umwelt-online: Bundeseinheitliche Praxis bei der Überwachung der Emissionen (3)
![]() |
zurück | ![]() |
| Anforderungen an Mess- und Auswerteeinrichtungen für Anlagen i. S. d. 17. BImSchV, Überprüfung der Verbrennungsbedingungen |
Anhang E 10 |
E 1 Anforderungen an Messeinrichtungen für Anlagen i. S. d. 17. BImSchV
E 1.1 Die Mindestanforderungen sind im Bereich des 1,5-fachen des Grenzwertes für Tagesmittelwerte nachzuweisen.
E. 1.2 Es soll der Messbereich bis zum 1,5-fachen des Grenzwertes für Halbstundenmittelwerte abgedeckt werden.
E 2 Kontinuierliche Bestimmung der Mindesttemperatur ( § 11 Abs. 1 Nr. 3 i. V. m. § 4 Abs. 2 und 3)
E 2.1 Es sind an geeigneter Stelle im Nachbrennraum (z.B. Kesseldecke) mindestens zwei Messeinrichtungen gemäß Richtlinienreihe VDI/VDE 3511 zu installieren; der Mittelwert ist nach § 11 Abs. 1 zu registrieren und auszuwerten.
E 2.2 Die zuständige Behörde soll dafür sorgen, dass bei Ausfall einer Messeinrichtung diese unverzüglich durch eine vorzuhaltende baugleiche Reservemesseinrichtung zu ersetzen ist.
E 3 Anforderungen an Auswerteeinrichtungen an Anlagen i. S. d. 17. BImSchV
E 3.1 Bildung, Normierung, Validierung und Klassierung
E 3.1.1 Schadstoffe (nach § 5 Abs. 1 Nr. 1 und 2 und ggf. nach § 11 Abs. 5 der 17. BImSchV)
E 3.1.1.1 Die Bildung der zu klassierenden Mittelwerte ist gemäß Anhang C, C 1 durchzuführen.
E 3.1.1.2 Die Klassierung der validierten Halbstundenmittelwerte erfolgt grundsätzlich in 20 Klassen einheitlicher Breite. Die Klasseneinteilung ist so zu wählen, dass der Emissionsgrenzwert für Halbstundenmittelwerte auf die obere Grenze der 20. Klasse fällt (Klassen M 1 - M 20, siehe Bild E 1).
E 3.1.1.3 Zusätzlich zu den Sonderklassen nach Anhang C, C 3 werden folgende Sonderklassen eingeführt:
Die Sonderklassen S 13 und S 14 bleiben unbelegt.
E 3.1.1.4 Die Klassierung nach E 3.1.1.2 und E 3.1.1.3 gilt auch bei Einsatz von Messgeräten mit elektronisch umschaltbaren Messbereichen.
E 3.1.1.5 Die Tagesmittelwerte werden analog zu Anhang C, C 4 klassiert (s. Bild E 1).
Zusätzlich zu den Klassen TS 1 und TS 2 wird die Klasse TS 3 eingeführt:
E 3.1.1.6 Der Jahresmittelwert der Messkomponenten ist als arithmetischer Mittelwert zu berechnen. Es werden dabei alle Tagesmittelwerte des laufenden Kalenderjahres aus den Klassen T1 bis T10 und TS. herangezogen. Der Jahresmittelwert ist mit Angabe des Bezugsjahres (JMW - Bezugsjahr) als Massenkonzentration anzugeben. Zusätzlich ist die Anzahl der für die Bildung des Jahresmittelwertes zugrunde liegenden Tagesmittelwerte aufzuführen (Anz. - TMW - Bezugsjahr).
E 3.1.2 Betriebsgrößen/Bezugsgrößen
E 3.1.2.1 Nachverbrennungstemperatur ( § 4 Abs. 2, 3 und Abs. 6, 7 i. V. m. § 10 Abs. 1 und § 13 Abs. 1 der 17. BImSchV)
Aus den Messwerten der Nachverbrennungstemperatur sind Zehnminutenmittelwerte zu bilden.
Diese Zehnminutenmittelwerte sind in 20 Klassen einheitlicher Breite zu erfassen. Die Klasseneinteilung ist so zu wählen, dass insgesamt ein Temperaturbereich von 400 K abgedeckt wird und die festgelegte Mindesttemperatur auf die Grenze zwischen der 10. und 11. Klasse fällt (TNBZ 1 - TNBZ 20), vgl. Bild E 1. Hierbei wird die obere Grenze (niedrigste Temperatur) auf die Klasse TNBZ 20, die untere Grenze (höchste Temperatur) auf die Klasse TNBZ 1 gelegt.
