umwelt-online: Delegierte Verordnung (EU) 2015/35 zur Ergänzung der Richtlinie 2009/138/EG betreffend die Aufnahme und Ausübung der Versicherungs- und der Rückversicherungstätigkeit - (Solvabilität II)(6)

zurück

.

 Integrationstechniken für interne Partialmodelle Anhang XVIII

A. Allgemeine Bestimmungen

(1) Für die Zwecke dieses Anhangs bezeichnet der Ausdruck

  1. "Komponente des internen Partialmodells" eine Komponente des internen Partialmodells, die separat berechnet und nicht im Rahmen des internen Partialmodells aggregiert wird;

(2) Wenn Versicherungs- und Rückversicherungsunternehmen eine der Integrationstechniken 1 bis 5 anwenden, so entspricht ihre Solvenzkapitalanforderung der Summe folgender Bestandteile:

  1. der Basissolvenzkapitalanforderung nach den Abschnitten C bis F;
  2. der Kapitalanforderung für das operationelle Risiko gemäß Artikel 107 der Richtlinie 2009/138/EG, sofern diese Kapitalanforderung nicht in den Anwendungsbereich des internen Partialmodells fällt; die Kapitalanforderung für das operationelle Risiko wird nach dem internen Partialmodell berechnet, sofern diese Kapitalanforderung in den Anwendungsbereich des internen Partialmodells fällt;
  3. der Anpassung für die Verlustausgleichsfähigkeit der versicherungstechnischen Rückstellungen und latenten Steuern gemäß Absatz 3, sofern diese Anpassung nicht in den Anwendungsbereich des internen Partialmodells fällt; die Anpassung wird nach dem internen Partialmodell berechnet, sofern sie in den Anwendungsbereich des internen Partialmodells fällt.

(3) Wenn die Anpassung für die Verlustausgleichsfähigkeit der versicherungstechnischen Rückstellungen und latenten Steuern nicht in den Anwendungsbereich des internen Partialmodells fällt, wird sie gemäß den Bestimmungen der Artikel 205 bis 207 berechnet, jedoch mit folgenden Änderungen:

  1. Die Basissolvenzkapitalanforderung nach Artikel 206 Absätze 1 und 2 und Artikel 207 Absatz 1 wird gemäß den Abschnitten B bis F berechnet;
  2. Artikel 206 Absatz 2 Buchstaben a bis d gilt nur für Berechnungen nach der Standardformel;
  3. für die Zwecke des Artikels 206 Absatz 2 tragen die für die Berechnung der Basissolvenzkapitalanforderung verwendeten Kapitalanforderungen, die anhand des internen Partialmodells berechnet werden, dem risikomindernden Effekt künftiger Überschussbeteiligungen aus Versicherungsverträgen Rechnung;
  4. die Kapitalanforderung für das operationelle Risiko nach Artikel 207 Absatz 1 Buchstabe c wird gemäß Absatz 2 Buchstabe b berechnet.

B. Integrationstechnik 1

Die Basissolvenzkapitalanforderung entspricht der Summe der Kapitalanforderungen für die Komponenten des internen Partialmodells, der Kapitalanforderung, die sich aus der Anwendung der Standardformel für die Basissolvenzkapitalanforderung lediglich auf diejenigen Risiken ergibt, die nicht in den Anwendungsbereich des internen Partialmodells fallen, und der Kapitalanforderung für das Risiko immaterieller Vermögenswerte nach Artikel 203.

C. Integrationstechnik 2

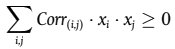
(1) Die Basissolvenzkapitalanforderung errechnet sich wie folgt:

Dabei gilt:

  1. die Summe umfasst alle möglichen Kombinationen(i,j) der in Absatz 2 aufgeführten Aggregationsliste;
  2. Corr(i,j) bezeichnet den Korrelationsparameter für die Bestandteilei undj der Aggregationsliste;
  3. SCRi undSCRj bezeichnen die Kapitalanforderungen für die Bestandteilei bzw.j der Aggregationsliste;
  4. SCRint bezeichnet die Kapitalanforderung für das Risiko immaterieller Vermögenswerte nach Artikel 203.

(2) Die Bestandteile der Aggregationsliste müssen folgende Anforderungen erfüllen:

  1. sie müssen alle Komponenten des internen Partialmodells abdecken;
  2. sie müssen sämtliche nachfolgend genannten Untermodule der Standardformel umfassen, mit Ausnahme derjenigen, die in den Anwendungsbereich des internen Partialmodells fallen:
    1. die Untermodule des nichtlebensversicherungstechnischen Risikomoduls nach Artikel 114 Absatz 1;
    2. die Untermodule des lebensversicherungstechnischen Risikomoduls nach Artikel 105 Absatz 3 der Richtlinie 2009/138/EG;
    3. die Untermodule des krankenversicherungstechnischen Risikomoduls nach Artikel 151 Absatz 1;
    4. die Untermodule des Marktrisikomoduls nach Artikel 105 Absatz 5 der Richtlinie 2009/138/EG;
  3. sie müssen das Gegenparteiausfallrisikomodul der Standardformel umfassen, sofern es nicht in den Anwendungsbereich des internen Partialmodells fällt.

