![]() |
zurück | ![]() |
4.1.5 Besondere Vorschriften für das Verpacken von Gütern der Klasse 1
4.1.5.1 Die allgemeinen Vorschriften nach 4.1.1 müssen erfüllt sein.
4.1.5.2 Alle Verpackungen für Güter der Klasse 1 müssen so ausgelegt und ausgeführt sein, dass:
4.1.5.3 Alle explosiven Stoffe und Gegenstände mit Explosivstoff müssen in versandfertigem Zustand nach dem in 2.1.3 beschriebenen Verfahren zugeordnet werden.
4.1.5.4 Die Güter der Klasse 1 müssen in Übereinstimmung mit der entsprechenden in den Spalten 8 und 9 der Gefahrgutliste angegebenen und in 4.1.4 im Detail beschriebenen Verpackungsanweisung verpackt werden.
4.1.5.5 Vorbehaltlich von 4.1.1.13, 6.1.2.4 bzw. 6.5.1.4.4 müssen Verpackungen, einschließlich IBC und Großverpackungen, die Vorschriften des Kapitels 6.1, 6.5 bzw. 6.6 erfüllen und den Prüfvorschriften von 6.1.5, 6.5.4 bzw. 6.6.5 für die Verpackungsgruppe II genügen. Andere Verpackungen als Verpackungen aus Metall, die die Prüfkriterien der Verpackungsgruppe I erfüllen, dürfen verwendet werden. Um eine übermäßige Verdämmung zu verhindern, dürfen Verpackungen aus Metall, die die Prüfkriterien der Verpackungsgruppe I erfüllen, nicht verwendet werden.
4.1.5.6 Die Verschlusseinrichtung der Verpackungen für flüssige explosive Stoffe muss einen doppelten Schutz gegen Leckage bieten.
4.1.5.7 Die Verschlusseinrichtung von Fässern aus Metall muss eine geeignete Dichtung enthalten; weist die Verschlusseinrichtung ein Gewinde auf, muss das Eindringen von explosiven Stoffen in das Gewinde verhindert werden.
4.1.5.8 Wasserlösliche Stoffe müssen in wasserbeständige Verpackungen verpackt sein. Die Verpackungen für desensibilisierte oder phlegmatisierte Stoffe müssen so verschlossen sein, dass Konzentrationsänderungen während der Beförderung verhindert werden.
4.1.5.9 Enthält eine Verpackung eine mit Wasser gefüllte doppelte Umhüllung und könnte das Wasser während der Beförderung gefrieren, ist das Wasser mit einer genügenden Menge Frostschutzmittel zu versetzen, um das Gefrieren zu verhindern. Frostschutzmittel, die wegen ihrer Entzündbarkeit eine Brandgefahr darstellen könnten, dürfen nicht verwendet werden
4.1.5.10 Nägel, Klammern und andere Verschlusseinrichtungen aus Metall ohne Schutzüberzug dürfen nicht in das Innere der Außenverpackung eindringen, es sei denn, die explosiven Stoffe und Gegenstände mit Explosivstoff sind durch die Innenverpackung vor einem Kontakt mit dem Metall wirksam geschützt.
4.1.5.11 Die Innenverpackungen, Abstandhalter und Polsterstoffe sowie die Anordnung der explosiven Stoffe oder der Gegenstände mit Explosivstoff in den Versandstücken müssen so sein, dass sich die explosiven Stoffe unter normalen Beförderungsbedingungen nicht in der Außenverpackung verteilen können. Die metallenen Teile der Gegenstände dürfen mit den Metallverpackungen nicht in Kontakt kommen. Gegenstände mit Explosivstoffen, die nicht in einer äußeren Umhüllung eingeschlossen sind, müssen so voneinander getrennt werden, dass Reibung und Stöße verhindert werden. Zu diesem Zweck dürfen Polsterstoffe, Horden, unterteilende Trennwände in der Innen- oder Außenverpackung, Formpressteile oder Behälter verwendet werden.
