umwelt-online: Delegierte Verordnung (EU) 2015/35 zur Ergänzung der Richtlinie 2009/138/EG betreffend die Aufnahme und Ausübung der Versicherungs- und der Rückversicherungstätigkeit - (Solvabilität II)(2)

zurück

Abschnitt 2
Nichtlebensversicherungstechnisches Risikomodul

Artikel 114 Nichtlebensversicherungstechnisches Risikomodul

1. Das nichtlebensversicherungstechnische Risikomodul umfasst sämtliche folgenden Untermodule:

  1. das in Artikel 105 Absatz 2 Unterabsatz 3 Buchstabe a der Richtlinie 2009/138/EG genannte Untermodul Nichtlebensversicherungsprämien- und -rückstellungsrisiko;
  2. das in Artikel 105 Absatz 2 Unterabsatz 3 Buchstabe b der Richtlinie 2009/138/EG genannte Untermodul Nichtlebenskatastrophenrisiko;
  3. das Untermodul Nichtlebensversicherungsstornorisiko.

2. Die Kapitalanforderung für das nichtlebensversicherungstechnische Risiko errechnet sich wie folgt:

Dabei gilt:

  1. die Summe umfasst alle möglichen Kombinationen (i,j) der in Absatz 1 aufgeführten Untermodule;
  2. CorrNL(i,j) bezeichnet den Korrelationsparameter für das nichtlebensversicherungstechnische Risiko für die Untermodulei undj;
  3. SCRi undSCRj bezeichnen die Kapitalanforderungen für das Risikountermoduli bzw. für das Risikountermodulj.

3. Der in Absatz 2 genannte KorrelationsparameterCorrH(i,j) bezeichnet den in Spaltei und Zeilej der nachstehenden Korrelationsmatrix angegebenen Wert:

Nichtlebens-
prämien- und
-rückstellung
Nichtlebens-
katastrophe
Nichtlebens-
storno
Nicht-lebensprämien- und
-rückstellung
1 0,25 0
Nichtlebens-katastrophe 0,25 1 0
Nichtlebensstorno 0 0 1

Artikel 115 Untermodul Nichtlebensversicherungsprämien- und -rückstellungsrisiko

Die Kapitalanforderung für das Nichtlebensversicherungsprämien- und -rückstellungsrisiko errechnet sich wie folgt:

Dabei gilt:

  1. σnl bezeichnet die gemäß Artikel 117 ermittelte Standardabweichung für das Nichtlebensversicherungsprämien- und -rückstellungsrisiko;
  2. Vnl bezeichnet das gemäß Artikel 116 ermittelte Volumenmaß für das Nichtlebensversicherungsprämien- und -rückstellungsrisiko.

Artikel 116 Volumenmaß für das Nichtlebensversicherungsprämien- und -rückstellungsrisiko

1. Das Volumenmaß für das Nichtlebensversicherungsprämien- und -rückstellungsrisiko entspricht der Summe der Volumenmaße für das Prämien- und Rückstellungsrisiko der in Anhang II aufgeführten Segmente.

2. Für alle in Anhang II aufgeführten Segmente errechnet sich das Volumenmaß eines bestimmten Segments s wie folgt:

Vs = (V(prem,s) + V(res,s) ) · (0,75 + 0,25 · DIVs)

Dabei gilt:

  1. V(prem,s) bezeichnet das Volumenmaß für das Prämienrisiko von Segment s;
  2. V(res,s) bezeichnet das Volumenmaß für das Rückstellungsrisiko von Segment s;
  3. DIVs bezeichnet den Faktor für die geografische Diversifizierung von Segment s.

3. Für alle in Anhang II aufgeführten Segmente errechnet sich das Volumenmaß für das Prämienrisiko eines bestimmten Segments s wie folgt:

Dabei gilt:

  1. Ps bezeichnet einen Schätzwert der Prämien, die das Versicherungs- oder Rückversicherungsunternehmen im Segments in den folgenden zwölf Monaten verdienen wird;
  2. P(last,s) bezeichnet die Prämien, die das Versicherungs- oder Rückversicherungsunternehmen im Segment s in den letzten zwölf Monaten verdient hat;
  3. FP(existing,s) bezeichnet den erwarteten Barwert der Prämien, die das Versicherungs- oder Rückversicherungsunternehmen im Segments nach den folgenden zwölf Monaten bezogen auf bestehende Verträge verdienen wird;
  4. FP(future,s) bezeichnet den erwarteten Barwert der Prämien, die das Versicherungs- und Rückversicherungsunternehmen im Segments bezogen auf Verträge verdienen wird, bei denen der Ersterfassungszeitpunkt in den folgenden zwölf Monaten liegt, jedoch ausgenommen der Prämien, die in den zwölf Monaten nach dem Ersterfassungszeitpunkt verdient werden.

4. Bei allen in Anhang II aufgeführten Segmenten dürfen Versicherungs- und Rückversicherungsunternehmen das Volumenmaß für das Prämienrisiko eines bestimmten Segments s alternativ zu der in Absatz 3 dieses Artikels ausgeführten Berechnung nach folgender Formel berechnen:

V(prem,s) = Ps + FP(existing,s) + FP(future,s)

sofern alle folgenden Bedingungen erfüllt sind:

  1. das Verwaltungs-, Management- oder Aufsichtsorgan des Versicherungs- oder Rückversicherungsunternehmens hat beschlossen, dass seine im Segments in den folgenden zwölf Monaten verdienten Prämien nicht mehr alsPs betragen werden;
  2. das Versicherungs- oder Rückversicherungsunternehmen hat wirksame Kontrollverfahren eingerichtet, um sicherzustellen, dass die in Buchstabe a genannte Obergrenze der verdienten Prämien eingehalten wird;
  3. das Versicherungs- oder Rückversicherungsunternehmen hat die zuständige Aufsichtsbehörde über den unter Buchstabe a genannten Beschluss und die Gründe dafür unterrichtet.

Für die Zwecke dieser Berechnung erfolgt die Bezeichnung der TermePs, FP(existing,s) undFP(future,s) im Einklang mit Absatz 3 Buchstaben a, c und d.

5. Für die Zwecke der in den Absätzen 3 und 4 ausgeführten Berechnungen verstehen sich die Prämien als Nettobeträge nach Abzug der Prämien für Rückversicherungsverträge. Die folgenden Prämien für Rückversicherungsverträge werden nicht abgezogen:

  1. Prämien im Zusammenhang mit versicherungsfremden Ereignissen oder regulierten Versicherungsansprüchen, die in den in Artikel 41 Absatz 3 genannten Zahlungsströmen nicht berücksichtigt werden;
  2. Prämien für Rückversicherungsverträge, die nicht die Artikel 209, 210, 211 und 213 erfüllen.

6. Bei allen in Anhang II aufgeführten Segmenten entspricht das Volumenmaß für das Rückstellungsrisiko eines bestimmten Segments dem besten Schätzwert der Rückstellungen für noch nicht regulierte Ansprüche in diesem Segment, nach Abzug der aufgrund von Rückversicherungsverträgen und von Zweckgesellschaften einforderbaren Beträge, sofern diese Rückversicherungsverträge oder Zweckgesellschaften die Artikel 209, 210, 211 und 213 erfüllen. Das Volumenmaß darf kein negativer Betrag sein.

7. Bei allen in Anhang II aufgeführten Segmenten wird die geografische Diversifizierung eines bestimmten Segments entweder standardmäßig gleich 1 gesetzt oder gemäß Anhang III berechnet.

Artikel 117 Standardabweichung für das Nichtlebensversicherungsprämien- und -rückstellungsrisiko

1. Die Standardabweichung für das Nichtlebensversicherungsprämien- und -rückstellungsrisiko errechnet sich wie folgt:

Dabei gilt:

  1. Vnl bezeichnet das Volumenmaß für das Nichtlebensversicherungsprämien- und -rückstellungsrisiko;
  2. die Summe umfasst alle möglichen Kombinationen (s,t) der in Anhang II aufgeführten Segmente;
  3. CorrS(s,t) bezeichnet den Korrelationsparameter für das Nichtlebensversicherungsprämien- und -rückstellungsrisiko für Segments und Segment t gemäß Anhang IV;
  4. σs und σt bezeichnen die Standardabweichungen für das Nichtlebensversicherungsprämien- und -rückstellungsrisiko der Segmentes bzw.t;
  5. Vs und Vt bezeichnen die in Artikel 116 genannten Volumenmaße für das Prämien- und Rückstellungsrisiko der Segmentes bzw.t.

2. Bei allen in Anhang II aufgeführten Segmenten errechnet sich die Standardabweichung für das Nichtlebensversicherungsprämien- und -rückstellungsrisiko eines bestimmten Segments s wie folgt:

Dabei gilt:

  1. σ(prem,s) bezeichnet die gemäß Absatz 3 ermittelte Standardabweichung für das Nichtlebensversicherungsprämienrisiko des Segmentss;
  2. σ(res,s) bezeichnet die Standardabweichung für das Nichtlebensversicherungsrückstellungsrisiko von Segment s gemäß Anhang II;
  3. V(prem,s) bezeichnet das in Artikel 116 genannte Volumenmaß für das Prämienrisiko von Segments;
  4. V(res,s) bezeichnet das in Artikel 116 genannte Volumenmaß für das Rückstellungsrisiko von Segments.

3. Bei allen in Anhang II aufgeführten Segmenten entspricht die Standardabweichung für das Nichtlebensversicherungsprämienrisiko eines bestimmten Segments dem Produkt aus der Standardabweichung für das Brutto-Nichtlebensversicherungsprämienrisiko des in Anhang II aufgeführten Segments und dem Korrekturfaktor für nichtproportionale Rückversicherung. Bei den in Anhang II aufgeführten Segmenten 1, 4 und 5 ist der Korrekturfaktor für nichtproportionale Rückversicherung gleich 80 %. Bei alle anderen im Anhang aufgeführten Segmenten ist der Korrekturfaktor für nichtproportionale Rückversicherung gleich 100 %.

Artikel 118 Untermodul Nichtlebensversicherungsstornorisiko

1. Die Kapitalanforderung für das in Artikel 114 Absatz 1 Buchstabe c genannte Untermodul Nichtlebensversicherungsstornorisiko entspricht dem Verlust an Basiseigenmitteln des Versicherungs- und Rückversicherungsunternehmens, der sich aus einer Kombination folgender plötzlicher Ereignisse ergäbe:

  1. Beendigung von 40 % der Versicherungsverträge, deren Beendigung zu einem Anstieg der versicherungstechnischen Rückstellungen ohne die Risikomarge führen würde;
  2. wenn Rückversicherungsverträge künftig abzuschließende Versicherungs- oder Rückversicherungsverträge decken, einem Rückgang der Anzahl jener künftigen Versicherungs- oder Rückversicherungsverträge, die bei der Berechnung der versicherungstechnischen Rückstellungen zugrunde gelegt wird, um 40 %.

2. Die in Absatz 1 genannten Ereignisse gelten einheitlich für alle betroffenen Versicherungs- und Rückversicherungsverträge. Bei Rückversicherungsverträgen wird das in Absatz 1 Buchstabe a genannte Ereignis auf die zugrundeliegenden Versicherungsverträge angewandt.

3. Zur Ermittlung des Verlusts an Basiseigenmitteln des Versicherungs- oder Rückversicherungsunternehmens bei Eintritt des in Absatz 1 Buchstabe a genannten Ereignisses legt das Unternehmen die Art von Beendigung zugrunde, die auf Ebene des einzelnen Vertrags die größte negative Auswirkung auf die Basiseigenmittel des Unternehmens hat.

Artikel 119 Untermodul Nichtlebenskatastrophenrisiko

1. Das Untermodul Nichtlebenskatastrophenrisiko umfasst sämtliche folgenden Untermodule:

  1. das Untermodul Naturkatastrophenrisiko;
  2. das Untermodul Katastrophenrisiko von nichtproportionaler Sachrückversicherung;
  3. das Untermodul Risiko vom Menschen verursachter Katastrophen;
  4. das Untermodul sonstiges Nichtlebenskatastrophenrisiko.

2. Die Kapitalanforderung für das nichtlebensversicherungstechnische Katastrophenrisiko errechnet sich wie folgt:

Dabei gilt:

  1. SCRnatCAT bezeichnet die Kapitalanforderung für das Naturkatastrophenrisiko;
  2. SCRnpproperty bezeichnet die Kapitalanforderung für das Katastrophenrisiko von nichtproportionaler Sachrückversicherung;
  3. SCRmmCAT bezeichnet die Kapitalanforderung für das Risiko vom Menschen verursachter Katastrophen;
  4. SCRCATother bezeichnet die Kapitalanforderung für das sonstige Nichtlebenskatastrophenrisiko.

Artikel 120 Untermodul Naturkatastrophenrisiko

1. Das Untermodul Naturkatastrophenrisiko umfasst sämtliche folgenden Untermodule:

  1. das Untermodul Sturmrisiko;
  2. das Untermodul Erdbebenrisiko;
  3. das Untermodul Überschwemmungsrisiko;
  4. das Untermodul Hagelrisiko;
  5. das Untermodul Bodensenkungsrisiko.

2. Die Kapitalanforderung für das Naturkatastrophenrisiko errechnet sich wie folgt:

Dabei gilt:

  1. die Summe umfasst alle möglichen Kombinationen der in Absatz 1 aufgeführten Untermodulei;
  2. SCRi bezeichnet die Kapitalanforderung für das Untermoduli.

Artikel 121 Untermodul Sturmrisiko

1. Die Kapitalanforderung für das Sturmrisiko errechnet sich wie folgt:

Dabei gilt:

  1. die Summe umfasst alle möglichen Kombinationen (r,s) der in Anhang V aufgeführten Regionen;
  2. CorrWS(r,s) bezeichnet den Korrelationskoeffizienten für das Sturmrisiko der in Anhang V aufgeführten Regionenr unds;
  3. SCR(windstorm,r) undSCR(windstorm,s) bezeichnen die Kapitalanforderungen für das Sturmrisiko in der Regionr bzw.s;
  4. SCR(windstorm,other) bezeichnet die Kapitalanforderung für das Sturmrisiko in anderen als den in Anhang XIII aufgeführten Regionen.

2. Für alle in Anhang V aufgeführten Regionen ist die Kapitalanforderung für das Sturmrisiko einer bestimmten Region r die höhere der beiden folgenden Kapitalanforderungen:

  1. Kapitalanforderung für das Sturmrisiko in der Regionr in dem in Absatz 3 dargelegten Szenario A;
  2. Kapitalanforderung für das Sturmrisiko in der Regionr in dem in Absatz 4 dargelegten Szenario B;

3. In allen in Anhang V aufgeführten Regionen entspricht die Kapitalanforderung für das Sturmrisiko in einer bestimmten Region r im Szenario a dem Verlust an Basiseigenmitteln der Versicherungs- und Rückversicherungsunternehmen, der sich aus der folgenden Abfolge von Ereignissen ergäbe:

  1. plötzlicher Schaden in einer Höhe, die ohne Abzug der aus Rückversicherungsverträgen und von Zweckgesellschaften einforderbaren Beträge, 80 % des festgelegten Sturmschadens in der Regionr entspricht;
  2. Schaden, der ohne Abzug der aus Rückversicherungsverträgen und von Zweckgesellschaften einforderbaren Beträge, 40 % des festgelegten Sturmschadens in der Regionr entspricht.

4. Bei allen in Anhang V aufgeführten Regionen entspricht die Kapitalanforderung für das Sturmrisiko in einer bestimmten Region r im Szenario B dem Verlust an Basiseigenmitteln der Versicherungs- und Rückversicherungsunternehmen, der sich durch die folgende Abfolge von Ereignissen ergäbe:

  1. plötzlicher Schaden in einer Höhe, die ohne Abzug der aus Rückversicherungsverträgen und von Zweckgesellschaften einforderbaren Beträge, 100 % des festgelegten Sturmschadens in der Regionr entspricht;
  2. Schaden, der ohne Abzug der aus Rückversicherungsverträgen und von Zweckgesellschaften einforderbaren Beträge, 20 % des festgelegten Sturmschadens in der Region r entspricht.

5. Bei allen in Anhang V aufgeführten Regionen ist der festgelegte Sturmschaden in einer bestimmten Regionr gleich folgendem Betrag:

Dabei gilt:

  1. Q(windstorm,r) bezeichnet den Sturmrisikofaktor für die in Anhang V aufgeführte Regionr;
  2. die Summe umfasst alle möglichen Kombinationen von Risikozonen (i,j) der Regionr nach Maßgabe des Anhangs IX;
  3. Corr(windstorm,r,i,j) bezeichnet den Korrelationskoeffizienten für das Sturmrisiko in den Risikozoneni undj der Regionr nach Maßgabe des Anhangs XXII;
  4. WSI(windstorm,r,i) undWSI(windstom, rr,j) bezeichnen die gewichteten Versicherungssummen für das Sturmrisiko in den Risikozoneni undj der Regionr nach Maßgabe des Anhangs IX.

6. Für alle in Anhang V aufgeführten Regionen und alle in Anhang IX aufgeführten Risikozonen dieser Regionen errechnet sich die gewichtete Versicherungssumme für das Sturmrisiko in einer bestimmten Sturmzonei einer bestimmten Regionr wie folgt:

WSI(windstorm,r,i) =W(windstorm,r,i) ·SI(windstorm,r,i)

Dabei gilt:

  1. W(windstorm,r,i) bezeichnet das Risikogewicht für das Sturmrisiko in der Risikozonei der Region r nach Maßgabe des Anhangs X;
  2. SI(windstorm,r,i) bezeichnet die Versicherungssumme für das Sturmrisiko in einer bestimmten Sturmzonei der Regionr.

7. Für alle in Anhang V aufgeführten Regionen und alle in Anhang IX aufgeführten Risikozonen dieser Regionen errechnet sich die Versicherungssumme für das Sturmrisiko in einer bestimmten Sturmzonei einer bestimmten Region r wie folgt:

SI(windstorm,r,i) = SI(property,r,i) + SI(onshore property,r,i)

Dabei gilt:

  1. SI(property,r,i) bezeichnet die Versicherungssumme des Versicherungs- oder Rückversicherungsunternehmens für die in Anhang I aufgeführten Geschäftsbereiche 7 und 19 in Bezug auf Verträge, die das Sturmrisiko abdecken und bei denen das Risiko in Risikozonei der Regionr liegt;
  2. SI(onshoreproperty,r,i) bezeichnet die Versicherungssumme des Versicherungs- oder Rückversicherungsunternehmens für die in Anhang I aufgeführten Geschäftsbereiche 6 und 18 in Bezug auf Verträge, die durch Sturm verursachte Vermögensschäden an Land abdecken und bei denen das Risiko in Risikozonei der Regionr liegt.

8. Die Kapitalanforderung für das Sturmrisiko in anderen als den in Anhang XIII aufgeführten Regionen entspricht dem Verlust an Basiseigenmitteln der Versicherungs- und Rückversicherungsunternehmen, der sich aus einem plötzlichen Schaden in Bezug auf jeden Versicherungs- und Rückversicherungsvertrag ergäbe, der eine der folgenden Versicherungs- oder Rückversicherungsverpflichtungen abdeckt:

  1. Verpflichtungen in den in Anhang I aufgeführten Geschäftsbereichen 7 oder 19, die das Sturmrisiko abdecken und bei denen das Risiko nicht in einer in Anhang XIII aufgeführten Region liegt;
  2. Verpflichtungen in den in Anhang I aufgeführten Geschäftsbereichen 6 oder 18, die durch Sturm verursachte Vermögensschäden an Land abdecken und bei denen das Risiko nicht in einer in Anhang XIII aufgeführten Region liegt.

9. Die Höhe des in Absatz 8 genannten plötzlichen Schadens ohne Abzug der aus Rückversicherungsverträgen und von Zweckgesellschaften einforderbaren Beträge errechnet sich wie folgt:

L(windstorm,other) = 1,75 · (0,5 ·DIVwindstorm + 0,5) ·Pwindstorm

Dabei gilt:

  1. DIVwindstorm wird nach Maßgabe des Anhangs III berechnet, jedoch auf Basis der Prämien in Bezug auf die in Absatz 8 genannten Verpflichtungen und beschränkt auf die in Anhang III Nummer 8 aufgeführten Regionen 5 bis 18;
  2. Pwindstorm ist ein Schätzwert der Prämien, die die Versicherungs- und Rückversicherungsunternehmen für jeden Vertrag, der die in Absatz 8 genannten Verpflichtungen abdeckt, in den folgenden zwölf Monaten verdienen werden: für diesen Zweck handelt es sich um Bruttoprämien ohne Abzug der Prämien für Rückversicherungsverträge.

Artikel 122 Untermodul Erdbebenrisiko

1. Die Kapitalanforderung für das Erdbebenrisiko errechnet sich wie folgt:

Dabei gilt:

  1. die Summe umfasst alle möglichen Kombinationen (r,s) der Regionen nach Maßgabe des Anhangs VI;
  2. CorrEQ(r,s) bezeichnet den Korrelationskoeffizienten für das Erdbebenrisiko für die Regionr und die Region s nach Maßgabe des Anhangs VI;
  3. SCR(earthquake,r) undSCR(earthquake,s) bezeichnen die Kapitalanforderungen für das Erdbebenrisiko in der Regionr bzw.s;
  4. SCR(earthquake,other) bezeichnet die Kapitalanforderung für das Erdbebenrisiko in anderen als den in Anhang XIII aufgeführten Regionen.

2. Für alle in Anhang VII aufgeführten Regionen entspricht die Kapitalanforderung für das Erdbebenrisiko einer bestimmten Regions dem Verlust an Basiseigenmitteln der Versicherungs- und Rückversicherungsunternehmen, der sich durch einen plötzlichen Schaden in einer Höhe ergäbe, die sich ohne Abzug der aus Rückversicherungsverträgen und von Zweckgesellschaften einforderbaren Beträge wie folgt errechnet:

Dabei gilt:

  1. Q(earthquake,r) bezeichnet den Erdbebenrisikofaktor für die Regionr nach Maßgabe des Anhangs VI;
  2. die Summe umfasst alle möglichen Kombinationen von Risikozonen (i,j) der Regionr nach Maßgabe des Anhangs IX;
  3. Corr(earthquake,r,i,j) bezeichnet den Korrelationskoeffizienten für das Erdbebenrisiko in den Risikozoneni undj der Region r nach Maßgabe des Anhangs XXIII;
  4. WSI(earthquake,r,i) undWSI(earthquake,r,j) bezeichnen die gewichteten Versicherungssummen für das Erdbebenrisiko in den Risikozoneni undj der Regionr nach Maßgabe des Anhangs IX.

3. Für alle in Anhang VI aufgeführten Regionen und alle in Anhang IX aufgeführten Risikozonen dieser Regionen errechnet sich die gewichtete Versicherungssumme für das Erdbebenrisiko in einer bestimmten Erdbebenzonei einer bestimmten Regionr wie folgt:

WSI(earthquake,r,i) =W(earthquake,r,i) -SI(earthquake,r,i)

Dabei gilt:

  1. W(earthquake,r,i) bezeichnet das Risikogewicht für das Erdbebenrisiko in der Risikozonei der Region r nach Maßgabe des Anhangs X;
  2. SI(earthquake,r,i) bezeichnet die Versicherungssumme für das Erdbebenrisiko in der Erdbebenzonei der Regionr.

4. Für alle in Anhang VI aufgeführten Regionen und alle in Anhang IX aufgeführten Risikozonen dieser Regionen errechnet sich die Versicherungssumme für das Erdbebenrisiko in einer bestimmten Erdbebenzonei einer bestimmten Regionr wie folgt:

SI(earthquake,r,i) =SI(property,r,i) +SI(onshoreproperty,r,i)

Dabei gilt:

  1. SI(property,r,i) bezeichnet die Versicherungssumme des Versicherungs- oder Rückversicherungsunternehmens für die in Anhang I aufgeführten Geschäftsbereiche 7 und 19 in Bezug auf Verträge, die das Erdbebenrisiko abdecken und bei denen das Risiko in Risikozonei der Regionr liegt;
  2. SI(onshoreproperty,r,i) bezeichnet die Versicherungssumme des Versicherungs- oder Rückversicherungsunternehmens für die in Anhang I aufgeführten Geschäftsbereiche 6 und 18 in Bezug auf Verträge, die durch Erdbeben verursachte Vermögensschäden an Land abdecken und bei denen das Risiko in Risikozonei der Regionr liegt.

5. Die Kapitalanforderung für das Erdbebenrisiko in anderen als den in Anhang XIII aufgeführten Regionen entspricht dem Verlust an Basiseigenmitteln der Versicherungs- und Rückversicherungsunternehmen, der sich aus einem plötzlichen Schaden in Bezug auf jeden Versicherungs- und Rückversicherungsvertrag ergäbe, der eine oder beide der folgenden Versicherungs- oder Rückversicherungsverpflichtungen abdeckt:

  1. Verpflichtungen in den in Anhang I aufgeführten Geschäftsbereichen 7 oder 19 in Bezug auf das Erdbebenrisiko, wenn das Risiko nicht in einer in Anhang XIII aufgeführten Region liegt;
  2. Verpflichtungen in den in Anhang I aufgeführten Geschäftsbereichen 6 oder 18 in Bezug auf durch Erdbeben verursachte Vermögensschäden an Land, wenn das Risiko nicht in einer in Anhang XIII aufgeführten Region liegt.

6. Die Höhe des in Absatz 5 genannten plötzlichen Schadens ohne Abzug der aus Rückversicherungsverträgen und von Zweckgesellschaften einforderbaren Beträge errechnet sich wie folgt:

L(earthquake,other) = 1,2 · (0,5 ·DIVearthquake + 0,5) ·Pearthquake

Dabei gilt:

  1. DIVearthquake wird nach Maßgabe des Anhangs III berechnet, jedoch auf Basis der Prämien in Bezug auf die in Absatz 5 Buchstaben a und b genannten Verpflichtungen und beschränkt auf die in Anhang III aufgeführten Regionen 5 bis 18;
  2. Pearthquake ist ein Schätzwert der Prämien, die die Versicherungs- und Rückversicherungsunternehmen für jeden Vertrag, der die in Absatz 5 Buchstaben a und b genannten Verpflichtungen abdeckt, in den folgenden zwölf Monaten verdienen werden: für diesen Zweck handelt es sich um Bruttoprämien ohne Abzug der Prämien für Rückversicherungsverträge

Artikel 123 Untermodul Überschwemmungsrisiko

1. Die Kapitalanforderung für das Überschwemmungsrisiko errechnet sich wie folgt:

Dabei gilt:

  1. die Summe umfasst alle möglichen Kombinationen (r,s) der in Anhang VII aufgeführten Regionen;
  2. CorrFL(r,s) bezeichnet den Korrelationskoeffizienten für das Überschwemmungsrisiko für die Regionr und die Regions nach Maßgabe des Anhangs VII;
  3. SCR(flood,r) undSCR(flood,s) bezeichnen die Kapitalanforderungen für das Überschwemmungsrisiko in der Regionr bzw.s;
  4. SCR(flood,other) bezeichnet die Kapitalanforderung für Überschwemmungsrisiko in anderen als den in Anhang XIII aufgeführten Regionen.

2. Für alle in Anhang VII aufgeführten Regionen ist die Kapitalanforderung für das Überschwemmungsrisiko einer bestimmten Regionr die höhere der beiden folgenden Kapitalanforderungen:

  1. Kapitalanforderung für das Überschwemmungsrisiko in der Regionr in dem in Absatz 3 dargelegten Szenario A;
  2. Kapitalanforderung für das Überschwemmungsrisiko in der Regionr in dem in Absatz 4 dargelegten Szenario B.

3. Für alle in Anhang VII aufgeführten Regionen entspricht die Kapitalanforderung für das Überschwemmungsrisiko in einer bestimmten Region r im Szenario a dem Verlust an Basiseigenmitteln der Versicherungs- und Rückversicherungsunternehmen, der sich durch die folgende Abfolge von Ereignissen ergäbe:

  1. plötzlicher Schaden in einer Höhe, die ohne Abzug der aus Rückversicherungsverträgen und von Zweckgesellschaften einforderbaren Beträge, 65 % des festgelegten Überschwemmungsschadens in der Region r entspricht;
  2. Schaden, der ohne Abzug der aus Rückversicherungsverträgen und von Zweckgesellschaften einforderbaren Beträge, 45 % des festgelegten Überschwemmungsschadens in der Regionr entspricht.

4. Für alle in Anhang VII aufgeführten Regionen entspricht die Kapitalanforderung für das Überschwemmungsrisiko in einer bestimmten Regionr im Szenario B dem Verlust an Basiseigenmitteln der Versicherungs- und Rückversicherungsunternehmen, der sich durch die folgende Abfolge von Ereignissen ergäbe:

  1. plötzlicher Schaden in einer Höhe, die ohne Abzug der aus Rückversicherungsverträgen und von Zweckgesellschaften einforderbaren Beträge, 100 % des festgelegten Überschwemmungsschadens in der Regionr entspricht;
  2. Schaden, der ohne Abzug der aus Rückversicherungsverträgen und von Zweckgesellschaften einforderbaren Beträge, 10 % des festgelegten Überschwemmungsschadens in der Regionr entspricht.

5. Für alle in Anhang VII aufgeführten Regionen errechnet sich der festgelegte Überschwemmungsschaden in einer bestimmten Regionr wie folgt:

Dabei gilt:

  1. Q(flood,r) bezeichnet den Überschwemmungsrisikofaktor für die Regionr nach Maßgabe des Anhangs VII;
  2. die Summe umfasst alle möglichen Kombinationen von Risikozonen (i,j) der Regionr nach Maßgabe des Anhangs IX;
  3. Corr(flood,r,i,j) bezeichnet den Korrelationskoeffizienten für das Überschwemmungsrisiko in den Überschwemmungszoneni undj der Regionr nach Maßgabe des Anhangs XXIV;
  4. WSI(flood,r,i) undWSI(flood,r,j) bezeichnen die gewichteten Versicherungssummen für das Überschwemmungsrisiko in den Risikozoneni undj der Regionr nach Maßgabe des Anhangs IX.

6. Für alle in Anhang VII aufgeführten Regionen und alle in Anhang IX aufgeführten Risikozonen dieser Regionen errechnet sich die gewichtete Versicherungssumme für das Überschwemmungsrisiko in einer bestimmten Überschwemmungszone i einer bestimmten Regionr wie folgt:

WSI(flood,r,i)=W(flood,r,i)·SI(flood,r,i)

Dabei gilt:

  1. W(flood,r,i) bezeichnet das Risikogewicht für das Überschwemmungsrisiko in Risikozonei der Regionr nach Maßgabe des Anhangs X;
  2. SI(flood,r,i) bezeichnet die Versicherungssumme für das Überschwemmungsrisiko in Überschwemmungszonei der Regionr.

7. Für alle in Anhang VII aufgeführten Regionen und alle in Anhang IX aufgeführten Risikozonen dieser Regionen errechnet sich die Versicherungssumme für eine bestimmte Überschwemmungszonei einer bestimmten Regionr wie folgt:

SI(flood,r,i) =SI(property,r,i) +SI(onshoreproperty,r,i) + 1,5 ·SI(motor,r,i)

Dabei gilt:

  1. SI(property,r,i) bezeichnet die Versicherungssumme des Versicherungs- oder Rückversicherungsunternehmens für die in Anhang I aufgeführten Geschäftsbereiche 7 und 19 in Bezug auf Verträge, die das Überschwemmungsrisiko abdecken und bei denen das Risiko in Risikozonei der Regionr liegt;
  2. SI(onshoreproperty,r,i) bezeichnet die Versicherungssumme des Versicherungs- oder Rückversicherungsunternehmens für die in Anhang I aufgeführten Geschäftsbereiche 6 und 18 in Bezug auf Verträge, die durch Überschwemmung verursachte Vermögensschäden an Land abdecken und bei denen das Risiko in Risikozonei der Regionr liegt;
  3. SI(motor,r,i) bezeichnet die Versicherungssumme des Versicherungs- oder Rückversicherungsunternehmens für die in Anhang I aufgeführten Geschäftsbereiche 5 und 17 in Bezug auf Verträge, die das Überschwemmungsrisiko abdecken und bei denen das Risiko in Risikozonei der Regionr liegt.

8. Die Kapitalanforderung für das Überschwemmungsrisiko in anderen als den in Anhang XIII aufgeführten Regionen entspricht dem Verlust an Basiseigenmitteln der Versicherungs- und Rückversicherungsunternehmen, der sich aus einem plötzlichen Schaden in Bezug auf jeden Versicherungs- und Rückversicherungsvertrag ergäbe, der eine der folgenden Versicherungs- oder Rückversicherungsverpflichtungen abdeckt:

  1. Verpflichtungen in den in Anhang I aufgeführten Geschäftsbereichen 7 oder 19, die das Überschwemmungsrisiko abdecken und bei denen das Risiko nicht in einer in Anhang XIII aufgeführten Region liegt;
  2. Verpflichtungen in den in Anhang I aufgeführten Geschäftsbereichen 6 oder 18 in Bezug auf durch Überschwemmung verursachte Vermögensschäden an Land, bei denen das Risiko nicht in einer in Anhang XIII aufgeführten Region liegt;
  3. Verpflichtungen in den in Anhang I aufgeführten Geschäftsbereichen 5 oder 17, die das Überschwemmungsrisiko abdecken und bei denen das Risiko nicht in einer in Anhang XIII aufgeführten Region liegt.

9. Die Höhe des in Absatz 8 genannten plötzlichen Schadens ohne Abzug der aus Rückversicherungsverträgen und von Zweckgesellschaften einforderbaren Beträge errechnet sich wie folgt:

L(flood,other) = 1,1 · (0,5 ·DIVflood + 0,5) ·Pflood

Dabei gilt:

  1. DIVflood wird nach Maßgabe des Anhangs III berechnet, jedoch auf Basis der Prämien in Bezug auf die in Absatz 8 Buchstaben a, b und c genannten Verpflichtungen und beschränkt auf die in Anhang III Nummer 8 aufgeführten Regionen 5 bis 18;
  2. Pflood ist ein Schätzwert der Prämien, die das Versicherungs- oder Rückversicherungsunternehmen für jeden Vertrag, der die in Absatz 8 Buchstaben a, b und c genannten Verpflichtungen abdeckt, in den folgenden zwölf Monaten verdienen wird: für diesen Zweck handelt es sich um Bruttoprämien ohne Abzug der Prämien für Rückversicherungsverträge.

Artikel 124 Untermodul Hagelrisiko16

1. Die Kapitalanforderung für das Hagelrisiko errechnet sich wie folgt:

Dabei gilt:

  1. die Summe umfasst alle möglichen Kombinationen (r,s) der in Anhang VIII aufgeführten Regionen;
  2. CorrHL(r,s) bezeichnet den Korrelationskoeffizienten für das Hagelrisiko für die Region r und die Region s nach Maßgabe des Anhangs VIII;
  3. SCR(hail,r) undSCR(hail,s) bezeichnen die Kapitalanforderungen für das Hagelrisiko in der Regionr bzw.s;
  4. SCR(hail,other) bezeichnet die Kapitalanforderung für Hagelrisiko in anderen als den in Anhang XIII aufgeführten Regionen.

2. Für alle in Anhang VIII aufgeführten Regionen ist die Kapitalanforderung für das Hagelrisiko in einer bestimmten Regionr die höhere der beiden folgenden Kapitalanforderungen:

  1. Kapitalanforderung für das Hagelrisiko in der Regionr im Szenario A;
  2. Kapitalanforderung für das Hagelrisiko in der Regionr im Szenario B.

3. Bei allen in Anhang VIII aufgeführten Regionen entspricht die Kapitalanforderung für das Hagelrisiko in einer bestimmten Regionr im Szenario a dem Verlust an Basiseigenmitteln der Versicherungs- und Rückversicherungsunternehmen, der sich durch die folgende Abfolge von Ereignissen ergäbe:

  1. plötzlicher Schaden, der ohne Abzug der aus Rückversicherungsverträgen und von Zweckgesellschaften einforderbaren Beträge, 70 % des festgelegten Hagelschadens in der Regionr entspricht;
  2. Schaden, der ohne Abzug der aus Rückversicherungsverträgen und von Zweckgesellschaften einforderbaren Beträge, 50 % des festgelegten Hagelschadens in der Regionr entspricht.

4. Für alle in Anhang VIII aufgeführten Regionen entspricht die Kapitalanforderung für das Hagelrisiko in einer bestimmten Regionr im Szenario B dem Verlust an Basiseigenmitteln der Versicherungs- und Rückversicherungsunternehmen, der sich durch die folgende Abfolge von Ereignissen ergäbe:

  1. plötzlicher Schaden, der ohne Abzug der aus Rückversicherungsverträgen und von Zweckgesellschaften einforderbaren Beträge, 100 % des festgelegten Hagelschadens in der Regionr entspricht;
  2. Schaden, der ohne Abzug der aus Rückversicherungsverträgen und von Zweckgesellschaften einforderbaren Beträge, 20 % des festgelegten Hagelschadens in der Region r entspricht.

5. Für alle in Anhang VII aufgeführten Regionen errechnet sich der festgelegte Hagelschaden in einer bestimmten Regionr wie folgt:

Dabei gilt:

  1. Q(flood,r) bezeichnet den Hagelrisikofaktor für die Region r nach Maßgabe des Anhangs VIII;
  2. die Summe umfasst alle möglichen Kombinationen von Risikozonen (i,j) der Regionr nach Maßgabe des Anhangs IX;
  3. Corr(hail,r,i,j) bezeichnet den Korrelationskoeffizienten für das Hagelrisiko in den Risikozoneni undj der Regionr nach Maßgabe des Anhangs XXV;
  4. WSI(hail,r,i) undWSI(hail,r,j) bezeichnen die gewichteten Versicherungssummen für das Hagelrisiko in den Risikozoneni undj ier Regionr nach Maßgabe des Anhangs IX.

6. Für alle in Anhang VIII aufgeführten Regionen und alle in Anhang IX aufgeführten Risikozonen dieser Regionen errechnet sich die gewichtete Versicherungssumme für das Hagelrisiko in einer bestimmten Hagelzonei einer bestimmten Regionr wie folgt:

WSI(hail,r,i) =W(hail,r,i) · SI(hail,r,i)

Dabei gilt:

  1. W(hail,r,i) bezeichnet das Risikogewicht für das Hagelrisiko in der Risikozonei der Region r nach Maßgabe des Anhangs X;
  2. SI(hail,r,i) bezeichnet die Versicherungssumme für das Hagelrisiko in der Hagelzonei der Regionr.

7. Für alle in Anhang VIII aufgeführten Regionen und alle Hagelzonen errechnet sich die Versicherungssumme für das Hagelrisiko in einer bestimmten Hagelzonei einer bestimmten Regionr wie folgt:

SI(hail,r,i) =SI(property,r,i) +SI(onshoreproperty,r,i) + 5 ·SI(motor,r,t)

Dabei gilt:

  1. SI(property,r,i) bezeichnet die Versicherungssumme des Versicherungs- oder Rückversicherungsunternehmens für die in Anhang I aufgeführten Geschäftsbereiche 7 und 19 in Bezug auf Verträge, die das Hagelrisiko abdecken und bei denen das Risiko in Risikozonei der Regionr liegt;
  2. SI(onshoreproperty,r,i) bezeichnet die Versicherungssumme des Versicherungs- oder Rückversicherungsunternehmens für die in Anhang I aufgeführten Geschäftsbereiche 6 und 18 in Bezug auf Verträge, die durch Hagel verursachte Vermögensschäden an Land abdecken und bei denen das Risiko in Risikozonei der Regionr liegt;
  3. SI(motor,r,i) bezeichnet die Versicherungssumme des Versicherungs- oder Rückversicherungsunternehmens für die in Anhang I aufgeführten Geschäftsbereiche 5 und 17 in Bezug auf Verträge, die das Hagelrisiko abdecken und bei denen das Risiko in Risikozonei der Regionr liegt.