Fällt jedoch keines der Untermodule eines Moduls der Standardformel in den Anwendungsbereich des internen Partialmodells, so umfasst die Aggregationsliste das entsprechende Modul anstelle seiner Untermodule.

(3) Die Korrelationsparameter nach Absatz 1 Buchstabe b müssen folgende Anforderungen erfüllen:

  1. bei allen Bestandteileni undj der Aggregationsliste darf der KorrelationsparameterCorr(i,j) nicht weniger als - 1 und nicht mehr als 1 betragen;
  2. bei allen Bestandteileni undj der Aggregationsliste müssen die KorrelationsparameterCorr(i,j) undCorr(j,i) gleich sein;
  3. bei allen Bestandteileni der Aggregationsliste muss der KorrelationsparameterCorr(i,i) gleich 1 sein;
  4. bei jeder Einsetzung tatsächlicher Zahlen für die Bestandteile der Aggregationsliste muss Folgendes zutreffen:

    Dabei gilt:

    1. die Summe umfasst alle möglichen Kombinationen(i,j) der Aggregationsliste;
    2. xi undxj sind die Zahlen, die für die Bestandteilei bzw.j der Aggregationsliste eingesetzt werden;
  5. handelt es sich bei den Bestandteileni undj der Aggregationsliste um Module der Standardformel, so muss der KorrelationsparameterCorr(i,j) dem Korrelationsparameter der Standardformel entsprechen, der für die Aggregation dieser beiden Module verwendet wird;
  6. handelt es sich bei den Bestandteileni undj der Aggregationsliste um Untermodule ein und desselben Moduls der Standardformel, so muss der KorrelationsparameterCorr(i,j) dem Korrelationsparameter der Standardformel entsprechen, der für die Aggregation dieser beiden Untermodule verwendet wird;
  7. bei allen Bestandteileni undj der Aggregationsliste darf der KorrelationsparameterCorr(i,j) nicht geringer sein alsCorrmin(i,j) und nicht höher alsCorrmax(i,j), wobei es sich beiCorrmin(i,j) undCorrmax(i,j) um eine vom Unternehmen gewählte geeignete Unter- bzw. Obergrenze handelt.

Versicherungs- und Rückversicherungsunternehmen müssen die Korrelationsparameter im Sinne des Absatzes 1 Buchstabe b so wählen, dass keine anderen Korrelationsparameter, die die Anforderungen der Buchstaben a bis g erfüllen, gemäß der Berechnung nach Absatz 1 eine höhere Solvenzkapitalanforderung ergeben.

D. Integrationstechnik 3

(1) Die Basissolvenzkapitalanforderung errechnet sich wie folgt:

Dabei gilt:

  1. SS bezeichnet die Kapitalanforderung, die sich aus der Anwendung der Standardformel für die Basissolvenzkapitalanforderung lediglich auf diejenigen Risiken ergibt, die nicht in den Anwendungsbereich des internen Partialmodells fallen;
  2. ω1 bezeichnet den ersten impliziten Korrelationsparameter nach Absatz 2;
  3. Pc bezeichnet die aufgrund der Risiken im Anwendungsbereich der Standardformel sowie des internen Partialmodells bestehende Kapitalanforderung, die anhand des internen Partialmodells berechnet wird;
  4. ω2 bezeichnet den zweiten impliziten Korrelationsparameter nach Absatz 3;
  5. Ps bezeichnet die aufgrund der Risiken im Anwendungsbereich des internen Partialmodells, jedoch nicht der Standardformel bestehende Kapitalanforderung, die anhand des internen Partialmodells berechnet wird;
  6. P bezeichnet die aufgrund der Risiken im Anwendungsbereich des internen Partialmodells bestehende Kapitalanforderung, die anhand des internen Partialmodells berechnet wird;
  7. SCRintbezeichnet die Kapitalanforderung für das Risiko immaterieller Vermögenswerte nach Artikel 203.

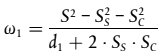
(2) Der erste implizite Korrelationsparameter errechnet sich wie folgt:

Dabei gilt:

  1. S bezeichnet die Kapitalanforderung, die auf die gleiche Weise wie die Basissolvenzkapitalanforderung anhand der Standardformel berechnet wird, wobei jedoch die Kapitalanforderungen für Module und Untermodule durch Kapitalanforderungen für diejenigen Module bzw. Untermodule ersetzt werden, die sofern möglich anhand des internen Partialmodells berechnet werden;
  2. SC bezeichnet die Kapitalanforderung, die sich aus der Anwendung der Standardformel für die Basissolvenzkapitalanforderung lediglich auf diejenigen Risiken ergibt, die in den Anwendungsbereich der Standardformel und des internen Partialmodells fallen, wobei jedoch die Kapitalanforderungen für Module und Untermodule durch Kapitalanforderungen für diejenigen Module bzw. Untermodule ersetzt werden, die anhand des internen Partialmodells berechnet werden;
  3. SS entspricht der Definition in Absatz 1 Buchstabe a;
  4. d1 ist gleich 1, wennSS oderSC gleich 0 ist, und gleich 0, wennSS undSC ungleich 0 sind.

