Für einen individuellen Ausdruck passen Sie bitte dieEinstellungen in der Druckvorschau Ihres Browsers an. Regelwerk |
zurück zu Anhang I | ![]() |
| Technische Mindestvorschriften für Schiffe auf dem Rhein und auf Binnenwasserstraßen der Zonen 1, 2, 3 und 4 für Fahrzeuge, die ein Schiffsattest beantragen - Rheinschiffsuntersuchungsordnung - |
Anhang II 11 12a 14 16 16b 17 |
Kapitel 1
Allgemeines
§ 1.01 Begriffsbestimmungen 12a 16b 17
In dieser Verordnung gelten als:
Fahrzeugarten
Fahrzeugzusammenstellungen
Besondere Bereiche der Fahrzeuge
Schiffstechnische Begriffe
Steuereinrichtungen
Eigenschaften von Bauteilen und Werkstoffen
Sonstige Begriffe
Informations- und Navigationsgeräte
1. Dieser Anhang gilt
2Darüber hinaus gilt dieser Anhang für alle
3. Dieser Anhang gilt nicht für Fähren im Sinne der Rheinschifffahrtspolizeiverordnung.
§ 1.03 Schiffsattest
Fahrzeuge nach § 1.02 Nr. 1 und 2 müssen ein Schiffsattest besitzen, das von einer Untersuchungskommission eines Rheinuferstaates oder Belgiens erteilt worden ist oder ein von der Zentralkommission für die Rheinschifffahrt als gleichwertig anerkanntes Zeugnis.
§ 1.04 Kanalpenichen im Verkehr zwischen basel und den Schleusen Iffezheim
Bei Kanalpenichen, die den Rhein nur zwischen basel (Mittlere Rheinbrücke) und den Schleusen Iffezheim (einschließlich des unteren Vorhafens) befahren, genügt anstelle des Schiffsattestes ein von einer Untersuchungskommission eines Rheinuferstaates oder Belgiens erteiltes Zeugnis, das die Tauglichkeit für die Fahrt auf dieser Strecke bestätigt. In diesem Fall müssen Kanalpenichen Kapitel 19 entsprechen.
§ 1.05 Seeschiffe
Bei Seeschiffen wird das Schiffsattest nach Anlage B, wenn sie ein solches nicht besitzen, durch ein Schiffsattest nach Anlage G ersetzt, das die Tauglichkeit zur Fahrt auf dem Rhein bestätigt. In diesem Fall müssen sie dem Kapitel 20 entsprechen.
§ 1.06 Anordnungen vorübergehender Art
Die Zentralkommission für die Rheinschifffahrt kann Anordnungen vorübergehender Art beschließen, wenn es zur Anpassung an die technische Entwicklung der Binnenschifffahrt notwendig erscheint, in dringenden Fällen Abweichungen von dieser Verordnung zuzulassen oder Versuche, durch die die Sicherheit und Leichtigkeit des Schiffsverkehrs nicht beeinträchtigt werden, zu ermöglichen. Die Anordnungen sind von der zuständigen Behörde zu veröffentlichen und gelten höchstens drei Jahre. Sie werden in allen Rheinuferstaaten und Belgien gleichzeitig in Kraft gesetzt und unter der gleichen Voraussetzung aufgehoben.
§ 1.07 Dienstanweisungen für die Untersuchungskommissionen und die zuständigen Behörden 12a
1. Zur Erleichterung und Vereinheitlichung der Anwendung dieser Verordnung kann die Zentralkommission für die Rheinschifffahrt Dienstanweisungen für die Untersuchungskommissionen und die nach diesem Anhang zuständigen Behörden beschließen. Diese Dienstanweisungen werden den Untersuchungskommissionen und den sonst zuständigen Behörden zur Kenntnis gebracht.
2. Die Untersuchungskommissionen und die zuständigen Behörden sind an diese Dienstanweisungen gebunden, soweit diese in diese Verordnung aufgenommen werden.
Kapitel 2
Verfahren
§ 2.01 Untersuchungskommission 11 12a
1. Untersuchungskommissionen werden von den Rheinuferstaaten und Belgien an geeigneten Hafenplätzen eingesetzt.
2. Die Untersuchungskommissionen bestehen aus einem Vorsitzenden und aus Sachverständigen. Als Sachverständige sind in jede Kommission mindestens zu berufen
3. Der Vorsitzende und die Sachverständigen einer jeden Untersuchungskommission werden von den Behörden des Staates, bei dem sie errichtet ist, berufen.
Der Vorsitzende und die Sachverständigen haben bei Übernahme ihrer Aufgabe schriftlich zu erklären, dass sie diese in vollkommener Unabhängigkeit ausführen werden. Von Beamten wird eine Erklärung nicht verlangt.
4. Die Untersuchungskommissionen können zu ihrer Unterstützung nach Maßgabe der jeweiligen nationalen Rechtsvorschriften besondere Sachverständige heranziehen.
§ 2.02 Antrag auf Untersuchung
1. Der Eigner eines Fahrzeuges oder sein Bevollmächtigter, der eine Untersuchung erwirken will, hat bei einer Untersuchungskommission seiner Wahl einen Antrag nach Anlage A zu stellen. Die Untersuchungskommission bestimmt die Unterlagen, die ihr vorzulegen sind.
2. Der Eigner eines Fahrzeuges, das dieser Verordnung nicht unterliegt, oder sein Bevollmächtigter kann ein Schiffsattest beantragen. Dem Antrag ist stattzugeben, wenn das Schiff den Bestimmungen dieser Verordnung entspricht.
§ 2.03 Vorführung des Fahrzeuges zur Untersuchung
1. Der Eigner oder sein Bevollmächtigter hat das Fahrzeug ausgerüstet, unbeladen und gereinigt zur Untersuchung vorzuführen. Er hat bei der Untersuchung die erforderliche Hilfe zu leisten, wie ein geeignetes Boot und Personal zur Verfügung zu stellen und die Teile des Schiffskörpers oder der Einrichtungen freizulegen, die nicht unmittelbar zugänglich oder sichtbar sind.
2. Die Untersuchungskommission muss bei der Erstuntersuchung das Schiff auf Helling besichtigen. Die Besichtigung auf Helling kann entfallen, wenn ein Klassenzeugnis oder eine Bescheinigung einer anerkannten Klassifikationsgesellschaft, wonach der Bau deren Vorschriften entspricht, vorgelegt wird. Bei Nach- oder Sonderuntersuchungen kann die Untersuchungskommission eine Besichtigung auf Helling verlangen.
Die Untersuchungskommission muss Probefahrten bei der Erstuntersuchung von Motorschiffen und Verbänden sowie bei wesentlichen Änderungen an der Antriebsanlage oder an der Steuereinrichtung durchführen.
3. Die Untersuchungskommission kann zusätzliche Besichtigungen und Probefahrten durchführen sowie weitere Nachweise verlangen. Dies gilt auch während der Bauphase.
§ 2.04 Erteilung des Schiffsattestes 11
1. Stellt die Untersuchungskommission bei der Untersuchung des Fahrzeugs fest, dass die Bestimmungen dieses Anhangs über Bau, Einrichtung und Ausrüstung eingehalten sind, erteilt sie dem Antragsteller ein Schiffsattest nach Anlage B. Ferner hat die Untersuchungskommission die ihr nach den §§ 3.18 und 3.19 der Schiffspersonalverordnung-Rhein zugewiesenen Aufgaben wahrzunehmen.
2. Lehnt die Untersuchungskommission die Erteilung des Schiffsattestes ab, hat sie dies dem Antragsteller unter Angabe der Gründe schriftlich mitzuteilen.
3. Das Kennzeichen der Untersuchungskommission mit der Ordnungsnummer des Schiffsattestes ist in lateinischen Buchstaben und arabischen Ziffern von mindestens 2 cm Höhe an gut sichtbarer Stelle, die im Schiffsattest vermerkt wird, auf einem Teil des Schiffes, der fest, vor Stößen geschützt und dem Verschleiß wenig ausgesetzt ist, unaustilgbar anzubringen.
§ 2.05 Vorläufiges Schiffsattest
1. Die Untersuchungskommission kann ein vorläufiges Schiffsattest erteilen für
2. Das vorläufige Schiffsattest wird entsprechend Anlage D erteilt, wenn die Fahrtauglichkeit des Fahrzeuges, der schwimmenden Anlage oder des Schwimmkörpers hinreichend gewährleistet erscheint.
