umwelt-online: Archivdatei - BinSchUO 2008 - Binnenschiffsuntersuchungsordnung - Anhang II
![]() |
zurück | ![]() |
Kapitel 16
Sonderbestimmungen für Fahrzeuge, die zur Verwendung als Teil eines Schubverbandes, eines Schleppverbandes oder einer gekuppelten Zusammenstellung bestimmt sind
§ 16.01 Zum Schieben geeignete Fahrzeuge
1. Fahrzeuge, die zum Schieben verwendet werden sollen, müssen mit einer geeigneten Schubvorrichtung versehen sein. Sie müssen so gebaut und ausgerüstet sein, dass
2. Werden zum Kuppeln Drahtseile verwendet, müssen an dem zum Schieben geeigneten Fahrzeug mindestens zwei Spezialwinden oder gleichwertige Einrichtungen zum Spannen der Seile angeordnet sein.
3. Kupplungseinrichtungen müssen eine starre Verbindung mit dem oder den geschobenen Fahrzeugen ermöglichen.
Bei Schubverbänden, die aus einem schiebenden und nur einem geschobenen Fahrzeug bestehen, können die Kupplungseinrichtungen auch ein gesteuertes Knicken ermöglichen. Die dafür erforderlichen Antriebe müssen die zu übertragenden Kräfte einwandfrei aufnehmen können und leicht und gefahrlos zu bedienen sein. Für diese Antriebe gelten die §§ 6.02 bis 6.04 sinngemäß.
4. Bei Schubbooten kann das Kollisionsschott nach § 3.03 Nr. 1 Buchstabe a entfallen.
§ 16.02 Zum Geschobenwerden geeignete Fahrzeuge
1. Für Schubleichter ohne Steuereinrichtung, Wohnung, Maschinen- oder Kesselräume gelten nicht:
Sind Steuereinrichtungen, Wohnungen, Maschinen- oder Kesselräume vorhanden, sind die entsprechenden Anforderungen dieser Verordnung anzuwenden.
2. Für Trägerschiffsleichter mit L von nicht mehr als 40 m gilt außerdem:
3. Fahrzeuge, die geschoben werden sollen, müssen mit Kupplungseinrichtungen versehen sein, die eine sichere Verbindung mit anderen Fahrzeugen gewährleisten.
§ 16.03 Zum Fortbewegen von gekuppelten Fahrzeugen geeignete Fahrzeuge
Auf Fahrzeugen, die zum Fortbewegen von gekuppelten Fahrzeugen verwendet werden sollen, müssen Poller oder gleichwertige Einrichtungen vorhanden sein, die nach Anzahl und Anordnung eine sichere Verbindung der gekuppelten Fahrzeuge ermöglichen.
§ 16.04 Zum Fortbewegtwerden in Verbänden geeignete Fahrzeuge
Fahrzeuge, die in Verbänden fortbewegt werden sollen, müssen über hierfür geeignete Kupplungseinrichtungen, Poller oder gleichwertige Einrichtungen verfügen, die nach Anzahl und Anordnung eine sichere Verbindung mit dem oder den anderen Fahrzeugen des Verbandes gewährleisten.
§ 16.05 Zum Schleppen geeignete Fahrzeuge
1. Fahrzeuge, die zum Schleppen verwendet werden sollen, müssen folgenden Anforderungen genügen:
2. Fahrzeuge mit L von mehr als 86 m dürfen zum Schleppen zu Tal nicht zugelassen werden.
§ 16.06 Probefahrten mit Verbänden
1. Für Erteilung der Zulassung als Schubboot oder Motorschiff zum Fortbewegen von Fahrzeugen in einem starren Verband und der Eintragung des entsprechenden Vermerkes in das Schiffsattest bestimmt die Untersuchungskommission, ob und welche Formationen ihr vorzuführen sind und veranlasst die Probefahrten nach § 5.02 mit dem Verband in der oder den beantragten Formationen, die ihr am ungünstigsten erscheinen. Dabei muss dieser Verband die §§ 5.02 bis 5.10 erfüllen.
Die Untersuchungskommission vergewissert sich, ob die starre Verbindung aller Fahrzeuge des Verbandes bei den Manövern nach Kapitel 5 sichergestellt ist.
2. Werden bei den Probefahrten nach Nummer 1 besondere Einrichtungen an den im Verband fortbewegten Fahrzeugen (wie Ruderanlage, Antriebs- oder Manövriereinrichtungen, Gelenkkupplungen) eingesetzt, um die §§ 5.02 bis 5.10 zu erfüllen, sind in diesem Fall in das Schiffsattest des den Verband fortbewegenden Fahrzeuges einzutragen: Formation, Position, Name und europäische Schiffsnummer der zugelassenen Fahrzeuge, die über diese besonderen eingesetzten Einrichtungen verfügen.
§ 16.07 Eintragungen in das Schiffsattest
1. Soll ein Fahrzeug einen Verband fortbewegen oder in ihm fortbewegt werden, muss im Schiffsattest vermerkt sein, dass es aufgrund der Anforderungen nach den §§ 16.01 bis 16.06 dafür geeignet ist.
2. In das Schiffsattest des fortbewegenden Fahrzeuges sind einzutragen:
Kapitel 17
Sonderbestimmungen für schwimmende Geräte
§ 17.01 Allgemeine Bestimmungen
Für schwimmende Geräte gelten für Bau und Ausrüstung die Kapitel 3, 7 bis 14 und 16. Für schwimmende Geräte mit Fahrantrieb gelten zusätzlich die Kapitel 5 und 6. Antriebe, die nur kleine Ortsveränderungen erlauben, gelten nicht als Fahrantriebe.
§ 17.02 Abweichungen
1. Die Untersuchungskommission kann von folgenden Bestimmungen Abweichungen zulassen:
2. Die Untersuchungskommission kann auf die Anwendung folgender Bestimmungen verzichten:
3. Zusätzlich gilt:
§ 17.03 Sonstige Bestimmungen
1. Auf schwimmenden Geräten, auf denen während des Betriebes Personen anwesend sind, muss eine Generalalarmanlage vorhanden sein. Das Alarmsignal muss sich deutlich von anderen Signalen unterscheiden und in allen Wohnungen und an allen Arbeitsplätzen einen Schalldruckpegel erzeugen, der mindestens 5 dB(A) höher liegt als der örtlich vorherrschende maximale Lärmpegel. Die Alarmanlage muss im Steuerhaus und an den wichtigsten Bedienungsstellen ausgelöst werden können.
2. Arbeitseinrichtungen müssen für ihre Belastung eine genügende Festigkeit besitzen und den Vorschriften eines der Rheinuferstaaten entsprechen.
3. Standsicherheit und Festigkeit der Arbeitseinrichtungen und gegebenenfalls deren Befestigungen müssen derart sein, dass sie Beanspruchungen aus zu erwartender Krängung, Trimm und Bewegungen des schwimmenden Gerätes standhalten können.