Die Störung oder Wartung der Messeinrichtung ist in einer Klasse TNBZ 21 zu klassieren.
E 3.1.2.2 Überwachung der Beschickung ( § 4 Abs. 5 i. V. mit § 11 Abs. 1 und 4 der 17. BImSchV)
Die Zeiten, in denen die Beschickung der Anlagen verriegelt oder unterbrochen war, sind für jeden Kalendertag zu registrieren und zu speichern.
E 3.1.2.3 Ausfälle der Abgasreinigungseinrichtungen ( § 16 Abs. 2 der 17. BImSchV)
Ausfallzeiten der Abgasreinigungseinrichtungen sind der Auswerteeinrichtung über Statussignale mitzuteilen und in zwei getrennten Speichern für aufeinanderfolgende Halbstunden und für das laufende Kalenderjahr zu erfassen. Die Kriterien für die Statussignale sind durch die zuständige Behörde festzulegen. Der Speicher für aufeinanderfolgende Ausfallstunden soll mit Beginn der nächsten Ausfallzeit automatisch gelöscht werden.
Die während der Ausfallzeiten gebildeten Halbstundenmittelwerte für Gesamtstaub sind in zwei Klassen zu erfassen, deren gemeinsame Grenze von dem für Ausfallzeiten geltenden Emissionsgrenzwert für Halbstundenmittelwerte (150 mg/m³) gebildet wird.
E 3.1.2.4 Sonstige Betriebs- und Bezugsgrößen ( § 11 Abs. 1 Nr. 4 der 17. BImSchV)
Werden weitere Betriebs- oder Bezugsgrößen (zum Beispiel Abgasvolumenstrom oder feuchtegehalt) kontinuierlich gemessen, so ist die Art der Auswertung von der zuständigen Behörde in Anlehnung an E 3.1.1.1 im Einzelfall festzulegen.
E 3.1.3 Datenausgabe
E 3.1.3.1 Die tägliche Aufzeichnung muss zusätzlich zu Anhang B 4.1 folgende Daten umfassen:
E 3.1.3.2 Die Datenausgabe zum Jahresabschluss muss zusätzlich zu Anhang B 4.2 folgende Angaben umfassen:
Bild E 1: Klassierung von Halbstunden- und Tages-Mittelwerten und der Mindesttemperatur
| M 1 | M 2 | ... | M 20 | S 1 | S 2 | S 3 | S 4 | S 5 | S 6 | S 7 | S 8 | S 9 | S 10 | S 11 | S 12 | S 13 | S 14 | S 15 | S 16 |
| Über- schrei- tung GW |
Mess- zeit 2/3- Krite- rien |
Ersatz- werte |
Störung Messein- richtung |
War- tung Mess- ein- rich- tung |
Be- triebs- zeit- zähler |
Mittel- werte nach B 2.3 |
unplau- sible Werte |
Kalibrier- bereich - Kurzzeit- speicher |
Kalibrier- bereich - Langzeit- speicher |
Ausfall Abgas- reini- gung |
Ausfall Abgas- reini- gung |
unbe- legt |
unbe- legt |
Staub ≤ 150 mg/m³ | Staub > 150 mg/m³ |
| T 1 | T 2 | ..... | T 10 | TS 1 | TS 2 | TS 3 |
| Überschreitung TGW |
kein TMW | Ausfall/ Wartung Messeinrichtung |
| TNBZ 1 | ..... | TNBZW 10 | TNBZW 11 | ..... | TNBZW 20 | TNBZW 21 |
| Mindesttemperatur (invers) | Störung/ Wartung |
E 4 Überprüfung der Verbrennungsbedingungen gem. § 13 Abs. 1 i. V. m. § 4 Abs. 2 und 3 oder 6 und 7 der 17. BImSchV
E 4.1 Überprüfung der Mindesttemperatur
E 4.1.1 Festlegung der Messebenen
Eine Messebene (Messebene 1) ist am Ende der Nachbrennzone (oberhalb der Stützbrenner) für die jeweils genehmigten Betriebszustände festzulegen. Die Basis dafür sind die Auslegungsdaten des Herstellers bzw. Lieferanten. Eine weitere Messebene (Messebene 2) soll dort eingerichtet werden, wo der Beginn der Nachbrennzone definiert ist.
