Für einen individuellen Ausdruck passen Sie bitte dieEinstellungen in der Druckvorschau Ihres Browsers an. Regelwerk |
![]() |
AMEV Empfehlung Nr. 167: Beleuchtung - Hinweise für die Beleuchtung öffentlicher Gebäude
Arbeitskreis Maschinen- und Elektrotechnik staatlicher und kommunaler Verwaltungen (AMEV)
Stand Juli 2023
(Quelle: https://www.amev-online.de,aufgehoben)
| Zur aktuellen Fassung => |
Aufgestellt und herausgegeben vom Arbeitskreis Maschinen- und Elektrotechnik staatlicher und kommunaler Verwaltungen (AMEV)
In den letzten 12 Jahren hat die Beleuchtungstechnik eine rasante Entwicklung vollzogen. Diese Entwicklung hat im Jahr 2011 auch der Beleuchtungsausschuss des AMEV noch nicht vorhergesehen.
In der Empfehlung "Beleuchtung 2011" waren noch ausschließlich Leuchten mit Leuchtstofflampen vertreten. Aber schon früh war klar erkennbar, dass sich die LED-Technik schnell weiterentwickelt, so dass der AMEV bereits 2013 eine Empfehlung zur LED-Beleuchtung veröffentlicht hat. Die Empfehlungen des AMEV sind dieser technischen Entwicklung schnell gefolgt und es wurden in den letzten 12 Jahren die Beleuchtung 2016 und 2019 und mehrere Ergänzungen veröffentlicht.
In 2023 hat sich der AMEV entschlossen, eine überarbeite Empfehlung zu veröffentlichen, in der die Beleuchtung 2019 und die 1.und 2. Ergänzung zur Beleuchtung 2019 eingeflossen sind.
In der jetzigen Energiekrise wird nochmal deutlicher, wie wichtig eine energiesparende Beleuchtung ist, die aber auch weiterhin allen arbeitsrechtlichen und normativen Anforderungen gerecht wird. Es gilt mehr denn je der Satz: "Jede Kilowattstunde, die nicht verbraucht wird muss nicht erzeugt werden und vermeidet so CO2-Emissionen". Gerade die LED-Technik hat in den letzten Jahren zu einer deutlichen Reduzierung des Stromverbrauchs in der Beleuchtungstechnik geführt. Der AMEV-Beleuchtungsausschuss beobachtet genau, welche Entwicklung die Beleuchtungstechnik in den nächsten Jahren nehmen wird.
Berlin, Juli 2023
| Arnold Vorsitzender des AMEV |
Speier Obmann |
1 Einleitung
Die Innenraumbeleuchtung mit natürlichem und künstlichem Licht steht im Spannungsfeld von Anforderungen aus den Bereichen:
Neben der Aufgabe Helligkeit, Farbe und Form der Umwelt möglichst exakt aufzunehmen, hat das Auge die Funktion, dem Organismus die Informationen der Umwelt und die täglichen bzw. jahreszeitlichen Helligkeitsschwankungen zu vermitteln. Diese stimulierende Wirkung sollte auch bei künstlicher Beleuchtung bedacht werden. Gute Beleuchtung ist eine wichtige Voraussetzung für das physische und psychische Wohlbefinden des Menschen.
Um gute Sehbedingungen und hohes Wohlbefinden zu schaffen, sind bei der Planung von Beleuchtungsanlagen folgende lichttechnische Gütemerkmale zu beachten:
Zu den rein funktionalen Gesichtspunkten treten gestalterische Überlegungen auf, um die Raumidee durch Licht zu unterstreichen und das Raumerlebnis positiv zu beeinflussen.
Bereits in der Entwurfsphase von Beleuchtungsanlagen sind Wirtschaftlichkeit, geringer Instandhaltungsaufwand und sparsamer Umgang mit Energie zu berücksichtigen. Hierbei kommt insbesondere der Wirtschaftlichkeit (Investitions- und Betriebskosten) eine hohe Bedeutung zu.
Das Konzept der Beleuchtung muss daher im Zusammenwirken von Fachingenieuren und Architekten entwickelt werden.
2 Hinweise zu rechtlichen und normativen Grundlagen
Durch die Anpassung der arbeitsschutzrechtlichen Bestimmungen an das EU-Recht erstreckt sich der Geltungsbereich des Arbeitsschutzgesetzes [ 41] und der Arbeitsstättenverordnung [ 55] auch auf die Arbeitsstätten des öffentlichen Dienstes. Aus der Gültigkeit des Arbeitsschutzgesetzes folgt wiederum die Verpflichtung zur Einhaltung der Unfallverhütungsvorschriften. Maßnahmen zur Gestaltung von Bildschirmarbeitsplätzen sind in der Arbeitsstättenverordnung (Anhang, Abschnitt 6) aufgenommen.
Die wesentlichen Regelungen für die beleuchtungstechnische Gestaltung von Arbeitsplätzen in Innenräumen finden sich in den nachstehend aufgeführten arbeitsrechtlichen Regelwerken und Informationsbroschüren:
Mit der DIN EN 12464-1 [ 23], DIN EN 12464-2 [ 24] und DIN EN 12665 [ 25] gilt in Deutschland und in den übrigen CEN-Mitgliedsländern ein einheitlicher Standard für die Beleuchtung von Arbeitsstätten in Innenräumen und Außenbereichen. Entsprechende bisherige DIN-Normen bzw. Teile davon sind daher ungültig geworden. Teile der nationalen Normen, die nicht durch die o. a. Normen abgedeckt werden (z.B. DIN 5035-3 [ 15], DIN 5035-6 [ 16] und 5035-8 [ 17]), gelten weiterhin als "Stand der Technik" und werden sukzessiv den vorgenannten Normen angepasst.
