umwelt-online: Ta Luft 02 (12)

zurück

.

Ausbreitungsrechnung  Anhang 3

1 Allgemeines

Die Ausbreitungsrechnung für Gase und Stäube ist als Zeitreihenrechnung über jeweils ein Jahr oder auf der Basis einer mehrjährigen Häufigkeitsverteilung von Ausbreitungssituationen nach dem hier beschriebenen Verfahren unter Verwendung des Partikelmodells der Richtlinie VDI 3945 Blatt 3 (Ausgabe September 2000) und unter Berücksichtigung weiterer im folgenden aufgeführter Richtlinien durchzuführen.

Das Ausbreitungsmodell liefert bei einer Zeitreihenrechnung für jede Stunde des Jahres an den vorgegebenen Aufpunkten die Konzentration eines Stoffes (als Masse/Volumen) und die Deposition (als Masse/(Fläche Zeit)). Bei Verwendung einer Häufigkeitsverteilung gemäß Kapitel 12 dieses Anhangs liefert das Ausbreitungsmodell die entsprechenden Jahresmittelwerte.

Die Ergebnisse einer Rechnung für ein Raster von Aufpunkten dienen der Auswahl der Beurteilungspunkte gemäß Nummer 4.6.2.5.

Die Ergebnisse an den Beurteilungspunkten repräsentieren die Zusatzbelastung und dienen, zusammen mit der Zeitreihe der gemessenen Vorbelastungswerte, der Bestimmung der Gesamtbelastung.

2 Festlegung der Emissionen

Emissionsquellen sind die festzulegenden Stellen des Übertritts von Luftverunreinigungen aus der Anlage in die Atmosphäre. Die bei der Ableitung der Emissionen vorliegenden Freisetzungsbedingungen sind zu berücksichtigen.

Die Emissionsparameter der Emissionsquelle (Emissionsmassenstrom, Abgastemperatur, Abgasvolumenstrom) sind als Stundenmittelwerte anzugeben. Bei zeitlichen Schwankungen der Emissionsparameter, z.B. bei Chargenbetrieb, sind diese als Zeitreihe anzugeben. Ist eine solche Zeitreihe nicht verfügbar oder verwendbar, sind die beim bestimmungsgemäßen Betrieb für die Luftreinhaltung ungünstigsten Betriebsbedingungen einzusetzen. Hängt die Quellstärke von der Windgeschwindigkeit ab (windinduzierte Quellen), so ist dies entsprechend zu berücksichtigen.

3 Ausbreitungsrechnung für Gase

Bei Gasen, für die keine Immissionswerte für Deposition festgelegt sind, ist die Ausbreitungsrechnung ohne Berücksichtigung von Deposition durchzuführen. Für Ammoniak und gasförmiges Quecksilber sind die in Tabelle 12 angegebenen Werte der Depositionsgeschwindigkeit vd zu verwenden.

Für die Berechnung der Umwandlung von NO nach NO2 sind die in Richtlinie VDI 3782 Blatt 1 (Ausgabe Dezember 2001) angegebenen Umwandlungszeiten zu verwenden.

Tabelle 12: Depositionsgeschwindigkeiten für Gase

Stoff vd in m/s
Ammoniak 0,010
Quecksilber 0,005

4 Ausbreitungsrechnung für Stäube

Bei der Ausbreitungsrechnung für Stäube sind trockene Deposition und Sedimentation zu berücksichtigen. Die Berechnung ist für folgende Größenklassen der Korngrößenverteilung, angegeben als aerodynamischer Durchmesser da, des Emissionsmassenstromes durchzuführen, wobei jeweils die angegebenen Werte von Depositionsgeschwindigkeit vd und Sedimentationsgeschwindigkeit vs zu verwenden sind:

Tabelle 13: Depositions- und Sedimentationsgeschwindigkeiten für Stäube

Klasse da in µm vd in m/s vs in m/s
1 kleiner 2,5 0,001 0,00
2 2,5 bis 10 0,01 0,00
3 10 bis 50 0,05 0,04
4 größer 50 0,20 0,15

Die Ausbreitungsrechnung für eine Korngrößenklasse ist mit dem Emissionsmassenstrom der betreffenden Korngrößenklasse durchzuführen. Für die Berechnung der Deposition des gesamten Staubes sind die Depositionswerte der Korngrößenklassen zu addieren. Die Einzelwerte der Konzentration für PM-10 (aerodynamischer Durchmesser kleiner als 10 µm) bestehen aus der Summe der Einzelwerte der Konzentration der Korngrößenklassen 1 und 2.

