3.2.1.4. Einspritzzeitpunkt
3.2.1.4.1 Verstellkurve des Spritzverstellers 2: ..
3.2.1.4.2 Einstellung des Einspritzzeitpunkts 2: ...
3.2.2. Einspritzleitungen
3.2.2.1 Länge: .. mm
3.2.2.2 Innendurchmesser: .. mm
3.2.3. Einspritzdüse(n)
3.2.3.1 Marke(n): ..
3.2.3.2. Typ(en):..
3.2.3.3 Öffnungsdruck 3oder Kennlinie:. .. kPa
3.2.4. Regler
3.2.4.1 Marke(n): ..
3.2.4.2. TYP(en):..
3.2.4.3 Abregeldrehzahl bei Vollast 3: ... min-1
3.2.4.4 Größte Drehzahl ohne Last 3 : ... min-1
3.2.4.5 Leerlaufdrehzahl 3 : .... min-1
3.3. Kaltstarteinrichtung
3.3.1 Marke(n): ..
3.3.2. TYP(en):..
3.3.3 Beschreibung: ..
4. Kraftstoffsystem für Benzinmotoren
4.1. Vergaser
4.1.1. Marke(n):
4.1.2. Typ(en):
4.2. Indirekte Einspritzung: Einpunkt oder Mehrpunkt
4.2.1. Marke(n):
4.2.2. Typ(en):
4.3. Direkteinspritzung
4.3.1. Marke(n):
4.3.2. Typ(en):
4.4. Kraftstoffdurchfluss [g/h] und Luft/Kraftstoff-Verhältnis bei Nenndrehzahl und weit geöffneter "Drosselklappe"
5. Ventileinstellung
5.1 Maximale Ventilhübe und Öffnungs- sowie Schließwinkel, bezogen auf die Totpunkte, oder entsprechende Angaben:..
5.2 Bezugs- und/oder Einstellbereiche 2: ..
5.3. Variable Ventileinstellung (sofern anwendbar und an welcher Stelle: Einlass und/oder Auslass)
5.3.1. Typ: kontinuierlich oder ein/aus
5.3.2. Nockenverstellwinkel
6. Schlitzanordnung
6.1. Lage, Größe und Anzahl
7. Zündanlage
7.1. Zündspule
7.1.1. Marke(n): ........................................................................................................................
7.1.2. Typ(en): ..........................................................................................................................
7.1.3. Anzahl: ...........................................................................................................................
7.2. Zündkerze(n)
7.2.1. Marke(n): ........................................................................................................................
7.2.2. Typ(en): ..........................................................................................................................
7.3. Magnetzündung
7.3.1. Marke(n): ........................................................................................................................
7.3.2. Typ(en): ..........................................................................................................................
7.4. Zündeinstellung
7.4.1. Zündzeitpunkt vor OT [°KW] ........................................................................................
7.4.2. Zündverstellkurve, sofern vorhanden: ............................................................................
________________
1) Für jeden Motor der Motorfamilie gesondert vorzulegen.
2) Nichtzutreffendes streichen.
3) Toleranz angeben.
| Prüfverfahren für Kompressionszündungsverfahren | Anhang III 04 09 10 12 |
1. Einleitung
1.1 In diesem Anhang wird das Verfahren zur Messung der gasförmigen Schadstoffe und luftverunreinigenden Partikel aus den zu prüfenden Motoren beschrieben.
Folgende Prüfzyklen werden angewendet:
1.2 Auswahl des Prüfverfahrens
Für die Prüfung ist der Motor auf einer entsprechenden Prüfeinrichtung aufzubauen und an einen Leistungsprüfstand anzuschließen.
1.2.1. Prüfverfahren für die Stufen I, II, IIIA, IIIB und IV
Die Prüfung ist gemäß dem Verfahren in diesem Anhang oder nach Wahl des Herstellers gemäß dem Verfahren von Anhang 4B der UN/ECE-Regelung Nr. 96 Änderungsserie 03 durchzuführen.
Zusätzlich gelten folgende Anforderungen:
1.2.1.1. Entscheidet sich der Hersteller gemäß Anhang I Abschnitt 8.6.2, das Prüfverfahren nach Anhang 4B der UN/ECE-Regelung Nr. 96 Änderungsserie 03 für die Prüfung von Motoren der Stufen I, II, IIIa oder IIIB anzuwenden, sind die in Abschnitt 3.7.1 genannten Prüfzyklen durchzuführen.
1.3. Messmethode:
Die zu messenden Abgase umfassen gasförmige Bestandteile ( Kohlenmonoxid, gesamte Kohlenwasserstoffe und Stickstoffoxide) und Partikel. Zusätzlich wird oft Kohlendioxid als Tracergas zur Bestimmung des Verdünnungsverhältnisses von Teilstrom- und Vollstrom-Verdünnungssystemen verwendet. Nach guter technischer Praxis empfiehlt sich die allgemeine Messung von Kohlendioxid als ausgezeichnetes Mittel zum Feststellen von Messproblemen während des Prüflaufs.
1.3.1. NRSC-Prüfung:
Unter einer vorgeschriebenen Abfolge von Betriebsbedingungen bei warmgefahrenem Motor sind die Mengen der vorstehend genannten Abgasemissionen durch Probenahme aus dem Rohabgas kontinuierlich zu prüfen. Der Prüfzyklus besteht aus einer Reihe von Drehzahl- und Drehmoment-(Last)prüfphasen, die den typischen Betriebsbereich von Dieselmotoren abdecken. In jeder Prüfphase sind die Konzentration jedes gasförmigen Schadstoffs, der Abgasstrom und die Leistung zu bestimmen sowie die gemessenen Werte zu gewichten. Die Partikelprobe ist mit konditionierter Umgebungsluft zu verdünnen. Über das gesamte Prüfverfahren ist eine Probe zu nehmen und auf geeigneten Filtern abzuscheiden.
Alternativ dazu können für jede Prüfphase eine Probe auf separaten Filtern genommen und die gewichteten Ergebnisse des Prüfzyklus berechnet werden.
Die pro Kilowattstunde ausgestoßenen Gramm jedes Schadstoffs sind wie in Anlage 3 beschrieben zu berechnen.
1.3.2. NRTC-Prüfung:
Der vorgeschriebene instationäre Prüfzyklus (eng angelehnt an die Betriebsbedingungen von Dieselmotoren in mobilen Maschinen und Geräten) wird zweimal durchgeführt:
Während dieser Prüfreihe sind die vorstehend genannten Schadstoffe zu messen. Die Prüfreihe besteht aus einem Kaltstart-Zyklus mit anschließender natürlicher Kühlung oder Zwangskühlung des Motors, einer Abkühlphase und einem Warmstart-Zyklus und wird mit einer kombinierten Emissionsberechnung abgeschlossen. Unter Verwendung der Motormoment- und -drehzahlmesssignale des Motorleistungsprüfstands ist die Leistung entsprechend der Dauer des Prüfzyklus zu integrieren, dessen Ergebnis die Arbeit des Motors über den Zyklus ist. Die Konzentrationen der gasförmigen Bestandteile sind über den Prüfzyklus zu bestimmen, entweder im Rohabgas durch Integration des Signals des Analysegeräts gemäß Anlage 3 oder im verdünnten Abgas eines CVS-Vollstrom-Verdünnungssystems durch Integration oder Probenahmebeutel gemäß Anlage 3. Für Partikel ist eine verhältnisgleiche Probe aus dem verdünnten Abgas auf einem besonderen Filter bei Teilstrom- oder Vollstromverdünnung zu nehmen. Je nach dem verwendeten Verfahren ist für die Berechnung der Masseemissionswerte der Schadstoffe der Durchsatz des verdünnten oder unverdünnten Abgases über den Zyklus zu bestimmen. Die Masseemissionswerte sind zur Motorarbeit in Bezug zu setzen, um den Ausstoß jedes Schadstoffs in Gramm pro Kilowattstunde angeben zu können.
Die Emissionen (g/kWh) sind sowohl während des Kaltstart- als auch des Warmstart-Zyklus zu messen. Ein gewichteter Emissionsmischwert ist zu berechnen durch Gewichtung der Kaltstartergebnisse mit 10 % und der Warmstartergebnisse mit 90 %. Der gewichtete Mischwert muss den Grenzwerten entsprechen.
2. Prüfbedingungen
2.1 Allgemeine Vorschriften
Das Volumen und der Volumendurchsatz sind stets bezogen auf 273 K (0 °C) und 101,3 kPa anzugeben.
2.2 Bedingungen für die Prüfung des Motors
2.2.1 Die absolute Temperatur Ta(Kelvin) der Verbrennungsluft am Einlaß des Motors und der trockene atmosphärische Druck ps(in kPa) sind zu messen, und die Kennzahl fa ist nach folgender Formel zu berechnen:
Bei Saugmotoren und mechanisch aufgeladenen Motoren:
fa = (99/Ps ) (T/298)0,7
Bei turbo-aufgeladenen Motoren mit oder ohne Ladeluftkühlung:
fa = (99/Ps )0,7 x (T/298)1,5
2.2.2 Gültigkeit der Prüfung
Eine Prüfung ist dann als gültig anzusehen, wenn die Kennzahl fa:
0,96< fa< 1,06
2.2.3 Motoren mit Ladeluftkühlung
Die Ladelufttemperatur ist aufzuzeichnen und muss bei der angegebenen Nenndrehzahl und Volllast ± 5 K der vom Hersteller angegebenen Ladelufthöchsttemperatur betragen. Die Temperatur des Kühlmittels muss mindestens 293 K (20 °C) betragen.