In der Europäischen Gemeinschaft gilt die EU-Richtlinie 2009/125/EG [ 46]. Sie definiert den Rahmen für die Festlegung von Anforderungen an die umweltgerechte Gestaltung von energierelevanten Produkten (Energy related Products - ErP).
Durch das Gesetz über die umweltgerechte Gestaltung energieverbrauchsrelevanter Produkte, das "Energieverbrauchsrelevante Produkte Gesetz" ( EVPG) [ 42], wurde die EU-Richtlinie 2009/125/EG in deutsches Recht umgesetzt.
An die Beleuchtungstechnik stellten folgende Verordnungen Anforderungen an Produkteigenschaften von Lampen, Leuchten, Vorschaltgeräte und Module bzw. an bestimmte zur Verfügung zu stellenden Informationen für den Verbraucher:
Die Weiterentwicklung im Bereich der Beleuchtungs- und Lichttechnik erforderte eine Überarbeitung und Überprüfung der v. g. Verordnungen. Gemäß der Richtlinie 2009/125/EG des Europäischen Parlament wurde die Überprüfung der Kommission mit der EU-Verordnung 2019/2020 (SLR - "Single Lighting Regulation") [ 60] umgesetzt. Durch dieses einheitliche Regelwerk, ergänzt durch die Verordnung 2021/341 [ 61] vom 23. Februar 2021, wurden die Verordnungen 244/2009 [ 50], 245/2009 [ 51] und 1194/2012 [ 53] aufgehoben und alle Festlegungen von Ökodesign-Anforderungen an Lichtquellen und separate Betriebsgeräte hier zusammengefasst
"Lampen" und "Leuchten" werden in der neuen Verordnung 2019/2020 nicht mehr benannt. Es wird stattdessen auf die Begriffe "Lichtquellen", "separate Betriebsgeräte" und "umgebende Produkte" fokussiert.
Hauptziel der neuen Verordnung ist es, dass Beleuchtungsprodukte mit mangelnder Energieeffizienz ab dem Stichtag 01. September 2021 bzw. 01. September 2023 nicht mehr in den Verkehr gebracht werden durften bzw. dürfen. Zu den Beleuchtungsprodukten zählen neben den hier vorrangig betrachteten Leuchtmitteln (in der Verordnung als Lichtquellen bezeichnet) auch separate Betriebsgeräte. Durch diese Ökodesignanforderung erhofft sich der Verordnungsgeber bis zum Jahr 2030 Einsparungen von insgesamt 40.000 GWh.
Neben den Energieeffizienz-Anforderungen wurden erstmalig auch Mindestvorgaben für weitere Gebrauchseigenschaften, wie z.B. Anforderungen bezüglich TLa (Flimmern und Stroboskopeffekte [ 65]), Lebensdauer oder Lichtstromerhalt als Funktionsanforderungen definiert.
Der Quecksilbergehalt in den Lampen wird in der neuen Verordnung nicht berücksichtigt. Dies erfolgt weiter durch die RoHS-Richtlinie Nr. 65/2011/EU in der konsolidierten Fassung vom 22. Juli 2019 [ 63].
Unter anderem sind Leuchtmittel für explosionsgefährdete Bereiche, für die die EU-Verordnung 34/2014/EU [ 62] gilt, von der neuen EU-Verordnung ebenso ausgenommen, wie Leuchtmittel für den Betrieb in Notfällen (Sicherheitsbeleuchtung), für die die Richtlinie 2014/35/EU [ 48] gilt.
Weitere Hinweise zu diesen Themen und detaillierten Ausführungen finden sich in einer Informationsschrift des ZVEI "Ökodesign, Energieverbrauchskennzeichnung, EPREL-Datenbank [ 66].
Weiterhin sind Ansätze zur Ressourcenschonung durch Anforderungen zur Austauschbarkeit von Lichtquellen und separaten Betriebsgeräten neu hinzugekommen. Dadurch soll auch der Aspekt der Standardisierung an Bedeutung gewinnen. Mittelfristiges Ziel ist es, eine stärkere Modularisierung und die Verwendung standardisierter Komponenten (Lichtquellen) mit standardisierten Produkteigenschaften.
Gemäß der Ökodesign-Verordnung 2019/2020 Artikel 4 Absatz 1 ist dazu neu eingefügt:
"Die Hersteller, Importeure oder Bevollmächtigte der Hersteller von Leuchten stellen sicher, dass Lichtquellen und separate Betriebsgeräte mit allgemein verfügbaren Werkzeugen ohne dauerhafte Beschädigung der Leuchte ausgetauscht werden können, außer wenn die technische Dokumentation eine auf die Funktionalität der Leuchte beruhende technische Begründung enthält, warum ein Austausch der Lichtquellen und separaten Betriebsgeräte nicht sinnvoll wäre".
Energieverbrauchskennzeichnung
Bei der Verwendung von Lichtquellen sollen Verbraucher bei Ihrer Kaufentscheidung Produkte mit möglichst hoher Energieeffizienz auswählen. Es entstanden in der Vergangenheit für die verschiedenen Produktkategorien unterschiedliche Energieeffizienzklassen, die zum Teil bis A+++ reichten.
Daher war eine Überarbeitung (d. h. eine "Neuskalierung") der produktspezifischen Energieeffizienzklassen notwendig, um eine für Verbraucher sichtbare Klassifizierung mit Energieeffizienzklassen a bis G.