4. Werden Lasten mittels Hebezeugen gehoben, ist die sich aus Stabilität und Festigkeit ergebende größte zulässige Last auf einer Tafel an Deck und an den Bedienstellen deutlich sichtbar anzubringen. Kann das Hubvermögen durch Ankuppeln von zusätzlichen Schwimmkörpern vergrößert werden, müssen die Werte mit und ohne Zusatzschwimmkörper angegeben sein.
5. Bei schwimmenden Geräten, die für den Einsatz im Küsten- oder Seebereich zugelassen sind, wird das Schiffsattest nach Anlage B, wenn sie ein solches nicht besitzen, durch ein Attest nach Anlage G, ersetzt. Dabei muss Kapitel 20 unter Berücksichtigung der Anforderungen des Kapitels 17 erfüllt sein.
§ 17.04 Restsicherheitsabstand
1. Für die Zwecke dieses Kapitels und abweichend von § 1.01 ist der Restsicherheitsabstand der kleinste senkrechte Abstand zwischen dem glatten Wasserspiegel und dem tiefsten Punkt, über dem das schwimmende Gerät nicht mehr wasserdicht ist, unter Berücksichtigung von Trimm und Krängung, die unter Einfluss der Momente nach § 17.07 Nr. 4 auftreten.
2. Ein Restsicherheitsabstand nach § 17.07 Nr. 1 ist an sprühwasser- und wetterdichten Öffnungen ausreichend, wenn er 300 mm beträgt.
3. An einer nicht sprühwasser- und wetterdichten Öffnung muss der Restsicherheitsabstand mindestens 400 mm betragen.
§ 17.05 Restfreibord
1. Für die Zwecke dieses Kapitels und abweichend von § 1.01 ist der Restfreibord der kleinste senkrechte Abstand zwischen dem glatten Wasserspiegel und Seite Deck unter Berücksichtigung von Trimm und Krängung, die unter Einfluss der Momente nach § 17.07 Nr. 4 auftreten.
2. Der Restfreibord nach § 17.07 Nr. 1 ist ausreichend, wenn er 300 mm beträgt.
3. Der Restfreibord darf verringert werden, wenn nachgewiesen wird, dass § 17.08 eingehalten ist.
4. Weicht die Form des Schwimmkörpers wesentlich von der Pontonform ab, wie bei zylindrischen Schwimmkörpern oder bei einem Schwimmkörper, dessen Querschnitt mehr als vier Seiten aufweist, kann die Untersuchungskommission einen von Nummer 2 abweichenden Restfreibord fordern oder zulassen. Dies gilt auch bei einem schwimmenden Gerät mit mehreren Schwimmkörpern.
§ 17.06 Krängungsversuch
1. Der Stabilitätsnachweis nach den §§ 17.07 und 17.08 muss auf Grundlage eines ordnungsgemäß durchgeführten Krängungsversuchs erbracht werden.
2. Können bei dem Krängungsversuch nur ungenügende Krängungswinkel erzielt werden oder führt die Durchführung des Krängungsversuchs zu unzumutbaren technischen Schwierigkeiten, kann ersatzweise eine Gewichts- und Schwerpunktrechnung durchgeführt werden. Das Ergebnis der Gewichtsberechnung ist mit Hilfe von Tiefgangsmessungen zu kontrollieren, wobei die Differenz nicht mehr als ± 5 % betragen darf.
§ 17.07 Stabilitätsnachweis
1. Es ist nachzuweisen, dass bei den beim Einsatz und Fahrbetrieb auftretenden Belastungen ein ausreichender Restsicherheitsabstand und ein ausreichender Restfreibord vorhanden ist. Dabei darf die Summe der Winkel aus Krängung und Trimm nicht mehr als 10° betragen und der Boden des Schwimmkörpers darf nicht austauchen.
2. Der Stabilitätsnachweis muss folgende Daten und Unterlagen enthalten:
3. Dem Stabilitätsnachweis sind mindestens folgende Lastannahmen zugrunde zu legen:
4.1 In dem Stabilitätsnachweis sind folgende Momente zu berücksichtigen:
Dabei sind Momente, die gleichzeitig wirken können, zu addieren.
4.2 Das Moment infolge des Winddruckes ist nach folgender Formel zu berechnen:

In dieser Formel bedeuten:
| c | formabhängiger Widerstandsbeiwert;
Für Fachwerke ist c = 1,2 und für Vollwandträger c = 1,6 zu setzen. Beide Werte schließen die Einflüsse von Windstößen ein. Als Angriffsfläche der Windkraft ist die durch die Umrisslinie des Fachwerks eingeschlossene Fläche einzusetzen. |
| pw | spezifischer Winddruck, er ist einheitlich mit 0,25 kN/m2 anzusetzen; |
| A | Lateralplan über der Ebene der größten Einsenkung in m2; |
| lw | Abstand des Schwerpunktes des Lateralplans a von der Ebene der größten Einsenkung in m. |
4.3 Für die Ermittlung der Momente aus der Drehbewegung nach Nummer 4.1 Buchstabe d ist bei schwimmenden Geräten mit Fahrantrieb die Formel aus § 15.03 Nr. 6 zu verwenden.
4.4 Das durch Queranströmung nach Nummer 4.1 Buchstabe e verursachte Moment braucht nur bei schwimmenden Geräten, die während des Betriebs in strömendem Wasser quer liegend verankert oder vertäut sind, mitgerechnet zu werden.
4.5 Bei der Berechnung der Momente aus flüssigem Ballast und flüssigen Vorräten nach Nummer 4.1 Buchstabe f ist der für die Stabilität ungünstigste Füllungsgrad der Tanks zu ermitteln und das entsprechende Moment in die Rechnung einzusetzen.
4.6 Das durch dynamische Massenkräfte verursachte Moment nach Nummer 4.1 Buchstabe i muss in angemessener Weise berücksichtigt werden, wenn durch Bewegungen der Last und der Arbeitseinrichtungen eine Beeinflussung der Stabilität zu erwarten ist.
5. Die aufrichtenden Momente können bei Schwimmkörpern mit senkrechten Seitenwänden nach der Formel
berechnet werden.
In dieser Formel bedeuten:
![]() |
die metazentrische Höhe in m; |
| Φ | der Krängungswinkel in °. |
Dies gilt bis zu Krängungswinkeln von 10° oder bis zu einem Krängungswinkel, bei dem Seite Deck eintaucht oder bei dem der Boden austaucht. Dabei ist der kleinere Winkel ausschlaggebend. Bei schräg verlaufenden Seitenwänden gilt die Formel bis zu Krängungswinkeln von 5°; im Übrigen gelten die Randbedingungen nach den Nummern 3 und 4.1 bis 4.6.
Lässt die besondere Form des oder der Schwimmkörper diese Erleichterung nicht zu, sind Hebelarmkurven nach Nummer 2 Buchstabe c erforderlich.
§ 17.08 Stabilitätsnachweise bei reduziertem Restfreibord
Wird ein verringerter Restfreibord nach § 17.05 Nr. 3 in Anspruch genommen, muss für alle Betriebszustände nachgewiesen sein, dass
§ 17.09 Einsenkungsmarken und Tiefgangsanzeiger
Einsenkungsmarken nach § 4.04 und Tiefgangsanzeiger nach § 4.06 müssen angebracht sein.