8. Die Kapitalanforderung für das Hagelrisiko in anderen als den in Anhang XIII aufgeführten Regionen entspricht dem Verlust an Basiseigenmitteln der Versicherungs- und Rückversicherungsunternehmen, der sich aus einem plötzlichen Schaden in Bezug auf jeden Versicherungs- und Rückversicherungsvertrag ergäbe, der eine oder mehrere der folgenden Versicherungs- oder Rückversicherungsverpflichtungen abdeckt:

  1. Verpflichtungen in den in Anhang I aufgeführten Geschäftsbereichen 7 oder 19, die das Hagelrisiko abdecken und bei denen das Risiko nicht in einer in Anhang XIII aufgeführten Region liegt;
  2. Verpflichtungen in den in Anhang I aufgeführten Geschäftsbereichen 6 oder 18, die durch Hagel verursachte Vermögensschäden an Land abdecken und bei denen das Risiko nicht in einer in Anhang XIII aufgeführten Region liegt;
  3. Verpflichtungen in den in Anhang I aufgeführten Geschäftsbereichen 5 oder 17, die das Hagelrisiko abdecken und bei denen das Risiko nicht in einer in Anhang XIII aufgeführten Region liegt.

9. Die Höhe des in Absatz 8 genannten plötzlichen Schadens ohne Abzug der aus Rückversicherungsverträgen und von Zweckgesellschaften einforderbaren Beträge errechnet sich wie folgt:

L(hail,other) = 0,3 · (0,5 ·DIVhail + 0,5) ·Phail

Dabei gilt:

  1. DIVhail wird nach Maßgabe des Anhangs III berechnet, jedoch auf Basis der Prämien in Bezug auf die in Absatz 8 Buchstaben a, b und c genannten Verpflichtungen und beschränkt auf die in Anhang III aufgeführten Regionen 5 bis 18;
  2. Phail ist ein Schätzwert der Prämien, die die Versicherungs- und Rückversicherungsunternehmen für jeden Vertrag, der die in Absatz 8 Buchstaben a, b und c genannten Verpflichtungen abdeckt, in den folgenden zwölf Monaten verdienen werden: für diesen Zweck handelt es sich um Bruttoprämien ohne Abzug der Prämien für Rückversicherungsverträge.

Artikel 125 Untermodul Bodensenkungs- und Erdrutschrisiko

1. Die Kapitalanforderung für das Bodensenkungs- und Erdrutschrisiko entspricht dem Verlust an Basiseigenmitteln der Versicherungs- und Rückversicherungsunternehmen, der sich durch einen plötzlichen Schaden in einer Höhe ergäbe, die sich ohne Abzug der aus Rückversicherungsverträgen und von Zweckgesellschaften einforderbaren Beträge wie folgt errechnet:

Dabei gilt:

  1. die Summe umfasst alle möglichen Kombinationen von Risikozonen (i,j) Frankreichs nach Maßgabe des Anhangs IX;
  2. Corr(subsidence,r,i,j) bezeichnet den Korrelationskoeffizienten für das Bodensenkungs- und Erdrutschrisiko in den Risikozoneni undj nach Maßgabe des Anhangs XXVI;
  3. WSI(subsidence,r,i)undWSI(subsidence,r,j) bezeichnen die gewichteten Versicherungssummen für das Bodensenkungs- und Erdrutschrisiko in den Risikozoneni undj Frankreichs nach Maßgabe des Anhangs IX.

2. Für alle Bodensenkungszonen errechnet sich die gewichtete Versicherungssumme für das Bodensenkungs- und Erdrutschrisiko einer bestimmten Risikozonei Frankreichs wie folgt:

WSI(subsidence,i) =W(subsidence,i) ·SI(subsidence,i)

Dabei gilt:

  1. W(subsidence,i) bezeichnet das Risikogewicht für das Bodensenkungs- und Erdrutschrisiko der Risikozonei nach Maßgabe des Anhangs X;
  2. SI(subsidence,i) bezeichnet die Versicherungssumme des Versicherungs- oder Rückversicherungsunternehmens in den in Anhannceg I aufgeführten Geschäftsbereichen 7 und 19 in Bezug auf Verträge, die das Bodensenkungs- und Erdrutschrisiko bei Wohngebäuden in der Bodensenkungs- und Erdrutschzonei abdecken.

Artikel 126 Interpretation von Katastrophenszenarien

1. Für die Zwecke des Artikels 121 Absätze 3 und 4, Artikel 123 Absätze 3 und 4 sowie Artikel 124 Absätze 3 und 4 legen die Versicherungs- und Rückversicherungsunternehmen bei der Berechnung der Kapitalanforderung die folgenden Annahmen zugrunde:

  1. die beiden in diesen Artikeln genannten aufeinanderfolgenden Ereignisse sind voneinander unabhängig;
  2. die Versicherungs- und Rückversicherungsunternehmen engagieren sich zwischen den beiden Ereignissen nicht in neuen Versicherungsrisikominderungstechniken.

2. Ungeachtet des Artikels 83 Absatz 1 Buchstabe d haben die Versicherungs- und Rückversicherungsunternehmen sofern die laufenden Rückversicherungsverträge Wiederauffüllungen vorsehen - künftigen Maßnahmen des Managements in Bezug auf Wiederauffüllungen zwischen dem ersten und dem zweiten Ereignis zu berücksichtigen. Die Annahmen über die künftigen Maßnahmen des Managements müssen realistisch, objektiv und nachprüfbar sein.

Artikel 127 Untermodul Katastrophenrisiko von nichtproportionaler Sachrückversicherung

1. Die Kapitalanforderung für das Katastrophenrisiko von nichtproportionaler Sachrückversicherung entspricht dem Verlust an Basiseigenmitteln der Versicherungs- und Rückversicherungsunternehmen, der sich durch einen plötzlichen Schaden in Bezug auf jeden Rückversicherungsvertrag ergäbe, der Rückversicherungsverpflichtungen in dem in Anhang I aufgeführten Geschäftsbereich 28 abdeckt, ausgenommen nichtproportionale Rückversicherungsverpflichtungen in Bezug auf Versicherungsverpflichtungen in den in Anhang I genannten Geschäftsbereichen 9 und 21.

2. Die Höhe des in Absatz 1 genannten plötzlichen Schadens ohne Abzug der aus Rückversicherungsverträgen und von Zweckgesellschaften einforderbaren Beträge errechnet sich wie folgt:

Lnpproperty = 2,5 · (0,5 ·DIVnpproperty + 0,5) ·Pnpproperty

Dabei gilt:

  1. DIVnpproperty wird nach Maßgabe des Anhangs III berechnet, jedoch auf Basis der von dem Versicherungs- und Rückversicherungsunternehmen verdienten Prämien in dem in Anhang I aufgeführten Geschäftsbereich 28, ausgenommen nichtproportionale Rückversicherungsverpflichtungen in Bezug auf Versicherungsverpflichtungen in den in Anhang I genannten Geschäftsbereichen 9 und 21;
  2. Pproperty ist ein Schätzwert der Prämien, die das Versicherungs- oder Rückversicherungsunternehmen in den folgenden zwölf Monaten für jeden Vertrag verdienen wird, der Rückversicherungsverpflichtungen in dem in Anhang I genannten Geschäftsbereich 28, ausgenommen nichtproportionale Rückversicherungsverpflichtungen in Bezug auf Versicherungsverpflichtungen in den in Anhang I genannten Geschäftsbereichen 9 und 21, abdeckt: für diesen Zweck handelt es sich um Bruttoprämien ohne Abzug der Prämien für Rückversicherungsverträge.

Artikel 128 Untermodul Risiko vom Menschen verursachter Katastrophen

1. Das Untermodul Risiko vom Menschen verursachter Katastrophen umfasst sämtliche folgenden Untermodule:

  1. das Untermodul Kraftfahrzeug-Haftpflichtrisiko;
  2. das Untermodul Seefahrtrisiko;
  3. das Untermodul Luftfahrtrisiko;
  4. das Untermodul Feuerrisiko;
  5. das Untermodul Haftpflichtrisiko;
  6. das Untermodul Kredit- und Kautionsrisiko.

2. Die Kapitalanforderung für das Untermodul Risiko vom Menschen verursachter Katastrophen errechnet sich wie folgt:

Dabei gilt:

  1. die Summe umfasst alle in Absatz 1 aufgeführten Untermodule;
  2. SCRi bezeichnet die Kapitalanforderungen für das Untermoduli.

Artikel 129 Untermodul Kraftfahrzeug-Haftpflichtrisiko

1. Die Kapitalanforderung für das Kraftfahrzeug-Haftpflichtrisiko entspricht dem Verlust an Basiseigenmitteln der Versicherungs- und Rückversicherungsunternehmen, der sich durch einen plötzlichen Schaden in einer Höhe ergäbe, die ohne Abzug der aus Rückversicherungsverträgen und von Zweckgesellschaften einforderbaren Beträge folgendem Betrag in Euro entspricht:

Dabei gilt:

  1. Na ist Anzahl der Fahrzeuge, die vom Versicherungs- oder Rückversicherungsunternehmen in den in Anhang I aufgeführten Geschäftsbereichen 4 und 16 versichert sind und für die eine angenommene Deckungssumme von mehr als 24.000 000 EUR gilt;
  2. Nb ist die Anzahl der Fahrzeuge, die vom Versicherungs- oder Rückversicherungsunternehmen in den in Anhang I aufgeführten Geschäftsbereichen 4 und 16 versichert sind und für die eine angenommene Deckungssumme von 24.000 000 EUR oder weniger gilt.

Die Anzahl der durch die proportionalen Rückversicherungsverpflichtungen des Versicherungs- oder Rückversicherungsunternehmens abgedeckten Kraftfahrzeuge wird mit dem relativen Anteil der Verpflichtungen des Unternehmens in Bezug auf die Versicherungssumme der Kraftfahrzeuge gewichtet.

2. Die in Absatz 1 genannte angenommene Deckungssumme entspricht der Gesamtdeckungssumme des Kfz- Haftpflichtversicherungsvertrags für Kraftfahrzeuge bzw., wenn in den Vertragsbedingungen keine solche Gesamtdeckungssumme festgelegt ist, dem Gesamtbetrag der Deckungssummen für Sach- und Personenschäden. Ist die Deckungssumme als Höchstbetrag je Opfer festgelegt, beruht die angenommene Deckungssumme auf zehn Opfern.

Artikel 130 Untermodul Seefahrtrisiko16

1. Die Kapitalanforderung für das Seefahrtrisiko errechnet sich wie folgt:

Dabei gilt:

  1. SCRtanker ist die Kapitalanforderung für das Risiko einer Tankerkollision;
  2. SCRplatform ist die Kapitalanforderung für das Risiko einer Plattformexplosion.

2. Die Kapitalanforderung für das Risiko einer Tankerkollision entspricht dem Verlust an Basiseigenmitteln der Versicherungs- und Rückversicherungsunternehmen, die sich aus einem plötzlichen Schaden in einer Höhe ergäbe, die sich ohne Abzug der einforderbaren Beträge aus Rückversicherungsverträgen und gegenüber Zweckgesellschaften wie folgt errechnet:

Dabei gilt:

  1. der Höchstbetrag bezieht sich auf alle Öl- und Gastanker, die vom Versicherungs- oder Rückversicherungsunternehmen in den in Anhang I aufgeführten Geschäftsbereichen 6, 18 und 27 gegen eine Tankerkollision versichert sind;
  2. SI(hull,t) ist die Versicherungssumme des Versicherungs- oder Rückversicherungsunternehmens für die See-Schiffskaskoversicherung oder -rückversicherung in Bezug auf Tankert;
  3. SI(liab,t) ist die Versicherungssumme des Versicherungs- oder Rückversicherungsunternehmens für die Seehaftpflichtversicherung oder -rückversicherung in Bezug auf Tankert;
  4. SI(pollution,t) ist die Versicherungssumme des Versicherungs- oder Rückversicherungsunternehmens für die Ölverschmutzungsversicherung und -rückversicherung in Bezug auf Tankert.

3. Die Kapitalanforderung für das Risiko einer Plattformexplosion entspricht dem Verlust an Basiseigenmitteln der Versicherungs- und Rückversicherungsunternehmen, der sich durch einen plötzlichen Schaden in einer Höhe ergäbe, die sich ohne Abzug der aus Rückversicherungsverträgen oder von Zweckgesellschaften einforderbaren Beträge wie folgt errechnet:

Dabei gilt:

  1. der Höchstbetrag bezieht sich auf alle Öl- und Gasplattformen, die von dem Versicherungs- oder Rückversicherungsunternehmen in den in Anhang I aufgeführten Geschäftsbereichen 6, 18 und 27 gegen eine Plattformexplosion versichert sind;
  2. SIp ist die kumulierte Versicherungssumme des Versicherungs- oder Rückversicherungsunternehmens für die folgenden Versicherungs- und Rückversicherungsverpflichtungen in Bezug auf Plattformp:
    1. Schadenersatzverpflichtungen für Sachschäden;
    2. Schadenersatzverpflichtungen für die Beseitigung von Wrackteilen;
    3. Schadenersatzverpflichtungen für entgangene Produktionserträge;
    4. Schadenersatzverpflichtungen für die Kosten zur Abdichtung und Sicherung des Bohrlochs;
    5. Haftpflichtversicherungs- und -rückversicherungsverpflichtungen.

Artikel 131 Untermodul Luftfahrtrisiko16

Die Kapitalanforderung für das Luftfahrtrisiko entspricht dem Verlust an Basiseigenmitteln der Versicherungs- und Rückversicherungsunternehmen, der sich durch einen plötzlichen Schaden in einer Höhe ergäbe, die sich ohne Abzug der aus Rückversicherungsverträgen oder von Zweckgesellschaften einforderbaren Beträge wie folgt errechnet:

Dabei gilt:

  1. der Höchstbetrag bezieht sich auf alle Luftfahrzeuge, die von dem Versicherungs- oder Rückversicherungsunternehmen in den in Anhang I aufgeführten Geschäftsbereichen 6, 18 und 27 versichert sind;
  2. SIa ist die Versicherungssumme des Versicherungs- oder Rückversicherungsunternehmens für die Luftfahrt-Kaskoversicherung und -rückversicherung und die Luftfahrthaftpflichtversicherung und -rückversicherung in Bezug auf Luftfahrzeuga.

Artikel 132 Untermodul Feuerrisiko

1. Die Kapitalanforderung für das Feuerrisiko entspricht dem Verlust an Basiseigenmitteln der Versicherungs- und Rückversicherungsunternehmen, der sich durch einen plötzlichen Schaden in einer Höhe ergäbe, die ohne Abzug der aus Rückversicherungsverträgen oder von Zweckgesellschaften einforderbaren Beträge der Versicherungssumme des Versicherungs- oder Rückversicherungsunternehmens für die größte Feuerrisikokonzentration entspricht.

2. Die größte Feuerrisikokonzentration eines Versicherungs- oder Rückversicherungsunternehmens ist die Gebäudegruppe mit der höchsten Versicherungssumme, die alle folgenden Bedingungen erfüllt:

  1. das Unternehmen hat in Bezug auf jedes Gebäude Versicherungs- oder Rückversicherungsverpflichtungen in den in Anhang I aufgeführten Geschäftsbereichen 7 und 19, die Schäden durch Feuer oder Explosion, einschließlich infolge von Terroranschlägen, abdecken;
  2. alle Gebäude liegen vollständig oder teilweise innerhalb eines Radius von 200 Metern.

3. Für die Zwecke des Absatzes 2 kann die Gebäudegruppe durch einen oder mehrere Versicherungs- oder Rückversicherungsverträge abgedeckt sein.

Artikel 133 Untermodul Haftpflichtrisiko

1. Die Kapitalanforderung für das Haftpflichtrisiko errechnet sich wie folgt:

Dabei gilt:

  1. die Summe umfasst alle möglichen Kombinationen von Haftpflichtrisikogruppen (i,j) nach Maßgabe des Anhangs XI;
  2. Corr(liability,r,i,j) bezeichnet den Korrelationskoeffizienten für das Haftpflichtrisiko der Haftpflichtrisikogruppeni undj nach Maßgabe des Anhangs XI;
  3. SCR(liability,i) bezeichnet die Kapitalanforderung für das Haftpflichtrisiko der Haftpflichtrisikogruppei.

2. Bei allen in Anhang XI aufgeführten Haftpflichtrisikogruppen entspricht die Kapitalanforderung für das Haftpflichtrisiko einer bestimmten Haftpflichtrisikogruppei dem Verlust an Basiseigenmitteln der Versicherungs- und Rückversicherungsunternehmen, der sich durch einen plötzlichen Schaden in einer Höhe entstünde, die sich ohne Abzug der aus Rückversicherungsverträgen und von Zweckgesellschaften einforderbaren Beträge wie folgt errechnet:

Dabei gilt:

  1. f(liability,i) bezeichnet den Risikofaktor für die Haftpflichtrisikogruppe i nach Maßgabe des Anhangs XI;
  2. P(liability,i) bezeichnet die Prämien, die das Versicherungs- oder Rückversicherungsunternehmen in den folgenden zwölf Monaten in Bezug auf Versicherungs- und Rückversicherungsverpflichtungen in der Haftpflichtrisikogruppei verdienen wird; für diesen Zweck handelt es sich um Bruttoprämien ohne Abzug der Prämien für Rückversicherungsverträge.

3. Bei der Berechnung des in Absatz 2 genannten Verlusts an Basiseigenmitteln werden die folgenden Annahmen zugrunde gelegt:

  1. der Schaden von Haftpflichtrisikogruppe i wird durch ni Versicherungsansprüche verursacht, und die durch diese Versicherungsansprüche verursachten Schäden sind für das Geschäft des Versicherungs- oder Rückversicherungsunternehmens in der Haftpflichtrisikogruppei repräsentativ und summieren sich zum Schaden der Haftpflichtrisikogruppei;
  2. die Zahl der Versicherungsansprüche ni entspricht der kleinsten Ganzzahl, die den folgenden Betrag übersteigt:

Dabei gilt:

  1. f(liability,i) und P(liability,i) sind gemäß Absatz 2 definiert;
  2. Lim(i,1) bezeichnet den größten Haftungshöchstbetrag des Versicherungs- oder Rückversicherungsunternehmens in Haftpflichtrisikogruppei;
  1. leistet das Versicherungs- oder Rückversicherungsunternehmen in Haftpflichtrisikogruppei unbegrenzte Deckung, wird die Zahl der Versicherungsansprüche ni gleich eins gesetzt.

Artikel 134 Untermodul Kredit- und Kautionsrisiko16 16a

1. Die Kapitalanforderung für das Kredit- und Kautionsrisiko errechnet sich wie folgt:

Dabei gilt:

  1. SCRdefault bezeichnet die Kapitalanforderung für das Risiko eines Großkreditausfalls;
  2. SCRrecession bezeichnet die Kapitalanforderung für das Rezessionsrisiko.

2. Die Kapitalanforderung für das Risiko eines Großkreditausfalls entspricht dem Verlust an Basiseigenmitteln der Versicherungs- und Rückversicherungsunternehmen, der sich bei einem plötzlichen Ausfall der beiden größten Risikoexponierungen in Bezug auf die Verpflichtungen des Versicherungs- oder Rückversicherungsunternehmens in den Geschäftsbereichen 9 und 21 ergäbe. Die Berechnung der Kapitalanforderung erfolgt unter der Annahme, dass der Verlust bei Ausfall ohne Abzug der aus Rückversicherungsverträgen und von Zweckgesellschaften einforderbaren Beträge bei jeder Risikoexponierung 10 % der Versicherungssumme für diese Risikoexponierung entspricht.

3. Die in Absatz 2 genannten beiden größten Kreditversicherungsrisikoexponierungen werden durch Vergleich des Nettoverlusts bei Ausfall der Kreditversicherungsrisikoexponierungen ermittelt, d. h. des Verlusts bei Ausfall nach Abzug der aus Rückversicherungsverträgen und von Zweckgesellschaften einforderbaren Beträge.

4. Die Kapitalanforderung für das Rezessionsrisiko entspricht dem Verlust an Basiseigenmitteln der Versicherungs- und Rückversicherungsunternehmen, der sich durch einen plötzlichen Schaden in einer Höhe ergäbe, der ohne Abzug der aus Rückversicherungsverträgen oder von Zweckgesellschaften einforderbaren Beträge 100 % der Prämien entspricht, die das Versicherungs- oder Rückversicherungsunternehmen in den folgenden zwölf Monaten in den Geschäftsbereichen 9 und 21 verdient.

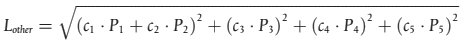
Artikel 135 Untermodul sonstiges Nichtlebenskatastrophenrisiko

Die Kapitalanforderung für das sonstige Nichtlebenskatastrophenrisiko entspricht dem Verlust an Basiseigenmitteln der Versicherungs- und Rückversicherungsunternehmen, der sich durch einen plötzlichen Schaden in einer Höhe ergäbe, die ohne Abzug der aus Rückversicherungsverträgen und von Zweckgesellschaften einforderbaren Beträge folgendem Betrag entspricht:

Dabei gilt:

  1. P1, P2, P3, P4 undP5 bezeichnen Schätzwerte der Bruttoprämien, die das Versicherungs- oder Rückversicherungsunternehmen ohne Abzug der aus Rückversicherungsverträgen einforderbaren Beträge in den folgenden zwölf Monaten in Bezug auf die in Anhang XII aufgeführten Gruppen 1 bis 5 von Versicherungs- und Rückversicherungsverpflichtungen voraussichtlich verdienen wird;
  2. c1, c2, c3, c4 undc5 bezeichnen die Risikofaktoren für die in Anhang XII aufgeführten Gruppen von Versicherungs- und Rückversicherungsverpflichtungen.

Abschnitt 3
Lebensversicherungstechnisches Risikomodul

Artikel 136 Korrelationskoeffizienten16 16a

1. Das lebensversicherungstechnische Risikomodul umfasst sämtliche folgenden Untermodule:

  1. Untermodul Sterblichkeitsrisiko nach Artikel 105 Absatz 3 Unterabsatz 2 Buchstabe a der Richtlinie 2009/138/EG;
  2. Untermodul Langlebigkeitsrisiko nach Artikel 105 Absatz 3 Unterabsatz 2 Buchstabe b der Richtlinie 2009/138/EG;
  3. Untermodul Invaliditäts-/Morbiditätsrisiko nach Artikel 105 Absatz 3 Unterabsatz 2 Buchstabe c der Richtlinie 2009/138/EG;
  4. Untermodul Lebensversicherungskostenrisiko nach Artikel 105 Absatz 3 Unterabsatz 2 Buchstabe d der Richtlinie 2009/138/EG;
  5. Untermodul Revisionsrisiko nach Artikel 105 Absatz 3 Unterabsatz 2 Buchstabe e der Richtlinie 2009/138/EG;
  6. Untermodul Stornorisiko nach Artikel 105 Absatz 3 Unterabsatz 2 Buchstabe f der Richtlinie 2009/138/EG;
  7. Untermodul Lebensversicherungskatastrophenrisiko nach Artikel 105 Absatz 3 Unterabsatz 2 Buchstabe g der Richtlinie 2009/138/EG.

2. Die Kapitalanforderung für das lebensversicherungstechnische Risiko errechnet sich wie folgt:

Dabei gilt:

  1. die Summe umfasst alle möglichen Kombinationen (i,j) der in Absatz 1 aufgeführten Untermodule;
  2. CorrNL(i,j) bezeichnet den Korrelationsparameter für das lebensversicherungstechnische Risiko für die Untermodulei undj;
  3. SCRi undSCRj bezeichnen die Kapitalanforderungen für das Risikountermoduli bzw. für das Risikountermodulj.

3. Der KorrelationskoeffizientCorri,j, auf den in Anhang IV Nummer 3 der Richtlinie 2009/138/EG Bezug genommen wird, entspricht dem in Spaltei und Zeilej der nachstehenden Korrelationsmatrix angegebenen Wert:

Sterblichkeit Langlebigkeit Invalidität Lebensversicherungs-
kosten
Revision Storno Lebens-
versicherungs-
katastrophen
1 - 0,25 0,25 0,25 0 0 0,25
Langlebigkeit - 0,25 1 0 0,25 0,25 0,25 0
Invalidität 0,25 0 1 0,5 0 0 0,25
Lebensversicherungs-
kosten
0,25 0,25 0,5 1 0,5 0,5 0,25
Revision 0 0,25 0 0,5 1 0 0
Storno 0 0,25 0 0,5 0 1 0,25
Lebensversicherungs-
katastrophen
0,25 0 0,25 0,25 0 0,25 1

Artikel 137 Untermodul Sterblichkeitsrisiko

1. Die Kapitalanforderung für das Sterblichkeitsrisiko nach Artikel 105 Absatz 3 Buchstabe a der Richtlinie 2009/138/EG entspricht dem Verlust an Basiseigenmitteln der Versicherungs- oder Rückversicherungsunternehmen, der sich aus einem unmittelbaren dauerhaften Anstieg der für die Berechnung der versicherungstechnischen Rückstellungen verwendeten Sterblichkeitsraten um 15 % ergäbe.

2. Der Anstieg der Sterblichkeitsraten gemäß Absatz 1 gilt nur für diejenigen Versicherungsverträge, bei denen ein Anstieg der Sterblichkeitsraten zu einem Anstieg der versicherungstechnischen Rückstellungen ohne die Risikomarge führt. Bei der Identifizierung von Versicherungsverträgen, bei denen ein Anstieg der Sterblichkeitsraten zu einem Anstieg der versicherungstechnischen Rückstellungen ohne die Risikomarge führt, können folgende Annahmen herangezogen werden:

  1. mehrere Versicherungsverträge in Bezug auf denselben Versicherten können wie ein einziger Versicherungsvertrag behandelt werden;
  2. wenn die Berechnung der versicherungstechnischen Rückstellungen auf Gruppen von Versicherungsverträgen nach Artikel 35 basiert, kann die Identifizierung derjenigen Verträge, bei denen ein Anstieg der Sterblichkeitsraten zu einem Anstieg der versicherungstechnischen Rückstellungen führt, auch auf Vertragsgruppen anstatt auf einzelnen Verträgen basieren, sofern dies annähernd zum gleichen Ergebnis führt.

3. Im Hinblick auf Rückversicherungsverpflichtungen gilt die Identifizierung der Verträge, bei denen ein Anstieg der Sterblichkeitsraten zu einem Anstieg der versicherungstechnischen Rückstellungen führt, nur für die zugrundeliegenden Versicherungsverträge und ist gemäß Absatz 2 durchzuführen.

Artikel 138 Untermodul Langlebigkeitsrisiko

1. Die Kapitalanforderung für das Langlebigkeitsrisiko nach Artikel 105 Absatz 3 Buchstabe b der Richtlinie 2009/138/EG entspricht dem Verlust an Basiseigenmitteln der Versicherungs- oder Rückversicherungsunternehmen, der sich aus einem unmittelbaren dauerhaften Rückgang der für die Berechnung der versicherungstechnischen Rückstellungen verwendeten Sterblichkeitsraten um 20 % ergäbe.

2. Der Rückgang der Sterblichkeitsraten gemäß Absatz 1 gilt nur für diejenigen Versicherungsverträge, bei denen ein Rückgang der Sterblichkeitsraten zu einem Anstieg der versicherungstechnischen Rückstellungen ohne die Risikomarge führt. Bei der Identifizierung von Versicherungsverträgen, bei denen ein Rückgang der Sterblichkeitsraten zu einem Anstieg der versicherungstechnischen Rückstellungen ohne die Risikomarge führt, können folgende Annahmen herangezogen werden:

  1. mehrere Versicherungsverträge in Bezug auf denselben Versicherten können wie ein einziger Versicherungsvertrag behandelt werden;
  2. wenn die Berechnung der versicherungstechnischen Rückstellungen auf Gruppen von Versicherungsverträgen nach Artikel 35 basiert, kann die Identifizierung derjenigen Verträge, bei denen ein Rückgang der Sterblichkeitsraten zu einem Anstieg der versicherungstechnischen Rückstellungen führt, auch auf Vertragsgruppen anstatt auf einzelnen Verträgen basieren, sofern dies annähernd zum gleichen Ergebnis führt.

3. Im Hinblick auf Rückversicherungsverpflichtungen gilt die Identifizierung der Verträge, bei denen ein Rückgang der Sterblichkeitsraten zu einem Anstieg der versicherungstechnischen Rückstellungen führt, nur für die zugrundeliegenden Versicherungsverträge und ist gemäß Absatz 2 durchzuführen.

Artikel 139 Untermodul Invaliditäts-/Morbiditätsrisiko

Die Kapitalanforderung für das Invaliditäts-/Morbiditätsrisiko nach Artikel 105 Absatz 3 Buchstabe c der Richtlinie 2009/138/EG entspricht dem Verlust an Basiseigenmitteln der Versicherungs- oder Rückversicherungsunternehmen, der sich aus einer Kombination der folgenden unmittelbaren dauerhaften Veränderungen ergäbe:

  1. Anstieg der bei der Berechnung der versicherungstechnischen Rückstellungen zugrunde gelegten Invaliditäts- und Morbiditätsraten um 35 %, die verwendet werden, um die Invaliditäts-/Morbiditätshäufigkeit in den folgenden zwölf Monaten widerzuspiegeln;
  2. Anstieg der bei der Berechnung der versicherungstechnischen Rückstellungen zugrunde gelegten Invaliditäts- und Morbiditätsraten um 25 %, die verwendet werden, um die Invaliditäts-/Morbiditätshäufigkeit im Zeitraum in allen Monaten nach den folgenden zwölf Monaten widerzuspiegeln;
  3. Rückgang der bei der Berechnung der versicherungstechnischen Rückstellungen zugrunde gelegten Invaliditäts-/ Morbiditäts-Reaktivierungsraten um 20 % in den folgenden zwölf Monaten und für alle Jahre danach.

Artikel 140 Untermodul Lebensversicherungskostenrisiko

Die Kapitalanforderung für das Lebensversicherungskostenrisiko nach Artikel 105 Absatz 3 Buchstabe d der Richtlinie 2009/138/EG entspricht dem Verlust an Basiseigenmitteln der Versicherungs- oder Rückversicherungsunternehmen, der sich aus einer Kombination der folgenden unmittelbaren dauerhaften Veränderungen ergäbe:

  1. Anstieg der bei der Berechnung der versicherungstechnischen Rückstellungen berücksichtigten Kosten um 10 %;
  2. Anstieg der bei der Berechnung der versicherungstechnischen Rückstellungen zugrunde gelegten Kosteninflationsrate (ausgedrückt als Prozentsatz) um einen Prozentpunkt.

Im Hinblick auf Rückversicherungsverpflichtungen wenden Versicherungs- und Rückversicherungsunternehmen diese Veränderungen auf ihre eigenen Kosten und, falls relevant, auch auf die Kosten der Zedenten an.

Artikel 141 Untermodul Revisionsrisiko

Die Kapitalanforderung für das Revisionsrisiko nach Artikel 105 Absatz 3 Buchstabe e der Richtlinie 2009/138/EG entspricht dem Verlust an Basiseigenmitteln der Versicherungs- oder Rückversicherungsunternehmen, der sich aus einem unmittelbaren dauerhaften Anstieg des Betrags der Rentenleistungen im Zusammenhang mit lediglich denjenigen Rentenversicherungs- und -rückversicherungsverpflichtungen um 3 % ergäbe, bei denen die gemäß den zugrundeliegenden Versicherungsverträgen zu zahlenden Leistungen aufgrund von Änderungen im Rechtsumfeld oder in der gesundheitlichen Verfassung des Versicherten ansteigen könnten.

Artikel 142 Untermodul Stornorisiko

1. Die Kapitalanforderung für das Stornorisiko nach Artikel 105 Absatz 3 Buchstabe f der Richtlinie 2009/138/EG entspricht der höchsten der folgenden Kapitalanforderungen:

  1. Kapitalanforderung für das Risiko eines dauerhaften Anstiegs der Stornoquoten;
  2. Kapitalanforderung für das Risiko eines dauerhaften Rückgangs der Stornoquoten;
  3. Kapitalanforderung für das Risiko eines Massenstornos.

2. Die Kapitalanforderung für das Risiko eines dauerhaften Anstiegs der Stornoquoten entspricht dem Verlust an Basiseigenmitteln der Versicherungs- oder Rückversicherungsunternehmen, der sich aus einem unmittelbaren dauerhaften Anstieg der Optionsausübungsquoten der in den Absätzen 4 und 5 genannten relevanten Optionen um 50 % ergäbe. Die erhöhten Optionsausübungsquoten dürfen jedoch nicht mehr als 100 % betragen, und der Anstieg der Optionsausübungsquoten gilt nur für jene relevanten Optionen, bei denen die Ausübung der Option zu einem Anstieg der versicherungstechnischen Rückstellungen ohne die Risikomarge führen würde.

3. Die Kapitalanforderung für das Risiko eines dauerhaften Rückgangs der Stornoquoten entspricht dem Verlust an Basiseigenmitteln der Versicherungs- oder Rückversicherungsunternehmen, der sich aus einem unmittelbaren dauerhaften Rückgang der Optionsausübungsquoten der in den Absätzen 4 und 5 genannten relevanten Optionen um 50 % ergäbe. Der Rückgang der Optionsausübungsquoten darf jedoch nicht mehr als 20 Prozentpunkte betragen und gilt nur für jene relevanten Optionen, bei denen die Ausübung der Option zu einem Rückgang der versicherungstechnischen Rückstellungen ohne die Risikomarge führen würde.

4. Bei den für die Zwecke der Absätze 2 und 3 relevanten Optionen handelt es sich um

  1. alle gesetzlichen oder vertraglichen Rechte der Versicherungsnehmer, Versicherungsschutz ganz oder teilweise zu beenden, zurückzukaufen, herabzusetzen, einzuschränken oder ruhen zu lassen oder den Versicherungsvertrag zu stornieren;
  2. alle gesetzlichen oder vertraglichen Rechte der Versicherungsnehmer, Versicherungs- oder Rückversicherungsschutz ganz oder teilweise zu begründen, zu verlängern, zu erhöhen, zu erweitern oder wiederaufzunehmen.

Für die Zwecke des Buchstabens b findet die in den Absätzen 2 und 3 genannte Veränderung der Optionsausübungsquote auf diejenige Quote Anwendung, die widerspiegelt, dass die relevante Option nicht ausgeübt wird.

5. In Bezug auf Rückversicherungsverträge umfassen die relevanten Optionen für die Zwecke der Absätze 2 und 3:

  1. die in Absatz 4 aufgeführten Rechte der Versicherungsnehmer der Rückversicherungsverträge;
  2. die in Absatz 4 aufgeführten Rechte der Versicherungsnehmer der den Rückversicherungsverträgen zugrundeliegenden Versicherungsverträge;
  3. wenn die Rückversicherungsverträge künftig abzuschließende Versicherungs- oder Rückversicherungsverträge decken, das Recht der potenziellen Versicherungsnehmer, diese Versicherungs- oder Rückversicherungsverträge nicht abzuschließen.

6. Die Kapitalanforderung für das Risiko eines Massenstornos entspricht dem Verlust an Basiseigenmitteln der Versicherungs- oder Rückversicherungsunternehmen, der sich aus einer Kombination der folgenden unmittelbaren Ereignisse ergäbe:

  1. Beendigung von 70 % der Versicherungsverträge im Anwendungsbereich von Artikel 2 Absatz 3 Buchstabe b Ziffern iii und iv der Richtlinie 2009/138/EG, bei denen eine Beendigung zu einem Anstieg der versicherungstechnischen Rückstellungen ohne die Risikomarge führen würde und sofern eine der folgenden Bedingungen erfüllt ist:
    1. der Versicherungsnehmer ist keine natürliche Person und die Beendigung des Vertrags bedarf nicht der Zustimmung der Anspruchsberechtigten des Pensionsfonds;
    2. der Versicherungsnehmer ist eine natürliche Person, die zugunsten der Anspruchsberechtigten des Vertrags handelt, ausgenommen jedoch Verträge, bei denen ein Verwandtschaftsverhältnis zwischen dieser natürlichen Person und den Anspruchsberechtigten besteht, und Verträge, die zur privaten Nachlassplanung oder zu Erbzwecken abgeschlossen werden und bei denen die Anzahl der Anspruchsberechtigten des Vertrags nicht mehr als 20 beträgt;
  2. Beendigung von 40 % der Versicherungsverträge, ausgenommen unter Buchstabe a fallende Verträge, deren Beendigung zu einem Anstieg der versicherungstechnischen Rückstellungen ohne die Risikomarge führen würde;
  3. wenn Rückversicherungsverträge künftig abzuschließende Versicherungs- oder Rückversicherungsverträge decken, ein Rückgang der Anzahl jener künftigen Versicherungs- oder Rückversicherungsverträge, die bei der Berechnung der versicherungstechnischen Rückstellungen zugrunde gelegt wird, um 40 %.

Die Ereignisse nach Unterabsatz 1 gelten einheitlich für alle betroffenen Versicherungs- und Rückversicherungsverträge. In Bezug auf Rückversicherungsverträge wird das Ereignis nach Buchstabe a auf die zugrundeliegenden Versicherungsverträge angewendet.

Für die Zwecke der Ermittlung des Verlusts an Basiseigenmitteln des Versicherungs- oder Rückversicherungsunternehmens bei den Ereignissen gemäß den Buchstaben a und b stützt das Unternehmen die Berechnung auf die Art von Beendigung, die auf Ebene des einzelnen Vertrags die größte negative Auswirkung auf die Basiseigenmittel des Unternehmens hat.

7. Basieren die höchste der Kapitalanforderungen nach Absatz 1 Buchstaben a, b und c dieses Artikels und die höchste der entsprechenden Kapitalanforderungen, die im Einklang mit Artikel 206 Absatz 2 berechnet wird, nicht auf demselben Szenario, ist die Kapitalanforderung für das Stornorisiko nach Artikel 105 Absatz 3 Buchstabe f der Richtlinie 2009/138/EG die Kapitalanforderung nach Absatz 1 Buchstaben a, b oder c dieses Artikels, bei der das zugrundeliegende Szenario die höchste entsprechende im Einklang mit Artikel 206 Absatz 2 dieser Verordnung berechnete Kapitalanforderung ergibt.

Artikel 143 Untermodul Lebensversicherungskatastrophenrisiko

1. Die Kapitalanforderung für das Lebensversicherungskatastrophenrisiko nach Artikel 105 Absatz 3 Buchstabe g der Richtlinie 2009/138/EG entspricht dem Verlust an Basiseigenmitteln der Versicherungs- oder Rückversicherungsunternehmen, der sich aus einem unmittelbaren Anstieg der bei der Berechnung der versicherungstechnischen Rückstellungen zugrunde gelegten Sterblichkeitsraten (ausgedrückt als Prozentsätze) um 0,15 Prozentpunkte, die verwendet werden, um die Sterblichkeitshäufigkeit in den folgenden zwölf Monaten widerzuspiegeln, ergäbe.

2. Der Anstieg der Sterblichkeitsraten gemäß Absatz 1 gilt nur für diejenigen Versicherungsverträge, bei denen ein Anstieg der Sterblichkeitsraten, die verwendet werden, um die Sterblichkeitshäufigkeit der kommenden zwölf Monate widerzuspiegeln, zu einem Anstieg der versicherungstechnischen Rückstellungen führt. Bei der Identifizierung von Versicherungsverträgen, bei denen ein Anstieg der Sterblichkeitsraten zu einem Anstieg der versicherungstechnischen Rückstellungen ohne die Risikomarge führt, können folgende Annahmen herangezogen werden:

  1. mehrere Versicherungsverträge in Bezug auf denselben Versicherten können wie ein einziger Versicherungsvertrag behandelt werden;
  2. wenn die Berechnung der versicherungstechnischen Rückstellungen auf Gruppen von Versicherungsverträgen nach Artikel 35 basiert, kann die Identifizierung derjenigen Verträge, bei denen ein Anstieg der Sterblichkeitsraten zu einem Anstieg der versicherungstechnischen Rückstellungen führt, auch auf Vertragsgruppen anstatt auf einzelnen Verträgen basieren, sofern dies annähernd zum gleichen Ergebnis führt.

3. Im Hinblick auf Rückversicherungsverpflichtungen gilt die Identifizierung der Verträge, bei denen ein Anstieg der Sterblichkeitsraten zu einem Anstieg der versicherungstechnischen Rückstellungen führt, nur für die zugrundeliegenden Versicherungsverträge und ist gemäß Absatz 2 durchzuführen.

Abschnitt 4
Krankenversicherungstechnisches Risikomodul

Artikel 144 Krankenversicherungstechnisches Risikomodul

1. Das krankenversicherungstechnische Risikomodul umfasst sämtliche folgenden Untermodule:

  1. Untermodul versicherungstechnisches Risiko der Krankenversicherung, die auf vergleichbarer versicherungstechnischer Basis betrieben wird wie die Schadenversicherung;
  2. Untermodul versicherungstechnisches Risiko der Krankenversicherung, die auf vergleichbarer versicherungstechnischer Basis betrieben wird wie die Lebensversicherung;
  3. Untermodul Krankenversicherungskatastrophenrisiko.