Der Rahmen für die Energieverbrauchskennzeichnung ist in der Verordnung 2017/1369 festgelegt. Die neue delegierte Verordnung 2019/2015, ergänzt durch die delegierte Verordnung 2021/340, ersetzt die delegierte Verordnung 874/2012 zur Ergänzung der Richtlinie 2010/30/EU des Europäischen Parlaments und des Rates im Hinblick auf die Energieverbrauchskennzeichnung von elektrischen Lampen und Leuchten
EU- Produktdatenbank EPREL
Die EU-Produktdatenbank "EPREL" European Product Registry for Energy Labelling wurde gemäß der Verordnung 2017/1369 durch die Europäische Kommission eingeführt bzw. eingerichtet. In diese müssen die Lieferanten ihre Produkte registrieren. Die Produktdatenbank enthält einen öffentlichen und einen nichtöffentlichen Teil. Der öffentliche Teil ist für jeden zugänglich, Lieferanten haben Zugang zu ihren Daten in beiden Teilen. In diese sind die Angaben des Energieetiketts sowie die umfangreichen Parameter des Produktdatenblatts einzupflegen. Der Link auf den Produkteintrag in EPREL ist über den QR-Code des Energieetiketts von Lichtquellen auszulesen.
Seit dem 1. Januar 2019 ist gemäß 2017/1369 Art. 4 die Einpflege von Produktinformationen für Lampen und LED-Module in die Produktdatenbank EPREL verpflichtend. Modelle, die ab dem 1. August 2017 in Verkehr gebrachten wurden, sind zu berücksichtigen. Die Produktregistrierung von Lichtquellen (Lampen und LED-Modulen) hat grundsätzlich vor dem Inverkehrbringen zu erfolgen.
Für Leuchten besteht seit dem 25. Dezember 2019 keine Anforderung zur Energieverbrauchskennzeichnung. Eine entsprechende Produktdatenbank wurde nicht entwickelt.
3 Qualitätsmerkmale einer Beleuchtungsanlage
3.1 Zusammenhänge der lichttechnischen Größen
Nachstehend soll kurz auf die lichttechnischen Grundbegriffe und entsprechenden Maßeinheiten von Beleuchtungsanlagen eingegangen werden.
3.1.1 LichtstromΦ
Der LichtstromΦ beschreibt die von einer Lichtquelle ausgestrahlte gesamte Lichtleistung. Die physikalische Einheit des LichtstromsΦ ist Lumen [lm]. Demnach stellt der LichtstromΦ die "Menge" des abgegebenen Lichts dar (vgl. Abbildung 1).
Abbildung 1: Schematische Darstellung des LichtstromesΦ
3.1.2 LichtstärkeI
Die LichtstärkeI ist definiert durch denjenigen Lichtstrom, der in einen bestimmten Raumwinkel abgegeben wird (vgl. Abbildung 2). Die physikalische Einheit der LichtstärkeI ist Candela [cd].
Für die Lichtstärke I gilt folgende Gleichung 1:
![]() |
[ 1] |
Abbildung 2: Schematische Darstellung der Lichtstärke I

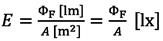
3.1.3 BeleuchtungsstärkeE
Die BeleuchtungsstärkeE beschreibt einen definierten Lichtstrom, der auf eine definierte Fläche auftrifft (vgl. Abbildung 3). Die physikalische Einheit der BeleuchtungsstärkeE ist Lux [lx]. Für die Beleuchtungsstärke gilt die Gleichung 2:
![]() |
[ 2] |
Abbildung 3: Schematische Darstellung der BeleuchtungsstärkeE
(LichtstromΦF auf der Fläche A)

Die Beleuchtungsstärke kann für verschiedenartige und im Raum verschiedene orientierte Flächen bestimmt werden, z.B. ebene und zylindrische Flächen mit horizontaler oder vertikaler Ausrichtung. Bei der Beleuchtungsstärke wird dann von horizontaler bzw. vertikaler (siehe linkes Bild in Abbildung 4) und zylindrischer Beleuchtungsstärke 1) (siehe rechtes Bild in Abbildung 4) gesprochen.
Die zylindrische Beleuchtungsstärke ist der Mittelwert der vertikalen Beleuchtungsstärken über alle Richtungen in einer horizontalen Ebene um aufeinanderfolgende Punkte entlang einer vertikalen Achse. Die Berechnungsflächen bei einer Beleuchtungsberechnung können dabei einer zylindrischen Form nachempfunden werden (siehe roter Zylinder in Abbildung 4); der Einfachheit halber genügt es, vier entsprechend angeordnete Flächen anzunehmen (siehe offener karierter Würfel in Abbildung 4).
Die Berechnung des Wartungswertes der mittleren zylindrischen Beleuchtungsstärke` Em,z erfolgt nach der DIN EN 12464-1 [ 23] für sitzende Personen in waagerechter Ebene 1,2 m über dem Boden und für stehende Personen in 1,6 m Höhe.
Abbildung 4: Schematische Darstellung von horizontaler bzw. vertikaler Beleuchtungsstärke (links) und zylindrischer Beleuchtungsstärke (rechts)

3.1.4 LeuchtdichteL
Die LeuchtdichteL ist der Helligkeitseindruck, den das menschliche Auge von einer beleuchteten bzw. selbstleuchtenden Fläche wahrnimmt (vgl. Abbildung 5). Die physikalische Einheit der LeuchtdichteL ist Candela pro Quadratmeter [cd/m2]. Damit beschreibt die Leuchtdichte, wie "hell" eine Fläche einem Betrachter erscheint.
Abbildung 5: Schematische Darstellung der Leuchtdichte L

3.1.5 FarbtemperaturK
Die Lichtfarbe eines Leuchtmittels bezieht sich auf die wahrgenommene Farbe des abgestrahlten Lichts. Diese wird als Farbtemperatur beschrieben und wird mit der physikalischen Einheit Kelvin [K] angegeben.
Die Farbtemperatur einer Lichtfarbe entspricht der Farbe, die ein schwarzer Körper annimmt, wenn er auf die genannte Temperatur erhitzt wird.