Es enthält die von der Untersuchungskommission für erforderlich gehaltenen Auflagen und ist gültig
§ 2.06 Gültigkeitsdauer des Schiffsattestes
1. Die Gültigkeitsdauer der nach den Bestimmungen dieser Verordnung ausgestellten Schiffsatteste beträgt bei Neubauten
In begründeten Fällen kann die Untersuchungskommission eine kürzere Gültigkeitsdauer festlegen. Die Gültigkeitsdauer wird im Schiffsattest vermerkt.
2. Für Fahrzeuge, die vor der Untersuchung schon in Betrieb gewesen sind, wird die Gültigkeitsdauer des Schiffsattestes von der Untersuchungskommission in jedem einzelnen Fall nach dem Ergebnis der Untersuchung festgelegt. Sie darf jedoch die in Nummer 1 vorgeschriebenen Fristen nicht überschreiten.
§ 2.07 Vermerke und Änderungen im Schiffsattest 12a
1. Jede Namensänderung, jeden Eigentumswechsel, jede neue Eichung des Fahrzeugs sowie jede Änderung der Registrierung oder des Heimatorts hat der Eigner oder sein Bevollmächtigter einer Untersuchungskommission mitzuteilen. Er hat dabei das Schiffsattest zur Eintragung der Änderung vorzulegen.
2. Alle Vermerke im Schiffsattest oder Änderungen desselben, die in dieser Verordnung, in der Rheinschifffahrtspolizeiverordnung und in anderen von allen Rheinuferstaaten und Belgien gleichlautend erlassenen Bestimmungen vorgesehen sind, können von jeder Untersuchungskommission vorgenommen werden.
3. Nimmt eine Untersuchungskommission eine Änderung des Schiffsattestes vor oder trägt sie einen Vermerk ein, hat sie dies der Untersuchungskommission, die das Attest ausgestellt hat, mitzuteilen.
§ 2.08 Sonderuntersuchung
1. Nach jeder wesentlichen Änderung oder einer Instandsetzung, die auf die Festigkeit des Baues, die Fahr- oder Manövriereigenschaften oder die besonderen Merkmale des Fahrzeuges Einfluss hat, muss es, ehe es wieder in Fahrt gesetzt wird, einer Untersuchungskommission zur Sonderuntersuchung vorgeführt werden.
2. Die Untersuchungskommission, welche die Sonderuntersuchung durchführt, legt je nach dem Ergebnis dieser Untersuchung die Gültigkeitsdauer des Schiffsattestes fest. Sie darf die bestehende Gültigkeitsdauer des Schiffsattestes nicht überschreiten.
Die Gültigkeitsdauer wird im Schiffsattest vermerkt und ist der Untersuchungskommission, die das Attest ausgestellt hat, mitzuteilen.
1. Vor Ablauf der Gültigkeit des Schiffsattestes muss das Fahrzeug einer Nachuntersuchung unterzogen werden.
2. Ausnahmsweise auf begründeten Antrag des Eigners oder seines Bevollmächtigten kann die Untersuchungskommission die Gültigkeitsdauer des Schiffsattestes ohne Nachuntersuchung um höchstens ein Jahr verlängern. Diese Verlängerung wird schriftlich erteilt und muss sich an Bord des Fahrzeugs befinden.
3. Die Untersuchungskommission, die die Nachuntersuchung durchführt, legt je nach dem Ergebnis dieser Untersuchung die neue Gültigkeitsdauer des Schiffsattestes fest. Sie richtet sich nach § 2.06.
Die Gültigkeitsdauer wird im Schiffsattest vermerkt und ist der Untersuchungskommission, die das Attest ausgestellt hat, mitzuteilen.
4. Wird statt einer Verlängerung der Gültigkeitsdauer das Schiffsattest durch ein neues ersetzt, so ist das alte Attest der Untersuchungskommission, die es ausgestellt hat, zurückzugeben.
§ 2.10 Freiwillige Untersuchung
Der Eigner eines Fahrzeuges oder sein Bevollmächtigter kann jederzeit eine freiwillige Untersuchung verlangen.
Dem Antrag auf Untersuchung ist stattzugeben.
§ 2.11 Untersuchung von Amts wegen
1. Kommt eine für die Sicherheit der Rheinschifffahrt zuständige Behörde zu der Ansicht, dass ein Fahrzeug eine Gefahr für die an Bord befindlichen Personen oder für die Schifffahrt darstellt, kann sie die Untersuchung des Fahrzeuges durch eine Untersuchungskommission anordnen.
2. Der Eigner des Fahrzeuges trägt nur dann die Kosten der Untersuchung, wenn die Untersuchungskommission die Ansicht der in Nummer 1 genannten Behörde als begründet anerkennt.
§ 2.12 Bescheinigung oder Prüfung einer Klassifikationsgesellschaft oder einer anderen Stelle
1. Die Untersuchungskommission kann bei einem Fahrzeug ganz oder teilweise davon absehen zu prüfen, ob die Bestimmungen des Teils II und des Anhangs XI § 2.09 erfüllt sind, wenn aus einer gültigen Bescheinigung einer von allen Rheinuferstaaten und Belgien anerkannten Klassifikationsgesellschaft ersichtlich ist, dass das Fahrzeug diesen Bestimmungen ganz oder teilweise entspricht.
2. Eine Bescheinigung einer Klassifikationsgesellschaft oder - soweit nach dieser Verordnung für bestimmte Ausrüstungsbereiche vorgesehen - einer anderen Stelle darf von der zuständigen Behörde nur dann anerkannt werden, wenn die Klassifikationsgesellschaft oder die andere Stelle bestätigt, dass sie die Bestimmungen der Dienstanweisungen nach § 1.07 eingehalten hat.
§ 2.13 Zurückbehalten und Rückgabe des Schiffsattestes
1. Erkennt eine Untersuchungskommission bei einer Untersuchung, dass ein Fahrzeug oder seine Ausrüstung erhebliche Mängel aufweist und dass dadurch die Sicherheit der an Bord befindlichen Personen oder der Schifffahrt gefährdet wird, ist das Schiffsattest zurückzubehalten und die Untersuchungskommission, die es ausgestellt hat, unverzüglich hiervon zu benachrichtigen. Bei Schubleichtern und Baustellenfahrzeugen ist auch die Metalltafel nach der Rheinschifffahrtspolizeiverordnung zurückzubehalten.
Hat die Untersuchungskommission festgestellt, dass die Mängel beseitigt worden sind, wird das Schiffsattest dem Eigner oder seinem Bevollmächtigten zurückgegeben.
Diese Feststellung und die Rückgabe des Schiffsattestes können auf Antrag des Eigners oder seines Bevollmächtigten durch eine andere Untersuchungskommission vorgenommen werden.
Muss die Untersuchungskommission, die das Schiffsattest zurückbehalten hat, davon ausgehen, dass die Mängel nicht in absehbarer Zeit beseitigt werden, wird das Schiffsattest der Untersuchungskommission zugeschickt, die es erteilt hat, oder als letzte verlängert hat.
2. Ist ein Fahrzeug endgültig stillgelegt oder abgewrackt worden, hat der Eigner das Schiffsattest an die Untersuchungskommission, die es erteilt hat, zurückzugeben.
§ 2.14 Ersatzausfertigung
1. Der Verlust eines Schiffsattestes muss der Untersuchungskommission, die es erteilt hat, mitgeteilt werden.
Diese stellt eine Ersatzausfertigung des Schiffsattestes aus, die als solches zu bezeichnen ist.
2. Ist ein Schiffsattest unleserlich oder sonst unbrauchbar geworden, hat der Eigner des Fahrzeuges oder sein Bevollmächtigter das Attest der Untersuchungskommission, die es erteilt hat, zurückzugeben; diese stellt entsprechend Nummer 1 eine Ersatzausfertigung aus.
§ 2.15 Kosten
1. Unbeschadet des § 2.11 Nr. 2 trägt der Eigner eines Fahrzeuges oder sein Bevollmächtigter die Kosten, in Zusammenhang mit der Untersuchung und der Erteilung des Schiffsattestes nach der jeweiligen von den Rheinuferstaaten und Belgien erlassenen Kostenordnung. Es darf im Hinblick auf das Registrierungsland, die Staatsangehörigkeit oder den Wohnsitz des Eigners kein Unterschied gemacht werden.
2. Die Untersuchungskommission kann vor der Untersuchung einen Vorschuss bis zur Höhe der voraussichtlichen Kosten verlangen.
§ 2.16 Auskünfte
Die Untersuchungskommission darf Personen, die ein begründetes Interesse glaubhaft machen, Einsicht in das Schiffsattest eines Fahrzeuges gestatten und auf Kosten dieser Personen Auszüge daraus oder beglaubigte Abschriften erteilen, die als solche zu bezeichnen sind.