Bei Verwendung einer Prüfstandanlage oder eines externen Gebläses ist die Ladelufttemperatur auf ± 5 K der vom Hersteller angegebenen Ladelufthöchsttemperatur bei der Drehzahl der angegebenen Höchstleistung und Volllast einzustellen. Kühlmitteltemperatur und Kühlmitteldurchsatz des Ladeluftkühlers am vorstehend festgesetzten Punkt dürfen während des gesamten Prüfzyklus' nicht verändert werden. Das Volumen des Ladeluftkühlers muss auf guter technischer Praxis und typischen Fahrzeugen/ Maschinen und Geräten basieren.
Wahlweise kann der Ladeluftkühler gemäß SAEJ1937 in der im Januar 1995 veröffentlichten Fassung eingestellt werden.
2.3 Ansaugsystem des Motors
Der zu prüfende Motor muss mit einem Ansaugsystem versehen sein, dessen Lufteinlasswiderstand innerhalb des vom Hersteller angegebenen Wertes von ± 300Pa für einen sauberen Luftfilter bei dem Betriebszustand des Motors liegt, bei dem sich nach Angaben des Herstellers der größte Luftdurchsatz ergibt. Die Widerstände sind auf Nenndrehzahl und Volllast einzustellen. Eine Prüfstandanlage kann verwendet werden, wenn sie die tatsächlichen Motorbetriebsbedingungen wiedergibt
2.4. Motorauspuffanlage
Der zu prüfende Motor muss mit einer Auspufanlage versehen sein, deren Abgasgegendruck innerhalb ± 650Pa des vom Hersteller angegebenen Wertes bei den Motorbetriebsbedingungen entspricht, die zur angegebenen Höchstleistung führen.
Ist der Motor mit einer Abgasnachbehandlungseinrichtung ausgerüstet, so muss der Durchmesser des Auspuffrohrs genauso groß sein wie er in der Praxis für wenigstens vier Rohrdurchmesser oberhalb des Einlasses am Beginn des die Nachbehandlungseinrichtung enthaltenden Ausdehnungsabschnitts verwendet wird. Der Abstand von der Auspuffkrümmeranschlussstelle bzw. vom Turboladerauslass bis zur Abgasnachbehandlungseinrichtung muss so groß sein wie in der Maschinenkonfiguration oder in den Abstandsangaben des Herstellers angegeben. Abgasgegendruck bzw. -widerstand müssen den vorstehend angeführten Kriterien entsprechen und können mittels eines Ventils eingestellt werden. Für Blindprüfungen und die Motorabbildung kann der Behälter der Nachbehandlungseinrichtung entfernt und durch einen gleichartigen Behälter mit inaktivem Katalysator-träger ersetzt werden.
2.5. Kühlsystem
Ein Motorkühlsystem mit einer Leistungsfähigkeit, die es ermöglicht, die vom Hersteller vorgegebenen normalen Betriebstemperaturen des Motors aufrechtzuerhalten.
2.6. Schmieröl
Die Kenndaten des zur Prüfung verwendeten Schmieröls sind aufzuzeichnen und zusammen mit den Prüfergebnissen vorzulegen.
2.7. Prüfkraftstoff
Es ist der in Anhang V beschriebene Bezugskraftstoff zu verwenden.
Die Cetanzahl und der Schwefelgehalt des für die Prüfung verwendeten Bezugskraftstoffs sind in Anhang VII Anlage 1 Abschnitte 1.1.1 und 1.1.2 aufzuzeichnen.
Die Kraftstofftemperatur am Einlaß der Einspritzpumpe muß 306-316 K (33-43 °C) betragen.
3 Durchführung der Prüfung (NRSC-Test)
3.1 Bestimmung der Einstellungen des Leistungsprüfstands
Die Grundlage der Messung der spezifischen Emissionen bildet die nichtkorrigierte Nutzleistung gemäß ISO 14396: 2002.
Bestimmte Hilfseinrichtungen, die nur für den Betrieb der Maschine erforderlich und möglicherweise am Motor angebracht sind, sollten zur Prüfung entfernt werden. Folgende unvollständige Liste dient als Beispiel:
Wurden Hilfseinrichtungen nicht entfernt, ist zur Berechnung der Einstellungen des Leistungsprüfstands die von diesen Einrichtungen bei den Prüfdrehzahlen aufgenommene Leistung zu bestimmen; ausgenommen sind Motoren, bei denen derartige Hilfseinrichtungen einen integralen Bestandteil des Motors bilden (z.B. Kühlgebläse bei luftgekühlten Motoren).
Der Lufteinlasswiderstand und der Abgasgegendruck sind entsprechend den Abschnitten 2.3 und 2.4 auf die vom Hersteller angegebenen Obergrenzen einzustellen.
Die maximalen Drehmomentwerte sind bei den vorgegebenen Prüfdrehzahlen durch Messung zu ermitteln, um die Drehmomentwerte für die vorgeschriebenen Prüfphasen berechnen zu können. Bei Motoren, die nicht für den Betrieb über einen bestimmten Drehzahlbereich auf der Vollast-Drehmomentkurve ausgelegt sind, ist das maximale Drehmoment bei den jeweiligen Prüfdrehzahlen vom Hersteller anzugeben.
Die Motoreinstellung für jede Prüfphase ist nach folgender Formel zu berechnen:

Bei einem Verhältnis von

kann der Wert von PAEdurch die technische Behörde überprüft werden, die die Typgenehmigung erteilt.
3.2 Vorbereitung der Probenahmefilter
Wenigstens eine Stunde vor der Prüfung ist jedes einzelne Filter(paar) in einer verschlossenen, aber nicht abgedichteten Petrischale zur Stabilisierung in eine Wägekammer zu bringen. Nach der Stabilisierungsphase ist jedes Filter(paar) zu wägen und das Taragewicht aufzuzeichnen. Dann ist das Filter(paar) in einer verschlossenen Petrischale oder einem verschlossenen Filterhalter bis zur Verwendung aufzubewahren. Wird das Filter(paar) nicht binnen acht Stunden nach seiner Entnahme aus der Wägekammer verwendet, so muß es vor seiner Verwendung erneut gewogen werden.
3.3 Anbringung der Meßgeräte
Die Geräte und die Probenahmesonden sind wie vorgeschrieben anzubringen. Wird zur Verdünnung der Auspuffgase ein Vollstrom-Verdünnungssystem verwendet, so ist das Abgasrohr an das System anzuschließen.
3.4 Inbetriebnahme des Verdünnungssystems und des Motors
Das Verdünnungssystem ist zu starten und der Motor anzulassen, bis alle Temperaturen und Drücke bei Vollast und Nenndrehzahl stabil sind (Abschnitt 3.6.2).
3.5 Einstellung des Verdünnungsverhältnisses
Das Partikel-Probenahmesystem ist zu starten und bei Anwendung der Einfachfiltermethode auf Bypass zu betreiben (bei der Mehrfachfiltermethode wahlfrei). Der Partikelhintergrund der Verdünnungsluft kann bestimmt werden, indem Verdünnungsluft durch die Partikelfilter geleitet wird. Bei Verwendung gefilterter Verdünnungsluft kann eine Messung zu einem beliebigen Zeitpunkt vor, während oder nach der Prüfung erfolgen. Wird die Verdünnungsluft nicht gefiltert, so muss die Messung an einer für die Dauer der Prüfung genommenen Probe erfolgen.
Die Verdünnungsluft ist so einzustellen, dass die Filteranströmtemperatur bei jeder Prüfphase zwischen 315 K (42 °C) und 325 K (52 °C) beträgt. Das Gesamtverdünnungsverhältnis darf nicht weniger als vier betragen.
Anmerkung: Beim Verfahren unter stationären Bedingungen kann anstelle der Einhaltung des Temperaturbereichs von 42 °C-52 °C die Filtertemperatur auf oder unter der Höchsttemperatur von 325 K (52 °C) gehalten werden.
Bei der Einfach- und der Mehrfachfiltermethode in Vollstromsystemen muss der Probemassendurchsatz durch den Filter bei allen Prüfphasen in einem konstanten Verhältnis zum Massendurchsatz des verdünnten Abgases stehen. Dieses Masseverhältnis muss - mit Ausnahme der ersten 10Sekunden der Prüfphase bei Systemen ohne Bypassmöglichkeit - mit einer Toleranz von ± 5 % in Bezug auf den mittleren Wert der Prüfphase eingehalten werden. Bei Teilstrom-Verdünnungssystemen mit Einfachfiltermethode muss der Massendurchsatz durch den Filter - mit Ausnahme der ersten 10 Sekunden jeder Prüfphase bei Systemen ohne Bypassmöglichkeit - mit einer Toleranz von ± 5 % in Bezug auf den mittleren Wert der Prüfphase konstant gehalten werden.
Bei CO2 - oder NOx-konzentrationsgeregelten Systemen ist der CO2- bzw. NOx-Gehalt der Verdünnungsluft zu Beginn und Ende jeder Prüfung zu messen. Die vor der Prüfung gemessene CO2- bzw. NOx-Hintergrundkonzentration der Verdünnungsluft darf von der nach der Prüfung gemessenen Konzentration um höchstens 100 ppm bzw. 5 ppm abweichen.
Bei Verwendung eines mit verdünntem Abgas arbeitenden Analysesystems sind die jeweiligen Hintergrundkonzentrationen zu bestimmen, indem über die gesamte Prüffolge hinweg Verdünnungsluftproben in einem Probenahmebeutel geleitet werden.