§ 17.10 Schwimmende Geräte ohne Stabilitätsnachweis
1. Auf die Anwendung der §§ 17.04 bis 17.08 kann verzichtet werden bei schwimmenden Geräten,
2. Jedoch müssen
Kapitel 18
Sonderbestimmungen für Baustellenfahrzeuge
§ 18.01 Einsatzbedingungen
Baustellenfahrzeuge, die als solche in dem Schiffsattest nach Anlage B bezeichnet sind, dürfen außerhalb von Baustellen nur unbeladen verkehren. Diese Auflage ist in das Schiffsattest einzutragen.
Hierzu müssen diese Baustellenfahrzeuge über eine Bescheinigung der zuständigen Behörde über Dauer und örtliche Begrenzung der Baustelle, auf der das Fahrzeug eingesetzt werden darf, verfügen.
§ 18.02 Anwendung des Teils II
Sofern in diesem Kapitel nichts anderes bestimmt ist, gelten für Bau und Ausrüstung von Baustellenfahrzeugen die Kapitel 3 bis 14 des Teils II.
§ 18.03 Abweichungen
1.
2. Die Untersuchungskommission kann auf die Anwendung folgender Bestimmungen verzichten:
§ 18.04 Sicherheitsabstand und Freibord
1. Wird ein Baustellenfahrzeug als Spül- und Klappschute betrieben, müssen der Sicherheitsabstand außerhalb des Laderaumbereiches mindestens 300 mm und der Freibord mindestens 150 mm betragen. Die Untersuchungskommission kann einen geringeren Freibord zulassen, wenn rechnerisch nachgewiesen ist, dass die Stabilität bei Beladung mit einem Füllgut der Dichte 1,5 t/m3 ausreicht und keine Seite des Decks zu Wasser kommt. Der Einfluss verflüssigter Ladung muss dabei berücksichtigt werden.
2. Für Baustellenfahrzeuge, die nicht unter Nummer 1 fallen, gelten die §§ 4.01 und 4.02 sinngemäß. Dabei darf die Untersuchungskommission für den Sicherheitsabstand und für den Freibord abweichende Werte festsetzen.
§ 18.05 Beiboote
Baustellenfahrzeuge brauchen nicht mit einem Beiboot ausgerüstet zu sein, wenn
Kapitel 19
Sonderbestimmungen für Kanalpenichen
§ 19.01 Allgemeines
Für Kanalpenichen, die den Rhein nur zwischen basel (Mittlere Rheinbrücke) und den Schleusen Iffezheim einschließlich des unteren Vorhafens befahren, gelten für Bau und Ausrüstung nur die §§ 19.02 und 19.03.
§ 19.02 Anwendung des Teils II
Für Kanalpenichen gelten:
1. §§ 3.01, 3.02 Nr. 2, § 3.03 Nr. 2 bis 4, 6;
2. Kapitel 5 und 6; abweichend von § 6.01 Nr. 1 müssen Kanalpenichen mit einer zuverlässigen Steuereinrichtung versehen sein, die ausreichende Fahr- und Manövriereigenschaften ermöglicht;
3. § 8.01;
4. § 9.01 Nr. 1 ist sinngemäß;
5. Kanalpenichen müssen am Vorschiff mit einem Anker mit einer Masse von mindestens 250 kg ausgerüstet sein, der mit einer mindestens 50 m langen Kette versehen ist, deren Mindestbruchkraft in kN einem Drittel der tatsächlichen Ankermasse in kg beträgt. Die Kette darf durch ein Drahtseil gleicher Mindestbruchkraft ersetzt sein.
Folgende Ausrüstungsgegenstände müssen an Bord sein:
6. § 13.01;
7. Kapitel 14.
Kapitel 20
Sonderbestimmungen für Seeschiffe
§ 20.01 Anwendung des Teils II
1. Seeschiffe, auf die das Internationale Übereinkommen von 1974 zum Schutz des menschlichen Lebens auf See ( SOLAS 1974) oder das Internationale Freibordübereinkommen von 1966 Anwendung findet, müssen im Besitz des jeweiligen gültigen internationalen Zeugnisses sein.
2. Seeschiffe, auf die SOLAS 1974 oder das Internationale Freibordübereinkommen keine Anwendung finden, müssen Zeugnisse mitführen und mit der Freibordmarke versehen sein, die nach dem Recht des Flaggenstaates vorgeschrieben sind und hinsichtlich Bau, Einrichtung und Ausrüstung den Anforderungen der Übereinkommen entsprechen oder eine vergleichbare Sicherheit auf andere Weise gewährleisten.
3. Seeschiffe, auf die das Internationale Übereinkommen von 1973 zur Verhütung der Meeresverschmutzung durch Schiffe ( MARPOL 73) Anwendung findet, müssen im Besitz eines gültigen internationalen Zeugnisses über die Verhütung der Meeresverschmutzung (IOPP-Zeugnis) sein.
4. Seeschiffe, auf die MARPOL 73 keine Anwendung findet, müssen ein entsprechendes Zeugnis mitführen, das nach dem Recht des Flaggenstaates vorgeschrieben ist.
5. Darüber hinaus gelten:
Kapitel 21
Sonderbestimmungen für Sportfahrzeuge
§ 21.01 Anwendung des Teils II 14
1. Für Sportfahrzeuge gelten:
2. Bei Sportfahrzeugen, die der Richtlinie 94/25/EG (Richtlinie des Europäischen Parlaments und des Rates zur Angleichung der Rechts- und Verwaltungsvorschriften der Mitgliedstaaten über Sportboote) unterliegen, erstrecken sich die Erstuntersuchung und die Nachuntersuchungen nur auf:
Kapitel 22
Stabilität von Schiffen, die Container befördern
§ 22.01 Allgemeines
1. Sind nach der Rheinschifffahrtspolizeiverordnung für Schiffe, die Container befördern, Stabilitätsunterlagen erforderlich, sind die Bestimmungen dieses Kapitels anzuwenden. Die Stabilitätsunterlagen sind von einer Untersuchungskommission zu prüfen oder prüfen zu lassen und mit einem entsprechenden Sichtvermerk zu versehen.
2. Die Stabilitätsunterlagen müssen eine für den Schiffsführer verständliche Aussage über die Stabilität des Schiffes bei dem jeweiligen Beladungsfall ermöglichen. Die Stabilitätsunterlagen müssen mindestens enthalten:
-Werte oder die zulässigen Ladungsschwerpunkthöhen;3. Können auf einem Schiff wahlweise Container ungesichert oder gesichert befördert werden, sind für die Beförderung ungesicherter und für die Beförderung gesicherter Containerladungen jeweils besondere Berechnungsverfahren für den Nachweis der Stabilität erforderlich.
4. Eine Containerladung gilt nur dann als gesichert, wenn die einzelnen Container mittels Führungen oder Spannvorrichtungen fest mit dem Schiffskörper verbunden sind und sich ihre Lage während der Fahrt nicht verändern kann.