2. Die Kapitalanforderung für das krankenversicherungstechnische Risiko errechnet sich wie folgt:

Dabei gilt:

  1. die Summe umfasst alle möglichen Kombinationen (i,j) der in Absatz 1 aufgeführten Untermodule;
  2. CorrH(i,j) bezeichnet den Korrelationsparameter für das krankenversicherungstechnische Risiko für die Untermodulei undj;
  3. SCRi undSCRj bezeichnen die Kapitalanforderungen für das Risikountermoduli bzw. für das Risikountermodulj.

3. Der KorrelationskoeffizientCorrH(i,j) nach Absatz 2 entspricht dem in Spaltei und Zeilej der nachstehenden Korrelationsmatrix angegebenen Wert:

Versicherungs-technisches Risiko der Krankenversicherung, die auf vergleichbarer versicherungstechnischer Basis betrieben wird wie die Schadenversicherung Versicherungs-technisches Risiko der Krankenversicherung, die auf vergleichbarer versicherungstechnischer Basis betrieben wird wie die Lebensversicherung Krankenversicherungs-
katastrophenrisiko
Versicherungstechnisches Risiko der Krankenversicherung, die auf vergleichbarer versicherungstechnischer Basis betrieben wird wie die Schadenversicherung 1 0,5 0,25
Versicherungstechnisches Risiko der Krankenversicherung, die auf vergleichbarer versicherungstechnischer Basis betrieben wird wie die Lebensversicherung 0,5 1 0,25
Krankenversicherungskatastrophenrisiko 0,25 0,25 1

4. Versicherungs- und Rückversicherungsunternehmen wenden die Untermodule wie folgt an:

  1. das Untermodul versicherungstechnisches Risiko der Krankenversicherung, die auf vergleichbarer versicherungstechnischer Basis betrieben wird wie die Schadenversicherung, auf Krankenversicherungs- und -rückversicherungsverpflichtungen in den in Anhang I aufgeführten Geschäftsbereichen 1, 2, 3, 13, 14, 15 und 25;
  2. das Untermodul versicherungstechnisches Risiko der Krankenversicherung, die auf vergleichbarer versicherungstechnischer Basis betrieben wird wie die Lebensversicherung auf Krankenversicherungs- und -rückversicherungsverpflichtungen in den in Anhang I aufgeführten Geschäftsbereichen 29, 33 und 35;
  3. das Untermodul Krankenversicherungskatastrophenrisiko auf Krankenversicherungs- und -rückversicherungsverpflichtungen.

Artikel 145 Untermodul versicherungstechnisches Risiko der Krankenversicherung, die auf vergleichbarer versicherungstechnischer Basis betrieben wird wie die Schadenversicherung

1. Das Untermodul versicherungstechnisches Risiko der Krankenversicherung, die auf vergleichbarer versicherungstechnischer Basis betrieben wird wie die Schadenversicherung, umfasst folgende Untermodule:

  1. Untermodul Prämien- und Rückstellungsrisiko der Krankenversicherung, die auf vergleichbarer versicherungstechnischer Basis betrieben wird wie die Schadenversicherung;
  2. Untermodul Stornorisiko der Krankenversicherung, die auf vergleichbarer versicherungstechnischer Basis betrieben wird wie die Schadenversicherung.

2. Die Kapitalanforderung für das versicherungstechnische Risiko der Krankenversicherung, die auf vergleichbarer versicherungstechnischer Basis betrieben wird wie die Schadenversicherung, errechnet sich wie folgt:

Dabei gilt:

  1. SCR(NSLTh,pr) bezeichnet die Kapitalanforderung für das Prämien- und Rückstellungsrisiko der Krankenversicherung, die auf vergleichbarer versicherungstechnischer Basis betrieben wird wie die Schadenversicherung;
  2. SCR(NSLTh,lapse) bezeichnet die Kapitalanforderung für das Stornorisiko der Krankenversicherung, die auf vergleichbarer versicherungstechnischer Basis betrieben wird wie die Schadenversicherung.

Artikel 146 Untermodul Prämien- und Rückstellungsrisiko der Krankenversicherung, die auf vergleichbarer versicherungstechnischer Basis betrieben wird wie die Schadenversicherung

Die Kapitalanforderung für das Prämien- und Rückstellungsrisiko der Krankenversicherung, die auf vergleichbarer versicherungstechnischer Basis betrieben wird wie die Schadenversicherung, errechnet sich wie folgt:

Dabei gilt:

  1. sNSLTh bezeichnet die im Einklang mit Artikel 148 ermittelte Standardabweichung für das Prämien- und Rückstellungsrisiko der Krankenversicherung, die auf vergleichbarer versicherungstechnischer Basis betrieben wird wie die Schadenversicherung;
  2. VNSLTh bezeichnet das im Einklang mit Artikel 147 ermittelte Volumenmaß für das Prämien- und Rückstellungsrisiko der Krankenversicherung, die auf vergleichbarer versicherungstechnischer Basis betrieben wird wie die Schadenversicherung.

Artikel 147 Volumenmaß für das Prämien- und Rückstellungsrisiko der Krankenversicherung, die auf vergleichbarer versicherungstechnischer Basis betrieben wird wie die Schadenversicherung

1. Das Volumenmaß für das Prämien- und Rückstellungsrisiko der Krankenversicherung, die auf vergleichbarer versicherungstechnischer Basis betrieben wird wie die Schadenversicherung, entspricht der Summe der Volumenmaße für das Prämien- und Rückstellungsrisiko der in Anhang XIV genannten Sparten.

2. Für alle Sparten gemäß Anhang XIV errechnet sich das Volumenmaß einer bestimmten Sparte s wie folgt:

Vs = (V(prem,s) +V(res,s)) · (0,75 + 0,25 ·DIVs)

Dabei gilt:

(a)V(prem,s) bezeichnet das Volumenmaß für das Prämienrisiko der Spartes;

(b)V(res,s) bezeichnet das Volumenmaß für das Rückstellungsrisiko der Spartes;

(c)DIVs bezeichnet den Faktor für die geografische Diversifizierung der Spartes.

3. Für alle Sparten gemäß Anhang XIV errechnet sich das Volumenmaß für das Prämienrisiko einer bestimmten Sparte s wie folgt:

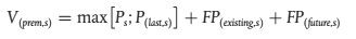
V(prem,s) = max(Ps; P(last,s)) +FP(existing,s) +FP(future,s)

Dabei gilt:

  1. Ps bezeichnet einen Schätzwert der Prämien, die das Versicherungs- oder Rückversicherungsunternehmen in Spartes in den folgenden zwölf Monaten verdienen wird;
  2. P(last,s) bezeichnet Prämien, die das Versicherungs- oder Rückversicherungsunternehmen in Spartes in den letzten zwölf Monaten verdient hat;
  3. FP(existing,s) bezeichnet den erwarteten Barwert der Prämien, die das Versicherungs- oder Rückversicherungsunter- nehmen in Spartes nach den folgenden zwölf Monaten bezogen auf die bestehenden Verträge verdienen wird;
  4. FP(future,s) bezeichnet den erwarteten Barwert der Prämien, die das Versicherungs- oder Rückversicherungsunternehmen in Spartes bezogen auf Verträge verdienen wird, bei denen der Ersterfassungszeitpunkt in den folgenden zwölf Monaten liegt, jedoch ausgenommen der Prämien, die in den zwölf Monaten nach dem Ersterfassungszeitpunkt verdient werden.

4. Für alle Sparten gemäß Anhang XIV dürfen Versicherungs- und Rückversicherungsunternehmen alternativ zur Berechnung nach Absatz 3 das Volumenmaß für das Prämienrisiko einer bestimmten Sparte s nach folgender Formel berechnen:

V(prem,s) =Ps +FP(existing,s) +FP(future,s)

wenn sämtliche folgenden Bedingungen erfüllt sind:

  1. das Verwaltungs-, Management- oder Aufsichtsorgan des Versicherungs- oder Rückversicherungsunternehmens hat beschlossen, dass die verdienten Prämien in Sparte s in den folgenden zwölf Monaten nicht mehr alsPs betragen werden;
  2. das Versicherungs- oder Rückversicherungsunternehmen hat wirksame Kontrollmechanismen eingerichtet, um sicherzustellen, dass die Obergrenze der verdienten Prämien gemäß Buchstabe a eingehalten wird;
  3. das Versicherungs- oder Rückversicherungsunternehmen hat die zuständige Aufsichtsbehörde über den Beschluss unter Buchstabe a und die Gründe dafür unterrichtet.

Für die Zwecke dieses Absatzes erfolgt die Bezeichnung der TermePs,FP(existing,s) undFP(future,s) im Einklang mit Absatz 3 Buchstaben a, c und d.

5. Für die Zwecke der Berechnungen nach den Absätzen 3 und 4 handelt es sich bei den Prämien um Nettobeträge nach Abzug der Prämien für Rückversicherungsverträge. Die folgenden Prämien für Rückversicherungsverträge werden nicht abgezogen:

  1. Prämien in Bezug auf nichtversicherungstechnische Ereignisse oder beglichene Versicherungsforderungen, die nicht in den Zahlungsströmen nach Artikel 41 Absatz 3 berücksichtigt werden;
  2. Prämien für Rückversicherungsverträge, die nicht mit den Artikeln 209, 210, 211 und 213 im Einklang stehen.

6. Für alle Sparten gemäß Anhang XIV entspricht das Volumenmaß für das Rückstellungsrisiko einer bestimmten Sparte dem besten Schätzwert für die Rückstellungen für ausstehende Versicherungsfälle in dieser Sparte nach Abzug der einforderbaren Beträge aus Rückversicherungsverträgen und gegenüber Zweckgesellschaften, sofern diese Rückversicherungsverträge oder Zweckgesellschaften im Einklang mit den Artikeln 209, 210, 211 und 213 stehen. Das Volumenmaß darf kein negativer Betrag sein.

7. Für alle Sparten gemäß Anhang XIV entspricht der Standardfaktor für die geografische Diversifizierung 1 oder wird im Einklang mit Anhang III berechnet.

Artikel 148 Standardabweichung für das Prämien- und Rückstellungsrisiko der Krankenversicherung, die auf vergleichbarer versicherungstechnischer Basis betrieben wird wie die Schadenversicherung

1. Die Standardabweichung für das Prämien- und Rückstellungsrisiko der Krankenversicherung, die auf vergleichbarer versicherungstechnischer Basis betrieben wird wie die Schadenversicherung, errechnet sich wie folgt:

Dabei gilt:

  1. VNSLTh bezeichnet das Volumenmaß für das Prämien- und Rückstellungsrisiko der Krankenversicherung, die auf vergleichbarer versicherungstechnischer Basis betrieben wird wie die Schadenversicherung;
  2. die Summe umfasst alle möglichen Kombinationen (s,t) der Sparten gemäß Anhang XIV;
  3. CorrHS(s,t) bezeichnet den Korrelationskoeffizienten für das Prämien- und Rückstellungsrisiko der Krankenversicherung, die auf vergleichbarer versicherungstechnischer Basis betrieben wird wie die Schadenversicherung, in Bezug auf Spartes und Spartet gemäß Anhang XV;
  4. ss undst bezeichnen Standardabweichungen für das Prämien- und Rückstellungsrisiko der Krankenversicherung, die auf vergleichbarer versicherungstechnischer Basis betrieben wird wie die Schadenversicherung, in Bezug auf Spartes bzw. Spartet;
  5. Vs undVt bezeichnen Volumenmaße für das Prämien- und Rückstellungsrisiko in Bezug auf Spartes bzw. Spartet gemäß Anhang XIV.

2. Für alle Sparten gemäß Anhang XIV errechnet sich die Standardabweichung für das Prämien- und Rückstellungsrisiko der Krankenversicherung, die auf vergleichbarer versicherungstechnischer Basis betrieben wird wie die Schadenversicherung, in Bezug auf eine bestimmte Spartes wie folgt:

Dabei gilt:

  1. σ(prem,s) bezeichnet die im Einklang mit Absatz 3 ermittelte Standardabweichung für das Prämienrisiko der Krankenversicherung, die auf vergleichbarer versicherungstechnischer Basis betrieben wird wie die Schadenversicherung, in Bezug auf Spartes;
  2. σ(res,s) bezeichnet die Standardabweichung für das Rückstellungsrisiko der Krankenversicherung, die auf vergleichbarer versicherungstechnischer Basis betrieben wird wie die Schadenversicherung, in Bezug auf Sparte s gemäß Anhang XIV;
  3. V(prem,s) bezeichnet das Volumenmaß für das Prämienrisiko in Bezug auf Spartes gemäß Artikel 147;
  4. V(res,s) bezeichnet das Volumenmaß für das Rückstellungsrisiko in Bezug auf Spartes gemäß Artikel 147.

3. Für alle Sparten gemäß Anhang XIV entspricht die Standardabweichung für das Prämienrisiko der Krankenversicherung, die auf vergleichbarer versicherungstechnischer Basis betrieben wird wie die Schadenversicherung, in Bezug auf eine bestimmte Sparte dem Produkt aus der Standardabweichung für das Bruttoprämienrisiko der Krankenversicherung, die auf vergleichbarer versicherungstechnischer Basis betrieben wird wie die Schadenversicherung, in Bezug auf die Sparte nach Anhang XIV und dem Korrekturfaktor für nichtproportionale Rückversicherung. Für alle Sparten gemäß Anhang XIV entspricht der Korrekturfaktor für nichtproportionale Rückversicherung 100 %.

Artikel 149 Risikoausgleichssysteme in der Krankenversicherung16

1. Für die Zwecke des Artikels 109a Absatz 4 der Richtlinie 2009/138/EG werden Krankenversicherungsverpflichtungen, die von einem Risikoausgleichssystem in der Krankenversicherung (Health Risk Equalisation System - HRES) erfasst sind, getrennt von den anderen Geschäften der Versicherungsunternehmen identifiziert, verwaltet und organisiert, und zwar ohne die Möglichkeit einer Übertragung auf Krankenversicherungsverpflichtungen, die nicht unter dem HRES erfasst sind.

2. Die Standardabweichungen für das Prämien- und Rückstellungsrisiko der Krankenversicherung, die auf vergleichbarer versicherungstechnischer Basis betrieben wird wie die Schadenversicherung, in den Sparten 1, 2 und 3 des Anhangs XIV für Geschäftstätigkeit, die Gegenstand eines HRES ist, erfüllen sämtliche folgenden Bedingungen:

  1. die Standardabweichungen werden für jede der Sparten 1, 2 und 3 nach Anhang XIV sowie für das Prämien- und Rückstellungsrisiko gesondert festgelegt;
  2. für jede der Sparten nach Anhang XIV entspricht die Standardabweichung für das Prämienrisiko dem jeweils niedrigeren der folgenden Beträge:
    1. der Standardabweichung für das Prämienrisiko der Krankenversicherung, die auf vergleichbarer versicherungstechnischer Basis betrieben wird wie die Schadenversicherung, in Bezug auf die Sparte gemäß Anhang XIV;
    2. dem höheren der folgenden Beträge:
      1. ein Drittel der Standardabweichung für das Prämienrisiko der Krankenversicherung, die auf vergleichbarer versicherungstechnischer Basis betrieben wird wie die Schadenversicherung, in Bezug auf die Sparte gemäß Anhang XIV;
      2. eine Schätzung der repräsentativen Standardabweichung der kombinierten Quote eines Versicherungsunternehmens, die dem Verhältnis der folgenden jährlichen Beträge entspricht:
        • der Summe aus den Beträgen der Zahlungen, einschließlich zugehöriger Kosten, und der für die Versicherungsfälle während des Jahres gebildeten versicherungstechnischen Rückstellungen für die Geschäftstätigkeit, die Gegenstand des HRES ist, einschließlich etwaiger Veränderungen aufgrund des HRES;
        • der verdienten Prämien des Jahres für die Geschäftstätigkeit, die Gegenstand des HRES ist;
  3. für jede der Sparten nach Anhang XIV entspricht die Standardabweichung für das Rückstellungsrisiko dem jeweils niedrigeren der folgenden Beträge:
    1. der Standardabweichung für das Rückstellungsrisiko der Krankenversicherung, die auf vergleichbarer versicherungstechnischer Basis betrieben wird wie die Schadenversicherung, in Bezug auf die Sparte gemäß Anhang XIV;
    2. dem höheren der folgenden Beträge:
      1. ein Drittel der Standardabweichung für das Rückstellungsrisiko der Krankenversicherung, die auf vergleichbarer versicherungstechnischer Basis betrieben wird wie die Schadenversicherung, in Bezug auf die Sparte gemäß Anhang XIV;
      2. eine Schätzung der repräsentativen Standardabweichung der Abwicklungsquote eines Versicherungsunternehmens, die dem Verhältnis der folgenden jährlichen Beträge entspricht:
        • der Summe der Best-Estimate-Rückstellung zum Jahresende für zum Jahresbeginn ausstehende Versicherungsfälle und der im Laufe des Jahres für zum Jahresbeginn ausstehende Versicherungsfälle erfolgten Zahlungen und Kosten: beide Beträge enthalten etwaige Veränderungen aufgrund des HRES;
        • der Best-Estimate-Rückstellung zum Jahresbeginn für in Bezug auf die Geschäftstätigkeit, die Gegenstand des HRES ist, ausstehende Versicherungsfälle, einschließlich etwaiger Veränderungen aufgrund des HRES;
  4. die Ermittlung der Standardabweichung basiert auf angemessenen, anwendbaren und relevanten versicherungsmathematischen und statistischen Methoden;
  5. die Ermittlung der Standardabweichung basiert auf vollständigen, exakten und angemessenen Daten, die für die Geschäftstätigkeit, die Gegenstand des HRES ist, unmittelbar relevant sind und die Diversifikation auf Ebene des Versicherungsunternehmens widerspiegeln;
  6. die Ermittlung der Standardabweichung basiert auf aktuellen und glaubwürdigen Informationen und realistischen Annahmen;
  7. bei der Ermittlung der Standardabweichung werden auch Risiken berücksichtigt, die nicht durch das HRES gemindert werden, insbesondere das Risiko, auf das in Artikel 105 Absatz 4 Buchstabe a der Richtlinie 2009/138/EG Bezug genommen wird, sowie Risiken, die nicht im Untermodul Krankenversicherungskatastrophenrisiko erfasst sind und sich auf eine größere Anzahl von am HRES beteiligten Versicherungsunternehmen gleichzeitig auswirken könnten;
  8. die Methodik zur Berechnung der Standardabweichung und die Berechnung der Standardabweichung sind öffentlich zugänglich.

3. Wenn in dem nach Artikel 109a Absatz 4 der Richtlinie 2009/138/EG angenommenen Durchführungsrechtsakt eine Standardabweichung für das Prämienrisiko der Krankenversicherung, die auf vergleichbarer versicherungstechnischer Basis betrieben wird wie die Schadenversicherung, für Geschäftstätigkeit, die einem HRES unterliegt, nach Maßgabe der Anforderungen in Absatz 2 dieses Artikels festgelegt ist, verwenden Versicherungsunternehmen diese Standardabweichung anstelle der Standardabweichung für das Prämienrisiko der Krankenversicherung, die auf vergleichbarer versicherungstechnischer Basis betrieben wird wie die Schadenversicherung, in Bezug auf die Sparte nach Anhang XIV dieser Verordnung für die Berechnung der Standardabweichung für das Prämien- und Rückstellungsrisiko der Krankenversicherung, die auf vergleichbarer versicherungstechnischer Basis betrieben wird wie die Schadenversicherung, nach Artikel 148 Absatz 1 dieser Verordnung.

Wenn nur ein Teil der Geschäftstätigkeit in einer Spartes eines Versicherungsunternehmens Gegenstand des HRES ist, verwendet das Unternehmen eine Standardabweichung für das Prämienrisiko der Krankenversicherung, die auf vergleichbarer versicherungstechnischer Basis betrieben wird wie die Schadenversicherung, in Bezug auf die Sparte bei der Berechnung der Standardabweichung für das Prämien- und Rückstellungsrisiko der Krankenversicherung, die auf vergleichbarer versicherungstechnischer Basis betrieben wird wie die Schadenversicherung; nach Artikel 148 Absatz 1, die sich wie folgt errechnet:

Dabei gilt:

  1. σ(prem,s) bezeichnet die Standardabweichung für das Prämienrisiko der Krankenversicherung, die auf vergleichbarer versicherungstechnischer Basis betrieben wird wie die Schadenversicherung; in Bezug auf Spartes gemäß Anhang XIV;
  2. V(prem,s,nHRES) bezeichnet das Volumenmaß für das Prämienrisiko der Krankenversicherung, die auf vergleichbarer versicherungstechnischer Basis betrieben wird wie die Schadenversicherung, in Bezug auf die Geschäftstätigkeit in Spartes, die nicht Gegenstand des HRES ist;
  3. σ(prem,s,HRES) bezeichnet die im Einklang mit Absatz 2 berechnete Standardabweichung für das Prämienrisiko der Krankenversicherung, die auf vergleichbarer versicherungstechnischer Basis betrieben wird wie die Schadenversicherung, in Bezug auf Spartes für die Geschäftstätigkeit, die Gegenstand des HRES ist;
  4. V(prem,s,HRES) bezeichnet das Volumenmaß für das Prämienrisiko der Krankenversicherung, die auf vergleichbarer versicherungstechnischer Basis betrieben wird wie die Schadenversicherung, in Bezug auf die Geschäftstätigkeit in Spartes, die Gegenstand des HRES ist.

V(prem,s,HRES) undV(prem,s,nHRES) werden auf die gleiche Weise wie das Volumenmaß für das Prämienrisiko der Krankenversicherung, die auf vergleichbarer versicherungstechnischer Basis betrieben wird wie die Schadenversicherung, in Bezug auf Spartes nach Artikel 147 berechnet, wobei jedoch V(prem,s,HRES) nur diejenigen Versicherungs- und Rückversicherungsverpflichtungen berücksichtigt, die Gegenstand des HRES sind, und V(prem,s,nHRES nur diejenigen Versicherungs- und Rückversicherungsverpflichtungen berücksichtigt, die nicht Gegenstand des HRES sind.

4. Wenn in dem nach Artikel 109a Absatz 4 der Richtlinie 2009/138/EG angenommenen Durchführungsrechtsakt eine Standardabweichung für das Rückstellungsrisiko der Krankenversicherung, die auf vergleichbarer versicherungstechnischer Basis betrieben wird wie die Schadenversicherung, für Geschäftstätigkeit, die einem HRES unterliegt, nach Maßgabe der Anforderungen in Absatz 2 dieses Artikels festgelegt ist, verwenden Versicherungsunternehmen diese Standardabweichung anstelle der Standardabweichung für das Rückstellungsrisiko der Krankenversicherung, die auf vergleichbarer versicherungstechnischer Basis betrieben wird wie die Schadenversicherung, in Bezug auf die Sparte nach Anhang XIV dieser Verordnung für die Berechnung der Standardabweichung für das Prämien- und Rückstellungsrisiko der Krankenversicherung, die auf vergleichbarer versicherungstechnischer Basis betrieben wird wie die Schadenversicherung, nach Artikel 148 Absatz 1 dieser Verordnung.

Wenn nur ein Teil der Geschäftstätigkeit in einer Spartes eines Versicherungsunternehmens Gegenstand des HRES ist, verwendet das Unternehmen eine Standardabweichung für das Prämienrisiko der Krankenversicherung, die auf vergleichbarer versicherungstechnischer Basis betrieben wird wie die Schadenversicherung, in Bezug auf die Sparte bei der Berechnung der Standardabweichung für das Prämien- und Rückstellungsrisiko der Krankenversicherung, die auf vergleichbarer versicherungstechnischer Basis betrieben wird wie die Schadenversicherung, nach Artikel 148 Absatz 1, die sich wie folgt errechnet:

Dabei gilt:

  1. σ(res,s) bezeichnet die Standardabweichung für das Rückstellungsrisiko der Krankenversicherung, die auf vergleichbarer versicherungstechnischer Basis betrieben wird wie die Schadenversicherung, in Bezug auf Sparte s gemäß Anhang XIV;
  2. V(res,s,nHRES) bezeichnet das Volumenmaß für das Rückstellungsrisiko der Krankenversicherung, die auf vergleichbarer versicherungstechnischer Basis betrieben wird wie die Schadenversicherung, in Bezug auf die Geschäftstätigkeit in Spartes, die nicht Gegenstand des HRES ist;
  3. σ(res,s,HRES) bezeichnet die im Einklang mit Absatz 2 berechnete Standardabweichung für das Rückstellungsrisiko der Krankenversicherung, die auf vergleichbarer versicherungstechnischer Basis betrieben wird wie die Schadenversicherung, in Bezug auf Spartes für die Geschäftstätigkeit, die Gegenstand des HRES ist;
  4. V(res,s,HRES) bezeichnet das Volumenmaß für das Rückstellungsrisiko der Krankenversicherung, die auf vergleichbarer versicherungstechnischer Basis betrieben wird wie die Schadenversicherung, in Bezug auf die Geschäftstätigkeit in Spartes, die Gegenstand des HRES ist.

V(res,s,nHRES) undV(res,s,HRES) werden auf die gleiche Weise wie das Volumenmaß für das Rückstellungsrisiko der Krankenversicherung, die auf vergleichbarer versicherungstechnischer Basis betrieben wird wie die Schadenversicherung, in Bezug auf Sparte s nach Artikel 147 berechnet, wobei jedochV(res,s,HRES) nur diejenigen Versicherungs- und Rückversicherungsverpflichtungen berücksichtigt, die Gegenstand des HRES sind, und,V(res,s,nHRES) nur diejenigen Versicherungs- und Rückversicherungsverpflichtungen berücksichtigt, die nicht Gegenstand des HRES sind.

5. Die Versicherungs- und Rückversicherungsunternehmen dürfen die Standardabweichungen für das Prämien- und Rückstellungsrisiko der Krankenversicherung, die auf vergleichbarer versicherungstechnischer Basis betrieben wird wie die Schadenversicherung, für Geschäftstätigkeit, die Gegenstand eines HRES ist, im Einklang mit Artikel 104 Absatz 7 der Richtlinie 2009/138/EG durch Parameter ersetzen, die für das Versicherungs- und Rückversicherungsunternehmen spezifisch sind. Die Aufsichtsbehörden können Versicherungs- und Rückversicherungsunternehmen auffordern, die Standardabweichungen im Einklang mit Artikel 110 der Richtlinie 2009/138/EG durch Parameter zu ersetzen, die für das Unternehmen spezifisch sind.

Artikel 150 Untermodul Stornorisiko der Krankenversicherung, die auf vergleichbarer versicherungstechnischer Basis betrieben wird wie die Schadenversicherung

1. Die Kapitalanforderung für das Stornorisiko der Krankenversicherung, die auf vergleichbarer versicherungstechnischer Basis betrieben wird wie die Schadenversicherung, nach Artikel 145 Absatz 1 Buchstabe b entspricht dem Verlust an Basiseigenmitteln der Versicherungs- oder Rückversicherungsunternehmen, der sich aus einer Kombination der folgenden unmittelbaren Ereignisse ergäbe:

  1. Beendigung von 40 % der Versicherungsverträge, deren Beendigung zu einem Anstieg der versicherungstechnischen Rückstellungen ohne die Risikomarge führen würde;
  2. wenn Rückversicherungsverträge künftig abzuschließende Versicherungs- oder Rückversicherungsverträge decken, ein Rückgang der Anzahl jener künftigen Versicherungs- oder Rückversicherungsverträge, die bei der Berechnung der versicherungstechnischen Rückstellungen zugrunde gelegt wird, um 40 %.

2. Die Ereignisse nach Absatz 1 gelten einheitlich für alle betroffenen Versicherungs- und Rückversicherungsverträge. In Bezug auf Rückversicherungsverträge wird das Ereignis nach Absatz 1 Buchstabe a auf die zugrundeliegenden Versicherungsverträge angewendet.

3. Für die Zwecke der Ermittlung des Verlusts an Basiseigenmitteln des Versicherungs- oder Rückversicherungsunternehmens bei dem Ereignis gemäß Absatz 1 Buchstabe a stützt das Unternehmen die Berechnung auf die Art von Beendigung, die auf Ebene des einzelnen Vertrags die größte negative Auswirkung auf die Basiseigenmittel des Unternehmens hat.

Artikel 151 Untermodul versicherungstechnisches Risiko der Krankenversicherung, die auf vergleichbarer versicherungstechnischer Basis betrieben wird wie die Lebensversicherung

1. Das Untermodul versicherungstechnisches Risiko der Krankenversicherung, die auf vergleichbarer versicherungstechnischer Basis betrieben wird wie die Lebensversicherung, umfasst sämtliche folgenden Untermodule:

  1. Untermodul Sterblichkeitsrisiko der Krankenversicherung;
  2. Untermodul Langlebigkeitsrisiko der Krankenversicherung;
  3. Untermodul Invaliditäts-/Morbiditätsrisiko der Krankenversicherung;
  4. Untermodul Kostenrisiko der Krankenversicherung;
  5. Untermodul Revisionsrisiko der Krankenversicherung;
  6. Untermodul Stornorisiko der Krankenversicherung, die auf vergleichbarer versicherungstechnischer Basis betrieben wird wie die Lebensversicherung.

2. Die Kapitalanforderung für das versicherungstechnische Risiko der Krankenversicherung, die auf vergleichbarer versicherungstechnischer Basis betrieben wird wie die Lebensversicherung, errechnet sich wie folgt:

Dabei gilt:

  1. die Summe umfasst alle möglichen Kombinationen (i,j) der in Absatz 1 aufgeführten Untermodule;
  2. CorrSLTH(i,j) bezeichnet den Korrelationsparameter für das versicherungstechnische Risiko der Krankenversicherung, die auf vergleichbarer versicherungstechnischer Basis betrieben wird wie die Lebensversicherung für die Untermodulei undj;
  3. SCRi undSCRj bezeichnen die Kapitalanforderungen für das Risikountermoduli bzw. für das Risikountermodulj.

3. Der KorrelationskoeffizientCorrSLTH(i,j) nach Absatz 2 entspricht dem in Spaltei und Zeilej der nachstehenden Korrelationsmatrix angegebenen Wert:

Sterblich- keitsrisiko
- Krankenver-
sicherung
Langlebig-
keitsrisiko
-Krankenver-
sicherung
Invaliditäts-/
Morbiditäts-
risiko -
Krankenver-
sicherung
Kostenrisiko
Kranken-
versicherung
Revisionsrisiko-
Krankenversicherung
Stornorisiko-
Krankenversicherung,
die auf vergleichbarer
versicherungstechnischer
Basis betrieben wird
wie die Lebensver-
sicherung
Sterblichkeitsrisko - Krankenversicherung 1 - 0,25 0,25 0,25 0 0
Langlebigkeitsrisiko - Krankenversicherung - 0,25 1 0 0,25 0,25 0,25
Invaliditäts-/Morbiditätsrisiko - Krankenversicherung 0,25 0 1 0,5 0 0
Kostenrisiko - Krankenversicherung 0,25 0,25 0,5 1 0,5 0,5
Revisionsrisiko - Krankenversicherung 0 0,25 0 0,5 1 0
Stornorisiko -Krankenversicherung, die auf
vergleichbarerversicherungstechnischer Basis
betrieben wird wie die Lebensversicherung
0 0,25 0 0,5 0 1

Artikel 152 Untermodul Sterblichkeitsrisiko der Krankenversicherung

1. Die Kapitalanforderung für das Sterblichkeitsrisiko der Krankenversicherung entspricht dem Verlust an Basiseigenmitteln der Versicherungs- oder Rückversicherungsunternehmen, der sich aus einem unmittelbaren dauerhaften Anstieg der für die Berechnung der versicherungstechnischen Rückstellungen verwendeten Sterblichkeitsraten um 15 % ergäbe.

2. Der Anstieg der Sterblichkeitsraten gemäß Absatz 1 gilt nur für diejenigen Versicherungsverträge, bei denen ein Anstieg der Sterblichkeitsraten zu einem Anstieg der versicherungstechnischen Rückstellungen ohne die Risikomarge führt. Bei der Identifizierung von Versicherungsverträgen, bei denen ein Anstieg der Sterblichkeitsraten zu einem Anstieg der versicherungstechnischen Rückstellungen ohne die Risikomarge führt, können folgende Annahmen herangezogen werden:

  1. mehrere Versicherungsverträge in Bezug auf denselben Versicherten können wie ein einziger Versicherungsvertrag behandelt werden;
  2. wenn die Berechnung der versicherungstechnischen Rückstellungen auf Gruppen von Versicherungsverträgen nach Artikel 35 basiert, kann die Identifizierung derjenigen Verträge, bei denen ein Anstieg der Sterblichkeitsraten zu einem Anstieg der versicherungstechnischen Rückstellungen führt, auch auf Vertragsgruppen anstatt auf einzelnen Verträgen basieren, sofern dies annähernd zum gleichen Ergebnis führt.

3. Im Hinblick auf Rückversicherungsverpflichtungen gilt die Identifizierung der Verträge, bei denen ein Anstieg der Sterblichkeitsraten zu einem Anstieg der versicherungstechnischen Rückstellungen führt, nur für die zugrundeliegenden Versicherungsverträge und ist gemäß Absatz 2 durchzuführen.

Artikel 153 Untermodul Langlebigkeitsrisiko der Krankenversicherung

1. Die Kapitalanforderung für das Langlebigkeitsrisiko der Krankenversicherung entspricht dem Verlust an Basiseigenmitteln der Versicherungs- oder Rückversicherungsunternehmen, der sich aus einem unmittelbaren dauerhaften Rückgang der für die Berechnung der versicherungstechnischen Rückstellungen verwendeten Sterblichkeitsraten um 20 % ergäbe.

2. Der Rückgang der Sterblichkeitsraten gemäß Absatz 1 gilt nur für diejenigen Versicherungsverträge, bei denen ein Rückgang der Sterblichkeitsraten zu einem Anstieg der versicherungstechnischen Rückstellungen ohne die Risikomarge führt. Bei der Identifizierung von Versicherungsverträgen, bei denen ein Rückgang der Sterblichkeitsraten zu einem Anstieg der versicherungstechnischen Rückstellungen ohne die Risikomarge führt, können folgende Annahmen herangezogen werden:

  1. mehrere Versicherungsverträge in Bezug auf denselben Versicherten können wie ein einziger Versicherungsvertrag behandelt werden;
  2. wenn die Berechnung der versicherungstechnischen Rückstellungen auf Gruppen von Versicherungsverträgen nach Artikel 35 basiert, kann die Identifizierung derjenigen Verträge, bei denen ein Rückgang der Sterblichkeitsraten zu einem Anstieg der versicherungstechnischen Rückstellungen führt, auch auf Vertragsgruppen anstatt auf einzelnen Verträgen basieren, sofern dies annähernd zum gleichen Ergebnis führt.

3. Im Hinblick auf Rückversicherungsverpflichtungen gilt die Identifizierung der Verträge, bei denen ein Rückgang der Sterblichkeitsraten zu einem Anstieg der versicherungstechnischen Rückstellungen führt, nur für die zugrundeliegenden Versicherungsverträge und ist gemäß Absatz 2 durchzuführen.

Artikel 154 Untermodul Invaliditäts-/Morbiditätsrisiko der Krankenversicherung

1. Die Kapitalanforderung für das Invaliditäts-/Morbiditätsrisiko der Krankenversicherung entspricht der Summe folgender Kapitalanforderungen:

  1. Kapitalanforderung für das Invaliditäts-/Morbiditätsrisiko der Krankenkostenversicherung;
  2. der Kapitalanforderung für das Invaliditäts-/Morbiditätsrisiko der Einkommensersatzversicherung.

2. Versicherungs- und Rückversicherungsunternehmen wenden die Szenarien wie folgt an:

  1. die der Berechnung der Kapitalanforderung für das Invaliditäts-/Morbiditätsrisiko der Krankenkostenversicherung zugrundeliegenden Szenarien nur auf Krankenkostenversicherungs- und -rückversicherungsverpflichtungen, wenn das zugrundeliegende Geschäft auf einer der Lebensversicherung vergleichbaren technischen Basis betrieben wird;
  2. die der Berechnung der Kapitalanforderung für das Invaliditäts-/Morbiditätsrisiko der Einkommensersatzversicherung zugrundeliegenden Szenarien nur auf Einkommensersatzversicherungs- und -rückversicherungsverpflichtungen, wenn das zugrundeliegende Geschäft auf einer der Lebensversicherung vergleichbaren technischen Basis betrieben wird.

Artikel 155 Kapitalanforderung für das Invaliditäts-/Morbiditätsrisiko der Krankenkostenversicherung

1. Die Kapitalanforderung für das Invaliditäts-/Morbiditätsrisiko der Krankenkostenversicherung entspricht der höheren der folgenden Kapitalanforderungen:

  1. Kapitalanforderung für den Anstieg der Zahlungen für Krankenbehandlungen;
  2. Kapitalanforderung für den Rückgang der Zahlungen für Krankenbehandlungen.

2. Die Kapitalanforderung für den Anstieg der Zahlungen für Krankenbehandlungen entspricht dem Verlust an Basiseigenmitteln der Versicherungs- oder Rückversicherungsunternehmen, der sich aus der folgenden Kombination aus unmittelbaren dauerhaften Veränderungen ergäbe:

  1. Anstieg der bei der Berechnung der versicherungstechnischen Rückstellungen zugrunde gelegten Zahlungen für Krankenbehandlungen um 5 %;
  2. Anstieg der bei der Berechnung der versicherungstechnischen Rückstellungen zugrunde gelegten Inflationsrate für Zahlungen für Krankenbehandlungen (ausgedrückt als Prozentsatz) um einen Prozentpunkt.

3. Die Kapitalanforderung für den Rückgang der Zahlungen für Krankenbehandlungen entspricht dem Verlust an Basiseigenmitteln der Versicherungs- oder Rückversicherungsunternehmen, der sich aus der folgenden Kombination aus unmittelbaren dauerhaften Veränderungen ergäbe:

  1. Rückgang der bei der Berechnung der versicherungstechnischen Rückstellungen zugrunde gelegten Zahlungen für Krankenbehandlungen um 5 %;
  2. Rückgang der bei der Berechnung der versicherungstechnischen Rückstellungen zugrunde gelegten Inflationsrate für Zahlungen für Krankenbehandlungen (ausgedrückt als Prozentsatz) um einen Prozentpunkt.

Artikel 156 Kapitalanforderung für das Invaliditäts-/Morbiditätsrisiko der Einkommensersatzversicherung

Die Kapitalanforderung für das Invaliditäts-/Morbiditätsrisiko der Einkommensersatzversicherung entspricht dem Verlust an Basiseigenmitteln der Versicherungs- oder Rückversicherungsunternehmen, der sich aus der folgenden Kombination aus unmittelbaren dauerhaften Veränderungen ergäbe:

  1. Anstieg der bei der Berechnung der versicherungstechnischen Rückstellungen zugrunde gelegten Invaliditäts- und Morbiditätsraten um 35 %, die verwendet werden, um die Invaliditäts-/Morbiditätshäufigkeit in den folgenden zwölf Monaten widerzuspiegeln;
  2. Anstieg der bei der Berechnung der versicherungstechnischen Rückstellungen zugrunde gelegten Invaliditäts- und Morbiditätsraten um 25 %, die verwendet werden, um die Invaliditäts-/Morbiditätshäufigkeit in den Jahren nach den folgenden zwölf Monaten widerzuspiegeln;
  3. Rückgang der Invaliditäts-/Morbiditäts-Reaktivierungsraten um 20 %, wenn die bei der Berechnung der versicherungstechnischen Rückstellungen zugrunde gelegten Reaktivierungsraten niedriger als 50 % sind;
  4. Anstieg der Invaliditäts-/Morbiditätsverbleiberaten um 20 %, wenn die bei der Berechnung der versicherungstechnischen Rückstellungen zugrunde gelegten Verbleiberaten gleich oder niedriger als 50 % sind.

Artikel 157 Untermodul Kostenrisiko der Krankenversicherung

Die Kapitalanforderung für das Kostenrisiko der Krankenversicherung entspricht dem Verlust an Basiseigenmitteln der Versicherungs- oder Rückversicherungsunternehmen, der sich aus der folgenden Kombination aus unmittelbaren dauerhaften Veränderungen ergäbe:

  1. Anstieg der bei der Berechnung der versicherungstechnischen Rückstellungen berücksichtigten Kosten um 10 %;
  2. Anstieg der bei der Berechnung der versicherungstechnischen Rückstellungen zugrunde gelegten Kosteninflationsrate (ausgedrückt als Prozentsatz) um einen Prozentpunkt.