3.2 Lichttechnische Gütemerkmale
Um die Anforderungen an eine Beleuchtungsanlage optimal zu erfüllen, müssen lichttechnische Gütemerkmale beachtet werden, die im Folgenden beschrieben werden.
3.2.1 Leuchtdichteverteilung
Eine ausgewogene und harmonische Leuchtdichteverteilung im Gesichtsfeld trägt ganz wesentlich zur Sehleistung und zum Sehkomfort bei. Große Leuchtdichteunterschiede im Gesichtsfeld führen dagegen zu einer ständigen Adaptionsarbeit der Augen. Dies führt zu frühzeitiger Ermüdung und zu Konzentrationsschwächen.
Insbesondere bei Bildschirmarbeitsplätzen kommt es bei der Leuchtdichteverteilung zu Wechselwirkungen zwischen der Beleuchtungsanlage und den lichttechnischen Eigenschaften der Oberflächen der Raumbegrenzungsflächen, Arbeitsmittel und Einrichtungsgegenstände (vgl. folgendes Kapitel 3.2.2).
3.2.2 Reflexionsgrade
Reflexionsgrade von Raumbegrenzungsflächen
Aus lichttechnischen und wirtschaftlichen Gründen werden nur Raumbegrenzungsflächen mit folgenden Reflexionsgraden empfohlen (helle Räume):
| - | Decke | 0,7 bis 0,9 |
| - | Wände (im Mittel) | 0,5 bis 0,8 |
| - | Nutzebene bzw. Fußboden | 0,2 bis 0,6 |
Für die Berechnung der Blendung ist zu beachten, dass der Reflexionsgrad von Fensterflächen max. 0,2 beträgt. Dadurch ergibt sich ein relativ niedriger Mittelwert für diese Wände. Fenstervorhänge und Jalousien sind jedoch wie Wandflächen zu bewerten. Decke und Wände sollten die Glanzgrade matt bis halbmatt aufweisen.
Reflexionsgrade von Einrichtungsgegenständen
Der Reflexionsgrad wichtiger Einrichtungsgegenstände (wie z.B. Möbel) sollte im Bereich von 0,2 bis 0,7 liegen. Für die Möblierung sollten Oberflächen mit einem Glanzgrad matt bzw. halbmatt gewählt werden.
3.2.3 Beleuchtungsstärke und Gleichmäßigkeit
Allgemeine Ausführungen
Zur Bestimmung der Beleuchtungsstärke und der Gleichmäßigkeit für Arbeitsstätten stehen die folgenden zwei Dokumente zur Verfügung:
In beiden Dokumenten werden in tabellarischer Form Beleuchtungssituationen beschrieben, wobei hier die Angaben zur Beleuchtungsstärke und anderen Größen erfolgen.
An dieser Stelle sei nochmals auf das nationale Vorwort der DIN EN 12464-1 hingewiesen, dass eine reine Planung und/oder Betrieb von Beleuchtungsanlagen in Arbeitsstätten nach Norm DIN EN 12464-1 dazu führen kann, dass staatliche Anforderungen (z.B. Anforderungen nach ASR A3.4) nicht eingehalten werden.
Daher soll an dieser Stelle auf das jeweilige Modell der lichttechnischen Bereiche eingegangen werden.
Lichttechnische Bereiche in der ASR A3.4
In der ASR A3.4 wird die Ausprägung der lichttechnischen Bereiche wie folgt verstanden (vgl. folgende Abbildung 6).
Abbildung 6: Ausbildung der lichttechnischen Bereiche nach ASR A3.4

(Apl = Bereich des Arbeitsplatzes; TF = Teilfläche; UB = Umgebungsbereich)
Entsprechend Abbildung 6 beschreibt die ASR A3.4 die maßgeblichen zwei Bereiche "Arbeitsplatz" und "Umgebungsbereich". Die weitere Unterteilung des Arbeitsplatzes in Teilflächen kann dann erfolgen, wenn Mindestwerte einer mittleren Beleuchtungsstärke von über 500 lx vorgeschrieben sind (s. weitere Details in der ASR A3.4).
In den Tabellen im Anhang 1 zur ASR A3.4 sind die Mindestwerte zur mittleren Beleuchtungsstärke für die jeweilige Beleuchtungssituation angegeben, wobei sich die Werte auf den Bereich des Arbeitsplatzes ("Apl" in Abbildung 6) beziehen. Bezüglich der Gleichmäßigkeit wird ein Wert von U0 > 0,6 gefordert (vgl. Abschnitt 5.2 Abs. 3 in der ASR A3.4).
Für die Beleuchtungsstärke des Umgebungsbereiches "UB" gilt eine Staffelung in Abhängigkeit der Beleuchtungsstärke des Arbeitsplatzes (vgl. folgende Tabelle 1).
Tabelle 1: Mindestwerte der Beleuchtungsstärke des Umgebungsbereiches nach ASR A3.4
| Mindestwert mittlere Beleuchtungsstärke "Apl" |
Mindestwert mittlere Beleuchtungsstärke "UB" |
| 300 lx | 200 lx |
| > 500 lx | 300 lx |
| > 500 lx | 300 lx oder mehr |
Für die Gleichmäßigkeit der Beleuchtungsstärke im Umgebungsbereich "UB" wird ein Wert vonU0> 0,5 gefordert (vgl. Abschnitt 5.2 Abs. 5 in der ASR a 3.4).
Lichttechnische Bereiche in DIN EN 12464-1
In der DIN EN 12464-1 ist die Ausprägung der lichttechnischen Bereiche wie folgt gestaltet (vgl. Abbildung 7).