§ 22.02 Randbedingungen und Berechnungsverfahren für den Stabilitätsnachweis bei Beförderung ungesicherter Container
1. Bei ungesicherten Containern hat jedes Berechnungsverfahren zur Bestimmung der Stabilität des Schiffes von folgenden Randbedingungen auszugehen:
darf 1,00 m nicht unterschreiten.
| cKZ | Beiwert (cKZ = 0,04) [s2/m]; |
| v | größte Geschwindigkeit des Schiffes gegen Wasser [m/s]; |
|
Höhe des Schwerpunktes des beladenen Schiffes über Basis [m]; |
| T' | Tiefgang des beladenen Schiffes [m]. |

| cKW | Beiwert (cKW = 0,025) [t/m2]; |
| A' | Überwasserlateralplan beim beladenen Schiff [m2]; |
| D' | Deplacement des beladenen Schiffes [t]; |
| lw | Höhe des Schwerpunktes der Überwasserlateralfläche A' über der Wasserlinie [m]; |
| T' | Tiefgang des beladenen Schiffes [m]. |

| cKfO | Beiwert (cKfO = 0,015) [t/m2]; |
| b | Breite des betrachteten Raumes oder Raumabschnittes [m]; * |
| l | Länge des betrachteten Raumes oder Raumabschnittes [m]; * |
| D' | Deplacement des beladenen Schiffes [t]. |
| *) Raumabschnitte freier Flüssigkeitsoberflächen entstehen, wenn durch wasserdichte Längs- und/oder Querunterteilungen voneinander unabhängige Flüssigkeitsoberflächen gebildet werden. | |
2. Die Stabilität eines mit ungesicherten Containern beladenen Binnenschiffes gilt als ausreichend, wenn das vorhandene
gleich oder kleiner als
zul nach den folgenden Formeln ist. Hierbei muss
zul für verschiedene Verdrängungen über den gesamten Tiefgangsbereich berechnet werden.


zul nach Formel a oder b ist maßgebend. In diesen Formeln bedeuten: zul |
maximal zulässige Höhe des Schwerpunktes des beladenen Schiffes über Basis [m]; |
![]() |
Höhe des Metazentrums über Basis [m] nach der Näherungsformel nach Nummer 3; |
| F | jeweils vorhandener Freibord auf ½ L [m]; |
| Z | Beiwert für die Zentrifugalkraft im Drehkreis
|
| v | größte Geschwindigkeit des Schiffes gegen Wasser [m/s]; |
| Tm | jeweils mittlerer Tiefgang [m]; |
| hKW | krängender Hebel aus seitlichem Winddruck nach Nummer 1 Buchstabe d [m]; |
| hKfO | Summe der krängenden Hebel aus freien Flüssigkeitsoberflächen nach Nummer 1 Buchstabe e [m]. |
3. Näherungsformel für
Ist kein Kurvenblatt vorhanden, kann für die Berechnung nach Nummer 2 und § 22.03 Nr. 2 der Wert für
aus folgenden Näherungsformeln ermittelt werden:
§ 22.03 Randbedingungen und Berechnungsverfahren für den Stabilitätsnachweis bei Beförderung gesicherter Container
1. Bei gesicherten Containern muss jedes Berechnungsverfahren zur Bestimmung der Stabilität des Schiffes von folgenden Randbedingungen ausgehen:
darf 0,50 m nicht unterschreiten.2. Die Stabilität eines mit gesicherten Containern beladenen Binnenschiffes gilt als ausreichend, wenn das vorhandene
gleich oder kleiner als
zul nach den folgenden Formeln ist. Hierbei muss
zul für verschiedene Verdrängungen über den gesamten Tiefgangsbereich berechnet werden.

kein kleinerer Wert als 0 eingesetzt werden.
zul =
- 0,50 [m].
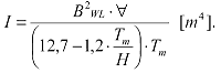
zul nach den Formeln a oder b ist maßgebend.| l | Breitenträgheitsmoment der Wasserlinie bei Tm [m4] nach der Näherungsformel nach Nummer 3; |
| i | Breitenträgheitsmoment der zur Basis parallelen Wasserlinie in der Höhe Tm + 2/3F' [m4]; |
| " | Verdrängung des Schiffes bei Tm[m3]; |
| F' | ideeller Freibord F' = H' - Tm[m] oder
F' = [(a ⋅ BWL) / (2 ⋅b)] [m] wobei der kleinere Wert maßgebend ist; |
| a | senkrechter Abstand zwischen Unterkante der bei Neigungen zuerst eintauchenden Öffnung und der Wasserlinie bei aufrechter Lage des Schiffes [m]; |
| b | Abstand derselben Öffnung von Mitte Schiff [m]; |
| H' | ideelle Seitenhöhe H' = H + [q / (0,9 ⋅ L ⋅BWL)] [m]; |
| q | Summe der Volumina von Deckshäusern, Luken, Trunks und anderen Aufbauten bis zu einer Höhe von maximal 1,0 m über H, oder bis zur untersten Öffnung des betrachteten Volumens. Maßgeblich ist der kleinere Wert. Volumenanteile, die innerhalb eines Bereiches von 0,05 L von den Schiffsenden angeordnet sind, bleiben unberücksichtigt [m3]. |
3. Näherungsformel für I
Ist kein Kurvenblatt vorhanden, kann für die Berechnung nach Nummer 2 der Wert für das Breitenträgheitsmoment I der Wasserlinie aus folgenden Näherungsformeln verwendet werden:
§ 22.04 Verfahren für die Stabilitätsbeurteilung an Bord
Das Verfahren der Stabilitätsbeurteilung kann den Unterlagen nach § 22.01 Nr. 2 entnommen werden.
Kapitel 22a
Sonderbestimmungen für Fahrzeuge, deren Länge 110 m überschreitet
§ 22a.01 Anwendung des Teils I
Für Fahrzeuge mit L von mehr als 110 m, ausgenommen Seeschiffe, ist zusätzlich zu § 2.03 Nr. 3 die Untersuchungskommission, die später das Attest ausstellen soll, vor Baubeginn (Neubau oder Verlängerung eines in Betrieb befindlichen Fahrzeuges) durch den Eigner oder seinen Bevollmächtigten zu benachrichtigen. Diese Untersuchungskommission führt während der Bauphase Besichtigungen durch. Die Besichtigungen können entfallen, wenn vor Baubeginn eine Bescheinigung vorgelegt wird, in der eine anerkannte Klassifikationsgesellschaft versichert, dass sie die Bauaufsicht durchführt.
§ 22a.02 Anwendung des Teils II
Für Fahrzeuge mit L von mehr als 110 m gelten zusätzlich zu den Anforderungen des Teils II die §§ 22a.03 bis 22a.05.
§ 22a.03 Festigkeit
Die genügende Festigkeit des Schiffskörpers im Sinne von § 3.02 Nr. 1 Buchstabe a (Längs- und Querfestigkeit sowie örtliche Festigkeit) muss durch eine Bescheinigung einer anerkannten Klassifikationsgesellschaft nachgewiesen sein.