Im Hinblick auf Rückversicherungsverpflichtungen wenden Versicherungs- und Rückversicherungsunternehmen diese Veränderungen auf ihre eigenen Kosten und, falls relevant, auch auf die Kosten der Zedenten an.

Artikel 158 Untermodul Revisionsrisiko der Krankenversicherung

Die Kapitalanforderung für das Revisionsrisiko der Krankenversicherung entspricht dem Verlust an Basiseigenmitteln der Versicherungs- oder Rückversicherungsunternehmen, der sich aus einem unmittelbaren dauerhaften Anstieg des Betrags der Rentenleistungen um 4 % bei lediglich denjenigen Rentenversicherungs- und -rückversicherungsverpflichtungen ergäbe, bei denen die nach den zugrundeliegenden Versicherungsverträgen zu zahlenden Leistungen infolge von Änderungen bezüglich der Inflationsrate, des Rechtsumfelds oder der gesundheitlichen Verfassung des Versicherten ansteigen könnten.

Artikel 159 Untermodul Stornorisiko der Krankenversicherung, die auf vergleichbarer versicherungstechnischer Basis betrieben wird wie die Lebensversicherung

1. Die Kapitalanforderung für das Stornorisiko der Krankenversicherung, die auf vergleichbarer versicherungstechnischer Basis betrieben wird wie die Lebensversicherung nach Artikel 151 Absatz 1 Buchstabe f entspricht der höchsten der folgenden Kapitalanforderungen:

  1. Kapitalanforderung für das Risiko eines dauerhaften Anstiegs der Stornoquoten bei Krankenversicherungen, die auf vergleichbarer versicherungstechnischer Basis betrieben werden wie die Lebensversicherung;
  2. Kapitalanforderung für das Risiko eines dauerhaften Rückgangs der Stornoquoten bei Krankenversicherungen, die auf vergleichbarer versicherungstechnischer Basis betrieben werden wie die Lebensversicherung;
  3. Kapitalanforderung für das Risiko eines Massenstornos bei Krankenversicherungen, die auf vergleichbarer versicherungstechnischer Basis betrieben werden wie die Lebensversicherung.

2. Die Kapitalanforderung für das Risiko eines dauerhaften Anstiegs der Stornoquoten bei Krankenversicherungen, die auf vergleichbarer versicherungstechnischer Basis betrieben werden wie die Lebensversicherung, entspricht dem Verlust an Basiseigenmitteln der Versicherungs- oder Rückversicherungsunternehmen, der sich aus einem unmittelbaren dauerhaften Anstieg der Optionsausübungsquoten der in den Absätzen 4 und 5 genannten relevanten Optionen um 50 % ergäbe. Die erhöhten Optionsausübungsquoten dürfen jedoch nicht mehr als 100 % betragen, und der Anstieg der Optionsausübungsquoten gilt nur für jene relevanten Optionen, bei denen die Ausübung der Option zu einem Anstieg der versicherungstechnischen Rückstellungen ohne die Risikomarge führen würde.

3. Die Kapitalanforderung für das Risiko eines dauerhaften Rückgangs der Stornoquoten bei Krankenversicherungen, die auf vergleichbarer versicherungstechnischer Basis betrieben werden wie die Lebensversicherung, entspricht dem Verlust an Basiseigenmitteln der Versicherungs- oder Rückversicherungsunternehmen, der sich aus einem unmittelbaren dauerhaften Rückgang der Optionsausübungsquoten der in den Absätzen 4 und 5 genannten relevanten Optionen um 50 % ergäbe. Der Rückgang der Optionsausübungsquoten darf jedoch nicht mehr als 20 Prozentpunkte betragen und gilt nur für jene relevanten Optionen, bei denen die Ausübung der Option zu einem Rückgang der versicherungstechnischen Rückstellungen ohne die Risikomarge führen würde.

4. Bei den für die Zwecke der Absätze 2 und 3 relevanten Optionen handelt es sich um

  1. alle gesetzlichen oder vertraglichen Rechte der Versicherungsnehmer, Versicherungs- oder Rückversicherungsschutz ganz oder teilweise zu beenden, zurückzukaufen, herabzusetzen, einzuschränken oder ruhen zu lassen oder den Versicherungsvertrag zu stornieren;
  2. alle gesetzlichen oder vertraglichen Rechte der Versicherungsnehmer, Versicherungs- oder Rückversicherungsschutz ganz oder teilweise zu begründen, zu verlängern, zu erhöhen, zu erweitern oder wiederaufzunehmen.

Für die Zwecke des Buchstaben b findet die in den Absätzen 2 und 3 genannte Veränderung der Optionsausübungsquote auf diejenige Quote Anwendung, die widerspiegelt, dass die relevante Option nicht ausgeübt wird.

5. In Bezug auf Rückversicherungsverträge umfassen die relevanten Optionen für die Zwecke der Absätze 2 und 3:

  1. die in Absatz 4 aufgeführten Rechte der Versicherungsnehmer der Rückversicherungsverträge;
  2. die in Absatz 4 aufgeführten Rechte der Versicherungsnehmer der den Rückversicherungsverträgen zugrundeliegenden Versicherungsverträge;
  3. wenn die Rückversicherungsverträge künftig abzuschließende Versicherungs- oder Rückversicherungsverträge decken, das Recht der potenziellen Versicherungsnehmer, diese Versicherungs- oder Rückversicherungsverträge nicht abzuschließen.

6. Die Kapitalanforderung für das Risiko eines Massenstornos bei Krankenversicherungen, die auf vergleichbarer versicherungstechnischer Basis betrieben werden wie die Lebensversicherung, entspricht dem Verlust von Basiseigenmitteln an Versicherungs- oder Rückversicherungsunternehmen, der sich aus einer Kombination der folgenden unmittelbaren Ereignisse ergäbe:

  1. Beendigung von 40 % der Versicherungsverträge, deren Beendigung zu einem Anstieg der versicherungstechnischen Rückstellungen ohne die Risikomarge führen würde;
  2. wenn Rückversicherungsverträge künftig abzuschließende Versicherungs- oder Rückversicherungsverträge decken, ein Rückgang der Anzahl jener künftigen Versicherungs- oder Rückversicherungsverträge, die bei der Berechnung der versicherungstechnischen Rückstellungen zugrunde gelegt wird, um 40 %.

Die Ereignisse nach Unterabsatz 1 gelten einheitlich für alle betroffenen Versicherungs- und Rückversicherungsverträge. In Bezug auf Rückversicherungsverträge wird das Ereignis nach Buchstabe a auf die zugrundeliegenden Versicherungsverträge angewendet.

Für die Zwecke der Ermittlung des Verlusts an Basiseigenmitteln des Versicherungs- oder Rückversicherungsunternehmens bei dem Ereignis gemäß Buchstabe a stützt das Unternehmen die Berechnung auf die Art von Beendigung, die auf Ebene des einzelnen Vertrags die größte negative Auswirkung auf die Basiseigenmittel des Unternehmens hat.

7. Basieren die höchste der Kapitalanforderungen nach Absatz 1 Buchstaben a, b und c und die höchste der entsprechenden Kapitalanforderungen, die im Einklang mit Artikel 206 Absatz 2 berechnet wird, nicht auf demselben Szenario, ist die Kapitalanforderung für das Stornorisiko nach Artikel 105 Absatz 3 Buchstabe f der Richtlinie 2009/138/EG die Kapitalanforderung nach Absatz 1 Buchstaben a, b oder c, bei der das zugrundeliegende Szenario die höchste entsprechende im Einklang mit Artikel 206 Absatz 2 dieser Verordnung berechnete Kapitalanforderung ergibt.

Artikel 160 Untermodul Krankenversicherungskatastrophenrisiko

1. Die Kapitalanforderung für das Untermodul Krankenversicherungskatastrophenrisiko errechnet sich wie folgt:

Dabei gilt:

  1. SCRma bezeichnet die Kapitalanforderung für das Untermodul Massenunfallrisiko;
  2. SCRac bezeichnet die Kapitalanforderung für das Untermodul Unfallkonzentrationsrisiko;
  3. SCRp bezeichnet die Kapitalanforderung für das Untermodul Pandemierisiko.

2. Versicherungs- und Rückversicherungsunternehmen wenden die Untermodule wie folgt an:

  1. das Untermodul Massenunfallrisiko auf Krankenversicherungs- und -rückversicherungsverpflichtungen, ausgenommen Versicherungs- und Rückversicherungsverpflichtungen aus der Arbeitsunfallversicherung;
  2. das Untermodul Unfallrisikokonzentration auf Arbeitsunfallversicherungs- und -rückversicherungsverpflichtungen und Versicherungs- und Rückversicherungsverpflichtungen aus der Gruppen-Einkommensersatzversicherung;
  3. das Untermodul Pandemierisiko auf Krankenversicherungs- und -rückversicherungsverpflichtungen, ausgenommen Versicherungs- und Rückversicherungsverpflichtungen aus der Arbeitsunfallversicherung.

Artikel 161 Untermodul Massenunfallrisiko16

1. Die Kapitalanforderung für das Untermodul Massenunfallrisiko errechnet sich wie folgt:

Dabei gilt:

  1. die Summe umfasst alle in Anhang XVI aufgeführten Länder;
  2. SCR(ma,s) bezeichnet die Kapitalanforderung für das Massenunfallrisiko des Landess.

2. Für alle in Anhang XVI aufgeführten Länder entspricht die Kapitalanforderung für das Massenunfallrisiko eines bestimmten Landess dem Verlust an Basiseigenmitteln der Versicherungs- und Rückversicherungsunternehmen, der sich aus einem plötzlichen Schaden in einer Höhe ergäbe, der sich ohne Abzug der einforderbaren Beträge aus Rückversicherungsverträgen und gegenüber Zweckgesellschaften wie folgt errechnet:

Dabei gilt:

  1. rs bezeichnet den Anteil der Personen, die von dem Massenunfall in Lands nach Anhang XVI betroffen sind;
  2. die Summe umfasst die in Anhang XVI aufgeführten Ereignisartene;
  3. xe bezeichnet den Anteil der Personen, die bei Eintritt von Ereignisarte infolge eines Unfalls gemäß Anhang XVI Leistungen erhalten;
  4. E(e,s) bezeichnet den Gesamtwert der von Versicherungs- und Rückversicherungsunternehmen bei Eintritt von Ereignisarte in Lands zu zahlenden Leistungen.

3. Für alle Ereignisartene gemäß Anhang XVI und alle in Anhang XVI aufgeführten Länder errechnet sich die Versicherungssumme eines Versicherungs- oder Rückversicherungsunternehmens für eine bestimmte Ereignisarte in einem bestimmten Lands wie folgt:

Dabei gilt:

  1. die Summe umfasst alle Versicherteni des Versicherungs- oder Rückversicherungsunternehmens, die gegen Ereignisarte versichert und Einwohner des Landess sind;
  2. SI(e,i) bezeichnet den Wert der Leistungen, die das Versicherungs- oder Rückversicherungsunternehmen bei Eintritt von Ereignisarte an den Versicherteni zu zahlen hat.

Der Wert der Leistungen entspricht der Versicherungssumme oder, wenn der Versicherungsvertrag wiederkehrende Leistungszahlungen vorsieht, dem besten Schätzwert der Leistungszahlungen bei Eintritt von Ereignisarte. Wenn die Leistungen eines Versicherungsvertrags von der Art oder dem Ausmaß einer Verletzung infolge von Ereignise abhängen, basiert die Berechnung des Werts der Leistungen auf dem Höchstbetrag der Leistungen, die gemäß dem Vertrag für das Ereignis bezogen werden können. Bei Krankenkostenversicherungs- und -rückversicherungsverpflichtungen basiert der Wert der Leistungen auf einer Schätzung der durchschnittlich gezahlten Beträge bei Eintritt von Ereignise unter der Annahme, dass der Versicherte für die spezifizierte Duration invalide ist, und unter Berücksichtigung der spezifischen in den Verpflichtungen enthaltenen Garantien.

4. Sind die Bedingungen des Artikels 88 erfüllt, so dürfen Versicherungs- oder Rückversicherungsunternehmen bei der Berechnung des Werts der einem Versicherten zu zahlenden Leistungen nach Absatz 3 homogene Risikogruppen zugrunde legen, sofern die Gruppierung der Verträge im Einklang mit Artikel 35 steht.

Artikel 162 Untermodul Unfallkonzentrationsrisiko

1. Die Kapitalanforderung für das Untermodul Unfallkonzentrationsrisiko errechnet sich wie folgt:

Dabei gilt:

  1. die Summe umfasst alle Länderc;
  2. SCR(ac,c) bezeichnet die Kapitalanforderung für das Unfallkonzentrationsrisiko eines Landesc.

2. Für alle Länder entspricht die Kapitalanforderung für das Unfallkonzentrationsrisiko eines Landesc dem Verlust an Basiseigenmitteln der Versicherungs- oder Rückversicherungsunternehmen, der sich aus einem plötzlichen Schaden in einer Höhe ergäbe, der sich ohne Abzug der einforderbaren Beträge aus Rückversicherungsverträgen und gegenüber Zweckgesellschaften wie folgt errechnet:

Dabei gilt:

  1. Cc bezeichnet die größte Unfallrisikokonzentration von Versicherungs- und Rückversicherungsunternehmen in Landc;
  2. die Summe umfasst die in Anhang XVI aufgeführten Ereignisartene;
  3. xe bezeichnet den Anteil der Personen, die bei Eintritt von Ereignisart e infolge des Unfalls gemäß Anhang XVI Leistungen erhalten;
  4. CE(e,c) bezeichnet den Durchschnittswert der von Versicherungs- und Rückversicherungsunternehmen bei Eintritt von Ereignisarte für die größte Unfallrisikokonzentration in Landc zu zahlenden Leistungen.

3. Für alle Länder entspricht die größte Unfallrisikokonzentration eines Versicherungs- oder Rückversicherungsunternehmens in einem Landc der größten Anzahl von Personen, auf die die folgenden Bedingungen zutreffen:

  1. das Versicherungs- oder Rückversicherungsunternehmen hat eine Arbeitsunfallversicherungs- oder -rückversicherungsverpflichtung oder eine Gruppen-Einkommensersatzversicherungs- oder -rückversicherungsverpflichtung in Bezug auf jede dieser Personen;
  2. die Verpflichtungen gegenüber jeder dieser Personen decken mindestens eines der in Anhang XVI aufgeführten Ereignisse ab;
  3. die Personen arbeiten im selben Gebäude, das in Landc liegt.

4. Für alle Ereignisarten und Länder errechnet sich die durchschnittliche Versicherungssumme eines Versicherungs- oder Rückversicherungsunternehmens für Ereignisarte in Bezug auf die größte Unfallrisikokonzentration in Landc wie folgt:

Dabei gilt:

  1. Ne bezeichnet die Anzahl der Versicherten des Versicherungs- oder Rückversicherungsunternehmens, die gegen Ereignisarte versichert sind und zur größten Unfallrisikokonzentration des Versicherungs- oder Rückversicherungsunternehmens in Landc gehören;
  2. die Summe umfasst alle Versicherten nach Buchstabe a;
  3. SI(e,i) bezeichnet den Wert der Leistungen, die das Versicherungs- oder Rückversicherungsunternehmen bei Eintritt von Ereignisarte an den Versicherteni zu zahlen hat.

Der Wert der Leistungen nach Buchstabe c entspricht der Versicherungssumme oder, wenn der Vertrag wiederkehrende Leistungszahlungen vorsieht, dem besten Schätzwert der Leistungszahlungen bei Eintritt von Ereignisarte. Wenn die Leistungen eines Versicherungsvertrags von der Art oder dem Ausmaß einer Verletzung infolge von Ereignise abhängen, basiert die Berechnung des Werts der Leistungen auf dem Höchstbetrag der Leistungen, die gemäß dem Vertrag für das Ereignis bezogen werden können. Bei Krankenkostenversicherungs- und -rückversicherungsverpflichtungen basiert der Wert der Leistungen auf einer Schätzung der durchschnittlich gezahlten Beträge bei Eintritt von Ereignise unter der Annahme, dass der Versicherte für die spezifizierte Duration invalide ist, und unter Berücksichtigung der spezifischen in den Verpflichtungen enthaltenen Garantien.

5. Sind die Bedingungen des Artikels 88 erfüllt, so dürfen Versicherungs- oder Rückversicherungsunternehmen bei der Berechnung des Werts der einem Versicherten von dem Versicherungs- oder Rückversicherungsunternehmen zu zahlenden Leistungen nach Absatz 4 homogene Risikogruppen zugrunde legen, sofern die Gruppierung der Verträge im Einklang mit den Anforderungen des Artikels 35 steht.

Artikel 163 Untermodul Pandemierisiko

1. Die Kapitalanforderung für das Untermodul Pandemierisiko entspricht dem Verlust an Basiseigenmitteln der Versicherungs- oder Rückversicherungsunternehmen, der sich aus einem plötzlichen Schaden in einer Höhe ergäbe, der sich ohne Abzug der einforderbaren Beträge aus Rückversicherungsverträgen und gegenüber Zweckgesellschaften wie folgt errechnet:

Dabei gilt:

  1. E bezeichnet das pandemiebedingte Einkommensersatzrisiko von Versicherungs- und Rückversicherungsunternehmen;
  2. die Summe umfasst alle Länderc;
  3. Nc bezeichnet die Anzahl der Versicherten von Versicherungs- und Rückversicherungsunternehmen, auf die alles Folgende zutrifft:
    1. die Versicherten sind Einwohner des Landesc;
    2. die Versicherten sind durch Krankenkostenversicherungs- oder -rückversicherungsverpflichtungen gedeckt, ausgenommen Arbeitsunfallversicherungs- oder -rückversicherungsverpflichtungen, die Krankenkosten infolge einer Infektionskrankheit abdecken;
  4. Mc bezeichnet den erwarteten durchschnittlichen Betrag, der von Versicherungs- oder Rückversicherungsunternehmen für einen Versicherten in Landc im Falle einer Pandemie zu zahlen ist.

2. Das pandemiebedingte Einkommensersatzrisiko eines Versicherungs- oder Rückversicherungsunternehmens errechnet sich wie folgt:

Dabei gilt:

  1. die Summe umfasst alle Versicherteni, die durch die Einkommensersatzversicherungs- oder -rückversicherungsverpflichtungen, ausgenommen Arbeitsunfallversicherungs- oder -rückversicherungsverpflichtungen, gedeckt sind;
  2. Ei bezeichnet den Wert der Leistungen, die vom Versicherungs- oder Rückversicherungsunternehmen für den Versicherteni bei dauerhafter Arbeitsunfähigkeit infolge einer Infektionskrankheit zu zahlen sind. Der Wert der Leistungen entspricht der Versicherungssumme oder, wenn der Vertrag wiederkehrende Leistungszahlungen vorsieht, dem besten Schätzwert der Leistungszahlungen unter der Annahme, dass der Versicherte dauerhaft invalide ist und nicht geheilt wird.

3. Für alle Länder errechnet sich der erwartete durchschnittliche Betrag, der von Versicherungs- oder Rückversicherungsunternehmen für einen Versicherten in einem bestimmten Landc im Falle einer Pandemie zu zahlen ist, wie folgt:

Dabei gilt:

  1. die Summe umfasst die Arten der in Anspruch genommenen Gesundheitsleistungen h nach Anhang XVI;
  2. Hh bezeichnet den Anteil der Personen mit klinischen Symptomen, die Gesundheitsleistungen der Arth nach Anhang XVI in Anspruch nehmen;
  3. CH(h,c) bezeichnet den besten Schätzwert der von Versicherungs- und Rückversicherungsunternehmen zu zahlenden Beträge für einen Versicherten in Landc im Zusammenhang mit Krankenkostenversicherungs- oder -rückversicherungsverpflichtungen, ausgenommen Arbeitsunfallversicherungs- oder -rückversicherungsverpflichtungen, für die Inanspruchnahme von Gesundheitsleistungenh im Falle einer Pandemie.

Abschnitt 5
Marktrisikomodul

Unterabschnitt 1
Korrelationskoeffizienten

Artikel 164

1. Das Marktrisikomodul umfasst sämtliche folgenden Untermodule:

  1. Untermodul Zinsrisiko nach Artikel 105 Absatz 5 Unterabsatz 2 Buchstabe a der Richtlinie 2009/138/EG;
  2. Untermodul Aktienrisiko nach Artikel 105 Absatz 5 Unterabsatz 2 Buchstabe b der Richtlinie 2009/138/EG;
  3. Untermodul Immobilienrisiko nach Artikel 105 Absatz 5 Unterabsatz 2 Buchstabe c der Richtlinie 2009/138/EG;
  4. Untermodul Spread-Risiko nach Artikel 105 Absatz 5 Unterabsatz 2 Buchstabe d der Richtlinie 2009/138/EG;
  5. Untermodul Wechselkursrisiko nach Artikel 105 Absatz 5 Unterabsatz 2 Buchstabe e der Richtlinie 2009/138/EG;
  6. Untermodul Marktrisikokonzentrationen nach Artikel 105 Absatz 5 Unterabsatz 2 Buchstabe f der Richtlinie 2009/138/EG.

2. Die Kapitalanforderung für das Marktrisiko nach Artikel 105 Absatz 5 der Richtlinie 2009/138/EG errechnet sich wie folgt:

Dabei gilt:

  1. die Summe umfasst alle möglichen Kombinationen i,j der Untermodule des Marktrisikomoduls;
  2. Corr(i,j) bezeichnet den Korrelationsparameter für das Marktrisiko für die Untermodulei undj;
  3. SCRi undSCRj bezeichnen die Kapitalanforderungen für das Untermoduli bzw. das Untermodulj.

3. Der KorrelationskoeffizientCorr(i,j) nach Absatz 2 entspricht dem in Spaltei und Zeilej der nachstehenden Korrelationsmatrix angegebenen Wert:

Zins Aktien Immobilien Spread Konzentration Wechselkurs
Zins 1 A A A 0 0,25
Aktien A 1 0,75 0,75 0 0,25
Immobilien A 0,75 1 0,5 0 0,25
Spread A 0,75 0,5 1 0 0,25
Konzentration 0 0 0 0 1 0
Wechselkurs 0,25 0,25 0,25 0,25 0 1

Der Faktor a ist 0, wenn die Kapitalanforderung für das Zinsrisiko nach Artikel 165 der Kapitalanforderung nach Buchstabe a dieses Artikels entspricht. Anderenfalls beträgt der Faktor a 0,5.

Unterabschnitt 1a16
Qualifizierte Infrastrukturinvestitionen

Artikel 164a Qualifizierte Infrastrukturinvestitionen17

1. Für die Zwecke dieser Verordnung ist eine qualifizierte Infrastrukturinvestition eine Investition in eine Infrastrukturgesellschaft, die die folgenden Kriterien erfüllt:

  1. die von den Infrastrukturvermögenswerten generierten Cashflows sind ausreichend, um allen finanziellen Verpflichtungen auch bei Vorliegen anhaltender Stressszenarien nachzukommen, die angesichts des mit dem Projekt verbundenen Risikos relevant sind;
  2. die Cashflows, die die Infrastrukturgesellschaft für Fremd- und Eigenkapitalgeber generiert, sind vorhersehbar;
  3. die Infrastrukturvermögenswerte und die Infrastrukturgesellschaft unterliegen einem regulatorischen oder vertraglichen Rahmen, der den Fremd- und Eigenkapitalgebern unter anderem durch Folgendes ein hohes Maß an Schutz bietet:
    1. der vertragliche Rahmen enthält Bestimmungen, die die Fremd- und Eigenkapitalgeber wirksam vor Verlusten schützen, die sich aus der Beendigung des Projekts durch die Partei, die sich zur Abnahme der von dem Infrastrukturprojekt angebotenen Güter oder Dienstleistungen verpflichtet hat, ergeben, es sei denn, eine der folgenden Bedingungen ist erfüllt:
      1. die Einnahmen der Infrastrukturgesellschaft werden durch Zahlungen einer großen Zahl von Nutzern finanziert; oder
      2. die Einnahmen unterliegen einer Renditeregulierung;
    2. die Infrastrukturgesellschaft verfügt über ausreichende gebundene Rücklagen oder sonstige finanzielle Mittel, um die Anforderungen des Projekts in Bezug auf die Deckung unvorhergesehener Ausgaben und das Umlaufvermögen zu erfüllen.

    Werden Investitionen in Anleihen oder Darlehen getätigt, sieht der vertragliche Rahmen ferner Folgendes vor:

    1. die Fremdkapitalgeber verfügen, soweit nach geltendem Recht zulässig, über eine Sicherheit oder den Nutzen einer Sicherheit in Form sämtlicher Vermögenswerte und Verträge, die für die Durchführung des Projekts erforderlich sind;
    2. die Nettocashflows aus der betrieblichen Tätigkeit dürfen nach den vorgeschriebenen Zahlungen aus dem Projekt nur in beschränktem Umfang für andere Zwecke als den Schuldendienst verwendet werden;
    3. Beschränkungen im Hinblick auf Tätigkeiten, die sich für die Fremdkapitalgeber negativ auswirken könnten, unter anderem die Bestimmung, dass ohne Zustimmung der vorhandenen Fremdkapitalgeber in der mit ihnen vereinbarten Form keine weiteren Schuldtitel emittiert werden dürfen, es sei denn, die Emission neuer Schuldtitel ist gemäß der Dokumentation für die bestehenden Schuldtitel gestattet.

    Ungeachtet Unterabsatz 2 Ziffer i können für Investitionen in Anleihen oder Darlehen auch andere Sicherheitsmechanismen verwendet werden, wenn die Unternehmen imstande sind, nachzuweisen, dass Sicherheit in Form sämtlicher Vermögenswerte und Verträge für die Fremdkapitalgeber nicht erforderlich ist, um den größten Teil ihrer Investition wirksam zu schützen oder wiederzuerlangen. In diesem Fall beinhalten die anderen Sicherheitsmechanismen mindestens einen der folgenden Mechanismen:

    1. Verpfändung von Anteilen;
    2. Eintrittsrechte;
    3. Sicherungspfandrecht an Bankkonten;
    4. Kontrolle über Cashflows;
    5. Bestimmungen über die Abtretung von Verträgen;
  4. werden Investitionen in Anleihen oder Darlehen getätigt, ist das Versicherungs- oder Rückversicherungsunternehmen imstande, gegenüber der Aufsichtsbehörde nachzuweisen, dass es in der Lage ist, die Investition bis zur Fälligkeit zu halten;
  5. werden Investitionen in Anleihen oder Darlehen getätigt, für die keine Bonitätsbewertung einer benannten ECAI vorliegt, haben das betreffende Investitionsinstrument und alle anderen gleichrangigen Instrumente Vorrang vor allen anderen Forderungen, ausgenommen gesetzliche Ansprüche und Forderungen von Liquiditätsgebern, Treuhändern und Gegenparteien bei Derivaten;
  6. werden Investitionen in Eigenkapital bzw. Anleihen oder Darlehen getätigt, für die keine Bonitätsbewertung einer benannten ECAI vorliegt, sind folgende Kriterien erfüllt:
    1. die Infrastrukturvermögenswerte und die Infrastrukturgesellschaft befinden sich im EWR oder in einem OECD-Mitgliedstaat;
    2. befindet sich das Infrastrukturprojekt in der Bauphase, müssen die folgenden Kriterien vom Eigenkapitalgeber bzw. - wenn mehr als ein Eigenkapitalgeber vorhanden ist - von einer Gruppe von Eigenkapitalgebern insgesamt erfüllt werden:
      • die Eigenkapitalgeber haben in der Vergangenheit erfolgreich Infrastrukturprojekte überwacht und verfügen über einschlägige Erfahrung;
      • die Eigenkapitalgeber haben ein geringes Ausfallrisiko, oder das Risiko, dass sich aus ihrem Ausfall erhebliche Verluste für die Infrastrukturgesellschaft ergeben, ist gering;
      • es bestehen Anreize für die Eigenkapitalgeber, die Interessen der Anleger zu schützen;
    3. sofern Baurisiken bestehen, wurden Vorkehrungen getroffen, um zu gewährleisten, dass das Projekt unter Einhaltung der vereinbarten Spezifikationen, der vereinbarten Mittelausstattung bzw. des für die Fertigstellung vereinbarten Datums fertiggestellt wird;
    4. bestehen erhebliche Betriebsrisiken, ist für ein angemessenes Risikomanagement Sorge getragen;
    5. die Infrastrukturgesellschaft verwendet erprobte Technologie und Entwürfe;
    6. die Infrastrukturgesellschaft hat eine Kapitalstruktur, die ihr die Bedienung ihrer Schulden erlaubt;
    7. das Refinanzierungsrisiko der Infrastrukturgesellschaft ist gering;
    8. die Infrastrukturgesellschaft verwendet Derivate ausschließlich zu Zwecken der Risikominderung.".

2. Für die Zwecke von Absatz 1 Buchstabe b werden die für Fremd- und Eigenkapitalgeber generierten Cashflows nur dann als vorhersehbar betrachtet, wenn alle Einnahmen - mit Ausnahme eines unwesentlichen Teils - die folgenden Voraussetzungen erfüllen:

  1. eines der folgenden Kriterien ist erfüllt:
    1. die Einnahmen basieren auf der Verfügbarkeit;
    2. die Einnahmen unterliegen einer Renditeregulierung;
    3. die Einnahmen unterliegen einem Vertrag mit unbedingter Zahlungsverpflichtung;
    4. die Produktionsmenge bzw. die Nutzung und der Preis erfüllen jeweils eines der folgenden Kriterien:
      • sie sind reguliert;
      • sie sind vertraglich festgelegt;
      • sie sind infolge eines geringen Nachfragerisikos vorhersehbar;
  2. sofern sich die Einnahmen der Infrastrukturprojektgesellschaft nicht aus Zahlungen einer großen Zahl von Nutzern speisen, handelt es sich bei der Partei, die sich zur Abnahme der von der Infrastrukturprojektgesellschaft bereitgestellten Güter oder Dienstleistungen verpflichtet hat, um
    1. eine der in Artikel 180 Absatz 2 aufgeführten Stellen;
    2. eine regionale oder lokale Gebietskörperschaft im Sinne der nach Artikel 109a Absatz 2 Buchstabe a der Richtlinie 2009/138/EG angenommenen Verordnung;
    3. eine Stelle, die im Rahmen der Bonitätsbewertung einer ECAI eine Bonitätseinstufung von mindestens 3 erhalten hat;
    4. einen Abnehmer, der ohne wesentliche Änderung in Bezug auf Höhe und Zeitpunkt der Einnahmen austauschbar ist.

Artikel 164b Qualifizierte Investitionen in Infrastrukturunternehmen17

Für die Zwecke dieser Verordnung ist eine qualifizierte Investition in ein Infrastrukturunternehmen eine Investition in eine Infrastrukturgesellschaft, die die folgenden Kriterien erfüllt:

(1) Die Infrastrukturgesellschaft erzielt die deutliche Mehrheit ihrer Einnahmen aus Eigentum, Finanzierung, Entwicklung oder Betrieb von Infrastrukturvermögenswerten, die sich im EWR oder in einem OECD-Mitgliedstaat befinden;

(2) die aus den Infrastrukturvermögenswerten generierten Einnahmen erfüllen eines der in Artikel 164a Absatz 2 Buchstabe a genannten Kriterien;

(3) werden die Einnahmen der Infrastrukturgesellschaft nicht durch die Zahlungen einer großen Zahl von Nutzern finanziert, ist die Partei, die sich zur Abnahme der von der Infrastrukturgesellschaft angebotenen Güter oder Dienstleistungen verpflichtet hat, eine der in Artikel 164a Absatz 2 Buchstabe b genannten Stellen;

(4) die Einnahmen sind im Hinblick auf Tätigkeiten, Standorte oder Zahlende diversifiziert, es sei denn, sie unterliegen einer Renditeregulierung nach Artikel 164a Absatz 1 Buchstabe c Unterbuchstabe a Ziffer ii oder einem Vertrag mit unbedingter Zahlungsverpflichtung bzw. basieren auf Verfügbarkeit;

(5) werden Investitionen in Anleihen oder Darlehen getätigt, ist das Versicherungs- oder Rückversicherungsunternehmen imstande, gegenüber der Aufsichtsbehörde nachzuweisen, dass es in der Lage ist, die Investition bis zur Fälligkeit zu halten;

(6) ist für die Infrastrukturgesellschaft keine Bonitätsbewertung einer benannten ECAI verfügbar,

  1. verfügt das Infrastrukturunternehmen über eine Kapitalstruktur, die ihm unter konservativen Annahmen auf der Grundlage einer Analyse der relevanten finanziellen Kennziffern die Bedienung seiner gesamten Schulden erlaubt;
  2. ist die Infrastrukturgesellschaft seit mindestens drei Jahren geschäftlich tätig oder im Fall eines erworbenen Unternehmens seit mindestens drei Jahren in Betrieb.

(7) Ist für die Infrastrukturgesellschaft eine Bonitätsbewertung einer benannten ECAI verfügbar, liegt diese Bonitätsbewertung bei einer Bonitätseinstufung zwischen 0 und 3.

Unterabschnitt 2
Untermodul Zinsrisiko

Artikel 165 Allgemeine Bestimmungen

1. Die Kapitalanforderung für das Zinsrisiko nach Artikel 105 Absatz 5 Unterabsatz 2 Buchstabe a der Richtlinie 2009/138/EG entspricht der höheren der beiden folgenden Summen:

  1. Summe der Kapitalanforderungen für das Zinsrisiko aller Währungen bei einem Anstieg der Zinskurve nach Artikel 166;
  2. Summe der Kapitalanforderungen für das Zinsrisiko aller Währungen bei einem Rückgang der Zinskurve nach Artikel 167.

2. Basieren die höhere der Kapitalanforderungen nach Absatz 1 Buchstaben a und b und die höhere der entsprechenden Kapitalanforderungen, die im Einklang mit Artikel 206 Absatz 2 berechnet wird, nicht auf demselben Szenario, ist die Kapitalanforderung für das Zinsrisiko die Kapitalanforderung nach Absatz 1 Buchstaben a oder b, bei der das zugrundeliegende Szenario die höchste entsprechende im Einklang mit Artikel 206 Absatz 2 berechnete Kapitalanforderung ergibt.

Artikel 166 Anstieg der Zinskurve

1. Die Kapitalanforderung für das Risiko eines Anstiegs der Zinskurve für eine bestimmte Währung entspricht dem Verlust an Basiseigenmitteln, der sich aus einem unmittelbaren Anstieg der risikolosen Basiszinssätze für diese Währung bei unterschiedlichen Restlaufzeiten im Einklang mit folgender Tabelle ergäbe:

Restlaufzeit
(in Jahren)
Anstieg
1 70 %
2 70 %
3 64 %
4 59 %
5 55 %
6 52 %
7 49 %
8 47 %
9 44 %
10 42 %
11 39 %
12 37 %
13 35 %
14 34 %
15 33 %
16 31 %
17 30 %
18 29 %
19 27 %
20 26 %
90 20 %

Bei Restlaufzeiten, die nicht in der vorstehenden Tabelle aufgeführt sind, wird der Wert des Anstiegs linear interpoliert. Bei Restlaufzeiten von unter einem Jahr beträgt der Anstieg 70 %. Bei Restlaufzeiten von mehr als 90 Jahren wird ein Anstieg von 20 % verwendet.

2. In jedem Fall beträgt der Anstieg der risikolosen Basiszinssätze für alle Restlaufzeiten mindestens einen Prozentpunkt.

3. Die Auswirkung des Anstiegs der risikolosen Basiszinskurve auf den Wert von Beteiligungen an Finanz- und Kreditinstituten nach Artikel 92 Absatz 2 der Richtlinie 2009/138/EG ist nur für den Wert jener Beteiligungen zu berücksichtigen, die nach Artikel 68 dieser Verordnung nicht von den Eigenmitteln abgezogen werden. Der von den Eigenmitteln abgezogene Teil wird nur insoweit berücksichtigt, wie die Auswirkung zu einer Erhöhung der Basiseigenmittel führt.

Artikel 167 Rückgang der Zinskurve

1. Die Kapitalanforderung für das Risiko eines Rückgangs der Zinskurve für eine bestimmte Währung entspricht dem Verlust an Basiseigenmitteln, der sich aus einem unmittelbaren Rückgang der risikolosen Basiszinssätze für diese Währung bei unterschiedlichen Restlaufzeiten im Einklang mit folgender Tabelle ergäbe:

Restlaufzeit
(in Jahren)
Rückgang
1 75 %
2 65 %
3 56 %
4 50 %
5 46 %
6 42 %
7 39 %
8 36 %
9 33 %
10 31 %
11 30 %
12 29 %
13 28 %
14 28 %
15 27 %
16 28 %
17 28 %
18 28 %
19 29 %
20 29 %
90 20 %

Bei Restlaufzeiten, die nicht in der vorstehenden Tabelle aufgeführt sind, wird der Wert des Rückgangs linear interpoliert. Bei Restlaufzeiten von unter einem Jahr beträgt der Rückgang 75 %. Bei Restlaufzeiten von mehr als 90 Jahren wird ein Rückgang von 20 % verwendet.

2. Unbeschadet des Absatzes 1 entspricht der Rückgang für negative risikolose Basiszinssätze null.

3. Die Auswirkung des Rückgangs der Zinskurve der risikolosen Basiszinssätze auf den Wert von Beteiligungen an Finanz- und Kreditinstituten nach Artikel 92 Absatz 2 der Richtlinie 2009/138/EG ist nur für den Wert jener Beteiligungen zu berücksichtigen, die nach Artikel 68 dieser Verordnung nicht von den Eigenmitteln abgezogen werden. Der von den Eigenmitteln abgezogene Teil wird nur insoweit berücksichtigt, wie die Auswirkung zu einer Erhöhung der Basiseigenmittel führt.

Unterabschnitt 3
Untermodul Aktienrisiko

Artikel 168 Allgemeine Bestimmungen16 17

1. Das Untermodul Aktienrisiko nach Artikel 105 Absatz 5 Unterabsatz 2 Buchstabe b der Richtlinie 2009/138/EG umfasst ein Risikountermodul für Typ-1-Aktien, ein Risikountermodul für Typ-2-Aktien, ein Risikountermodul für qualifizierte Eigenkapitalinvestitionen in Infrastruktur und ein Risikountermodul für qualifizierte Eigenkapitalinvestitionen in Infrastrukturunternehmen.

2. Typ 1-Aktien sind Aktien, die an geregelten Märkten in Mitgliedstaaten des EWR (Europäischer Wirtschaftsraum) oder der OECD (Organisation für wirtschaftliche Zusammenarbeit und Entwicklung) notiert sind oder die über multilaterale Handelssysteme im Sinne des Artikels 4 Absatz 1 Nummer 22 der Richtlinie 2014/65/EU gehandelt werden, welche ihren Sitz bzw. ihre Hauptverwaltung in einem EU-Mitgliedstaat haben.

3. Typ-2-Aktien sind Aktien mit Ausnahme der in Absatz 2 genannten, Rohstoffe und andere alternative Kapitalanlagen. Sie umfassen ferner alle Vermögenswerte, die nicht in den Risikountermodulen Zinsrisiko, Immobilienrisiko oder Spread-Risiko erfasst sind, einschließlich der Vermögenswerte und indirekten Risikopositionen nach Artikel 84 Absätze 1 und 2, bei denen eine Anwendung des Look-Through-Ansatzes nicht möglich ist und das Versicherungs- oder Rückversicherungsunternehmen nicht die Bestimmungen des Artikels 84 Absatz 3 in Anspruch nimmt.

3a. Der Begriff "qualifizierte Eigenkapitalinvestitionen in Infrastruktur" beinhaltet Investitionen in das Eigenkapital von Infrastrukturprojektgesellschaften, die die Kriterien nach Artikel 164a erfüllen.

(3b) Der Begriff ,qualifizierte Eigenkapitalinvestitionen in Infrastrukturunternehmen" beinhaltet Investitionen in das Eigenkapital von Infrastrukturgesellschaften, die die Kriterien nach Artikel 164b erfüllen.