Abbildung 7: Ausbildung der lichttechnischen Bereiche nach DIN EN 12464-1

Nach Abbildung 7 beschreibt die DIN EN 12464-1 die drei Bereiche:
In den Tabellen der DIN EN 12464-1 wird in Abhängigkeit der Beleuchtungssituation für den Bereich der Sehaufgabe der Mindestwert der mittleren Beleuchtungsstärke in zwei Stufen angegeben: Der erforderliche Mindestwert` EmErforderlich und der modifizierte Mindestwert` EmModifiziert, der einen erhöhten Wert im Vergleich zum erforderlichen Mindestwert darstellt. Der erforderliche Mindestwert ist als untere Grenze zu verstehen, wobei der modifizierte Mindestwert durch sogenannte Kontextmodifikatoren um eine oder zwei Stufe 2) höher ausfällt. Derartige Kontextmodifikatoren können sein:
Der modifizierte Mindestwert ist dabei nicht als oberer Grenzwert zu verstehen.
Auch eine Verringerung der Beleuchtungsstärke` EmModifiziert um eine Stufe kann in Betracht kommen, wenn Aufgabendetails ungewöhnlich groß sind, sie einen ungewöhnlich hohen Kontrast aufweisen oder die Aufgabe nur für eine ungewöhnlich kurze Zeit durchgeführt wird.
Neben der Angabe des Mindestwertes der mittleren Beleuchtungsstärke finden sich in den Tabellen der DIN EN 12464-1 [ 23] die Vorgaben zur Gleichmäßigkeit der Beleuchtungsstärke.
Für den unmittelbaren Umgebungsbereich und den Hintergrundbereich werden in der DIN EN 12464-1 hinsichtlich der Mindestwerte der mittleren Beleuchtungsstärke folgende Vorgaben ausgeführt (vgl. folgende Tabelle 2).
Tabelle 2: Mindestwerte der mittleren Beleuchtungsstärke für den unmittelbaren Umgebungsbereich und den Hintergrundbereich
| Bereich der Sehaufgabe |
unmittelbarer Umgebungsbereich |
Hintergrund - bereich |
| > 750 lx | 500 lx | 167 lx |
| 500 lx | 300 lx | 100 lx |
| 300 lx | 200 lx | 67 lx |
| < 200 lx | 150 lx | 50 lx |
| < 150 lx | ESehaufgabe | 50 lx |
Für die Gleichmäßigkeit der Beleuchtungsstärke gelten für den unmittelbaren Umgebungs- und Hintergrundbereich folgende Werte (vgl. Tabelle 3).
Tabelle 3: Gleichmäßigkeit der Beleuchtungsstärke für die benannten Bereiche
| unmittelbarer Umgebungsbereich |
Hintergrundbereich |
| > 0,40 | > 0,10 |
Hinweise zur Nutzebene
Die erforderliche Beleuchtungsstärke ist immer auf die Nutzebene bezogen. Diese liegt in Büros und büroähnlichen Räumen nach ASR A3.4 Tabelle 1 0,75 m über dem Fußboden. Bei Verkehrsflächen oder Sanitärräumen ist die Nutzebene der Fußboden bzw. eine Ebene bis 0,2 m über dem Fußboden. Bei überwiegend stehender Tätigkeit (z.B. Werkbank, Laborarbeitstisch) werden 0,85 m angenommen. Bei Räumen, für die es keine generellen Regelungen gibt, sind individuelle Anforderungen entsprechend der örtlichen Gegebenheiten zu treffen.
Zu beachten ist, dass sowohl in der ASR A3.4 als auch in der DIN EN 12464-1 die Nutzebene je nach Sehaufgabe oder Tätigkeit auf der Bewertungsfläche horizontal, vertikal oder geneigt sein kann. Daher muss die Beleuchtung so gestaltet sein, dass die Beleuchtungsstärke auf dieser Ausrichtung erreicht wird.
Eine Besonderheit liegt in der Bewertung der Beleuchtungsstärke des Hintergrundbereiches nach DIN EN 12464-1. Der Hintergrundbereich wird eindeutig in der Horizontalen auf Bodenhöhe festgelegt.
3.2.4 Umgang mit Unterschieden zwischen ASR A3.4 und DIN EN 12464-1
Die DIN EN und die ASR können hinsichtlich der geforderten Werte der Gleichmäßigkeit und Beleuchtungsstärke unterschiedliche Vorgaben machen. Dies verstärkt sich insbesondere auch dadurch, dass in den DIN EN nicht nur ein Mindestwert, sondern auch ein modifizierter (und höherer) Wert beschrieben ist.
Im Zweifelsfall sollte, insbesondere in öffentlichen Gebäuden bzw. Gebäuden mit Arbeitsstätten, der Wert mit der höheren Qualität zugrunde gelegt werden. Um eine ausreichende Gleichmäßigkeit der Beleuchtungsstärke im gesamten Raum sicherzustellen, sollten darüber hinaus die für den unmittelbaren Umgebungsbereich vorgesehenen Werte im gesamten Umgebungsbereich vorgesehen werden.
3.2.5 Beleuchtungsstärke auf Wand- und Deckenoberflächen
In der DIN EN 12464-1 werden nunmehr in den Tabellen zu den einzelnen Beleuchtungssituationen differenzierte Anforderungen an die Beleuchtungsstärke für Wand- und Deckenoberflächen festgelegt. Die geforderten Werte befinden sich in den Spalten` Em,Wand und` Em,Decke.
Die Anforderungen an die Gleichmäßigkeit sind wie folgt festgelegt:U0> 0,10.
3.2.6 Anforderungen an die zylindrische Beleuchtungsstärke
Die zylindrische Beleuchtungsstärke (` Ez) ist die Beleuchtungsstärke, die sich auf einem senkrecht im Raum stehenden Zylinder einstellt.