Diese Messebene ist nach der. letzten Verbrennungsluftzuführung auf der Basis von Auslegungsdaten des Herstellers bzw. Lieferanten festzulegen.
Die Ebene, in der erstmalig von einer gleichmäßigen Durchmischung der Verbrennungsgase mit Verbrennungsluft ausgegangen werden kann, wird als Beginn der Nachbrennzone definiert.
Aufgrund örtlicher Gegebenheiten sind geringere Abweichungen der Lage der Messebene 2 vom tatsächlichen Beginn der Nachbrennzone möglich. Dies wird durch entsprechende Umrechnungen (vgl. Bild E 2) kompensiert.
E 4.1.2 Messtechnik
Nach derzeitigem Stand der Technik sind für die messtechnische Überprüfung der Mindesttemperatur ausschließlich wassergekühlte Absaugepyrometer mit keramischer Abschirmung einzusetzen. Eine ausreichend hohe Absauggeschwindigkeit ist einzustellen. Für jede festgelegte Messachse ist gleichzeitig mindestens ein Messgerät zu verwenden. Die in den Absaugepyrometern eingesetzten Thermoelemente müssen den PTB-Anforderungen 14.2 vom Dezember 2003 entsprechen.
E 4.1.3 Festlegung der Messpunkte für die Netzmessung
Die Temperaturmessung erfolgt auf mindestens zwei Messachsen als Netzmessung im Feuerraum. Der Messquerschnitt ist in flächengleiche Teilflächen, in deren Schwerpunkten die Messpunkte liegen, zu unterteilen. Die Anzahl der Messpunkte beträgt 1 pro ca. 2 m2. Eine gleichmäßige Punktverteilung über den Messquerschnitt ist zu gewährleisten.
E 4.1.4 Messwertverarbeitung
Die elektronische Messwerterfassung soll mit einer Abtastfrequenz von mindestens 0,1 Hz erfolgen (entspricht maximal 10 s zwischen aufeinanderfolgenden Messwerten). Die Messwerte sind auf 10-Minuten-Mittelwerte zu verdichten.
E 4.1.5 Abnahmemessung
Für den Nachweis, dass die geforderte Mindesttemperatur (850 bzw. 1100 °C) eingehalten wird, ist bei betriebsmäßig verschmutztem Kessel folgende Anzahl von Netzmessungen entsprechend E 4.1.3 erforderlich:
Für jeden nach E 4.1.3 festgelegten Messpunkt erfolgt eine Umrechnung der einzelnen 10-Minuten-Mittelwerte über die nach E 4.2.2 ermittelten Temperaturgradienten auf eine fiktive Messebene, die einer Verweilzeit von 2 Sekunden (Mindestverweilzeit) entspricht.
Bewertungskriterium ist die Mindesttemperatur in jedem der nach E 4.1.3 festgelegten Messpunkte für jede Einzelmessung als 10-Minuten-Mittelwert.
E 4.2 Überprüfung der Verweilzeit der Abgase
E 4.2.1 Messebenen
Zur Ermittlung der Verweilzeit, für die die Mindesttemperatur eingehalten ist, werden zwei Messebenen (Messebene 1 und Messebene 2) genutzt (vgl. E 5.1).
E 4.2.2 Ermittlung des Temperaturgradienten
Zeitgleich sind Temperatur-Netzmessungen (je 3 Netzmessungen) bei gleichem Anlagen-Betriebszustand in den Messebenen 1 und 2 durchzuführen.
Messtechnische Rahmenbedingungen sind analog Pkt. E 4.1 vorgegeben. (Die gewonnenen Messergebnisse bezüglich Messebene 1 können für die Überprüfung der Mindesttemperatur nach E 4.1 verwendet werden.)
Aus den Messwerten wird die mittlere Temperaturdifferenz Δ T1,2 zwischen Ebene 1 und 2 für den jeweiligen Betriebszustand (s. a. Pkt. E 4.1.5) gebildet:
T1i Mittelwert der Temperaturnetzmessung in der Messebene 1
T2i Mittelwert der Temperaturnetzmessung in der Messebene 2
n Anzahl der Temperaturnetzmessungen in Ebene 1 bzw. 2.
