umwelt-online: Archivdatei - BinSchUO 2008 - Binnenschiffsuntersuchungsordnung - Anhang II
![]() |
zurück | ![]() |
Dienstanweisung Nr. 3
Anforderungen an Kupplungssysteme und Kuppeleinrichtungen von Fahrzeugen, die einen starren Verband fortbewegen oder in einem starren Verband fortbewegt werden sollen
(§§ 16.01, 16.02, 16.06 und 16.07 des Anhangs II)
Neben den Anforderungen des Kapitels 16 des Anhangs II sind auch die relevanten Bestimmungen nach der Rheinschiffspolizeiverordnung (§§ 6.21, 8.03, 8.05) zu beachten.
1. Allgemeine Anforderungen
1.1 Jedes Kupplungssystem muss die starre Verbindung der Fahrzeuge eines Verbandes gewährleisten, d.h. die Kupplungseinrichtung muss unter den vorgesehenen Einsatzbedingungen Bewegungen der Fahrzeuge gegeneinander in Längs- oder Querrichtung verhindern, so dass die Formation als "nautische Einheit" angesehen werden kann.
1.2 Das Kupplungssystem und dessen Elemente müssen sich leicht und gefahrlos bedienen lassen, so dass die Fahrzeuge schnell und ohne Gefährdung des Personals gekuppelt werden können.
1.3 Das Kupplungssystem und dessen Verbindungselemente müssen die unter den vorgesehenen Einsatzbedingungen auftretenden Kräfte einwandfrei aufnehmen und in den Schiffskörper einleiten können.
1.4 Es muss eine ausreichende Anzahl von Kuppelstellen vorhanden sein.
2. Kupplungskräfte und Bemessung der Kupplungseinrichtung
Die Kupplungseinrichtungen der zuzulassenden Verbände und Formationen müssen unter Berücksichtigung einer ausreichenden Sicherheit bemessen sein. Dies gilt als erfüllt, wenn für die Bemessung der Kupplungselemente der Längsverbindungen mindestens die nach Abschnitt 2.1, 2.2 oder 2.3 ermittelten Kupplungskräfte als Bruchkräfte zugrunde gelegt worden sind.
2.1 Kuppelstelle zwischen Schubboot und Schubleichtern oder anderen Fahrzeugen:
FSB = 270 ⋅PB ⋅(LS/BS) ⋅ 10-3[kN]
2.2 Kuppelstelle zwischen schiebendem Motorschiff und geschobenen Fahrzeugen:
FSF = 80 ⋅ PB ⋅ (LS/hK) ⋅ 10-3[kN]
2.3 Kuppelstellen zwischen geschobenen Fahrzeugen:
FSL = 80 ⋅ PB ⋅ (L'S/h'K) ⋅ 10-3[kN]
Als größte Kupplungskraft ist vor einem schiebenden Fahrzeug an der Kuppelstelle zwischen den ersten geschobenen Fahrzeugen und den davorgekuppelten Fahrzeugen 1.200 kN als ausreichend anzusehen, auch wenn sich nach der Formel in Abschnitt 2.3 ein größerer Wert ergibt.
Für die Kuppelstellen aller anderen Längsverbindungen zwischen geschobenen Fahrzeugen ist die nach Formel in Abschnitt 2.3 ermittelte Kupplungskraft für die Bemessung der Kupplungseinrichtungen zugrunde zu legen.

In diesen Formeln bedeuten:
| FSB, FSF, FSL | [kN] | Kupplungskraft der Längsverbindung; |
| PB | [kW] | installierte Leistung der Antriebsmaschinen; |
| LS | [m] | Länge vom Heck des Schubbootes oder des schiebenden Fahrzeugs bis zur Kuppelstelle; |
| L'S | [m] | Länge vom Heck des Schubbootes bis zur Kuppelstelle zwischen den ersten geschobenen Fahrzeugen und den davorgekuppelten Fahrzeugen; |
| hK, h'K | [m] | jeweiliger Hebelarm der Längsverbindung; |
| BS | [m] | Breite des Schubbootes; |
| 270 und 80 | [kN/kW] | Erfahrungswerte für die Umsetzung der installierten Leistung in Schubkraft unter Berücksichtigung einer ausreichenden Sicherheit. |
2.4.1 Für die Kupplung der einzelnen Fahrzeuge in Längsrichtung sind mindestens zwei Kuppelstellen vorzusehen. Jede Kuppelstelle ist für die nach 2.1, 2.2 oder 2.3 ermittelte Kupplungskraft zu bemessen. Bei der Verwendung starrer Verbindungselemente kann eine einzige Kuppelstelle zugelassen werden, sofern diese eine sichere Verbindung der Fahrzeuge gewährleistet.
Die Bruchkraft der Drahtseile ist entsprechend der vorgesehenen Seilführung auszuwählen. Drahtseile dürfen höchstens dreifach geführt werden und sind entsprechend ihrem Verwendungszweck auszuwählen.
2.4.2 Bei Schubbooten mit nur einem geschobenen Leichter kann für die Ermittlung der Kupplungskraft die Formel in 2.2 angewendet werden, wenn diese Schubboote für das Fortbewegen mehrerer dieser Leichter zugelassen sind.
2.4.3 Poller oder gleichwertige Einrichtungen müssen die auftretende Kupplungskräfte aufnehmen können und in ausreichender Zahl vorhanden sein.
3. Besondere Anforderungen bei Gelenkkupplungen
Gelenkkupplungen müssen so beschaffen sein, dass auch die starre Verbindung der Fahrzeuge gewährleistet werden kann. Die Einhaltung der Anforderungen des Kapitels 5 ist bei Probefahrten mit starrem Verband gemäß § 16.06 zu überprüfen.
Der Antrieb der Gelenkkupplung zum Knicken muss eine einwandfreie Rückführung aus dem geknickten Zustand ermöglichen. Die Anforderungen der §§ 6.02 bis 6.04 gelten sinngemäß, d.h. bei Verwendung von motorischen Antrieben muss für diese und deren Energiequelle bei Ausfall ein Ersatz zur Verfügung stehen.
Bedienung und Überwachung der Gelenkkupplung muss vom Steuerstand aus möglich sein (zumindest die Bewegung beim Knicken), die Anforderungen der §§ 7.03 und 7.05 gelten sinngemäß.
Dienstanweisung Nr. 4 12a
Anwendung der Übergangsbestimmungen
(Kapitel 15 bis 22b, Kapitel 24)
1. Anwendung der Übergangsbestimmungen beim Zusammenbau von Schiffsteilen
1.1 Grundsätze
Bei dem Zusammenbau von Schiffsteilen wird Bestandsschutz nur für die Teile, die zu dem Fahrzeug gehören, dessen Schiffsattest erhalten bleibt, gewährt. Übergangsvorschriften können nur für diese Teile in Anspruch genommen werden. Andere Teile werden wie ein Neubau behandelt.
1.2 Anwendung der Übergangsbestimmungen im Einzelnen
1.2.1 Bei dem Zusammenbau von Schiffsteilen können nur für die Teile, die zu dem Fahrzeug gehören, dessen Schiffsattest erhalten bleibt, Übergangsvorschriften in Anspruch genommen werden.
1.2.2 Teile, die nicht zu dem Fahrzeug gehören, dessen Schiffsattest erhalten bleibt, werden wie ein Neubau behandelt.
1.2.3 Nach Ergänzung eines Fahrzeugs um ein Teil eines anderen Fahrzeugs erhält Ersteres die Schiffsnummer des Fahrzeugs, dessen Schiffsattest bei dem umgebauten Fahrzeug verbleibt.
1.2.4 Bei Beibehaltung eines vorhandenen Schiffsattestes oder bei Erteilung eines neuen Schiffsattestes für ein Fahrzeug nach einem Umbau wird zusätzlich das Baujahr des ältesten Teils des Fahrzeugs im Schiffsattest vermerkt.
1.2.5 Wenn ein neues Vorschiff an ein Fahrzeug gesetzt wird, muss auch der Motor für die im Vorschiff installierte Bugsteueranlage den aktuellen Vorschriften entsprechen.
1.2.6 Wenn ein neues Achterschiff an ein Fahrzeug gesetzt wird, müssen auch die in dem Achterschiff installierten Motoren den aktuellen Vorschriften entsprechen.
1.3 Beispiele zur Verdeutlichung
1.3.1 Ein Schiff wird aus zwei älteren Schiffen (Schiff 1 Baujahr 1968; Schiff 2 Baujahr 1972) zusammengesetzt. Von Schiff 1 wird der gesamte Teil außer dem Vorschiff übernommen, von Schiff 2 das Vorschiff. Das zusammengebaute Schiff erhält das Schiffsattest von Schiff 1. Das Vorschiff des zusammengebauten Schiffes muss nun unter anderem mit Ankernischen ausgerüstet werden.
1.3.2 Ein Schiff wird aus zwei älteren Schiffen (Schiff 1 Baujahr 1975; Schiff 2 Baujahr 1958, ältestes Bauteil 1952) zusammengesetzt. Von Schiff 1 wird der gesamte Teil außer dem Vorschiff übernommen, von Schiff 2 das Vorschiff. Das zusammengebaute Schiff erhält das Schiffsattest von Schiff 1. Das Vorschiff des zusammengebauten Schiffes muss nun unter anderem mit Ankernischen ausgerüstet werden. Zusätzlich wird in das Schiffstattest das älteste Bauteil aus dem ursprünglichen Schiff 2 mit Baujahr 1952 eingetragen.
1.3.3 Bei einem Schiff (Baujahr 1988) wird das Heckteil eines Schiffes (Baujahr 2001) angebaut. Der Motor des Schiffes mit Baujahr 1988 soll im Schiff verbleiben. In diesem Fall muss der Motor typgenehmigt werden. Der Motor müsste auch typgenehmigt werden, wenn es sich um den 2001 im Heckteil befindlichen Motor handeln würde.
2. Anwendung von Übergangsbestimmungen bei der Änderung der Fahrzeugart (Zweckbestimmung des Fahrzeugs)
2.1 Grundsätze
2.1.1 Bei einer Entscheidung über die Anwendung von Übergangsbestimmungen bei der Änderung der Fahrzeugart (Schiffstyp; Zweckbestimmung des Schiffes) sind sicherheitstechnische Aspekte maßgeblich.
2.1.2 Eine Änderung der Fahrzeugart liegt dann vor, wenn für die neue Art andere sicherheitstechnische Vorschriften gelten als für die alte Fahrzeugart; dies ist dann der Fall, wenn für die neue Art Sonderbestimmungen der Kapitel 15 bis 22b des Anhangs II anzuwenden sind, die für die alte Art keine Anwendung fanden.