Ist die Korngrößenverteilung nicht im einzelnen bekannt, dann ist PM-10 wie Staub der Klasse 2 zu behandeln. Für Staub mit einem aerodynamischen Durchmesser größer als 10 µm ist für vd der Wert 0,07 m/s und für vs der Wert 0,06 m/s zu verwenden.

5 Bodenrauhigkeit

Die Bodenrauhigkeit des Geländes wird durch eine mittlere Rauhigkeitslänge z0 beschrieben. Sie ist nach Tabelle 14 aus den Landnutzungsklassen des CORINE-Katasters*) zu bestimmen (die angegebenen Nummern sind die Kennzahlen des CORINE-Katasters *.

*) "Daten zur Bodenbedeckung der Bundesrepublik Deutschland" des Statistischen Bundesamtes, Wiesbaden

Tabelle 14: Mittlere Rauhigkeitslänge in Abhängigkeit von den Landnutzungsklassen des CORINE-Katasters

z0 in m CORINE-Klasse
0,01 Strände, Dünen und Sandflächen (331); Wasserflächen (512)
0,02 Deponien und Abraumhalden (132); Wiesen und Weiden (231); Natürliches Grünland (321); Flächen mit spärlicher Vegetation (333); Salzwiesen (421); In der Gezeitenzone liegende Flächen (423); Gewässerläufe (511); Mündungsgebiete (522)
0,05 Abbauflächen (131); Sport- und Freizeitanlagen (142); Nicht bewässertes Ackerland (211); Gletscher und Dauerschneegebiete (335); Lagunen (521)
0,10 Flughäfen (124); Sümpfe (411); Torfmoore (412); Meere und Ozeane (523)
0,20 Straßen, Eisenbahn (122); Städtische Grünflächen (141); Weinbauflächen (221); Komplexe Parzellenstrukturen (242); Landwirtschaft und natürliche Bodenbedeckung (243); Heiden und Moorheiden (322); Felsflächen ohne Vegetation (332)
0,50 Hafengebiete (123); Obst- und Beerenobstbestände (222); Wald-Strauch-Übergangsstadien; (324)
1,00 Nicht durchgängig städtische Prägung (112); Industrie- und Gewerbeflächen (121); Baustellen (133); Nadelwälder (312)
1,50 Laubwälder (311); Mischwälder (313)
2,00 Durchgängig städtische Prägung (111)

Die Rauhigkeitslänge ist für ein kreisförmiges Gebiet um den Schornstein festzulegen, dessen Radius das 10fache der Bauhöhe des Schornsteins beträgt. Setzt sich dieses Gebiet aus Flächenstücken mit unterschiedlicher Bodenrauhigkeit zusammen, so ist eine mittlere Rauhigkeitslänge durch arithmetische Mittelung mit Wichtung entsprechend dem jeweiligen Flächenanteil zu bestimmen und anschließend auf den nächstgelegenen Tabellenwert zu runden. Es ist zu prüfen, ob sich die Landnutzung seit Erhebung des Katasters wesentlich geändert hat oder eine für die Immissionsprognose wesentliche Änderung zu erwarten ist.

Variiert die Bodenrauhigkeit innerhalb des zu betrachtenden Gebietes sehr stark, ist der Einfluss des verwendeten Wertes der Rauhigkeitslänge auf die berechneten Immissionsbeiträge zu prüfen.

6 Effektive Quellhöhe

Die effektive Quellhöhe ist gemäß Richtlinie VDI 3782 Blatt 3 (Ausgabe Juni 1985) zu bestimmen. Der emittierte Wärmestrom M in MW wird nach folgender Formel berechnet:

M = 1,36 ⋅ 10-3 ⋅ R' (T- 283,15 K) (1)

Hierbei ist M der Wärmestrom in MW, R' der Volumenstrom des Abgases (f) im Normzustand in m3/s und T die Abgastemperatur in K.