4.1.5.12 Die Verpackungen müssen so aus Werkstoffen, die mit den im Versandstück enthaltenen explosiven Stoffen verträglich und gegenüber diesen undurchlässig sind, hergestellt sein, dass weder eine Wechselwirkung zwischen den explosiven und den Werkstoffen der Verpackung noch ein Austreten aus der Verpackung dazu führt, dass die explosiven Stoffe oder die Gegenstände mit Explosivstoff die Sicherheit der Beförderung beeinträchtigen oder sich die Gefahrenunterklasse oder die Verträglichkeitsgruppe ändert.
4.1.5.13 Das Endringen von explosiven Stoffen in die Zwischenräume der Verbindungsstellen von gefalzten Metallverpackungen muss verhindert werden.
4.1.5.14 Bei Kunststoffverpackungen darf nicht die Gefahr der Erzeugung oder der Ansammlung solcher Mengen elektrostatischer Ladung gegeben sein, dass eine Entladung die Zündung, die Entzündung oder das Auslösen des verpackten explosiven Stoffes oder des Gegenstandes mit Explosivstoff verursachen könnte.
4.1.5.15 Große und robuste Gegenstände mit Explosivstoff, die normalerweise für eine militärische Verwendung vorgesehen sind und die keine Zündmittel enthalten oder deren Zündmittel mit mindestens zwei wirksamen Sicherungsvorrichtungen ausgerüstet sind, dürfen ohne Verpackung befördert werden. Enthalten diese Gegenstände Treibladungen oder sind die Gegenstände selbstantreibend, müssen ihre Zündungssysteme gegenüber Belastungen geschützt sein, die unter normalen Beförderungsbedingungen auftreten können. Ist das Ergebnis der an einem unverpackten Gegenstand durchgeführten Prüfungen der Prüfreihe 4 negativ, kann eine Beförderung des Gegenstands ohne Verpackung vorgesehen werden. Solche unverpackten Gegenstände dürfen auf Schlitten so befestigt oder in Verschlägen oder anderen geeigneten Handhabungs-, Lagerungs- oder Abschusseinrichtungen so eingesetzt sein, dass sie sich unter normalen Beförderungsbedingungen nicht lockern können. Werden solche großen Gegenstände mit Explosivstoff im Rahmen der Prüfung ihrer Betriebssicherheit und Eignung Prüfverfahren unterworfen, die den Anforderungen dieses Code entsprechen, und haben diese Gegenstände diese Prüfungen bestanden, darf die zuständige Behörde diese Gegenstände zur Beförderung nach diesem Code zulassen.
4.1.5.16 Explosive Stoffe dürfen nicht in Innen- oder Außenverpackungen verpackt werden, in den Unterschiede zwischen Innen- und Außendruck auf Grund thermischer oder anderer Wirkungen eine Explosion oder ein Zubruchgehen des Versandstücks zur Folge haben können.
4.1.5.17 Sofern freie explosive Stoffe oder Explosivstoffe eines nicht oder nur teilweise mit einer Umhüllung versehenen Gegenstands mit der inneren Oberfläche der Metallverpackungen (1A2, 1B2, 4A, 4B und Behälter aus Metall) in Kontakt kommen können, muss die Metallverpackung mit einer Innenauskleidung oder -beschichtung ausgestattet sein (siehe 4.1.1.2).
4.1.5.18 Die Verpackungsanweisung P101 darf für jeden explosiven Stoff oder Gegenstand mit Explosivstoff verwendet werden, sofern die Verpackung von einer zuständigen Behörde genehmigt wurde und unabhängig davon, ob die Verpackung der Liste der gefährlichen Güter zugeordneten Verpackungsanweisung entspricht oder nicht.
4.1.5.19 Stoffe und Gegenstände, die den Streitkräften eines Staates gehören und die vor dem 1. Januar 1990 in Übereinstimmung mit den damals geltenden Vorschriften des IMDG-Codes verpackt wurden, dürfen befördert werden sofern die Verpackungen unversehrt sind und in einer Erklärung angegeben wird, dass es sich um vor dem 1. Januar 1990 verpackte militärische Stoffe und Gegenstände handelt, die den Streitkräften eines Staates gehören.