§ 22a.04 Schwimmfähigkeit und Stabilität 12a
1. Für Fahrzeuge mit einer Länge von mehr als 110 m, ausgenommen Fahrgastschiffe, gelten die Nummern 2 bis 10.
2. Die Grundwerte für die Stabilitätsberechnung - Schiffsleergewicht und Lage des Gewichtsschwerpunktes - müssen durch einen Krängungsversuch nach der IMO-Entschließung MSC 267(85) Anhang 1 (VkBl. 2009 S. 724) ermittelt werden.
3. Der Antragsteller muss durch eine Berechnung, die auf einem Verfahren des wegfallenden Auftriebs beruht, nachweisen, dass im Leckfall die Schwimmfähigkeit und die Stabilität des Schiffes angemessen sind. Alle Berechnungen müssen mit freiem Trimm und freier Tauchung durchgeführt werden. Die ausreichende Schwimmfähigkeit und Stabilität des Schiffes im Leckfall müssen bei einer Ladung, die dessen maximaler Tauchung entspricht und gleichmäßig über sämtliche Laderäume verteilt ist, sowie bei maximalen Vorräten und vollem Tank nachgewiesen werden. Für inhomogene Ladung ist die Stabilitätsberechnung für den ungünstigsten Beladungsfall durchzuführen. Diese Stabilitätsberechnung ist an Bord mitzuführen. Hierbei muss für die Zwischenzustände der Flutung (25 %, 50 % und 75 % der Füllung im Endzustand der Flutung und gegebenenfalls für den Zustand unmittelbar vor der Querflutung) und für den Endzustand der Flutung unter den vorstehenden Ladebedingungen der rechnerische Nachweis der genügenden Stabilität erbracht werden.
4. Für den Leckfall sind folgende Annahmen zu berücksichtigen:
| Längsausdehnung: | mindestens 0,10 L, |
| Querausdehnung: | 0,59 m, |
| Senkrechte Ausdehnung: | von der Basis aufwärts unbegrenzt. |
| Längsausdehnung: | mindestens 0,10 L, |
| Querausdehnung: | 3,00 m, |
| Senkrechte Ausdehnung: | von der Basis aufwärts bis 0,39 m, Sumpf ausgenommen. |
5. In allen Zwischenzuständen der Flutung nach Nummer 3 müssen die folgenden Kriterien eingehalten werden:
6. Im Endzustand der Flutung müssen die folgenden Kriterien eingehalten werden:
7. Werden Querflutöffnungen zur Verringerung von asymmetrischen Flutungen vorgesehen, müssen folgende Bedingungen eingehalten werden:
8. Wenn Öffnungen, über die unbeschädigte Abteilungen zusätzlich fluten können, wasserdicht verschlossen werden können, müssen diese Verschlusseinrichtungen auf beiden Seiten gut lesbar mit der folgenden Beschriftung versehen sein:
"Öffnung sofort nach Durchgang schließen".
9. Der rechnerische Nachweis nach den Nummern 3 bis 7 gilt als erbracht, wenn Leckstabilitätsrechnungen nach Teil 9 des ADN mit positivem Ergebnis vorgelegt werden.
10. Soweit zur Erfüllung der Forderung nach Nummer 3 notwendig, ist die Ebene der größten Einsenkung neu festzulegen.
§ 22a.05 Zusätzliche Anforderungen 12a 16b
1. Fahrzeuge mit L von mehr als 110 m müssen:
2. Fahrzeuge, ausgenommen Fahrgastschiffe, mit L von mehr als 110 m, die oberhalb von Mannheim fahren wollen, müssen darüber hinaus
3. Fahrgastschiffe mit L von mehr als 110 m, die oberhalb von Mannheim fahren wollen, müssen zusätzlich zu Nummer 1:
§ 22a.06 Anwendung des Teils IV bei Umbauten
Bei Fahrzeugen, die auf eine Länge von mehr als 110 m umgebaut werden, darf die Untersuchungskommission Kapitel 24 nur aufgrund von besonderen Empfehlungen der Zentralkommission für die Rheinschifffahrt anwenden.
Kapitel 22b
Sonderbestimmungen für schnelle Schiffe
§ 22b.01 Allgemeines
1. Schnelle Schiffe dürfen nicht als Kabinenschiffe gebaut sein.
2. Folgende Einrichtungen sind auf schnellen Schiffen verboten:
§ 22b.02 Anwendung des Teils I
1. Zusätzlich zu § 2.03 müssen schnelle Schiffe unter Aufsicht einer anerkannten Klassifikationsgesellschaft, die über besondere Regeln für schnelle Schiffe verfügt, nach deren anwendbaren Vorschriften gebaut und klassifiziert sein. Die Klasse ist aufrecht zu erhalten.
2. Abweichend von § 2.06 beträgt die Gültigkeitsdauer der nach den Bestimmungen dieses Kapitels ausgestellten Schiffsatteste maximal fünf Jahre.
§ 22b.03 Anwendung des Teils II
1. Unbeschadet der Nummer 2 und § 22b.02 Nr. 2 gelten für schnelle Schiffe die Kapitel 3 bis 15 mit Ausnahme folgender Bestimmungen:
2. Abweichend von § 15.02 Nr. 9 und § 15.15 Nr. 7 müssen alle Schotttüren fernbedient werden können.
3. Abweichend von § 6.02 Nr. 1 muss bei Ausfall oder Störung der Antriebsanlage der Rudermaschine ohne Zeitverzug eine zweite unabhängige Antriebsanlage der Rudermaschine oder ein Handantrieb in Betrieb gehen.
4. Zusätzlich zu den Anforderungen des Teils II gelten für schnelle Schiffe die §§ 22b.04 bis 22b.12.
§ 22b.04 Sitze und Sicherheitsgurte
Für die höchstzulässige Anzahl von Personen an Bord müssen Sitze vorhanden sein. Sitze sind mit Sicherheitsgurten zu versehen. Auf Sicherheitsgurte kann verzichtet werden, wenn ein geeigneter Aufprallschutz vorhanden ist oder in den Fällen, wo diese im HSC Code 2000 Kapitel 4 Abschnitt 6 nicht gefordert werden.
§ 22b.05 Freibord
Abweichend von §§ 4.02 und 4.03 muss der Freibord mindestens 500 mm betragen.
§ 22b.06 Auftrieb, Stabilität und Unterteilung
Für schnelle Schiffe müssen
in ausreichendem Maße nachgewiesen sein.
§ 22b.07 Steuerhaus
1. Einrichtung
2. Freie Sicht
3. Instrumente
Die Instrumententafeln für die Bedienung und für die Überwachung der in § 22b.11 genannten Anlagen müssen getrennt an deutlich markierter Stelle innerhalb des Steuerhauses angeordnet sein. Dies gilt gegebenenfalls auch für Einrichtungen für das Zuwasserlassen von Sammelrettungsmitteln.
4. Beleuchtung In Bereichen oder an Ausrüstungsgegenständen, die während des Betriebs beleuchtet sein müssen, ist rotes Licht zu verwenden.