Bei der Ableitung der Abgase über Kühltürme ist nach Richtlinie VDI 3784 Blatt 2 (Ausgabe März 1990) entsprechend zu verfahren.

7 Rechengebiet und Aufpunkte

Das Rechengebiet für eine einzelne Emissionsquelle ist das Innere eines Kreises um den Ort der Quelle, dessen Radius das 50fache der Schornsteinbauhöhe ist. Tragen mehrere Quellen zur Zusatzbelastung bei, dann besteht das Rechengebiet aus der Vereinigung der Rechengebiete der einzelnen Quellen. Bei besonderen Geländebedingungen kann es erforderlich sein, das Rechengebiet größer zu wählen.

Das Raster zur Berechnung von Konzentration und Deposition ist so zu wählen, dass Ort und Betrag der Immissionsmaxima mit hinreichender Sicherheit bestimmt werden können. Dies ist in der Regel der Fall, wenn die horizontale Maschenweite die Schornsteinbauhöhe nicht überschreitet. In Quellentfernungen größer als das 10fache der Schornsteinbauhöhe kann die horizontale Maschenweite proportional größer gewählt werden.

Die Konzentration an den Aufpunkten ist als Mittelwert über ein vertikales Intervall vom Erdboden bis 3 m Höhe über dem Erdboden zu berechnen und ist damit repräsentativ für eine Aufpunkthöhe von 1,5 m über Flur Die so für ein Volumen oder eine Fläche des Rechengitters berechneten Mittelwerte gelten als Punktwerte für die darin enthaltenen Aufpunkte.

8 Meteorologische Daten

8.1 Allgemeines

Meteorologische Daten sind als Stundenmittel anzugeben, wobei die Windgeschwindigkeit vektoriell zu mitteln ist. Die verwendeten Werte sollen für den Standort der Anlage charakteristisch sein. Liegen keine Messungen am Standort der Anlage vor, sind Daten einer geeigneten Station des Deutschen Wetterdienstes oder einer anderen entsprechend ausgerüsteten Station zu verwenden. Die Übertragbarkeit dieser Daten auf den Standort der Anlage ist zu prüfen; dies kann z.B. durch Vergleich mit Daten durchgeführt werden, die im Rahmen eines Standortgutachtens ermittelt werden. Messlücken, die nicht mehr als 2 Stundenwerte umfassen, können durch Interpolation geschlossen werden. Die Verfügbarkeit der Daten soll mindestens 90 vom Hundert der Jahresstunden betragen.

Die vom Partikelmodell benötigten meteorologischen Grenzschichtprofile sind gemäß Richtlinie VDI 3783 Blatt 8 zu bestimmen.*) Hierzu werden folgende Größen benötigt:

*) Bis zur Einführung der Richtlinie VDI 3783 Blatt 5 sind die in folgender Veröffentlichung angegebenen Profile zu verwenden: L. Janicke, U. Janicke: "Vorschlag eines meteorologischen Grenzschichtmodells für Lagrangesche Ausbreitungsmodelle". Berichte zur Umweltphysik 2, Ingenieurbüro Janicke, ISSN 1439-8222, September 2000.

Tabelle 15: Größen für meteorologische Grenzschichtprofile

ra Windrichtung in Anemometerhöhe ha
ua Windgeschwindigkeit in Anemometerhöhe ha
LM Monin-Obukhov-Länge
hm Mischungsschichthöhe
z0 Rauhigkeitslänge
d0 Verdrängungshöhe

8.2 Windrichtung

Die Windrichtung ist die Richtung, aus der der Wind weht, und ist in Anemometerhöhe als Winkel gegen die Nordrichtung im Uhrzeigersinn gradgenau anzugeben. Enthält die für die Ausbreitungsrechnung verwendete meteorologische Zeitreihe nur gerundete Werte der Windrichtung (Sektorangaben), dann ist hilfsweise in der Ausbreitungsrechnung eine gleichverteilt zufällige Windrichtung aus dem betreffenden Sektor zu verwenden.