4.1.6 Besondere Vorschriften für das Verpacken von Gütern der Klasse 2
4.1.6.1 Allgemeine Vorschriften
4.1.6.1.1 Dieser Abschnitt enthält allgemeine Vorschriften für die Verwendung von Druckgefäßen zur Beförderung von Gasen der Klasse 2 und Gütern anderer Klassen, in Druckgefäßen (z.B. UN 1051 Cyanwasserstoff, stabilisiert). Druckgefäße sind so herzustellen und zu verschließen, dass ein Austreten des Inhalts unter normalen Beförderungsbedingungen, einschließlich Vibration, Temperaturwechsel, Feuchtigkeits- oder Druckänderung (z.B. hervorgerufen durch Höhenunterschiede), verhindert wird.
4.1.6.1.2 Die Teile der Druckgefäße, die unmittelbar mit gefährlichen Gütern in Berührung kommen, dürfen durch diese gefährlichen Güter nicht angegriffen oder geschwächt werden und dürfen keinen gefährlichen Effekt auslösen (z.B. eine katalytische Reaktion oder eine Reaktion mit den gefährlichen Gütern). Die Vorschriften von ISO 11114-1:1997 und ISO 1114 2:2000 müssen gegebenenfalls eingehalten werden. Druckgefäße für UN 1001 Acetylen, gelöst, und UN 3374 Acetylen, lösungsmittelfrei müssen vollständig mit einem gleichmäßig verteilten porösen Material eines Typs gefüllt sein, der den von der zuständigen Behörde festgelegten Vorschriften und Prüfungen entspricht, wobei dieses poröse Material
Im Falle der UN-Nummer 1001 muss das Lösungsmittel mit den Druckgefäßen verträglich sein.
4.1.6.1.3 Die Druckgefäße, einschließlich ihrer Verschlüsse, sind für die Aufnahme eines Gases oder Gasgemisches nach den Vorschriften von 6.2.1.2 und den Vorschriften der zutreffenden Verpackungsanweisungen von 4.1.4.1 auszuwählen. Dieses gilt auch für Druckgefäße, die Elemente eines MEGC sind.
4.1.6.1.4 Ein Wechsel der Verwendung von nachfüllbaren Druckgefäßen muss Entleerungs-, Reinigung- und Entgasungsmaßnahmen in einem für den sicheren Betrieb notwendige Maße einschließen. Der Wechsel der Gasart für verdichtete und verflüssigte Gase muss nach ISO 11621:1997 erfolgen, sofern zutreffend. Darüber hinaus darf ein Druckgefäß, das zuvor einen ätzenden Stoff der Klasse 8 oder einen Stoff einer anderen Klasse mit der Nebengefahr ätzend enthalten hat, nicht für die Beförderung eines Stoffes der Klasse 2 zugelassen werden, es sei denn, die in 6.2.1.5 festgelegte Kontrolle und Prüfung wurde durchgeführt.
4.1.6.1.5 Vor dem Befüllen muss der Verpacker eine Kontrolle des Druckgefäßes durchführen und sicherstellen, dass das Druckgefäß für den zu befördernden Stoff zugelassen ist und die Vorschriften erfüllt sind. Nach dem Befüllen müssen die Verschlussventile geschlossen werden und während der Beförderung verschlossen bleiben. Der Absender muss überprüfen, dass die Verschlüsse und die Ausrüstung nicht undicht sind.
4.1.6.1.6 Die Druckgefäße müssen entsprechend den in der für den einzufüllenden Stoff zutreffenden Verpackungsanweisung festgelegten Betriebsdrücken, Füllungsgraden und Vorschriften befüllt werden. Reaktionsfähige Gase und Gasgemische müssen mit einem solchen Druck eingefüllt werden, damit bei einer vollständigen Zersetzung des Gases der Betriebsdruck des Druckgefäßes nicht überschritten wird. Flaschenbündel dürfen nicht mit einem Druck befüllt werden, der den niedrigsten Betriebsdruck einer der Flaschen des Bündels überschreitet.