Unter Annahme eines linearen Temperaturverlaufes zwischen den Messebenen 1 und 2 bzw. darüber hinaus ist damit für jede Ebene im Feuerraum die mittlere Temperatur bestimmt, umgekehrt kann die Ebene im Feuerraum, in der die Mindesttemperatur der Abgase gerade noch eingehalten wird, rechnerisch ermittelt werden (vgl. Bild E 2).
Der mittlere Temperaturgradient errechnet sich aus ΔT1,2/ Δl1,2.
| T1 | Mittelwert der Temperatur-NetzmessungenMessebene 1 |
| TM | Mindesttemperatur der Abgase |
| Δl1,2 | Abstand zwischen Messebene 1 und 2 |
| ΔlT | Abstand zwischen der Ebene im Feuerraum, an der die Abgase die Mindesttemperatur im Mittel gerade noch einhalten und der Messebene 1. |
E 4.2.3 Ermittlung der Verweilzeit
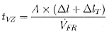
Zur Bestimmung der Verweilzeit der Abgase im Bereich oberhalb der Mindesttemperatur ist der Abgasvolumenstrom (z.B. am Kesselende) zu messen und auf die Abgasbedingungen in der Nachbrennzone umzurechnen.
Die Volumenstrommessung erfolgt unter Beachtung der DIN EN ISO 13783 (Ausgabe 1994) zeitgleich zu den Netzmessungen zur Überprüfung der Mindesttemperatur. Bei der Berechnung der Verweilzeit wird das Verhalten eines idealen Strömungsrohres (plug flow) angenommen.
Die für den Volumenstrom zugrunde zu legende Temperatur ist der Mittelwert aus der Temperatur am Beginn der Nachbrennzone TBNBZ und der Mindesttemperatur. Unter Berücksichtigung der geometrischen Verhältnisse und des Volumenstromes errechnet sich die Verweilzeit in der Nachbrennzone
| VFR | Mittelwert des Volumenstromes der Abgase im Feuerraum (im Betriebszustand, feucht) bei TBNBZ + TM / 2 |
| Δl | Abstand zwischen Beginn der Nachbrennzone und Messebene 1 |
| A | Querschnittsfläche Feuerraum (für a M const.) |
| tvz | Verweilzeit der Abgase oberhalb der Mindesttemperatur. |
Bewertungskriterium ist die Mindestverweilzeit von 2 Sekunden.
E 4.3 Gleichmäßige Durchmischung
E 4.3.1 Ermittlung der gleichmäßigen Durchmischung
Von einer gleichmäßigen Durchmischung der Verbrennungsgase mit Verbrennungsluft ist dann auszugehen, wenn die Temperatur an jedem Messpunkt auf beiden Messebenen und damit über der gesamten Nachbrennzone eingehalten ist und die Einzelwerte für den Volumengehalt an Sauerstoff an jedem der festgelegten Messpunkte nicht mehr als 50 vom Hundert vom mittleren Volumengehalt an Sauerstoff für das jeweilige Netz abweichen.
E 4.3.2 Messung des Sauerstoffgehaltes
Üblicherweise erfolgt die Sauerstoffmessung zeitgleich mit den Temperaturmessungen nach E 4.1 über die Absaugepyrometer, so dass Messebene und Messpunkte identisch sind.
E 5 Funktionsprüfung und Kalibrierung von Betriebsmessgeräten für die kontinuierliche Überwachung der Mindesttemperatur gem. § 10 Abs. 3 i. V. m. § 11 Abs. 1 Nr. 3 der 17. BImSchV
E 5.1 Funktionsprüfung
Die Funktionsprüfung von Betriebsmessgeräten für die Mindesttemperatur ist jährlich wie nachfolgend beschrieben durchzuführen:
E 5.2 Kalibrierung
Die Kalibrierung ist mindestens alle drei Jahre durchzuführen,
E 5.2.1 Bestimmung des Endes der Nachbrennzone
Die Ermittlung der Feuerraumtemperaturen entsprechend E 4.2.2 (Mittelwertbildung) erfolgt jeweils bei Volllast und weiteren genehmigten Betriebszuständen: Für den Betriebszustand Anfahren wird zusätzlich auf 5.3.1 verwiesen.