2.1.3 Bei der Änderung der Fahrzeugart sind alle Sonderbestimmungen und alle für diese Fahrzeugart spezifischen Vorschriften vollständig einzuhalten; Übergangsbestimmungen können für diese Vorschriften nicht in Anspruch genommen werden. Dies gilt auch für Fahrzeugteile, die von dem vorhandenen Fahrzeug übernommen werden und unter diese Sonderbestimmungen fallen.
2.1.4 Der Umbau eines Tankschiffes in ein Trockengüterschiff stellt keine Änderung der Fahrzeugart im Sinne von Nummer 2.1.2 dar.
2.1.5 Bei dem Umbau eines Kabinenschiffes in ein Tagesausflugsschiff müssen alle neuen Teile den aktuellen Vorschriften vollständig entsprechen.
2.2 Anwendung der Übergangsbestimmungen im Einzelnen
2.2.1 Anhang II § 24.02 Nummer 2 oder § 24.06 Nummer 5 oder Anhang XII Artikel 6 § 2 Absatz 2 (N.E.U.) gilt für die Teile des Fahrzeugs, die erneuert werden, sodass neue Fahrzeugteile nicht den Übergangsbestimmungen unterliegen können.
2.2.2 Für die Teile des Fahrzeugs, die nicht umgebaut werden, sind die Übergangsbestimmungen auch weiterhin anwendbar, mit Ausnahme der Teile nach Nummer 2.1.3 Satz 2.
2.2.3 Werden die Abmessungen des Fahrzeugs geändert, kommen die Übergangsbestimmungen nicht mehr für diejenigen Fahrzeugteile zur Anwendung, die mit dieser Änderung im Zusammenhang stehen (zum Beispiel Abstand des Kollisionsschotts, Freibord, Anker).
2.2.4 Bei Änderung der Fahrzeugart kommen die besonderen Vorschriften des Anhangs II zur Anwendung, die nur für die neue Fahrzeugart gelten. Alle vom Umbau des Fahrzeugs betroffenen Teile und Ausrüstungsgegenstände müssen den geltenden Anforderungen der Teile II und III des Anhangs II genügen.
2.2.5 Dem Fahrzeug wird dann ein neues oder ein geändertes Schiffsattest erteilt. Unter den Nummern 7 und 8 dieses Attestes wird ein Vermerk sowohl über den ursprünglichen Bau als auch den Umbau aufgenommen.
2.3 Beispiele zur Verdeutlichung
2.3.1 Ein Güterschiff (Baujahr 1996) wird in ein Fahrgastschiff umgebaut. Kapitel 15 kommt dann für das gesamte Schiff zur Anwendung, ohne Inanspruchnahme von Übergangsbestimmungen. Wenn das Vorschiff weder nach den Umbauplänen noch auf Grund von Kapitel 15 geändert wird, braucht das Schiff keine Ankernischen nach § 3.03 aufzuweisen.
2.3.2 Ein Schleppboot (Baujahr 1970) wird in ein Schubboot umgebaut. Der materielle Umbau umfasst nur eine Veränderung der Deckausrüstung und die Installation einer Schubvorrichtung. Alle Übergangsbestimmungen für ein Schiff mit Baujahr 1970 bleiben anwendbar, außer den Bestimmungen, die Kapitel 5, 7 (teilweise), §§ 10.01 und 16.01 betreffen.
2.3.3 Ein Tankmotorschiff (Baujahr 1970) wird in ein Schubboot umgebaut. Der materielle Umbau umfasst die Abtrennung des Vorschiffs und des Ladungsteils sowie eine Veränderung der Deckausrüstung und die Installation einer Schubvorrichtung. Alle Übergangsbestimmungen für ein Schiff mit Baujahr 1970 bleiben anwendbar, außer den Bestimmungen, die Kapitel 5, 7 (teilweise), §§ 10.01 und 16.01 betreffen.
2.3.4 Ein Tankmotorschiff wird zu einem Gütermotorschiff umgebaut. Das Gütermotorschiff muss den geltenden Anforderungen in Bezug auf die Sicherheit am Arbeitsplatz entsprechen, die insbesondere in § 11.04 genannt sind.
3. Anwendung der Übergangsbestimmungen beim Umbau von Fahrgastschiffen
3.1 Anwendung der Übergangsbestimmungen
3.1.1 Umbaumaßnahmen, die für die Erfüllung von Vorschriften des Kapitels 15 erforderlich sind, bedeuten - unabhängig vom Zeitpunkt ihrer Durchführung - keinen Umbau "U" im Sinne von § 24.02 Nummer 2, § 24.03 Nummer 1, § 24.06 Nummer 5, Anhang XII Artikel 6 § 2 Absatz 2 oder § 3 Absatz 2.
3.1.2 Bei dem Umbau eines Kabinenschiffes in ein Tagesausflugsschiff müssen alle neuen Teile den aktuellen Vorschriften vollständig entsprechen.
3.2 Beispiele zur Verdeutlichung
3.2.1 Ein Fahrgastschiff (Baujahr 1995) muss spätestens nach dem 1. Januar 2015 einen zweiten unabhängigen Antrieb installiert haben. Sofern an diesem Fahrgastschiff keine anderen freiwilligen Umbauten vorgenommen werden, muss dafür keine Stabilitätsberechnung nach den neuen Vorschriften vorgenommen werden, sondern es kann, sofern deren Durchführung sachlich notwendig ist, eine Stabilitätsberechnung nach der Fassung dieser Verordnung, nach der letztmalig die Stabilität berechnet wurde, durchgeführt werden.
3.2.2 Ein Fahrgastschiff (Baujahr 1994, letzte Erneuerung Schiffsattest 2012) wird im Jahr 2016 um 10 m verlängert. Dieses Fahrzeug muss zudem einen zweiten unabhängigen Antrieb erhalten. Außerdem wird eine neue Stabilitätsrechnung notwendig, die nach dem Kapitel 15 für den Ein- und Zweiabteilungsstatus durchgeführt werden muss.
3.2.3 Ein Fahrgastschiff (Baujahr 1988) erhält einen stärkeren Antrieb inklusive Propeller. Dieser Umbau ist so gravierend, dass eine Stabilitätsberechnung notwendig wird. Diese muss nach den aktuellen Vorschriften erfolgen.
Dienstanweisung Nr. 5
Geräuschmessungen
(§ 3.04 Nr. 7, § 7.01 Nr. 2, § 7.03 Nr. 6, § 7.09 Nr. 3, §§ 8.10, 11.09 Nr. 3, § 12.02 Nr. 5, § 17.02 Nr. 3 Buchstabe b und § 17.03 Nr. 1 des Anhangs II)
1. Allgemeines
Zur Überprüfung der in Anhang II genannten maximalen Schalldruckpegel sind Messgrößen, Messverfahren und die Bedingungen für die quantitative, reproduzierbare Erfassung der Schalldruckpegel nach den Nummern 2 und 3 festzulegen.
2. Messgeräte
Das Messgerät muss die Anforderungen eines Klasse-1-Gerätes nach EN 60651:1994 erfüllen.
Vor und nach jeder Messreihe muss auf das Mikrofon ein Kalibrator der Klasse 1 nach EN 60942:1998 aufgesteckt werden, um das Messsystem zu kalibrieren. Die Übereinstimmung des Kalibrators mit den Anforderungen nach EN 60942:1998 muss einmal im Jahr geprüft werden. Die Übereinstimmung der Messausrüstung mit den Anforderungen nach EN 60651:1994 muss alle zwei Jahre geprüft werden.
3. Geräuschmessungen
3.1 Auf Wasserfahrzeugen
Die Messungen sind entsprechend ISO 2923:2003 Abschnitte 5 bis 8 durchzuführen. Jedoch sind nur die A-bewerteten Schalldruckpegel zu messen.
3.2 Des von Wasserfahrzeugen abgestrahlten Luftschalls
Die Geräuschemission von Wasserfahrzeugen auf Binnengewässern und in Häfen wird durch Messungen entsprechend EN ISO 2922:2000 Abschnitte 7 bis 11 erfasst. Bei der Messung müssen die Maschinenraumtüren und -fenster geschlossen sein.
4. Dokumentation
Die Messungen sind entsprechend dem "Protokoll Geräuschmessungen" ( Anlage) zu dokumentieren.
| Protokoll Geräuschmessungen | Anlage zur Dienstanweisung Nr. 5 |
A Fahrzeugdaten
1. Fahrzeugart und -name: ....................................................................
Einheitliche europäische Schiffsnummer: ..............................................
2. Eigentümer: ..................................................................................
3. Hauptantrieb
3.1 Hauptmaschine(n)
| Nr. | Hersteller | Typ | Baujahr | Leistung (kW) |
Drehzahl (min-1) |
Zweitakt / -Viertakt | Aufladung ja/nein |
| 1 | |||||||
| 2 | |||||||
| 3 | |||||||
| 4 |
3.2 Getriebe:
Hersteller: .............................. Typ: ..................Untersetzung: 1 : ............
3.3 Propeller
Anzahl: .............. Flügelzahl: ......... Durchmesser: ..... mm Düse: ja/nein *
3.4 Ruderanlage
Art: ...............................................................................................
4. Hilfsaggregate:
| Nr. | zum Antrieb von | Hersteller | Typ | Baujahr | Leistung (kW) | Drehzahl (min-1) |
| 1 | ||||||
| 2 | ||||||
| 3 | ||||||
| 4 |
5. Durchgeführte Schallschutzmaßnahmen: ....................................................
......................................................................................................
6. Bemerkungen: ....................................................................................
......................................................................................................
*) Nichtzutreffendes streichen.
B Verwendete Messgeräte
1. Schallpegelmesser
Hersteller: ................... Typ: ................... Letzte Prüfung: .................
2. Oktav-/Terzband-Analysator
Hersteller: ................... Typ: ................... Letzte Prüfung: .................
3. Kalibrator
Hersteller: ................... Typ: ................... Letzte Prüfung: .................
4. Zubehör:
....................................................................................................
5. Bemerkungen: ..................................................................................
C Messzustand - Fahrzeug
1. Formation während der Messung: ..........................................................
2. Beladung/Verdrängung: ............ t/m³ * (entspricht ca. .....% des Maximalwertes)
3. Drehzahl Hauptmaschine: ........... min-1 (entspricht ca. .....% des Maximalwertes)
4. Mitlaufende Aggregate Nr.: .................................
5. Bemerkungen: ..................................................................................
D Messbedingungen - Umgebung
1. Messstrecke ............................................................ zu Berg/zu Tal *
2. Wassertiefe: ............. m (Pegel ................ = .............. m)
3. Wetter: ........................... Temperatur: ........... ° C Windstärke: ........ BF
4. Fremdgeräusche: nein/ja *, welche .......................................................
5. Bemerkungen: ...............................................................................
E Messdurchführung
1. Messung durch: ..............................................................................
2. am: .............................................................................................