Die fortlaufende Hintergrundkonzentration (ohne Beutel) kann an mindestens drei Punkten (zu Beginn, am Ende und nahe der Zyklusmitte) bestimmt und der Durchschnitt der Werte ermittelt werden. Auf Antrag des Herstellers kann auf Hintergrundmessungen verzichtet werden.
3.6. Überprüfung der Analysegeräte
Die Geräte für die Emissionsanalyse sind auf Null einzustellen und der Meßbereich ist zu kalibrieren.
3.7. Prüfzyklus
3.7.1 Vorschriften für Maschinen und Geräte nach Anhang I Abschnitt 1 A
3.7.1.1. Vorschrift A.
Die Prüfung des Prüfmotors auf dem Leistungsprüfstand ist für in Anhang I Abschnitt 1a Ziffern i und iv erfasste Motoren nach dem folgenden 8-Phasen-Zyklus 1 durchzuführen:
| Prüfphase | Motordrehzahl (U/min) |
Last (%) |
Wichtungsfaktor |
| 1 | Nenndrehzahl oder Bezugsdrehzahl * | 100 | 0,15 |
| 2 | Nenndrehzahl oder Bezugsdrehzahl * | 75 | 0,15 |
| 3 | Nenndrehzahl oder Bezugsdrehzahl * | 50 | 0,15 |
| 4 | Nenndrehzahl oder Bezugsdrehzahl * | 10 | 0,10 |
| 5 | Zwischendrehzahl | 100 | 0,10 |
| 6 | Zwischendrehzahl | 75 | 0,10 |
| 7 | Zwischendrehzahl | 50 | 0,10 |
| 8 | Leerlauf | - | 0,15 |
| *) Die Bezugsdrehzahl ist in Anhang III Abschnitt 4.3.1 festgelegt. | |||
3.7.1.2. Vorschrift B.
Die Prüfung des Prüfmotors auf dem Leistungsprüfstand ist für in Anhang I Abschnitt 1a Ziffer ii erfasste Motoren nach dem folgenden 5-Phasen-Zyklus 2 durchzuführen:
| Prüfphase | Motordrehzahl (U/min) |
Last (%) |
Wichtungsfaktor |
| 1 | Nenndrehzahl | 100 | 0,05 |
| 2 | Nenndrehzahl | 75 | 0,25 |
| 3 | Nenndrehzahl | 50 | 0,30 |
| 4 | Nenndrehzahl | 25 | 0,30 |
| 5 | Nenndrehzahl | 10 | 0,10 |
Die Lastzahlen sind Prozentwerte des Drehmoments entsprechend der Grundleistungsangabe, die definiert wird als die während einer Folge mit variabler Leistung verfügbare maximale Leistung, die für eine unbegrenzte Anzahl von Stunden pro Jahr erbracht werden kann, und zwar zwischen angegebenen Wartungsintervallen und unter den angegebenen Umgebungsbedingungen, wenn die Wartung wie vom Hersteller vorgeschrieben durchgeführt wird.
3.7.1.3. Vorschrift C.
Für Antriebsmotoren 3, die zur Verwendung in Binnenschiffen bestimmt sind, ist das ISO-Prüfverfahren gemäß ISO 8178-4:2002 und IMO Marpol 73/78, Anhang VI (NOx -Code), zu verwenden.
Antriebsmotoren, die Propeller mit fester Blattsteigung antreiben, werden auf einem Leistungsprüfstand unter Heranziehung des nachstehenden stationären 4-Phasen-Zyklus 4 geprüft, der entwickelt wurde, um den laufenden Betrieb von Dieselmotoren in kommerziellen Schiffsanwendungen darzustellen:
| Prüfphase | Motordrehzahl (U/min) |
Last (%) |
Wichtungsfaktor |
| 1 | 100 % (Nenndrehzahl) | 100 | 0,20 |
| 2 | 91 % | 75 | 0,50 |
| 3 | 80 % | 50 | 0,15 |
| 4 | 63 % | 25 | 0,15 |
Antriebsmotoren für Binnenschiffe, die mit fester Drehzahl (Propeller mit variabler Blattsteigung oder elektrisch gekoppelte) Propeller antreiben, werden auf einem Leistungsprüfstand unter Verwendung des nachstehenden stationären 4-Phasen-Zyklus 5 geprüft, bei dem die gleichen Lastwerte und Wichtungsfaktoren gegeben sind wie bei dem vorstehenden Zyklus, jedoch mit einem Motor, der in jeder Phase auf Nenndrehzahl läuft:
| Prüfphase | Motordrehzahl (U/min) |
Last (%) |
Wichtungsfaktor |
| 1 | Nenndrehzahl | 100 | 0,20 |
| 2 | Nenndrehzahl | 75 | 0,50 |
| 3 | Nenndrehzahl | 50 | 0,15 |
| 4 | Nenndrehzahl | 25 | 0,15 |
3.7.1.4. Vorschrift D
Motoren, die unter Anhang I Abschnitt 1a Ziffer v fallen, sind auf dem Leistungsprüfstand nach dem folgenden 3-Phasen-Zyklus 6 zu prüfen:
| Prüfphase | Motordrehzahl (U/min) |
Last (%) |
Wichtungsfaktor |
| 1 | Nenndrehzahl | 100 | 0,25 |
| 2 | Zwischendrehzahl | 50 | 0,15 |
| 3 | Leerlauf | - | 0,60 |
3.7.2 Konditionierung des Motors
Der Motor und das System sind bei Höchstdrehzahl und maximalem Drehmoment warmzufahren, um die Motorkennwerte entsprechend den Empfehlungen des Herstellers zu stabilisieren. Anmerkung. Durch diese Konditionierungszeit soll auch der Einfluß von Ablagerungen in der Auspuffanlage, die aus einer früheren Prüfung stammen, verhindert werden. Ferner ist zwischen den Prüfphasen eine Stabilisierungsperiode vorgeschrieben, die der weitestgehenden Ausschaltung einer gegenseitigen Beeinflussung bei den einzelnen Prüfphasen dient.
3.7.3. Prüffolge
Die Prüffolge ist zu beginnen. Die Prüfung ist in auFsteigender Reihenfolge der oben angegebenen Prüfphasen der Prüfzyklen durchzuführen.
Nach der einleitenden Übergangsperiode muss bei jeder Phase des jeweiligen Prüfzyklus die vorgeschriebene Drehzahl innerhalb des höheren Wertes von entweder ± 1 % der Nenndrehzahl oder ± 3 min-1 gehalten werden; dies gilt nicht für die untere Leerlaufdrehzahl, bei der die vom Hersteller angegebenen Toleranzen einzuhalten sind. Das angegebene Drehmoment ist so zu halten, dass der Durchschnitt für den Zeitraum der Messungen mit einer Toleranz von ± 2 % dem maximalen Drehmoment bei der Prüfdrehzahl entspricht.
Für jeden Messpunkt wird eine Mindestzeit von zehn Minuten benötigt. Sind bei der Prüfung eines Motors längere Probenahmezeiten erforderlich, damit sich eine ausreichende Partikelmasse auf dem Messfilter sammelt, kann die Dauer der Prüfphase nach Bedarf verlängert werden.
Die Dauer der Prüfphasen ist aufzuzeichnen und anzugeben.
Die Konzentrationswerte der gasförmigen Emissionen sind während der letzten drei Minuten der Prüfphase zu messen und aufzuzeichnen.
Die Partikelentnahme und Messung der Abgasemissionen sollten nicht vor Eintritt der Motorstabilisierung gemäß den Anweisungen des Herstellers erfolgen und müssen gleichzeitig beendet werden.
Die Kraftstofftemperatur muss am Einlass der Kraftstoffeinspritzpumpe oder nach Vorschrift des Herstellers gemessen werden, und die Stelle der Messung ist aufzuzeichnen.
3.7.4 Ansprechverhalten der Analysegeräte
Das Ansprechverhalten der Analysatoren ist auf einem Bandschreiber aufzuzeichnen oder mit einem gleichwertigen Datenerfassungssystem zu messen, wobei das Abgas mindestens während der letzten drei Minuten jeder Prüfphase durch die Analysatoren strömen muß. Wird für die Messung des verdünnten CO und CO2 ein Probenahmebeutel verwendet (siehe Anlage 1 Abschnitt 1.4.4), so ist die Probe während der letzten drei Minuten jeder Prüfphase in den Beutel zu leiten, und die Beutelprobe ist zu analysieren und aufzuzeichnen.
3.7.5. Partikel-Probenahme
Die Partikel-Probenahme kann nach der Einfachfiltermethode oder nach der Mehrfachfiltermethode erfolgen (Anlage 1 Abschnitt 1.5). Da die Ergebnisse bei diesen Methoden leichte Abweichungen aufweisen können, muß zusammen mit den Ergebnissen auch die verwendete Methode angegeben werden.
Bei der Einfachfiltermethode müssen die im Prüfzyklusverfahren angegebenen Wichtungsfaktoren für die jeweiligen Prüfphasen bei der Probenahme berücksichtigt werden, indem der Probendurchsatz und/oder die Probenahmezeit entsprechend eingestellt werden/wird.
Die Probenahme muß bei jeder Prüfphase so spät wie möglich erfolgen. Die Probenahme je Prüfphase muß bei der Einfachfiltermethode mindestens 20 Sekunden und bei der Mehrfachfiltermethode mindestens 60 Sekunden dauern. Bei Systemen ohne Bypassmöglichkeit muß die Probenahme je Prüfphase bei Einfach- und Mehrfachfiltermethode mindestens 60 Sekunden dauern.