§ 2.17 Verzeichnis der Schiffsatteste 12a
1. Die Untersuchungskommissionen versehen die von ihnen erteilten Schiffsatteste mit einer laufenden Nummer. Sie führen ein Verzeichnis aller von ihnen erteilten Schiffsatteste nach Anlage C.
2. Die Untersuchungskommissionen haben von jedem Schiffsattest, das sie erteilt haben, die Urschrift oder eine Kopie aufzubewahren. In diese tragen sie alle Vermerke und Änderungen sowie Ungültigkeitserklärungen und Neuerteilungen ein und aktualisieren das Verzeichnis nach Nummer 1 entsprechend.
3. Zur Durchführung von Verwaltungsmaßnahmen zur Aufrechterhaltung der Sicherheit und Leichtigkeit des Schiffsverkehrs sowie zur Erfüllung der §§ 2.02 bis 2.15 dieses Anhangs und der §§ 5 und 9 bis 14 dieser Verordnung wird den zuständigen Behörden der Rheinuferstaaten oder Belgiens, der Mitgliedstaaten der Europäischen Union und, sofern ein gleichwertiges Datenschutzniveau sichergestellt ist, den zuständigen Behörden von Drittstaaten auf Grund von Verwaltungsvereinbarungen die Einsichtnahme in das Verzeichnis nach Anlage C gewährt.
§ 2.18 Einheitliche europäische Schiffsnummer 12a
1. Die einheitliche europäische Schiffsnummer (ENI), nachstehend europäische Schiffsnummer genannt, setzt sich aus acht arabischen Ziffern nach Anlage L zusammen.
2. Die Untersuchungskommission, die einem Fahrzeug das Schiffsattest erteilt, trägt in dieses Attest die europäische Schiffsnummer ein. Sie wird, sofern das Fahrzeug zum Zeitpunkt der Ausstellung des Schiffsattestes noch nicht über eine europäische Schiffsnummer verfügt, durch die zuständige Behörde des Staates, in dem es registriert wurde oder in dem sich sein Heimatort befindet, erteilt.
Fahrzeugen, in deren Register- oder Heimatstaat die Erteilung einer europäischen Schiffsnummer nicht möglich ist, wird die in das Schiffsattest einzutragende europäische Schiffsnummer von der zuständigen Behörde des Staates erteilt, in dem sich die Untersuchungskommission befindet, die das Attest erteilt.
Diese Bestimmungen gelten nicht für Seeschiffe.
3. Einem Fahrzeug kann nur eine einzige europäische Schiffsnummer erteilt werden. Die europäische Schiffsnummer wird nur ein Mal vergeben und bleibt während der gesamten Lebensdauer des Fahrzeugs bestehen.
4. Der Eigner des Fahrzeuges oder sein Bevollmächtigter muss bei der zuständigen Behörde die Erteilung der europäischen Schiffsnummer beantragen. Ebenso ist er dafür verantwortlich, die im Schiffsattest eingetragene europäische Schiffsnummer auf dem Fahrzeug anbringen zu lassen.
5. Die Rheinuferstaaten und Belgien teilen die Behörden, die zur Erteilung der europäischen Schiffsnummer berechtigt sind, dem Sekretariat der Zentralkommission für die Rheinschifffahrt mit. Das Sekretariat der Zentralkommission für die Rheinschifffahrt führt ein Verzeichnis dieser Behörden.
6. Jede Behörde nach Nummer 5 trifft die notwendigen Vorkehrungen, um alle anderen für die Erteilung der europäischen Schiffsnummer zuständigen Behörden, die in dem Verzeichnis nach Nummer 5 aufgeführt sind, über jede von ihr neu erteilte europäische Schiffsnummer sowie über die zur Identifikation des Fahrzeugs notwendigen Daten gemäß Anlage P zu unterrichten. Diese Daten können den zuständigen Behörden der Rheinuferstaaten oder Belgiens, der Mitgliedstaaten der Europäischen Union und, sofern ein gleichwertiges Datenschutzniveau sichergestellt ist, den zuständigen Behörden von Drittstaaten aufgrund von Verwaltungsvereinbarungen zur Durchführung von Verwaltungsmaßnahmen zur Aufrechterhaltung von Sicherheit und Leichtigkeit der Schifffahrt sowie zur Erfüllung der §§ 2.02 bis 2.15 und 2.18 Nr. 3 und der §§ 5 und 9 bis 14 dieser Verordnung zur Verfügung gestellt werden.
§ 2.19 Gleichwertigkeit und Abweichungen
1. Schreiben die Bestimmungen des Teils II vor, dass bestimmte Werkstoffe, Einrichtungen oder Ausrüstungen auf einem Fahrzeug einzubauen oder mitzuführen sind oder dass bestimmte bauliche Maßnahmen oder bestimmte Anordnungen zu treffen sind, kann die Untersuchungskommission gestatten, dass auf diesem Fahrzeug andere Werkstoffe, Einrichtungen oder Ausrüstungen eingebaut oder mitgeführt werden oder dass andere bauliche Maßnahmen oder andere Anordnungen getroffen werden, wenn sie aufgrund von Empfehlungen der Zentralkommission für die Rheinschifffahrt als gleichwertig anerkannt sind.
2. Wenn die Zentralkommission für die Rheinschifffahrt noch keine Empfehlung zu einer Gleichwertigkeit nach Nummer 1 ausgesprochen hat, kann die Untersuchungskommission ein vorläufiges Schiffsattest erteilen.
Die zuständigen Behörden berichten der Zentralkommission für die Rheinschifffahrt innerhalb eines Monats nach Erteilung des vorläufigen Schiffsattestes nach § 2.05 Nr. 1 Buchstabe g unter Angabe des Namens und der europäischen Schiffsnummer des Fahrzeuges, der Art der Abweichung sowie des Staates, in dem das Fahrzeug registriert ist oder in dem sich sein Heimatort befindet.
3. Zu Versuchszwecken und für einen begrenzten Zeitraum kann eine Untersuchungskommission aufgrund einer Empfehlung der Zentralkommission für die Rheinschifffahrt für ein Fahrzeug mit technischen Neuerungen, die von den Bestimmungen des Teils II abweichen, ein Schiffsattest ausstellen, sofern diese Neuerungen eine hinreichende Sicherheit bieten.
4. Die Gleichwertigkeiten und Abweichungen nach den Nummern 1 und 3 sind in das Schiffsattest einzutragen.
Teil II
Bau, Einrichtung und Ausrüstung
Kapitel 3
Schiffbauliche Anforderungen
§ 3.01 Grundregel
1. Schiffe müssen nach den Regeln der Schiffbautechnik gebaut sein.
§ 3.02 Festigkeit und Stabilität 12a
1. Die Festigkeit des Schiffskörpers muss den Beanspruchungen genügen, denen er unter normalen Bedingungen ausgesetzt ist.
f = 1 für a< 500 mm,
f = 1 + 0,0013 (a - 500) für a > 500 mm;
b = Faktor für Boden- und Seitenbeplattung oder Kimmbeplattung:
b = 1,0 für Boden- und Seitenbeplattung,
b = 1,25 für Kimmbeplattung.
Bei der Berechnung der Mindestdicke der Kimmbeplattung kann für den Faktor für den Spantabstand f = 1 genommen werden. Die Mindestdicke der Kimmbeplattung darf aber in keinem Fall die der Boden- und Seitenbeplattung unterschreiten.
c = Faktor für Bauart:
c = 0,95 für Schiffe mit Doppelboden und Wallgang, deren seitliches Laderaumbegrenzungsschott senkrecht unter dem Dennebaum angeordnet ist,
c = 1,0 für Schiffe mit anderen Bauarten.
2. Wird für den Schiffskörper ein anderes Material als Stahl verwendet, ist ein rechnerischer Nachweis zu erbringen, dass die Festigkeit (Längs- und Querfestigkeit sowie örtliche Festigkeit) mindestens derjenigen entspricht, die sich bei Verwendung von Stahl unter Ansatz der Mindestdicken nach Nummer 1 ergäbe. Bei Vorlage eines Klassezeugnisses oder einer Bescheinigung einer anerkannten Klassifikationsgesellschaft kann dieser Nachweis entfallen.