(3) Der zweite implizite Korrelationsparameter errechnet sich wie folgt:

Dabei gilt: ω1 entspricht der Definition in Absatz 2 und ω3 ist der dritte implizite Korrelationsparameter nach Absatz 4.

(4) Der dritte implizite Korrelationsparameter errechnet sich wie folgt:

Dabei gilt:

  1. P,Ps undPc entsprechen der Definition in Absatz 1;
  2. d2 ist gleich 1, wennPs oderPc gleich 0 ist, und gleich 0, wennPs undPc ungleich 0 sind.

E. Integrationstechnik 4

(1) Die Basissolvenzkapitalanforderung errechnet sich wie folgt:

Dabei gilt:

  1. P bezeichnet die aufgrund der Risiken im Anwendungsbereich des internen Partialmodells bestehende Kapitalanforderung, die anhand des internen Partialmodells berechnet wird;
  2. SS bezeichnet die Kapitalanforderung, die sich aus der Anwendung der Standardformel für die Basissolvenzkapitalanforderung lediglich auf diejenigen Risiken ergibt, die nicht in den Anwendungsbereich des internen Partialmodells fallen;
  3. k bezeichnet die Anzahl der Module der Standardformel, die in den Anwendungsbereich des internen Partialmodells fallen;
  4. n bezeichnet die Anzahl der Module der Standardformel;
  5. l bezeichnet die Anzahl der Module der Standardformel, für die die Kapitalanforderung jeweils anhand des internen Partialmodells berechnet werden kann;
  6. Corr(i,j) bezeichnet den Korrelationsparameter der Standardformel für die Aggregation der Modulei undj;
  7. Pi bezeichnet die Kapitalanforderung für das Moduli der Standardformel, die anhand des internen Partialmodells berechnet wird;
  8. Si undSj bezeichnen die Kapitalanforderungen der Modulei bzw.j der Standardformel, die folgendermaßen berechnet werden:
    1. Wenn das Modul nicht aus Untermodulen besteht, wird es anhand der Standardformel berechnet;
    2. wenn das Modul aus Untermodulen besteht, wird es gemäß Absatz 2 berechnet;
  9. SCRint bezeichnet die Kapitalanforderung für das Risiko immaterieller Vermögenswerte nach Artikel 203.

(2) Bei allen Modulen der Standardformel gemäß Absatz 1 Buchstabe h Ziffer ii wird die Kapitalanforderung eines bestimmten Moduls jeweils anhand der Formel in Absatz 1 berechnet, wobei Folgendes gilt:

  1. P bezeichnet die Kapitalanforderung, die aufgrund der in den Anwendungsbereich des internen Partialmodells fallenden Risiken der Untermodule des betreffenden Moduls besteht und anhand des internen Partialmodells berechnet wird;
  2. SS bezeichnet die Kapitalanforderung, die sich aus der Anwendung des jeweiligen Moduls lediglich auf diejenigen Risiken ergibt, die nicht in den Anwendungsbereich des internen Partialmodells fallen;
  3. k bezeichnet die Anzahl der Untermodule des betreffenden Moduls, die in den Anwendungsbereich des internen Partialmodells fallen;
  4. n bezeichnet die Anzahl der Untermodule des betreffenden Moduls;
  5. l bezeichnet die Anzahl der Untermodule des betreffenden Moduls, für die die Kapitalanforderung jeweils anhand des internen Partialmodells berechnet werden kann;
  6. Corr(i,j) bezeichnet den Korrelationsparameter der Standardformel für die Aggregation der Untermodulei undj des betreffenden Moduls;
  7. Pi bezeichnet die Kapitalanforderung für das Untermoduli des betreffenden Moduls, die anhand des internen Partialmodells berechnet wird;
  8. Si undSj bezeichnen die Kapitalanforderungen der Untermodulei bzw.j des betreffenden Moduls, die folgendermaßen berechnet werden:
    1. Wenn das Untermodul nicht aus weiteren Untermodulen besteht, wird es anhand der Standardformel berechnet;
    2. wenn das Untermodul aus weiteren Untermodulen besteht, wird es gemäß Absatz 3 berechnet;
  9. SCRint wird gleich 0 gesetzt.

(3) Bei allen Untermodulen der Standardformel gemäß Absatz 2 Buchstabe h Ziffer ii wird die Kapitalanforderung eines bestimmten Untermoduls jeweils anhand der Formel in Absatz 1 berechnet, wobei Folgendes gilt:

  1. P bezeichnet die Kapitalanforderung, die aufgrund der in den Anwendungsbereich des internen Partialmodells fallenden Risiken der Untermodule des betreffenden Untermoduls besteht und anhand des internen Partialmodells berechnet wird;
  2. SS bezeichnet die Kapitalanforderung, die sich aus der Anwendung des jeweiligen Untermoduls lediglich auf diejenigen Risiken ergibt, die nicht in den Anwendungsbereich des internen Partialmodells fallen;
  3. k bezeichnet die Anzahl der Untermodule des betreffenden Untermoduls, die in den Anwendungsbereich des internen Partialmodells fallen;
  4. n bezeichnet die Anzahl der Untermodule des betreffenden Untermoduls;
  5. l bezeichnet die Anzahl der Untermodule des betreffenden Untermoduls, für die die Kapitalanforderung jeweils anhand des internen Partialmodells berechnet werden kann;
  6. Corr(i,j)bezeichnet den Korrelationsparameter der Standardformel für die Aggregation der Untermodulei undj des betreffenden Untermoduls;
  7. Pi bezeichnet die Kapitalanforderung für das Untermoduli des betreffenden Untermoduls, die anhand des internen Partialmodells berechnet wird;
  8. Si undSjbezeichnen die Kapitalanforderungen der Untermodulei bzw.j des betreffenden Untermoduls, die folgendermaßen berechnet werden:
    1. Wenn das Untermodul nicht aus weiteren Untermodulen besteht, wird es anhand der Standardformel berechnet;
    2. wenn das Untermodul aus weiteren Untermodulen besteht, wird es gemäß diesem Absatz berechnet;
  9. SCRint wird gleich 0 gesetzt.

F. Integrationstechnik 5

(1) Die Basissolvenzkapitalanforderung errechnet sich wie folgt:

Dabei gilt:

  1. P,SS,k,n,Corr(i,j) undSCRint entsprechen der Definition in Abschnitt E Absatz 1;
  2. Si undSj bezeichnen die Kapitalanforderungen der Modulei bzw.j der Standardformel, die folgendermaßen berechnet werden:
    1. Wenn das Modul nicht aus Untermodulen besteht, wird es anhand der Standardformel berechnet;
    2. wenn das Modul aus Untermodulen besteht, wird es gemäß Absatz 2 berechnet.

(2) Bei allen Modulen der Standardformel gemäß Absatz 1 Buchstabe b Ziffer ii wird die Kapitalanforderung eines bestimmten Moduls jeweils anhand der Formel in Absatz 1 berechnet, wobei Folgendes gilt:

  1. P,SS,k,n,Corr(i,j) undSCRint entsprechen der Definition in Abschnitt E Absatz 2;
  2. Si und Sj bezeichnen die Kapitalanforderungen der Untermodulei bzw.j des betreffenden Moduls, die folgendermaßen berechnet werden:
    1. Wenn das Untermodul nicht aus weiteren Untermodulen besteht, wird es anhand der Standardformel berechnet;
    2. wenn das Untermodul aus weiteren Untermodulen besteht, wird es gemäß Absatz 3 berechnet.

(3) Bei allen Modulen der Standardformel gemäß Absatz 2 Buchstabe b Ziffer ii wird die Kapitalanforderung eines bestimmten Moduls jeweils anhand der Formel in Absatz 1 berechnet, wobei Folgendes gilt:

  1. P,SS,k,n,Corr(i,j) undSCRint entsprechen der Definition in Abschnitt E Absatz 3;
  2. SiundSj bezeichnen die Kapitalanforderungen der Untermodule i bzw. j des betreffenden Moduls, die folgendermaßen berechnet werden:
    1. Wenn das Untermodul nicht aus weiteren Untermodulen besteht, wird es anhand der Standardformel berechnet;
    2. wenn das Untermodul aus weiteren Untermodulen besteht, wird es gemäß diesem Absatz berechnet.

.

Risikofaktoren im Zusammenhang mit Mindestkapitalanforderungen für Nichtlebens- und Krankenversicherungs- oder -Rückversicherungsverpflichtungen  Anhang XIX


Segment

Geschäftsbereiche gemäß Anhang I, die das Segment umfasst

Faktor für versicherungstechnische Rückstellungen für das Segment s (±s)

Faktor für gebuchte Prämien für Segment s (2s)

1 Krankheitskostenversicherung

1 und 13

4,7 %

4,7 %

2 Berufsunfähigkeitsversicherung

2 und 14

13,1 %

8,5 %

3 Arbeitsunfallversicherung

3 und 15

10,7 %

7,5 %

4 Kraftfahrzeughaftpflichtversicherung und proportionale Rückversicherung

4 und 16

8,5 %

9,4 %

5 Sonstige Kraftfahrtversicherung und proportionale Rückversicherung

5 und 17

7,5 %

7,5 %

6 See-, Luftfahrt- und Transportversicherung und proportionale Rückversicherung

6 und 18

10,3 %

14 %

7 Feuer- und andere Sachversicherungen und proportionale Rückversicherung

7 und 19

9,4 %

7,5 %

8 Allgemeine Haftpflichtversicherung und proportionale Rückversicherung

8 und 20

10,3 %

13,1 %

9 Kredit- und Kautionsversicherung und proportionale Rückversicherung

9 und 21

17,7 %

11,3 %

10 Rechtsschutzversicherung und proportionale Rückversicherung

10 und 22

11,3 %

6,6 %

11 Beistand und proportionale Rückversicherung

11 und 23

18,6 %

8,5 %

12 Versicherung gegen verschiedene finanzielle Verluste und proportionale Rückversicherung

12 und 24

18,6 %

12,2 %

13 Nichtproportionale Unfallrückversicherung

26

18,6 %

15,9 %

14 Nichtproportionale See-, Luftfahrt- und Transportrückversicherung

27

18,6 %

15,9 %

15 Nichtproportionale Sachrückversicherung

28

18,6 %

15,9 %

16 Nichtproportionale Krankenrückversicherung

25

18,6 %

15,9 %

.