3.7.6. Motorbedingungen
Motordrehzahl und Last, Ansauglufttemperatur, Kraftstoffdurchsatz und Luft- oder Abgasdurchsatz sind nach Stabilisierung des Motors bei jeder Prüfphase zu messen.
Ist die Messung des Abgasdurchsatzes oder die Messung der Verbrennungsluft und des Kraftstoffverbrauchs nicht möglich, so kann eine Berechnung nach der Kohlenstoff-/Sauerstoffbilanzmethode vorgenommen werden (siehe Anlage 1 Abschnitt 1.2.3).
Alle zusätzlich für die Berechnung erforderlichen Daten sind aufzuzeichnen (siehe Anlage 3 Abschnitte 1.1 und 1.2).
3.8 Erneute Überprüfung der Analysegeräte
Nach der Emissionsprüfung werden ein Nullgas und dasselbe Kalibriergas zur erneuten Überprüfung verwendet. Die Prüfung ist als gültig anzusehen, wenn die Differenz zwischen den beiden Meßergebnissen weniger als 2 % beträgt.
4. Durchführung der Prüfung (NRTC-Test)
4.1. Einleitung
Der dynamische Test für mobile Maschinen und Geräte (NRTC) ist in Anhang III Anlage 4 aufgeführt als je Sekunde wechselnde Folge normierter Drehzahl- und Drehmomentwerte, die für alle unter diese Richtlinie fallenden Dieselmotoren gilt. Zur Durchführung der Prüfung an einer Motorprüfzelle werden die normierten Werte auf der Grundlage der Motorabbildungskurve in die tatsächlichen Werte für den einzelnen geprüften Motor umgerechnet. Diese Umrechnung wird als Entnormierung bezeichnet, der entwickelte Prüfzyklus als Bezugsprüfzyklus des zu prüfenden Motors. Mit diesen Bezugswerten für Drehzahl und Drehmoment wird der Zyklus in der Prüfzelle durchgeführt, die Drehzahl- und -drehmomentmesswerte werden aufgezeichnet. Um den Prüflauf zu validieren, muss eine Regressionsanalyse der Bezugswerte und der Drehzahl- und -drehmomentmesswerte bis zum Abschluss der Prüfung durchgeführt werden.
4.1.1. Die Verwendung von Abschalteinrichtungen und der Einsatz anormaler Emissionsminderungsstrategien sind untersagt.
4.2. Motorabbildungsverfahren
Zur Einrichtung des NRTC in der Prüfzelle muss der Motor vor dem Prüfzyklus abgebildet werden, um die Drehzahl-Drehmoment- Kurve zu bestimmen.
4.2.1. Bestimmung des Abbildungsdrehzahlbereichs
Die niedrigste und die höchste Abbildungsdrehzahl sind wie folgt definiert: niedrigste Abbildungsdrehzahl = Leerlaufdrehzahl höchste Abbildungsdrehzahl = nhi× 1,02 oder, falls niedriger, die Drehzahl, bei der das Volllast-Drehmoment auf Null sinkt (wobei nhi die hohe Drehzahl ist, definiert als die höchste Drehzahl, bei der 70 % der Nennleistung geliefert werden).
4.2.2. Motorabbildungskurve
Der Motor ist bei Höchstleistung warmzufahren, um die Motorkenndaten entsprechend den Empfehlungen des Herstellers und der guten Ingenieurpraxis zu stabilisieren. Wenn der Motor stabilisiert ist, wird die Motorleistungsabbildung wie folgt erstellt.
4.2.2.1. Transient Abbildung
4.2.2.2. Schrittabbildung
4.2.3. Erzeugung der Abbildungskurve
Alle gemäß Abschnitt 4.2.2 aufgezeichneten Messwertpunkte sind mittels linearer Interpolation zwischen den Punkten miteinander zu verbinden. Die resultierende Drehmomentkurve ist die Abbildungskurve. Ihre Verwendung erfolgt gemäß der Beschreibung in Abschnitt 4.3.3 für die Umrechnung der normierten Drehmomentwerte des Ablaufplans für den Motorleistungsprüfstand in Anhang IV in tatsächliche Drehmomentwerte für den Prüfzyklus.
4.2.4. Andere Abbildungsverfahren
Ist ein Hersteller der Auffassung, dass die vorstehenden Abbildungsverfahren für einen bestimmten Motor nicht sicher oder repräsentativ sind, können andere Abbildungstechniken verwendet werden. Diese anderen Techniken müssen dem Zweck der beschriebenen Abbildungsverfahren genügen, der darin besteht, bei allen Motordrehzahlen, die während der Prüfzyklen auftreten, das höchste verfügbare Drehmoment zu bestimmen. Abweichungen von den in diesem Abschnitt beschriebenen Abbildungstechniken aufgrund sicherheitstechnischer Belange oder zugunsten einer besseren Repräsentativität müssen zusammen mit der entsprechenden Begründung von den beteiligten Parteien zu billigen. Auf keinen Fall jedoch darf die Drehmomentkurve für geregelte Motoren oder Turbomotoren mit sinkenden Motordrehzahlen erstellt werden.
4.2.5. Wiederholungsprüfungen
Ein Motor muss nicht vor jedem einzelnen Prüfzyklus abgebildet werden. Eine erneute Abbildung ist vor einem Prüfzyklus durchzuführen, wenn:
4.3. Erstellung des Bezugsprüfzyklus
4.3.1. Bezugsdrehzahl
Die Bezugsdrehzahl (nref ) entspricht den im Ablaufplan für den Motorleistungsprüfstand in Anhang III Anlage 4 genannten auf 100 % normierten Drehzahlwerten. Der sich aus der Entnormierung der Bezugsdrehzahl ergebende tatsächliche Motorzyklus hängt weitgehend von der Wahl der ordnungsgemäßen Bezugsdrehzahl ab. Die Bezugsdrehzahl wird anhand folgender Formel festgelegt:
nref = niedrige Drehzahl + 0,95 X (hohe Drehzahl - niedrige Drehzahl)
(die hohe Drehzahl ist die höchste Drehzahl, bei der 70 % der Nennleistung abgegeben werden, die niedrige Drehzahl ist die niedrigste Drehzahl, bei der 50 % der Nennleistung abgegeben werden).
Entspricht die ermittelte Bezugsdrehzahl der vom Hersteller angegebenen Bezugsdrehzahl (+/-3 %), darf die angegebene Bezugsdrehzahl für die Emissionsprüfung verwendet werden. Wird die Toleranz überschritten, ist die ermittelte Bezugsdrehzahl für die Emissionsprüfung zu verwenden. 3.
4.3.2. Entnormierung der Motordrehzahl
Die Drehzahl wird nach folgender Gleichung entnormiert:
| % Drehz. x (Bezugsdrehz. - Leerlauf) | ||
| Tatsächliche Drehzahl = | + Leerlauf | |
| 100 |
4.3.3. Entnormierung des Motormoments
Die Drehmomentwerte im Ablaufplan für den Motorleistungsprüfstand in Anhang III Anlage 4 werden auf das höchste Drehmoment bei der jeweiligen Drehzahl normiert. Die Drehmomentwerte des Bezugsprüfzyklus sind unter Verwendung der gemäß Abschnitt 4.2.2 festgelegten Abbildungskurve wie folgt zu entnormieren:
| % Drehm. x max. Drehm | ||
| Tatsächliche Drehzahl = | (5) | |
| 100 |
für die jeweilige tatsächliche Drehzahl wie in Abschnitt 4.3.2 festgelegt.
4.3.4. Beispiel für ein Entnormierungsverfahren
Es folgt ein Beispiel, bei dem der folgende Prüfpunkt entnormiert werden soll:
% Drehzahl = 3 %
% Drehmoment = 82 %
Es gelten folgende Werte:
Bezugsdrehzahl = 2200/min
Leerlaufdrehzahl = 600/min
Daraus folgt:
| (43 x (2.200 - 600 + 600) | ||
| Tatsächliche Drehzahl = | = 1.288/min | |
| 100 |
wobei das in der Abbildungskurve beobachtete höchste Drehmoment 1288/min 700Nm beträgt.
| 82 x 700 | ||
| Tatsächliche Drehzahl = | = 574 Nm | |
| 100 |
4.4. Leistungsprüfstand
4.4.1. Bei Verwendung eines Kraftaufnehmers wird das Drehmomentsignal auf die Motorachse übertragen, wobei die Trägheit des Leistungsprüfstands zu berücksichtigen ist. Tatsächliches Motordrehmoment ist das auf dem Kraftaufnehmer abgelesene Drehmoment plus dem Trägheitsmoment der Bremsen multipliziert mit der Winkelbeschleunigung. Das Kontrollsystem muss diese Berechnung in Echtzeit durchführen.
4.4.2. Wird der Motor mit einem Wirbelstromprüfstand geprüft, so empfiehlt es sich, dass die Zahl der Punkte, bei denen die Differenz Tsp - 2 π x hsp x ΘD, unter -5 % des höchsten Drehmoments liegt, 30 nicht überschreitet (dabei ist Tspdas geforderte Drehmoment, hsp die Ableitung der Motordrehzahl und ΘD, die Rotationsträgheit des Wirbelstromprüfstands).
4.5. Durchführung der Emissionsprüfung
Im folgenden Flussdiagramm wird der Prüfablauf skizziert.

Ein oder mehrere Praxiszyklen können durchgeführt werden, soweit dies vor dem Messzyklus zur Prüfung von Motor, Prüfzelle und Abgassystem erforderlich ist.