3. Bemerkungen: ................................................................................
4. Unterschrift: .................................................................................
F.1 Messergebnisse
Geräuschmessung auf Wasserfahrzeugen
| Nr. | Messpunkt | Türen | Fenster | Messwert dB(A) |
Bemerkungen | ||
| geöffnet | geschl. | geöffnet | geschl. | ||||
F.2 Messergebnisse
Geräuschmessung des von Wasserfahrzeugen abgestrahlten Luftschalls
| Nr. | Messpunkt | Messwert dB(A) |
Bemerkungen |
*) Nichtzutreffendes streichen.
Dienstanweisung Nr. 6 12a
Anwendung von Vorschriften des Kapitels 15
- Örtliche Unterteilungen, Übergangsvorschriften zu Planen oder ähnliche mobile Einrichtungen -
(§ 15.02 Nummer 5, § 15.03 Nummer 5, § 15.03 Nummer 9)
1. Örtliche Unterteilungen
(§ 15.02 Nummer 5)
Nach § 15.02 Nummer 5 ist es denkbar, dass örtliche wasserdichte Unterteilungen, wie zum Beispiel quer unterteilte Doppelbodentanks, die eine größere Länge als die zu berücksichtigende Lecklänge aufweisen, nicht in die Bewertung einbezogen werden. Hier kann die Querunterteilung gegebenenfalls nicht berücksichtigt werden, wenn diese nicht bis zum Schottendeck hochgeführt wird. Dies könnte zu unangemessenen Schotteinteilungen führen.

Auslegung der Vorschrift:
Ist eine wasserdichte Abteilung länger als nach § 15.03 Nummer 9 erforderlich und enthält sie örtliche Unterteilungen, die wasserdichte Teilräume bilden und zwischen denen die Mindestlecklänge wiederum vorhanden ist, können diese in der Leckrechnung angerechnet werden.
2. Übergangsvorschrift für Einhausungen durch Planen oder ähnliche mobile Einrichtungen hinsichtlich der Stabilität
(§ 15.03 Nummer 5)
Einhausungen durch Planen oder ähnliche mobile Einrichtungen können zu Problemen bei der Stabilität des Schiffes führen, da sie - eine entsprechende Größe vorausgesetzt - Einfluss auf das Moment aus Wind haben.
Auslegung der Vorschrift:
Für Fahrgastschiffe, denen vor dem 1. Januar 2006 erstmals ein Schiffsattest erteilt wurde oder für die § 24.06 Nummer 2 Satz 2 in Anspruch genommen wird, muss nach Aufbau einer Einhausung durch Planen oder ähnliche mobile Einrichtungen eine neue Stabilitätsrechnung nach § 15.04 der am 31. Dezember 2005 geltenden Fassung dieser Verordnung erstellt werden, sofern deren Lateralplan Awz 5 % des insgesamt jeweils zu berücksichtigenden Lateralplans Aw überschreitet.
Dienstanweisung Nr. 7
Spezialanker mit verminderter Ankermasse
(§ 10.01 Nummer 5)
Teil 1: 12a
Zugelassene Spezialanker
Die von den zuständigen Behörden zugelassenen Spezialanker mit verminderter Ankermasse nach § 10.01 Nummer 5 sind in der nachfolgenden Tabelle zusammengestellt.
| Nr. Anker | Zugelassene Verminderung der Ankermasse in | Zuständige Behörde | |
| 1. | HA-DU | 30% | Deutschland |
| 2. | D'Hone Spezial | 30% | Deutschland |
| 3. | Pool 1 (hohl) | 35% | Deutschland |
| 4. | Pool 2 (voll) | 40% | Deutschland |
| 5. | De Biesbosch-Danforth | 50% | Deutschland |
| 6. | Vicinay-Danforth | 50% | Frankreich |
| 7. | Vicinay AC 14 | 25% | Frankreich |
| 8. | Vicinay Typ 1 | 45 % | Frankreich |
| 9. | Vicinay Typ 2 | 45 % | Frankreich |
| 10: | . Vicinay Typ 3 | 40% | Frankreich |
| 11. | Stockes | 35 % | Frankreich |
| 12. | D'Hone-Danforth | 50 % | Deutschland |
| 13. | Schmitt high holding anchor | 40 % | Niederlande |
| 14. | SHI high holding anchor, type ST (standard) | 30 % | Niederlande |
| 15. | SHI high holding anchor, type FB (fully balanced) | 30 % | Niederlande |
| 16. | Klinsmann anchor | 30 % | Niederlande |
| 17. | HA-DU-POWER Anker | 50 % | Deutschland |
Teil 2:
Prüfung und Zulassung von Spezialankern mit verminderter Ankermasse
(Verminderung der nach § 10.01 Nr. 1 bis 4 des Anhangs II ermittelten Ankermassen)
1. Kapitel 1 - Zulassungsverfahren
1.1 Spezialanker mit verminderter Ankermasse nach § 10.01 Nr. 5 des Anhangs II werden von der zuständigen Behörde zugelassen. Sie legt für den Spezialanker die zugelassene Verminderung der Ankermasse nach dem im Folgenden erläuterten Verfahren fest.
1.2 Eine Zulassung als Spezialanker ist nur möglich, wenn die ermittelte Verminderung der Ankermasse gleich oder größer als 15 % ist.
1.3 Anträge auf Zulassung als Spezialanker nach Abschnitt 1.1 sind bei der zuständigen Behörde eines der Rheinuferstaaten oder Belgiens zu stellen. Dem Antrag sind in je 10-facher Ausfertigung beizufügen:
1.4 Die zuständige Behörde setzt die Zentralkommission für die Rheinschifffahrt über an sie gestellte Anträge auf Verminderungen der Ankermasse, die sie nach Versuchen zuzulassen gedenkt, in Kenntnis. Sie meldet sodann den zugelassenen Spezialanker unter Angabe der Typbezeichnung sowie der zugelassenen Verminderung der Ankermasse an die Zentralkommission für die Rheinschifffahrt. Sie erteilt dem Antragsteller die Zulassung erst 3 Monate nach der Mitteilung an die Zentralkommission für die Rheinschifffahrt unter dem Vorbehalt, dass diese keinen Einwand erhebt.
2. Kapitel 2 - Prüfungsverfahren
2.1 In den Bremskraftdiagrammen nach Abschnitt 1.3 müssen die Bremskräfte des Vergleichsankers a und des zuzulassenden Spezialankers B in Abhängigkeit von der Geschwindigkeit auf Grund von Versuchen gemäß den Abschnitten 2.2 bis 2.5 angegeben sein. Die Anlage zeigt eine Möglichkeit für die Durchführung von Bremskraftversuchen.
2.2 Der bei den Versuchen verwendete Vergleichsanker a muss ein herkömmlicher Klippanker sein, der der nachstehenden Skizze und den nachstehenden Angaben entspricht und dessen Ankermasse mindestens 400 kg beträgt.

Die angegebenen Abmessungen und die Masse gelten mit einer Toleranz von ± 5 %, jedoch muss die Fläche jedes Flunks mindestens 0,15 m2 betragen.
2.3 Die Masse des bei den Versuchen verwendeten Spezialankers B darf höchstens um 10 % von der Masse des Vergleichsankers a abweichen. Sind die Toleranzen größer, müssen die Kräfte proportional zur Masse umgerechnet werden.
2.4 Die Bremskraftdiagramme müssen für den Geschwindigkeitsbereich (v) von 0 bis 5 km/h (über Grund) linear aufgestellt werden. Hierzu müssen auf einer von der zuständigen Behörde festzulegenden Flussstrecke mit grobem Kies und einer Flussstrecke mit feinem Sand je drei Versuche zu Berg abwechselnd für die Vergleichsanker a und die Spezialanker B ausgeführt werden. Auf dem Rhein kann als Referenzstrecke für die Versuche mit grobem Kies die Strecke bei Rheinkilometer 401 / 402 und für Versuche mit feinem Sand die Strecke bei Rheinkilometer 480 / 481 dienen.
2.5 Die zu untersuchenden Anker müssen bei jedem Versuch mit einem Stahlseil geschleppt werden, dessen Länge zwischen dem Anker und dem Festmachepunkt am schleppenden Fahrzeug oder Gerät gleich der 10-fachen Höhe des Festmachepunktes über dem Ankergrund ist.
2.6 Der Prozentsatz der Verminderung der Masse des Ankers wird durch folgende Formel errechnet:

Dabei ist
| r | der Prozentsatz der Verminderung der Ankermasse des Spezialankers B, bezogen auf den Vergleichsanker A; |
| PA | die Masse des Vergleichsankers A; |
| PB | die Masse des Spezialankers B; |
| FA | die Haltekraft des Vergleichsankers a bei v = 0,5 km/h; |
| FB | die Haltekraft des Spezialankers B bei v = 0,5 km/h; |
| AA | die Fläche auf dem Bremskraftdiagramm, gebildet aus
|
Darstellung des Musters eines Bremskraftdiagrammes
(Ermittlung der Flächen Aa und AB)
AB gleiche Definition wie für AA, jedoch unter Verwendung der Bremskraftkurve für den Spezialanker B.
2.7 Der zulässige Prozentsatz ist derjenige aus sechs nach Abschnitt 2.6 errechneten und gemittelten Werten von r.
| Anlage zu den Bestimmungen für die Prüfung und Zulassung von Spezialankern |
Beispiel für eine Ankerprüf-Methode mit einem einspurig-zweigliedrigen Schubverband
Schleppgeschwindigkeit: 0 -> 5 km/h
Neigung der Trosse< 1:10
Dienstanweisung Nr. 8
Festigkeit von wasserdichten Schiffsfenstern
(§ 15.02 Nr. 16 des Anhangs II)
1. Allgemeines
Nach § 15.02 Nr. 16 des Anhangs II dürfen wasserdichte Fenster unterhalb der Tauchgrenze liegen, wenn sie sich nicht öffnen lassen, eine ausreichende Festigkeit besitzen und den Anforderungen des § 15.06 Nr. 14 entsprechen.
2. Bauausführung wasserdichter Schiffsfenster
Die Anforderungen nach § 15.02 Nr. 16 des Anhangs II sind als erfüllt anzusehen, wenn die Bauausführung wasserdichter Schiffsfenster den nachfolgenden Bestimmungen entspricht.
2.1 Es darf nur vorgespanntes Glas nach ISO 614, Ausgabe April 1994, verwendet werden.
2.2 Runde Schiffsfenster müssen der ISO 1751, Ausgabe April 1994, Baureihe B: mittelschwere Fenster Bauart: nicht zu öffnen/Festfenster entsprechen.
2.3 Eckige Schiffsfenster müssen der ISO 3903, Ausgabe April 1994, Baureihe E: schwere Fenster Bauart: nicht zu öffnen/Festfenster entsprechen.