Die Kapitalanforderung für das Aktienrisiko errechnet sich wie folgt:

dabei gilt:

  1. SCRequ1 bezeichnet die Kapitalanforderung für Typ-1-Aktien;
  2. SCRequ2 bezeichnet die Kapitalanforderung für Typ-2-Aktien;
  3. SCRquinf bezeichnet die Kapitalanforderung für qualifizierte Eigenkapitalinvestitionen in Infrastruktur;
  4. SCRquinfc bezeichnet die Kapitalanforderung für qualifizierte Eigenkapitalinvestitionen in Infrastrukturunternehmen.

5. Die Auswirkung der unmittelbaren Rückgänge nach den Artikeln 169 und 170 auf den Wert von Beteiligungen an Finanz- und Kreditinstituten nach Artikel 92 Absatz 2 der Richtlinie 2009/138/EG ist nur für den Wert jener Beteiligungen zu berücksichtigen, die nach Artikel 68 dieser Verordnung nicht von den Eigenmitteln abgezogen werden.

6. Folgende Aktien werden in jedem Fall als Typ-1-Aktien betrachtet:

  1. Aktien - ausgenommen qualifizierte Eigenkapitalinvestitionen in Infrastruktur oder qualifizierte Eigenkapitalinvestitionen in Infrastrukturunternehmen - von Organismen für gemeinsame Anlagen, die als qualifizierte Fonds für soziales Unternehmertum gemäß Artikel 3 Buchstabe b der Verordnung (EU) Nr. 346/2013 des Europäischen Parlaments und des Rates 16 eingestuft werden, wenn der Look-Through-Ansatz nach Artikel 84 dieser Verordnung auf alle Exponierungen innerhalb des Organismus für gemeinsame Anlagen angewandt werden kann, oder Anteile an solchen Fonds, wenn der Look-Through-Ansatz nicht auf alle Exponierungen innerhalb des Organismus für gemeinsame Anlagen angewandt werden kann;
  2. Aktien - ausgenommen qualifizierte Eigenkapitalinvestitionen in Infrastruktur oder qualifizierte Eigenkapitalinvestitionen in Infrastrukturunternehmen - von Organismen für gemeinsame Anlagen, die als qualifizierte Risikokapitalfonds gemäß Artikel 3 Buchstabe b der Verordnung (EU) Nr. 345/2013 des Europäischen Parlaments und des Rates 17 eingestuft werden, wenn der Look-Through-Ansatz nach Artikel 84 dieser Verordnung auf alle Exponierungen innerhalb des Organismus für gemeinsame Anlagen angewandt werden kann, oder Anteile an solchen Fonds, wenn der Look-Through-Ansatz nicht auf alle Exponierungen innerhalb des Organismus für gemeinsame Anlagen angewandt werden kann;
  3. was geschlossene, nicht hebelfinanzierte alternative Investmentfonds mit Sitz in der Union betrifft oder - sollte dies nicht der Fall sein - entsprechende Fonds, die in der Union gemäß Artikel 35 oder 40 der Richtlinie 2011/61/EU vertrieben werden:
    1. Aktien - ausgenommen qualifizierte Eigenkapitalinvestitionen in Infrastruktur oder qualifizierte Eigenkapitalinvestitionen in Infrastrukturunternehmen - von solchen Fonds, wenn der Look-Through-Ansatz nach Artikel 84 dieser Verordnung auf alle Exponierungen innerhalb des alternativen Investmentfonds angewandt werden kann;
    2. Anteile an solchen Fonds, wenn der Lookthrough-Ansatz nicht auf alle Exponierungen innerhalb des alternativen Investmentfonds angewandt werden kann.
  4. Aktien - ausgenommen qualifizierte Eigenkapitalinvestitionen in Infrastruktur oder qualifizierte Eigenkapitalinvestitionen in Infrastrukturunternehmen - von Organismen für gemeinsame Anlagen, die als europäische langfristige Investmentfonds gemäß der Verordnung (EU) 2015/760 zugelassen sind, wenn der Look-Through-Ansatz nach Artikel 84 dieser Verordnung auf alle Exponierungen innerhalb des Organismus für gemeinsame Anlagen angewandt werden kann, oder Anteile an solchen Fonds, wenn der Look-Through-Ansatz nicht auf alle Exponierungen innerhalb des Organismus für gemeinsame Anlagen angewandt werden kann.

Artikel 169 Untermodul Standardaktienrisiko16 17

1. Die Kapitalanforderung für Typ-1-Aktien nach Artikel 168 entspricht dem Verlust an Basiseigenmitteln, der sich aus folgenden unmittelbaren Rückgängen ergäbe:

  1. einem unmittelbaren Rückgang in Höhe von 22 % des Werts von Investitionen in Typ-1-Aktien in verbundenen Unternehmen im Sinne des Artikels 212 Absatz 1 Buchstabe b und des Artikels 212 Absatz 2 der Richtlinie 2009/138/EG, sofern diese Investitionen strategischer Natur sind;
  2. einem unmittelbaren Rückgang in Höhe der Summe aus 39 % und der symmetrischen Anpassung nach Artikel 172 dieser Verordnung in Bezug auf den Wert von Typ-1-Aktien, die nicht unter Buchstabe a fallen.

2. Die Kapitalanforderung für Typ-2-Aktien nach Artikel 168 entspricht dem Verlust an Basiseigenmitteln, der sich aus folgenden unmittelbaren Rückgängen ergäbe:

  1. einem unmittelbaren Rückgangin Höhe von 22 % des Werts von Investitionen in Typ-2-Aktien in verbundenen Unternehmen im Sinne des Artikels 212 Absatz 1 Buchstabe b und des Artikels 212 Absatz 2 der Richtlinie 2009/138/EG, sofern diese Investitionen strategischer Natur sind;
  2. einem unmittelbaren Rückgang in Höhe der Summe aus 49 % und der symmetrischen Anpassung nach Artikel 172 in Bezug auf den Wert von Typ-2-Aktien, die nicht unter Buchstabe a fallen.

3. Die Kapitalanforderung für qualifizierte Eigenkapitalinvestitionen in Infrastruktur nach Artikel 168 dieser Verordnung entspricht dem Verlust an Basiseigenmitteln, der sich aus folgenden unmittelbaren Rückgängen ergäbe:

  1. einem unmittelbaren Rückgang in Höhe von 22 % des Werts der qualifizierten Eigenkapitalinvestitionen in Infrastruktur in verbundenen Unternehmen im Sinne des Artikels 212 Absatz 1 Buchstabe b und des Artikels 212 Absatz 2 der Richtlinie 2009/138/EG, sofern diese Investitionen strategischer Natur sind;
  2. einem unmittelbaren Rückgang in Höhe der Summe aus 30 % und 77 % der symmetrischen Anpassung nach Artikels 172 in Bezug auf den Wert der qualifizierten Eigenkapitalinvestitionen in Infrastruktur, die nicht unter Buchstabe a fallen.

4. Die Kapitalanforderung für qualifizierte Eigenkapitalinvestitionen in Infrastrukturunternehmen nach Artikel 168 dieser Verordnung entspricht dem Verlust an Basiseigenmitteln, der sich aus folgenden unmittelbaren Rückgängen ergäbe:

  1. einem unmittelbaren Rückgang in Höhe von 22 % des Werts der qualifizierten Eigenkapitalinvestitionen in Infrastrukturunternehmen in verbundenen Unternehmen im Sinne des Artikels 212 Absatz 1 Buchstabe b und des Artikels 212 Absatz 2 der Richtlinie 2009/138/EG, sofern diese Investitionen strategischer Natur sind;
  2. einem unmittelbaren Rückgang in Höhe der Summe aus 36 % und 92 % der symmetrischen Anpassung nach Artikel 172 dieser Verordnung in Bezug auf den Wert der qualifizierten Eigenkapitalinvestitionen in Infrastrukturunternehmen, die nicht unter Buchstabe a fallen.

Artikel 170 Untermodul durationsbasiertes Aktienrisiko16 17

1. Hat ein Versicherungs- oder Rückversicherungsunternehmen die aufsichtliche Genehmigung zur Anwendung der Vorschriften des Artikels 304 der Richtlinie 2009/138/EG erhalten, so entspricht die Kapitalanforderung für Typ-1- Aktien dem Verlust an Basiseigenmitteln, der sich aus folgenden unmittelbaren Rückgängen ergäbe:

  1. einem unmittelbaren Rückgang in Höhe von 22 % des Werts von Typ-1-Aktien, die dem Geschäft nach Artikel 304 Absatz 1 Ziffer i der Richtlinie 2009/138/EG entsprechen;
  2. einem unmittelbaren Rückgang in Höhe von 22 % des Werts von Investitionen in Typ-1-Aktien in verbundenen Unternehmen im Sinne des Artikels 212 Absatz 1 Buchstabe b und des Artikels 212 Absatz 2 der Richtlinie 2009/138/EG, sofern diese Investitionen strategischer Natur sind;
  3. einem unmittelbaren Rückgang in Höhe der Summe aus 39 % und der symmetrischen Anpassung nach Artikel 172 dieser Verordnung in Bezug auf den Wert von Typ-1-Aktien, die nicht unter die Buchstaben a oder b fallen.

2. Hat ein Versicherungs- oder Rückversicherungsunternehmen die aufsichtliche Genehmigung zur Anwendung der Vorschriften des Artikels 304 der Richtlinie 2009/138/EG erhalten, so entspricht die Kapitalanforderung für Typ-2- Aktien dem Verlust an Basiseigenmitteln, der sich aus folgenden unmittelbaren Rückgängen ergäbe:

  1. einem unmittelbaren Rückgang in Höhe von 22 % des Werts von Typ-2-Aktien, die dem Geschäft nach Artikel 304 Absatz 1 Ziffer i der Richtlinie 2009/138/EG entsprechen;
  2. einem unmittelbaren Rückgang in Höhe von 22 % des Werts von Investitionen in Typ-2-Aktien in verbundenen Unternehmen im Sinne des Artikels 212 Absatz 1 Buchstabe b und des Artikels 212 Absatz 2 der Richtlinie 2009/138/EG, sofern diese Investitionen strategischer Natur sind;
  3. einem unmittelbaren Rückgang in Höhe der Summe aus 49 % und der symmetrischen Anpassung nach Artikel 172 dieser Verordnung in Bezug auf den Wert von Typ-2-Aktien, die nicht unter die Buchstaben a oder b fallen.

3. Hat ein Versicherungs- oder Rückversicherungsunternehmen die aufsichtliche Genehmigung zur Anwendung der Vorschriften des Artikels 304 der Richtlinie 2009/138/EG erhalten, so entspricht die Kapitalanforderung für qualifizierte Eigenkapitalinvestitionen in Infrastruktur dem Verlust an Basiseigenmitteln, der sich aus folgenden unmittelbaren Rückgängen ergäbe:

  1. einem unmittelbaren Rückgang in Höhe von 22 % des Werts der qualifizierten Eigenkapitalinvestitionen in Infrastruktur, die dem Geschäft nach Artikel 304 Absatz 1 Ziffer i der Richtlinie 2009/138/EG entsprechen;
  2. einem unmittelbaren Rückgang in Höhe von 22 % des Werts der qualifizierten Eigenkapitalinvestitionen in Infrastruktur in verbundenen Unternehmen im Sinne des Artikels 212 Absatz 1 Buchstabe b und Absatz 2 der Richtlinie 2009/138/EG, sofern diese Investitionen strategischer Natur sind;
  3. einem unmittelbaren Rückgang in Höhe der Summe aus 30 % und 77 % der symmetrischen Anpassung nach Artikel 172 in Bezug auf den Wert der qualifizierten Eigenkapitalinvestitionen in Infrastruktur, die nicht unter Buchstabe a oder b fallen.

4. Hat ein Versicherungs- oder Rückversicherungsunternehmen die aufsichtliche Genehmigung zur Anwendung der Vorschriften des Artikels 304 der Richtlinie 2009/138/EG erhalten, so entspricht die Kapitalanforderung für qualifizierte Eigenkapitalinvestitionen in Infrastrukturunternehmen dem Verlust an Basiseigenmitteln, der sich aus folgenden unmittelbaren Rückgängen ergäbe:

  1. einem unmittelbaren Rückgang in Höhe von 22 % des Werts der qualifizierten Eigenkapitalinvestitionen in Infrastrukturunternehmen, die dem Geschäft nach Artikel 304 Absatz 1 Buchstabe b Ziffer i der Richtlinie 2009/138/EG entsprechen;
  2. einem unmittelbaren Rückgang in Höhe von 22 % des Werts der qualifizierten Eigenkapitalinvestitionen in Infrastrukturunternehmen in verbundenen Unternehmen im Sinne des Artikels 212 Absatz 1 Buchstabe b und Absatz 2 der Richtlinie 2009/138/EG, sofern diese Investitionen strategischer Natur sind;
  3. einem unmittelbaren Rückgang in Höhe der Summe aus 36 % und 92 % der symmetrischen Anpassung nach Artikel 172 dieser Verordnung in Bezug auf den Wert der qualifizierten Eigenkapitalinvestitionen in Infrastrukturunternehmen, die nicht unter Buchstabe a oder b fallen.

Artikel 171 Strategische Aktieninvestitionen16 17

Für die Zwecke des Artikels 169 Absatz 1 Buchstabe a, Absatz 2 Buchstabe a, Absatz 3 Buchstabe a und Absatz 4 Buchstabe a sowie des Artikels 170 Absatz 1 Buchstabe b, Absatz 2 Buchstabe b, Absatz 3 Buchstabe b und Absatz 4 Buchstabe b handelt es sich bei Aktien- bzw. Eigenkapitalinvestitionen strategischer Natur um Aktien- bzw. Eigenkapitalinvestitionen, für die das beteiligte Versicherungs- oder Rückversicherungsunternehmen Folgendes nachweist:

  1. der Wert der Aktieninvestition ist aufgrund der Natur der Investition und des von dem beteiligten Unternehmen in dem verbundenen Unternehmen ausgeübten Einflusses in den folgenden zwölf Monaten wahrscheinlich wesentlich weniger volatil als der Wert anderer Aktien während desselben Zeitraums;
  2. die Investition ist strategischer Natur, wobei alle relevanten Faktoren berücksichtigt werden, darunter:
    1. das Bestehen einer klaren und entschlossenen Strategie, die Beteiligung für einen langen Zeitraum zu halten;
    2. die Kohärenz der Strategie nach Buchstabe a mit den für die Aktivitäten des Unternehmens maßgeblichen oder diese beschränkenden Hauptstrategien;
    3. die Fähigkeit des beteiligten Unternehmens, die Beteiligung an dem verbundenen Unternehmen zu halten;
    4. das Bestehen einer stabilen Beziehung;
    5. falls das beteiligte Versicherungs- oder Rückversicherungsunternehmen Teil einer Gruppe ist, die Kohärenz einer solchen Strategie mit den für die Aktivitäten der Gruppe maßgeblichen oder diese beschränkenden Hauptstrategien.

Artikel 172 Symmetrische Anpassung der Kapitalanforderung für Aktienanlagen16

1. Der in Artikel 106 Absatz 2 der Richtlinie 2009/138/EG genannte Aktienindex erfüllt sämtliche folgenden Anforderungen:

  1. der Aktienindex misst den Marktpreis eines diversifizierten Aktienportfolios, das für die typischerweise von Versicherungs- und Rückversicherungsunternehmen gehaltenen Aktienportfolios repräsentativ ist;
  2. der Stand des Aktienindex ist öffentlich zugänglich;
  3. der Stand des Aktienindex wird ausreichend häufig veröffentlicht, so dass der aktuelle Stand des Index und seine Durchschnittshöhe über die letzten 36 Monate bestimmt werden können.

2. Vorbehaltlich des Absatzes 4 errechnet sich die symmetrische Anpassung wie folgt:

dabei gilt:

  1. CI bezeichnet den aktuellen Stand des Aktienindex;
  2. AI bezeichnet den gewichteten Durchschnitt der täglichen Aktienindexstände in den letzten 36 Monaten.

3. Für die Zwecke der Berechnung des gewichteten Durchschnitts der täglichen Aktienindexstände werden die Tagesstände gleich gewichtet. Tage innerhalb der letzten 36 Monate, für die der Index nicht ermittelt wurde, werden nicht im Durchschnitt berücksichtigt.

4. Die symmetrische Anpassung darf nicht unter - 10 % oder über 10 % liegen.

Artikel 173 Kriterien für die Anwendung der Übergangsmaßnahme für das Standardaktienrisiko16

1. Die Übergangsmaßnahme für das Standardaktienrisiko nach Artikel 308b Absatz 13 der Richtlinie 2009/138/EG gilt lediglich für Aktien bzw. Eigenkapitalinvestitionen in Infrastruktur, die am oder vor dem 1. Januar 2016 erworben wurden und nicht dem durationsbasierten Aktienrisiko gemäß Artikel 304 jener Richtlinie unterliegen.

2. Bei Aktien bzw. Infrastruktur-Eigenkapitalinvestitionen von Organismen für gemeinsame Anlagen oder anderen Anlagen in Fondsform, auf die der Look-Through-Ansatz nicht angewandt werden kann, gilt die Übergangsmaßnahme nach Artikel 308b Absatz 13 der Richtlinie 2009/138/EG für den Aktienanteil bzw. den Infrastruktur-Eigenkapitalinvestitionsanteil des Organismus für gemeinsame Anlagen bzw. die Anlagen in Fondsform, der am 1. Januar 2016 gehalten wird und der Zielanlagenallokation entspricht, wenn eine solche Zielallokation für das Unternehmen verfügbar ist. Der Anteil der Aktien bzw. Eigenkapitalinvestitionen in Infrastruktur, auf den die Übergangsmaßnahme angewandt wird, wird jedes Jahr im Verhältnis zur Anlagenumschlagshäufigkeit des Organismus für gemeinsame Anlagen oder der Anlagen in Fondsform herabgesetzt. Wenn die Zielallokation für Aktieninvestitionen bzw. Infrastruktur-Eigenkapitalinvestitionen des Organismus für gemeinsame Anlagen oder Anlagen in Fondsform steigt, erhöht sich nicht der Anteil der Aktien bzw. Eigenkapitalinvestitionen in Infrastruktur, auf den die Übergangsmaßnahme angewandt wird.

Unterabschnitt 4
Untermodul Immobilienrisiko

Artikel 174

Die Kapitalanforderung für das Immobilienrisiko nach Artikel 105 Absatz 5 Unterabsatz 2 Buchstabe c der Richtlinie 2009/138/EG entspricht dem Verlust an Basiseigenmitteln, der sich aus einem unmittelbaren Rückgang des Werts der Immobilie um 25 % ergäbe.

Unterabschnitt 5
Untermodul Spread-Risiko

Artikel 175 Anwendungsbereich des Untermoduls Spread-Risiko

Die Kapitalanforderung für das Spread-Risiko nach Artikel 105 Absatz 5 Unterabsatz 2 Buchstabe d der Richtlinie 2009/138/EG errechnet sich wie folgt:

Dabei gilt:

  1. SCRbonds bezeichnet die Kapitalanforderung für das Spread-Risiko von Anleihen und Krediten;
  2. SCRsecuritisation bezeichnet die Kapitalanforderung für das Spread-Risiko von Verbriefungspositionen;
  3. SCRcd bezeichnet die Kapitalanforderung für das Spread-Risiko von Kreditderivaten.

Artikel 176 Spread-Risiko von Anleihen und Krediten16

1. Die Kapitalanforderung für das Spread-Risiko von Anleihen und DarlehenSCRbonds entspricht dem Verlust an Basiseigenmitteln, der sich aus einem unmittelbaren relativen Rückgang vonstressi im Wert aller Anleihen oder Darleheni ergäbe, ausgenommen Hypothekendarlehen für Wohnimmobilien, die die Anforderungen des Artikels 191 erfüllen, einschließlich Bankeinlagen, bei denen es sich nicht um Bankguthaben nach Artikel 189 Absatz 2 Buchstabe b handelt.

2. Der Risikofaktorstressi ist von der modifizierten und in Jahren angegebenen Duration der Anleihe oder des Darlehensi (duri) abhängig.duri darf nie unter 1 liegen. Für variabel verzinsliche Anleihen oder Darlehen entsprichtduri der modifizierten Duration einer festverzinslichen Anleihe oder eines Darlehens derselben Laufzeit mit Kuponzahlungen in Höhe des Terminzinssatzes.

3. Anleihen oder Darlehen, für die eine Bonitätsbewertung einer benannten ECAI verfügbar ist, wird in Abhängigkeit von der Bonitätseinstufung und der modifizierten Durationduri der Anleihe oder des Darlehens i gemäß der folgenden Tabelle ein Risikofaktorstressi zugeordnet.

Bonitätseinstufung 0 1 2 3 4 5 und 6
Duration (duri) stressi ai bi ai bi ai bi ai bi ai bi ai bi
bis zu 5 bi ·duri - 0,9 % - 1,1 % - 1,4 % - 2,5 % - 4,5 % - 7,5 %
mehr als 5 und bis zu 10 ai +bi · (duri - 5) 4,5 % 0,5 % 5,5 % 0,6 % 7,0 % 0,7 % 12,5 % 1,5 % 22,5 % 2,5 % 37,5 % 4,2 %
mehr als 10 und bis zu 15 ai +bi · (duri - 10) 7,0 % 0,5 % 8,5 % 0,5 % 10,5 % 0,5 % 20,0 % 1,0 % 35,0 % 1,8 % 58,5 % 0,5 %
mehr als 15 und bis zu 20 ai +bi · (duri - 15) 9,5 % 0,5 % 11 % 0,5 % 13,0 % 0,5 % 25,0 % 1,0 % 44,0 % 0,5 % 61,0 % 0,5 %
mehr als 20 min[ai +bi · (duri - 20);1] 12,0 % 0,5 % 13,5 % 0,5 % 15,5 % 0,5 % 30,0 % 0,5 % 46,6 % 0,5 % 63,5 % 0,5 %"

4. Anleihen und Darlehen, für die keine Bonitätsbewertung einer benannten ECAI verfügbar ist und für die die Schuldner keine den Kriterien nach Artikel 214 entsprechende Sicherheit hinterlegt haben, wird in Abhängigkeit von der Durationduri der Anleihe oder des Darlehens i gemäß der folgenden Tabelle ein Risikofaktorstressi zugeordnet:

Duration (duri) stressi
bis zu 5 3 % ·duri
mehr als 5 und bis zu 10 15 % + 1,7 % · (duri - 5)
mehr als 10 und bis zu 20 23,5 % + 1,2 % · (duri - 10)
mehr als 20 min(35,5 % + 0,5 % · (duri - 20);1)"

5. Anleihen und Darlehen, für die keine Bonitätsbewertung einer benannten ECAI verfügbar ist und für die die Schuldner eine den Kriterien nach Artikel 214 entsprechende Sicherheit hinterlegt haben, wird ein Risikofaktor stressi zugeordnet, wobei Folgendes berücksichtigt wird:

  1. ist der risikobereinigte Wert der Sicherheit höher oder gleich dem Wert der Anleihe oder des Darlehensi, so entspricht stressi der Hälfte des Risikofaktors, der im Einklang mit Absatz 4 ermittelt würde;
  2. ist der risikobereinigte Wert der Sicherheit niedriger als der Wert der Anleihe oder des Darlehensi und ergäbe sich aus dem im Einklang mit Absatz 4 ermittelten Risikofaktor ein unter dem risikobereinigten Wert der Sicherheit liegender Wert der Anleihe oder des Darlehensi, so entspricht stressi dem Durchschnitt aus
    1. dem im Einklang mit Absatz 4 ermittelten Risikofaktor und
    2. der Differenz zwischen dem Wert der Anleihe oder des Darlehens i und dem risikobereinigten Wert der Sicherheit, dividiert durch den Wert der Anleihe oder des Darlehensi;
  3. ist der risikobereinigte Wert der Sicherheit niedriger als der Wert der Anleihe oder des Darlehensi und ergäbe sich aus dem im Einklang mit Absatz 4 ermittelten Risikofaktor ein Wert der Anleihe oder des Darlehensi, der höher oder gleich dem risikobereinigten Wert der Sicherheit ist, so wird stressi im Einklang mit Absatz 4 ermittelt.

Der risikobereinigte Wert der Sicherheit errechnet sich im Einklang mit den Artikeln 112, 197 und 198.

6. Die Auswirkung des unmittelbaren Rückgangs des Werts von Beteiligungen an Finanz- und Kreditinstituten nach Artikel 92 Absatz 2 der Richtlinie 2009/138/EG ist nur für den Wert jener Beteiligungen zu berücksichtigen, die nach Artikel 68 dieser Verordnung nicht von den Eigenmitteln abgezogen werden.
Artikel 177 - gestrichen -16 18

Artikel 178 Spread-Risiko bei Verbriefungspositionen: Berechnung der Kapitalanforderung18

(1) Die Kapitalanforderung SCRVerbriefung für das Spread-Risiko bei Verbriefungspositionen entspricht dem Verlust an Basiseigenmitteln, der sich aus einem unmittelbaren relativen Rückgang vonstressi im Wert jeder Verbriefungsposition i ergäbe.

(2) Der Risikofaktorstressi hängt von der in Jahren angegebenen modifizierten Duration (duri) ab.duri darf nicht weniger als 1 Jahr betragen.

(3) Vorrangigen STS-Verbriefungspositionen, die die Anforderungen des Artikels 243 der Verordnung (EU) Nr. 575/2013 erfüllen und für die eine Bonitätsbeurteilung einer benannten ECAI vorliegt, wird ein Risikofaktorstressi in Abhängigkeit von der Bonitätseinstufung und der modifizierten Duration der Verbriefungsposition i gemäß der folgenden Tabelle zugeordnet:

Bonitätseinstufung 0 1 2 3 4 5 und 6
Duration
(duri)
stressi ai bi ai bi ai bi ai bi ai bi ai bi
Bis zu 5 bi ·duri - 1,0 % - 1,2 % - 1,6 % - 2,8 % - 5,6 % - 9,4 %
Mehr als 5 und bis zu 10 ai +bi · (duri - 5) 5,0 % 0,6 % 6,0 % 0,7 % 8,0 % 0,8 % 14,0 % 1,7 % 28,0 % 3,1 % 47,0 % 5,3 %
Mehr als 10 und bis zu 15 ai +bi · (duri - 10) 8,0 % 0,6 % 9,5 % 0,5 % 12,0 % 0,6 % 22,5 % 1,1 % 43,5 % 2,2 % 73,5 % 0,6 %
Mehr als 15 und bis zu 20 ai +bi · (duri - 15) 11,0 % 0,6 % 12,0 % 0,5 % 15,0 % 0,6 % 28,0 % 1,1 % 54,5 % 0,6 % 76,5 % 0,6 %
Mehr als 20 min[ai +bi · (duri - 20);1] 14,0 % 0,6 % 14,5 % 0,5 % 18,0 % 0,6 % 33,5 % 0,6 % 57,5 % 0,6 % 79,5 % 0,6 %

(4) Nicht vorrangigen STS-Verbriefungspositionen, die die Anforderungen des Artikels 243 der Verordnung (EU) Nr. 575/2013 erfüllen und für die eine Bonitätsbeurteilung einer benannten ECAI vorliegt, wird ein Risikofaktorstressi in Abhängigkeit von der Bonitätseinstufung und der modifizierten Duration der Verbriefungsposition i gemäß der folgenden Tabelle zugeordnet:

Bonitätseinstufung 0 1 2 3 4 5 und 6
Duration
(duri)
stressi ai bi ai bi ai bi ai bi ai bi ai bi
bis zu 5 min[bi ·duri;1] - 2,8 % - 3,4 % - 4,6 % - 7,9 % - 15,8 % - 26,7 %
Mehr als 5 und bis zu 10 min[ai +bi (duri - 5);1] 14,0 % 1,6 % 17,0 % 1,9 % 23,0 % 2,3 % 39,5 % 4,7 % 79,0 % 8,8 % 100,0 % 0,0 %
Mehr als 10 und bis zu 15 ai +bi · (duri - 10) 22,0 % 1,6 % 26,5 % 1,5 % 34,5 % 1,6 % 63,0 % 3,2 % 100,0 % 0,0 % 100,0 % 0,0 %
Mehr als 15 und bis zu 20 ai +bi · (duri - 15) 30,0 % 1,6 % 34,0 % 1,5 % 42,5 % 1,6 % 79,0 % 3,2 % 100,0 % 0,0 % 100,0 % 0,0 %
Mehr als 20 min[ai +bi · (duri - 20);1] 38,0 % 1,6 % 41,5 % 1,5 % 50,5 % 1,6 % 95,0 % 1,6 % 100,0 % 0,0 % 100,0 % 0,0 %

(5) Vorrangigen STS-Verbriefungspositionen, die die Kriterien des Artikels 243 der Verordnung (EU) Nr. 575/2013 erfüllen und für die keine Bonitätsbeurteilung einer benannten ECAI vorliegt, wird ein Risikofaktorstressi in Abhängigkeit von der modifizierten Duration der Verbriefungsposition i gemäß der folgenden Tabelle zugeordnet:

Duration
(duri)
stressi ai bi
bis zu 5 bi ·duri - 4,6 %
Mehr als 5 und bis zu 10 ai +bi (duri - 5) 23 % 2,5 %
Mehr als 10 und bis zu 15 ai +bi (duri - 10) 35,5 % 1,8 %
Mehr als 15 und bis zu 20 ai +bi (duri - 15) 44,5 % 0,5 %
Mehr als 20 min[ai +bi (duri - 20);1] 47 % 0,5 %

(6) Nicht vorrangigen STS-Verbriefungspositionen, die die Kriterien des Artikels 243 der Verordnung (EU) Nr. 575/2013 erfüllen und für die keine Bonitätsbeurteilung einer benannten ECAI vorliegt, wird ein Risikofaktorstressi entsprechend der Bonitätsstufe 5 und in Abhängigkeit von der modifizierten Duration der Risikoposition gemäß der Tabelle in Absatz 3 zugeordnet.

(7) Wiederverbriefungspositionen, für die eine Bonitätsbeurteilung einer benannten ECAI vorliegt, wird ein Risikofaktorstressi zugeordnet, der sich nach folgender Formel errechnet:

stressi = min(bi ·duri;1)

Dabei gilt, dassbi in Abhängigkeit von der Bonitätseinstufung der Wiederverbriefungsposition i gemäß folgender Tabelle zugeordnet wird:

Bonitätseinstufung 0 1 2 3 4 5 6
bi 33 % 40 % 51 % 91 % 100 % 100 % 100 %

(8) Verbriefungspositionen, die nicht unter Absätze 3 bis 7 fallen und für die eine Bonitätsbeurteilung einer benannten ECAI vorliegt, wird ein Risikofaktorstressi zugeordnet, der sich nach folgender Formel errechnet:

stressi = min(bi ·duri;1)

Dabei gilt, dass bi in Abhängigkeit von der Bonitätseinstufung der Verbriefungsposition i gemäß folgender Tabelle zugeordnet wird:

Bonitätseinstufung

Bonitätseinstufung 0 1 2 3 4 5 6
bi 12,5 % 13,4 % 16,6 % 19,7 % 82 % 100 % 100 %

(9) Verbriefungspositionen, die nicht unter die Absätze 3 bis 8 fallen, wird ein Risikofaktorstressi von 100 % zugeordnet.

Artikel 178a Spread-Risiko bei Verbriefungspositionen: Übergangsbestimmungen18

(1) Ungeachtet des Artikels 178 Absatz 3 wird vor dem 1. Januar 2019 emittierten Verbriefungen, die gemäß Artikel 177 Absatz 2 in der am 31. Dezember 2018 geltenden Fassung als Typ-1-Verbriefungen eingestuft werden, ein Risikofaktorstressi gemäß Artikel 178 Absatz 3 zugeordnet, auch wenn es sich bei diesen Verbriefungen nicht um STS-Verbriefungen handelt, die die Anforderungen des Artikels 243 der Verordnung (EU) Nr. 575/2013 erfüllen.

(2) Absatz 1 gilt nur dann, wenn keine neuen zugrunde liegenden Risikopositionen nach dem 31. Dezember 2018 hinzugefügt oder ersetzt wurden.

(3) Ungeachtet des Artikels 178 Absatz 3 wird vor dem 18. Januar 2015 emittierten Verbriefungen, die gemäß Artikel 177 Absatz 4 in der am 31. Dezember 2018 geltenden Fassung als Typ-1-Verbriefungen eingestuft werden, ein Risikofaktorstressi gemäß den Artikeln 177 und 178 in der am 31. Dezember 2018 geltenden Fassung zugeordnet.

(4) Ungeachtet des Artikels 178 Absatz 3 wird vor dem 1. Januar 2019 emittierten Verbriefungen, die gemäß Artikel 177 Absatz 5 in der am 31. Dezember 2018 geltenden Fassung als Typ-1-Verbriefungen eingestuft werden, bis zum 31. Dezember 2025 ein Risikofaktorstressi gemäß den Artikeln 177 und 178 in der am 31. Dezember 2018 geltenden Fassung zugeordnet.

Artikel 179 Spread-Risiko bei Kreditderivaten

1. Die Kapitalanforderung SCRcd für das Spread-Risiko bei Kreditderivaten, auf die nicht in Absatz 3 Bezug genommen wird, entspricht der höheren der folgenden Kapitalanforderungen:

  1. der Kapitalanforderung für den Verlust an Basiseigenmitteln, der sich aus einer unmittelbaren absoluten Ausweitung des Kredit-Spreads der den Kreditderivaten zugrunde liegenden Instrumente ergäbe;
  2. der Kapitalanforderung für den Verlust an Basiseigenmitteln, der sich aus einer unmittelbaren relativen Verengung des Kredit-Spreads der den Kreditderivaten zugrundeliegenden Instrumente um 75 % ergäbe.

Für die Zwecke von Buchstabe a wird die unmittelbare Ausweitung des Kredit-Spreads der den Kreditderivaten zugrundeliegenden Instrumente, für die eine Bonitätsbewertung einer benannten ECAI verfügbar ist, nach der folgenden Tabelle berechnet:

Bonitätseinstufung 0 1 2 3 4 5 6
Unmittelbare Ausweitung des Spreads (in Prozentpunkten) 1,3 1,5 2,6 4,5 8,4 16,20 16,20

2. Für die Zwecke von Absatz 1 Buchstabe a entspricht die unmittelbare Ausweitung des Kredit-Spreads der den Kreditderivaten zugrundeliegenden Instrumente, für die keine Bonitätsbewertung einer benannten ECAI verfügbar ist, 5 Prozentpunkten.

3. Kreditderivate, die Teil der Risikominderungsstrategie des Unternehmens sind, unterliegen nicht der Kapitalanforderung für das Spread-Risiko, solange das Unternehmen entweder die dem Kreditderivat zugrundeliegenden Instrumente oder andere Risikoexponierungen hält, bei denen das Basisrisiko zwischen der jeweiligen Risikoexponierung und den dem Kreditderivat zugrundeliegenden Instrumenten unter allen Umständen unwesentlich ist.

4. Basieren die höhere der Kapitalanforderungen nach Absatz 1 Buchstaben a und b und die höhere der entsprechenden Kapitalanforderungen, die im Einklang mit Artikel 206 Absatz 2 berechnet wird, nicht auf demselben Szenario, ist die Kapitalanforderung für das Spread-Risiko bei Kreditderivaten die Kapitalanforderung nach Absatz 1, bei der das zugrundeliegende Szenario die höchste entsprechende im Einklang mit Artikel 206 Absatz 2 berechnete Kapitalanforderung ergibt.

Artikel 180 Spezifische Risikoexponierungen16 17 18

1. Risikoexponierungen in Form von Schuldverschreibungen im Sinne des Artikels 52 Absatz 4 der Richtlinie 2009/65/EG (Covered Bonds), denen eine Bonitätseinstufung von 0 oder 1 zugeordnet wurde, wird ein Risikofaktor stressi im Einklang mit der folgenden Tabelle zugeordnet:

0 1
bis zu 5 0,7 %.duri 0,9 %.duri
mehr als 5 Jahre min(3,5% + 0,5% × (duri - 5); 1) min(4,5% + 0,5% × (duri - 5); 1)

2.Risikoexponierungen in Form von Anleihen und Darlehen gegenüber folgenden Stellen wird ein Risikofaktor stressi von 0 % zugeordnet:

  1. Risikoexponierungen gegenüber der Europäischen Zentralbank;
  2. Risikoexponierungen gegenüber den Zentralstaaten und Zentralbanken der Mitgliedstaaten, die auf die einheimische Währung dieses Zentralstaats und der Zentralbank lauten und aus dieser finanziert werden;
  3. Risikoexponierungen gegenüber multilateralen Entwicklungsbanken nach Artikel 117 Absatz 2 der Verordnung (EU) Nr. 575/2013;
  4. Risikoexponierungen gegenüber internationalen Organisationen nach Artikel 118 der Verordnung (EU) Nr. 575/2013.

Vollständig, vorbehaltlos und unwiderruflich von einer der unter den Buchstaben a bis d erwähnten Gegenparteien garantierten Risikoexponierungen in Form von Anleihen und Darlehen, bei denen die Garantie die Anforderungen nach Artikel 215 erfüllt, wird ebenfalls ein Risikofaktor stressi von 0 % zugeordnet.

3. Risikoexponierungen in Form von Anleihen und Darlehen gegenüber nicht unter Absatz 2 Buchstabe b fallenden Zentralstaaten und Zentralbanken, die auf die einheimische Währung dieses Zentralstaats und der Zentralbank lauten und aus dieser finanziert werden und für die eine Bonitätsbewertung einer benannten ECAI verfügbar ist, wird ein Risikofaktor stressi in Abhängigkeit von der Bonitätseinstufung und der Duration der Risikoexponierung im Einklang mit der folgenden Tabelle zugeordnet:

Bonitätseinstufung 0 und 1 2 3 4 5 und 6
Duration
(duri)
stressi ai bi ai bi ai bi ai bi ai bi
bis zu 5 bi ×duri - 0,0 % - 1,1 % - 1,4 % - 2,5 % - 4,5 %
mehr als 5 und bis zu 10 ai +bi × (duri - 5) 0,0 % 0,0 % 5,5 % 0,6 % 7,0 % 0,7 % 12,5 % 1,5 % 22,5 % 2,5 %
mehr als 10 und bis zu 15 ai +bi ×(duri - 10) 0,0 % 0,0 % 8,4 % 0,5 % 10,5 % 0,5 % 20,0 % 1,0 % 35,0 % 1,8 %
mehr als 15 und bis zu 20 ai +bi × (duri - 15) 0,0 % 0,0 % 10,9 % 0,5 % 13,0 % 0,5 % 25,0 % 1,0 % 44,0 % 0,5 %
mehr als 20 min [ai + bi × (duri - 20);1] 0,0 % 0,0 % 13,4 % 0,5 % 15,5 % 0,5 % 30,0 % 0,5 % 46,5 % 0,5 %

4. Risikoexponierungen in Form von Anleihen und Darlehen gegenüber einem Versicherungs- oder Rückversicherungsunternehmen, für das keine Bonitätsbewertung einer benannten ECAI verfügbar ist und das die betreffende Mindestkapitalanforderung erfüllt, wird ein Risikofaktor stressi nach der Tabelle in Artikel 176 Absatz 3 in Abhängigkeit von der Solvabilitätsquote unter Verwendung der folgenden Aufteilung nach Solvabilitätsquoten und Bonitätseinstufungen zugeordnet:

Solvabilitätsquote 196 % 175 % 122 % 95 % 75 % 75 %
Bonitätseinstufung 1 2 3 4 5 6

Wenn die Solvabilitätsquote zwischen den in der vorstehenden Tabelle angegebenen Solvabilitätsquoten liegt, wird der Wert des Risikofaktors stressi aus den am nächsten liegenden Werten fürstressi, die den am nächsten liegenden Solvabilitätsquoten in vorstehender Tabelle entsprechen, linear interpoliert. Für Solvabilitätsquoten unter 75 % entspricht stressi dem den Bonitätseinstufungen 5 und 6 entsprechenden Faktor. Für Solvabilitätsquoten über 196 % entspricht stressi dem der Bonitätseinstufung 1 entsprechenden Faktor.

Für die Zwecke dieses Absatzes bezeichnet "Solvabilitätsquote" die Quote aus den zur Erfüllung der Solvenzkapitalanforderung anrechenbaren Eigenmitteln und der Solvenzkapitalanforderung unter Verwendung der aktuellsten verfügbaren Werte.