4.1.6.1.7 Die Druckgefäße, einschließlich ihrer Verschlüsse, müssen den in Kapitel 6.2 aufgeführten Vorschriften für die Auslegung, den Bau, die Kontrolle und die Prüfung entsprechen. Sofern Außenverpackungen vorgeschrieben sind, sind die Druckgefäße darin sicher und fest zu verpacken. Sofern in den einzelnen Verpackungsanweisungen nichts anderes vorgeschrieben ist, dürfen eine oder mehrere Innenverpackungen in eine Außenverpackung eingesetzt werden.
4.1.6.1.8 Die Verschlussventile müssen so ausgelegt und gebaut sein, dass sie von sich aus in der Lage sind, Beschädigungen ohne Freiwerden von Füllgut standzuhalten, oder sie müssen durch eine oder mehrere der folgenden Methoden gegen Beschädigungen, die zu einem unbeabsichtigten Freiwerden von Füllgut des Druckgefäßes führen können, geschützt sein:
Für Druckgefäße mit Verschlussventilen nach 4.1.6.1.8.2 und 4.1.6.1.8.3 müssen die Anforderungen von ISO 11117:1998 eingehalten werden. Für Verschlussventile mit inherentem Schutz müssen die Bestimmungen des Anhangs B von ISO 10297:1999 eingehalten werden.
4.1.6.1.9 Nicht nachfüllbare Druckgefäße:
4.1.6.1.10 Nachfüllbare Druckgefäße, mit Ausnahme von Kryo-Behältern, sind wiederkehrenden Prüfungen entsprechend den Vorschriften von 6.2.1.5 und der Verpackungsanweisungen P200 zu unterziehen. Druckgefäße dürfen nach Fälligkeit der wiederkehrenden Prüfung nicht befüllt werden, jedoch dürfen sie nach Ablauf der Frist befördert werden.
4.1.6.1.11 Reparaturen müssen in Übereinstimmung mit den Vorschriften für die Herstellung und die Prüfung der anwendbaren Auslegungs- und Baunormen durchgeführt werden und sind nur zugelassen, wenn dies in den entsprechenden, in 6.2.2.4 aufgeführten Normen für die wiederkehrende Prüfung angegeben ist. Druckgefäße, mit Ausnahme der Umhüllung von verschlossenen Kryo-Behältern dürfen keinen Reparaturen der nachfolgenden Mängel unterzogen werden:
4.1.6.1.12 Druckgefäße dürfen nicht zur Befüllung übergeben werden:
4.1.6.1.13 Befüllte Druckgefäße dürfen nicht zur Beförderung übergeben werden:
4.1.6.1.14 Wenn in Verpackungsanweisung P 200 Flaschen und andere Druckgasgefäße in Übereinstimmung mit den Anforderungen dieses Unterabschnitts und des Kapitels 6.2 zugelassen sind, ist auch die Verwendung von Flaschen und Druckgefäßen zugelassen, die den Anforderungen der zuständigen Behörde des Landes entsprechen, in dem die Flasche oder der Druckbehälter befüllt wird. Verschlussventile müssen in geeigneter Weise geschützt sein. Druckgefäße mit einem Fassungsraum von höchstens 1 Liter müssen in Außenverpackungen verpackt werden, die aus geeignetem Werkstoff angemessener Stärke und Bauart bezüglich ihres Fassungsvermögens und vorgesehenen Verwendung gebaut und so gesichert oder gepolstert sind, dass unter normalen Beförderungsbedingungen eine wesentliche Bewegung in der Außenverpackung verhindert wird.
4.1.7 Besondere Vorschriften für das Verpacken organische Peroxide (Klasse 5.2) und selbstzersetzliche Stoffe der Klasse 4.1
4.1.7.0 Allgemeines
4.1.7.0.1 Bei organischen Peroxiden müssen alle Gefäße "wirksam verschlossen" sein. Wenn in einem Versandstück durch die Entwicklung von Gas ein bedeutender Innendruck entstehen kann, darf eine Lüftungseinrichtung angebracht werden, vorausgesetzt, das ausströmende Gas stellt keine Gefahr dar; andernfalls ist der Füllungsgrad zu begrenzen. Lüftungseinrichtungen müssen so gebaut sein, dass kein flüssiger Stoff entweichen kann, wenn sich das Versandstück in aufrechter Position befindet, und müssen das Eindringen von Verunreinigungen verhindern. Die Außenverpackung muss, soweit vorhanden, so ausgelegt sein, dass sie die Funktion der Lüftungseinrichtung nicht beeinträchtigt.