Die zylindrische Beleuchtungsstärke ist von Bedeutung für die visuelle Kommunikation und die Erkennung von Objekten. Waren in der alten Version der DIN EN feste Wartungswerte für die zylindrische Beleuchtungsstärke`EZ vorgeschrieben, so sind in der aktuellen Ausgabe der DIN EN jetzt differenzierte Werte je nach Sehaufgabe und Tätigkeit festgelegt worden (in der Spalte`Em,z).
Die Höhe für die Ermittlung der zylindrischen Beleuchtungsstärke beträgt nach DIN EN 124641 Teil 1 Pkt. 5.5.2 für sitzende 1,20 m und für stehende Personen 1,60 m. Die Gleichmäßigkeit für die zylindrische Beleuchtungsstärke ist in der DIN EN mit U0> 0,10 angegeben.
In der ASR A3.4 finden sich keine Aussagen zur zylindrischen Beleuchtungsstärke; insofern finden hier die Ausführungen der DIN EN 12464-1 Anwendung.
3.2.7 Modelling
Für das Erkennen von Formen und Strukturen ist eine ausgewogene Verteilung von diffusem und gerichtetem Licht notwendig (Modelling). Ein guter Modelling-Indikator ist das Verhältnis von zylindrischer zu horizontaler Beleuchtungsstärke (` Ez/` Eh). Dieses sollte in einer Höhe von 1,20 m den Wert von 0,30 nicht unterschreiten.
3.2.8 Blendungsbegrenzung
Störende Blendung kann als Direktblendung durch Tageslicht, leuchtende Decken oder Leuchten und als Reflexblendung durch Spiegelungen hoher Leuchtdichten aufglänzenden Flächen auftreten.
Direktblendung
Blendung, die durch zu große Leuchtdichteunterschiede im Gesichtsfeld z.B. von Leuchten, Fenster oder beleuchteten Flächen hervorgerufen wird, bezeichnet man als Direktblendung (psychologische Blendung). Bei längerem Aufenthalt in einem solchen Bereich kann dies zu Wohlbefindlichkeitsstörungen und zu einer Verminderung der Leistungsfähigkeit führen.
Abbildung 8: Kritischer Bereich für Direktblendung

Bei einer Installation einer Beleuchtung ist für die spätere Nutzung die Direktblendung zu berücksichtigen (hier als Prinzipdarstellung). Für den kritischen Bereich, der die Direktbelendung verursacht (hier mitβ bezeichnet), werden - je nachdem, ob es sich um eine direkt sichtbare Lichtquelle oder eine durch Optiken verdeckte Lichtquelle handelt - Anforderungen nach Tabelle 4 bzw. Tabelle 5 gestellt. Die Bewertung der Direktblendung durch Leuchten erfolgt gemäß DIN EN 124641 durch das UGR-Verfahren (Unified-Glare-Rating-Verfahren nach CIE 117 [ 68]). Je kleiner der nach diesem Verfahren ermittelte UGR-Wert ist, umso geringer ist die Direktblendung. Die Berechnung der UGR-Werte ist mit den heute gängigen Berechnungsprogrammen möglich. Darüber hinaus stellen die Leuchtenhersteller Tabellen, in Abhängigkeit von der Blickrichtung, für die Ermittlung der UGR-Werte für ihre Produkte zur Verfügung. Dabei wird immer von einer horizontalen Blickrichtung ausgegangen. Problematisch sind z.B. Sporthallen, wo auch mit Blickrichtung nach oben gerechnet werden muss.
Im Allgemeinen gilt, je schwieriger die Sehaufgabe bei der zu versehenden Arbeit ist, umso stärker muss auf die Vermeidung von Direktblendung geachtet werden. In Räumen mit Bildschirmarbeitsplätzen darf der UGR-Wert nicht größer als 19 sein, unabhängig vom Beleuchtungsniveau. Die zulässigen UGR-Werte für die unterschiedlichen Räume, Aufgaben und Tätigkeiten sind den Tabellen für die Aufgaben- und Tätigkeitsbereiche der DIN EN 12464-1 (in der SpalteRUGL) zu entnehmen.
Nach der aktuellen DIN EN 12464-1 werden Leuchten in Leuchten mit direkt sichtbarer Lichtquelle sowie Leuchten, bei denen die direkte Sicht auf die Lichtquelle durch Optiken verdeckt ist, unterschieden.
Bei Leuchten mit einer direkt sichtbaren Lichtquelle müssen die angegebenen Mindestabschirmwinkelα (vgl. Abbildung 9) für die angegebene LeuchtdichteL der Lichtquelle eingehalten werden. Tabelle 4 zeigt die einzuhaltenden Werte.
Tabelle 4: Leuchtdichte L der Lichtquelle und Mindestabschirmwinkel ± bei Leuchten mit direkt sichtbarer Lichtquelle
(vgl. Abbildung 9)
| LeuchtdichteL der Lichtquelle in kcd/m2 |
Mindestabschirmwinkelα in ° |
| 20 bis < 50 | 15 |
| 50 bis < 500 | 20 |
| > 500 | 30 |
Bei Leuchten, bei denen die direkte Sicht auf die Lichtquelle durch Optiken verdeckt ist, wird einem Abstrahlungswinkelbereich eine maximale mittlere Leuchtdichte zugeordnet (vgl. Tabelle 5 in Verbindung mit Abbildung 10). Dieser Fall trifft bei LED-Leuchten zu, bei denen eine prismatische oder opale Scheibe als leuchtende optische Elemente zur Blendungsbegrenzung eingesetzt wird, wie dieses in der Vergangenheit bereits bei Wannenleuchten der Fall war.