5. Risikoexponierungen in Form von Anleihen und Darlehen gegenüber einem Versicherungs- oder Rückversicherungsunternehmen, das die betreffende Mindestkapitalanforderung nicht erfüllt, wird ein Risikofaktor stressi im Einklang mit der folgenden Tabelle zugeordnet:

Duration (duri) Risikofaktorstressi
bis zu 5 7,5 %.duri
mehr als 5 und bis zu 10 37,50 % + 4,20 %.(duri - 5)
mehr als 10 und bis zu 15 58,50 % + 0,50 %.(duri - 10)
mehr als 15 und bis zu 20 61 % + 0,50 %.(duri - 15)
mehr als 20 min(63,5% + 0,5% × (duri - 20);1)

6. Die Absätze 4 und 5 dieses Artikels finden erst ab dem ersten Tag der Offenlegung des Berichts über die Solvabilität und Finanzlage nach Artikel 51 der Richtlinie 2009/138/EG durch das der Risikoexponierung entsprechende Unternehmen Anwendung. Vor diesem Tag findet Artikel 176 dieser Verordnung Anwendung, sofern für die Risikoexponierungen eine Bonitätsbewertung einer benannten ECAI verfügbar ist, andernfalls wird den Risikoexponierungen derjenige Risikofaktor zugeordnet, der sich aus der Anwendung des Absatzes 4 dieses Artikels auf Exponierungen gegenüber einem Versicherungs- oder Rückversicherungsunternehmen mit einer Solvabilitätsquote 100 % ergäbe.

7. Risikoexponierungen in Form von Anleihen und Darlehen gegenüber einem Versicherungs- oder Rückversicherungsunternehmen in einem Drittland, für das keine Bonitätsbewertung einer benannten ECAI verfügbar ist und das in einem Land ansässig ist, dessen Solvabilitätssystem als dem in der Richtlinie 2009/138/EG gemäß Artikel 227 der Richtlinie 2009/138/EG niedergelegten System gleichwertig angesehen wird und das die Solvabilitätsanforderungen jenes Drittlands erfüllt, wird derjenige Risikofaktor zugeordnet, der sich aus der Anwendung des Absatzes 4 auf Exponierungen gegenüber einem Versicherungs- oder Rückversicherungsunternehmen mit einer Solvabilitätsquote von 100 % ergäbe.

8. Risikoexponierungen in Form von Anleihen und Darlehen gegenüber Kredit- und Finanzinstituten im Sinne des Artikels 4 Absatz 1 Nummern 1 und 26 der Verordnung (EU) Nr. 575/2013, die die Solvabilitätsanforderungen nach der Richtlinie 2013/36/EU und der Verordnung (EU) Nr. 575/2013 erfüllen und für die keine Bonitätsbewertung einer benannten ECAI verfügbar ist, wird derjenige Risikofaktor zugeordnet, der sich aus der Anwendung des Absatzes 4 auf Exponierungen gegenüber einem Versicherungs- oder Rückversicherungsunternehmen mit einer Solvabilitätsquote von 100 % ergäbe.

9. Die Kapitalanforderung für das Spread-Risiko bei Kreditderivaten, bei denen das zugrundeliegende Finanzinstrument eine Anleihe oder ein Darlehen im Zusammenhang mit einer Exponierung nach Absatz 2 ist, entspricht null.

10. Vollständig, vorbehaltlos und unwiderruflich vom Europäischen Investitionsfonds oder von der Europäischen Investitionsbank garantierte STS-Verbriefungspositionen, die die Kriterien nach Artikel 243 der Verordnung (EU) Nr. 575/2013 erfüllen und bei denen die Garantie die Anforderungen nach Artikel 215 erfüllt, wird ein Risikofaktorstressi von 0 % zugeordnet.

10a. Ungeachtet des Absatzes 10 wird vor dem 1. Januar 2019 emittierten Verbriefungen, die nach Absatz 10 in der am 31. Dezember 2018 geltenden Fassung als Typ-1-Verbriefungen eingestuft werden, ein Risikofaktorstressi von 0 % zugeordnet, auch wenn es sich bei diesen Verbriefungen nicht um STS-Verbriefungen handelt, die die Anforderungen des Artikels 243 der Verordnung (EU) Nr. 575/2013 erfüllen.

11. Risikoexponierungen in Form von Anleihen oder Darlehen, die die Kriterien in Absatz 12 erfüllen, wird in Abhängigkeit von der Bonitätseinstufung und der Duration der Risikoexponierung im Einklang mit der folgenden Tabelle ein Risikofaktorstressi zugeordnet.

Bonitätseinstufung 0 1 2 3
Duration
(duri)
stressi ai bi ai bi ai bi ai bi
bis zu 5 bi ·duri - 0,64 % - 0,78 % - 1,0 % - 1,67 %
mehr als 5 und bis zu 10 ai +bi × (duri - 5) 3,2 % 0,36 % 3,9 % 0,43 % 5,0 % 0,5 % 8,35 % 1,0 %
mehr als 10 und bis zu 15 ai +bi × (duri - 10) 5,0 % 0,36 % 6,05 % 0,36 % 7,5 % 0,36 % 13,35 % 0,67 %
mehr als 15 und bis zu 20 ai +bi × (duri - 15) 6,8 % 0,36 % 7,85 % 0,36 % 9,3 % 0,36 % 16,7 % 0,67 %
mehr als 20 min[ai +bi × (duri - 20);1] 8,6 % 0,36 % 9,65 % 0,36 % 11,1 % 0,36 % 20,05 % 0,36 %

12. Für die Risikoexponierungen, denen im Einklang mit Absatz 11 ein Risikofaktor zugeordnet wird, gelten die folgenden Kriterien:

  1. Die Risikoexponierung betrifft eine qualifizierte Infrastrukturinvestition, die die Kriterien nach Artikel 164a erfüllt;
  2. die Risikoexponierung erfüllt die folgenden Bedingungen nicht:
  3. für die Risikoexponierung steht die Bonitätsbewertung einer benannten ECAI zur Verfügung;
  4. der Risikoexponierung wurde eine Bonitätseinstufung zwischen 0 und 3 zugeordnet.

13. Risikoexponierungen in Form von Anleihen oder Darlehen, die die Kriterien in Absatz 12 Buchstaben a und b, aber nicht die Kriterien in Absatz 12 Buchstabe c erfüllen, wird ein Risikofaktorstressi zugeordnet, der der Bonitätseinstufung 3 und der Duration der Risikoexponierung nach der Tabelle in Absatz 11 entspricht.

14. Risikoexponierungen in Form von Anleihen oder Darlehen, die die Kriterien in Absatz 15 erfüllen, wird in Abhängigkeit von der Bonitätseinstufung und der Duration der Risikoexponierung im Einklang mit der folgenden Tabelle ein Risikofaktor stressi zugeordnet:

Bonitätseinstufung 0 1 2 3
Duration
(duri)
stressi ai bi ai bi ai bi ai bi
bis zu 5 bi · duri - 0,68 % - 0,83 % - 1,05 % - 1,88 %
mehr als 5 und bis zu 10 ai + bi · (duri - 5) 3,38 % 0,38 % 4,13 % 0,45 % 5,25 % 0,53 % 9,38 % 1,13 %
mehr als 10 und bis zu 15 ai + bi · (duri - 10) 5,25 % 0,38 % 6,38 % 0,38 % 7,88 % 0,38 % 15,0 % 0,75 %
mehr als 15 und bis zu 20 ai + bi · (duri - 15) 7,13 % 0,38 % 8,25 % 0,38 % 9,75 % 0,38 % 18,75 % 0,75 %
mehr als 20 min[ai + bi · (duri - 20);1] 9,0 % 0,38 % 10,13 % 0,38 % 11,63 % 0,38 % 22,50 % 0,38 %

15. Für die Risikoexponierungen, denen im Einklang mit Absatz 14 ein Risikofaktor zugeordnet wird, gelten die folgenden Kriterien:

  1. Die Risikoexponierung betrifft eine qualifizierte Investition in Infrastrukturunternehmen, die die Kriterien nach Artikel 164b erfüllt;
  2. die Risikoexponierung ist kein Vermögenswert, der die folgenden Bedingungen erfüllt:
  3. für die Infrastrukturgesellschaft steht die Bonitätsbewertung einer benannten ECAI zur Verfügung;
  4. der Risikoexponierung wurde eine Bonitätseinstufung zwischen 0 und 3 zugeordnet.

16. Risikoexponierungen in Form von Anleihen oder Darlehen, die die Kriterien in Absatz 15 Buchstaben a und b, aber nicht die Kriterien in Absatz 15 Buchstabe c erfüllen, wird ein Risikofaktor stressi zugeordnet, der der Bonitätseinstufung 3 und der Duration der Risikoexponierung nach der Tabelle in Absatz 14 entspricht.

Artikel 181 Anwendung der Spread-Risikoszenarien auf Matching-Adjustment-Portfolios16 17

Wenn Versicherungsunternehmen die Matching-Anpassung gemäß Artikel 77b der Richtlinie 2009/138/EG anwenden, führen sie die szenariobasierte Berechnung für das Spread-Risiko wie folgt durch:

  1. die im zugeordneten Portfolio enthaltenen Vermögenswerte unterliegen einer unmittelbaren Wertminderung für das Spread-Risiko nach den Artikeln 176, 178 und 180;
  2. die versicherungstechnischen Rückstellungen werden neu berechnet, um die Auswirkung der unmittelbaren Wertminderung des zugeordneten Vermögensportfolios auf die Höhe der Matching-Anpassung zu berücksichtigen. Insbesondere erhöht sich der grundlegende Spread um einen absoluten Betrag, der dem Produkt aus folgenden Faktoren entspricht:
    1. der absoluten Ausweitung des Spreads, die nach Multiplikation mit der modifizierten Duration des relevanten Vermögensgegenstands den relevanten Risikofaktor stressi nach den Artikeln 176, 178 und 180 ergäbe;
    2. einem Reduktionsfaktor in Abhängigkeit von der Bonität gemäß der folgenden Tabelle:
    Bonitäts-einstufung 0 1 2 3 4 5 6
    Reduktionsfaktor 45 % 50 % 60 % 75 % 100 % 100 % 100 %

    Für Vermögenswerte in dem zugeordneten Portfolio, für die keine Bonitätsbewertung einer benannten ECAI verfügbar ist, sowie für qualifizierte Infrastrukturvermögenswerte und für qualifizierte Vermögenswerte von Infrastrukturunternehmen, die eine Bonitätseinstufung von 3 erhalten haben, entspricht der Reduktionsfaktor 100 %.

Unterabschnitt 6
Untermodul Marktrisikokonzentrationen

Artikel 182 Risikoexponierung gegenüber einer Einzeladresse

1. Die Kapitalanforderung für Marktrisikokonzentrationen errechnet sich auf der Grundlage von Risikoexponierungen gegenüber Einzeladressen. Zu diesem Zweck werden Risikoexponierungen gegenüber Unternehmen, die zur selben Unternehmensgruppe gehören, als zugehörig zu einer Einzeladresse behandelt. Ebenfalls werden Objekte, die sich im selben Gebäude befinden, als eine einzige Immobilie betrachtet.

2. Die Forderungshöhe bei Ausfall gegenüber einer Gegenpartei entspricht der Summe der Risikoexponierungen gegenüber dieser Gegenpartei.

3. Die Forderungshöhe bei Ausfall gegenüber einer Risikoexponierung gegenüber einer Einzeladresse entspricht der Summe der Forderungshöhen gegenüber allen Gegenparteien, die zu der Risikoexponierung gegenüber einer Einzeladresse gehören.

4. Die gewichtete durchschnittliche Bonitätseinstufung einer Risikoexponierung gegenüber einer Einzeladresse entspricht dem aufgerundeten Durchschnitt der Bonitätseinstufungen aller Risikoexponierungen gegenüber Gegenparteien, die zu der Risikoexponierung gegenüber einer Einzeladresse gehören, gewichtet nach dem Wert jeder Risikoexponierung.

5. Für die Zwecke des Absatzes 4 wird Risikoexponierungen, für die eine Bonitätsbewertung einer benannten ECAI verfügbar ist, eine Bonitätseinstufung im Einklang mit Kapitel 1 Abschnitt 2 dieses Titels zugeordnet. Risikoexponierungen, für die keine Bonitätsbewertung einer benannten ECAI verfügbar ist, wird die Bonitätseinstufung 5 zugeordnet.

Artikel 183 Berechnung der Kapitalanforderung für Marktrisikokonzentrationen

1. Die Kapitalanforderung für Marktrisikokonzentrationen errechnet sich wie folgt:

dabei gilt:

  1. die Summe umfasst alle Risikoexponierungen gegenüber Einzeladresseni;
  2. Concibezeichnet die Kapitalanforderung für Marktrisikokonzentrationen in Bezug auf eine Risikoexponierung gegenüber einer Einzeladressei.

2. Für jede Risikoexponierung gegenüber einer Einzeladresse i entspricht die Kapitalanforderung für MarktrisikokonzentrationenConci dem Verlust an Basiseigenmitteln, der sich aus einem unmittelbaren Rückgang des Werts der Vermögenswerte ergäbe, die der Risikoexponierung gegenüber einer Einzeladressei entsprechen:

XSi ×gi

dabei gilt:

  1. XSi bezeichnet die Überschreitung der Konzentrationsschwelle nach Artikel 184;
  2. gi bezeichnet den Risikofaktor für Marktrisikokonzentrationen nach den Artikeln 186 und 187.

Artikel 184 Überschreitung der Konzentrationsschwelle16

1. Die Überschreitung der Konzentrationsschwelle in Bezug auf eine Risikoexponierung gegenüber einer Einzeladressei errechnet sich wie folgt:

XSi =Max(0;Ei -CTi ×Assets)

dabei gilt:

  1. Ei bezeichnet die Forderungshöhe bei Ausfall in Bezug auf eine Risikoexponierung gegenüber einer Einzeladressei, die in der Berechnungsgrundlage für das Untermodul Marktrisikokonzentrationen enthalten ist;
  2. Assets bezeichnet die Berechnungsgrundlage des Untermoduls Marktrisikokonzentrationen;
  3. CTi bezeichnet die Konzentrationsschwelle nach Artikel 185.

2. Die Berechnungsgrundlage des Untermoduls Marktrisikokonzentrationen Assets entspricht dem Wert aller von einem Versicherungs- oder Rückversicherungsunternehmen gehaltenen Vermögenswerte, ausgenommen

  1. Vermögenswerte, die in Bezug auf Lebensversicherungsverträge gehalten werden, bei denen das Anlagerisiko vollständig von den Versicherungsnehmern getragen wird;
  2. Risikoexponierungen gegenüber einer Gegenpartei, die zur selben Gruppe wie das Versicherungs- oder Rückversicherungsunternehmen gehört, sofern sämtliche folgenden Bedingungen erfüllt sind:
    1. die Gegenpartei ist ein Versicherungs- oder Rückversicherungsunternehmen, eine Versicherungsholdinggesellschaft, eine gemischte Finanzholdinggesellschaft oder ein Nebendienstleistungsunternehmen;
    2. die Gegenpartei ist im Einklang mit Artikel 335 Absatz 1 Buchstabe a voll konsolidiert;
    3. die Gegenpartei unterliegt denselben Risikobewertungs-, -mess- und -kontrollverfahren wie das Versicherungs- oder Rückversicherungsunternehmen;
    4. die Gegenpartei hat ihren Sitz in der Union;
    5. ein wesentliches praktisches oder rechtliches Hindernis für die unverzügliche Übertragung von Eigenmitteln von der Gegenpartei auf das Versicherungs- oder Rückversicherungsunternehmen oder die Rückzahlung von Verbindlichkeiten an das Versicherungs- oder Rückversicherungsunternehmen durch die Gegenpartei ist weder vorhanden noch abzusehen;
  3. der Wert von Beteiligungen an Finanz- und Kreditinstituten nach Artikel 92 Absatz 2 der Richtlinie 2009/138/EG, die nach Artikel 68 dieser Verordnung von den Eigenmitteln abgezogen werden;
  4. Risikoexponierungen, die im Anwendungsbereich des Gegenparteiausfallrisikomoduls erfasst werden;
  5. latente Steueransprüche;
  6. immaterielle Vermögenswerte.

3. Die Forderungshöhe bei Ausfall in Bezug auf eine Risikoexponierung gegenüber einer Einzeladresse i wird um den Betrag der Forderungshöhe bei Ausfall gegenüber Gegenparteien, die zu dieser Risikoexponierung gegenüber einer Einzeladresse gehören und für die sich der Risikofaktor für Marktrisikokonzentrationen nach den Artikeln 168 und 187 auf 0 % beläuft, reduziert.

Artikel 185 Konzentrationsschwellen

Jeder Risikoexponierung gegenüber einer Einzeladresse i wird im Einklang mit der folgenden Tabelle eine Konzentrationsschwelle zugeordnet, die von der im Einklang mit Artikel 182 Absatz 4 berechneten gewichteten durchschnittlichen Bonitätseinstufung der Risikoexponierung gegenüber einer Einzeladressei abhängig ist.

Gewichtete durchschnittliche Bonitätseinstufung der Risikoexponierung gegenüber einer Einzeladressei 0 1 2 3 4 5 6
KonzentrationsschwelleCTi 3 % 3 % 3 % 1,5 % 1,5 % 1,5 % 1,5 %

Artikel 186 Risikofaktor für Marktrisikokonzentrationen16

1. Jeder Risikoexponierung gegenüber einer Einzeladressei wird im Einklang mit der folgenden Tabelle ein Risikofaktor gi für Marktrisikokonzentrationen zugeordnet, der von der im Einklang mit Artikel 182 Absatz 4 berechneten gewichteten durchschnittlichen Bonitätseinstufung der Risikoexponierung gegenüber einer Einzeladressei abhängig ist.

Gewichtete durchschnittliche Bonitätseinstufung der Risikoexponierung gegenüber einer Einzeladressei 0 1 2 3 4 5 6
Risikofaktorgi 12 % 12 % 21 % 27 % 73 % 73 % 73 %

2. Risikoexponierungen gegenüber Einzeladressen bei einem Versicherungs- oder Rückversicherungsunternehmen, für das keine Bonitätsbewertung einer benannten ECAI verfügbar ist, wird, falls das Unternehmen die betreffende Mindestkapitalanforderung erfüllt, ein von der Solvabilitätsquote des Unternehmens abhängiger Risikofaktorgi für Marktrisikokonzentrationen im Einklang mit der folgenden Tabelle zugeordnet:

Solvabilitätsquote 95 % 100 % 122 % 175 % 196 %
Risikofaktorgi 73 % 64,5 % 27 % 21 % 12 %

Wenn die Solvabilitätsquote zwischen den in der vorstehenden Tabelle angegebenen Solvabilitätsquoten liegt, wird der Wert vongi aus den am nächsten liegenden Werten fürgi, die den am nächsten liegenden Solvabilitätsquoten in vorstehender Tabelle entsprechen, linear interpoliert. Für Solvabilitätsquoten unter 95 % entspricht der Risikofaktorgi 73 %. Für Solvabilitätsquoten über 196 % entspricht der Risikofaktorgi 12 %.

Für die Zwecke dieses Absatzes bezeichnet "Solvabilitätsquote" die Quote aus den zur Erfüllung der Solvenzkapitalanforderung anrechenbaren Eigenmitteln und der Solvenzkapitalanforderung unter Verwendung der aktuellsten verfügbaren Werte.

3. Risikoexponierungen gegenüber Einzeladressen bei einem Versicherungs- oder Rückversicherungsunternehmen, die nicht die betreffende Mindestkapitalanforderung erfüllen, wird ein Risikofaktorgi für die Marktrisikokonzentrationen von 73 % zugeordnet.

Die Absätze 2 und 3 dieses Artikels finden erst ab dem ersten Tag der Offenlegung des Berichts über die Solvabilität und Finanzlage nach Artikel 51 der Richtlinie 2009/138/EG durch das der Risikoexponierung entsprechende Unternehmen Anwendung. Vor diesem Tag findet Absatz 1 Anwendung, sofern für die Risikoexponierung gegenüber einer Einzeladresse eine Bonitätsbewertung einer benannten ECAI verfügbar ist, andernfalls wird den Risikoexponierungen ein Risikofaktor gi von 64,5 % zugeordnet.

4. Risikoexponierungen gegenüber Einzeladressen bei einem Versicherungs- oder Rückversicherungsunternehmen in einem Drittland, für das keine Bonitätsbewertung einer benannten ECAI verfügbar ist und das in einem Land ansässig ist, dessen Solvabilitätssystem als dem in der Richtlinie 2009/138/EG gemäß Artikel 227 der Richtlinie 2009/138/EG niedergelegten System gleichwertig angesehen wird und das die Solvabilitätsanforderungen jenes Drittlands erfüllt, wird ein Risikofaktorgi von 64,5 % zugeordnet.

5. Risikoexponierungen gegenüber Einzeladressen bei Kredit- und Finanzinstituten im Sinne des Artikels 4 Absatz 1 Nummern 1 und 26 der Verordnung (EU) Nr. 575/2013, die die Solvabilitätsanforderungen nach der Richtlinie 2013/36/EU und der Verordnung (EU) Nr. 575/2013 erfüllen und für die keine Bonitätsbewertung einer benannten ECAI verfügbar ist, wird ein Risikofaktor gi von 64,5 % zugeordnet.

6. Risikoexponierungen gegenüber Einzeladressen, die nicht unter die in den Absätzen 1 bis 5 ermittelten Risikoexponierungen gegenüber Einzeladressen fallen, wird ein Risikofaktorgi für Marktkonzentrationen von 73 % zugeordnet.

Artikel 187 Spezifische Risikoexponierungen

1. Risikoexponierungen in Form von Schuldverschreibungen im Sinne des Artikels 52 Absatz 4 der Richtlinie 2009/65/EG (Covered Bonds) wird eine KonzentrationsschwelleCTi von 15 % zugeordnet, sofern den entsprechenden Risikoexponierungen in Form von Covered Bonds eine Bonitätseinstufung von 0 oder 1 zugeordnet wurde. Risikoexponierungen in Form von Covered Bonds werden als Risikoexponierungen gegenüber Einzeladressen angesehen, ungeachtet anderer Risikoexponierungen gegenüber derselben Gegenpartei als Emittentin der Covered Bonds, die eine gesonderte Risikoexponierung gegenüber einer Einzeladresse darstellen.

2. Risikoexponierungen gegenüber einer einzelnen Immobilie wird eine KonzentrationsschwelleCTi von 10 % und ein Risikofaktorgi für Marktrisikokonzentrationen von 12 % zugeordnet.

3. Risikoexponierungen gegenüber folgenden Stellen wird ein Risikofaktorgi für Marktrisikokonzentrationen von 0 % zugeordnet:

  1. Risikoexponierungen gegenüber der Europäischen Zentralbank;
  2. Risikoexponierungen gegenüber den Zentralstaaten und Zentralbanken der Mitgliedstaaten, die auf die einheimische Währung dieses Zentralstaats und der Zentralbank lauten und aus dieser finanziert werden;
  3. Risikoexponierungen gegenüber multilateralen Entwicklungsbanken nach Artikel 117 Absatz 2 der Verordnung (EU) Nr. 575/2013;
  4. Risikoexponierungen gegenüber internationalen Organisationen nach Artikel 118 der Verordnung (EU) Nr. 575/2013.

Vollständig, vorbehaltlos und unwiderruflich von einer der unter den Buchstaben a bis d erwähnten Gegenparteien garantierten Risikoexponierungen, bei denen die Garantie die Anforderungen nach Artikel 215 erfüllt, wird ebenfalls ein Risikofaktorgi von 0 % zugeordnet.

4. Risikoexponierungen gegenüber nicht unter Absatz 3 Buchstabe b fallenden Zentralstaaten und Zentralbanken, die auf die einheimische Währung dieses Zentralstaats und der Zentralbank lauten und aus dieser Währung finanziert werden, wird in Abhängigkeit von ihrer gewichteten durchschnittlichen Bonitätseinstufung ein Risikofaktorgi für Marktrisikokonzentrationen im Einklang mit der folgenden Tabelle zugeordnet:

Gewichtete durchschnittliche Bonitätseinstufung der Risikoexponierung gegenüber einer Einzeladressei 0 1 2 3 4 5 6
Risikofaktorgi 0 % 0 % 12 % 21 % 27 % 73 % 73 %

5. Risikoexponierungen in Form von Bankeinlagen wird ein Risikofaktorgi für Marktrisikokonzentrationen von 0 % zugeordnet, sofern die folgenden Anforderungen erfüllt sind:

  1. die Risikoexponierung ist in voller Höhe von einem Einlagensicherungssystem der Union gedeckt;
  2. die Garantie gilt ohne Restriktionen für das Versicherungs- oder Rückversicherungsunternehmen;
  3. die Garantie wird im Rahmen der Berechnung der Solvenzkapitalanforderung nicht doppelt gezählt.

Unterabschnitt 7
Untermodul Wechselkursrisiko

Artikel 188

1. Die Kapitalanforderung für das Wechselkursrisiko nach Artikel 105 Absatz 5 Unterabsatz 2 Buchstabe e der Richtlinie 2009/138/EG entspricht der Summe der Kapitalanforderungen für das Wechselkursrisiko für jede Fremdwährung. Bei Investitionen in Typ-1-Aktien nach Artikel 168 Absatz 2 und Typ-2-Aktien nach Artikel 168 Absatz 3, die an Börsen mit Handel in verschiedenen Währungen notiert sind, wird angenommen, dass sie sensitiv gegenüber der Währung ihrer Hauptnotierung sind. Bei nicht notierten Typ-2-Aktien nach Artikel 168 Absatz 3 wird angenommen, dass sie sensitiv gegenüber der Währung des Landes sind, in dem der Emittent seine Haupttätigkeit ausübt. Bei Immobilien wird angenommen, dass sie sensitiv gegenüber der Währung des Landes sind, in dem sie liegen.

  1. Für die Zwecke dieses Artikels sind Fremdwährungen Währungen, die von dem Versicherungs- oder Rückversicherungsunternehmen nicht für die Erstellung des Abschlusses verwendet werden (lokale Währung).

2. Für jede Fremdwährung entspricht die Kapitalanforderung für das Wechselkursrisiko der höheren der folgenden Kapitalanforderungen:

  1. der Kapitalanforderung für das Risiko eines Anstiegs des Werts der Fremdwährung gegenüber der lokalen Währung;
  2. der Kapitalanforderung für das Risiko eines Rückgangs des Werts der Fremdwährung gegenüber der lokalen Währung.

3. Die Kapitalanforderung für das Risiko eines Anstiegs des Werts einer Fremdwährung gegenüber der lokalen Währung entspricht dem Verlust an Basiseigenmitteln, der sich aus einem unmittelbaren Anstieg des Werts der Fremdwährung gegenüber der lokalen Währung um 25 % ergäbe.

4. Die Kapitalanforderung für das Risiko eines Rückgangs des Werts einer Fremdwährung gegenüber der lokalen Währung entspricht dem Verlust an Basiseigenmitteln, der sich aus einem unmittelbaren Rückgang des Werts der Fremdwährung gegenüber der lokalen Währung um 25 % ergäbe.

5. Für an den Euro gekoppelte Währungen kann der Faktor von 25 % nach den Absätzen 3 und 4 dieses Artikels im Einklang mit dem nach Artikel 109a Absatz 2 Buchstabe d der Richtlinie 2009/138/EG angenommenen Durchführungsrechtsakt angepasst werden, sofern sämtliche folgenden Bedingungen erfüllt sind:

  1. die vereinbarte Kopplung stellt sicher, dass die relativen Änderungen des Wechselkurses über einen Zeitraum eines Jahres im Falle extremer Marktereignisse nicht die relativen Anpassungen an den Faktor von 25 % überschreiten, die dem in Artikel 101 Absatz 3 der Richtlinie 2009/138/EG festgelegten Konfidenzniveau entsprechen;
  2. eines der folgenden Kriterien trifft zu:
    1. Teilnahme der Währung am Europäischen Wechselkursmechanismus (WKM II);
    2. Existenz eines Beschlusses des Rates, in dem die vereinbarte Kopplung dieser Währung an den Euro anerkannt wird;
    3. gesetzliche Verankerung der vereinbarten Kopplung in dem Land mit der betreffenden einheimischen Währung.

Für die Zwecke des Buchstabens a wird den finanziellen Ressourcen der Parteien, die die Kopplung garantieren, Rechnung getragen.

6. Die Auswirkung eines Anstiegs oder Rückgangs des Werts einer Fremdwährung gegenüber der lokalen Währung auf den Wert der Beteiligungen an Finanz- und Kreditinstituten nach Artikel 92 Absatz 2 der Richtlinie 2009/138/EG ist nur auf den Wert derjenigen Beteiligungen zu berücksichtigen, die nach Artikel 68 nicht von den Eigenmitteln abgezogen werden. Der von den Eigenmitteln abgezogene Bestandteil wird nur insofern berücksichtigt, als eine solche Auswirkung einen Anstieg der Basiseigenmittel bewirkt.

7. Basieren die höhere der Kapitalanforderungen nach Absatz 2 Buchstaben a und b und die höchste der entsprechenden Kapitalanforderungen, die im Einklang mit Artikel 206 Absatz 2 berechnet wird, nicht auf demselben Szenario, ist die Kapitalanforderung für das Wechselkursrisiko für eine Währung die Kapitalanforderung nach Absatz 2 Buchstaben a oder b, bei der das zugrundeliegende Szenario die höchste entsprechende im Einklang mit Artikel 206 Absatz 2 berechnete Kapitalanforderung ergibt.

Abschnitt 6
Gegenparteiausfallrisikomodul

Unterabschnitt 1
Allgemeine Bestimmungen

Artikel 189 Anwendungsbereich

1. Die Kapitalanforderung für das Gegenparteiausfallrisiko errechnet sich wie folgt:

Dabei gilt:

  1. SCRdef,1 bezeichnet die Kapitalanforderung für das Gegenparteiausfallrisiko für Typ-1-Exponierungen nach Absatz 2;
  2. SCRdef,2 bezeichnet die Kapitalanforderung für das Gegenparteiausfallrisiko für Typ-2-Exponierungen nach Absatz 3.

2. Typ-1-Exponierungen umfassen Exponierungen in Verbindung mit Folgendem:

  1. risikomindernden Verträgen, einschließlich Rückversicherungsvereinbarungen, Zweckgesellschaften, Versicherungsverbriefungen und Derivaten;
  2. Einlagen bei Kreditinstituten nach Artikel 6 Posten F der Richtlinie 91/674/EWG 14;
  3. Einlagen bei Zedenten, bei denen die Anzahl der Risikoexponierungen gegenüber Einzeladressen nicht mehr als 15 beträgt;
  4. Verpflichtungen zugunsten eines Versicherungs- oder Rückversicherungsunternehmens, die abgerufen, aber noch nicht eingezahlt sind, bei denen die Anzahl der Risikoexponierungen gegenüber Einzeladressen nicht mehr als 15 beträgt, darunter abgerufenes, aber nicht eingezahltes Grundkapital und Vorzugsaktien, abgerufene, aber nicht eingezahlte rechtsverbindliche Verpflichtungen zur Zeichnung und Zahlung nachrangiger Verbindlichkeiten, abgerufener, aber nicht eingezahlter Gründungsstock, Mitgliedereinlagen oder der entsprechende Bestandteil der Basiseigenmittel für Versicherungsunternehmen auf Gegenseitigkeit oder diesen ähnliche Unternehmen, abgerufene, aber nicht eingezahlte Garantien, abgerufene, aber nicht eingezahlte Akkreditive, abgerufene, aber nicht eingezahlte Forderungen, die Versicherungsvereine auf Gegenseitigkeit oder diesen ähnliche Vereine gegenüber ihren Mitgliedern mittels der Aufforderung zur Beitragsnachzahlung geltend machen können;
  5. rechtsverbindliche Verpflichtungen, die das Unternehmen übernommen oder vereinbart hat und die Zahlungsverpflichtungen abhängig von der Bonität oder dem Ausfall einer Gegenpartei begründen können, einschließlich Garantien, Akkreditiven und Patronatserklärungen, die das Unternehmen gestellt bzw. abgegeben hat.

3. Typ-2-Exponierungen umfassen alle Kreditexponierungen, die nicht vom Untermodul für das Spread-Risiko abgedeckt werden und nicht zu den Typ-1-Exponierungen zählen, einschließlich

  1. Forderungen gegenüber Vermittlern;
  2. Forderungen gegenüber Versicherungsnehmern;
  3. Hypothekendarlehen, die die Anforderungen des Artikel 191 Absätze 2 bis 13 erfüllen;
  4. Einlagen bei Zedenten, bei denen die Anzahl der Risikoexponierungen gegenüber Einzeladressen mehr als 15 beträgt;
  5. Verpflichtungen zugunsten eines Versicherungs- oder Rückversicherungsunternehmens, die nach Absatz 2 Buchstabe d abgerufen, aber nicht eingezahlt wurden, bei denen die Anzahl der Risikoexponierungen gegenüber Einzeladressen 15 überschreitet.

4. Versicherungs- und Rückversicherungsunternehmen können nach eigenem Ermessen alle in Absatz 3 Buchstaben d und e genannten Risikoexponierungen unabhängig von der Anzahl der Risikoexponierungen gegenüber Einzeladressen als Typ-1-Exponierung einstufen.

5. Wenn ein Akkreditiv, eine Garantie oder eine ähnliche risikomindernde Methode zur vollständigen Absicherung einer Risikoexponierung eingesetzt wurde und diese risikomindernde Methode die Anforderungen der Artikel 209 bis 215 erfüllt, so kann der Anbieter des Akkreditivs, der Garantie oder der ähnlichen risikomindernden Methode für die Zwecke der Ermittlung der Anzahl der Risikoexponierungen gegenüber Einzeladressen als Gegenpartei bezüglich der abgesicherten Risikoexponierung angesehen werden.

6. Die folgenden Kreditrisiken werden nicht im Gegenparteiausfallrisikomodul erfasst:

  1. das durch ein Kreditderivat übertragene Kreditrisiko;
  2. das Kreditrisiko in Verbindung mit der Emission von Schuldtiteln durch Zweckgesellschaften, unabhängig davon, ob diese unter Artikel 13 Absatz 26 der Richtlinie 2009/138/EG fallen oder nicht;
  3. das versicherungstechnische Risiko von Kredit- und Kautionsversicherungen oder -rückversicherungen, auf die in den Geschäftsbereichen 9, 21 und 28 des Anhangs Anhang I dieser Verordnung Bezug genommen wird;
  4. das Kreditrisiko in Verbindung mit Hypothekendarlehen, die die Anforderungen des Artikels 191 Absätze 2 bis 9 nicht erfüllen.

7. Kapitalanlagegarantien bei Versicherungsverträgen, die den Versicherungsnehmern von einem Dritten gewährt werden und für die das Versicherungs- oder Rückversicherungsunternehmen bei Ausfall des Dritten haftbar wäre, sind im Gegenparteiausfallrisikomodul als Derivate zu behandeln.

Artikel 190 Risikoexponierungen gegenüber Einzeladressen16

1. Die Kapitalanforderung für das Gegenparteiausfallrisiko errechnet sich auf der Grundlage von Risikoexponierungen gegenüber Einzeladressen. Zu diesem Zweck werden Exponierungen gegenüber Unternehmen, die zur selben Unternehmensgruppe gehören, als zugehörig zu einer Einzeladresse behandelt.

2. Das Versicherungs- oder Rückversicherungsunternehmen kann Risikoexponierungen, die auf verschiedene Mitglieder ein und desselben rechtlichen oder vertraglichen Versicherungspools entfallen, als unterschiedliche Risikoexponierungen gegenüber Einzeladressen betrachten, wenn die Ausfallwahrscheinlichkeit der Risikoexponierung gegenüber einer Einzeladresse im Einklang mit Artikel 199 und der Verlust bei Ausfall im Einklang mit Artikel 193 berechnet wird, wenn es sich um eine Pool-Forderung vom Typ a handelt, im Einklang mit Artikel 194, wenn es sich um eine Pool- Forderung vom Typ B handelt, und im Einklang mit Artikel 195, wenn es sich um eine Pool-Forderung vom Typ C handelt. Andernfalls werden Risikoexponierungen gegenüber den Unternehmen, die zum selben Versicherungspool gehören, als zugehörig zu einer Einzeladresse behandelt.

Artikel 191 Hypothekendarlehen

1. Retail-Darlehen, die durch Hypotheken auf Wohneigentum besichert sind (Hypothekendarlehen), werden im Rahmen des Gegenparteiausfallrisikos als Typ-2-Exponierungen behandelt, sofern die Anforderungen der Absätze 2 bis 13 erfüllt sind.

2. Die Forderung richtet sich an eine natürliche Person, natürliche Personen oder ein kleines oder mittleres Unternehmen.

3. Die Forderung ist eine von vielen Forderungen mit ähnlichen Merkmalen, so dass die Risiken derartiger Ausleihungen wesentlich reduziert werden.

4. Der dem Versicherungs- oder Rückversicherungsunternehmen und gegebenenfalls allen verbundenen Unternehmen im Sinne des Artikels 212 Absatz 1 Buchstabe b und Artikel 212 Absatz 2 der Richtlinie 2009/138/EG von der Gegenpartei oder einem anderen verbundenen Dritten insgesamt geschuldete Betrag einschließlich etwaiger überfälliger Forderungen beträgt nach Wissen des Versicherungs- oder Rückversicherungsunternehmens nicht mehr als 1 Mio. EUR. Das Versicherungs- oder Rückversicherungsunternehmen unternimmt angemessene Schritte zur Erlangung dieses Wissens.

5. Das Wohneigentum wird vom Eigentümer gegenwärtig oder künftig selbst genutzt oder vermietet.

6. Der Wert der Immobilie ist nicht erheblich von der Bonität des Schuldners abhängig.

7. Das Kreditnehmerrisiko hängt nicht wesentlich von der Wertentwicklung der zugrundeliegenden Immobilie ab, sondern von der Fähigkeit des Kreditnehmers zur Rückzahlung der Schulden aus anderen Quellen, und infolgedessen ist die Rückzahlung der Fazilität nicht wesentlich von den Zahlungsströmen abhängig, die aus der als Sicherheit dienenden zugrundeliegenden Immobilie generiert werden. Für diese anderen Quellen bestimmt das Versicherungs- oder Rückversicherungsunternehmen im Rahmen seiner Kreditvergabepolitik das maximale Verhältnis zwischen Kredithöhe und Einkommen und holt bei der Vergabe des Kredits einen geeigneten Einkommensnachweis ein.

8. Sämtliche folgenden Anforderungen bezüglich der Rechtssicherheit müssen erfüllt sein:

  1. die Hypothek oder das Sicherungspfandrecht ist zum Zeitpunkt des Kreditvertragsschlusses in allen relevanten Rechtsordnungen durchsetzbar und wird ordnungsgemäß und rechtzeitig registriert;
  2. alle rechtlichen Anforderungen zum Nachweis des Pfands sind erfüllt;
  3. die Sicherheitenvereinbarung und das ihr zugrundeliegende rechtliche Verfahren versetzen das Versicherungs- oder Rückversicherungsunternehmen in die Lage, die Sicherheit innerhalb eines angemessenen Zeitraums zu verwerten.

9.Sämtliche folgenden Anforderungen bezüglich der Überwachung des Immobilienwerts und der Immobilienbewertung müssen erfüllt sein:

  1. das Versicherungs- oder Rückversicherungsunternehmen überwacht regelmäßig, mindestens jedoch alle drei Jahre, den Wert der Immobilie. Das Versicherungs- oder Rückversicherungsunternehmen führt häufigere Überwachungen durch, wenn der Markt wesentlichen Änderungen der Rahmenbedingungen unterliegt;
  2. die Bewertung der Immobilie wird überprüft, wenn dem Versicherungs- oder Rückversicherungsunternehmen Informationen vorliegen, die darauf hinweisen, dass sich der Wert der Immobilie im Verhältnis zu den allgemeinen Marktpreisen erheblich verringert haben könnte, und eine solche Bewertung wird extern und unabhängig von einem Gutachter durchgeführt, der über die notwendige Qualifikation, Fähigkeit und Erfahrung zur Durchführung einer solchen Bewertung verfügt und nicht am Kreditentscheidungsprozess beteiligt ist.

10. Für die Zwecke des Absatzes 9 können Versicherungs- oder Rückversicherungsunternehmen statistische Methoden zur Überwachung des Werts der Immobilie und zur Identifizierung von Immobilien, die einer Neubewertung unterzogen werden müssen, verwenden.