3. Die Stabilität der Schiffe muss ihrem Verwendungszweck entsprechen.
§ 3.03 Schiffskörper
1. Es müssen mindestens folgende wasserdichte, bis zum Deck oder, bei Schiffen ohne Deck, bis zur oberen Kante der Bordwand reichende Querschotte eingebaut sein:
2. Wohnungen sowie für die Sicherheit des Schiffes und des Schiffsbetriebs notwendige Einrichtungen dürfen nicht vor der Ebene des Kollisionsschotts liegen. Dies gilt nicht für Ankereinrichtungen.
3. Wohnungen, Maschinen- und Kesselräume sowie dazugehörige Arbeitsräume müssen von Laderäumen durch wasserdichte, bis zum Deck reichende Querschotte getrennt sein.
4. Wohnungen müssen von Maschinen-, Kessel- und Laderäumen gasdicht getrennt und unmittelbar von Deck aus zugänglich sein. Ist ein solcher Zugang nicht gegeben, muss zusätzlich ein Notausgang unmittelbar zum Deck führen.
5. Vorgeschriebene Schotte nach den Nummern 1 und 3 und Raumbegrenzungen nach Nummer 4 dürfen keine Öffnungen haben.
Jedoch sind Heckschotttüren und Durchführungen insbesondere von Wellenleitungen und Rohrleitungen zulässig, wenn sie so ausgeführt sind, dass der Zweck der Schotte und Raumbegrenzungen nicht beeinträchtigt wird. Heckschotttüren sind nur zulässig, wenn durch eine Fernüberwachung im Steuerhaus festgestellt werden kann, ob sie geschlossen oder geöffnet sind und auf beiden Seiten gut leserlich folgende Aufschrift angebracht ist:
"Türe unmittelbar nach jedem Öffnen wieder schließen".
6. Wasserein- und -ausläufe sowie angeschlossene Rohrleitungen müssen so beschaffen sein, dass ein unbeabsichtigtes Eindringen von Wasser in den Schiffskörper nicht möglich ist.
7. Vorschiffe müssen so gebaut sein, dass Anker weder als Ganzes noch teilweise über die Schiffsaußenhaut herausragen.
§ 3.04 Maschinen-, Kessel- und Bunkerräume
1. Räume, in denen Maschinenanlagen oder Kessel sowie ihr Zubehör aufgestellt sind, müssen so beschaffen und eingerichtet sein, dass Bedienung, Wartung und Instandhaltung der Anlagen leicht und gefahrlos möglich sind.
2. Bunker für flüssige Brennstoffe oder Schmieröle dürfen mit Fahrgasträumen und Wohnungen keine gemeinsamen Begrenzungsflächen haben, die im normalen Betrieb unter dem statischen Druck der Flüssigkeit stehen.
3. Wände, Decken und Türen der Maschinen-, Kessel- und Bunkerräume müssen aus Stahl oder einem anderen gleichwertigen nichtbrennbaren Werkstoff hergestellt sein. Isolierungen in Maschinenräumen müssen gegen das Eindringen von Öl und Öldämpfen geschützt sein.
Sämtliche Öffnungen in Wänden, Decken und Türen der Maschinen-, Kessel- und Bunkerräume müssen von außerhalb verschließbar sein. Die Verschlussorgane müssen aus Stahl oder einem anderen gleichwertigen nicht brennbaren Werkstoff hergestellt sein.
4. Maschinen- und Kesselräume sowie Räume, in denen sich brennbare oder giftige Gase entwickeln können, müssen ausreichend gelüftet werden können.
5. In Maschinen-, Kessel- und Bunkerräume führende Leitern und Treppen müssen fest angebracht und aus Stahl oder einem anderen stoßfesten und nichtbrennbaren Werkstoff hergestellt sein.
6. Maschinen- und Kesselräume müssen zwei Ausgänge haben, von denen einer als Notausgang ausgebildet sein kann.
Auf den zweiten Ausgang kann verzichtet werden, wenn
7. Der höchstzulässige Schalldruckpegel in Maschinenräumen beträgt 110 dB(A). Die Messstellen sind unter Berücksichtigung der bei normalem Betrieb der Anlage nötigen Wartungsarbeiten zu wählen.
Kapitel 4
Sicherheitsabstand, Freibord und Tiefgangsanzeiger
§ 4.01 Sicherheitsabstand
1. Der Sicherheitsabstand muss mindestens 300 mm betragen.
2. Bei Schiffen mit Öffnungen, die nicht sprühwasser- und wetterdicht abgeschlossen werden können, und bei Schiffen, die mit ungedeckten Laderäumen fahren, muss der Sicherheitsabstand so weit erhöht werden, bis jede dieser Öffnungen mindestens 500 mm von der Ebene der größten Einsenkung entfernt ist.
§ 4.02 Freibord
1. Der Freibord für Schiffe mit durchlaufendem Deck, ohne Sprung und ohne Aufbauten beträgt 150 mm.
2. Bei Schiffen mit Sprung und mit Aufbauten wird der Freibord nach folgender Formel berechnet:

In dieser Formel bedeuten:
| α | Berichtigungskoeffizient, der alle vorhandenen Aufbauten berücksichtigt; |
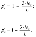
| βv | Berichtigungskoeffizienten für den Einfluss des vorderen Sprunges, der sich aus dem Vorhandensein von Aufbauten im vorderen Viertel von L ergibt; |
| βa | Berichtigungskoeffizienten für den Einfluss des achteren Sprunges, der sich aus dem Vorhandensein von Aufbauten im achteren Viertel von L ergibt; |
| Sev | wirksamer vorderer Sprung in mm; |
| Sea | wirksamer achterer Sprung in mm. |
3. Der Koeffizient αwird nach folgender Formel berechnet:
In dieser Formel bedeuten:
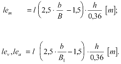
| lem | wirksame Länge eines Aufbaues in m in der mittleren Hälfte von L; |
| lev | wirksame Länge eines Aufbaues in m im vorderen Viertel der Schiffslänge L; |
| lea | wirksame Länge eines Aufbaues in m im achteren Viertel der Schiffslänge L. |
Die wirksame Länge eines Aufbaues wird nach folgenden Formeln berechnet:
In diesen Formeln bedeuten:
| l | tatsächliche Länge des betreffenden Aufbaues in m; |
| b | Breite des betreffenden Aufbaues in m; |
| B1 | Breite des Schiffes in m, gemessen auf der Außenseite der Beplattung auf Deckshöhe, gemessen auf halber Länge des betreffenden Aufbaues; |
| h | Höhe des betreffenden Aufbaues in m. Für Luken ergibt sich h jedoch, indem die Höhe der Sülle um den halben Sicherheitsabstand nach § 4.01 vermindert wird. Für h wird in keinem Fall ein höherer Wert als 0,36 m eingesetzt. |
Wenn b/B oder b/B1 kleiner ist als 0,6, ist die wirksame Aufbaulänge le gleich Null zu setzen.
4. Die Koeffizienten βv und βa werden nach folgenden Formeln berechnet:

5. Der jeweils wirksame vordere und achtere Sprung Sev und Sea wird nach folgenden Formeln berechnet:
Sev = Sv ⋅p;
Sea = Sa ⋅p.
In diesen Formeln bedeuten:
| Sv | tatsächlicher Sprung im Vorschiff in mm; für Sv darf jedoch kein größerer Wert als 1.000 mm eingesetzt werden; |
| Sa | tatsächlicher Sprung im Achterschiff in mm; für Sa darf jedoch kein größerer Wert als 500 mm eingesetzt werden; |
| p | Koeffizient, der nach folgender Formel berechnet wird: |
p = 4 ⋅ x/L.
Dabei ist x die vom jeweiligen Ende ab gemessene Abszisse des Punktes, an dem der Sprung gleich 0,25 Sv oder 0,25 Sa ist (nachstehende Skizze):

Für den Koeffizienten p darf jedoch kein Wert größer als 1 eingesetzt werden.
6. Wenn der Wert von βa ⋅ Sea größer ist als der von βv ⋅ Sev, wird für den Wert von βa ⋅Sea jener von βv⋅ Sev eingesetzt.
§ 4.03 Mindestfreibord
Unter Berücksichtigung der Verminderung nach § 4.02 darf der Mindestfreibord nicht geringer als 0 mm sein.
§ 4.04 Einsenkungsmarken
1. Die Ebene der größten Einsenkung ist so festzusetzen, dass die Vorschriften über den Mindestfreibord und den Mindestsicherheitsabstand erfüllt sind. Die Untersuchungskommission kann aus Sicherheitsgründen einen größeren Sicherheitsabstand oder Freibord festsetzen.