5. Fenster Spiegelungen sind zu verhindern. Einrichtungen zur Vermeidung von Blendung durch Sonnenlicht müssen vorhanden sein.
6. Oberflächenwerkstoffe Spiegelungen durch Oberflächenwerkstoffe sind im Steuerhaus zu verhindern.
§ 22b.08 Zusätzliche Ausrüstung
Schnelle Fahrzeuge müssen ausgerüstet sein mit:
§ 22b.09 Geschlossene Bereiche
1. Allgemeines
Öffentlich zugängliche Räume und Wohnungen und die dazugehörige Ausstattung müssen so gestaltet sein, dass Personen bei ordnungsgemäßer Benutzung sich weder bei normalem Start beziehungsweise Stopp oder Notstart beziehungsweise Notstop, noch beim Manövrieren unter normalen Fahrtbedingungen beziehungsweise bei Ausfall oder Fehlbedienung verletzen können.
2. Kommunikation
§ 22b.10 Ausgänge und Fluchtwege
Flucht- und Rettungswege müssen folgende Anforderungen erfüllen:
§ 22b.11 Brandschutz und Brandbekämpfung 12a
1. Gänge, öffentlich zugängliche Räume und Wohnungen sowie Küchen und Maschinenräume müssen an ein zweckmäßiges Feuermeldesystem angeschlossen sein. Das Vorhandensein eines Brandes sowie der Brandbereich müssen selbsttätig an einer ständig vom Schiffspersonal besetzten Stelle angezeigt werden.
2. Maschinenräume sind mit einer fest installierten Feuerlöschanlage nach § 10.03b zu versehen.
3. Öffentlich zugängliche Räume und Wohnungen und ihre Fluchtwege müssen mit einer selbsttätigen Druckwassersprühanlage nach § 10.03a ausgestattet sein. Löschwasser muss schnell und unmittelbar nach außen abgeleitet werden können.
§ 22b.12 Übergangsbestimmungen
Schnelle Schiffe im Sinne des § 1.01 Nr. 20a, die am 31. März 2003 über ein gültiges Schiffsattest verfügen, müssen folgenden Vorschriften dieses Kapitels entsprechen:
Teil III
Besatzungsvorschriften
Kapitel 23 11
Ausrüstung der Schiffe im Hinblick auf die Besatzung
§ 2 3. 0 1 bis 23. 08 (aufgehoben) 11
§ 23.09 Ausrüstung der Schiffe
Es gelten die Bestimmungen nach Anhang XI § 2.01.
§ 23. 10 bis 23 . 15 (aufgehoben) 11
Kapitel 24
Übergangs- und Schlussbestimmungen
§ 24.01 Anwendung der Übergangsbestimmungen auf Fahrzeuge, die schon in Betrieb sind
1. Die Bestimmungen der §§ 24.02 bis 24.04 gelten nur für Fahrzeuge, die beim Inkrafttreten dieser Verordnung im Besitz eines gültigen Schiffsattestes nach der am 31. Dezember 1994 geltenden Rheinschiffs-Untersuchungsordnung sind oder sich am 31. Dezember 1994 im Bau oder Umbau befunden haben.
2. Für Fahrzeuge, die nicht unter Nummer 1 fallen, gilt § 24.06.
§ 24.02 Abweichungen für Fahrzeuge, die schon in Betrieb sind 12a 14 14 17
1. Unbeschadet der §§ 24.03 und 24.04 müssen Fahrzeuge, die den Vorschriften dieser Verordnung nicht vollständig entsprechen,
2. In der nachstehenden Tabelle bedeuten:
| - "N. E. U.": | Die Vorschrift gilt nicht für Fahrzeuge, die schon in Betrieb sind, es sei denn, die betroffenen Teile werden ersetzt oder umgebaut, d.h., die Vorschrift gilt nur für Neubauten sowie bei Ersatz oder bei Umbau der betroffenen Teile oder Bereiche. Werden bestehende Teile durch Austauschteile in gleicher Technik und Machart ersetzt, bedeutet dies keinen Ersatz "E" im Sinne dieser Übergangsbestimmungen. |
| - "Erneuerung des Schiffsattestes": | Die Vorschrift muss bei der nächsten auf das angegebene Datum folgenden Erneuerung der Gültigkeitsdauer des Schiffsattestes erfüllt sein. |
| §§ | und Nr. | Inhalt | Frist bzw. Bemerkungen |
| Kapitel 3 | |||
| 3.03 | Nr. 1 Buchstabe a | Lage des Kollisionsschotts | N. E. U., spätestens bei Erneuerung des Schiffsattestes nach dem 1.1.2035 |
| Nr. 2 | Wohnungen | N. E. U., spätestens bei Erneuerung des Schiffsattestes nach dem 1.1.2010 | |
| Sicherheitseinrichtungen | N. E. U., spätestens bei Erneuerung des Schiffsattestes nach dem 1.1.2015 | ||
| Nr. 4 | Gasdichte Trennung der Wohnungen von - Maschinen-, Kessel- und Laderäumen | N. E. U., spätestens bei Erneuerung des Schiffsattestes nach dem 1.1.2010 | |
| Nr. 5 2. Absatz | Fernüberwachung von Heckschotttüren | N. E. U., spätestens bei Erneuerung des Schiffsattestes nach dem 1.1.2010 | |
| Nr. 7 | Vorschiffe mit Ankernischen | N. E. U., spätestens bei Erneuerung des Schiffsattestes nach dem 1.1.2041 | |
| 3.04 | Nr. 3 Satz 2 | Isolierung in Maschinenräumen | N. E. U., spätestens bei Erneuerung des Schiffsattestes |
| Nr. 3 Satz 3 und Satz 4 | Öffnungen und Verschlussorgane | N. E. U., spätestens bei Erneuerung des Schiffsattestes | |
| Nr. 6 | Maschinenraum-Ausgänge | Maschinenräume, die vor 1995 gemäß § 1.01 nicht den Maschinenräumen zuzuordnen waren, brauchen erst mit einem 2. Ausgang nachgerüstet zu werden bei N. E. U., spätestens bei Erneuerung des Schiffsattestes nach dem 1.1.2035 | |
| Kapitel 5 | |||
| 5.06 | Nr. 1 Satz 1 | Mindestgeschwindigkeit | Für Fahrzeuge mit Baujahr vor 1996 spätestens bei Erneuerung des Schiffsattestes nach dem 1.1.2035 |
| Kapitel 6 | |||
| 6.01 | Nr. 1 | Manövriereigenschaften nach Kapitel 5 | N. E. U., spätestens bei Erneuerung des Schiffsattestes nach dem 1.1.2035 |
| Nr. 3 | Neigung und Umgebungstemperaturen | N. E. U., spätestens bei Erneuerung des Schiffsattestes nach dem 1.1.2010 | |
| Nr. 7 | Wellendurchführungen von Ruderschäften | Für Fahrzeuge mit Baujahr vor 1996 bei N. E. U., spätestens bei Erneuerung des Schiffsattestes nach dem 1.1.2015 | |