Aufbau des Berichts über Solvabilität und Finanzlage und des regelmäßigen aufsichtlichen Berichts  Anhang XX

Zusammenfassung

A. Geschäftstätigkeit und Leistung

A.1 Geschäftstätigkeit

A.2 Versicherungstechnische Leistung

A.3 Anlageergebnis

A.4 Entwicklung sonstiger Tätigkeiten

A.5 Sonstige Angaben

B. Governance-System

B.1 Allgemeine Angaben zum Governance-System

B.2 Anforderungen an die fachliche Qualifikation und persönliche Zuverlässigkeit

B.3 Risikomanagementsystem einschließlich der unternehmenseigenen Risiko- und Solvabilitätsbeurteilung

B.4 Internes Kontrollsystem

B.5 Funktion der internen Revision

B.6 Versicherungsmathematische Funktion

B.7 Outsourcing

B.8 Sonstige Angaben

C. Risikoprofil

C.1 Versicherungstechnisches Risiko

C.2 Marktrisiko

C.3 Kreditrisiko

C.4 Liquiditätsrisiko

C.5 Operationelles Risiko

C.6 Andere wesentliche Risiken

C.7 Sonstige Angaben

D. Bewertung für Solvabilitätszwecke

D.1 Vermögenswerte

D.2 Versicherungstechnische Rückstellungen

D.3 Sonstige Verbindlichkeiten

D.4 Alternative Bewertungsmethoden

D.5 Sonstige Angaben

E. Kapitalmanagement

E.1 Eigenmittel

E.2 Solvenzkapitalanforderung und Mindestkapitalanforderung

E.3 Verwendung des durationsbasierten Untermoduls Aktienrisiko bei der Berechnung der Solvenzkapitalanforderung

E.4 Unterschiede zwischen der Standardformel und etwa verwendeten internen Modellen

E.5 Nichteinhaltung der Mindestkapitalanforderung und Nichteinhaltung der Solvenzkapitalanforderung

E.6 Sonstige Angaben

.

 Aggregierte statistische Daten Anhang XXI


A. Daten über beaufsichtigte Unternehmen und Gruppen

Daten über nach der Richtlinie 2009/138/EG beaufsichtigte Versicherungs- und Rückversicherungsunternehmen

(1) Zahl der Versicherungs- und Rückversicherungsunternehmen, Zahl der Zweigniederlassungen im Sinne des Artikels 13 Absatz 11 der Richtlinie 2009/138/EG und Zahl der Zweigniederlassungen im Sinne des Artikels 162 Absatz 3 der Richtlinie 2009/138/EG mit Sitz im Mitgliedstaat der Aufsichtsbehörde;

(2) Zahl der Zweigniederlassungen von Versicherungs- und Rückversicherungsunternehmen mit Sitz im Mitgliedstaat der Aufsichtsbehörde, die in einem oder mehreren anderen Mitgliedstaaten einschlägige Geschäfte ausüben;

(3) Zahl der Versicherungsunternehmen mit Sitz im Mitgliedstaat der Aufsichtsbehörde, die im Rahmen des freien Dienstleistungsverkehrs in anderen Mitgliedstaaten Geschäfte ausüben;

(4) Zahl der Versicherungsunternehmen mit Sitz in anderen Mitgliedstaaten, die ihre Absicht mitgeteilt haben, im Rahmen des freien Dienstleistungsverkehrs Geschäfte im Mitgliedstaat der Aufsichtsbehörde auszuüben, und Zahl derartiger Versicherungsunternehmen, die tatsächlich derartige Geschäfte ausüben;

(5) Zahl der Versicherungs- und Rückversicherungsunternehmen, die nicht in den Geltungsbereich der Richtlinie 2009/138/EG fallen;

(6) Zahl der nach Artikel 211 der Richtlinie 2009/138/EG zugelassenen Zweckgesellschaften;

(7) Zahl der Versicherungs- und Rückversicherungsunternehmen, die Gegenstand von Sanierungsmaßnahmen oder Liquidationsverfahren sind;

(8) Zahl der Versicherungs- und Rückversicherungsunternehmen und Zahl ihrer Portfolios, bei denen die Matching-Anpassung nach Artikel 77b der Richtlinie 2009/138/EG vorgenommen wird;

(9) Zahl der Versicherungs- und Rückversicherungsunternehmen, die die Volatilitätsanpassung nach Artikel 77d der Richtlinie 2009/138/EG vornehmen;

(10) Zahl der Versicherungs- und Rückversicherungsunternehmen, die eine vorübergehende Anpassung der risikofreien Zinskurve nach Artikel 308c der Richtlinie 2009/138/EG vornehmen;

(11) Zahl der Versicherungs- und Rückversicherungsunternehmen, die bei versicherungstechnischen Rückstellungen nach Artikel 308d der Richtlinie 2009/138/EG vorübergehend einen Abzug geltend machen;

(12) Gesamtbetrag der Vermögenswerte der Versicherungs- und Rückversicherungsunternehmen, bewertet gemäß Artikel 75 der Richtlinie 2009/138/EG anhand von Vermögenswertklassen;