Tabelle 5: Max. mittlere Leuchtdichte in Abhängigkeit vom Ausstrahlungswinkel y mit durch Optiken verdeckter Lichtquelle
(vgl. Abbildung 10)
| Ausstrahlungswinkel γ in ° |
maximale mittlere Leuchtdichte L in kcd/m2 |
| 75 °< γ < 90 ° | < 20 |
| 70 °< γ < 75 ° | < 50 |
| 60 °< γ < 70 ° | < 500 |
Bei einer Leuchte mit Leuchtdioden muss sichergestellt werden, dass in dem Bereich von γ = 60 ° bis 70 ° die Leuchtdichte auf 500 kcd/m2 begrenzt wird. Auf Grund der hohen Leuchtdichte von Leuchtdioden (bis zu 50 Mcd/m2) sind hierzu i.d.R. Entblendungsmaßnahmen erforderlich.
Abbildung 9: Abschirmwinkelα bei Leuchten mit direkt sichtbarer Lichtquelle

Abbildung 10: Ausstrahlwinkel γ bei mittels durchleuchtenden optischen Elementen abgeschirmten Lichtquellen

Reflexblendung
Reflexblendung am Bildschirm entsteht, wenn sich helle Flächen der Umgebung z.B. Leuchten, Fenster oder beleuchtete Flächen auf dem Bildschirm spiegeln. Reflexblendung entsteht bei glänzenden Flächen im Arbeitsplatzbereich wie Hochglanzpapieren, glänzenden Teilen an Telefonen oder Tastaturen, glänzenden Möbeloberflächen etc., in denen sich eine Lichtquelle spiegelt. In größeren Büros und EDV-Schulungsräumen kann die Reflexblendung durch die geeignete Anordnung der Bildschirme reduziert werden.
Die störenden Reflexionen auf dem Bildschirm können durch die richtige Beleuchtungsart bzw. die Anordnung der Leuchten in Bezug auf den Bildschirm vermieden werden. Weiterhin muss der Bildschirmarbeitsplatz zum Fenster hin ergonomisch angeordnet werden. Darüber hinaus sollten nur Bildschirme mit einer Leuchtdichte > 200 cd/m2 betrieben werden. Weitere Hinweise zu den zulässigen Leuchtdichtegrenzwerten in Abhängigkeit von den Leuchtdichten der Bildschirme (siehe Abschnitt 6, Planung von Beleuchtungsanlagen).
3.2.9 Lichtrichtung und Schattigkeit
Licht und Schatten ermöglichen das Erkennen von Gegenständen im Raum. Erst die Lichtrichtung und die Schattigkeit lassen Gegenstände plastisch erscheinen und geben ihnen Tiefe. Schlagschatten mit harten Rändern entstehen durch stark gerichtetes Licht, z.B. beim Einsatz tiefstrahlender Leuchten. Eine rein indirekte Beleuchtung ist im Allgemeinen sehr schattenarm und erschwert das räumliche Sehen.
Ein gutes Verhältnis von indirekten und direkten Lichtanteilen bewirkt eine angenehme Schattigkeit (Schatten mit weichen Rändern, siehe hierzu auch Hinweis zu Modeling im Abschnitt 3.2.7).
Bei einer Leuchtenanordnung parallel zum Fenster kann tagsüber die hintere Leuchtenreihe im Raum eventuelle Schlagschatten aufhellen. Mit abnehmendem Tageslicht wird die fensternahe Leuchtenreihe am Fenster zugeschaltet und ersetzt schließlich das natürliche Licht.
3.2.10 Lichtfarbe
Die physikalische Definition der Lichtfarbe erfolgte bereits in Abschnitt 3.1. Die Lichtfarbe eines Leuchtmittels bezieht sich dabei auf die wahrgenommene Farbe des abgestrahlten Lichtes. Sie wird gemäß folgender Tabelle 6 beschrieben.
Tabelle 6: Lichtfarben nach DIN EN 12464-1
| Lichtfarbe | Ähnlichste FarbtemperaturTCP |
| Warmweiß (ww) | Unter 3.300 K |
| Neutralweiß (nw) | Zwischen 3.300 und 5.300 K |
| Tageslichtweiß (tw) | Über 5.300 K |
Der Mensch empfindet Licht höherer Farbtemperatur bei gleicher Lichtmenge heller als Licht geringerer Farbtemperatur. Warmes Licht mit einer Farbtemperatur bis 3.000 K wird als beruhigend und zurückhaltend eingeschätzt. Neutralweißes Licht mit einer Farbtemperatur von 4.000 K wird als natürlich und hell, und somit für allgemeine Sehaufgaben als förderlich eingeschätzt. Tageslichtweißes Licht mit einer Farbtemperatur von 6.500 K wird in Innenräumen als sehr grell empfunden und sollte nur bei besonderen Sehaufgaben eingesetzt werden. Generelle Empfehlungen, wann welche Lichtfarbe eingesetzt werden sollte, gibt es nicht 3) .
In der Regel ist die spezifische Lichtausbeute bei vergleichbaren Leuchten mit 4.000 K höher als bei 3.000 K. Es sollte daher von der Farbtemperatur 4.000 K nur in begründeten Fällen abgewichen werden.
3.2.11 Farbwiedergabeindex CRI (Colour Rendering Index)
Bei der Beleuchtung mit Kunstlicht wird Wert auf ausreichende Farbwiedergabe gelegt, d. h. wie naturgetreu die Farben in diesem Licht erscheinen. Damit die Leuchtmittel hierfür eingeteilt werden können, werden diese mit Hilfe des color Rendering Index (Ra) klassifiziert. Je höher derRa-Wert eines Leuchtmittels ist, umso natürlicher ist die Farbwiedergabe. Das Sonnenlicht und das Licht von Glühlampen werden hierfür als Referenzlicht verwendet und weisen einenRa-Wert von 100 auf. Die folgende Tabelle 7 zeigt typische Werte je nach Lampentyp.