2. Die Ebene der größten Einsenkung wird durch gut sichtbare und unaustilgbare Einsenkungsmarken gekennzeichnet.
3. Einsenkungsmarken bestehen aus einem Rechteck von 300 mm Länge und 40 mm Höhe, dessen Grundlinie horizontal ist und mit der Ebene der zugelassenen größten Einsenkung zusammenfällt. Andersartige Einsenkungsmarken müssen ein solches Rechteck enthalten.
4. Schiffe müssen mindestens drei Einsenkungsmarkenpaare haben, von denen ein Markenpaar auf etwa 1/2 L und die beiden anderen ungefähr auf 1/6 L hinter dem Bug und vor dem Heck angebracht sein müssen. Abweichend genügen:
5. Die infolge einer erneuten Untersuchung ungültig gewordenen Einsenkungsmarken oder Angaben sind unter Aufsicht der Untersuchungskommission zu entfernen oder als ungültig zu kennzeichnen. Undeutlich gewordene Einsenkungsmarken dürfen nur unter Aufsicht einer Untersuchungskommission ersetzt werden.
6. Ist das Schiff nach dem Übereinkommen über die Eichung von Binnenschiffen geeicht worden und liegen die Eichmarken in der gleichen Höhe wie die in dieser Verordnung vorgeschriebenen Einsenkungsmarken, gelten diese Eichmarken auch als Einsenkungsmarken; ein entsprechender Vermerk ist in das Schiffsattest einzutragen.
§ 4.05 Höchstzulässige Einsenkung der Schiffe, deren Laderäume nicht immer sprühwasser- und wetterdicht geschlossen sind
Ist die Ebene der größten Einsenkung unter der Voraussetzung festgesetzt, dass die Laderäume sprühwasser- und wetterdicht geschlossen werden können, und beträgt der Abstand zwischen der Ebene der größten Einsenkung und der Oberkante des Lukensülls weniger als 500 mm, muss die höchstzulässige Einsenkung für die Fahrt mit ungedeckten Laderäumen festgesetzt werden.
Im Schiffsattest ist einzutragen:
"Wenn die Luken der Laderäume ganz oder teilweise geöffnet sind, darf das Schiff höchstens bis zu ... mm unter die Einsenkungsmarken abgeladen sein."
§ 4.06 Tiefgangsanzeiger
1. An Schiffen, deren Tiefgang 1 m überschreiten kann, muss auf jeder Seite am Achterschiff ein Tiefgangsanzeiger angebracht sein; zusätzliche Tiefgangsanzeiger sind gestattet.
2. Der Nullpunkt jedes Tiefgangsanzeigers muss senkrecht unter diesem in der zur Ebene der größten Einsenkung parallelen Ebene liegen, die durch den tiefsten Punkt des Schiffskörpers oder, falls vorhanden, des Kieles geht. Der senkrechte Abstand über dem Nullpunkt ist in Dezimeter einzuteilen. Diese Einteilung ist von der Leerebene bis 100 mm über die Ebene der größten Einsenkung auf jedem Tiefgangsanzeiger durch eingekörnte oder eingemeißelte Marken zu kennzeichnen und in Form eines gut sichtbaren Streifens abwechselnd in zwei verschiedenen Farben aufzumalen. Die Einteilung muss neben dem Tiefgangsanzeiger mindestens alle 5 Dezimeter sowie am oberen Ende desselben durch Zahlen angegeben sein.
3. Die beiden hinteren Eichskalen, die nach dem in § 4.04 Nr. 6 genannten Übereinkommen angebracht sind, können als Tiefgangsanzeiger dienen, wenn sie eine den vorstehenden Bestimmungen entsprechende Einteilung tragen; gegebenenfalls sind die Zahlen für den Tiefgang hinzuzufügen.
Kapitel 5
Manövriereigenschaften
1. Schiffe ohne Maschinenantrieb, die dazu bestimmt sind, geschleppt zu werden, müssen den besonderen Anforderungen der Untersuchungskommission an die Fahr- und Manövriereigenschaften entsprechen.
2. Schiffe mit Maschinenantrieb und Verbände müssen den §§ 5.02 bis 5.10 entsprechen.
§ 5.02 Probefahrten
1. Die Fahr- und Manövriereigenschaften sind durch Probefahrten zu ermitteln. Dabei sind festzustellen:
2. Die Untersuchungskommission kann teilweise oder ganz auf Probefahrten verzichten, wenn die Erfüllung der Anforderungen an die Fahr- und Manövriereigenschaften auf andere Weise nachgewiesen wird.
§ 5.03 Probefahrtstrecke
1. Die Probefahrten nach § 5.02 sind auf den von den zuständigen Behörden benannten Abschnitten des Rheins oder anderer Binnengewässer durchzuführen.
2. Diese Probefahrtstrecken müssen sich in möglichst geraden Abschnitten von mindestens 2 km Länge und genügender Breite in strömenden oder stillen Gewässern befinden und mit gut erkennbaren Marken zur Feststellung der Schiffsposition ausgerüstet sein.
3. Die hydrologischen Daten, wie Wassertiefe, Fahrwasserbreite und mittlere Strömungsgeschwindigkeit im Bereich des Fahrwassers bei unterschiedlichen Wasserständen, müssen durch die Untersuchungskommission festgestellt werden können.
§ 5.04 Beladungsgrad der Schiffe und Verbände während der Probefahrt
Schiffe und Verbände, die zur Güterbeförderung bestimmt sind, müssen für die Probefahrten möglichst gleichlastig und mindestens zu 70 % beladen sein. Wird die Probefahrt mit geringerer Beladung durchgeführt, so ist die Zulassung für die Talfahrt auf diese Beladung zu beschränken.
§ 5.05 Bordhilfsmittel für die Probefahrt
1. Bei den Probefahrten dürfen keine Anker, jedoch alle im Schiffsattest unter den Nummern 34 und 52 eingetragenen Einrichtungen verwendet werden, die vom Steuerstand aus bedienbar sind.
2. Beim Aufdrehmanöver nach § 5.10 dürfen jedoch die Buganker verwendet werden.
§ 5.06 Geschwindigkeit (Vorausfahrt)
1. Schiffe und Verbände müssen eine Geschwindigkeit gegen Wasser von mindestens 13 km/h erreichen. Dies gilt nicht für Schubboote, wenn sie allein fahren.
2. Für Schiffe und Verbände, die ausschließlich auf Reeden und in Häfen verkehren, kann die Untersuchungskommission Abweichungen zulassen.
3. Die Untersuchungskommission prüft, ob das unbeladene Fahrzeug eine Geschwindigkeit gegen Wasser von 40 km/h überschreiten kann. Trifft dies zu, ist in das Schiffsattest unter Nummer 52 einzutragen:
"Das Fahrzeug kann eine Geschwindigkeit gegen Wasser von 40 km/h überschreiten."
§ 5.07 Stoppeigenschaften
1. Schiffe und Verbände müssen rechtzeitig Bug zu Tal anhalten können und dabei ausreichend manövrierfähig bleiben.
2. Bei Schiffen und Verbänden mit L von nicht mehr als 86 m und B von nicht mehr als 22,90 m können diese Stoppeigenschaften durch die Wendeeigenschaften ersetzt werden.
3. Die Stoppeigenschaften sind durch Stoppmanöver auf einer Probefahrtstrecke nach § 5.03 und die Wendeeigenschaften durch Aufdrehmanöver nach § 5.10 nachzuweisen.
§ 5.08 Rückwärtsfahreigenschaften
Wird das nach § 5.07 notwendige Stoppmanöver in stillen Gewässern durchgeführt, ist zusätzlich ein Rückwärtsfahrversuch durchzuführen.
§ 5.09 Ausweicheigenschaften
Schiffe und Verbände müssen rechtzeitig ausweichen können. Die Ausweicheigenschaften sind durch Ausweichmanöver auf einer Probefahrtstrecke nach § 5.03 nachzuweisen.
§ 5.10 Wendeeigenschaften
Schiffe und Verbände mit L von nicht mehr als 86 m und B von nicht mehr als 22,90 m müssen rechtzeitig wenden können.
Diese Wendeeigenschaften können durch die Stoppeigenschaften nach § 5.07 ersetzt werden. Die Wendeeigenschaften sind durch Aufdrehmanöver nachzuweisen.
Kapitel 6
Steuereinrichtungen
§ 6.01 Allgemeine Anforderungen
1. Schiffe müssen mit einer zuverlässigen Steuereinrichtung versehen sein, mit der mindestens die Manövriereigenschaften nach Kapitel 5 erreicht werden.