(13) Gesamtbetrag der Verbindlichkeiten der Versicherungs- und Rückversicherungsunternehmen, bewertet gemäß den Artikeln 75 bis 86 der Richtlinie 2009/138/EG, aufgeteilt in versicherungstechnische Rückstellungen und sonstige Verbindlichkeiten, mit separater Angabe der nachrangigen Verbindlichkeiten, die nicht zu den Eigenmitteln gehören;

(14) Gesamtbetrag der Basiseigenmittel mit getrennter Angabe der nachrangigen Verbindlichkeiten, die in die Eigenmittel einbezogen werden, und Gesamtbetrag der ergänzenden Eigenmittel;

(15) auf die Solvenzkapitalanforderung anrechenbarer Gesamtbetrag der Eigenmittel, aufgeschlüsselt nach Klassen ("Tiers");

(16) auf die Mindestkapitalanforderung anrechenbarer Gesamtbetrag der Basiseigenmittel, aufgeschlüsselt nach Klassen ("Tiers");

(17) Gesamtbetrag der Mindestkapitalanforderung;

(18) Gesamtbetrag der Solvenzkapitalanforderung;

(19) wenn die Solvenzkapitalanforderung anhand der Standardformel berechnet wird: Gesamtbetrag der Solvenzkapitalanforderung, aufgeschlüsselt nach Modul und Untermodul - auf der jeweils verfügbaren Aggregationsebene -, ausgedrückt als Prozentsatz des Gesamtbetrags der Solvenzkapitalanforderung;

(20) wenn die Solvenzkapitalanforderung für Kreditrisiken anhand der Standardformel berechnet wird: Gesamtbetrag der Solvenzkapitalanforderung für die Untermodule Spread-Risiko und Marktrisiko-Konzentration und für das Modul Gegenparteiausfallrisiko, für die im Einklang mit Artikel 4 Absatz 5 eine Neubewertung der Bonitätsstufen größerer oder komplexerer Risikopositionen vorgenommen wurde - auf der jeweils verfügbaren Aggregationsebene -, ausgedrückt als Prozentsatz des Gesamtbetrags des betreffenden Untermoduls bzw. Moduls;

(21) wenn die Solvenzkapitalanforderung anhand eines genehmigten internen Partialmodells berechnet wird: Gesamtbetrag der Solvenzkapitalanforderung, aufgeschlüsselt nach Modul und Untermodul - auf der jeweils verfügbaren Aggregationsebene -, ausgedrückt als Prozentsatz des Gesamtbetrags der Solvenzkapitalanforderung; Daten über interne Modelle, die auf Kreditrisiko im Zusammenhang mit Marktrisiko und Gegenparteiausfallrisiko anwendbar sind, sind getrennt auszuweisen;

(22) Zahl der Versicherungs- und Rückversicherungsunternehmen, die für die Berechnung der Solvenzkapitalanforderung ein genehmigtes internes Vollmodell verwenden, und Zahl der Versicherungs- und Rückversicherungsunternehmen, die dafür ein genehmigtes internes Partialmodell verwenden; Daten über interne Modelle, die auf Kreditrisiko im Zusammenhang mit Marktrisiko und Gegenparteiausfallrisiko anwendbar sind, sind getrennt auszuweisen;

(23) Zahl der Kapitalaufschläge, durchschnittlicher Kapitalaufschlag je Unternehmen und Verteilung aller Kapitalaufschläge, ausgedrückt als Prozentsatz der Solvenzkapitalanforderung, in Bezug auf alle Versicherungs- und Rückversicherungsunternehmen, die nach der Richtlinie 2009/138/EG beaufsichtigt werden.

Die Daten der Absätze 1 bis 5 und 7 bis 17 sind getrennt auszuweisen für:

Daten über nach der Richtlinie 2009/138/EG beaufsichtigte Versicherungsgruppen

(24) Zahl der Versicherungsgruppen, bei denen die Aufsichtsbehörde für die Gruppenaufsicht zuständig ist, einschließlich der Zahl der Tochterunternehmen von Versicherungs- und Rückversicherungsunternehmen auf nationaler Ebene, in anderen Mitgliedstaaten und Drittstaaten, im Einklang mit Artikel 260 der Richtlinie 2009/138/EG weiter unterteilt nach gleichwertigen und nichtgleichwertigen Drittstaaten;

(25) Zahl der Versicherungsgruppen, bei denen die Aufsichtsbehörde für die Gruppenaufsicht zuständig ist und das oberste Mutterversicherungs- oder -rückversicherungsunternehmen oder die oberste Mutterversicherungsholdinggesellschaft oder gemischte Mutterfinanzholdinggesellschaft seinen bzw. ihren Sitz in der Union hat und ein Tochterunternehmen eines Unternehmens mit Sitz außerhalb der Union ist;