4.5.1. Vorbereitung der Probenahmefilter
Wenigstens eine Stunde vor der Prüfung ist jedes einzelne Filter in einer gegen Staubkontamination geschützten Petrischale, die Luftaustausch ermöglicht, zur Stabilisierung in eine Wägekammer zu bringen. Nach der Stabilisierungsphase ist jedes Filter zu wiegen und das Gewicht aufzuzeichnen. Dann ist das Filter in einer verschlossenen Petrischale oder einem verschlossenen Filterhalter bis zur Verwendung aufzubewahren. Das Filter ist binnen acht Stunden nach seiner Entnahme aus der Wägekammer zu verwenden. Das Gewicht des unbeladenen Filters ist aufzuzeichnen.
4.5.2. Anbringung der Messgeräte
Die Geräte und die Probenahmesonden sind wie vorgeschrieben anzubringen. Wird ein Vollstrom-Verdünnungssystem verwendet, so ist das Abgasrohr an das System anzuschließen.
4.5.3. Inbetriebnahme des Verdünnungssystems
Das Verdünnungssystem ist zu starten. Der Durchfluss des gesamten verdünnten Abgases eines Vollstrom- Verdünnungssystems oder der Durchfluss des Abgases durch ein Teilstrom-Verdünnungssystem ist so einzustellen, dass Kondenswasserbildung im System vermieden und eine Filteranströmtemperatur zwischen 315 K (42 °C) und 325 K (52 °C) erreicht wird.
4.5.4. Inbetriebnahme des Partikel-Probenahmesystems
Die Geräte für die Emissionsanalyse sind auf Null zu stellen, und der Messbereich ist zu kalibrieren. Werden Probenahmebeutel verwendet, sind diese luftleer zu machen.
4.5.5. Überprüfung der Analysegeräte
Der Durchfluss des gesamten verdünnten Abgases eines Vollstrom-Verdünnungssystems oder der Durchfluss des Abgases durch ein Teilstrom-Verdünnungssystem ist so einzustellen, dass Kondenswasserbildung im System vermieden und eine Filteranströmtemperatur zwischen 315 K (42 °C) und 325 K (52 °C) erreicht wird.
4.5.6. Vorschriften für die Kühlung
Der Motor kann entweder natürlich abkühlen oder zwangsgekühlt werden. Für die Zwangskühlung sind nach bestem fachlichem Ermessen Systeme zu verwenden, die den Motor mit Kühlluft anblasen, kühles Öl in den Schmierölkreislauf des Motors pumpen, oder dem Motorkühlmittel oder dem Abgasnachbehandlungssystem Wärme entziehen. Bei Zwangskühlung des Abgasnachbehandlungssystems darf Kühlluft erst eingeleitet werden, nachdem seine Temperatur unter die Aktivierungstemperatur des Katalysators gefallen ist. Kühlverfahren, die zu nicht repräsentativen Emissionswerten führen, sind unzulässig.
Die Abgasemissionsprüfung im Kaltstart-Zyklus darf nach einer Abkühlung erst dann beginnen, wenn sich die Temperaturen von Motoröl, Motorkühlmittel und Nachbehandlungseinrichtungen für mindestens fünfzehn Minuten zwischen 20 und 30 °C stabilisiert haben.
4.5.7. Motoranlassverfahren
4.5.7.1. Kaltstart - Zyklus
Die Prüfreihe hat nach abgeschlossener Abkühlung mit dem Kaltstart-Zyklus zu beginnen, wenn alle Voraussetzungen nach Abschnitt 4.5.6 gegeben sind.
Der Motor ist gemäß dem vom Hersteller im Fahrzeughandbuch empfohlenen Anlassverfahren mit Hilfe eines handelsüblichen Anlassers oder des Prüfstands zu starten.
Bei Anlaufen des Motors ist ein Leerlaufzähler zu starten. Während 23 ± 1 s den Motor ohne Last leerlaufen lassen. Der instationäre Motorzyklus ist so einzuleiten, dass die ersten Aufzeichnungen, die nicht im Leerlauf vorgenommen werden, nach 23 ± 1 s erfolgen. Die Leerlaufzeit ist in diesen 23 ± 1 s enthalten.
Die Prüfung muss gemäß dem in Anhang III Anlage 4 erläuterten Bezugsprüfzyklus durchgeführt werden. Die Motordrehzahl- und Drehmomentführungssollwerte sind mit mindestens 5 Hz (empfohlen 10 Hz) auszugeben. Die Sollwerte sind mittels linearer Interpolation zwischen den festgesetzten Punkten bei 1 Hz und dem Bezugszyklus zu berechnen. Gemessene Motordrehzahl- und -drehmoment sind während des Prüfzyklus wenigstens in Sekundenschritten aufzuzeichnen, und die Signale können elektronisch gefiltert werden.
4.5.7.2. Ansprechverhalten der Analysegeräte
Beim Anlassen des Motors sind gleichzeitig folgende Messungen zu starten:
Werden die Messungen im Rohabgas vorgenommen, so sind die Emissionskonzentrationen (HC, CO und NOx ) und der Abgasmassendurchsatz kontinuierlich zu messen und mit mindestens 2 Hz in einem Computersystem zu speichern. Alle anderen Daten können mit einer Abtastfrequenz von mindestens 1 Hz aufgezeichnet werden. Für analoge Analysegeräte ist das Ansprechverhalten aufzuzeichnen, die Kalibrierdaten können online oder offline während der Datenauswertung angewandt werden.
Bei Verwendung eines Vollstrom-Verdünnungssystems sind HC und NOx im Verdünnungstunnel kontinuierlich mit einer Frequenz von mindestens 2Hz zu messen. Die durchschnittlichen Konzentrationen sind durch Integrieren der Signale der Analysegeräte über den Prüfzyklus zu bestimmen.. Die Systemansprechzeit darf nicht höher sein als 20 s und muss gegebenenfalls mit den CVS-Strömungsschwankungen und den Sammelzeiten-/Prüfzyklusabweichungen abgestimmt werden. Durch Integrieren oder Analysieren der über den Zyklus im Probenahmebeutel gesammelten Konzentrationen erfolgt die Bestimmung von CO und CO2 . Die Konzentrationen der gasförmigen Schadstoffe in der Verdünnungsluft sind durch Integrieren oder Sammeln im Hintergrundbeutel zu bestimmen. Alle übrigen Werte sind mit mindestens einer Messung pro Sekunde (1 Hz) aufzuzeichnen.
4.5.7.3. Partikel - Probenahme
Beim Anlassen des Motors ist das Partikelprobenahmesystem von Bypass auf Partikelsammlung umzuschalten.
Bei Verwendung eines Teilstrom-Verdünnungssystems ist/sind die Probenahmepumpe(n) so einzustellen, dass der Durchsatz durch die Partikel-Probenahmesonde bzw. das Übertragungsrohr proportional zum Abgasmassendurchsatz konstant bleibt.
Bei Verwendung eines Vollstrom-Verdünnungssystems ist/sind die Probenahmepumpe(n) so einzustellen, dass der Durchsatz durch die Partikel-Probenahmesonde oder das Übertragungsrohr auf ± 5 % des eingestellten Durchsatzes konstant bleibt. Wird eine Durchflussmengenkompensation (d. h. Proportionalregelung des Probenstroms) verwendet, muss bewiesen werden, dass das Verhältnis von Haupttunnelstrom zu Partikelprobenstrom um höchstens ± 5 % seines Sollwertes schwankt (ausgenommen die ersten 10 Sekunden der Probenahme).
ANMERKUNG: Bei Doppelverdünnungsbetrieb ist der Probenstrom die Nettodifferenz zwischen dem Probenfilter-Durchsatz und dem Sekundär-Verdünnungsluftdurchsatz.
Die Mittelwerte von Temperatur und Druck am Einlass des/der Gasmess- oder Durchflussmessgeräte sind aufzuzeichnen. Die Prüfung ist ungültig, wenn es wegen einer hohen Partikel-Filterbeladung nicht möglich ist, den eingestellten Durchsatz über den gesamten Zyklus hinweg mit einer Toleranz von ± 5 % aufrechtzuerhalten. Die Prüfung ist mit einem geringeren Durchsatz und/oder einem Filter mit größerem Durchmesser zu wiederholen.
4.5.7.4. Abwürgen des Motors während des Kaltstart - Prüfzyklus
Wird der Motor zu einem beliebigen Zeitpunkt während des Kaltstart-Prüfzyklus abgewürgt, so muss er vorkonditioniert und die Abkühlung wiederholt werden; anschließend ist der Motor neu zu starten, und die Prüfung ist zu wiederholen. Tritt bei einem während des Prüfzyklus erforderlichen Messgeräte eine Fehlfunktion auf, so ist die Prüfung ungültig.
4.5.7.5. Arbeitsgänge im Anschluss an den Kaltstart - Zyklus
Zum Abschluss des Kaltstart-Prüfzyklus werden die Messung des Abgasmassendurchsatzes, des Volumens des verdünnten Abgases, der Gasstrom in die Sammelbeutel und die Partikelprobenahmepumpe angehalten. Bei einem integrierten Analysesystem ist die Probenahme fortzusetzen, bis die Systemansprechzeiten abgelaufen sind.
Die Konzentrationen in den gegebenenfalls verwendeten Sammelbeuteln sind so rasch wie möglich und keinesfalls später als 20 Minuten nach Beendigung des Prüfzyklus zu analysieren.