Es sind dazu mindestens sechs Netzmessungen (bei Voll- und Teillast) jeweils zeitgleich in Messebene 1 und 2 durchzuführen. Für die Zeiträume dieser Netzmessungen sind die mittleren Messwerte der Betriebsmessgeräte zu ermitteln, so dass mindestens 6 Datensätze Netzmessungen - Betriebsmessung zur Verfügung stehen.
Unter Annahme eines linearen Temperaturverlaufes zwischen derb Messebenen 1 und 2 bzw. darüber hinaus ist das Ende der Nachbrennzone (definiert als Ebene im Feuerraum, an der die Mindestverweilzeit von 2 s exakt eingehalten ist) bestimmbar (vgl. Bild E 2).
| tvzmin | Mindestverweilzeit |
| ΔlHNBZ | Abstand zwischen Ebene Ende Nachbrennzone und Messebene 1 |
| ΔT1,2 | mittlere Temperaturdifferenz zwischen Messebene 1 und 2 |
| ΔT1,2 | ![]() |
| T2i | Mittelwert der Temperatur-Netzmessung in Messebene 2 |
| T1i | Mittelwert der Temperatur-Netzmessung in Messebene 1 |
| Δl1,2 | Abstand zwischen Messebene 1 und 2 |
Der mittlere Temperaturgradient errechnet sich aus ΔT1,2 / Δl1,2
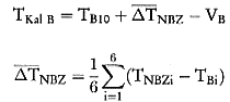
E 5.2.2 Verfahrensweise zur Kalibrierung
Mit Hilfe der Betriebsmesswerte für die Temperatur wird die mittlere Temperaturdifferenz und deren untere Vertrauensgrenze zu den umgerechneten Temperaturmesswerten der Netzmessungen in Messebene 1 berechnet;
| TNBZi | umgerechneter Mittelwert der Temperatur-Netzmessung i in Messebene 1auf die Ebene am Ende der Nachbrennzone (2 s Verweilzeit) | ||||||||||||
| TBi | Mittelwert der Temperatur-Betriebsmessung für den Zeitraum der Netzmessung, i | ||||||||||||
|
|||||||||||||
| tn - 2 x S | |
| Ermittlung der Vertrauensgrenze: VB= | |
| n0,5 |
Der Zusammenhang TNBZi = f (TBi) ist durch lineare Regression zu ermitteln.
| t n-2 | Schwellenwert der t-Verteilung (für N = n') |
| S | Streuung um die Regressionsgerade |
| n = 6 | (Gesamtzahl der Messungen) |
Zur Kalibrierung der Betriebsmesswerte wird wie folgt verfahren:
![]() |
mittlere Temperaturdifferenz zwischen Ende der Nachbrennzone und Betriebsmesswert |
| TKal B | kalibrierter Betriebsmesswert (Eingang-Emissionswertrechner) |
| TB10 | 10-Minuten-Mittelwert der Temperatur-Betriebsmessung |
Der Kalibriervorgang ist für jeden genehmigten Betriebszustand vollständig durchzuführen,
E 5.2.3 Parametrierung des elektronischen Auswertesystems
| ΔTNBZ = | ![]() |
- VB |
ΔTNBZ* wird für jeden genehmigten Betriebszustand festgestellt und im Auswerterechner gleitend in Abhängigkeit von der Leistung (z.B. Dampfleistung PD) ermittelt; dies gilt auch für den Betriebszustand "Abfahren".
Parametriert wird die Funktion ΔTNBZ* = f(PD).
Bezüglich Betriebszustand "Anfahren" vergleiche Punkt E 5.3.1
E 5.3 Besondere Kriterien
E 5.3.1 Einhaltung der Verbrennungsbedingungen im Betriebszustand "Anfahren"
Der Betriebszustand Anfahren ist nur durch Zusatzbrennerbetrieb ohne Beschickung mit Einsatzstoffen gekennzeichnet.
Der Beginn der Nachbrennzone im Betriebszustand "Anfahren" ist per Konvention
Die Verbrennungsbedingungen (Mindesttemperatur, Mindestverweilzeit) sind Grundlage zur Bestimmung des Endes der Nachbrennzone beim "Anfahren".
Beim Betriebszustand "Anfahren" ist der Volumenstrom zur Ermittlung der Verweilzeit über den Brennstoffverbrauch und den Sauerstoff-Volumengehalt der Abgase zur berechnen bzw. zu messen.