4.1.7.1 Verwendung von Verpackungen
4.1.7.1.1 Verpackungen für organische Peroxide und selbstzersetzliche Stoffe müssen den Vorschriften des Kapitels 6.1 oder 6.6 für die Verpackungsgruppe II entsprechen. Um eine übermäßige Verdämmung zu verhindern, dürfen Verpackungen aus Metall, die die Prüfkriterien der Verpackungsgruppe I erfüllen, nicht verwendet werden.
4.1.7.1.2 Die Verpackungsmethoden für organische Peroxide und selbstzersetzliche Stoffe sind in der Verpackungsanweisung P52C aufgeführt und werden mit OP1 bis OP8 bezeichnet. Die für jede Verpackungsmethode angegebenen Mengen stellen die für die Versandstücke zugelassenen Höchstmengen dar.
4.1.7.1.3 Für alle bereits zugeordneten selbstzersetzlichen Stoffe und organische Peroxide sind die anzuwendenden Verpackungsmethoden in den Absätzen 2.4.2.3.2.3 und 2.5.3.2.4 aufgeführt.
4.1.7.1.4 Für neue organische Peroxide, neue selbstzersetzliche Stoffe oder neue Zubereitungen von bereits zugeordneten organischen Peroxiden oder von bereits zugeordneten selbstzersetzlichen Stoffen ist die geeignete Verpackungsmethode wie folgt zu bestimmen:
4.1 7.2 Verwendung von IBC
4.1 7.2.1 Die bereits zugeordneten organischen Peroxide, die in Verpackungsanweisung IBC 520 aufgeführt sind, dürfen in Großpackmitteln (IBC) gemäß dieser Verpackungsanweisung befördert werden.
4.1.7.2.2 Die anderen organische Peroxide und die selbstzersetzlichen Stoffe des Typs F dürfen in IBC unter den von der zuständigen Behörde des Ursprungslandes festgesetzten Bedingungen befördert werden, wenn die zuständige Behörde aufgrund von Prüfungen bestätigt, dass eine solche Beförderung sicher durchgeführt werden kann. Die Prüfungen müssen folgendes ermöglichen:
4.1.7.2.3 Für selbstzersetzliche Stoffe ist die Temperaturkontrolle gemäß 2.4.2.3.4 erforderlich. Für organische Peroxide ist die Temperaturkontrolle gemäß 2.5.3.4.1 erforderlich. Die Vorschriften für die Temperaturkontrolle sind in Kapitel 7.7 angegeben.
4.1.7.2.4 Selbstbeschleunigende Zersetzung und Feuereinwirkung sind als Notfälle zu berücksichtigen. Um ein explosionsartiges Zerbersten von metallenen IBC oder Kombinations-IBC mit vollwandigem Metallgehäuse zu vermeiden, müssen die Notfall-Druckentlastungseinrichtungen so ausgelegt sein, dass alle Zersetzungsprodukte und Dämpfe abgeführt werden, die bei selbstbeschleunigender Zersetzung oder Feuereinwirkung während eines Zeitraums von mindestens einer Stunde, berechnet nach der in 4.2.1.13.8 angegebenen Formel, entwickelt werden.
4.1.8 Besondere Vorschriften für das Verpacken ansteckungsgefährliche Stoffe (Klasse 6.2)
4.1.8.1 Der Versender von ansteckungsgefährlichen Stoffen muss sicherstellen, dass die Versandstücke so vorbereitet sind, dass sie ihren Bestimmungsort in gutem Zustand erreichen und keine Gefahr für Personen oder Tiere während der Beförderung darstellen.
4.1.8.2 Die Begriffsbestimmungen in 1.2.1 und die allgemeinen Verpackungsvorschriften von 4.1.1.1 bis 4.1.1.14 ausgenommen 4.1.1.10 bis 4.1.1.12 gelten für Versandstücke mit ansteckungsgefährlichen Stoffen, Flüssige Stoffe müssen jedoch in Verpackungen, einschließlich Großpackmittel (IBC), eingefüllt werden, die gegenüber einem Innendruck, der sich unter normalen Beförderungsbedingungen entwickeln kann, ausreichend fest sind.