Nach der Emissionsprüfung sind die Analysatoren mit Hilfe eines Nullgases und desselben Kalibriergases neu zu überprüfen. Für die Gültigkeit der Prüfung muss die Differenz zwischen den Ergebnissen vor und nach der Prüfung weniger als 2 % des Kalibriergaswertes betragen.
Die Partikelfilter sind spätestens eine Stunde nach Abschluss der Prüfung in die Wägekammer zurückzubringen. Sie sind in einer gegen Staubkontamination geschützten Petrischale, die Luftaustausch ermöglicht, mindestens eine Stunde lang zu konditionieren und dann zu wiegen. Das Gewicht der beladenen Filter ist aufzuzeichnen.
4.5.7.6. Abkühlen
Unmittelbar nach Abschalten des Motors ist das Motorkühlgebläse, sofern in Betrieb, abzuschalten; gleichfalls
ist das CVS-Gebläse, sofern in Betrieb, abzuschalten (oder die Auspuffanlage vom CVS-System zu trennen).
Den Motor 20 ± 1 Minuten abkühlen lassen. Motor und Leistungsprüfstand für die Warmstart-Prüfung vorbereiten. Die luftleer gemachten Probenahmebeutel an die Systeme zur Entnahme der verdünnten Auspuffgas- und Luft-Proben anschließen. CVS-System starten (falls verwendet und nicht bereits in Betrieb) oder Auspuffanlage an CVS-System anschließen (falls getrennt). Die Entnahmepumpen (außer die Partikelentnahmepumpe(n)), das Motorgebläse und das Datenerfassungssystem einschalten.
Der Wärmetauscher der Entnahmesystems mit konstantem Volumen (CVS) (falls verwendet) und die beheizten Teile kontinuierlicher Probenahmesysteme (falls zutreffend) sind vor Beginn der Prüfung auf ihre Betriebstemperatur vorzuerwärmen.
Den Probenahmedurchsatz auf den gewünschten Wert bringen und das CVS-Abgasstrom-Messgerät auf Null setzen. Sorgfältig einen sauberen Partikelfilter in jeden Filterhalter einsetzen und die montierten Filterhalter in die Probenstromleitung einbauen.
4.5.7.7. Warmstart - Prüfzyklus
Bei Anlaufen des Motors ist ein Leerlaufzähler zu starten. Während 23 ± 1 s den Motor ohne Last leerlaufen lassen. Der instationäre Motorzyklus ist so einzuleiten, dass die ersten Aufzeichnungen, die nicht im Leerlauf vorgenommen werden, nach 23 ± 1 s erfolgen. Die Leerlaufzeit ist in diesen 23 ± 1 s enthalten.
Die Prüfung muss gemäß dem in Anhang III Anlage 4 erläuterten Bezugsprüfzyklus durchgeführt werden. Die Motordrehzahl- und -Drehmomentführungssollwerte sind mit mindestens 5 Hz (empfohlen 10 Hz) auszugeben. Die Sollwerte sind mittels linearer Interpolation zwischen den festgesetzten Punkten bei 1 Hz und dem Bezugszyklus zu berechnen. Gemessene Motordrehzahl- und -drehmoment sind während des Prüfzyklus wenigstens in Sekundenschritten aufzuzeichnen, und die Signale können elektronisch gefiltert werden.
Die in 4.5.7.2 und 4.5.7.3 beschriebenen Schritte sind daraufhin zu wiederholen.
4.5.7.8. Abwürgen des Motors während des Warmstart - Prüfzyklus
Wird der Motor zu einem beliebigen Zeitpunkt während des Warmstart-Prüfzyklus abgewürgt, kann man ihn abschalten und erneut 20 Minuten abkühlen lassen. Daraufhin kann der Warmstart-Prüfzyklus wiederholt werden. Zulässig sind lediglich eine einzige erneute Abkühlung und eine einzige Wiederholung des Warmstart-Prüfzyklus.
4.5.7.9. Arbeitsgänge im Anschluss an den Warmstart - Prüfzyklus
Zum Abschluss des Warmstart-Prüfzyklus werden die Messung des Abgasmassendurchsatzes, des Volumens des verdünnten Abgases, der Gasstrom in die Sammelbeutel und die Partikelprobenahmepumpe angehalten. Bei einem integrierten Analysesystem ist die Probenahme fortzusetzen, bis die Systemansprechzeiten abgelaufen sind.
Die Konzentrationen in den gegebenenfalls verwendeten Sammelbeuteln sind so rasch wie möglich und keinesfalls später als 20 Minuten nach Beendigung des Prüfzyklus zu analysieren.
Nach der Emissionsprüfung sind die Analysatoren mit Hilfe eines Nullgases und desselben Kalibriergases neu zu überprüfen. Für die Gültigkeit der Prüfung muss die Differenz zwischen den Ergebnissen vor und nach der Prüfung weniger als 2 % des Kalibriergaswertes betragen.
Die Partikelfilter sind spätestens eine Stunde nach Abschluss der Prüfung in die Wägekammer zurückzubringen. Sie sind in einer gegen Staubkontamination geschützten Petrischale, die Luftaustausch ermöglicht, mindestens eine Stunde lang zu konditionieren und dann zu wiegen. Das Gewicht der beladenen Filter ist aufzuzeichnen.
4.5.8. Durchführung des Prüfzyklus
4.5.8.1. Prüffolge
Die Prüffolge ist zu beginnen mit dem Anlassen des Motors, nachdem er im Anschluss an die Vorkonditionierung abgeschaltet wurde, oder bei Leerlaufdrehzahl, wenn unmittelbar nach der Vorkonditionierungsphase bei laufendem Motor mit der Prüfung begonnen wird. Die Prüfung muss gemäß dem in Anhang III Anlage 4 erläuterten Bezugsprüfzyklus durchgeführt werden. Die Motordrehzahl- und -Drehmomentführungssollwerte sind mit mindestens 5 Hz (empfohlen 10 Hz) auszugeben. Die Sollwerte sind mittels linearer Interpolation zwischen den festgesetzten Punkten bei 1 Hz und dem Bezugszyklus zu berechnen. Gemessene Motordrehzahl- und -drehmoment sind während des Prüfzyklus wenigstens in Sekundenschritten aufzuzeichnen, und die Signale können elektronisch gefiltert werden.
4.5.8.2. Ansprechverhalten der Analysegeräte
Beim Anlassen des Motors oder mit Beginn der Prüffolge unmittelbar aus der Vorkonditionierung heraus sind gleichzeitig folgende Messungen zu starten:
Werden die Messungen im Rohabgas vorgenommen, so sind die Emissionskonzentrationen (HC, CO und NOx) und der Abgasmassendurchsatz kontinuierlich zu messen und mit mindestens 2Hz in einem Computersystem zu speichern. Alle anderen Daten können mit einer Abtastfrequenz von mindestens 1Hz aufgezeichnet werden. Für analoge Analysegeräte ist das Ansprechverhalten aufzuzeichnen, die Kalibrierdaten können online oder offline während der Datenauswertung angewandt werden.
Bei Verwendung eines Vollstrom-Verdünnungssystems sind HC und NOx im Verdünnungstunnel kontinuierlich mit einer Frequenz von mindestens 2Hz zu messen. Die durchschnittlichen Konzentrationen sind durch Integrieren der Signale der Analysegeräte über den Prüfzyklus zu bestimmen. Die Systemansprechzeit darf nicht höher sein als 20 s und muss gegebenenfalls mit den CVS-Strömungsschwankungen und den Sammelzeiten-/Prüfzyklusabweichungen abgestimmt werden. Durch Integrieren oder Analysieren der über den Zyklus im Probenahmebeutel gesammelten Konzentrationen erfolgt die Bestimmung von CO und CO2. Die Konzentrationen der gasförmigen Schadstoffe in der Verdünnungsluft sind durch Integrieren oder Sammeln im Hintergrundbeutel zu bestimmen. Alle übrigen Werte sind mit mindestens einer Messung pro Sekunde (1Hz) aufzuzeichnen.
4.5.8.3. Partikel-Probenahme
Erfolgt der Beginn des Prüfzyklus mit dem Anlassen des Motors oder dem Beginn der Prüffolge unmittelbar aus der Vorkonditionierung heraus, so ist das Partikelprobenahmesystem von Bypass auf Partikelsammlung umzuschalten.
Bei Verwendung eines Teilstrom-Verdünnungssystems ist/sind die Probenahmepumpe(n) so einzustellen, dass der Durchsatz durch die Partikel-Probenahmesonde bzw. das Übertragungsrohr proportional zum Abgasmassendurchsatz konstant bleibt.
Bei Verwendung eines Vollstrom-Verdünnungssystems ist/sind die Probenahmepumpe(n) so einzustellen, dass der Durchsatz durch die Partikel-Probenahmesonde oder das Übertragungsrohr auf ± 5 % des eingestellten Durchsatzes konstant bleibt. Wird eine Durchflussmengenkompensation (d.h. Proportionalregelung des Probenstroms) verwendet, muss bewiesen werden, dass das Verhältnis von Haupttunnelstrom zu Partikelprobenstrom um höchstens ± 5 % seines Sollwertes schwankt (ausgenommen die ersten 10Sekunden der Probenahme).
Anmerkung: Bei Doppelverdünnungsbetrieb ist der Probenstrom die Nettodifferenz zwischen dem
Probenfilter-Durchsatz und dem Sekundär-Verdünnungsluftdurchsatz.