Durch Temperatur-Messungen in einer Messebene, die mindestens 2 m stromabwärts (über der Brennerebene) liegt, ist der Gradient zur Betriebs-Temperaturmessung analog zu E 4.2.2 zu ermitteln und als Kriterium für die Freigabe (Entriegelung) der Abfallzufuhr zu verwenden.
Der Zeitraum nach Entriegelung der Abfallzufuhr bis zum Erreichen stationärer Betriebszustände ist mit der zuständigen Behörde abzustimmen; er soll 2 Stunden nicht überschreiten.
In dieser Zeit muss für die Bewertung der überwachungspflichtigen Komponenten, die einzig von der Feuerung abhängig sind, eine Sonderlösung gefunden werden. Dies betrifft insbesondere die Mindesttemperatur, CO, Cgesamt sowie NOx bei primären Minderungsmaßnahmen.
E 5.3.2 Schaltkriterien der Zusatzbrenner
Für die Zusatzbrenner werden folgende Schaltkriterien vorgeschlagen:
Eine Steuerung oder Regelung der Zusatzbrenner über das Leitsystem der Anlage kann zur Reduzierung des Primärenergieverbrauches beitragen.
E 5.3.3 Kriterien der Abfallbeschickung
Für die Ver- bzw. Entriegelung der Abfallzufuhr gelten folgende Kriterien:
Bei der Verriegelung sind sicherheitstechnische Belange zu berücksichtigen,
Bild E 2 Darstellung der Kenngrößen am Beispiel einer Verbrennungsanlage für Siedlungsabfälle
![]() |
Legende: | |
| T1 | Mittelwert der Temperatur-Netzmessungen, Messebene 1 | |
| T2 | Mittelwert der Temperatur-Netzmessungen, Messebene 2 | |
| TM | Mindesttemperatur der Abgase | |
| TB | Temperatur-Betriebsmessung | |
| TNBZ | Temperatur am Ende der Nachbrennzone | |
| TBNBZ | Temperatur am Beginn der Nachbrennzone | |
| Δ T | Temperaturdifferenz zwischen Messebene 1 und Betriebsmesswert | |
| Δ TNBZ | Temperaturdifferenz zwischen Ende der Nachbrennzone und Betriebsmesswert | |
| Δ T1,2 | mittlere Temperaturdifferenz zwischen Messebene 1 und 2 | |
| lBNBZ | Höhe bis zum Beginn der Nachbrennzone | |
| ΔlT | Abstand zwischen der Ebene im Feuerraum und der Messebene 1 | |
| ΔlNBZ | Abstand zwischen Ebene Ende Nachbrennzone und der Messebene 1 | |
| Δl | Abstand zwischen Beginn der Nachbrennzone und der Messebene 1 | |
| Δl1,2 | Abstand zwischen Messebene 1 und 2 | |
| ΔlBNBZ | Abstand zwischen Ebene Beginn Nachbrennzone und der Messebene 2 | |
| tvz,min | Mindestverweilzeit = 2s | |
| Anforderungen an Mess- und Auswerteeinrichtungen für Anlagen i. S. d. 27. BImSchV |
Anhang F |
Die Auswertung ist in Bild F skizziert.
F 1 Kohlenmonoxid
F 1.1 Die Stundenmittelwerte für CO werden wie folgt klassiert:
Klassen 1 - 20 gleicher Breite für Werte bis zum Grenzwert, dieser Wert liegt auf der oberen Klassengrenze der Klasse 20.
In die Klasse S 1 sind die Überschreitungen zu klassieren.
Die Validierung ist gemäß Anhang C, C 1 durchzuführen.
F 1.2 Es sind folgende Sonderklassen vorzusehen:
| S 2 | Messzeit kleiner 2/3 Regelung, d. h. kleiner 40 Minuten |
| S3 - S 11 | siehe Anhang C, C 3 |
F 2 Überwachung der Mindesttemperatur und der Filteranlage
F 2.1 Für die Überwachung der Mindesttemperatur:
| TNBZ 1 | Mindesttemperatur eingehalten |
| TNBZ 2 | Mindesttemperatur unterschritten |
| TNBZ 3 | Ausfall Messeinrichtung |
F 2.2 Für die Überwachung der Funktionstüchtigkeit der Filteranlage für Staub werden folgende Klassen eingerichtet:
| F 1 | Grenzwert eingehalten |
| FS 1 | Grenzwert überschritten |
| FS 2 - FS 11 | sinngemäß nach Anhang C, C 3 |
F 2.3 Es sind folgende Sonderklassen für die Überwachung der Mindesttemperatur und der Funktionstüchtigkeit der Filteranlage vorzusehen:
| FSÜ | Summe der Ereignisse der Überschreitungen |
| TNBZ U | Summe der Zeitdauer der Unterschreitungen |
Bild F Auswertung 27. BImSchV

| Anforderungen an Mess- und Auswerteeinrichtungen für Anlagen i. S. d. 30. BImSchV |
Anhang G |
Die Auswertung ist in Bild G skizziert.