Bei umlaufenden Winden ist eine gleichverteilt zufällige Windrichtung aus dem Bereich 1° bis 360° zu wählen. Für Intervalle mit Windstille bis zu 2 Stunden Dauer ist die Windrichtung durch lineare Interpolation zwischen dem letzten Wert vor Beginn der Windstille und dem ersten Wert nach Ende der Windstille zu bestimmen. Für Intervalle größer als zwei Stunden ist die Windrichtung entsprechend der Windrichtungsverteilung für Windgeschwindigkeiten bis zu 1,2 m/s zufällig zu wählen.

Es ist eine Drehung D der Windrichtung r in der Mischungsschicht in Abhängigkeit von der Höhe z über dem Erdboden gemäß der Formeln 2 und 3 zu berücksichtigen:

r(z) = ra + D(z) - D(ha) (2)

D(z) = 1,23 Dh[1-exp(- 1,75 z/hm)] (3)

Der Wert von Dh ist in Abhängigkeit von der Monin-Obukhov-Länge LM (Kapitel 8.4 dieses Anhangs) und der Mischungsschichthöhe hm (Kapitel 8.5 dieses Anhangs) der Tabelle 16 zu entnehmen.

Tabelle 16: Bestimmung von Dh

Dh in Grad Stabilitätsbereich
0 hm/LM < -10
45 + 4,5 hm/LM - 10 ≤ hm/LM < 0
45 LM > 0

Für Höhen oberhalb der Mischungsschichthöhe ist die Windrichtung in Mischungsschichthöhe zu verwenden.

8.3 Windgeschwindigkeit

Die Windgeschwindigkeit in Anemometerhöhe ist in m/s mit einer Nachkommastelle anzugeben. Ist in der meteorologischen Zeitreihe die Windgeschwindigkeit in Stufen größer als 0,1 m/s angegeben, dann ist hilfsweise für die Ausbreitungsrechnung eine gleichverteilt zufällige Geschwindigkeit aus dem Stufenbereich auszuwählen.

Bei Windstille und bei Windgeschwindigkeiten unter 0,8 m/s in Anemometerhöhe ist für die Windgeschwindigkeit in Anemometerhöhe ein rechnerischer Wert von 0,7 m/s zu verwenden.

8.4 Monin-Obukhov-Länge

Die Stabilität der atmosphärischen Schichtung wird durch Angabe der Monin-Obukhov-Länge LM festgelegt. Ist der Wert der Monin-Obukhov-Länge nicht bekannt, dann ist eine Ausbreitungsklasse nach Klug/Manier nach Richtlinie VDI 3782 Blatt 1 (Ausgabe Dezember 2001) zu bestimmen und die Monin-Obukhov-Länge in Meter ist gemäß Tabelle 17 zu setzen.

Tabelle 17: Bestimmung der Monin-Obukhov-Länge LM

Ausbreitungsklasse nach Klug/Manier Rauhigkeitslänge z0 in m
0,01 0,02 0,05 0,10 0,20 0,50 1,00 1,50 2,00
I (sehr stabil) 7 9 13 17 24 40 65 90 118
II (stabil) 25 31 44 60 83 139 223 310 406
III/1 (indifferent) 99999 99999 99999 99999 99999 99999 99999 99999 99999
III/2 (indifferent) - 25 - 32 - 45 - 60 - 81 - 130 - 196 - 260 - 326
IV (labil) - 10 - 13 - 19 - 25 - 34 - 55 - 83 - 110 - 137
V (sehr labil) - 4 - 5 - 7 - 10 - 14 - 22 - 34 - 45 - 56

Der Wert der Monin-Obukhov-Länge an der Grenze zwischen zwei Ausbreitungsklassen ist das harmonische Mittel der Werte in den benachbarten Ausbreitungsklassen, d.h. der reziproke Wert wird durch arithmetische Mittelung der reziproken Werte bestimmt. Diese Klassengrenzen sind zu verwenden, wenn auf Ausbreitungsklassen nach Klug/Manier explizit Bezug genommen wird.

8.5 Mischungsschichthöhe

Ist die Mischungsschichthöhe nicht bekannt, ist sie nach folgendem Verfahren festzulegen. Für Werte der Monin-Obukhov-Länge aus dem Bereich der Ausbreitungsklassen IV und V ist mit einem Wert der Mischungsschichthöhe h,. von 1100 m zu rechnen. Sonst ist mit einem Wert von 800 m zu rechnen, es sei denn, Formel 4 ergibt einen kleineren Wert:

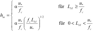
(4)

Hierbei ist α gleich 0,3 und der Coriolis-Parameterfc gleich 10-4 s-1. Die Schubspannungsgeschwindigkeit u* ist aus dem Windprofil des meteorologischen Grenzschichtmodells zu bestimmen.