(26) Zahl der obersten Mutterversicherungs- oder -rückversicherungsunternehmen oder der obersten Mutterversicherungsholdinggesellschaften oder gemischten Mutterfinanzholdinggesellschaften, die gemäß Artikel 216 der Richtlinie 2009/138/EG der Gruppenaufsicht auf nationaler Ebene durch die Aufsichtsbehörde unterliegen, sowie für jedes dieser Unternehmen und jede dieser Holdinggesellschaften die Zahl seiner bzw. ihrer Versicherungs- und Rückversicherungstochterunternehmen auf nationaler Ebene, in anderen Mitgliedstaaten und Drittstaaten, im Einklang mit Artikel 260 der Richtlinie 2009/138/EG weiter unterteilt nach gleichwertigen und nichtgleichwertigen Drittstaaten;

(27) Zahl der obersten Mutterversicherungs- oder -rückversicherungsunternehmen oder der obersten Mutterversicherungsholdinggesellschaften oder gemischten Mutterfinanzholdinggesellschaften, die gemäß Artikel 216 der Richtlinie 2009/138/EG der Gruppenaufsicht auf nationaler Ebene durch die Aufsichtsbehörde unterliegen und gemäß Artikel 217 der Richtlinie 2009/138/EG ein verbundenes Unternehmen haben, bei dem es sich ebenfalls um ein oberstes Mutterunternehmen auf nationaler Ebene handelt;

(28) Zahl der grenzübergreifenden Versicherungsgruppen, bei denen die Aufsichtsbehörde für die Gruppenaufsicht zuständig ist;

(29) Zahl der Versicherungsgruppen, denen gemäß Artikel 220 Absatz 2 der Richtlinie 2009/138/EG gestattet wurde, für die Berechnung der Solvabilität der Gruppe die Methode 2 oder eine Kombination aus den Methoden 1 und 2 anzuwenden;

(30) Gesamtbetrag der anrechnungsfähigen Eigenmittel der Versicherungsgruppen, bei denen die Aufsichtsbehörde für die Gruppenaufsicht zuständig ist, aufgeschlüsselt nach anrechnungsfähigen Eigenmitteln der Gruppen gemäß der Methode 1 nach Artikel 230 Absatz 1 der Richtlinie 2009/138/EG und anrechnungsfähigen Eigenmitteln der Gruppen gemäß der Methode 1 nach Artikel 233 der Richtlinie 2009/138/EG;

(31) Gesamtbetrag der Solvenzkapitalanforderung der Versicherungsgruppen, bei denen die Aufsichtsbehörde für die Gruppenaufsicht zuständig ist, aufgeschlüsselt nach der Solvenzkapitalanforderung für Gruppen gemäß der Methode 1 nach Artikel 230 Absatz 1 der Richtlinie 2009/138/EG und der Solvenzkapitalanforderung für Gruppen gemäß der Methode 1 nach Artikel 233 der Richtlinie 2009/138/EG;

(32) Zahl der Versicherungsgruppen, bei denen die Aufsichtsbehörde für die Gruppenaufsicht zuständig ist und die für die Berechnung der Solvenzkapitalanforderungen der Gruppe ein genehmigtes internes Vollmodell verwenden, und Zahl der Versicherungsgruppen, bei denen die Aufsichtsbehörde für die Gruppenaufsicht zuständig ist und die für die Berechnung der Solvenzkapitalanforderungen der Gruppe ein genehmigtes internes Partialmodell verwenden. Die Angaben in Bezug auf Genehmigungen nach Artikel 230 und nach Artikel 231 der Richtlinie 2009/138/EG sind getrennt auszuweisen.

Die Angaben der Absätze 1 bis 32 sind mit dem Stand vom Ende des vergangenen Kalenderjahrs zu erteilen. Die Angaben der Absätze 12 bis 21, 23, 24 und 29 bis 31 müssen sich auf das jeweilige Ende des Geschäftsjahres der Versicherungs- und Rückversicherungsunternehmen bzw. Versicherungsgruppen beziehen, das im vergangenen Kalenderjahr endete.

B. Daten über die Aufsichtsbehörde

(1) Struktur der Aufsichtsbehörde, einschließlich der Zahl der Mitarbeiter zum Ende des vergangenen Kalenderjahrs;

(2) Zahl der Prüfungen vor Ort im Rahmen der Einzel- und der Gruppenaufsicht und Gesamtzahl der darauf verwendeten Manntage, Zahl der regelmäßigen Prüfungen, der Ad-hoc-Prüfungen, der Dritten übertragenen Prüfungen und der Prüfungen vor Ort im Rahmen der Gruppenaufsicht, die gemeinsam mit anderen Mitgliedern des Aufsichtskollegiums der Gruppe durchgeführt wurden; Daten über Prüfungen, die zur Überprüfung und Bewertung des Rückgriffs der Unternehmen auf externe Ratings durchgeführt werden, sind getrennt auszuweisen;

(3) Zahl der formellen Überprüfungen im Rahmen der Einzel- und der Gruppenaufsicht mit Blick auf die kontinuierliche Übereinstimmung der internen Voll- und Partialmodelle mit den Anforderungen zur Anzahl der verwendeten internen Modelle; Daten über Überprüfungen, die zur Überprüfung und Bewertung des Vertrauens der Unternehmen auf externe Ratings durchgeführt werden, sind getrennt auszuweisen;