2.4 Anstelle von Fenstern des ISO-Typs können Fenster verwendet werden, deren Ausführung mindestens den Anforderungen nach den Abschnitten 2.1 bis 2.3 gleichwertig ist.
Dienstanweisung Nr. 9 17
Anforderungen an selbsttätige Druckwassersprühanlagen
(§ 10.03a Nummer 1 und 4)
Geeignete selbsttätige Druckwassersprühanlagen im Sinne des § 10.03a Nummer 1 und 4 müssen den folgenden Bedingungen entsprechen:
1. Die selbsttätige Druckwassersprühanlage muss jederzeit einsatzbereit sein, wenn Personen an Bord sind. Es dürfen keine zusätzlichen Maßnahmen durch die Besatzung erforderlich sein, um die Anlage auszulösen.
2. Die Anlage muss ständig unter dem erforderlichen Druck stehen. Rohrleitungen müssen stets bis zu den Sprühdüsen mit Wasser gefüllt sein. Die Anlage muss über eine kontinuierlich arbeitende Wasserversorgung verfügen. Es dürfen keine betriebsstörenden Verunreinigungen in die Anlage gelangen können. Für die Überwachung und Prüfung der Anlage sind entsprechende Anzeigeinstrumente und Prüfeinrichtungen anzubringen (z.B. Manometer, Wasserstandsanzeiger bei Drucktanks, Prüfleitung für die Pumpe). Druckwassersprühanlagen in Kühl- und Gefrierräumen sollten nicht ständig mit Wasser gefüllt sein. Diese Räume können durch Trockensprinkler geschützt werden.
3. Die Pumpe für die Wasserversorgung der Sprühdüsen muss bei einem Druckabfall im System selbsttätig anlaufen. Die Pumpe muss so leistungsfähig sein, dass sie bei einer gleichzeitigen Betätigung aller für die Besprühung der Fläche des größten zu schützenden Raumes notwendigen Sprühdüsen diese dauernd in ausreichender Menge und mit dem erforderlichen Druck mit Wasser versorgen kann. Die Pumpe darf nur die selbsttätige Druckwassersprühanlage versorgen. Bei Ausfall der Pumpe müssen die Sprühdüsen über eine andere an Bord vorhandene Pumpe ausreichend mit Wasser versorgt werden können.
4. Das Sprühsystem muss in Abschnitte unterteilt sein, wobei jeder Abschnitt nicht mehr als 50 Sprühdüsen umfassen darf. Eine größere Anzahl Sprühdüsen kann von der Untersuchungskommission auf Basis entsprechender Nachweise - insbesondere einer hydraulischen Berechnung - zugelassen werden.
5. Anzahl und Anordnung der Sprühdüsen müssen eine wirksame Wasserverteilung in den zu schützenden Räumen gewährleisten.
6. Sprühdüsen müssen bei einer Temperatur von 68° C bis 79° C ansprechen, in Küchen bei höchstens 93° C und in Saunen bei höchstens 141° C.
7. Die Anordnung von Teilen der selbsttätigen Druckwassersprühanlage in den zu schützenden Räumen ist auf das erforderliche Minimum zu begrenzen. In Hauptmaschinenräumen dürfen keine solchen Anlageteile installiert werden.
8. An einer oder mehreren geeigneten Stellen, wovon mindestens eine ständig von Personal besetzt sein muss, müssen optische und akustische Melder vorhanden sein, die das Auslösen der selbsttätigen Druckwassersprühanlage für jeden Abschnitt anzeigen.
9. Für die Energieversorgung der gesamten selbsttätigen Druckwassersprühanlage müssen zwei unabhängige Energiequellen vorhanden sein, die nicht in demselben Raum aufgestellt sein dürfen. Jede Energiequelle muss in der Lage sein, die Anlage allein zu betreiben.
10.Ein Installationsplan der selbsttätigen Druckwassersprühanlage muss vor deren Einbau der Untersuchungskommission zur Prüfung eingereicht werden. Aus diesem Plan müssen die typen und Leistungsdaten der verwendeten Maschinen und Apparate hervorgehen. Eine von einer anerkannten Klassifikationsgesellschaft geprüfte und genehmigte Anlage, die mindestens den obenstehenden Vorschriften entspricht, kann ohne weitere Prüfung zugelassen werden.
11. Das Vorhandensein einer selbsttätigen Druckwassersprühanlage muss im Schiffsattest unter Nummer 43 eingetragen werden.
Dienstanweisung Nr. 10
Muster der Bescheinigung für Flüssiggasanlagen auf Kanalpenichen
(§ 19.02 Nr. 7 des Anhangs II)
Bescheinigung für Flüssiggasanlagen
| 1. Name des Fahrzeugs | 2. Einheitliche europäische Schiffsnummer | 3. Ort und Nummer der Registrierung | |||
| 4. Name und Adresse des Eigners | |||||
| Die auf dem Fahrzeug vorhandene(n) Flüssiggasanlage(n) ist/sind * von dem Sachverständigen *
............................................................................................................................................................ geprüft worden und entspricht/entsprechen * nach seinem Abnahmebericht vom .......................... * den vorgeschriebenen Bedingungen. Die Anlage(n) umfaßt/umfassen die folgenden Verbrauchsgeräte: |
|||||
| Anlage | Lfd. Nr. | Art | Marke | Typ | Standort |
| Diese Bescheinigung gilt bis zum ..........................................................................................
............................... (Ort), den ................................... (Datum) ...................................................................................... ................................. Siegel ...................................................................................... *) Nichtzutreffendes streichen. |
|||||
| Verlängerung der Bescheinigung für Flüssiggasanlage(n)
Die Gültigkeit der Bescheinigung für Flüssiggasanlage(n) vom .................................................. gültig bis zum ....................................................................... wird
verlängert bis zum ........................................................................................................................... ...................................... (Ort), den ................................. (Datum) ......................................................................................... Siegel .......................................................................................... |
|||||
| Verlängerung der Bescheinigung für Flüssiggasanlage(n)
Die Gültigkeit der Bescheinigung für Flüssiggasanlage(n) vom .................................................. gültig bis zum ....................................................................... wird
verlängert bis zum ........................................................................................................................... ...................................... (Ort), den ................................. (Datum) ......................................................................................... Siegel .......................................................................................... |
|||||
| Verlängerung der Bescheinigung für Flüssiggasanlage(n)
Die Gültigkeit der Bescheinigung für Flüssiggasanlage(n) vom .................................................. gültig bis zum ....................................................................... wird
verlängert bis zum ........................................................................................................................... ...................................... (Ort), den ................................. (Datum) ......................................................................................... Siegel .......................................................................................... |
|||||
Dienstanweisung Nr. 11
Ausstellung des Schiffsattests
1. Allgemeines
1.1 Formulare
Zur Ausstellung des Schiffsattests dürfen nur die von der zuständigen Behörde zugelassenen Formblätter verwendet werden. Die Formblätter werden nur einseitig ausgefüllt.
Bei Neuausstellung eines Schiffsattests müssen alle Seiten 1 bis 13 ausgestellt werden, auch wenn auf einzelnen Blättern keine Eintragungen erfolgen.
1.2 Schrift
Das Schiffsattest ist mit Schreibmaschine oder Drucker auszufüllen. Eintragungen von Hand in Druckschrift sollen nur im Einzelfall erfolgen. Die Schrift muss dokumentenecht sein. Als Schriftfarbe für alle Eintragungen ist nur schwarz oder blau zulässig. Streichungen von eingesetzten Angaben müssen in rot erfolgen.
2. Eintragungen
2.1 Streichungen der angegebenen Alternativen
Von den mit * versehenen Angaben sind die nicht zutreffenden zu streichen.
2.2 Nummern ohne Eintragungen
Ist zu einer der Nummern 1 bis 48 keine Angabe notwendig oder möglich, so ist das Feld mit einem über die ganze Länge des Feldes laufenden Strich zu füllen.
2.3 Beendigung der letzten Seite des Schiffsattests
Solange keine Ergänzungsblätter zur Seite 13 notwendig sind (siehe 3.2.3), wird auf Seite 13 unten der Satz "Fortsetzung auf Seite *" gestrichen.
2.4 Änderungen
2.4.1 Erste Änderung von Hand auf einer Seite
Eine Seite kann nur einmal geändert werden, dabei sind jedoch mehrere Änderungen gleichzeitig möglich. Eine Angabe, die geändert werden muss, ist rot zu streichen. Eine Alternative, die bislang gestrichen war (siehe 2.1), oder eine Nummer, die bislang keinen Eintrag hatte (siehe 2.3), ist mit einem roten Strich zu unterstreichen. Die neue Eintragung erfolgt nicht im geänderten Feld, sondern auf derselben Seite unter "Änderungen ...", die Zeile "Diese Seite wurde ersetzt" wird gestrichen.
2.4.2 Weitere Änderungen von Hand auf einer Seite
Für weitere Änderungen wird die Seite ausgetauscht und die notwendigen Änderungen sowie frühere Änderungen werden gleich in die entsprechenden Nummern eingetragen. Im Feld "Änderungen" wird die Zeile "Änderungen unter Nummer" gestrichen.
Die alte Seite wird bei der Untersuchungskommission, die das Schiffsattest ursprünglich ausgestellt hat, aufbewahrt.
2.4.3 Änderungen durch EDV
Bei Änderungen durch EDV wird die Seite ausgetauscht und die notwendigen Änderungen sowie frühere Änderungen werden gleich in die entsprechenden Nummern eingetragen. Im Feld "Änderungen" wird die Zeile "Änderungen unter Nummer" gestrichen.
Die alte Seite wird bei der Untersuchungskommission, die das Schiffsattest ursprünglich ausgestellt hat, aufbewahrt.
2.5 Überklebungen
Überklebungen von Eintragungen oder Einklebungen (z.B. mit weiteren Angaben zu einer Nummer) sind nicht zulässig.
3. Austausch und Ergänzung von Seiten
3.1 Austausch
Die erste Seite des Schiffsattests darf nicht ausgetauscht werden. Im übrigen gilt für den Austausch von Seiten das Verfahren nach 2.4.2 oder 2.4.3.
3.2 Ergänzung
Sofern der Platz auf den Seiten 10, 12 oder 13 des Schiffsattests für weitere Eintragungen nicht mehr ausreicht, wird es durch Hinzufügung zusätzlicher Seiten ergänzt.
3.2.1 Verlängerung/Bestätigung der Gültigkeit
Wenn nach der sechsten Verlängerung auf Seite 10 eine weitere Verlängerung notwendig ist, wird unten auf Seite 10 der Vermerk "Fortsetzung auf Seite 10a" geschrieben, ein Formblatt Seite 10 wird als "Seite 10a" gekennzeichnet und nach Seite 10 eingefügt. In Nummer 49 oben auf Seite 10a erfolgt der entsprechende Eintrag. Die Seite 10a wird unten mit dem Vermerk "Fortsetzung auf Seite 11" gekennzeichnet.