8.6 Verdrängungshöhe

Die Verdrängungshöhe d0 gibt an, wie weit die theoretischen meteorologischen Profile aufgrund von Bewuchs oder Bebauung in der Vertikalen zu verschieben sind. Die Verdrängungshöhe ist als das 6fache der Rauhigkeitslänge z0 (Kapitel 5 dieses Anhangs) anzusetzen, bei dichter Bebauung als das 0,8fache der mittleren Bebauungshöhe. Unterhalb der Höhe 6z0 + d0 ist die Windgeschwindigkeit bis zum Wert Null bei z gleich Null linear zu interpolieren; alle anderen meteorologischen Parameter sind konstant zu halten.

9 Berücksichtigung der statistischen Unsicherheit

Die mit dem hier beschriebenen Verfahren berechneten Immissionskenngrößen besitzen aufgrund der statistischen Natur des in der Richtlinie VDI 3945 Blatt 3 (Ausgabe September 2000) angegebenen Verfahrens eine statistische Unsicherheit. Es ist darauf zu achten, dass die modellbedingte statistische Unsicherheit, berechnet als statistische Streuung des berechneten Wertes, beim Jahres-Immissionskennwert 3 vom Hundert des Jahres-Immissionswertes und beim Tages-Immissionskennwert 30 vom Hundert des Tages-Immissionswertes nicht überschreitet. Gegebenenfalls ist die statistische Unsicherheit durch eine Erhöhung der Partikelzahl zu reduzieren.

Liegen die Beurteilungspunkte an den Orten der maximalen Zusatzbelastung, braucht die statistische Unsicherheit nicht gesondert berücksichtigt zu werden. Andernfalls sind die berechneten Jahres-, Tages- und Stunden-Immissionskennwerte um die jeweilige statistische Unsicherheit zu erhöhen. Die relative statistische Unsicherheit des Stunden-Immissionskennwertes ist dabei der relativen statistischen Unsicherheit des Tages-Immissionskennwertes gleichzusetzen.

10 Berücksichtigung von Bebauung

Einflüsse von Bebauung auf die Immission im Rechengebiet sind zu berücksichtigen. Beträgt die Schornsteinbauhöhe mehr als das 1,2fache der Gebäudehöhen oder haben Gebäude, für die diese Bedingung nicht erfüllt ist, einen Abstand von mehr als dem 6fachen ihrer Höhe von der Emissionsquelle, kann in der Regel folgendermaßen verfahren werden:

  1. Beträgt die Schornsteinbauhöhe mehr als das 1,7fache der Gebäudehöhen, ist die. Berücksichtigung der Bebauung durch Rauhigkeitslänge (Kapitel 5 dieses Anhangs) und Verdrängungshöhe (Kapitel 8.6 dieses Anhangs) ausreichend.
  2. Beträgt die Schornsteinbauhöhe weniger als das 1,7fache der Gebäudehöhen und ist eine freie Abströmung gewährleistet, können die Einflüsse mit Hilfe eines diagnostischen Windfeldmodells für Gebäudeumströmung berücksichtigt werden. Bis zur Einführung einer geeigneten VDI-Richtlinie sind Windfeldmodelle zu verwenden, deren Eignung der zuständigen obersten Landesbehörde nachgewiesen wurde.

Maßgeblich für die Beurteilung der Gebäudehöhen nach Buchstabe a) oder b) sind alle Gebäude, deren Abstand von der Emissisonsquelle geringer ist als das 6fache der Schornsteinbauhöhe.

11 Berücksichtigung von Geländeunebenheiten

Unebenheiten des Geländes sind in der Regel nur zu berücksichtigen, falls innerhalb des Rechengebietes Höhendifferenzen zum Emissionsort von mehr als dem 0,7fachen der Schornsteinbauhöhe und Steigungen von mehr als 1:20 auftreten. Die Steigung ist dabei aus der Höhendifferenz über eine Strecke zu bestimmen, die dem 2fachen der Schornsteinbauhöhe entspricht.