2. Motorisch betriebene Steuereinrichtungen müssen so beschaffen sein, dass sich das Ruder nicht unbeabsichtigt verstellen kann.
3. Die gesamte Steuereinrichtung muss für ständige Neigungen des Schiffes bis zu 15° und Umgebungstemperaturen von - 20 bis + 50° C ausgelegt sein.
4. Die Einzelteile der Steuereinrichtung müssen festigkeitsmäßig so ausgelegt sein, dass alle im normalen Betrieb auf sie einwirkenden Kräfte sicher aufgenommen werden können. Die bei einer äußeren Einwirkung auf das Ruder auftretenden Kräfte dürfen die Funktionsfähigkeit der Rudermaschine und deren Antrieb nicht beeinträchtigen.
5. Steuereinrichtungen müssen einen motorischen Rudermaschinenantrieb haben, wenn die zur Betätigung des Ruders aufzubringenden Kräfte dies erfordern.
6. Rudermaschinen mit motorischem Antrieb müssen mit einem Überlastschutz versehen sein, der das antriebsseitig ausgeübte Moment begrenzt.
7. Wellendurchführungen von Ruderschäften müssen so ausgeführt sein, dass keine wassergefährdenden Schmiermittel austreten können.
§ 6.02 Antriebsanlage der Rudermaschine
1. Bei Rudermaschinen mit motorischem Antrieb muss eine zweite unabhängige Antriebsanlage oder ein zusätzlicher Handantrieb vorhanden sein. Bei Ausfall oder Störung der Antriebsanlage der Rudermaschine muss innerhalb von 5 Sekunden die zweite unabhängige Antriebsanlage oder der Handantrieb in Betrieb gesetzt werden können.
2. Erfolgt die Inbetriebsetzung der zweiten Antriebsanlage oder des Handantriebs nicht automatisch, muss mit einer einzigen Bedienungshandlung eine unmittelbare, schnelle und einfache Inbetriebsetzung durch den Rudergänger möglich sein.
3. Auch bei Betrieb der zweiten Antriebsanlage oder des Handantriebs müssen die Manövriereigenschaften nach Kapitel 5 erreicht werden.
§ 6.03 Hydraulische Antriebsanlage der Rudermaschine
1. An die hydraulische Antriebsanlage der Rudermaschine dürfen keine anderen Verbraucher angeschlossen sein.
2. Hydrauliktanks sind mit Niveaualarmgebern auszurüsten, die ein Absinken des Ölstandes unter den für den sicheren Betrieb niedrigsten zulässigen Füllstand überwachen.
3. Abmessungen, Konstruktion und Verlegung der Rohrleitungen müssen Beschädigungen durch mechanische Einflüsse oder Feuer soweit wie möglich ausschließen.
4. Hydraulikschläuche sind
5. Hydraulikzylinder, -pumpen und -motoren sowie Elektromotoren müssen spätestens alle acht Jahre von einer Fachfirma geprüft und erforderlichenfalls instand gesetzt werden.
§ 6.04 Energiequelle
1. Steuereinrichtungen mit zwei motorischen Antrieben müssen zwei Energiequellen zur Verfügung stehen.
2. Ist die zweite Energiequelle einer Rudermaschine mit motorischem Antrieb während der Fahrt nicht kontinuierlich einsatzbereit, muss die für deren Startvorgang benötigte Zeit durch ein Puffersystem ausreichender Kapazität überbrückt werden.
3. Bei elektrischen Energiequellen dürfen aus den Einspeisungen der Steuereinrichtungen keine anderen Verbraucher versorgt werden.
§ 6.05 Handantrieb
1. Das Handsteuerrad darf durch einen motorischen Antrieb nicht mitgedreht werden können.
2. Ein Zurückschlagen des Steuerrads muss beim selbsttätigen Einkuppeln des Handantriebs bei jeder Ruderlage verhindert sein.
§ 6.06 Ruderpropeller-, Wasserstrahl-, Zykloidalpropeller- und Bugstrahlanlagen
1. Ist bei Ruderpropeller-, Wasserstrahl-, Zykloidalpropeller- und Bugstrahlanlagen die Fernbedienung für die Richtungsänderung des Schubes elektrisch, hydraulisch oder pneumatisch, müssen vom Steuerstand bis zur Propeller- oder Strahlanlage zwei voneinander unabhängige Steuerungssysteme vorhanden sein, die den §§ 6.01 bis 6.05 sinngemäß entsprechen.
Das gilt nicht, wenn der Einsatz solcher Anlagen zur Erfüllung der Manövriereigenschaften nach Kapitel 5 nicht oder nur beim Stoppversuch erforderlich ist.
2. Sind zwei oder mehr voneinander unabhängige Ruderpropeller-, Wasserstrahl-, oder Zykloidalpropelleranlagen vorhanden, ist das zweite Steuerungssystem nicht erforderlich, wenn das Schiff bei Ausfall einer dieser Anlagen manövrierfähig nach Kapitel 5 bleibt.
§ 6.07 Anzeige und Überwachung
1. Die Lage des Ruders muss am Steuerstand eindeutig erkennbar sein. Elektrische Ruderlageanzeiger müssen eine eigene Einspeisung haben.
2. Für die folgenden Fälle muss ein optischer und akustischer Alarm im Steuerstand vorhanden sein:
§ 6.08 Wendegeschwindigkeitsregler
1. Wendegeschwindigkeitsregler und ihre Bauteile müssen § 9.20 entsprechen.
2. Die Betriebsbereitschaft des Wendegeschwindigkeitsreglers muss am Steuerstand durch eine grüne Meldeleuchte angezeigt werden.
Ausfall, unzulässige Abweichung der Versorgungsspannung und unzulässiger Abfall der Kreiseldrehzahl müssen überwacht werden.
3. Sind neben dem Wendegeschwindigkeitsregler noch weitere Steuersysteme vorhanden, muss am Steuerstand deutlich erkennbar sein, welches System eingeschaltet ist. Die Umschaltung von einem auf ein anderes System muss unverzüglich erfolgen können. Wendegeschwindigkeitsregler müssen gegenüber den Steuereinrichtungen rückwirkungsfrei sein.
4. Die elektrische Energieversorgung des Wendegeschwindigkeitsreglers muss von anderen Verbrauchern unabhängig sein.
5. Die in Wendegeschwindigkeitsreglern verwendeten Kreisel, Sensoren oder Wendeanzeiger müssen den Mindestanforderungen der Vorschriften betreffend die Mindestanforderungen und Prüfbedingungen für Wendeanzeiger in der Rheinschifffahrt entsprechen.
1. Die ordnungsgemäße Installation der Steuereinrichtung ist von einer Untersuchungskommission zu überprüfen. Dazu kann sie folgende Unterlagen verlangen:
2. Bei einer Probefahrt ist die Funktion der gesamten Steuereinrichtung zu überprüfen. Bei Wendegeschwindigkeitsreglern ist das sichere Einhalten eines geraden Kurses und das sichere Fahren von Kurven zu prüfen.
3. Motorisch betriebene Steuereinrichtungen sind
4. Die Prüfung hat mindestens zu umfassen:
5. Über die Prüfung ist eine vom Sachkundigen unterzeichnete Bescheinigung auszustellen, aus der das Datum der Prüfung ersichtlich ist.
Kapitel 7
Steuerhaus
§ 7.01 Allgemeines
1. Steuerhäuser müssen so eingerichtet sein, dass der Rudergänger seine Aufgaben während der Fahrt jederzeit erfüllen kann.
2. Bei normalen Betriebsbedingungen darf der Eigengeräuschpegel am Steuerstand in Kopfhöhe des Rudergängers den Wert von 70 dB(A) nicht überschreiten.
3. Bei Radar-Einmannsteuerständen muss der Rudergänger seine Aufgaben im Sitzen erfüllen können und müssen alle zur Führung des Schiffes notwendigen Anzeige-, Überwachungs- und Bedienungseinrichtungen so angeordnet sein, dass sie der Rudergänger während der Fahrt mühelos überwachen und bedienen kann, ohne dabei seinen Platz verlassen zu müssen und ohne den Radarbildschirm aus den Augen zu verlieren.
1. Vom Steuerstand aus muss nach allen Seiten genügend freie Sicht vorhanden sein
2. Der Sichtschatten vor dem Bug des leeren Schiffes mit halben Vorräten und ohne Ballast darf für den Rudergänger 250 m nicht überschreiten. Zur weiteren Verkürzung des Sichtschattens dürfen nur geeignete Hilfsmittel verwendet werden. Bei der Untersuchung dürfen diese Hilfsmittel nicht berücksichtigt werden.