11. Das Versicherungs- oder Rückversicherungsunternehmen dokumentiert klar, welche typen von Wohnimmobilien es als Sicherheit akzeptiert, sowie seine diesbezügliche Kreditvergabestrategie. Das Versicherungs- oder Rückversicherungsunternehmen fordert von dem unabhängigen Gutachter des Marktwerts der Immobilie nach Artikel 198 Absatz 2, den Marktwert transparent und klar zu dokumentieren.

12. Das Versicherungs- oder Rückversicherungsunternehmen verfügt über Verfahren zur Überwachung, ob die als Kreditsicherheit akzeptierte Immobilie angemessen gegen die Gefahr eines Schadens versichert ist.

13. Das Versicherungs- oder Rückversicherungsunternehmen erstattet der Aufsichtsbehörde Bericht über folgende Daten zu aus Hypothekendarlehen resultierenden Verlusten:

  1. aus als Typ-2-Exponierungen nach Artikel 189 Absatz 3 in einem bestimmten Jahr eingestuften Darlehen resultierende Verluste;
  2. Gesamtverluste in einem bestimmten Jahr.

14. Die Aufsichtsbehörden veröffentlichen jährlich auf aggregierter Basis die in Absatz 13 Buchstaben a und b spezifizierten Daten zusammen mit historischen Daten, sofern diese verfügbar sind. Eine Aufsichtsbehörde übermittelt einer anderen Aufsichtsbehörde eines Mitgliedstaats, der EBa oder der EIOPa auf Antrag dieser zuständigen Behörde, der EBa oder der EIOPa detailliertere Informationen über den Zustand der Märkte für Wohnimmobilien in dem betreffenden Mitgliedstaat.

Artikel 192 Verlust bei Ausfall

1. Der Verlust bei Ausfall für eine Risikoexponierung gegenüber einer Einzeladresse entspricht der Summe der Verluste bei Ausfall in Bezug auf jede Exponierung gegenüber Gegenparteien, die der Einzeladresse zugehörig sind. Beim Verlust bei Ausfall werden die Verbindlichkeiten gegenüber derselben Einzeladresse zugehörigen Gegenparteien außer Betracht gelassen, sofern diese Verbindlichkeiten und Exponierungen im Falle eines Ausfalls der Gegenparteien verrechnet werden und sofern die Artikel 209 und 210 im Zusammenhang mit diesem Recht auf Verrechnung eingehalten werden. Falls davon auszugehen ist, dass die Verbindlichkeiten vor dem Clearing der Kreditexponierung ausgeglichen werden, ist keine Verrechnung gestattet.

2. Der Verlust bei Ausfall für eine Rückversicherungsvereinbarung oder eine Versicherungsverbriefung errechnet sich wie folgt:

Dabei gilt:

  1. Recoverables bezeichnet den besten Schätzwert der einforderbaren Beträge aus der Rückversicherungsvereinbarung oder Versicherungsverbriefung und die entsprechenden Forderungen;
  2. RMre bezeichnet den risikomindernden Effekt der Rückversicherungsvereinbarung oder Verbriefung auf das versicherungstechnische Risiko;
  3. Collateral bezeichnet den risikobereinigten Wert der Sicherheit bezogen auf die Rückversicherungsvereinbarung oder Verbriefung;
  4. F bezeichnet einen Faktor zur Berücksichtigung der wirtschaftlichen Auswirkung der Finanzsicherheit bezogen auf die Rückversicherungsvereinbarung oder Verbriefung im Falle eines Kreditereignisses hinsichtlich der Gegenpartei.

Besteht die Rückversicherungsvereinbarung mit einem Versicherungs- oder Rückversicherungsunternehmen oder einem Versicherungs- oder Rückversicherungsunternehmen in einem Drittland und sind mehr als 60 % der Vermögenswerte der Gegenpartei zum Zwecke der Besicherung gebunden, so errechnet sich der Verlust bei Ausfall wie folgt:

dabei gilt:

F' bezeichnet einen Faktor zur Berücksichtigung der wirtschaftlichen Auswirkung der Finanzsicherheit bezogen auf die Rückversicherungsvereinbarung oder Verbriefung im Falle eines Kreditereignisses hinsichtlich der Gegenpartei.

3. Der Verlust bei Ausfall für ein Derivat errechnet sich wie folgt:


Dabei gilt:

  1. Derivative bezeichnet den Wert des Derivats im Einklang mit Artikel 75 der Richtlinie 2009/138/EG;
  2. RMfin bezeichnet den risikomindernden Effekt auf das Marktrisiko des Derivats;
  3. Collateral bezeichnet den risikobereinigten Wert der Sicherheit bezogen auf das Derivat;
  4. F' bezeichnet einen Faktor zur Berücksichtigung der wirtschaftlichen Auswirkung der Finanzsicherheit bezogen auf das Derivat im Falle eines Kreditereignisses hinsichtlich der Gegenpartei.

4. Der Verlust bei Ausfall für ein Hypothekendarlehen errechnet sich wie folgt:

Dabei gilt:

  1. Loan bezeichnet den Wert des Hypothekendarlehens im Einklang mit Artikel 75 der Richtlinie 2009/138/EG;
  2. Mortgage bezeichnet den risikobereinigten Wert der Hypothek.

5. Der Verlust bei Ausfall für eine rechtsverbindliche Verpflichtung nach Artikel 189 Absatz 2 Buchstabe e entspricht der Differenz zwischen ihrem Nominalwert und ihrem Wert im Einklang mit Artikel 75 der Richtlinie 2009/138/EG.

6. Der Verlust bei Ausfall für Einlagen bei Kreditinstituten nach Artikel 6 Posten F der Richtlinie 91/674/EWG, eine Einlage bei einem Zedenten, einen Posten nach Artikel 189 Absatz 2 Buchstabe d oder Artikel 189 Absatz 3 Buchstabe e, eine Forderung eines Vermittlers oder eines Versicherungsnehmers, bei dem es sich um einen Schuldner handelt, sowie andere Forderungen, die nicht an anderer Stelle in diesem Artikel aufgeführt sind, entspricht seinem Wert im Einklang mit Artikel 75 der Richtlinie 2009/138/EG.

Artikel 193 Verlust bei Ausfall für Pool-Forderungen vom Typ A

1. Bei Pool-Forderungen vom Typ A, die das Unternehmen als gesonderte Risikoexponierung gegenüber einer Einzeladresse im Einklang mit Artikel 190 Absatz 2 einstuft und bei denen jedes Mitglied nur bis zur Höhe seines jeweiligen Anteils an der durch den Versicherungspool gedeckten Verpflichtung haftet, errechnet sich der Verlust bei Ausfall im Einklang mit Artikel 192.

Bei Pool-Forderungen vom Typ A, die das Unternehmen als gesonderte Risikoexponierung gegenüber einer Einzeladresse im Einklang mit Artikel 190 Absatz 2 einstuft und bei denen jedes Mitglied bis zur Höhe des Gesamtwerts der durch den Versicherungspool gedeckten Verpflichtung haftet, wird der im Einklang mit Artikel 192 errechnete Verlust bei Ausfall mit dem Risikoteilungsfaktor wie folgt multipliziert:

Dabei gilt:

  1. i bezeichnet jedes Pool-Mitglied, das in den in Artikel 2 der Richtlinie 2009/138/EG definierten Anwendungsbereich fällt, undj bezeichnet jedes Pool-Mitglied, das von dem in Artikel 2 jener Richtlinie definierten Anwendungsbereich ausgeschlossen ist;
  2. Pj bezeichnet den Anteil von Pool-Mitglied j am Gesamtrisiko des Versicherungspools;
  3. Pool-Mitgliedern, für die eine Bonitätsbewertung einer benannten ECAI verfügbar ist, werdenSRi undSRj im Einklang mit der folgenden Tabelle zugeordnet:
    Bonitätseinstufung 0 1 2 3 4 5 6
    SRi 196 % 196 % 175 % 122 % 95 % 75 % 75 %
  4. für Pool-Mitglieder, die in den Anwendungsbereich der Richtlinie 2009/138/EG fallen und für die keine Bonitätsbewertung einer benannten ECAI verfügbar ist, entsprechenSRi undSRj der aktuellsten verfügbaren Solvabilitätsquote;
  5. für Pool-Mitglieder in einem Drittstaat, für die keine Bonitätsbewertung einer benannten ECAI verfügbar ist, entsprechen
    1. SRi undSRj 100 %, wenn das Pool-Mitglied in einem Land ansässig ist, dessen Solvabilitätssystem nach Artikel 172 der Richtlinie 2009/138/EG als gleichwertig angesehen wird;
    2. SRi undSRj 75 %, wenn das Pool-Mitglied in einem Land ansässig ist, dessen Solvabilitätssystem nicht nach Artikel 172 der Richtlinie 2009/138/EG als gleichwertig angesehen wird.

2. Wenn das Unternehmen das Risiko über den Vermittler eines zentralen Unternehmens an einen Pool abtritt, ist das zentrale Unternehmen als Teil des Versicherungspools anzusehen und sein Risikoanteil entsprechend zu berechnen.

Artikel 194 Verlust bei Ausfall für Pool-Forderungen vom Typ B

1. Bei Pool-Forderungen vom Typ B, die das Unternehmen als gesonderte Risikoexponierung gegenüber einer Einzeladresse im Einklang mit Artikel 190 Absatz 2 einstuft und bei denen jedes Mitglied bis zur Höhe des Gesamtwerts der durch den Versicherungspool gedeckten Verpflichtung haftet, errechnet sich der Verlust bei Ausfall wie folgt:

Dabei gilt:

  1. PU bezeichnet den Risikoanteil des Unternehmens gemäß den Bedingungen des Versicherungspools;
  2. PC bezeichnet den Risikoanteil des Mitglieds der Gegenpartei gemäß den Bedingungen des Versicherungspools;
  3. RRC entspricht
    1. 10 %, wenn 60 % oder mehr der Vermögenswerte dieses Gegenpartei-Mitglieds Gegenstand von Finanzsicherheiten sind;
    2. 50 % in allen anderen Fällen;
  4. BEC bezeichnet den besten Schätzwert der Verbindlichkeiten, die das Unternehmen an das Gegenpartei-Mitglied abgetreten hat, abzüglich jeglicher bei nicht dem Versicherungspool angehörenden externen Gegenparteien rückversicherten Beträge;
  5. ΔRMC bezeichnet den Beitrag des Gegenpartei-Mitglieds zum risikomindernden Effekt des Versicherungspools auf das versicherungstechnische Risiko des Unternehmens;
  6. Collateral bezeichnet den risikobereinigten Wert der von dem Gegenpartei-Mitglied des Versicherungspools gehaltenen Sicherheit;
  7. F bezeichnet den Faktor zur Berücksichtigung der wirtschaftlichen Auswirkung der von dem Gegenpartei-Mitglied gehaltenen Sicherheit, berechnet im Einklang mit Artikel 197.

2. Bei Pool-Forderungen vom Typ B, die das Unternehmen als gesonderte Risikoexponierung gegenüber einer Einzeladresse im Einklang mit Artikel 190 Absatz 2 einstuft und bei denen jedes Mitglied nur bis zur Höhe seines jeweiligen Anteils an der durch den Versicherungspool gedeckten Verpflichtung haftet, errechnet sich der Verlust bei Ausfall wie folgt:

Dabei gilt:

  1. PC bezeichnet den Risikoanteil des Mitglieds der Gegenpartei gemäß den Bedingungen des Versicherungspools;
  2. RRC entspricht
    1. 10 %, wenn 60 % oder mehr der Vermögenswerte dieses Gegenpartei-Mitglieds Gegenstand von Finanzsicherheiten sind;
    2. 50 % in allen anderen Fällen;
  3. BEU bezeichnet den besten Schätzwert der Verbindlichkeiten, die das Unternehmen an den Versicherungspool abgetreten hat, abzüglich jeglicher bei nicht dem Versicherungspool angehörenden externen Gegenparteien rückversicherten Beträge;
  4. ΔRMC bezeichnet den Beitrag des Gegenpartei-Mitglieds zum risikomindernden Effekt des Versicherungspools auf das versicherungstechnische Risiko des Unternehmens;
  5. Collateral bezeichnet den risikobereinigten Wert der von dem Gegenpartei-Mitglied des Versicherungspools gehaltenen Sicherheit;
  6. F bezeichnet den Faktor zur Berücksichtigung der wirtschaftlichen Auswirkung der von dem Gegenpartei-Mitglied gehaltenen Sicherheit, berechnet im Einklang mit Artikel 197.

Artikel 195 Verlust bei Ausfall für Pool-Forderungen vom Typ C16

Bei Pool-Forderungen vom Typ C, die das Unternehmen als gesonderte Risikoexponierung gegenüber einer Einzeladresse im Einklang mit Artikel 190 Absatz 2 einstuft, errechnet sich der Verlust bei Ausfall wie folgt:

Dabei gilt:

  1. PU bezeichnet den Risikoanteil des Unternehmens gemäß den Bedingungen des Versicherungspools;
  2. RRCE entspricht
    1. 10 %, falls 60 % oder mehr der Vermögenswerte der externen Gegenpartei Finanzsicherheiten unterliegen;
    2. 50 % in allen anderen Fällen;
  3. BECE bezeichnet den besten Schätzwert der Verbindlichkeiten, die der Versicherungspool als Ganzes der externen Gegenpartei abgetreten hat;
  4. ΔRMCE bezeichnet den Beitrag der nicht dem Versicherungspool angehörenden externen Gegenpartei zum risikomindernden Effekt des Versicherungspools auf das versicherungstechnische Risiko des Unternehmens;
  5. Collateral bezeichnet den risikobereinigten Wert der von dem Gegenpartei-Mitglied des Versicherungspools gehaltenen Sicherheit;
  6. F bezeichnet den Faktor zur Berücksichtigung der wirtschaftlichen Auswirkung der von dem Gegenpartei-Mitglied gehaltenen Sicherheit, berechnet im Einklang mit Artikel 197.

Artikel 196 Risikomindernder Effekt

Der risikomindernde Effekt auf versicherungstechnische Risiken oder Marktrisiken einer Rückversicherungsvereinbarung, einer Verbriefung oder eines Derivats entspricht der Differenz zwischen den folgenden Kapitalanforderungen:

  1. der hypothetischen Kapitalanforderung für das versicherungstechnische Risiko oder das Marktrisiko eines Versicherungs- oder Rückversicherungsunternehmens, die gelten würde, wenn die Rückversicherungsvereinbarung, Verbriefung oder das Derivat nicht existieren würde;
  2. der Kapitalanforderung für das versicherungstechnische Risiko oder das Marktrisiko des Versicherungs- oder Rückversicherungsunternehmens.

Artikel 197 Risikobereinigter Wert der Sicherheit

1. Der risikobereinigte Wert einer in Form eines Sicherungsrechts bereitgestellten Sicherheit gemäß Artikel 1 Absatz 26 Buchstabe b entspricht der Differenz zwischen dem Wert der als Sicherheit gehaltenen Vermögenswerte, die im Einklang mit Artikel 75 der Richtlinie 2009/138/EG bewertet werden, und der Anpassung für das Marktrisiko nach Absatz 5, sofern die beiden folgenden Anforderungen erfüllt sind:

  1. das Versicherungs- oder Rückversicherungsunternehmen hat das Recht, die Sicherheit bei Eintritt eines Ausfalls, einer Insolvenz, eines Konkurses oder eines anderen Kreditereignisses in Bezug auf die Gegenpartei rechtzeitig zu liquidieren oder zu behalten (oder ist Anspruchsberechtigter eines Trusts, bei dem der Treuhänder dieses Recht hat) (Gegenpartei-Anforderung);
  2. das Versicherungs- oder Rückversicherungsunternehmen hat das Recht, die Sicherheit bei Eintritt eines Ausfalls, einer Insolvenz, eines Konkurses oder eines anderen Kreditereignisses in Bezug auf den Verwahrer oder Dritten, der die Sicherheit im Namen der Gegenpartei hält, rechtzeitig zu liquidieren oder zu behalten (oder ist Anspruchsberechtigter eines Trusts, bei dem der Treuhänder dieses Recht hat) (Anforderung an Dritte).

2. Sind die Gegenpartei-Anforderung und die Anforderungen des Artikels 214 erfüllt und ist die Anforderung an Dritte nicht erfüllt, entspricht der risikobereinigte Wert einer in Form eines Sicherungsrechts bereitgestellten Sicherheit gemäß Artikel 1 Absatz 26 Buchstabe b 90 % der Differenz zwischen dem Wert der als Sicherheit gehaltenen Vermögenswerte im Einklang mit Artikel 75 der Richtlinie 2009/138/EG und der Anpassung für das Marktrisiko nach Absatz 5.

3. Sind weder die Gegenpartei-Anforderung noch die Anforderungen des Artikels 214 erfüllt, entspricht der risikobereinigte Wert einer in Form eines Sicherungsrechts bereitgestellten Sicherheit gemäß Artikel 1 Absatz 26 Buchstabe b null.

4. Der risikobereinigte Wert einer Sicherheit, an der das Eigentum vollständig übertragen wird und auf die in Artikel 1 Absatz 26 Buchstabe a Bezug genommen wird, entspricht der Differenz zwischen dem Wert der als Sicherheit gehaltenen Vermögenswerte, die im Einklang mit Artikel 75 der Richtlinie 2009/138/EG bewertet werden, und der Anpassung für das Marktrisiko nach Absatz 5, sofern die Anforderungen des Artikels 214 erfüllt sind.

5. Die Anpassung für das Marktrisiko entspricht der Differenz zwischen den folgenden Kapitalanforderungen:

  1. der hypothetischen Kapitalanforderung für das Marktrisiko des Versicherungs- oder Rückversicherungsunternehmens, die gelten würde, wenn die als Sicherheit gehaltenen Vermögenswerte nicht in die Berechnung einbezogen würden;
  2. der hypothetischen Kapitalanforderung für das Marktrisiko des Versicherungs- oder Rückversicherungsunternehmens, die gelten würde, wenn die als Sicherheit gehaltenen Vermögenswerte in die Berechnung einbezogen würden.

6. Für die Zwecke des Absatzes 5 wird das Wechselkursrisiko der als Sicherheit gehaltenen Vermögenswerte durch Vergleich der Währung der als Sicherheit gehaltenen Vermögenswerte mit der Währung der betreffenden Exponierung berechnet.

7. Wird im Falle einer Insolvenz der Gegenpartei bei der Ermittlung des verhältnismäßigen Anteils des Versicherungs- oder Rückversicherungsunternehmens an der über die Sicherheit hinausreichenden Insolvenzmasse der Gegenpartei nicht berücksichtigt, dass das Unternehmen die Sicherheit erhält, so belaufen sich die Faktoren F und F' nach Artikel 192 Absätze 2 und 3 beide auf 100 %. In allen anderen Fällen belaufen sich diese Faktoren auf 50 % bzw. 90 %.

Artikel 198 Risikobereinigter Wert der Hypothek

1. Der risikobereinigte Wert der Hypothek entspricht der Differenz zwischen dem Wert der als Hypothek gehaltenen Wohnimmobilie, der gemäß Absatz 2 ermittelt wurde, und der Anpassung für das Marktrisiko gemäß Absatz 3.

2. Der Wert der als Hypothek gehaltenen Wohnimmobilie entspricht dem Marktwert, der gegebenenfalls vermindert wird, um die Ergebnisse der in Artikel 191 Absätze 9 und 10 geforderten Überwachung widerzuspiegeln und etwaige vorrangige Ansprüche an der Immobilie zu berücksichtigen. Die externe, unabhängige Bewertung der Immobilie ist gleich hoch oder niedriger als der gemäß Artikel 75 der Richtlinie 2009/138/EG berechnete Marktwert.

3. Die Anpassung für das Marktrisiko gemäß Absatz 1 entspricht der Differenz zwischen den folgenden Kapitalanforderungen:

  1. der hypothetischen Kapitalanforderung für das Marktrisiko des Versicherungs- oder Rückversicherungsunternehmens, die gelten würde, wenn die als Hypothek gehaltene Wohnimmobilie nicht in die Berechnung einbezogen würde;
  2. der hypothetischen Kapitalanforderung für das Marktrisiko des Versicherungs- oder Rückversicherungsunternehmens, die gelten würde, wenn die als Hypothek gehaltene Wohnimmobilie in die Berechnung einbezogen würde.

4. Für die Zwecke des Absatzes 2 wird das Wechselkursrisiko der als Hypothek gehaltenen Wohnimmobilie durch Vergleich der Währung der Wohnimmobilie mit der Währung des entsprechenden Darlehens berechnet.

Unterabschnitt 2
Typ-1-Exponierungen

Artikel 199 Ausfallwahrscheinlichkeit

1. Die Ausfallwahrscheinlichkeit bei einer Risikoexponierung gegenüber einer Einzeladresse entspricht der durchschnittlichen Ausfallwahrscheinlichkeit bei allen Risikoexponierungen gegenüber Gegenparteien, die der Einzeladresse zugehörig sind, gewichtet nach dem Verlust bei Ausfall dieser Risikoexponierungen.

2. Einer Risikoexponierung gegenüber einer Einzeladressei, für die eine Bonitätsbewertung einer benannten ECAI verfügbar ist, wird eine AusfallwahrscheinlichkeitPDi im Einklang mit der folgenden Tabelle zugeordnet:

Bonitätseinstufung 0 1 2 3 4 5 6
AusfallwahrscheinlichkeitPDi 0,002 % 0,01 % 0,05 % 0,24 % 1,20 % 4,2 % 4,2 %

3. Risikoexponierungen gegenüber Einzeladresseni bei einem Versicherungs- oder Rückversicherungsunternehmen, für die keine Bonitätsbewertung einer benannten ECAI verfügbar ist, wird, falls das Unternehmen die betreffende Mindestkapitalanforderung erfüllt, eine von der Solvabilitätsquote abhängige AusfallwahrscheinlichkeitPDi im Einklang mit der folgenden Tabelle zugeordnet:

Solvabilitätsquote 196 % 175 % 150 % 125 % 122 % 100 % 95 % 75 %
Ausfallwahrscheinlichkeit 0,01 % 0,05 % 0,1 % 0,2 % 0,24 % 0,5 % 1,2 % 4,2 %

Wenn die Solvabilitätsquote zwischen den in der vorstehenden Tabelle angegebenen Solvabilitätsquoten liegt, wird der Wert der Ausfallwahrscheinlichkeit aus den am nächsten liegenden Werten für die Ausfallwahrscheinlichkeit, die den am nächsten liegenden Solvabilitätsquoten in vorstehender Tabelle entsprechen, linear interpoliert. Für Solvabilitätsquoten unter 75 % entspricht die Ausfallwahrscheinlichkeit 4,2 %. Für Solvabilitätsquoten über 196 % entspricht die Ausfallwahrscheinlichkeit 0,01 %.

Für die Zwecke dieses Absatzes bezeichnet "Solvabilitätsquote" die Quote aus den zur Erfüllung der Solvenzkapitalanforderung anrechenbaren Eigenmitteln und der Solvenzkapitalanforderung unter Verwendung der aktuellsten verfügbaren Werte.

4. Risikoexponierungen gegenüber einem Versicherungs- oder Rückversicherungsunternehmen, das die betreffende Mindestkapitalanforderung nicht erfüllt, wird eine Ausfallwahrscheinlichkeit von 4,2 % zugeordnet.

5. Die Absätze 3 und 4 dieses Artikels finden erst ab dem ersten Tag der Offenlegung des Berichts über die Solvabilität und Finanzlage nach Artikel 51 der Richtlinie 2009/138/EG durch das der Risikoexponierung entsprechende Unternehmen Anwendung. Vor diesem Tag findet Absatz 2 Anwendung, sofern für die Risikoexponierung eine Bonitätsbewertung einer benannten ECAI verfügbar ist. Andernfalls wird den Risikoexponierungen der Risikofaktor zugeordnet, der sich aus der Anwendung des Absatzes 3 auf Risikoexponierungen gegenüber einem Versicherungs- oder Rückversicherungsunternehmen mit einer Solvabilitätsquote von 100 % ergäbe.

6. Risikoexponierungen gegenüber einem Versicherungs- oder Rückversicherungsunternehmen in einem Drittland, für das keine Bonitätsbewertung einer benannten ECAI verfügbar ist und das in einem Land ansässig ist, dessen Solvabilitätssystem als dem in der Richtlinie 2009/138/EG gemäß Artikel 227 der Richtlinie 2009/138/EG niedergelegten System gleichwertig angesehen wird und das die Solvabilitätsanforderungen jenes Drittlands erfüllt, wird eine Ausfallwahrscheinlichkeit von 0,5 % zugeordnet.

7. Risikoexponierungen gegenüber Kredit- und Finanzinstituten im Sinne des Artikels 4 Absatz 1 Nummern 1 und 26 der Verordnung (EU) Nr. 575/2013, die die Solvabilitätsanforderungen nach der Richtlinie 2013/36/EU und der Verordnung (EU) Nr. 575/2013 erfüllen und für die keine Bonitätsbewertung einer benannten ECAI verfügbar ist, wird eine Ausfallwahrscheinlichkeit von 0,5 % zugeordnet.

8. Risikoexponierungen gegenüber Gegenparteien nach Artikel 180 Absatz 2 Buchstaben a bis d wird eine Ausfallwahrscheinlichkeit von 0 % zugeordnet.

9. Die Ausfallwahrscheinlichkeit bei anderen als den in den Absätzen 2 bis 8 ermittelten Risikoexponierungen gegenüber Einzeladressen entspricht 4,2 %.

10. Wenn ein Akkreditiv, eine Garantie oder eine ähnliche Methode zur vollständigen Absicherung einer Risikoexponierung eingesetzt wurde und diese Methode die Anforderungen der Artikel 209 bis 215 erfüllt, so kann der Anbieter des Akkreditivs, der Garantie oder der ähnlichen Methode für die Zwecke der Bewertung der Ausfallwahrscheinlichkeit einer Risikoexponierung gegenüber einer Einzeladresse als Gegenpartei bezüglich der abgesicherten Risikoexponierung angesehen werden.

11. Für die Zwecke des Absatzes 10 werden vollständig, vorbehaltlos und unwiderruflich von den im nach Artikel 109a Absatz 2 Buchstabe a der Richtlinie 2009/138/EG angenommenen Durchführungsrechtsakt aufgeführten Gegenparteien garantierte Risikoexponierungen als Risikoexponierungen gegenüber dem Zentralstaat behandelt.

Artikel 200 Typ-1-Exponierungen

1. Liegt die Standardabweichung der Verlustverteilung der Typ-1-Exponierungen bei oder unter 7 % der gesamten Verluste bei Ausfall bei allen Typ-1-Exponierungen, so errechnet sich die Kapitalanforderung für das Gegenparteiausfallrisiko für Typ-1-Exponierungen wie folgt:

Dabei gilt: σ bezeichnet die Standardabweichung der Verlustverteilung der Typ-1-Exponierungen gemäß der Definition in Absatz 4.

2. Liegt die Standardabweichung der Verlustverteilung der Typ-1-Exponierungen über 7 % der gesamten Verluste bei Ausfall bei allen Typ-1-Exponierungen und bei oder unter 20 % der gesamten Verluste bei Ausfall bei allen Typ-1 Exponierungen, so errechnet sich die Kapitalanforderung für das Gegenparteiausfallrisiko für Typ-1-Exponierungen wie folgt:

Dabei gilt: σ bezeichnet die Standardabweichung der Verlustverteilung der Typ-1-Exponierungen.

3. Liegt die Standardabweichung der Verlustverteilung der Typ-1-Exponierungen über 20 % der gesamten Verluste bei Ausfall bei allen Typ-1-Exponierungen, so entspricht die Kapitalanforderung für das Gegenparteiausfallrisiko für Typ-1- Exponierungen den gesamten Verlusten bei Ausfall bei allen Typ-1-Exponierungen.

4. Die Standardabweichung der Verlustverteilung der Typ-1-Exponierungen errechnet sich wie folgt:

Dabei gilt: V bezeichnet die Varianz der Verlustverteilung der Typ-1-Exponierungen.

Artikel 201 Varianz der Verlustverteilung der Typ-1-Exponierungen

1. Die Varianz der Verlustverteilung der Typ-1-Exponierungen nach Artikel 200 Absatz 4 entspricht der Summe ausVinter undVintra.

2.Vinter errechnet sich wie folgt:

Dabei gilt:

  1. die Summe umfasst alle möglichen Kombinationen (j,k) der verschiedenen Ausfallwahrscheinlichkeiten bei Risikoexponierungen gegenüber Einzeladressen im Einklang mit Artikel 199;
  2. TLGDj undTLGDk bezeichnen die Summe der Verluste bei Ausfall von Typ-1-Exponierungen von Gegenparteien mit einer Ausfallwahrscheinlichkeit vonPDj bzw.PDk.

3.Vintra errechnet sich wie folgt:

Dabei gilt:

  1. die erste Summe umfasst alle verschiedenen Ausfallwahrscheinlichkeiten bei Risikoexponierungen gegenüber Einzeladressen im Einklang mit Artikel 199;
  2. die zweite Summe umfasst alle Risikoexponierungen gegenüber Einzeladressen mit einer Ausfallwahrscheinlichkeit vonPDj;
  3. LGDi bezeichnet den Verlust bei Ausfall für die Risikoexponierung gegenüber einer Einzeladressei.

Unterabschnitt 3
Typ-2-Exponierungen

Artikel 202 Typ-2-Exponierungen

Die Kapitalanforderung für das Gegenparteiausfallrisiko von Typ-2-Exponierungen entspricht dem Verlust an Basiseigenmitteln, der sich aus einem unmittelbaren Rückgang des Werts von Typ-2-Exponierungen um folgenden Betrag ergäbe:

Dabei gilt:

  1. LGDreceivables > 3months bezeichnet den gesamten Verlust bei Ausfall aller Forderungen von Vermittlern, die mehr als drei Monate überfällig sind;
  2. die Summe wird aus allen Typ-2-Exponierungen mit Ausnahme der Forderungen gegenüber Vermittlern, die mehr als drei Monate überfällig sind, gebildet;
  3. LGDj bezeichnet den Verlust bei Ausfall für die Typ-2-Exponierungi.

Abschnitt 7
Risikomodul immaterielle Vermögenswerte

Artikel 203

Die Kapitalanforderung für das mit immateriellen Vermögenswerten verbundene Risiko errechnet sich wie folgt:

Dabei gilt:Vintangibles bezeichnet den Betrag der im Einklang mit Artikel 12 Absatz 2 anerkannten und bewerteten immateriellen Vermögenswerte.

Abschnitt 8
Operationelles Risiko

Artikel 204

1. Die Kapitalanforderung für das Modul operationelles Risiko errechnet sich wie folgt:

Dabei gilt:

  1. BSCR bezeichnet die Basissolvenzkapitalanforderung;
  2. Op bezeichnet die Basiskapitalanforderung für das operationelle Risiko;
  3. Expul bezeichnet den Betrag der in den letzten zwölf Monaten angefallenen Kosten für Lebensversicherungen, bei denen das Anlagerisiko von den Versicherungsnehmern getragen wird.

2. Die Basiskapitalanforderung für das operationelle Risiko errechnet sich wie folgt:

Dabei gilt:

  1. Oppremiums bezeichnet die Kapitalanforderung für operationelle Risiken auf der Grundlage verdienter Prämien;
  2. Opprovisions bezeichnet die Kapitalanforderung für operationelle Risiken auf der Grundlage versicherungstechnischer Rückstellungen.

3. Die Kapitalanforderung für operationelle Risiken auf der Grundlage verdienter Prämien errechnet sich wie folgt:

Dabei gilt:

  1. Earnlife bezeichnet verdiente Prämien für Lebensversicherungs- und -rückversicherungsverpflichtungen in den letzten zwölf Monaten ohne Abzug der Prämien für Rückversicherungsverträge;
  2. Earnlife-ul bezeichnet verdiente Prämien für Lebensversicherungs- und -rückversicherungsverpflichtungen in den letzten zwölf Monaten, bei denen das Anlagerisiko von den Versicherungsnehmern getragen wird, ohne Abzug der Prämien für Rückversicherungsverträge;
  3. Earnnon-life bezeichnet verdiente Prämien für Nichtlebensversicherungs- und -rückversicherungsverpflichtungen in den letzten zwölf Monaten ohne Abzug der Prämien für Rückversicherungsverträge;
  4. pEarnlife bezeichnet verdiente Prämien für Lebensversicherungs- und -rückversicherungsverpflichtungen in den zwölf Monaten vor den letzten zwölf Monaten ohne Abzug der Prämien für Rückversicherungsverträge;
  5. pEarnlife-ul bezeichnet verdiente Prämien für Lebensversicherungs- und -rückversicherungsverpflichtungen in den zwölf Monaten vor den letzten zwölf Monaten, bei denen das Anlagerisiko von den Versicherungsnehmern getragen wird, ohne Abzug der Prämien für Rückversicherungsverträge;
  6. pEarnnon-life bezeichnet verdiente Prämien für Nichtlebensversicherungs- und -rückversicherungsverpflichtungen in den zwölf Monaten vor den letzten zwölf Monaten ohne Abzug der Prämien für Rückversicherungsverträge.

Für die Zwecke dieses Absatzes handelt es sich um Bruttoprämien ohne Abzug der Prämien für Rückversicherungsverträge.

4. Die Kapitalanforderung für operationelle Risiken auf der Grundlage versicherungstechnischer Rückstellungen errechnet sich wie folgt:

Dabei gilt:

  1. TPlife bezeichnet die versicherungstechnischen Rückstellungen für Lebensversicherungs- und -rückversicherungsverpflichtungen;
  2. TPlife-ul bezeichnet die versicherungstechnischen Rückstellungen für Lebensversicherungsverpflichtungen, bei denen das Anlagerisiko von den Versicherungsnehmern getragen wird;
  3. TPnon-life bezeichnet die versicherungstechnischen Rückstellungen für Nichtlebensversicherungs- und -rückversicherungsverpflichtungen.

Für die Zwecke dieses Absatzes beinhalten die versicherungstechnischen Rückstellungen nicht die Risikomarge und verstehen sich ohne Abzug der einforderbaren Beträge aus Rückversicherungsverträgen und gegenüber Zweckgesellschaften.

Abschnitt 9
Anpassung für die Verlustausgleichfähigkeit der versicherungstechnischen Rückstellungen und latenten Steuern

Artikel 205 Allgemeine Bestimmungen

Die Anpassung nach Artikel 103 Buchstabe c der Richtlinie 2009/138/EG für die Verlustausgleichsfähigkeit der versicherungstechnischen Rückstellungen und latenten Steuern entspricht der Summe folgender Posten:

  1. der Anpassung für die Verlustausgleichsfähigkeit der versicherungstechnischen Rückstellungen;
  2. der Anpassung für die Verlustausgleichsfähigkeit latenter Steuern.

Artikel 206 Anpassung für die Verlustausgleichsfähigkeit der versicherungstechnischen Rückstellungen

1. Die Anpassung für die Verlustausgleichsfähigkeit der versicherungstechnischen Rückstellungen errechnet sich wie folgt:

Dabei gilt:

  1. BSCR bezeichnet die Basissolvenzkapitalanforderung nach Artikel 103 Buchstabe a der Richtlinie 2009/138/EG;
  2. nBSCR bezeichnet die Netto-Basissolvenzkapitalanforderung nach Absatz 2;
  3. FDB bezeichnet die versicherungstechnischen Rückstellungen ohne Risikomarge in Bezug auf künftige Überschussbeteiligungen.

2. Die Netto-Basissolvenzkapitalanforderung errechnet sich im Einklang mit Kapitel V Abschnitt 1 Unterabschnitte 1 bis 7 mit allen der folgenden Modifikationen:

  1. wenn die Berechnung eines Moduls oder Untermoduls der Basissolvenzkapitalanforderung auf der Auswirkung eines Szenarios auf die Basiseigenmittel von Versicherungs- und Rückversicherungsunternehmen beruht, kann sich der Wert der in den versicherungstechnischen Rückstellungen enthaltenen künftigen Überschussbeteiligung infolge des Szenarios verändern;
  2. die szenariobasierten Berechnungen des lebensversicherungstechnischen Risikomoduls, des Untermoduls versicherungstechnisches Risiko der Krankenversicherung, die auf vergleichbarer versicherungstechnischer Basis betrieben wird wie die Lebensversicherung, des Untermoduls Krankenversicherungskatastrophenrisiko, des Marktrisikomoduls und des Gegenparteiausfallrisikomoduls sowie die szenariobasierte Berechnung gemäß den Buchstaben c und d berücksichtigen die Auswirkung des Szenarios auf die in den versicherungstechnischen Rückstellungen enthaltene künftige Überschussbeteiligung; dies erfolgt auf der Grundlage von Annahmen über künftige Managementregeln, die mit Artikel 23 im Einklang stehen;
  3. anstelle der Kapitalanforderung für das Gegenparteiausfallrisiko bei Typ-1-Exponierungen nach Artikel 189 Absatz 1 basiert die Berechnung auf der Kapitalanforderung, die dem Verlust an Basiseigenmitteln entspricht, der sich aus einem unmittelbaren Verlust des Betrags der Kapitalanforderung für das Gegenparteiausfallrisiko bei Typ-1-Exponierungen nach Artikel 189 Absatz 1 aufgrund von Ausfallereignissen im Zusammenhang mit Typ-1-Exponierungen ergäbe;
  4. wenn Versicherungs- und Rückversicherungsunternehmen für eine bestimmte Kapitalanforderung gemäß den Artikeln 91, 92, 93, 94, 95 Absatz 1, 95 Absatz 2, 96, 101, 103 Absatz 1 Buchstabe a, 103 Absatz 1 Buchstabe b oder 104 eine vereinfachte Berechnung verwenden, legen sie der Berechnung die Kapitalanforderung zugrunde, die dem Verlust an Basiseigenmitteln entspricht, der sich aus einem unmittelbaren Verlust des Kapitalbetrags gemäß dem maßgeblichen Artikel ergäbe, und nehmen an, dass der unmittelbare Verlust auf das durch die Kapitalanforderung gemäß jenem Artikel erfasste Risiko zurückzuführen ist.

3. Für die Zwecke von Absatz 2 Buchstabe b berücksichtigen Versicherungs- und Rückversicherungsunternehmen etwaige rechtliche, regulatorische oder vertragliche Beschränkungen bezüglich der Ausschüttung der künftigen Überschussbeteiligung.

Artikel 207 Anpassung für die Verlustausgleichsfähigkeit latenter Steuern

1. Die Anpassung für die Verlustausgleichsfähigkeit latenter Steuern entspricht der Veränderung des Werts der latenten Steuern der Versicherungs- und Rückversicherungsunternehmen, die sich aus einem unmittelbaren Verlust eines Betrags ergäbe, der der Summe folgender Posten entspricht:

  1. der Basissolvenzkapitalanforderung nach Artikel 103 Buchstabe a der Richtlinie 2009/138/EG;
  2. der Anpassung für die Verlustausgleichsfähigkeit der versicherungstechnischen Rückstellungen nach Artikel 206;
  3. der Kapitalanforderung für das operationelle Risiko nach Artikel 103 Buchstabe b der Richtlinie 2009/138/EG.

2. Für die Zwecke des Absatzes 1 ist der Wert der latenten Steuern im Einklang mit Artikel 15 zu ermitteln. Wenn es infolge des Verlusts nach Absatz 1 zu einem Anstieg der latenten Steueransprüche kommt, verwenden Versicherungs- und Rückversicherungsunternehmen diesen Anstieg nicht für die Zwecke der Anpassung, es sei denn, sie können nachweisen, dass künftige Gewinne im Einklang mit Artikel 15 Absatz 3 anfallen, wobei die Höhe des Verlusts nach Absatz 1 und seine Auswirkung auf die gegenwärtige und künftige Finanzlage des Unternehmens berücksichtigt werden.

3. Für die Zwecke des Absatzes 1 ergibt sich aus einem Rückgang der latenten Steuerverbindlichkeiten oder einem Anstieg der latenten Steueransprüche eine negative Anpassung für die Verlustausgleichsfähigkeit latenter Steuern.

4. Wenn die Berechnung der Anpassung im Einklang mit Absatz 1 eine positive Veränderung der latenten Steuern ergibt, ist die Anpassung null.