4.1.8.3 Für die UN-Nummern 2814 und 2900 muss eine detaillierte Auflistung des Inhalts zwischen der Sekundärverpackung und der Außenverpackung enthalten sein.
Wenn die zu befördernden ansteckungsgefährlichen Stoffe nicht bekannt sind, jedoch unter dem Verdacht stehen, dass sie den Kriterien für eine Aufnahme in Kategorie a und für eine Zuordnung zur UN-Nummer 2814 oder 2900 entsprechen, muss im Dokument innerhalb der Außenverpackung der Wortlaut "Verdacht auf ansteckungsgefährlichen Stoff der Kategorie A" nach der offiziellen Benennung für die Beförderung in Klammern angegeben werden.
4.1.8.4 Bevor eine leere Verpackung dem Absender zurückgesandt wird oder an einem anderen Empfängerversandt wird, muss sie sorgfältig desinfiziert oder sterilisiert werden, Bezettelungen und Kennzeichnungen, die darauf hinweisen, dass die Verpackung ansteckungsgefährliche Stoffe enthalten hat, müssen entfernt oder unkenntlich gemacht werden.
4.1.8.5 Die Vorschriften dieses Abschnitts gelten nicht für UN 3373 Diagnostische Proben (siehe Verpackungsanweisung P650).
4.1.9 Besondere Vorschriften für das Verpacken von Stoffen der Klasse 7
4.1.9.1 Allgemeines
4.1.9.1.1 Radioaktive Stoffe, Verpackungen und Versandstücke müssen die Vorschriften des Kapitels 6.4 erfüllen. Die Menge an radioaktiven Stoffen in einem Versandstück darf die in 2.7.7.1 festgelegten Grenzwerte nicht überschreiten.
4.1.9.1.2 Die nicht festhaftende Kontamination an den Außenseiten eines Versandstückes muss so gering wie möglich sein und darf unter normalen Beförderungsbedingungen folgenden Grenzwerte nicht überschreiten:
Diese Grenzwerte sind anwendbar wenn sie über eine Fläche von 300 cm2 jedes Teils der Oberflächen gemittelt werden.
4.1.9.1.3 Außer Gegenständen, die für die Verwendung radioaktiver Stoffe notwendig sind, darf ein Versandstück keine anderen Gegenstände enthalten. Die Wechselwirkung zwischen diesen Gegenständen und dem Versandstück darf unter den für das Baumuster anwendbaren Beförderungsbedingungen die Sicherheit des Versandstücks nicht verringern.
4.1.9.1.4 Sofern in 7.1.14.13 nichts anderes vorgeschrieben ist, darf die Höhe der nicht festhaftende Kontamination an den Außen- und Innenflächen von Umverpackungen, Beförderungseinheiten, Tanks, IBC und Beförderungsmittel die in 4.1.9.1.2 aufgeführten Grenzwerte nicht überschreiten.
4.1.9.1.5 Radioaktive Stoffe mit einer Nebengefahr müssen in Verpackungen, IBC oder Tanks befördert werden, die vollständig den Vorschriften des jeweils zutreffenden Kapitel des Teils 6 sowie der für diese Nebengefahr anwendbaren Vorschriften der Kapitel 4.1 oder 4.2 erfüllen.
4.1.9.1.6 Pyrophore radioaktive Stoffe müssen ausreichend inertisiert in Typ A, Typ B (U), Typ B (M) oder Typ C Versandstücken verpackt werden.
4.1.9.2 Vorschriften und Kontrollmaßnahmen für die Beförderung radioaktiver Stoffe mit geringer spezifischer Aktivität (LSA-Stoffe) und oberflächenkontaminierter Gegenstände (SCO-Gegenstände)
4.1.9.2.1 Die Menge der LSA-Stoffe und SCO-Gegenständen in einem Typ IP-1-Versandstück, Typ IP-2-Versandstück, Typ IP-3-Versandstück oder Gegenstand oder gegebenenfalls in einer Gesamtheit von Gegenständen, ist so zu beschränken, dass die äußere Strahlung in einem Abstand von 3 m von dem nicht abgeschirmten Stoff oder Gegenstand oder der Gesamtheit von Gegenständen 10 mSv/h nicht überschreitet.