| 6.02 | Nr. 1 | Vorhandensein separater Hydrauliktanks | N. E. U., spätestens bei Erneuerung des Schiffsattestes nach dem 1.1.2010 |
| Dopplung von Steuerventilen bei hydraulischen Antriebsanlagen | N. E. U., spätestens bei Erneuerung des Schiffsattestes nach dem 1.1.2020 | ||
| Getrennte Führung der Rohrleitung für die zweite Antriebsanlage bei hydraulischen Antriebsanlagen | N. E. U., spätestens bei Erneuerung des Schiffsattestes nach dem 1.1.2020 | ||
| Nr. 2 | Inbetriebsetzen der 2. Antriebsanlage mit nur einer Bedienungshandlung | N. E. U., spätestens bei Erneuerung des Schiffsattestes nach dem 1.1.2010 | |
| Nr. 3 | Erreichen der Manövriereigenschaften nach Kapitel 5 bei Betrieb der zweiten Antriebsanlage/des Handbetriebs | N. E. U., spätestens bei Erneuerung des Schiffsattestes nach dem 1.1.2035 | |
| 6.03 | Nr. 1 | Anschluss anderer Verbraucher an hydraulische Antriebsanlagen | N. E. U., spätestens bei Erneuerung des Schiffsattestes nach dem 1.1.2010 |
| 6.05 | Nr. 1 | Automatische Entkupplung des Handsteuerrads | N. E. U., spätestens bei Erneuerung des Schiffsattestes nach dem 1.1.2010 |
| 6.06 | Nr. 1 | Zwei voneinander unabhängige Steuersysteme | N. E. U., spätestens bei Erneuerung des Schiffsattestes nach dem 1.1.2015 |
| 6.07 | Nr. 2 Buchstabe a | Niveaualarm der Hydrauliktanks und Alarm des Betriebsdruckes | N. E. U., spätestens bei Erneuerung des Schiffsattestes nach dem 1.1.2010 |
| Buchstabe e | Überwachung der Puffersysteme | N. E. U., spätestens bei Erneuerung des Schiffsattestes | |
| 6.08 | Nr. 1 | Anforderungen an elektronische Anlagen nach § 9.20 | N. E. U., spätestens bei Erneuerung des Schiffsattestes nach dem 1.1.2015 |
| §§ | und Nr. | Inhalt | Frist bzw. Bemerkungen |
| Kapitel 7 | |||
| 7.02 | Nr. 3 Satz 2 | Freie Sicht in der Sichtachse des Rudergängers | N. E. U., spätestens bei Erneuerung des Schiffsattestes nach dem 1.1.2015 |
| Nr. 5 | Mindestlichtdurchlässigkeit | N. E. U., spätestens bei Erneuerung des Schiffsattestes nach dem 1.1.2010
N. E. U. für Fahrzeuge mit getönten Fensterscheiben, die folgenden Bedingungen genügen:
N.E.U. für Fahrzeuge mit getönten Fensterscheiben, die folgenden Bedingungen genügen:
|
|
| Nr. 6 | Aus Sicherheitsglas | N. E. U. | |
| 7.03 | Nr. 7 | Löschen der Alarme | N. E. U., spätestens bei Erneuerung des Schiffsattestes, soweit nicht Radareinmannsteuerstand vorhanden |
| Nr. 8 | Automatisches Umschalten auf eine andere Stromquelle | N. E. U., spätestens bei Erneuerung des Schiffsattestes nach dem 1.1.2010 | |
| 7.04 | Nr. 1 | Bedienung Antriebsmaschinen und Steuereinrichtungen | N. E. U., spätestens bei Erneuerung des Schiffsattestes |
| Nr. 2 | Maschinensteuerung | soweit nicht ein Radareinmannsteuerstand vorhanden: N. E. U., spätestens bei Erneuerung des Schiffsattestes nach dem 1.1.2035 bei direkt umsteuerbaren Maschinen, 1.1.2010 bei übrigen Maschinen | |
| Nr. 3 | Anzeige | soweit nicht ein Radareinmannsteuerstand vorhanden: N. E. U., spätestens bei Erneuerung des Schiffsattestes nach dem 1.1.2010 | |
| Nr. 9 Satz 3 | Bedienung mittels eines Hebels | N. E. U., spätestens bei Erneuerung des Schiffsattestes nach dem 1.1.2010 | |
| Satz 4 | Unzulässigkeit der Anzeige Richtung des Schubstrahls | N. E. U., spätestens bei Erneuerung des Schiffsattestes nach dem 1.1.2010 | |
| 7.05 | Nr. 1 | Signallichter, deren Gehäuse, Zubehör und Lichtquellen | Signalleuchten, deren Gehäuse, Zubehör und Lichtquellen, die den Anforderungen der am 30. November 2009 geltenden Vorschriften über die Farbe und Lichtstärke der Bordlichter sowie die Zulassung von Signalleuchten in der Rheinschifffahrt entsprechen, dürfen weiterhin verwendet werden. |
| 7.06 | Nr. 1 | Navigationsradaranlagen, die vor dem 1. Januar 1990 zugelassen wurden | Navigationsradaranlagen, die vor dem 1. Januar 1990 zugelassen und vor dem 1. Januar 2000 eingebaut wurden, dürfen bis zur Erneuerung des Schiffsattestes nach dem 31. Dezember 2009, längstens jedoch bis zum Ablauf des 31. Dezember 2011 eingebaut sein und betrieben werden, wenn eine gültige Einbaubescheinigung (1989-II-35, VkBl. 1989 S. 830 Nr. 127 Anlage 3) vorhanden ist. |
| Wendeanzeiger, die vor dem 1. Januar 1990 zugelassen wurden | Wendeanzeiger, die vor dem 1. Januar 1990 zugelassen und vor dem 1. Januar 2000 eingebaut wurden, dürfen bis zur Erneuerung des Schiffsattestes nach dem 1. Januar 2015 eingebaut sein und betrieben werden, wenn eine gültige Einbaubescheinigung (1989-II-35, VkBl. 1989 S. 830 Nr. 127 Anlage 3) vorhanden ist. | ||
| Navigationsradaranlagen und Wendeanzeiger, die ab dem 1. Januar 1990 zugelassen wurden | Navigationsradaranlagen und Wendeanzeiger, die ab dem 1. Januar 1990 auf Grund der Vorschriften betreffend die Mindestanforderungen und Prüfbedingungen für Navigationsradaranlagen in der Rheinschifffahrt sowie der Vorschriften betreffend die Mindestanforderungen und Prüfbedingungen für Wendeanzeiger in der Rheinschifffahrt zugelassen wurden, dürfen weiterhin eingebaut und, wenn eine gültige Einbaubescheinigung auf Grund der Vorschriften für den Einbau und die Funktionsprüfung von Navigationsradaranlagen und Wendeanzeigern in der Rheinschifffahrt (1989-II-35, VkBl. 1989 S. 830 Nr. 127 Anlage 3) oder der Anlage M Teil III dieser Verordnung vorhanden ist, betrieben werden." | ||