3.2.2 Verlängerung der Bescheinigung für Flüssiggasanlagen
Es wird analog zu 3.2.1 verfahren, die Seite 12a wird hinter der Seite 12 eingefügt.
3.2.3 Anhang zum Schiffsattest
Auf Seite 13 wird unten der Satz "Ende des Schiffsattests" in rot gestrichen, der gestrichene Satz "Fortsetzung auf Seite *" rot unterstrichen und dahinter die Zahl "13a" geschrieben. Diese Änderung wird gesiegelt, ein Formblatt Seite 13 wird als "Seite 13a" gekennzeichnet und nach der Seite 13 eingefügt. Für diese Seite 13a gelten die Bestimmungen in 2.2 und 2.3 sinngemäß.
Bei weiteren Anhängen (Seite 13b, 13c usw.) wird entsprechend verfahren.
4. Erklärung zu den Nummern im Einzelnen 12a
Nummern, die keiner weiteren Erläuterung bedürfen, werden nachfolgend nicht erwähnt.
2. Falls zutreffend, sind die in § 1.01 festgelegten Begriffe zu verwenden. Andere Schiffstypen sind mit ihrer fachüblichen Bezeichnung einzutragen.10. Für Fahrzeuge mit Gemeinschaftszeugnis, die zur Fahrt auf dem Rhein zugelassen sind, das sind
- Fahrzeuge, die die Anforderungen des Anhangs II einschließlich der Übergangsbestimmungen des Kapitels 24 vollständig erfüllen, und
- Fahrzeuge, die die Übergangsbestimmungen des Kapitels 24a sowie die gemäß Anhang IV zulässigen Erleichterungen nicht in Anspruch nehmen, ist unter dem Gedankenstrich "- auf den Wasserstraßen der Gemeinschaft der Zone(n)" einzutragen:
- Rhein oder
- Zone R.
15. Diese Nummer ist nur auszufüllen bei Schiffen, bei denen mindestens eine der Eignungen 1.1 oder 1.2 oder 3 in Nummer 14 nicht gestrichen ist, andernfalls ist die Tabelle insgesamt zu streichen.
15.1 In der Tabelle ist/sind in der Spalte "Formationsskizze" die Nummer(n) der aufgeführten Formationen einzutragen, freie Zeilen sind zu streichen.
Andere Formationen können unter "Weitere Formationen" eingezeichnet werden und erhalten die Bezeichnung 18, 19, 20 usw.
Wenn aus der Eignung zum Schieben im vorhergehenden Schiffsattest nicht ersichtlich ist, welche Formationen zulässig sind, kann der Vermerk aus dem vorhergehenden Schiffsattest in Nummer 52 übertragen werden. In die 1. Zeile "Zugelassene Formationen" ist einzutragen: "Siehe Nummer 52".
15.2 Kupplungen
Hier wird nur die Kupplung zwischen dem schiebenden Fahrzeug und dem geschobenen Teil des Verbandes eingetragen.
17.-20. Angaben gemäß Eichschein, für 17.-19. auf zwei Dezimalstellen, für 20. ohne Dezimalstelle. Länge über alles und Breite über alles geben die größten Abmaße des Fahrzeugs einschließlich aller festen vor- und überstehenden Teile an; Länge L und Breite B geben die größten Abmessungen des Schiffskörpers an (siehe auch § 1.01 - Begriffsbestimmungen).
21. Tragfähigkeit bei Güterschiffen in t gemäß Eichschein für den größten zugelassenen Tiefgang nach Nummer 19.
Verdrängung bei übrigen Fahrzeugen in m3. Falls kein Eichschein vorhanden ist, ist die Verdrängung aus dem Produkt des Völligkeitsgrades der Verdrängung mit der Länge LWL, der Breite BWL und dem mittleren Tiefgang bei maximaler Eintauchung zu ermitteln.
23. Anzahl der vorhandenen Schlafplätze in den Fahrgastbetten (einschl. Klappbetten und dergleichen).
24. Nur die wasserdichten Querschotte, die von Bordwand zu Bordwand gehen, werden berücksichtigt.
26 Falls zutreffend, sind folgende Begriffe einzusetzen:
- handbediente Lukendeckel;
- handbediente Roll-Luken;
- handbediente Lukenwagen;
- mechanisch bediente Lukenwagen;
- mechanisch bediente Luken.
Andere Arten von Lukendächern sind mit ihrer fachüblichen Bezeichnung einzutragen.
Haben nicht alle Laderäume ein Lukendach, sind diese Räume anzugeben, evtl. in Nummer 52.
28. Angabe ohne Dezimalstelle.
30., 31. und 33. Als Winde zählt jedes Windengehäuse, unabhängig von der Anzahl der innerhalb desselben Gehäuses bedienten Anker oder Schleppdrahtseile.
34. Unter "Andere Anlagen" sind solche einzutragen, die keine Ruderblätter verwenden (z.B. Ruderpropeller-, Zykloidalpropeller-, Strahlanlagen).
Hier werden auch elektrische Hilfsantriebe zum Handantrieb eingetragen.
Bei der Bugsteueranlage wird unter "fernbedient" ausschließlich eine Fernsteuerung vom Steuerstand aus dem Steuerhaus verstanden.
35. Es sind nur die Sollwerte nach § 8.08 Nr. 2 und 3, § 15.01 Nr. 1 Buchstabe c und § 15.08 Nr. 5 einzutragen, und zwar nur bei Fahrzeugen mit Kiellegung nach dem 1. April 1976.
36. Zur Klarstellung kann eine Skizze notwendig sein.
37. Es sind nur die Sollmassen nach § 10.01 Nr. 1 bis 4 ohne Verminderung anzugeben.
38. Es sind nur die Mindestlängen nach § 10.01 Nr. 10 und die Mindestbruchkraft nach § 10.01 Nr. 11 anzugeben.
Weisen die Ketten unterschiedliche Bruchkräfte auf, sind bei "Bruchkraft je Kette" beide Werte anzugeben.
39., 40. Es sind nur die Mindestlängen und -bruchkräfte nach der neuen Berechnung gemäß § 10.02 Nr. 2 anzugeben.
42. Die Untersuchungskommission kann die Liste der erforderlichen Ausrüstungsteile ergänzen; es muss sich jedoch um Gegenstände handeln, die für den entsprechenden Fahrzeugtyp oder sein Einsatzgebiet zur Schiffssicherheit unentbehrlich sind; die Ergänzung erfolgt in Nummer 52.
Linke Spalte, Zeile 3 und Zeile 4: bei Fahrgastschiffen ist der erste aufgeführte Ausrüstungsgegenstand durchzustreichen, und für den zweiten ist die von der Untersuchungskommission festgestellte Länge des Landstegs anzugeben. Bei allen anderen Fahrzeugen ist der zweite aufgeführte Ausrüstungsgegenstand vollständig zu streichen; hat die Untersuchungskommission allerdings einen kürzeren Landsteg zugelassen als in § 10.02 Nr. 2 Buchstabe d vorgesehen, ist nur die erste Hälfte zu streichen und die Länge des Landstegs anzugeben.
Linke Spalte, Zeile 6: hier ist die Anzahl der gemäß § 10.02 Nr. 2 Buchstabe f und § 15.08 Nr. 9 vorgeschriebenen Verbandskästen anzugeben.
Linke Spalte, Zeile 10: hier ist die Anzahl der gemäß § 10.02 Nr. 1 Buchstabe d bis f vorgeschriebenen feuerbeständigen Behälter anzugeben.
43. Tragbare Feuerlöscher, die nach den Bestimmungen anderer Sicherheitsvorschriften, insbesondere nach ADN gefordert sind, werden hier nicht erfasst.
44. Zeile 3: in Gemeinschaftszeugnissen, die vor dem 1. Januar 2010 zu verlängern sind, ist der Zusatz "gemäß EN 395:1998 oder 396:1998" durchzustreichen, wenn sich keine diesen Normen entsprechenden Rettungswesten an Bord befinden.
Zeile 4: werden Schiffsatteste nach dem 1. Januar 2015 verlängert oder wird ein neues Beiboot an Bord genommen, ist der Zusatz "mit 1 Satz Ruderriemen, 1 Festmacheleine, 1 Schöpfgefäß" durchzustreichen. Der Zusatz "gemäß EN 1914:1997" ist durchzustreichen, wenn sich kein dieser Norm entsprechendes Beiboot an Bord befindet.
46. In der Regel kann ein 24-h Betrieb nicht eingetragen werden, wenn Schlafplätze fehlen oder der Geräuschpegel zu hoch ist.
50. Der Sachverständige unterschreibt nur, wenn er auch die Seite 11 ausgefüllt hat.
52. Hier werden zusätzliche Auflagen, Erleichterungen oder Erläuterungen zu Eintragungen in einzelnen Nummern eingetragen.
5. Übergangsregelungen für Fahrzeuge mit Schiffsattest
5.1 Bestehende Schiffsatteste
In die bestehenden Schiffsatteste werden abgesehen von der Ausnahme gemäß § 2.09 Nr. 2 Verlängerungen nicht mehr eingetragen.
5.2 Austausch bei einer Nachuntersuchung
Bei einer Nachuntersuchung eines Fahrzeugs, das noch kein Schiffsattest nach dem Muster der Anlage V besitzt, ist ein solches auszustellen. Dabei gelten § 2.09 Nr. 4 und § 2.17.
Dienstanweisung Nr. 12
Brennstofftanks auf schwimmenden Geräten
(§ 8.05 Nr. 1 und § 17.02 Nr. 1 Buchstabe d des Anhangs II)
Nach § 8.05 Nr. 1 müssen die Brennstofftanks zum Schiffskörper gehören oder fest im Schiff eingebaut sein.
Auf schwimmenden Geräten brauchen die Tanks für den Brennstoffvorrat der Arbeitsmaschinen nicht als Teil des Schiffskörpers gefertigt oder fest im Schiff eingebaut zu sein, sondern können als transportable Behälter ausgeführt sein, wenn folgende Bedingungen eingehalten sind:
Ein entsprechender Vermerk ist im Schiffsattest einzutragen.
Dienstanweisung Nr. 13
Mindestdicke der Außenhaut von Schleppkähnen
(§ 3.02 Nr. 1 des Anhangs II)
Bei Nachuntersuchungen nach § 2.09 von Schleppkähnen, die ausschließlich geschleppt werden, kann die Untersuchungskommission geringfügige Abweichungen von § 3.02 Nr. 1 Buchstabe b in Bezug auf die Mindestdicke der Außenhautbeplattung zulassen. Die Abweichung darf höchstens 10 % betragen und die Mindestdicke der Außenhaut darf 3 mm nicht unterschreiten.
Die Abweichungen müssen in das Schiffsattest unter Nummer 52 eingetragen werden.