5. Wenn es zur Berechnung der Anpassung für die Verlustausgleichsfähigkeit latenter Steuern notwendig ist, den Verlust nach Absatz 1 seinen Ursachen zuzuordnen, ordnen die Versicherungs- und Rückversicherungsunternehmen den Verlust denjenigen Risiken zu, die durch die Basissolvenzkapitalanforderung und die Kapitalanforderung für das operationelle Risiko erfasst werden. Die Zuordnung entspricht dem Beitrag der Module und Untermodule der Standardformel zur Basissolvenzkapitalanforderung. Nutzt ein Versicherungs- oder Rückversicherungsunternehmen ein internes Partialmodell, bei dem die Anpassung an die Verlustausgleichsfähigkeit der versicherungstechnischen Rückstellungen und latenten Steuern nicht in den Anwendungsbereich des Modells fällt, steht die Zuordnung im Einklang mit dem Beitrag der nicht in den Anwendungsbereich des Modells fallenden Module und Untermodule der Standardformel zur Basissolvenzkapitalanforderung.

Abschnitt 10
Risikominderungstechniken

Artikel 208 Methoden und Annahmen

Wenn Versicherungs- oder Rückversicherungsunternehmen versicherungstechnische Risiken unter Nutzung von Rückversicherungsverträgen oder Zweckgesellschaften, die die Anforderungen der Artikel 209, 211 und 213 erfüllen, übertragen, und dabei eine Absicherung in verschiedenen szenariobasierten Berechnungen nach Titel I Kapitel V Abschnitte 2, 3 und 4 vorgesehen ist, werden die risikomindernden Effekte dieser vertraglichen Vereinbarungen den szenariobasierten Berechnungen so zugeordnet, dass der wirtschaftliche Effekt der geleisteten Absicherungen ohne Doppelzählung erfasst wird. Insbesondere wird die wirtschaftliche Auswirkung der geleisteten Absicherungen bei der Ermittlung des Verlusts an Basiseigenmitteln in den szenariobasierten Berechnungen erfasst.

Wenn Versicherungs- oder Rückversicherungsunternehmen versicherungstechnische Risiken unter Nutzung von Finanzrückversicherungsgeschäften gemäß der Definition in Artikel 210 Absatz 3 der Richtlinie 2009/138/EG, die die Anforderungen der Artikel 209, 211 und 213 dieser Verordnung erfüllen, übertragen, werden diese Verträge in den szenariobasierten Berechnungen nach Titel I Kapitel V Abschnitte 2, 3 und 4 dieser Verordnung lediglich in dem Umfang anerkannt, in dem versicherungstechnische Risiken auf die Gegenpartei des Vertrags übertragen werden. Unbeschadet des vorstehenden Satzes werden Finanzrückversicherungsgeschäfte oder ähnliche Vereinbarungen, bei denen es ähnlich wie bei einem Finanzrückversicherungsgeschäft an einer wirksamen Risikoübertragung mangelt, nicht für die Zwecke der Ermittlung der Volumenmaße für das Prämien- und Rückstellungsrisiko im Einklang mit den Artikeln 116 und 147 oder für die Zwecke der Berechnung unternehmensspezifischer Parameter im Einklang mit Abschnitt 13 dieses Kapitels berücksichtigt.

Artikel 209 Qualitative Kriterien

1. Bei der Berechnung der Basissolvenzkapitalanforderung berücksichtigen Versicherungs- oder Rückversicherungsunternehmen lediglich Risikominderungstechniken nach Artikel 101 Absatz 5 der Richtlinie 2009/138/EG, wenn sämtliche folgende qualitative Kriterien erfüllt sind:

  1. die vertraglichen Vereinbarungen und die Risikoübertragung sind in allen relevanten Rechtsordnungen rechtswirksam und durchsetzbar;
  2. das Versicherungs- oder Rückversicherungsunternehmen hat alle notwendigen Maßnahmen ergriffen, um die Wirksamkeit der Vereinbarung sicherzustellen und die mit der Vereinbarung verbundenen Risiken anzugehen;
  3. das Versicherungs- oder Rückversicherungsunternehmen ist in der Lage, die Wirksamkeit der Vereinbarung und die damit verbundenen Risiken laufend zu überwachen;
  4. das Versicherungs- oder Rückversicherungsunternehmen hat bei Eintritt eines Ausfalls, einer Insolvenz oder eines Konkurses einer Gegenpartei oder eines anderen in der Transaktionsdokumentation der Vereinbarung genannten Kreditereignisses einen direkten Anspruch gegenüber dieser Gegenpartei;
  5. risikomindernde Effekte werden bei den Eigenmitteln und der Berechnung der Solvenzkapitalanforderung oder im Rahmen der Berechnung der Solvenzkapitalanforderung nicht doppelt gezählt.

2. In der Basissolvenzkapitalanforderung werden lediglich diejenigen Risikominderungstechniken vollständig berücksichtigt, deren Geltungsdauer sich mindestens auf die nächsten zwölf Monate erstreckt und die die in diesem Abschnitt ausgeführten qualitativen Kriterien erfüllen. In allen anderen Fällen werden die Risikominderungstechniken mit einer kürzeren Geltungsdauer als zwölf Monaten, die die in diesem Abschnitt ausgeführten qualitativen Kriterien erfüllen, zeitanteilig für die volle Laufzeit der Risikoexponierung bzw. für die Geltungsdauer der Risikominderungstechnik, sofern diese kürzer ist, berücksichtigt.

3. Wenn vertragliche Vereinbarungen über die Risikominderungstechniken eine kürzere Geltungsdauer als die nächsten zwölf Monate haben und das Versicherungs- oder Rückversicherungsunternehmen beabsichtigt, die betreffende Risikominderungstechnik bei Ablauf durch eine ähnliche Vereinbarung zu ersetzen, wird die Risikominderungstechnik in voller Höhe in der Basissolvenzkapitalanforderung berücksichtigt, sofern sämtliche folgende qualitative Kriterien erfüllt sind:

  1. das Versicherungs- oder Rückversicherungsunternehmen hat eine schriftliche Leitlinie zur Ersetzung der betreffenden Risikominderungstechnik;
  2. die Ersetzung der Risikominderungstechnik erfolgt nicht häufiger als alle drei Monate;
  3. die Ersetzung der Risikominderungstechnik hängt nicht von einem künftigen Ereignis ab, das außerhalb des Einflussbereichs des Versicherungs- oder Rückversicherungsunternehmens liegt. Wenn die Ersetzung der Risikominderungstechnik von einem künftigen Ereignis abhängt, das innerhalb des Einflussbereichs des Versicgerungs- oder Rückversicherungsunternehmens liegt, müssen die Bedingungen in der schriftlichen Leitlinie nach Buchstabe a klar dokumentiert sein;
  4. die Ersetzung der Risikominderungstechnik basiert realistisch auf bisherigen Ersetzungen des Versicherungs- oder Rückversicherungsunternehmens und steht im Einklang mit seiner aktuellen Geschäftspraxis und Geschäftsstrategie;
  5. das Risiko, dass die Risikominderungstechnik aufgrund einer Illiquidität im Markt nicht ersetzt werden kann, ist unwesentlich;
  6. das Risiko, dass die Kosten der Ersetzung der Risikominderungstechnik in den folgenden zwölf Monaten ansteigen, spiegelt sich in der Solvenzkapitalanforderung wider;
  7. die Ersetzung der Risikominderungstechnik würde nicht im Widerspruch zu den Anforderungen für künftige Maßnahmen des Managements nach Artikel 23 Absatz 5 stehen.

Artikel 210 Wirksame Risikoübertragung

1. Die vertraglichen Vereinbarungen für die Risikominderungstechnik stellen sicher, dass der Umfang der durch sie erreichten Absicherung und die Risikoübertragung klar definiert und unstrittig sind.

2. Die vertragliche Vereinbarung darf nicht zu einem wesentlichen Basisrisiko oder zur Entstehung anderer Risiken führen, es sei denn, dies spiegelt sich in der Berechnung der Solvenzkapitalanforderung wider.

3. Das Basisrisiko ist wesentlich, wenn es zu einer fehlerhaften Darstellung des risikomindernden Effekts auf die Basissolvenzkapitalanforderung des Versicherungs- oder Rückversicherungsunternehmens führt, die Adressaten dieser Informationen, einschließlich Aufsichtsbehörden, in ihren Entscheidungen oder Beurteilungen beeinflussen könnte.

4. Die Feststellung, dass die vertraglichen Vereinbarungen und die Risikoübertragung im Einklang mit Artikel 209 Absatz 1 Buchstabe a in allen relevanten Rechtsordnungen rechtswirksam und durchsetzbar sind, basieren darauf, ob

  1. die vertragliche Vereinbarung einer Bedingung unterliegt, die die wirksame Risikoübertragung beeinträchtigen könnte und deren Erfüllung außerhalb des direkten Einflussbereichs des Versicherungs- oder Rückversicherungsunternehmens liegt;
  2. es damit verbundene Transaktionen gibt, die die wirksame Risikoübertragung beeinträchtigen könnten.

Artikel 211 Risikominderungstechniken unter Nutzung von Rückversicherungsverträgen oder Zweckgesellschaften16 16a

1. Wenn Versicherungs- oder Rückversicherungsunternehmen versicherungstechnische Risiken unter Nutzung von Rückversicherungsverträgen oder Zweckgesellschaften übertragen, damit die Risikominderungstechnik in der Basissolvenzkapitalanforderung berücksichtigt wird, werden die qualitativen Kriterien nach den Artikeln 209 und 210 und die in den Absätzen 2 bis 6 festgelegten Kriterien erfüllt.

2. Bei Rückversicherungsverträgen muss es sich bei der Gegenpartei handeln um:

  1. ein Versicherungs- oder Rückversicherungsunternehmen, das die Solvenzkapitalanforderung erfüllt;
  2. ein Versicherungs- oder Rückversicherungsunternehmen in einem Drittland, dessen Solvabilitätssystem als dem in der Richtlinie 2009/138/EG gemäß Artikel 172 der Richtlinie 2009/138/EG niedergelegten System gleichwertig oder vorläufig gleichwertig angesehen wird und das die Solvabilitätsanforderungen jenes Drittlandes erfüllt;
  3. ein Versicherungs- oder Rückversicherungsunternehmen in einem Drittland, das sich nicht in einem Drittland befindet, dessen Solvabilitätssystem als dem in der Richtlinie 2009/138/EG gemäß Artikel 172 der Richtlinie 2009/138/EG niedergelegten System gleichwertig oder vorläufig gleichwertig angesehen wird, mit einer Bonität, die der Bonitätseinstufung 3 oder besser gemäß Abschnitt 1 Kapitel II dieses Titels entspricht.

3. Wenn eine Gegenpartei eines Rückversicherungsvertrags ein Versicherungs- oder Rückversicherungsunternehmen ist, das nach Abschluss des Rückversicherungsvertrags die Solvenzkapitalanforderung nicht mehr erfüllt, kann die durch die Risikominderungstechnik der Versicherung geleistete Absicherung teilweise anerkannt werden, sofern das Versicherungs- oder Rückversicherungsunternehmen nachweisen kann, dass die Gegenpartei ihren Aufsichtsbehörden einen realistischen Sanierungsplan übermittelt hat und die Einhaltung der Solvenzkapitalanforderung innerhalb des im Sanierungsplan nach Artikel 138 der Richtlinie 2009/138/EG festgelegten Zeitrahmens wiederhergestellt wird. Zu diesem Zweck wird die Wirkung der Risikominderungstechnik um den Prozentsatz herabgesetzt, um den die Solvenzkapitalanforderung unterschritten wird.

4. Wird das Risiko auf eine Zweckgesellschaft übertragen, so werden die Anforderungen nach Artikel 211 Absatz 2 der Richtlinie 2009/138/EG für die Risikominderungstechnik erfüllt, die in der Basissolvenzkapitalanforderung zu berücksichtigen ist; ist die von einer Zweckgesellschaft verlangte vollständige Kapitaldeckung nach Abschluss der Vereinbarung nicht mehr gegeben, kann die durch die Risikominderungstechnik der Versicherung geleistete Absicherung teilweise anerkannt werden, sofern das Versicherungs- oder Rückversicherungsunternehmen nachweisen kann, dass die Vorgabe der vollständigen Kapitaldeckung innerhalb von drei Monaten wieder eingehalten wird; zu diesem Zweck wird die Wirkung der Risikominderungstechnik um den Prozentsatz der aggregierten maximalen Risikoexponierung der Zweckgesellschaft nach Artikel 326 herabgesetzt, die nicht durch die Vermögenswerte der Zweckgesellschaft oder einen gleichwertigen Betrag abgedeckt ist, wenn Artikel 211 Absatz 3 der Richtlinie 2009/138/EG Anwendung findet.

5. Wird einer Zweckgesellschaft nach Artikel 211 Absatz 3 der Richtlinie 2009/138/EG ein Risiko übertragen, so wird die Risikominderungstechnik nur dann in der Basissolvenzkapitalanforderung berücksichtigt, wenn die Rechtsvorschriften des Mitgliedstaats den Anforderungen des Artikels 211 Absatz 2 jener Richtlinie gleichwertig sind und von der Zweckgesellschaft eingehalten werden.

6. Wird einer von einer Aufsichtsbehörde in einem Drittstaat beaufsichtigten Zweckgesellschaft ein Risiko übertragen, so wird die Risikominderungstechnik nur dann in der Basissolvenzkapitalanforderung berücksichtigt, wenn die Zweckgesellschaft Anforderungen einhält, die den Anforderungen des Artikels 211 Absatz 2 der Richtlinie 2009/138/EG gleichwertig sind.

Artikel 212 Risikoübertragung über Kapitalmarktinstrumente

1. Wenn Versicherungs- oder Rückversicherungsunternehmen Risiken übertragen, damit die Risikominderungstechnik in der Basissolvenzkapitalanforderung in anderen als den in Artikel 211 genannten Fällen berücksichtigt wird, einschließlich Übertragungen durch den Kauf oder die Ausgabe von Finanzinstrumenten, so werden zusätzlich zu den qualitativen Kriterien nach den Artikeln 209 und 210 die in den Absätzen 2 bis 5 festgelegten qualitativen Kriterien erfüllt.

2. Die Risikominderungstechnik steht im Einklang mit den schriftlichen Leitlinien des Versicherungs- oder Rückversicherungsunternehmens zum Risikomanagement gemäß Artikel 44 Absatz 2 der Richtlinie 2009/138/EG.

3. Das Versicherungs- oder Rückversicherungsunternehmen ist in der Lage, die Vermögenswerte, der Risikominderungstechnik unterliegende Verbindlichkeiten und, falls die Risikominderungstechnik die Verwendung von Finanzinstrumenten umfasst, die Finanzinstrumente zuverlässig im Einklang mit Artikel 75 der Richtlinie 2009/138/EG zu bewerten.

4. Beinhaltet die Risikominderungstechnik die Verwendung von Finanzinstrumenten, wurde den Finanzinstrumenten eine Bonitätseinstufung von 3 oder besser im Einklang mit Abschnitt 2 Kapitel I dieses Titels zugeordnet.

5. Handelt es sich bei der Risikominderungstechnik nicht um ein Finanzinstrument, so wurde den Gegenparteien der Risikominderungstechnik eine Bonitätseinstufung von 3 oder besser im Einklang mit Abschnitt 2 Kapitel I dieses Titels zugeordnet.

Artikel 213 Status der Gegenparteien

1. Werden die qualitativen Kriterien nach Artikel 211 Absatz 1 und Artikel 212 Absätze 3 und 4 nicht eingehalten, so berücksichtigen die Versicherungs- und Rückversicherungsunternehmen bei der Berechnung der Basissolvenzkapitalanforderung lediglich diejenigen Risikominderungstechniken, die eines der folgenden Kriterien erfüllen:

  1. die Risikominderungstechnik erfüllt die qualitativen Kriterien nach den Artikeln 209 und 210 und Artikel 212 Absätze 1 und 2 und es bestehen Finanzsicherheiten, die die in Artikel 214 festgelegten Kriterien erfüllen;
  2. die Risikominderungstechnik wird durch eine weitere Risikominderungstechnik ergänzt, wobei diese weitere Technik in Kombination mit der ersten Technik die qualitativen Kriterien nach den Artikeln 209 und 210 und Artikel 212 Absätze 1 und 2 erfüllt und die Gegenparteien dieser weiteren Technik die in Artikel 211 Absatz 1 und Artikel 212 Absätze 3 und 4 festgelegten Kriterien erfüllen.

2. Für die Zwecke von Absatz 1 Buchstabe a dieses Artikels wird die Finanzsicherheit nur dann in dem Umfang berücksichtigt, in dem die Sicherheit die Risikoexponierung abdeckt, wenn der Wert der Sicherheit im Einklang mit Artikel 75 der Richtlinie 2009/138/EG geringer als der Wert der Risikoexponierung insgesamt ist.

Artikel 214 Finanzsicherheiten

1. Bei der Berechnung der Basissolvenzkapitalanforderung werden Finanzsicherheiten nur dann anerkannt, wenn zusätzlich zu den qualitativen Kriterien der Artikel 209 und 210 die folgenden Kriterien erfüllt sind:

  1. das Versicherungs- oder Rückversicherungsunternehmen, welches das Risiko überträgt, hat das Recht, die Sicherheit bei Eintritt eines Ausfalls, einer Insolvenz, eines Konkurses oder eines anderen Kreditereignisses in Bezug auf die Gegenpartei rechtzeitig zu liquidieren oder zu behalten;
  2. die Sicherheit stellt eine angemessene Besicherung dar, weil
    1. sie eine ausreichende Bonität aufweist, ausreichend liquide ist und ihr Wert ausreichend stabil ist; oder
    2. sie von einer Gegenpartei, ausgenommen einer Artikel 187 Absatz 5 und Artikel 184 Absatz 2 genannten Gegenpartei, garantiert wird, der ein Risikofaktor von 0 % für das Konzentrationsrisiko zugewiesen wurde;
  3. es besteht keine wesentliche positive Korrelation zwischen der Bonität der Gegenpartei und dem Wert der Sicherheit;
  4. bei der Sicherheit handelt es sich nicht um Wertpapiere, die von der Gegenpartei oder einem mit ihr verbundenen Unternehmen begeben wurden.

2. Entspricht eine Finanzsicherheit der Definition in Artikel 1 Absatz 26 Buchstabe b und beinhaltet sie von einem Verwahrer oder einem Dritten gehaltene Sicherheiten, stellt das Versicherungs- oder Rückversicherungsunternehmen sicher, dass sämtliche folgenden Kriterien erfüllt sind:

  1. der einschlägige Verwahrer oder Dritte trennt die als Sicherheit gehaltenen Vermögenswerte von seinen eigenen Vermögenswerten;
  2. die getrennten Vermögenswerte werden von einem Einlageninstitut gehalten, dem eine Bonitätseinstufung von 3 oder besser im Einklang mit Abschnitt 2 Kapitel I dieses Titels zugeordnet wurde;
  3. die getrennten Vermögenswerte sind einzeln identifizierbar und dürfen nur mit Zustimmung des Versicherungs- oder Rückversicherungsunternehmens oder einer Person, die als Treuhänderin im Interesse des Versicherungs- oder Rückversicherungsunternehmens in Bezug auf solche Vermögenswerte handelt, verändert oder ersetzt werden;
  4. das Versicherungs- oder Rückversicherungsunternehmen hat das Recht, die getrennten Vermögenswerte bei Eintritt eines Ausfalls, einer Insolvenz, eines Konkurses oder eines anderen Kreditereignisses in Bezug auf den Verwahrer oder Dritten, der die Sicherheit im Namen der Gegenpartei hält, rechtzeitig zu liquidieren oder zu behalten (oder ist Anspruchsberechtigter eines Trusts, bei dem der Treuhänder dieses Recht hat);
  5. die getrennten Vermögenswerte dürfen nicht für Zahlungen oder zur Bereitstellung einer Sicherheit zugunsten einer Person, bei der es sich nicht um das Versicherungs- oder Rückversicherungsunternehmen handelt, oder entsprechend der Anweisungen des Versicherungs- oder Rückversicherungsunternehmens eingesetzt werden.

Artikel 215 Garantien

Bei der Berechnung der Basissolvenzkapitalanforderung werden Garantien nur dann anerkannt, wenn auf sie explizit in diesem Kapital Bezug genommen wird und wenn zusätzlich zu den qualitativen Kriterien der Artikel 209 und 210 sämtliche folgenden Kriterien erfüllt sind:

  1. die Garantie leistet eine direkte Kreditabsicherung;
  2. der Umfang der Kreditabsicherung ist eindeutig festgelegt und unstrittig;
  3. die Garantie enthält keine Klausel, deren Erfüllung außerhalb des direkten Einflussbereichs des Kreditgebers liegt und die
    1. dem Sicherungsgeber die einseitige Kündigung der Kreditabsicherung ermöglichen würde;
    2. bei einer Verschlechterung der Kreditqualität der abgesicherten Exponierung die tatsächlichen Kosten der Absicherung in die Höhe treiben würde;
    3. den Sicherungsgeber für den Fall, dass der ursprüngliche Schuldner seinen Zahlungsverpflichtungen nicht nachkommt, davor schützen könnte, zeitnah zahlen zu müssen;
    4. es dem Sicherungsgeber ermöglichen könnte, die Laufzeit der Absicherung zu verkürzen;
  4. bei Eintritt eines Ausfalls, einer Insolvenz oder eines Konkurses oder eines anderen Kreditereignisses in Bezug auf die Gegenpartei hat das Versicherungs- oder Rückversicherungsunternehmen das Recht, den Garantiegeber für jegliche gemäß dem Anspruch ausstehenden Gelder, in Bezug auf die die Sicherung bereitgestellt wird, zeitnah in Anspruch zu nehmen, und die Zahlung des Garantiegebers darf nicht unter dem Vorbehalt stehen, dass das Versicherungs- oder Rückversicherungsunternehmen den geschuldeten Betrag zunächst beim Kreditnehmer einfordern muss;
  5. die Garantie ist eine ausdrücklich dokumentierte, vom Garantiegeber eingegangene Verpflichtung;
  6. die Garantie erstreckt sich vollständig auf alle Arten von regelmäßigen Zahlungen, die der Kreditnehmer im Rahmen des Anspruchs zu leisten hat.

Abschnitt 11
Sonderverbände

Artikel 216 Berechnung der Solvenzkapitalanforderung im Falle von Sonderverbänden und Matching-Adjustment-Portfolios

1. Im Falle von im Einklang mit Artikel 81 Absatz 1 dieser Verordnung festgestellten Sonderverbänden oder falls Versicherungs- oder Rückversicherungsunternehmen die Genehmigung erhalten haben, eine Matching-Anpassung auf die risikolose Zinskurve im Einklang mit Artikel 77b der Richtlinie 2009/138/EG anzuwenden, nehmen die Versicherungs- oder Rückversicherungsunternehmen eine Anpassung der Berechnung der Solvenzkapitalanforderung nach der in Artikel 217 dieser Verordnung ausgeführten Methode vor.

2. Hat jedoch ein Versicherungs- oder Rückversicherungsunternehmen die aufsichtliche Genehmigung zur Anwendung der Vorschriften des Artikels 304 der Richtlinie 2009/138/EG auf Sonderverbände erhalten, nimmt es keine Anpassung der Berechnung im Einklang mit Artikel 217 dieser Verordnung vor, sondern stützt die Berechnung auf die Annahme einer vollständigen Diversifizierung in Bezug auf die Vermögenswerte und Verbindlichkeiten der Sonderverbände und den Rest des Unternehmens.

Artikel 217 Methode zur Berechnung der Solvenzkapitalanforderung für Sonderverbände und Matching-Adjustment-Portfolios16

1. Die Versicherungs- und Rückversicherungsunternehmen berechnen eine fiktive Solvenzkapitalanforderung für jeden Sonderverband und jedes Matching-Adjustment-Portfolio sowie für den übrigen Teil des Unternehmens, so als wären diese Sonderverbände, Matching-Adjustment-Portfolios und der übrige Teil des Unternehmens getrennte Unternehmen.

2. Die Versicherungs- und Rückversicherungsunternehmen berechnen ihre Solvenzkapitalanforderung als Summe der fiktiven Solvenzkapitalanforderungen für jeden Sonderverband und jedes Matching-Adjustment-Portfolio sowie für den übrigen Teil des Unternehmens.

3. Wenn die Berechnung der Kapitalanforderung für ein Risikomodul oder Untermodul der Basissolvenzkapitalanforderung auf der Auswirkung eines Szenarios auf die Basiseigenmittel des Versicherungs- oder Rückversicherungsunternehmens basiert, wird die Auswirkung des Szenarios auf die Basiseigenmittel auf der Ebene des Sonderverbands, des Matching-Adjustment-Portfolios und des übrigen Teils des Unternehmens berechnet.

4. Die Basiseigenmittel auf Ebene des Sonderverbands oder Matching-Adjustment-Portfolio sind diejenigen gebundenen Eigenmittelbestandteile, die die Definition von Basiseigenmitteln in Artikel 88 der Richtlinie 2009/138/EG für den betreffenden Sonderverband erfüllen.

5. Wenn der Sonderverband Vereinbarungen über eine Gewinnbeteiligung enthält, wenden die Versicherungs- oder Rückversicherungsunternehmen bei der Anpassung der Solvenzkapitalanforderung den folgenden Ansatz an:

  1. wenn die Berechnung nach Absatz 3 zu einem Anstieg der Basiseigenmittel auf Ebene des Sonderverbands führen würde, wird die geschätzte Veränderung dieser Basiseigenmittel angepasst, um bestehende Gewinnbeteiligungsvereinbarungen im Sonderverband zu berücksichtigen; in diesem Fall wird die Veränderung der Basiseigenmittel des Sonderverbands um den Betrag angepasst, um den sich die versicherungstechnischen Rückstellungen aufgrund der erwarteten künftigen Ausschüttung an die Versicherungsnehmer oder Anspruchsberechtigten jenes Sonderverbands erhöhen würden;
  2. wenn die Berechnung nach Absatz 3 zu einer Verringerung der Basiseigenmittel auf Ebene des Sonderverbands führen würde, wird die geschätzte Veränderung dieser Basiseigenmittel für die Berechnung der Netto-Basissolvenzkapitalanforderung nach Artikel 206 Absatz 2 so angepasst, dass sie die geringere künftige Gewinnbeteiligung, die an die Versicherungsnehmer oder Anspruchsberechtigten jenes Sonderverbands zu zahlen ist, widerspiegelt; die Anpassung geht nicht über den Betrag der künftigen Überschussbeteiligung innerhalb des Sonderverbands hinaus.

6. Ungeachtet des Absatzes 1 wird die fiktive Solvenzkapitalanforderung für jeden Sonderverband und jedes Matching-Adjustment-Portfolio unter Verwendung jener szenariobasierten Berechnungen berechnet, in denen die Basiseigenmittel für das gesamte Unternehmen am stärksten negativ beeinflusst werden.

7. Für die Zwecke der Ermittlung des Szenarios, in dem die Basiseigenmittel für das gesamte Unternehmen am stärksten negativ beeinflusst werden, berechnet das Unternehmen zunächst die Summe aus den Ergebnissen der Auswirkungen der Szenarien auf die Basiseigenmittel auf Ebene der einzelnen Sonderverbände und Matching- Adjustment-Portfolios im Einklang mit den Absätzen 3 und 5. Die Summen auf Ebene der einzelnen Sonderverbände und Matching-Adjustment-Portfolios werden miteinander sowie zu den Ergebnissen der Auswirkung der Szenarien auf die Basiseigenmittel im übrigen Teil des Versicherungs- oder Rückversicherungsunternehmens addiert.

8. Die fiktive Solvenzkapitalanforderung für jeden Sonderverband und jedes Matching-Adjustment-Portfolio ergibt sich durch Aggregation der Kapitalanforderungen für jedes Untermodul und Risikomodul der Basissolvenzkapitalanforderung.

9. Die Versicherungs- und Rückversicherungsunternehmen nehmen an, dass zwischen jedem Sonderverband und Matching-Adjustment-Portfolio und dem übrigen Teil des Versicherungs- oder Rückversicherungsunternehmens keine Risikodiversifikation besteht.

Abschnitt 12
Unternehmensspezifische Parameter

Artikel 218 Untergruppe von Standardparametern, die durch unternehmensspezifische Parameter ersetzt werden können

1. Zur Untergruppe von Standardparametern, die gemäß Artikel 104 Absatz 7 der Richtlinie 2009/138/EG durch unternehmensspezifische Parameter ersetzt werden können, zählen

  1. im Untermodul Nichtlebensversicherungsprämien- und -rückstellungsrisiko für jedes der in Anhang II dieser Verordnung aufgeführten Segmente
    1. die Standardabweichung für das Nichtlebensversicherungsprämienrisiko gemäß Artikel 117 Absatz 2 Buchstabe a;
    2. die Standardabweichung für das Brutto-Nichtlebensversicherungsprämienrisiko gemäß Artikel 117 Absatz 3;
    3. der Korrekturfaktor für nichtproportionale Rückversicherung gemäß Artikel 117 Absatz 3, sofern für das betreffende Segment ein anerkennungsfähiger Schadenexzendenten-Rückversicherungsvertrag gemäß Absatz 2 besteht;
    4. die Standardabweichung für das Nichtlebensversicherungsrückstellungsrisiko gemäß Artikel 117 Absatz 2 Buchstabe b;
  2. im Untermodul Lebensversicherungsrevisionsrisiko der Anstieg des Betrags der Rentenleistungen gemäß Artikel 141, sofern die dem betreffenden Untermodul zuzurechnenden Rentenleistungen nicht einem wesentlichen Inflationsrisiko unterliegen;
  3. im Untermodul Prämien- und Rückstellungsrisiko der Krankenversicherung, die auf vergleichbarer versicherungstechnischer Basis betrieben wird wie die Schadenversicherung, für jedes der in Anhang XIV dieser Verordnung aufgeführten Segmente
    1. die Standardabweichung für das Prämienrisiko der Krankenversicherung, die auf vergleichbarer versicherungstechnischer Basis betrieben wird wie die Schadenversicherung, gemäß Artikel 148 Absatz 2 Buchstabe a;
    2. die Standardabweichung für das Bruttoprämienrisiko der Krankenversicherung, die auf vergleichbarer versicherungstechnischer Basis betrieben wird wie die Schadenversicherung, gemäß Artikel 148 Absatz 3;
    3. der Korrekturfaktor für nichtproportionale Rückversicherung gemäß Artikel 148 Absatz 3, sofern für das betreffende Segment ein anerkennungsfähiger Schadenexzendenten-Rückversicherungsvertrag gemäß Absatz 2 besteht;
    4. die Standardabweichung für das Rückstellungsrisiko der Krankenversicherung, die auf vergleichbarer versicherungstechnischer Basis betrieben wird wie die Schadenversicherung, gemäß Artikel 148 Absatz 2 Buchstabe b;
  4. im Untermodul Revisionsrisiko der Krankenversicherung der Anstieg des Betrags der Rentenleistungen gemäß Artikel 158, sofern die dem betreffenden Untermodul zuzurechnenden Rentenleistungen nicht einem wesentlichen Inflationsrisiko unterliegen.

Versicherungs- und Rückversicherungsunternehmen dürfen nicht beide unter Buchstabe a Ziffern ii und iii genannten Standardparameter für ein und dasselbe Segment oder beide unter Buchstabe c Ziffern ii und iii genannten Standardparameter für ein und dasselbe Segment ersetzen.

2. Ein Schadenexzedenten-Rückversicherungsvertrag für ein Segment gilt als anerkennungsfähig, wenn er folgende Bedingungen erfüllt:

  1. Er sieht, soweit die Schäden des Zedenten, die sich entweder auf Einzelschadensfälle oder auf alle Schadensfälle unter demselben Versicherungsvertrag in einem festgelegten Zeitraum beziehen, einen festgelegten Selbstbehalt übersteigen, eine vollständige Übernahme dieser Schäden bis zu einer bestimmten Deckungsgrenze oder ohne Deckungsgrenze vor.
  2. Er deckt alle Schadensfälle, die dem Versicherungs- oder Rückversicherungsunternehmen in den folgenden zwölf Monaten in dem Segment oder in homogenen Risikogruppen innerhalb des Segments entstehen.
  3. Er gestattet eine ausreichende Anzahl von Wiederauffüllungen, so dass alle Ansprüche aus verschiedenen Schadensfällen in den folgenden zwölf Monaten gedeckt sind.
  4. Er genügt den Anforderungen der Artikel 209, 210, 211 und 213.

Für die Zwecke dieses Artikels bezeichnet der Begriff "Schadenexzedenten-Rückversicherung" auch Vereinbarungen mit Zweckgesellschaften, die eine mit einem Schadenexzedenten-Rückversicherungsvertrag vergleichbare Risikoübertragung vorsehen.

3. Wenn Versicherungs- oder Rückversicherungsunternehmen mehrere Schadenexzedenten-Rückversicherungsverträge abgeschlossen haben, von denen jeder einzelne die in Absatz 2 Buchstabe d genannten Anforderungen erfüllt und die zusammen die in Absatz 2 Buchstaben a, b und c genannten Anforderungen erfüllen, werden diese Verträge zusammen als ein einziger anerkennungsfähiger Schadenexzedenten-Rückversicherungsvertrag betrachtet.

4. Für die Zwecke von Absatz 1 Buchstaben b und d ist ein Inflationsrisiko dann als wesentlich zu betrachten, wenn seine Nichtberücksichtigung bei der Berechnung der Kapitalanforderung für das Revisionsrisiko den Entscheidungsprozess oder das Urteil der Nutzer der betreffenden Informationen, einschließlich der Aufsichtsbehörden, beeinflussen könnte.

Artikel 219 Datenanforderungen16

1. Die bei der Berechnung unternehmensspezifischer Parameter verwendeten Daten werden nur dann als vollständig, exakt und angemessen betrachtet, wenn sie folgenden Kriterien genügen:

  1. Sie erfüllen die in Artikel 19 Absätze 1, 2 und 3 genannten Bedingungen, und das Versicherungs- oder Rückversicherungsunternehmen kommt in Bezug auf diese Daten den Anforderungen von Artikel 19 Absatz 4 nach, wobei eine Bezugnahme auf die Berechnung der versicherungstechnischen Rückstellungen als Bezugnahme auf die Berechnung der unternehmensspezifischen Parameter zu betrachten ist.
  2. Die Daten sind geeignet, in die standardisierten Methoden einbezogen zu werden.
  3. Die Daten hindern das Versicherungs- oder Rückversicherungsunternehmen nicht daran, die Anforderungen von Artikel 101 Absatz 3 der Richtlinie 2009/13/EG zu erfüllen.
  4. Die Daten erfüllen alle zusätzlichen Datenanforderungen, die im Hinblick auf die Verwendung der einzelnen standardisierten Methoden notwendig sind.
  5. Die Daten und der Prozess der Datenproduktion werden sorgfältig dokumentiert; dies gilt auch für
    1. die Sammlung von Daten und die Analyse ihrer Qualität, wobei die geforderte Dokumentation ein Verzeichnis der Daten mit Angaben zu deren Quelle, Merkmalen und Verwendung sowie die Spezifikationen für die Erhebung, Verarbeitung und Anwendung der Daten zu enthalten hat;
    2. die Wahl der bei der Produktion und Anpassung der Daten zugrunde gelegten Annahmen, einschließlich Anpassungen im Hinblick auf Rückversicherungsansprüche und Ansprüche im Zusammenhang mit Katastrophenereignissen sowie Anpassungen in Bezug auf die Zuweisung der Ausgaben, wobei die geforderte Dokumentation ein Verzeichnis aller relevanten Annahmen, auf die sich die Berechnung der versicherungstechnischen Rückstellungen stützt, sowie eine Begründung der Wahl der Annahmen zu enthalten hat;
    3. die Auswahl und Anwendung versicherungsmathematischer und statistischer Methoden für die Produktion und die Anpassung der Daten;
    4. die Validierung der Daten.

2. Werden externe Daten verwendet, müssen diese folgenden zusätzlichen Kriterien genügen:

  1. Der Prozess der Datenerhebung ist transparent, überprüfbar und dem Versicherungs- oder Rückversicherungsunternehmen, das die Daten zur Berechnung unternehmensspezifischer Parameter heranzieht, bekannt.
  2. Sofern die Daten aus unterschiedlichen Quellen stammen: Die bei der Erhebung, Verarbeitung und Anwendung der Daten zugrunde gelegten Annahmen gewährleisten, dass die Daten vergleichbar sind.
  3. Die Daten stammen von Versicherungs- und Rückversicherungsunternehmen, deren Geschäfts- und Risikoprofil dem des Versicherungs- oder Rückversicherungsunternehmens ähneln, dessen unternehmensspezifische Parameter auf der Grundlage dieser Daten berechnet werden.
  4. Die Unternehmen, die die externen Daten verwenden, sind in der Lage, zu überprüfen, ob eine ausreichende statistische Evidenz dafür vorliegt, dass die ihren eigenen Daten zugrunde liegenden Wahrscheinlichkeitsverteilungen und die den externen Daten zugrunde liegenden Wahrscheinlichkeitsverteilungen einen hohen Grad an Übereinstimmung aufweisen, insbesondere hinsichtlich des in den Daten zum Ausdruck kommenden Volatilitätsniveaus.
  5. Die externen Daten umfassen ausschließlich Daten von Unternehmen mit einem ähnlichen Risikoprofil, das auch dem Risikoprofil des die Daten verwendenden Unternehmens ähnelt. Insbesondere umfassen sie Daten von Unternehmen mit einer ähnlichen Geschäftstätigkeit und einem hinsichtlich der betreffenden externen Daten ähnlichen Risikoprofil, wobei eine ausreichende statistische Evidenz dafür vorliegt, dass die den externen Daten zugrunde liegenden Wahrscheinlichkeitsverteilungen einen hohen Grad an Homogenität aufweisen.

Artikel 220 Standardisierte Methoden zur Berechnung der unternehmensspezifischen Parameter

1. Berechnen Versicherungs- und Rückversicherungsunternehmen unternehmensspezifische Parameter, verwenden sie für jeden einzelnen Parameter die in Anhang XVII genannten standardisierten Methoden:

  1. die Prämienrisikomethode für unternehmensspezifische Parameter, die die in Artikel 218 Absatz 1 Buchstabe a Ziffern i und ii sowie Buchstabe c Ziffern i und ii genannten Standardparameter ersetzen;
  2. die Rückstellungsrisikomethode 1 oder die Rückstellungsrisikomethode 2 für unternehmensspezifische Parameter, die die in Artikel 218 Absatz 1 Buchstabe a Ziffer iv und Buchstabe c Ziffer iv genannten Standardparameter ersetzen;
  3. die nichtproportionale Rückversicherungsmethode für unternehmensspezifische Parameter, die die in Artikel 218 Absatz 1 Buchstabe a Ziffer iii und Buchstabe c Ziffer iii genannten Standardparameter ersetzen;
  4. die Revisionsrisikomethode für unternehmensspezifische Parameter, die die in Artikel 218 Absatz 1 Buchstaben b und d genannten Standardparameter ersetzen.

2. Ist ein Unternehmen in der Lage, mehr als eine standardisierte Methode zu verwenden, wählt es diejenige Methode, die mit Blick auf die Erfüllung der in Artikel 101 Absatz 3 der Richtlinie 2009/138/EG festgelegten Kalibrierungsanforderungen die genauesten Ergebnisse liefert.

Kann ein Unternehmen jedoch nicht nachweisen, dass eine bestimmte standardisierte Methode hinsichtlich der Genauigkeit der Ergebnisse den anderen standardisierten Methoden zur Berechnung eines unternehmensspezifischen Parameters überlegen ist, wird diejenige Methode verwendet, die die konservativsten Ergebnisse liefert.

Abschnitt 13
Verfahren für die Aktualisierung der Korrelationsparameter

Artikel 221

1. Die Aufsichtsbehörden erheben die quantitativen unternehmensspezifischen Daten, die zur Ermittlung von Abhängigkeiten zwischen den in Artikel 309 Absatz 8 genannten Risiken erforderlich sind, und stellen sie der EIOPa alljährlich zum Zwecke der Aktualisierung der Korrelationsparameter zur Verfügung.

2. Die EIOPa kann die in Absatz 1 genannten Daten im Hinblick auf die Abgabe einer Stellungnahme zur Aktualisierung der Korrelationsparameter analysieren.


weiter .

umwelt-online - Demo-Version


(Stand: 06.09.2019)

Alle vollständigen Texte in der aktuellen Fassung im Jahresabonnement
Nutzungsgebühr: 90.- € netto (Grundlizenz)

(derzeit ca. 7200 Titel s.Übersicht - keine Unterteilung in Fachbereiche)

Preise & Bestellung

Die Zugangskennung wird kurzfristig übermittelt

? Fragen ?
Abonnentenzugang/Volltextversion