(4) Zahl der zur Genehmigung vorgelegten internen Voll- und Partialmodelle und Zahl der genehmigten Modelle, aufgeschlüsselt nach Einzelunternehmen und Gruppen; Daten über interne Modelle, die auf Kreditrisiko im Zusammenhang mit Marktrisiko und Gegenparteiausfallrisiko anwendbar sind, sind getrennt auszuweisen;

(5) Zahl der gemäß den Artikeln 110, 117, 119, 137, 138 und 139 der Richtlinie 2009/138/EG getroffenen korrigierenden Maßnahmen, aufgeschlüsselt nach der Art der Maßnahme; Zahl der korrigierenden Maßnahmen nach Artikel 119, die aufgrund einer Abweichung des Risikoprofils des Versicherungs- oder Rückversicherungsunternehmens in Bezug auf das Kreditrisiko getroffen wurden;

(6) Zahl der entzogenen Zulassungen;

(7) Zahl der Zulassungen, die Versicherungs- oder Rückversicherungsunternehmen erteilt wurden;

(8) Kriterien für die Verwendung von Kapitalaufschlägen und Kriterien für deren Berechnung und Aufhebung;

(9) Zahl der bei den Aufsichtsbehörden eingegangenen Anträge auf Anwendung der Matching-Anpassungen nach Artikel 77b der Richtlinie 2009/138/EG und Zahl der genehmigten Anträge;

(10) wenn die Mitgliedstaaten für die Anwendung der Volatilitätsanpassung nach Artikel 77d der Richtlinie 2009/138/EG eine vorherige Genehmigung verlangen: Zahl der bei den Aufsichtsbehörden eingegangenen entsprechenden Anträge und Zahl der genehmigten Anträge;

(11) Zahl der gemäß Artikel 138 Absatz 4 der Richtlinie 2009/138/EG gewährten Fristverlängerungen und durchschnittlicher Zeitraum der Verlängerung;

(12) Zahl der gemäß Artikel 304 der Richtlinie 2009/138/EG erteilten Ermächtigungen;

(13) Zahl der bei der Aufsichtsbehörde eingegangenen Anträge auf vorübergehende Anpassung der risikofreien Zinskurve nach Artikel 308c der Richtlinie 2009/138/EG, Zahl der genehmigten Anträge und Zahl der Entscheidungen zum Entzug der Genehmigung der Übergangsmaßnahme nach Artikel 308e der Richtlinie 2009/138/EG;

(14) Zahl der bei der Aufsichtsbehörde eingegangenen Anträge auf Anwendung der Übergangsmaßnahme bei versicherungstechnischen Rückstellungen nach Artikel 308d der Richtlinie 2009/138/EG und Zahl der genehmigten Anträge;

(15) Zahl der Sitzungen von Aufsichtskollegien, an denen die Aufsichtsbehörde als Mitglied teilgenommen hat, und Zahl derartiger Sitzungen, bei denen sie im Rahmen der Gruppenaufsicht den Vorsitz geführt hat;

(16) Zahl der bei der Aufsichtsbehörde eingegangenen Anträge auf Genehmigung ergänzender Eigenmittel, Zahl der genehmigten Anträge und Hauptmerkmal der genehmigten Posten;

(17) Zahl der bei der Aufsichtsbehörde eingegangenen Anträge auf Genehmigung der Beurteilung und der Einstufung der Eigenmittelbestandteile, die nicht Gegenstand der in den Artikeln 69, 72, 74, 76 und 78 aufgeführten Listen sind, Zahl der genehmigten Anträge, Hauptmerkmale der Posten sowie Methode der Beurteilung und Einstufung; 

(18) Zahl und Umfang der von der EIOPa durchgeführten vergleichenden Analysen ("Peer Reviews") nach Artikel 30 der Verordnung (EU) Nr. 1094/2010, an denen die Aufsichtsbehörde mitgearbeitet hat.

Die Angaben der Absätze 2 bis 18 sind in Bezug auf das vergangene Kalenderjahr zu erteilen.

.

  Korrelationskoeffizienten für das Sturmrisiko Anhang XXII


(Zur Information- Anhang XXII im Excel - Format)


.

Korrelationskoeffizienten für das Erdbebenrisiko Anhang XXIII


(Zur Information- Anhang XXIII im Excel - Format)


.

Korrelationskoeffizienten für das Überschwemmungsrisiko Anhang XXIV


(Zur Information- Anhang XXIV im Excel - Format)


.

Korrelationskoeffizienten für das Überschwemmungsrisiko Anhang XXV


(Zur Information- Anhang XXV im Excel - Format)


.

Korrelationskoeffizienten für das Überschwemmungsrisiko Anhang XXVI


(Zur Information- Anhang XXVI im Excel - Format)



ENDE

umwelt-online - Demo-Version


(Stand: 06.09.2019)

Alle vollständigen Texte in der aktuellen Fassung im Jahresabonnement
Nutzungsgebühr: 90.- € netto (Grundlizenz)

(derzeit ca. 7200 Titel s.Übersicht - keine Unterteilung in Fachbereiche)

Preise & Bestellung

Die Zugangskennung wird kurzfristig übermittelt

? Fragen ?
Abonnentenzugang/Volltextversion