Geländeunebenheiten können in der Regel mit Hilfe eines mesoskaligen diagnostischen Windfeldmodells berücksichtigt werden, wenn die Steigung des Geländes den Wert 1:5 nicht überschreitet und wesentliche Einflüsse von lokalen Windsystemen oder anderen meteorologischen Besonderheiten ausgeschlossen werden können.

Bis zur Einführung einer geeigneten VDI-Richtlinie sind Windfeldmodelle zu verwenden, deren Eignung der zuständigen obersten Landesbehörde nachgewiesen wurde.

12 Verwendung einer Häufigkeitsverteilung der stündlichen Ausbreitungssituationen

Eine Häufigkeitsverteilung der stündlichen Ausbreitungssituationen kann verwendet werden, sofern mittlere Windgeschwindigkeiten von weniger als 1 m/s im Stundenmittel am Standort der Anlage in weniger als 20 vom Hundert der Jahresstunden auftreten. Eine Ausbreitungssituation ist durch Windgeschwindigkeitsklasse, Windrichtungssektor und Ausbreitungsklasse bestimmt.

Die Windgeschwindigkeiten u. in Anemometerhöhe ha sind wie folgt zu klassieren:

Tabelle 18: Klassierung der Windgeschwindigkeiten

Windgeschwindig-
keitsklasse
Windgeschwindigkeit ua
in ms-1
Rechenwert uR
in ms-1
1 < 1,4 1
2 1,4 bis 1,8 1,5
3 1,9 bis 2,3 2
4 2,4 bis 3,8 3
5 3,9 bis 5,4 4,5
6 5,5 bis 6,9 6
7 7,0 bis 8,4 7,5
8 8,5 bis 10,0 9
9 >10,0 12

Die Windrichtung ist in 36 Sektoren zu je 10° zu klassieren. Der erste Sektor umfasst die Windrichtungen 6° bis 15°, die weiteren Sektoren folgen im Uhrzeigersinn. Bei der Windgeschwindigkeitsklasse 1 ist die Verteilung auf die Windrichtungssektoren wie bei der Windgeschwindigkeitsklasse 2 maßgebend.

Die Fälle mit umlaufenden Winden werden der entsprechenden Ausbreitungs- und Windgeschwindigkeitsklasse zugeordnet; die Verteilung auf die Windrichtungssektoren ist entsprechend der Windrichtungsverteilung in der jeweiligen Windgeschwindigkeitsklasse vorzunehmen.

Die Ausbreitungsklasse ist gemäß Richtlinie VDI 3782 Blatt 1 Anhang a (Ausgabe Dezember 2001) zu bestimmen.

Für jede in der Häufigkeitsverteilung mit einer Eintrittswahrscheinlichkeit größer Null aufgeführte Ausbreitungssituation ist nach dem für die Zeitreihenrechnung angegebenen Verfahren eine zeitunabhängige Ausbreitungsrechnung durchzuführen. Dabei ist als Windgeschwindigkeit U0 der Rechenwert UR zu verwenden. Die Ausbreitungsrechnung für einen Windrichtungssektor von 10° ist in Form von Rechnungen über 5 Windrichtungen im Abstand von jeweils 2° durchzuführen mit arithmetischer Mittelung der Ergebnisse. Für den ersten Sektor sind dies die Windrichtungen 6°, 8°, 10°, 12°, 14° und entsprechend bei den folgenden Sektoren.

Der Jahresmittelwert von Konzentration oder Deposition ist der Mittelwert der mit den Eintrittswahrscheinlichkeiten gewichteten Konzentrations- bzw. Depositionswerte, die für die einzelnen Ausbreitungssituationen berechnet werden.

weiter .

umwelt-online - Demo-Version


(Stand: 01.10.2021)

Alle vollständigen Texte in der aktuellen Fassung im Jahresabonnement
Nutzungsgebühr: ab 105.- € netto

(derzeit ca. 7200 Titel s.Übersicht - keine Unterteilung in Fachbereiche)

Preise & Bestellung

Die Zugangskennung wird kurzfristig übermittelt

? Fragen ?
Abonnentenzugang/Volltextversion