Die Mittelwerte von Temperatur und Druck am Einlass des/der Gasmess- oder Durchflussmessgeräte sind aufzuzeichnen. Die Prüfung ist ungültig, wenn es wegen einer hohen Partikel-Filterbeladung nicht möglich ist, den eingestellten Durchsatz über den gesamten Zyklus hinweg mit einer Toleranz von ± 5% aufrecht. Die Prüfung ist mit einem geringeren Durchsatz und/oder einem Filter mit größerem Durchmesser zu wiederholen.
4.5.8.4. Abwürgen des Motors
Wird der Motor zu einem beliebigen Zeitpunkt während des Prüfzyklus abgewürgt, so muss er Motor vorkonditioniert und neu angelassen werden, und die Prüfung ist zu wiederholen. Tritt bei einem während des Prüfzyklus erforderlichen Messgeräte eine Fehlfunktion auf, so ist die Prüfung ungültig.
4.5.8.5. Arbeitsgänge im Anschluss an die Prüfung
Zum Abschluss der Prüfung werden die Messung des Abgasmassendurchsatzes, des Volumens des verdünnten Abgases, der Gasstrom in die Sammelbeutel und die Partikelprobenahmepumpe angehalten. Bei einem integrierten Analysesystem ist die Probenahme fortzusetzen, bis die Systemansprechzeiten abgelaufen sind.
Die Konzentrationen in den gegebenenfalls verwendeten Sammelbeuteln sind so rasch wie möglich und keinesfalls später als 20 Minuten nach Beendigung des Prüfzyklus zu analysieren.
Nach der Emissionsprüfung sind die Analysegeräte mithilfe eines Nullgases und desselben Kalibriergases neu zu überprüfen. Für die Gültigkeit der Prüfung muss die Differenz zwischen den Ergebnissen vor und nach der Prüfung weniger als 2% des Kalibriergaswertes betragen.
Die Partikelfilter sind spätestens eine Stunde nach Abschluss der Prüfung in die Wägekammer zurückzubringen. Sie sind in einer gegen Staubkontamination geschützten Petrischale, die Luftaustausch ermöglicht, mindestens eine Stunde lang zu konditionieren und dann zu wiegen. Das Bruttogewicht der Filter ist aufzuzeichnen.
4.6. Überprüfung des Prüfdurchlaufs
4.6.1. Datenverschiebung
Zur Verringerung der Verzerrungswirkung der Zeitverzögerung zwischen den Messwerten und den Bezugszykluswerten kann die gesamte Motordrehzahl- und -drehmomentmesssignalfolge zeitlich nach vorn oder hinten verschoben werden (bezogen auf die Bezugsdrehzahl und -drehmomentfolge). Bei einer Verschiebung der Messsignale müssen Drehzahl und Drehmoment um den gleichen Umfang und in die gleiche Richtung verschoben werden.
4.6.2. Berechnung der Zyklusarbeit
Die tatsächliche Zyklusarbeit Wact( kWh) ist unter Verwendung jeweils eines Paares von aufgezeichneten Motordrehzahl- und -drehmomentmesswerten zu berechnen. Die tatsächliche Zyklusarbeit Wact wird für den Vergleich mit der Bezugszyklusarbeit Wref und zur Berechnung der bremsspezifischen Emissionen verwendet. Die gleiche Methodik ist bei der Integration sowohl der Bezugs- als auch der tatsächlichen Motorleistung anzuwenden. Sind zwischen benachbarten Bezugswerten oder benachbarten Messwerten Werte zu bestimmen, so ist die lineare Interpolation anzuwenden.
Bei der Integration der Bezugszyklusarbeit und der tatsächlichen Zyklusarbeit sind alle negativen Drehmomentwerte auf Null zu setzen und einzuschließen. Findet die Integration bei einer Frequenz von unter 5 Hertz statt und verändert sich das Vorzeichen des Drehmomentwertes in einem gegebenen Zeitabschnitt von plus zu minus oder von minus zu plus, so ist der negative Anteil zu berechnen und gleich Null zu setzen. Der positive Anteil ist in den integrierten Wert einzuschließen.
Wactmuss zwischen -15 % und + 5 % von Wrefliegen.
4.6.3. Validierungsstatistik für den Prüfzyklus
Für Drehzahl, Drehmoment und Leistung sind lineare Regressionen von Messwerten auf die Bezugswerte auszuführen. Dies erfolgt im Anschluss an die Messdatenverschiebung, sofern diese Option gewählt wird. Es ist die Fehlerquadratmethode anzuwenden, wobei eine Gleichung der folgenden Form für die beste Anpassung verwendet wird:
y = mx + b
Darin bedeuten:
y = (tatsächlicher) Messwert von Drehzahl (min-1), Drehmoment (Nm) oder Leistung ( kW)
m = Steigung der Regressionsgeraden
x = Bezugswert von Drehzahl (min-1), Drehmoment (Nm) oder Leistung ( kW)
b = Y-Achsabschnitt der Regressionsgeraden
Die Standardabweichung vom Schätzwert (SE) von Y eingetragen über X und der Bestimmungskoeffizient (r2) sind für jede Regressionsgerade zu berechnen.
Es empfiehlt sich, diese Analyse bei 1Hertz auszuführen. Für die Gültigkeit der Prüfung müssen die Kriterien von Tabelle 1 erfüllt sein.
Tabelle 1 - Zulässige Abweichung der Regressionsgeraden
| Drehzahl | Drehmoment | Leistung | |
| Standardabweichung vom Schätzwert (SE) von Y über X | max. 100 min-1 | max. 13 % des höchsten Motormoments entsprechend Leistungsabbildung | max. 8 % der höchsten Motorleistung entsprechend Leistungsabbildung |
| Steigung der Regressionsgeraden, m | 0,95 bis 1,03 | 0,83-1,03 | 0,89-1,03 |
| Bestimmungskoeffizient, r2 | min. 0,9700 | min. 0,8800 | min. 0,9100 |
| Y-Achsabschnitt der Regressionsgeraden, b | ± 50 min-1 | ± 20 Nm oder, falls größer, ± 2 % des höchsten Drehmoments | ± 4 kW oder, falls größer, ± 2 % der höchsten Leistung |
Nur zu Regressionszwecken sind Punktstreichungen vor Berechnung der Regression wie in Tabelle 2 angegeben zulässig. Diese Punkte dürfen jedoch zur Berechnung der Zyklusarbeit und der Emissionen nicht gestrichen werden. Eine Leerlaufphase wird definiert als Phase mit normiertem Bezugsdrehmoment von 0% und einer normierten Bezugsdrehzahl von 0 %. Die Punktstreichung kann auf den gesamten Zyklus oder auf jeden Teil des Zyklus angewandt werden.
Tabelle 2 - Zulässige Punktstreichungen aus der Regressionsanalyse (Punkte, auf die die Punktstreichung
angewandt wird, sind anzugeben)
| Bedingung | Drehzahl- und/oder Drehmoment- und/oder Leistungsphasen, die in Bezug auf die in der linken Spalte aufgeführten Bedingungen gestrichen werden dürfen |
| Erste 24 (± 1) s und letzte 25 s | Drehzahl, Drehmoment und Leistung |
| Vollständig geöffnete Drosselklappe und Drehmomentmesswert < 95 % des Bezugsdrehmoments | Drehmoment und/oder Leistung |
| vollständig geöffnete Drosselklappe und Drehzahlmesswert < 95 % der Bezugsdrehzahl | Drehzahl und/oder Leistung |
| Geschlossene Drosselklappe, Drehzahlmesswert > Leerlaufpunkt + 50 min-1und Drehmomentmesswert > 105 % Bezugsdrehmoment | Drehmoment und/oder Leistung |
| Geschlossene Drosselklappe, Drehzahlmesswert< Leerlaufpunkt + 50 min-1 und Drehmomentmesswert = vom Hersteller festgelegtes/gemessenes Drehmoment im Leerlauf ± 2 % des höchsten Drehmoments | Drehzahl und/oder Leistung |
| Geschlossene Drosselklappe und Drehzahlmesswert > 105 % der Bezugsdrehzahl | Drehzahl und/oder Leistung" |
______________
1) IMO: International Maritime Organization - Internationale Seeschifffahrtsorganisation.
2) MARPOL: International Convention for the Prevention of Pollution from Ships - Internationales Übereinkommen zur Verhütung der Meeresverschmutzung durch Schiffe.
3) Dies entspricht der ISO-Norm 8178-11:2006.
| Mess- und Probenahmeverfahren | Anlage 1 04 |
1 Mess- und Probenahmeverfahren (NRSC-Prüfung)
Die Emission gasförmiger Schadstoffe und luftverunreinigender Partikel aus dem zur Prüfung vorgeführten Motor muss nach den in Anhang VI beschriebenen Verfahren gemessen werden. Die Beschreibung dieser Methoden in Anhang VI umfasst auch eine Darstellung der empfohlenen analytischen Systeme für die gasförmigen Emissionen (Abschnitt 1.1) und der empfohlenen Partikelverdünnungs- und probenahmesysteme (Abschnitt 1.2).
1.1. Leistungsprüfstand
Es ist ein Motorleistungsprüfstand zu verwenden, der entsprechende Eigenschaften aufweist, um den in Anhang III Abschnitt 3.7.1 beschriebenen Prüfzyklus durchzuführen. Die Messgeräte für Drehmoment und Drehzahl müssen die Messung der Leistung innerhalb der vorgegebenen Grenzwerte ermöglichen. Zusätzliche Berechnungen können erforderlich sein. Die Messgeräte müssen eine solche Messgenauigkeit aufweisen, dass die Höchsttoleranzen der in Abschnitt 1.3 angegebenen Werte nicht überschritten werden.