3. Das freie Blickfeld von dem Ort, an dem sich der Rudergänger gewöhnlich befindet, muss mindestens 240° des Horizonts betragen. Davon muss ein Blickfeld von mindestens 140° innerhalb des vorderen Halbkreises liegen. In der üblichen Sichtachse des Rudergängers dürfen sich keine Fensterpfosten, Stützen oder Aufbauten befinden. Ist auch bei einem freien Blickfeld von 240° oder mehr eine ausreichend freie Sicht nach hinten nicht gewährleistet, kann die Untersuchungskommission zusätzliche Maßnahmen verlangen, insbesondere den Einbau geeigneter Hilfsmittel. Die Höhe der Unterkante der Seitenfenster muss möglichst gering und die Höhe der Oberkante der Seitenfenster und heckseitigen Fenster möglichst groß sein. Bei der Feststellung, ob die Anforderungen dieses Paragraphen an die freie Sicht aus dem Steuerhaus erfüllt werden, ist davon auszugehen, dass die Augenhöhe des Rudergängers 1,65 m über dem Fußboden des Steuerhauses am Steuerstand beträgt.
4. Die Oberkante der bugseitigen Steuerhausfenster muss hoch genug sein, um einer Person am Steuerstand freie Sicht voraus zu gewähren.
5. Diese Anforderung gilt als erfüllt, wenn eine Person am Steuerstand mit einer Augenhöhe von 1,80 m freie Sicht hat, die noch mindestens 10° über die Horizontalebene auf Augenhöhe reicht.
6. Die klare Sicht durch die Frontfenster muss durch geeignete Mittel bei jeder Witterung gewährleistet sein.
7. Im Steuerhaus verwendete Fensterscheiben müssen aus Sicherheitsglas sein und eine Mindestlichtdurchlässigkeit von 75 % haben. Um Reflexe zu vermeiden, müssen die vorderen Steuerhausfenster reflexfrei oder so eingesetzt sein, dass Reflexe effektiv ausgeschlossen sind. Die Anforderung des zweiten Satzes gilt als erfüllt, wenn die Fenster gegen die Vertikalebene geneigt sind und oben um mindestens 10° und höchstens 25° nach außen gestellt sind.
§ 7.03 Allgemeine Anforderungen an Bedienungs-, Anzeige- und Überwachungseinrichtungen
1. Zur Führung des Schiffes notwendige Bedienungseinrichtungen müssen leicht in ihre Betriebsstellung gebracht werden können. Diese Stellung muss eindeutig erkennbar sein.
2. Überwachungsinstrumente müssen leicht abzulesen sein; sie müssen stufenlos regelbar beleuchtet werden können. Beleuchtungsquellen dürfen nicht stören oder die Erkennbarkeit der Überwachungsinstrumente beeinträchtigen.
3. Eine Einrichtung zur Kontrolle der Meldeleuchten muss vorhanden sein.
4. Es muss eindeutig erkennbar sein, ob eine Anlage in Betrieb ist. Wird dies durch eine Meldeleuchte angezeigt, muss diese grün sein.
5. Störungen oder Ausfall von Anlagen, für die eine Überwachung vorgeschrieben ist, sind durch rote Meldeleuchten anzuzeigen.
6. Mit dem Aufleuchten einer der roten Meldeleuchten muss ein akustisches Signal ertönen. Akustische Alarmsignale können als Sammelmeldung erfolgen. Der Schalldruckpegel dieses Signals muss mindestens 3 dB(A) höher liegen als der am Steuerstand örtlich vorherrschende maximale Lärmpegel.
7. Das akustische Signal muss nach dem Erkennen des Ausfalls oder der Störung gelöscht werden können. Die Funktion des Signals für weitere Störungen darf durch das Löschen nicht beeinträchtigt werden. Die roten Meldeleuchten dürfen dagegen erst nach Beseitigung der Störung erlöschen.
8. Überwachungen und Anzeigen müssen beim Ausfall ihrer Speisung automatisch auf eine andere Energiequelle geschaltet werden.
§ 7.04 Besondere Anforderungen an Bedienungs-, Anzeige- und Überwachungseinrichtungen für Antriebsmaschinen und Steuereinrichtungen 12a
1. Die Bedienung und Überwachung der Antriebsmaschinen und der Steuereinrichtungen muss vom Steuerstand aus möglich sein. Antriebsmaschinen, die mit einer vom Steuerstand aus bedienbaren Kupplung versehen sind oder einen vom Steuerstand aus bedienbaren Verstellpropeller antreiben, brauchen nur im Maschinenraum an- und abgestellt werden zu können.
2. Für jede Antriebsmaschine darf nur ein Hebel zur Maschinensteuerung vorhanden sein. Der Hebel muss auf einem Kreisbogen in einer senkrechten, zur Schiffslängsachse annähernd parallelen Ebene beweglich sein. Das Bewegen dieses Hebels in Richtung Vorschiff muss die Vorausfahrt, das Bewegen in Richtung Achterschiff die Rückwärtsfahrt bewirken. Etwa in der Nullstellung des Hebels wird gekuppelt oder umgesteuert. In der Nullstellung muss der Hebel einrasten.
3. Die Richtung der vom Antrieb auf das Schiff wirkenden Schubkraft und die Drehzahl der Propeller oder der Antriebsmaschinen muss angezeigt werden.
4. Anzeigen und Überwachungen nach § 6.07 Nr. 2, § 8.03 Nr. 2 und § 8.05 Nr. 13 müssen am Steuerstand angeordnet sein.
5. Bei Radar-Einmannsteuerständen muss die Steuerung des Schiffes mittels eines Hebels erfolgen. Dieser Hebel muss mit der Hand bequem bedient werden können. Der Hebelausschlag muss der Stellung der Ruderblätter zur Schiffslängsachse entsprechen. Der Hebel muss in jeder beliebigen Lage losgelassen werden können, ohne dass sich hierdurch die Stellung der Ruderblätter ändert. Die Nullstellung des Hebels muss deutlich fühlbar sein.
6. Ist das Schiff mit Bugrudern oder besonderen Rudern (insbesondere für die Rückwärtsfahrt) ausgerüstet, müssen diese bei Radar-Einmannsteuerständen über besondere Hebel bedient werden können, die Nummer 5 sinngemäß entsprechen.
Dies gilt auch, wenn bei Fahrzeugzusammenstellungen die Rudereinrichtungen anderer als des zum Führen des Verbandes benutzten Fahrzeugs eingesetzt werden.
7. Bei Einsatz von Wendegeschwindigkeitsreglern muss das Bedienungsorgan zum Einstellen der Wendegeschwindigkeit in jeder beliebigen Lage losgelassen werden können, ohne dass sich die eingestellte Wendegeschwindigkeit ändert.
Der Drehbereich des Bedienungsorgans muss so sein, dass eine genügende Genauigkeit der Einstellung gewährleistet ist. Die Nullstellung muss sich fühlbar von anderen Stellungen unterscheiden. Die Skala muss stufenlos regelbar beleuchtet werden können.
8. Fernbetätigungseinrichtungen der gesamten Steuereinrichtung müssen fest eingebaut und so angeordnet sein, dass die gewählte Fahrtrichtung eindeutig erkennbar ist. Sind die Fernbetätigungseinrichtungen ausschaltbar, müssen sie mit einer Anzeigevorrichtung versehen sein, die den jeweiligen Betriebszustand "Ein" oder "Aus" angibt. Die Anordnung und die Betätigung der Bedienungselemente müssen funktionsgerecht sein.
Für ergänzende Anlagen der Steuereinrichtung, wie Bugstrahlanlagen, sind nicht fest eingebaute Fernbetätigungseinrichtungen zulässig, wenn durch eine Vorrangschaltung im Steuerhaus die Betätigung der ergänzenden Anlage jederzeit übernommen werden kann.
9. Bei Ruderpropeller-, Wasserstrahl-, Zykloidalpropeller- und Bugstrahlanlagen sind gleichwertige Bedienungs-, Anzeige- und Überwachungseinrichtungen zulässig. Die Anforderungen nach den Nummern 1 bis 8 sind sinngemäß und unter Beachtung der besonderen Eigenschaften und der gewählten Anordnung der genannten aktiven Steuer- und Antriebsorgane zu erfüllen. In Analogie zu Nummer 2 muss für jede Anlage die Bedienung mittels eines Hebels erfolgen, der sich auf einem Kreisbogen zu einer senkrechten, zur Richtung der Schubkraft der Anlage annähernd parallelen Ebene bewegt. Aus der Stellung des Hebels muss die Richtung der auf das Schiff wirkenden Schubkraft erkennbar sein.