| 7.06 | Nr. 3 | Inland AIS Geräte | Inland AIS Geräte, deren Typgenehmigung auf Basis der Edition 1.0 und 1.01 des Test Standards erfolgte, dürfen bis zum 30.11.2015 eingebaut und über dieses Datum hinaus weiterhin betrieben werden. |
| 7.09 | Alarmanlage | N. E. U., spätestens bei Erneuerung des Schiffsattestes nach dem 1.1.2010 | |
| 7.12 | Absatz 1 | Höhenverstellbare Steuerhäuser | N. E. U., spätestens bei Erneuerung des Schiffsattestes Bei nicht hydraulischer Absenkung: spätestens bei Erneuerung des Schiffsattestes nach dem 1.1.2035 |
| Absatz 2 und 3 | N. E. U., spätestens bei Erneuerung des Schiffsattestes | ||
| Kapitel 8 | |||
| 8.01 | Nr. 3 | Nur Verbrennungsmotoren, deren Brennstoffflammpunkt über 55° C liegt | N. E. U., spätestens bei Erneuerung des Schiffsattestes nach dem 1.1.2015 |
| 8.02 | Nr. 1 | Sicherung der Maschinenanlagen gegen unbeabsichtigte Inbetriebnahme | N. E. U., spätestens bei Erneuerung des Schiffsattestes nach dem 1.1.2010 |
| Nr. 4 | Abschirmung von Leitungsverbindungen | N. E. U., spätestens bei Erneuerung des Schiffsattestes nach dem 1.1.2025 | |
| Nr. 5 | Mantelrohrsysteme | N. E. U., spätestens bei Erneuerung des Schiffsattestes nach dem 1.1.2025 | |
| Nr. 6 | Isolierung von Maschinenteilen | N.E.U., spätestens bei Erneuerung des Schiffsattestes | |
| 8.03 | Nr. 2 | Überwachungseinrichtungen | N. E. U., spätestens bei Erneuerung des Schiffsattestes nach dem 1.1.2010 |
| Nr. 3 | - gestrichen - | ||
| Nr. 4 | Anzeige und Außerbetriebsetzung der automatischen Drehzahlreduzierung | N. E. U., spätestens bei Erneuerung des Schiffsattestes nach dem 1.1.2010 | |
| Nr. 5 | Wellendurchführungen von Antriebsanlagen | N.E.U., spätestens bei Erneuerung des Schiffsattestes nach dem 1.1.2015 | |
| 8.05 | Nr. 1 | Brennstofftanks aus Stahl | N. E. U., spätestens bei Erneuerung des Schiffsattestes nach dem 1.1.2015 |
| Nr. 2 | Selbstschließende Entwässerungsventile | N. E. U., spätestens bei Erneuerung des Schiffsattestes | |
| Nr. 3 | Keine Brennstofftanks vor dem Kollisionsschott | N. E. U., spätestens bei Erneuerung des Schiffsattestes nach dem 1.1.2010 | |
| Nr. 4 | Keine Brennstofftanks und deren Armaturen über Maschinenanlagen oder Abgasleitungen | N. E. U., spätestens bei Erneuerung des Schiffsattestes nach dem 1.1.2010. Bis zu diesem Zeitpunkt muss durch Auffangbehälter oder Tropfbleche sichergestellt sein, dass auslaufender Brennstoff gefahrlos abgeleitet werden kann. | |
| Nr. 6 Satz 3 bis 5 | Einrichtung und Bemessung der Lüftungsrohre und Verbindungsleitungen | N. E. U., spätestens bei Erneuerung des Schiffsattestes nach dem 1.1.2010 | |
| Nr. 7 Satz 1 | Betätigung des Schnellschlussventil am Tank von Deck aus, auch wenn die betroffenen Räume geschlossen sind | N. E. U., spätestens bei Erneuerung des Schiffsattestes nach dem 1.1.2015 | |
| Nr. 9 Satz 2 | Ablesbarkeit der Peileinrichtungen bis zum höchsten Füllstand | N. E. U., spätestens bei Erneuerung des Schiffsattestes nach dem 1.1.2010 | |
| Nr. 13 | Füllstandsüberwachung nicht nur für die Antriebsmaschinen sondern auch für die anderen, zum Fahrbetrieb notwendigen Motoren | N. E. U., spätestens bei Erneuerung des Schiffsattestes nach dem 1.1.2015 | |
| 8.06 | Schmieröltanks, -leitungen und Zubehör | N. E. U., spätestens bei Erneuerung des Schiffsattestes nach dem 1.1.2045 | |
| 8.07 | Tanks für Öle, die in Kraftübertragungssystemen, Schalt-, Antriebs- und Heizsystemen verwendet werden, Leitungen und Zubehör | N. E. U., spätestens bei Erneuerung des Schiffsattestes nach dem 1.1.2045 | |
| 8.08 | Nr. 8 | Unzulässigkeit einfacher Absperrorgane als Anschluss von Ballastzellen an das Lenzsystem für Laderäume, die zur Ballastaufnahme eingerichtet sind | N. E. U., spätestens bei Erneuerung des Schiffsattestes nach dem 1.1.2010 |
| Nr. 9 | Peileinrichtung in Laderaumbilgen | N.E.U., spätestens bei Erneuerung des Schiffsattestes nach dem 1.1.2010 | |
| 8.09 | Nr. 2 | Einrichtungen zum Sammeln von ölhaltigem Wasser und gebrauchtem Öl | N. E. U., spätestens bei Erneuerung des Schiffsattestes nach dem 1.1.2010 |
| 8.10 | Nr. 3 | Geräuschgrenze von 65 dB(A) für stillliegende Schiffe | N. E. U., spätestens bei Erneuerung des Schiffsattestes nach dem 1.1.2015 |
| Kapitel 8a | |||
Die Vorschriften gelten nicht
*) Ein Austauschmotor ist ein gebrauchter, instand gesetzter Motor, der dem Motor, den er ersetzt, hinsichtlich Leistung, Drehzahl und Einbaubedingungen ähnlich ist. |
|||
| 8a.02 | Nr. 2 | Grenzwerte | Für Motoren, die vor dem 1.7.2007 an Bord installiert waren, gelten die Grenzwerte der folgenden Tabelle: |
| PN [kW] |
CO [g/kWh] |
HC [g/kWh] |
NOx [g/kWh] |
PT [g/kWh] |
| 37< PN < 75 | 6,5 | 1,3 | 9,2 | 0,85 |
| 75< PN < 130 | 5,0 | 1,3 | 9,2 | 0,70 |
| PN> 130 | 5,0 | 1,3 | n> 2.800 min-1 = 9,2
500< n < 2.800 min-1 = 45 ⋅n(-0,2) |
0,54 |
![]() |
weiter . | ![]() |
(Stand: 16.10.2018)
Alle vollständigen Texte in der aktuellen Fassung im Jahresabonnement
Nutzungsgebühr: ab 105.- € netto
(derzeit ca. 7200 Titel s.Übersicht - keine Unterteilung in Fachbereiche)
Die Zugangskennung wird kurzfristig übermittelt
? Fragen ?
Abonnentenzugang/Volltextversion