Unter Punkt 14 des Schiffsattestes darf nur die Eignung Nummer 6.2 "Geschleppt werden als Fahrzeug ohne Maschinenantrieb" zutreffen.
Die Eignungen Nummer 1 bis 5.3 und 6.1 sind zu streichen.
Dienstanweisung Nr. 14
(ohne Inhalt)
Dienstanweisung Nr. 15
Fortbewegung aus eigener Kraft
(§ 10.03b Nr. 2 Buchstabe a, § 15.07 Nr. 1 und § 22a.05 Nr. 1 Buchstabe a des Anhangs II)
1. Mindestanforderung an die Fortbewegung
Die Fortbewegung aus eigener Kraft im Sinne des § 10.03b Nr. 2 Buchstabe a, § 15.07 Nr. 1 und § 22a.05 Nr. 1 Buchstabe a gilt als ausreichend, wenn mit dem Bugruderantrieb das Schiff oder die von dem Schiff fortbewegte Zusammenstellung eine Geschwindigkeit von 6,5 km/h gegenüber Wasser erreicht, eine Drehgeschwindigkeit von 20 °/min eingeleitet und bei einer Fahrgeschwindigkeit gegenüber Wasser von 6,5 km/h gestützt werden kann.
2. Probefahrten
Bei Überprüfung der Mindestanforderungen müssen die §§ 5.03 und 5.04 eingehalten werden.
Dienstanweisung Nr. 16 12a
Emission von gasförmigen Schadstoffen und luftverunreinigenden Partikeln - Prüfverfahren
(Kapitel 8a des Anhangs II)
Teil I
Begriffsbestimmungen, Symbole und Abkürzungen
1 Begriffsbestimmungen
Im Sinne dieser Richtlinie bezeichnet der Ausdruck
1.1 "gasförmige Schadstoffe" Kohlenmonoxid, Kohlenwasserstoffe (ausgedrückt als C1:H1,85) und Stickoxide, letztere ausgedrückt als Stickstoffdioxid-(NO2)Äquivalent;
1.2 "luftverunreinigende Partikel" Stoffe, die bei einer Temperatur von höchstens 325 K (52° C) nach Verdünnung der Abgase des Dieselmotors mit gefilterter reiner Luft an einem besonderen Filtermedium abgeschieden werden;
1.3 "Nennleistung" die Leistung in Kilowatt (kW) nach ISO 3046, abgenommen auf dem Prüfstand am Ende der Kurbelwelle oder einem entsprechenden Bauteil und ermittelt nach dem Verfahren nach ISO 3046 zur Messung der Leistung von Verbrennungsmotoren für Kraftfahrzeuge nach der Richtlinie 80/1269/EWG 1, wobei jedoch die Leistung des Motorkühlgebläses ausgeschlossen wird 2 und die Prüfbedingungen sowie der Bezugskraftstoff der vorliegenden Richtlinie entsprechen;
1.4 "Nenndrehzahl" die vom Regler begrenzte Höchstdrehzahl bei Volllast nach den Angaben des Herstellers;
1.5 "Teillastverhältnis" den prozentualen Anteil des höchsten zur Verfügung stehenden Drehmoments bei einer bestimmten Motordrehzahl;
1.6 "Drehzahl bei maximalem Drehmoment" die Motordrehzahl, bei der nach Angaben des Herstellers das höchste Drehmoment zur Verfügung steht;
1.7 "Zwischendrehzahl" die Motordrehzahl gemäß Teil II Abschnitt 3.6.5 (Prüfzyklus C1) dieser Dienstanweisung, die eine der folgenden Bedingungen erfüllt:
2 Symbole und Abkürzungen
2.1 Symbole für die Prüfkennwerte
| Symbol | Einheit | Begriff |
| Ap | m2 | Querschnittsfläche der isokinetischen Probenahmesonde |
| AT | m2 | Querschnittsfläche des Auspuffrohrs |
| aver | gewichtete Durchschnittswerte | |
| m³/h | für: Volumendurchsatz; | |
| kg/h | Massendurchsatz | |
| C1 | - | C1-äquivalenter Kohlenwaserstoff |
| conc | ppm Vol.-% |
Konzentration (mit nachgestellter Bestandteilbezeichnung) |
| concc | ppm Vol.-% |
hintergrundkorrigierte Konzentration |
| concd | ppm Vol.-% |
Konzentration der Verdünnungsluft |
| DF | - | Verdünnungsfaktor |
| fa | - | atmosphärischer Faktor im Labor |
| FFH | - | kraftstoffspezifischer Faktor für die Berechnung der Feuchtkonzentrationen anhand des Wasserstoff-Kohlenstoff-Verhältnisses der Trockenkonzentrationen |
| GAIRW | kg/h | Massendurchsatz der Ansaugluft, feucht |
| GAIRD | kg/h | Massendurchsatz der Ansaugluft, trocken |
| GDILW | kg/h | Massendurchsatz der Verdünnungsluft, feucht |
| GEDFW | kg/h | äquivalenter Massendurchsatz des verdünnten Abgases, feucht |
| GEXHW | kg/h | Massendurchsatz des Abgases, feucht |
| GFUEL | kg/h | Kraftstoffmassendurchsatz |
| GTOTW | kg/h | Massendurchsatz des verdünnten Abgases, feucht |
| HREF | g/kg | Bezugwert der absoluten Luftfeuchtigkeit 10,71 g/kg bei Berechnung von Feuchtigkeitskorrekturfaktoren für NOx und Partikel |
| Ha | g/kg | absolute Feuchtigkeit der Ansaugluft |
| Hd | g/kg | absolute Feuchtigkeit der Verdünnungsluft |
| i | - | unterer Index für einen einzelnen Prüfpunkt |
| KH | - | Feuchtigkeitskorrekturfaktor für NOx |
| Kp | - | Feuchtigkeitskorrekturfaktor für Partikel |
| KW, a | - | Korrekturfaktor für Umrechnung vom trockenen zum feuchten Bezugszustand der Ansaugluft |
| KW, d | - | Korrekturfaktor für die Umrechnung vom trockenen zum feuchten Bezugszustand der Verdünnungsluft |
| KW, e | - | Korrekturfaktor für die Umrechnung vom trockenen zum feuchten Bezugszustand des verdünnten Abgases |
| KW, r | - | Korrekturfaktor für die Umrechnung vom trockenen zum feuchten Bezugszustand des Rohabgases |
| L | % | prozentuales Drehmoment, bezogen auf das maximale Drehmoment bei Prüfdrehzahl |
| mass | g/h | unterer Index für den Schadstoffmassendurchsatz |
| MDIL | kg | Masse der durch die Partikel- Probenahmefilter geleiteten Verdünnungsluftprobe |
| MSAM | kg | Masse der durch die Partikel- Probenahmefilter gleiteten Probe des verdünnten Abgases |
| Md | mg | abgeschiedene Partikel- Probenahmemasse der Verdünnungsluft |
| Mf | mg | abgeschiedene Partikel- Probenahmemasse |
| pa | kPa | Sättigungsdampfdruck der Motoransaugluft (ISO 3046: Psy = PSY Umgebungsdruck bei der Prüfung) |
| pB | kPa | barometrischer Druck (ISO 3046: Px = PX Umgebungsluftdruck am Aufstellungsort; Py = PY Umgebungsluftdruck bei der Prüfung) |
| pd | kPa | Sättigungsdampfdruck der Verdünnungsluft |
| ps | kPa | trockener atmosphärischer Druck |
| P | kW | nichtkorrigierte Nennleistung |
| PAE | kW | angegebene Gesamtleistungsaufnahme durch Hilfseinrichtungen, die für die Prüfung angebracht wurden und nach Teil I Abschnitt 1.3 dieser Dienstanweisung nicht erforderlich sind |
| PM | kW | gemessene Höchstleistung bei Prüfdrehzahl unter Prüfbedingungen (siehe Anlage 1 des Typgenehmigungsbogens) |
| Pm | kW | bei den verschiedenen Prüfstufen gemessene Leistung |
| q | - | Verdünnungsverhältnis |
| r | - | Quotient der Querschnittsflächen der isokinetischen Sonde und des Auspuffrohrs |
| Ra | % | relative Feuchtigkeit der Ansaugluft |
| Rd | % | relative Feuchtigkeit der Verdünnungsluft |
| Rf | - | FID-Ansprechfaktor |
| S | kW | Einstellwert des Leistungsprüfstands |
| Ta | K | absolute Temperatur der Ansaugluft |
| TD | K | absolute Taupunkttemperatur |
| Tref | K | Bezugstemperatur (der Verbrennungsluft: 298 K) |
| TSC | K | Lufttemperatur hinter Ladeluftkühler |
| TSCref | K | Bezugstemperatur der Lufttemperatur hinter Ladeluftkühler |
| VAIRD | m³/h | Volumendurchsatz der Ansaugluft, trocken |
| VAIRW | m³/h | Volumendurchsatz der Ansaugluft, feucht |
| VDIL | m³ | Volumen der durch die Partikel-Probenahmefilter geleiteten Verdünnungsluft |
| VDILW | m³/h | Volumendurchsatz der Verdünnungsluft, feucht |
| VEDFW | m³/h | äquivalenter Volumendurchsatz des verdünnten Abgases, feucht |
| VEXHD | m³/h | Volumendurchsatz des Abgases, trocken |
| VEXHW | m³/h | Volumendurchsatz des Abgases, feucht |
| VSAM | m³ | Volumen der Probe durch Partikel-Probenahmefilter |
| VTOTW | m³/h | Volumendurchsatz des verdünnten Abgases, feucht |
| WF | - | Wichtungsfaktor |
| WFE | - | effektiver Wichtungsfaktor |
2.2 Symbole für die chemischen Bestandteile
| CO | Kohlenmonoxid |
| CO2 | Kohlendioxid |
| HC | Kohlenwasserstoffe |
| NOx | Stickoxide |
| NO | Stickstoffmonoxid |
| NO2 | Stickstoffdioxid |
| O2 | Sauerstoff |
| C2 H6 | Ethan |
| PT | Partikel |
| DOP | Dioctylphthalat |
| CH4 | Methan |
| C3H8 | Propan |
| H2O | Wasser |
| PTFE | Polytetrafluorethylen |
2.3 Abkürzungen
| FID | Flammenionisationsdetektor |
| HFID | beheizter Flammenionisationsdetektor |
| NDIR | nichtdispersiver Infrarotabsorptionsanalysator |
| CLD | Chemilumineszenzdetektor |
| HCLD | beheizter Chemilumineszenzdetektor |
| PDP | Verdrängerpumpe |
| CFV | Venturi-Rohr mit kritischer Strömung |
_____
1) ABl. L 375 vom 31.12.1980 S. 46. Dienstanweisung zuletzt geändert durch die Dienstanweisung 89/491/EWG (ABl. L 238 vom 15.08.1989 S. 43).