Sofern Ruderpropeller- oder Zykloidalpropelleranlagen nicht mittels Hebel bedient werden, kann die Untersuchungskommission Abweichungen von Nummer 2 zulassen. Die Abweichungen sind von der Untersuchungskommission im Schiffsattest unter der Nummer 52 zu vermerken.
§ 7.05 Signallichter, Licht- und Schallzeichen 12a
1. Signallichter und deren Gehäuse und Zubehör müssen das Zulassungskennzeichen tragen, das nach § 5 Absatz 3 in Verbindung mit § 2 Definition 11 der Schiffsausrüstungsverordnung vom 1. Oktober 2008 (BGBl. I S. 1913) vorgeschrieben ist. Eine Kennzeichnung auf Grund eines Artikel 11 der Richtlinie 96/98/EG des Rates vom 20. Dezember 1996 über Schiffsausrüstung (ABl. Nr. L 46 vom 17.02.1997 S. 25), die zuletzt durch die Richtlinie 2011/75/EU (ABl. Nr. L 239 vom 15.09.2011 S. 1) geändert worden ist, umsetzenden Rechtsaktes eines Mitgliedstaates der Europäischen Union gilt als gleichwertig.
2. Zur Kontrolle der Signallichter müssen Stromanzeigelampen oder gleichwertige Einrichtungen wie Meldeleuchten im Steuerhaus angebracht sein, sofern diese Kontrolle nicht unmittelbar vom Steuerhaus aus möglich ist.
3. Bei Radar-Einmannsteuerständen müssen zur Kontrolle der Signallichter und der Lichtzeichen Meldeleuchten am Steuerstand eingebaut sein. Die Schalter der Signallichter müssen in die Meldeleuchten integriert sein oder sich in unmittelbarer Nähe der Meldeleuchten befinden und diesen eindeutig zugeordnet sein.
Anordnung und Farbe der Meldeleuchten der Signallichter und der Lichtzeichen müssen der wirklichen Lage und Farbe der geschalteten Signallichter und Lichtzeichen entsprechen.
Der Ausfall eines Signallichtes oder eines Lichtzeichens muss das Erlöschen der entsprechenden Meldeleuchte bewirken oder auf andere Weise durch die entsprechende Meldeleuchte signalisiert werden.
4. Bei Radar-Einmannsteuerständen müssen sich die Schallzeichen durch Fußschalter geben lassen. Dies gilt nicht für das "Bleib-weg-Signal" nach der Rheinschifffahrtspolizeiverordnung.
§ 7.06 Informations- und Navigationsgeräte 12a 17
1. Navigationsradaranlagen und Wendeanzeiger müssen den Anforderungen der Anlage M Teil I und Teil II oder den Anforderungen des Anhangs IX Teil I und Teil II entsprechen. Die Einhaltung der Anforderungen wird durch eine von der zuständigen Behörde erteilte Typgenehmigung festgestellt. Inland-ECDIS-Geräte, die im Navigationsmodus betrieben werden können, gelten als Navigationsradaranlagen. Sie müssen zusätzlich die Anforderungen des Inland-ECDIS-Standards in der am Tag der Erteilung der Typgenehmigung gültigen Ausgabe erfüllen. Die Vorschriften für den Einbau und die Funktionsprüfung von Navigationsradaranlagen und Wendeanzeigern nach Anlage M Teil III müssen eingehalten sein. Der Wendeanzeiger muss vor dem Rudergänger in dessen Blickfeld angebracht sein. Die Verzeichnisse der nach Anlage M oder auf Grund als gleichwertig anerkannter Typgenehmigungen zugelassenen Navigationsradaranlagen und Wendeanzeiger werden von der Zentralkommission veröffentlicht.
Der Wendeanzeiger muss vor dem Rudergänger in dessen Blickfeld angebracht sein.
2. Bei Radar-Einmannsteuerständen
3. Inland AIS Geräte müssen einem von der zuständigen Behörde eines Rheinuferstaates oder Belgiens auf der Grundlage des Test Standards (Beschluss 2007-I-15), Edition 2.0 (www.ccrzkr.org/ files/documents/ris/ais20_d.pdf), zugelassenen Typ entsprechen. Die Vorschriften für den Einbau und die Funktionsprüfung von Inland AIS Geräten nach Anlage N Teil I müssen eingehalten sein. Der Test Standard sowie die Verzeichnisse der nach Anlage N oder aufgrund als gleichwertig anerkannter Typgenehmigungen zugelassenen AIS Geräte werden von der Zentralkommission veröffentlicht
§ 7.07 Sprechfunkanlage für Schiffe mit Radar-Einmannsteuerstand
1. Bei Schiffen mit Radar-Einmannsteuerstand muss für die Verkehrskreise Schiff-Schiff und Nautische Information der Empfang über Lautsprecher und das Senden über feste Mikrofone geschehen; das Umschalten Empfangen/Senden hat mittels Drucktaste zu erfolgen. Die Mikrofone dieser Verkehrskreise dürfen nicht für Verbindungen des Verkehrskreises öffentlicher Nachrichtenaustausch verwendet werden können.
2. Bei Schiffen mit Radar-Einmannsteuerstand, die mit einer Sprechfunkanlage für den Verkehrskreis öffentlicher Nachrichtenaustausch ausgerüstet sind, muss der Empfang vom Sitz des Rudergängers aus erfolgen können.
§ 7.08 Interne Sprechverbindungen an Bord
An Bord von Schiffen mit Radar-Einmannsteuerstand muss eine Einrichtung für interne Sprechverbindungen vorhanden sein.
Vom Steuerstand aus müssen folgende Sprechverbindungen hergestellt werden können:
An allen Stellen dieser Sprechverbindungen hat der Empfang über Lautsprecher und das Senden über feste Mikrofone zu erfolgen. Zum Bug und zum Heck des Schiffes oder des Verbandes ist eine Funksprechverbindung zulässig.
§ 7.09 Alarmanlage
1. Eine unabhängige Alarmanlage, mit der die Wohnungen, die Maschinenräume und gegebenenfalls separate Pumpenräume erreicht werden können, muss vorhanden sein.
2. Der Rudergänger muss in Reichweite einen Ein/Aus-Schalter für das Alarmsignal haben. Für dieses Signal darf kein Schalter verwendet werden, der beim Loslassen selbsttätig in die Stellung "Aus" zurückkehren kann.
3. Der Schalldruckpegel des Alarmsignals muss in den Wohnungen mindestens 75 dB(A) betragen.
In Maschinen- und Pumpenräumen muss ein überall gut wahrnehmbares, rundum sichtbares Blinklicht als Alarmsignal vorhanden sein.
§ 7.10 Heizung und Lüftung
Steuerhäuser müssen mit einer wirksamen und regelbaren Heizung und Lüftung versehen sein.
§ 7.11 Bedienungseinrichtung für Heckanker
Auf Schiffen und Verbänden mit Radar-Einmannsteuerstand und L von mehr als 86 m oder B von mehr als 22,90 m muss der Rudergänger die Heckanker von seinem Platz aus setzen können.
§ 7.12 In der Höhe verstellbare Steuerhäuser
In der Höhe verstellbare Steuerhäuser müssen mit einer Notabsenkung versehen sein.
Während jedes Absenkvorgangs muss selbsttätig ein akustisches Warnsignal deutlich wahrnehmbar sein. Dies gilt nicht, wenn durch geeignete bauliche Maßnahmen eine durch die Höhenverstellung verursachte Verletzungsgefahr ausgeschlossen ist.
In allen Höhenstellungen muss ein gefahrloses Verlassen des Steuerhauses möglich sein.
§ 7.13 Vermerk im Schiffsattest für Schiffe mit Radar-Einmannsteuerständen
Entspricht ein Schiff den Sondervorschriften für Radar-Einmannsteuerstände nach den §§ 7.01, 7.04 bis 7.08 und 7.11, ist im Schiffsattest einzutragen:
"Das Schiff verfügt über einen Radar-Einmannsteuerstand."
![]() |
weiter . | ![]() |
(Stand: 16.10.2018)
Alle vollständigen Texte in der aktuellen Fassung im Jahresabonnement
Nutzungsgebühr: ab 105.- € netto
(derzeit ca. 7200 Titel s.Übersicht - keine Unterteilung in Fachbereiche)
Die Zugangskennung wird kurzfristig übermittelt
? Fragen ?
Abonnentenzugang/Volltextversion