Die Validierung und Klassierung erfolgt nach Anhang C, C 1.
G 1 Klassierung der Halbstundenmittelwerte für die Komponenten Staub, Cges, N2O und des Volumenstromes
Die Klassierung erfolgt in den Klassen M 1 - M 20 gleicher Breite für Werte bis zum Grenzwert für den Halbstundenmittelwert bzw. Messbereichsendwert für Distickstoffoxid und Volumenstrom.
Die jeweiligen Werte liegen auf der oberen Klassengrenze der Klasse M 20.
G 2 Sonderklassen für Halbstunden-Mittelwerte Es sind folgende Sonderklassen einzurichten:
| S 1- S 11 | gem. Anhang C, C 3 |
| S 12 | Ausfall Abgasreinigung > 8 h ununterbrochen |
| S 15 | Staubwerte Ausfall Abgasreinigung < GW |
| S 16 | Staubwerte Ausfall Abgasreinigung < GW |
Die Klassen S 13 und S 14 bleiben unbelegt.
G 3 Klassierung von Tagesmittelwerten
Die Tagesmittelwerte für Staub und Cges werden gemäß Anhang C 4 klassiert: Klassen T 1 - T 10 gleicher Breite bis zum Grenzwert für den Tagesmittelwert, dieser liegt auf der oberen Klassengrenze der Klasse T 10.
Option:
Die Klassierung der Tagesmittelwerte für N2O in Klassen T 1 - T 10 sollte möglich sein.
Die Werte für die Klasse T 10 werden durch den Messbereichsendwert der Messeinrichtung festgelegt.
In der Klasse TS 2 sind diejenigen Tage zu klassieren, an denen die Bildung eines Tagesmittelwertes nicht möglich ist. Die Klasse TS 1 entfällt.
G 4 Tagesausdruck
Zusätzlich zu den Angaben in Anhang B 4.1 sind aufzunehmen
Option:
Nach (kontinuierlicher) Erfassung der Einsatzstoffmasse durch den Emissionsrechner ist das Massenverhältnis der emittierten Stoffe zu der Masse der Einsatzstoffe (im Anlieferungszustand) zu bilden und täglich als aktueller (gleitender) Monatswert auszudrucken.
G 5 Monatsausdruck
Die Massenverhältnisse von Gesamt-C und Distickstoffoxid bezogen auf die Einsatzmenge sind auszugeben. Die Vormonate des laufenden Jahres sollen ebenfalls ausgegeben werden können.
G 6 Jahresausdruck
Zusätzlich zu den Angaben in Anhang B 4.2 ist aufzunehmen:
Monatswerte des Massenverhältnis Schadstoffmasse N2O bzw. Cgeszu Einsatzstoffmassen
Bild G - Auswertung 30. BImSchV
_________________
1) Die Verpflichtungen aus der Richtlinie 98/34/EG des Europäischen Parlaments und des Rates vom 22. Juni 1998 über ein Informationsverfahren auf dein Gebiet der Normen und technischen Vorschriften und den Vorschriften für die Dienste der Informationsgesellschaft (ABl. EG Nr. L 104 S. 37), geändert durch die Richtlinie 98/48/EG des Europäischen Parlaments und des Rates vom 20. Juli 1998 (ABl, EG Nr. L 217 S. 18), sind beachtet worden.
![]() |
ENDE | ![]() |
(Stand: 26.08.2025)
Alle vollständigen Texte in der aktuellen Fassung im Jahresabonnement
Nutzungsgebühr: ab 105.- € netto (Grundlizenz)
(derzeit ca. 7200 Titel s.Übersicht - keine Unterteilung in Fachbereiche)
Die Zugangskennung wird kurzfristig übermittelt
? Fragen ?
Abonnentenzugang/Volltextversion