4.1.9.2.2 Für LSA-Stoffe und SCO-Gegenstände, die spaltbare Stoffe sind oder solche enthalten, müssen die anwendbaren Vorschriften von 6.4.11.1, 7.2.9.4 und 7.2.9.5 entsprechen.
4.1.9.2.3 LSA-Stoffe und SCO-Gegenstände in den Gruppen LSA-I und SCO-I dürfen unter folgenden Bedingungen unverpackt befördert werden:
4.1.9.2.4 LSA-Stoffe und SCO-Gegenstände sind sofern die in 4.1.9.2.3 nichts anderes bestimmt ist, gemäß nachstehender Tabelle 4.1.9.2.4 zu verpacken.
Tabelle 4.1.9.2.4 Vorschriften für Industrieversandstücke, die LSA-Stoffe und oberflächenkontaminierte SCO-Gegenstände enthalten
| Typ des Industrieversandstücks | ||
| Radioaktive Inhalte | ausschließliche Verwendung | nicht unter ausschließlicher Verwendung |
| LSA-I | ||
| festa | Typ IP-1 | Typ IP-1 |
| flüssig | Typ IP-1 | Typ IP-2 |
| LSA-II | ||
| fest | Typ IP-2 | Typ IP-2 |
| flüssig und gasförmig | Typ IP-2 | Typ IP-3 |
| LSA-III | Typ IP-2 | Typ IP-3 |
| SCO-Ia | Typ IP-1 | Typ IP-1 |
| SCO-II | Typ IP-2 | Typ IP-2 |
| a) Unter den Bedingungen von 4.1.9.2.3 dürfen LSA-I-Stoffe und SCO-I Gegenstände befördert werden. | ||
---------------------------------------
*) Für zähflüssige Stoffe, deren Auslaufzeit bei Verwendung eines DIN-Prüfbechers mit einem Ausgussdurchmesser von 4 mm bei 20 °C mehr als 10 Minuten beträgt (was bei einem Ford-Prüfbecher 4 einer Auslaufzeit von mehr als 690 s bei 20 °C bzw. einer Viskosität von über 2680 mm2/s entspricht) gelten nur bezüglich der Füllungsgrenzen die Vorschriften für die Verpackungen fester Stoffe.
**) Für abweichende Temperaturen kann der maximale Füllungsgrad wie folgt bestimmt werden:
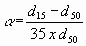
In dieser Formel bedeutet α den mittleren kubischen Ausdehnungskoeffizienten des flüssigen Stoffes zwischen 15 °C und 50 °C, d. h. für eine maximale Temperaturerhöhung von 35 °C α wird nach der Formel berechnet

Dabei bedeuten:
d15 und d50 die relativen Dichten des flüssigen Stoffes bei 15 °C bzw. 50 °C und tF die mittlere Temperatur des flüssigen Stoffes zum Zeitpunkt der Befüllung.
***) Aus der Kennzeichnung muss hervorgehen, ob der Prüfdruck oder der höchste zulässige Betriebsdruck auf dem Gefäß angegeben ist.
****) Nur bei Flaschen (Zylindern) zur Beförderung verflüssigter Gase erforderlich.
*****) Aus der Kennzeichnung muss hervorgehen, ob der Prüfdruck oder der höchste zulässige Betriebsdruck auf dem Gefäß angegeben ist.
![]() |
weiter . | ![]() |
(Stand: 29.08.2018)
Alle vollständigen Texte in der aktuellen Fassung im Jahresabonnement
Nutzungsgebühr: ab 105.- € netto
(derzeit ca. 7200 Titel s.Übersicht - keine Unterteilung in Fachbereiche)
Die Zugangskennung wird kurzfristig übermittelt
? Fragen ?
Abonnentenzugang/Volltextversion