1.2. Abgasdurchsatz
Der Abgasdurchsatz ist nach einer der in den Abschnitten 1.2.1 bis 1.2.4 genannten Methoden zu ermitteln.
1.2.1 Direkte Messung
Direkte Messung des Abgasdurchsatzes durch eine Durchflussdüse oder ein gleichwertiges Messsystem (Einzelheiten siehe ISO 5167:2000).
Anmerkung: Die direkte Messung des Gasdurchsatzes ist ein kompliziertes Verfahren. Es müssen Vorkehrungen zur Vermeidung von Messfehlern getroffen werden, die Auswirkungen auf die Emissionswertfehler haben.
1.2.2 Luft- und Kraftstoffmessung
Messung des Luftdurchsatzes und des Kraftstoffdurchsatzes.
Die verwendeten Geräte zur Messung des Luft- und Kraftstoffdurchsatzes müssen die in Abschnitt 1.3 angegebene Messgenauigkeit aufweisen.
Die Berechnung des Abgasdurchsatzes wird wie folgt vorgenommen:
GEXHW= GAIRW+ GFUEL(für feuchte Abgasmasse)
1.2.3. Kohlenstoffbilanzmethode
Berechnung der Abgasmasse auf der Grundlage des Kraftstoffverbrauchs und der Abgaskonzentrationen nach der Kohlenstoffbilanzmethode (Anhang III Anlage 3).
1.2.4 Tracergasmessung
Diese Methode erfordert die Messung der Konzentration des Tracergases im Auspuff. Eine bekannte Menge eines Inertgases (z.B. Helium) ist als Tracergas in den Abgasstrom einzuspritzen. Das Gas wird mit dem Abgas vermischt und dadurch verdünnt, darf aber nicht im Auspuffrohr reagieren. Dann wird die Konzentration des Gases in der Abgasprobe gemessen.
Um die vollständige Vermischung des Tracergases sicherzustellen, ist die Abgasprobenahmesonde mindestens 1 m oder um das 30-fache des Durchmessers des Auspuffrohrs (es gilt der höhere Wert) unterhalb der Einspritzstelle des Tracergases anzubringen. Die Probenahmesonde kann näher an der Einspritzstelle angebracht werden, wenn die vollständige Vermischung durch Vergleich der Tracergaskonzentration mit der Bezugskonzentration bei Einspritzung des Tracergases oberhalb des Motors überprüft wird.
Der Tracergasdurchsatz ist so einzustellen, dass die Tracergaskonzentration im Leerlauf des Motors nach der Vermischung unter dem vollen Skalenendwert des Tracergasanalysegeräts liegt.
Die Berechnung des Abgasdurchsatzes wird wie folgt vorgenommen:
In dieser Formel bedeutet:
| GEXHW | = | momentaner Abgasmassendurchsatz (kg/s) |
| GT | = | Tracergasdurchsatz (cm3/min) |
| concmix | = | momentane Konzentration des Tracergases nach Vermischung ( ppm) |
| ρEXH | = | Abgasdichte (kg/m3) |
| Conca | = | Hintergrundkonzentration des Tracergases in der Ansaugluft ( ppm) |
Die Hintergrundkonzentration des Tracergases (conca) kann bestimmt werden, indem die durchschnittliche Hintergrundkonzentration unmittelbar vor und nach dem Prüflauf gemessen wird.
Liegt die Hintergrundkonzentration unter 1 % der Konzentration des Tracergases nach der Vermischung (concmix.) bei höchstem Abgasdurchsatz, kann die Hintergrundkonzentration außer Acht gelassen werden.
Das gesamte System muss die Anforderungen an die Messgenauigkeit beim Abgasstrom erfüllen und ist gemäß Anlage 2 Abschnitt 1.11.2 zu kalibrieren.
1.2.5. Messung von Luftdurchsatz und Luft- Kraftstoff-Verhältnis
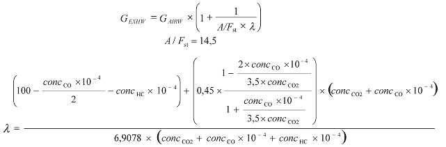
Diese Methode erfordert eine Berechnung der Abgasmasse auf der Grundlage des Luftdurchsatzes und des Luft- Kraftstoff-Verhältnisses. Die Berechnung des momentanen Abgasmassendurchsatzes wird wie folgt vorgenommen:
Dabei ist:
In dieser Formel bedeutet:
| A/Fst | = | Stöchiometrisches Luft- Kraftstoff-Verhältnis (kg/kg) |
| λ | = | Relatives Luft- Kraftstoff-Verhältnis |
| concCO2 | = | CO2- Konzentration im trockenen Bezugszustand (%) |
| concCO | = | CO- Konzentration im trockenen Bezugszustand ( ppm) |
| concHC | = | HC- Konzentration ( ppm) |
Anmerkung: Die Berechnung bezieht sich auf einen Dieselkraftstoff mit einem H/C-Verhältnis gleich 1,8.
Der Durchflussmesser muss die Anforderungen an die Messgenauigkeit gemäß Tabelle 3 erfüllen, das verwendete CO2-Analysegerät muss die Anforderungen des Abschnitts 1.4.1 erfüllen und das gesamte System muss den Anforderungen an die Messgenauigkeit für den Abgasdurchsatz genügen.
Wahlweise können zur Messung des relativen Luft- Kraftstoff-Verhältnisses auch Messeinrichtungen für das Luft- Kraftstoff-Verhältnis vom Typ Zirkonsensor eingesetzt werden, die die Anforderungen gemäß Abschnitt 1.4.4 erfüllen.
1.2.6. Gesamtdurchsatz des verdünnten Abgases
Bei Verwendung eines Vollstrom-Verdünnungssystems muss der Gesamtstrom des verdünnten Abgases (GTOTW) mit einer PDP oder einem CFV oder einer SSV gemessen werden (Anhang VI Abschnitt 1.2.1.2). Die Messgenauigkeit muss den Bestimmungen von Anhang III Anlage 2 Abschnitt 2.2 entsprechen.
1.3. Messgenauigkeit
Die Kalibrierung aller Messgeräte muss auf nationale oder internationale Normen rückführbar sein und den Vorschriften in Tabelle3 entsprechen:
Tabelle 3: Genauigkeit der Messgeräte
| Nr. | Messgerät | Messgenauigkeit |
| 1 | Motordrehzahl | ± 2 % des Ablesewertes oder, falls größer, ± 1 % des Höchstwertes des Motors |
| 2 | Drehmoment | ± 2 % des Ablesewertes oder, falls größer, ± 1 % des Höchstwertes des Motors |
| 3 | Kraftstoffverbrauch | ± 2 % des Höchstwertes des Motors |
| 4 | Luftverbrauch | ± 2 % des Ablesewertes oder, falls größer, ± 1 % des Höchstwertes des Motors |
| 5 | Abgasstrom | ± 2,5 % des Ablesewertes oder, falls größer, ± 1,5 % des Höchstwertes des Motors |
| 6 | Temperatur< 600 K | ± 2 K absolut |
| 7 | Temperatur > 600 K | ± 1 % des Ablesewertes |
| 8 | Abgasdruck | ± 0,2 kPa absolut |
| 9 | Ansaugluftunterdruck | ± 0,05 kPa absolut |
| 10 | Atmosphärischer Druck | ± 0,1 kPa absolut |
| 11 | Andere Drücke | ± 0,1 kPa absolut |
| 12 | Absolute Luftfeuchtigkeit | ± 5 % des Ablesewertes |
| 13 | Verdünnungsluftdurchfluss | ± 2 % des Ablesewertes |
| 14 | Durchfluss des verdünnten Abgases | ± 2 % des Ablesewertes |
1) Identisch mit dem Zyklus C1 gemäß Absatz 8.3.1.1 der ISO-Norm 8178-4: 2007 (berichtigte Fassung vom 01.07.2008).
2) Identisch mit dem Zyklus D2 gemäß Absatz 8.4.1 der ISO-Norm 8178-4: 2002(E)
3) Hilfsmotoren mit konstanter Drehzahl sind aufgrund des Belastungszyklus ISO D2 zu zertifizieren, d.h. des stationären 5-Phasen-Zyklus gemäß Abschnitt 3.7.1.2; Hilfsmotoren mit variabler Drehzahl sind aufgrund des Belastungszyklus ISO C1 zu zertifizieren, d. h. des stationären 8-Phasen-Zyklus entsprechend Abschnitt 3.7.1.1.
4) Identisch mit dem Zyklus E3 gemäß den Abschnitten 8.5.1, 8.5.2 und 8.5.3 der Norm ISO 8178- 4: 2002(E). Die vier Phasen liegen auf einer durchschnittlichen Propellerkurve, die auf Messungen bei laufendem Betrieb basieren.
5) Identisch mit dem Zyklus E2 gemäß den Abschnitten 8.5.1, 8.5.2 und 8.5.3 der Norm ISO 8178-4: 2002 (E).
6) Identisch mit Zyklus F der Norm ISO 8178-4:2002 (E).
![]() |
weiter . | ![]() |
(Stand: 11.03.2019)
Alle vollständigen Texte in der aktuellen Fassung im Jahresabonnement
Nutzungsgebühr: ab 105.- € netto
(derzeit ca. 7200 Titel s.Übersicht - keine Unterteilung in Fachbereiche)
Die Zugangskennung wird kurzfristig übermittelt
? Fragen ?
Abonnentenzugang/Volltextversion