2) Dies bedeutet im Gegensatz zu den Anforderungen des Anhangs I Abschnitt 5.1.1.1 der Richtlinie 80/1269/EWG, dass das Motorkühlgebläse während der Prüfung zur Ermittlung der Nennleistung des Motors nicht angebaut sein darf. Führt der Hersteller die Prüfung jedoch mit angebautem Motorkühlgebläse durch, so muss die vom Gebläse aufgenommene Leistung zu der auf diese Weise ermittelten Leistung hinzuaddiert werden.
Teil II
Prüfverfahren
1 Einleitung
1.1 In dieser Dienstanweisung wird das Verfahren zur Messung der gasförmigen Schadstoffe und luftverunreinigenden Partikel aus den zu prüfenden Motoren beschrieben.
1.2 Für die Typprüfung ist der Motor auf einem Prüfstand aufzubauen und an einer Leistungsbremse anzuschließen.
1.3 Ist im Rahmen einer Einbau- oder einer Zwischenprüfung die Messung der gasförmigen Schadstoffe und luftverunreinigenden Partikel aus den zu prüfenden Motoren notwendig, sind die nachfolgenden Bestimmungen sinngemäß anzuwenden.
1.4 Ergeben sich Zweifel hinsichtlich der Anforderungen dieser Dienstanweisung, sind die Anforderungen der harmonisierten Normen DIN EN ISO 8178 zu beachten.
2 Prüfbedingungen
2.1 Allgemeine Bedingungen
Das Volumen und der Volumendurchsatz sind stets bezogen auf 273 K (0° C) und 101,3 kPa anzugeben.
2.2 Bedingungen für die Prüfung des Motors
2.2.1 Atmosphärischer Faktor
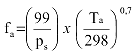
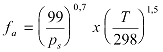
Die absolute Temperatur Ta (Kelvin) der Verbrennungsluft am Einlass des Motors und der trockene atmosphärische Druck ps (in kPa) sind zu messen, und die Kennzahl fa ist nach folgender Formel zu berechnen:
Bei Saugmotoren und mechanisch aufgeladenen Motoren:
Bei turbo-aufgeladenen Motoren mit oder ohne Ladeluftkühlung:
2.2.2 Gültigkeit der Prüfung
Eine Prüfung ist als gültig anzusehen bei fa: 0,98< ƒa< 1,02
Falls es aus zwingenden technischen Gründen nicht möglich ist, diese Grenzen einzuhalten, muss fa zwischen 0,93 und 1,07 liegen. In diesem Fall muss die Partikelemission nach EN ISO 8178-1 korrigiert werden. Für die gasförmigen Emissionen ist eine Korrektur nicht nötig.
2.2.3 Motoren mit Ladeluftkühlung
2.2.3.1 Die Temperatur des Kühlmittels und die Temperatur der Ladeluft sind aufzuzeichnen. Das Kühlsystem muss bei der Drehzahl und der Belastung des Motors, die für die Prüfzyklen vorgesehen sind, eingestellt werden. Die Ladelufttemperatur und der Druckabfall im Kühler dürfen höchstens ± 4 K und ± 2 kPa von den Angaben des Motorherstellers abweichen.
2.2.3.2 Der zu prüfende Motor muss mit der für den Verwendungszweck vorgesehenen Ausrüstung, bei einer Rohwassertemperatur von 25° C innerhalb der zulässigen Emissionsgrenzwerte betrieben werden können. Eine weitere Erhöhung der Wassertemperatur durch die an Bord installierten Wärmetauscher, z.B. für das Kühlwassersystem, muss ebenfalls berücksichtigt werden.
2.2.4 Abweichungen
Die zuständigen Behörden können Abweichungen von den vorgenannten Bedingungen für die Prüfung des Motors zulassen.
2.3 Ansaugsystem des Motors
Der zu prüfende Motor muss mit einem Ansaugsystem versehen sein, dessen Ansaugunterdruck innerhalb der vom Hersteller angegebenen Obergrenze für einen sauberen Luftfilter bei dem Betriebszustand des Motors liegt, bei dem sich nach Angaben des Herstellers der größte Luftdurchsatz ergibt. Eine Prüfstandanlage kann verwendet werden, wenn sie die tatsächlichen Motorbetriebsbedingungen wiedergibt.
2.4 Motorauspuffanlage
Der zu prüfende Motor muss mit einer Auspuffanlage versehen sein, deren Abgasgegendruck der vom Hersteller angegebenen Obergrenze bei den Motorbetriebsbedingungen entspricht, die zur angegebenen Höchstleistung führen.
2.5 Kühlsystem
Der zu prüfende Motor muss mit einem Motorkühlsystem versehen sein, das es ermöglicht, die vom Hersteller vorgegebenen normalen Betriebstemperaturen des Motors aufrechtzuerhalten.
2.6 Schmieröl
Die Kenndaten des zur Prüfung verwendeten Schmieröles sind aufzuzeichnen und zusammen mit den Prüfergebnissen vorzulegen.
2.7 Prüfkraftstoff
2.7.1 Es ist der in Teil III dieser Dienstanweisung beschriebene Bezugskraftstoff zu verwenden.
2.7.2 Die zuständige Behörde kann abweichend von Abschnitt 2.7.1 die Verwendung eines handelsüblichen Kraftstoffes zulassen. Der Kraftstoff muss den Anforderungen der harmonisierten Normen DIN EN 590 genügen. Die Einhaltung dieser Anforderungen ist nachzuweisen.
2.7.3 Die Cetanzahl und der Schwefelgehalt des für die Prüfung verwendeten Bezugskraftstoffes sind aufzuzeichnen. Die Aufzeichnungen sind der Beschreibungsmappe beizufügen.
2.7.4 Die Kraftstofftemperatur am Einlass der Einspritzpumpe muss den Vorgaben des Herstellers entsprechen und in der Beschreibungsmappe angegeben sein.
2.8 Bestimmung der Einstellungen des Leistungsprüfstands
Der Ansaugunterdruck und der Abgasgegendruck sind entsprechend den Abschnitten 2.3 und 2.4 auf die vom Hersteller angegebenen Obergrenzen einzustellen.
Die maximalen Drehmomentwerte sind bei den vorgegebenen Prüfdrehzahlen durch Messung zu ermitteln, um die Drehmomentwerte für die vorgeschriebenen Prüfstufen berechnen zu können. Bei Motoren, die nicht für den Betrieb über einen bestimmten Drehzahlbereich auf der Volllast-Drehmomentkurve ausgelegt sind, ist das maximale Drehmoment bei den jeweiligen Prüfdrehzahlen vom Hersteller anzugeben.
Die Motoreinstellung für jede Prüfstufe ist nach folgender Formel zu berechnen:
Bei einem Verhältnis von
(PAE/PM)> 0,03
kann der Wert von PAE durch die zuständige Behörde überprüft werden, die die Typgenehmigung erteilt.
3 Durchführung der Prüfung
3.1 Vorbereitung der Probenahmefilter
Wenigstens eine Stunde vor der Prüfung ist jedes einzelne Filter(paar) in einer verschlossenen, aber nicht abgedichteten Petrischale zur Stabilisierung in eine Wägekammer zu bringen. Nach der Stabilisierungsphase ist jedes Filter(paar) zu wägen und das Taragewicht aufzuzeichnen. Dann ist das Filter(paar) in einer verschlossenen Petrischale oder einem verschlossenen Filterhalter bis zur Verwendung aufzubewahren. Wird das Filter(paar) nicht binnen acht Stunden nach seiner Entnahme aus der Wägekammer verwendet, so muss es vor seiner Verwendung erneut gewogen werden. Die Lagerzeit bis zur Verwendung der Filter kann entsprechend den Anforderungen der Anlage 3 Abschnitt 2 verlängert werden.
3.2 Anbringung der Messgeräte
Die Geräte und die Probenahmesonden sind wie im Teil IV vorgeschrieben anzubringen. Wird zur Verdünnung der Auspuffgase ein Vollstrom-Verdünnungssystem verwendet, so ist das Abgasrohr an das System anzuschließen.
3.3 Inbetriebnahme des Verdünnungssystems und des Motors
Das Verdünnungssystem ist zu starten und der Motor anzulassen, bis alle Temperaturen und Drücke bei Volllast und Nenndrehzahl stabil sind (Abschnitt 3.6.7).
3.4 Einstellung des Verdünnungsverhältnisses
Das Partikel-Probenahmesystem ist zu starten und bei Anwendung der Einfachfiltermethode auf Bypass zu betreiben (bei der Mehrfachfiltermethode wahlfrei). Der Partikelhintergrund der Verdünnungsluft kann bestimmt werden, indem Verdünnungsluft durch die Partikelfilter geleitet wird. Bei Verwendung gefilterter Verdünnungsluft kann eine Messung zu einem beliebigen Zeitpunkt vor, während oder nach der Prüfung erfolgen. Wird die Verdünnungsluft nicht gefiltert, so sind Messungen zu mindestens drei Zeitpunkten (nach dem Start, vor dem Anhalten und nahe der Zyklusmitte) vorzunehmen und die Durchschnittswerte zu ermitteln.
Die Verdünnungsluft ist so einzustellen, dass die maximale Filteroberflächentemperatur bei jedem Messpunkt 325 K (52° C) oder weniger beträgt. Das Gesamtverdünnungsverhältnis darf nicht weniger als vier betragen.
Bei der Einfachfiltermethode in Vollstromsystemen muss der Probemassendurchsatz durch den Filter bei allen Prüfstufen in einem konstanten Verhältnis zum Massendurchsatz des verdünnten Abgases stehen. Dieses Masseverhältnis muss - mit Ausnahme der ersten 10 Sekunden jeder Prüfstufe bei Systemen ohne Bypassmöglichkeit - mit einer Toleranz von ± 5 % eingehalten werden. Bei Teilstrom-Verdünnungssystemen mit Einfachfiltermethode muss der Massendurchsatz durch den Filter - mit Ausnahme der ersten 10 Sekunden jeder Prüfstufe bei Systemen ohne Bypassmöglichkeit - bei jeder Prüfstufe mit einer Toleranz von ± 5 % konstant gehalten werden.
Bei CO2- oder NOx-konzentrationsgeregelten Systemen ist der CO2- bzw. NOx-Gehalt der Verdünnungsluft zu Beginn und Ende jeder Prüfung zu messen. Die vor der Prüfung gemessene CO2- bzw. NOx-Hintergrundkonzentration der Verdünnungsluft darf von der nach der Prüfung gemessenen Konzentration um höchstens 100 ppm bzw. 5 ppm abweichen.
Bei Verwendung eines mit verdünntem Abgas arbeitenden Analysesystems sind die jeweiligen Hintergrundkonzentrationen zu bestimmen, indem über die gesamte Prüffolge hinweg Verdünnungsluftproben in einen Probenahmebeutel geleitet werden.
Die fortlaufende Hintergrundkonzentration (ohne Beutel) kann an mindestens drei Punkten (zu Beginn, am Ende und nahe der Zyklusmitte) bestimmt und der Durchschnitt der Werte ermittelt werden. Auf Antrag des Herstellers kann auf Hintergrundmessungen verzichtet werden.
Andere Methoden zur Einstellung und Überprüfung des Verdünnungsverhältnisses, die dem Stand der Technik entsprechen, können nach Abstimmung mit der zuständigen Behörde ebenfalls angewendet werden.
3.5 Überprüfung der Analysegeräte
Die Geräte für die Emissionsanalyse sind auf Null und den Messbereich zu justieren.
3.6 Prüfzyklen und Wichtungsfaktoren
3.6.1 Für jeden Motortyp und für jeden Stamm-Motor einer Motorenfamilie oder Motorengruppe ist einer der in Abschnitt 3.6.2 bis 3.6.5 festgelegten Prüfzyklen anzuwenden, um die Einhaltung der Emissionsgrenzwerte festzustellen.
3.6.2 Für Schiffsmotoren mit konstanter Drehzahl, die für den Schiffshauptantrieb verwendet werden, einschließlich dieselelektrischem Antrieb, sowie für Anlagen mit Verstellpropeller ist Prüfzyklus E2 gemäß Tabelle 1 anzuwenden.
Tabelle 1: Prüfzyklus für "Schiffshauptantrieb mit konstanter Drehzahl" (einschließlich Anlagen mit dieselelektrischem Antrieb und Verstellpropeller)
| Prüfzyklus E2 | Drehzahl | 100 % | 100 % | 100 % | 100 % |
| Drehmoment | 100 % | 75 % | 50 % | 25 % | |
| Wichtungsfaktor | 0,2 | 0,5 | 0,15 | 0,15 |
3.6.3 Für Schiffshauptantriebe und Schiffshilfsantriebe, die nach dem Propellergesetz betrieben werden, ist Prüfzyklus E3 gemäß Tabelle 2 anzuwenden.
Tabelle 2: Prüfzyklus für "Schiffshauptantriebe mit Propellercharakteristik und Schiffshilfsantriebe mit Propellercharakteristik"
| Prüfzyklus E3 | Drehzahl | 100 % | 91 % | 80 % | 63 % |
| Leistung | 100 % | 75 % | 50 % | 25 % | |
| Wichtungsfaktor | 0,2 | 0,5 | 0,15 | 0,15 |
3.6.4 Für Hilfsmotoren mit konstanter Drehzahl ist Prüfzyklus D2 gemäß Tabelle 3 anzuwenden.
Tabelle 3: Prüfzyklus für "Hilfsmotoren mit konstanter Drehzahl"
| Prüfzyklus D2 | Drehzahl | 100 % | 100 % | 100 % | 100 % | 100 % |
| Drehmoment | 100 % | 75 % | 50 % | 25 % | 10 % | |
| Wichtungsfaktor | 0,05 | 0,25 | 0,3 | 0,3 | 0,1 |
3.6.5 Für Hilfsmotoren mit variabler Drehzahl und variabler Last, die nicht in obige Kategorie fallen, ist Prüfzyklus C1 gemäß Tabelle 4 anzuwenden.
Tabelle 4: Prüfzyklus für "Hilfsmotoren mit variabler Drehzahl und variabler Last"
| Prüfzyklus C1 | Drehzahl | Nenndrehzahl | Zwischendrehzahl | Leerlauf | |||||
| Drehmoment | 100 % | 75 % | 50 % | 10 % | 100 % | 75 % | 50 % | 0 % | |
| Wichtungsfaktor | 0,15 | 0,15 | 0,15 | 0,1 | 0,1 | 0,1 | 0,1 | 0,15 | |
3.6.5.1 Die Drehmomentwerte von Prüfzyklus C1 sind Prozentwerte, die für die vorgegebene Drehzahl das Verhältnis des zu fahrenden Drehmoments zu dem max. Drehmoment für den entsprechenden Lastpunkt angeben.
3.6.5.2 Die Zwischendrehzahl für Prüfzyklus C1 ist vom Hersteller gemäß Teil I Abschnitt 1.7 dieser Dienstanweisung anzugeben.
3.6.6 Wenn ein Hersteller eine neue Prüfzyklusanwendung für einen Motor, für den bereits aufgrund eines anderen in Abschnitt 3.6.2 bis 3.6.5 festgelegten Prüfzyklus eine Typgenehmigung erteilt wurde, beantragt, kann die zuständige Behörde davon absehen, für die neue Anwendung das gesamte Zertifizierungsverfahren durchzuführen. In diesem Fall kann der Hersteller die Konformität durch eine Neuberechnung demonstrieren, wobei die Messergebnisse der Prüfstufen der ersten Typgenehmigung mit den Gewichtungsfaktoren des neuen Prüfzyklus zur Berechnung der gewichteten Gesamtemissionen der neuen Prüfzyklusanwendung verwendet werden können.
3.6.7 Konditionierung des Motors
Der Motor und das System sind bei Nenndrehzahl und maximalem Drehmoment warm zu fahren, um die Motorkennwerte entsprechend den Empfehlungen des Herstellers zu stabilisieren.
Anmerkung: Durch die Konditionierungszeit soll auch der Einfluss von Ablagerungen in der Auspuffanlage, die aus einer früheren Prüfung stammen, verhindert werden. Ferner ist zwischen den Prüfstufen eine Stabilisierungsperiode vorgeschrieben, die der weitestgehenden Ausschaltung einer gegenseitigen Beeinflussung bei den einzelnen Prüfstufen dient.
3.6.8 Prüffolge
Die Prüfung ist entsprechend der in den Tabellen 1 - 4 angegebenen Reihenfolge der Prüfstufen der Prüfzyklen durchzuführen.
Nach der einleitenden Übergangsperiode muss bei jeder Stufe des Prüfzyklus die vorgeschriebene Drehzahl innerhalb des höheren Wertes von entweder ± 1 % der Nenndrehzahl oder ± 3 min-1 gehalten werden; dies gilt nicht für die untere Leerlaufdrehzahl, bei der die vom Hersteller angegebenen Toleranzen einzuhalten sind. Das angegebene Drehmoment ist so zu halten, dass der Durchschnitt für den Zeitraum der Messungen mit einer Toleranz von ± 2 % dem maximalen Drehmoment bei der Prüfdrehzahl entspricht.
Für jeden Messpunkt wird eine Mindestzeit von zehn Minuten benötigt. Sind bei der Prüfung eines Motors längere Probenahmezeiten erforderlich, damit sich eine ausreichende Partikelmasse auf dem Messfilter sammelt, kann die Dauer der Prüfstufe nach Bedarf verlängert werden.
Die Dauer der Prüfstufen ist aufzuzeichnen und anzugeben.
Die Konzentrationswerte der gasförmigen Emissionen sind während der letzten drei Minuten jeder Prüfstufe zu messen und aufzuzeichnen.
Die Partikelentnahme und Messung der gasförmigen Emissionen sollten nicht vor Eintritt der Motorstabilisierung gemäß den Anweisungen des Herstellers erfolgen und müssen gleichzeitig beendet werden.
Die Kraftstofftemperatur muss am Einlass der Kraftstoffeinspritzpumpe oder nach Vorschrift des Herstellers gemessen werden. Die Stelle der Messung ist aufzuzeichnen.
3.6.9 Ausgangssignal der Analysegeräte
Das Ausgangssignal der Analysatoren ist auf einem Linienschreiber oder mit einem gleichwertigen Datenerfassungssystem aufzuzeichnen , wobei das Abgas mindestens während der letzten drei Minuten jeder Prüfstufe durch die Analysatoren strömen muss. Wird für die Messung des verdünnten CO und CO2 ein Probenahmebeutel verwendet (siehe Anlage 1 Abschnitt 4.4), so ist die Probe während der letzten drei Minuten jeder Prüfstufe in den Beutel zu leiten. Die Beutelprobe ist zu analysieren und das Ergebnis aufzuzeichnen.
3.6.10 Partikel-Probenahme
Die Partikel-Probenahme kann nach der Einfachfiltermethode oder nach der Mehrfachfiltermethode erfolgen (Anlage 1 Abschnitt 5). Da die Ergebnisse bei diesen Methoden leichte Abweichungen aufweisen können, muss zusammen mit den Ergebnissen auch die verwendete Methode angegeben werden.
Bei der Anwendung der Einfachfiltermethode müssen die der jeweiligen Prüfstufe des Prüfzyklus zugeordneten Wichtungsfaktoren bei der Probenahme berücksichtigt werden, indem der Probendurchsatz und/oder die Probenahmezeit entsprechend eingestellt werden/wird.
Die Probenahme muss bei jeder Prüfstufe so spät wie möglich erfolgen. Die Probenahme je Prüfstufe muss bei der Einfachfiltermethode mindestens 20 Sekunden und bei der Mehrfachfiltermethode mindestens 60 Sekunden dauern. Bei Systemen ohne Bypassmöglichkeit muss die Probenahme je Prüfstufe bei Einfach- und Mehrfachfiltermethode mindestens 60 Sekunden dauern.
3.6.11 Motorbedingungen
Motordrehzahl und Last, Ansauglufttemperatur, Kraftstoffdurchsatz und Luft- oder Abgasdurchsatz sind nach Stabilisierung des Motors bei jeder Prüfstufe zu messen.
Ist die Messung des Abgasdurchsatzes oder die Messung der Verbrennungsluft und des Kraftstoffverbrauchs nicht möglich, so kann eine Berechnung nach der Kohlenstoff- und Sauerstoffbilanzmethode vorgenommen werden (siehe EN ISO 8178 - 1 Anhang 1).
Alle zusätzlich für die Berechnung erforderlichen Daten sind aufzuzeichnen (siehe Anlage 3 Abschnitte 1 und 3).
3.7 Erneute Überprüfung der Analysegeräte
Nach der Emissionsprüfung werden ein Nullgas und dasselbe Kalibriergas zur erneuten Überprüfung verwendet. Die Prüfung ist als gültig anzusehen, wenn die Differenz zwischen den beiden Messergebnissen weniger als 2 % der Konzentration des Prüfgases beträgt.
![]() |
weiter . | ![]() |
(Stand: 16.10.2018)
Alle vollständigen Texte in der aktuellen Fassung im Jahresabonnement
Nutzungsgebühr: ab 105.- € netto
(derzeit ca. 7200 Titel s.Übersicht - keine Unterteilung in Fachbereiche)
Die Zugangskennung wird kurzfristig übermittelt
? Fragen ?
Abonnentenzugang/Volltextversion