Tabelle 7: Farbwiedergabeindex
| Lampentyp | Ra-Wert |
| Glühlampe, Sonnenlicht | 100 |
| Leuchtstofflampe, weiß | 80...98 |
| LED | 80...98 |
| Halogen-Metalldampflampe | 60...95 |
| Natriumdampf-Hochdrucklampe | > 40 |
Sowohl in der ASR A3.4 als auch in der DIN EN 12464-1 werden in den tabellarisch beschriebenen Beleuchtungssituationen Anforderungen an die Farbwiedergabe gestellt.
Sofern hier unterschiedliche Anforderungen an den Farbwiedergabeindex gestellt werden, sollte im Zweifelsfall - analog wie beim Vorgehen bei der Beleuchtungsstärke - der höhere Wert gewählt werden.
3.2.12 Flimmern
Beleuchtungsanlagen in Innenräumen, in denen Menschen arbeiten, sind so auszulegen, dass Flimmern oder stroboskopische Effekte vermieden werden.
LED-Leuchten, die nicht gedimmt betrieben werden, sind hinsichtlich der Flimmerneigung unkritisch. Beim Einsatz von Retrofit-Lampen trifft dieses nicht immer zu.
Bei bestimmten Dimm-Verfahren können jedoch Flimmererscheinungen auftreten (siehe Abschnitt 4.2.3).
3.3 Beleuchtungskonzepte
Bei der Innenraumbeleuchtung unterscheidet man drei Beleuchtungskonzepte:
3.3.1 Raumbezogene Beleuchtung
Unter dem Beleuchtungskonzept "Raumbezogene Beleuchtung" wird eine gleichmäßige Beleuchtung über den gesamten Raum verstanden. Hierbei wird die erforderliche Anzahl von Leuchten gleichmäßig über den Raum verteilt. Eine Anordnung in Reihen parallel zur Fensterfront ist dabei vorteilhaft. Die Reihen können aus Lichtbändern oder aus Einzelleuchten bestehen. Neben den Anforderungen an die Beleuchtungsstärke ist die Begrenzung der Blendung für Bildschirmarbeitsplätze im gesamten Raum einzuhalten. Diese "Raumbezogene Beleuchtung" schafft an allen Stellen etwa gleiche Sehbedingungen. Der Bereich der Sehaufgabe nach DIN EN 12464-1 entspricht damit grundsätzlich dem kompletten Raum. Da der Bereich der Sehaufgabe durch Wände begrenzt wird, kann nach DIN EN 12464-1 bei der Beleuchtungsberechnung ein Randstreifen von bis zu 0,50 m Breite 4) unberücksichtigt bleiben, wenn sich dort keine Bereiche mit Sehaufgaben befinden.
Die raumbezogene Beleuchtung wird angewendet in großen Räumen, bei denen eine örtliche Zuordnung der Sehbereiche nicht bekannt ist oder nicht auf Dauer festgelegt werden kann (z.B. Sitzungsräume, Großraumbüros, Klassenräume, Hör-, Lehr- und Lesesäle, Sporthallen, Werkstätten, Verkehrsflächen).
3.3.2 Arbeitsbereichsbezogene Beleuchtung
Unter dem Beleuchtungskonzept "Arbeitsbereichsbezogene Beleuchtung" wird eine Beleuchtung verstanden, bei der die Anordnung der Beleuchtungskörper hinsichtlich der Lage des Arbeitsbereichs, oder bei mehreren Arbeitsbereichen innerhalb eines Raumes, optimiert wird. Der Bereich der Sehaufgabe nach DIN EN 12464-1 entspricht in etwa dem Arbeitsbereich nach DGUV 215410 [ 9] und ASR A3.4 [ 5].
Bei diesem Beleuchtungskonzept werden für die einzelnen Arbeitsbereiche und den Umgebungsbereich unterschiedliche Lichtzonen geschaffen, die die Raumatmosphäre positiv beeinflussen. Hierbei muss jedoch auf eine ausgewogene Beleuchtungsstärkeverteilung im Raum geachtet werden.
Der Bereich um den "Bereich der Sehaufgabe" wird als "unmittelbarer Umgebungsbereich" betrachtet. Auch hier kann in direkter Nähe zu Wänden im Rahmen der Beleuchtungsberechnung ein Randsteifen von bis zu 0,5 m als Hintergrundbereich unberücksichtigt bleiben, unter der Voraussetzung, dass die Mindestbreite des "unmittelbaren Umgebungsbereichs" von> 0,5 m eingehalten wird (siehe Abbildung 7).
Für fensternahe Arbeitsbereiche werden die Leuchtenreihen nicht raumsymmetrisch, sondern zur Fensterseite hin versetzt angeordnet, um die gleiche Lichtrichtung wie bei Tageslicht zu erreichen. Dadurch werden störende Schatten weitgehend vermieden. Die Leuchten werden in Reihen gleichlaufend zur Hauptblickrichtung angeordnet; also bei gerichteter Sitzanordnung grundsätzlich parallel zur Hauptfensterfront. Bei dem Arbeitsbereich "Lesetätigkeit an Schrank- und Regalflächen" sind die vertikalen Flächen im Bereich von 0,50 m bis 2,00 m über dem Boden zu berücksichtigen.
Die arbeitsbereichsbezogene Beleuchtung hat sich in öffentlichen Gebäuden hinsichtlich Sehbedingungen, Tageslichtnutzung, Wirtschaftlichkeit und Energieeinsparung am besten bewährt und ist das am häufigsten angewandte Beleuchtungskonzept in verwaltungstypischen Büroräumen mit fensternahen Arbeitsplätzen. Sie wird grundsätzlich empfohlen, falls nicht im begründeten Sonderfall spezielle Anforderungen an die Anordnung der Arbeitsbereiche festgelegt werden.
3.3.3 Teilflächenbezogene Beleuchtung
Die teilflächenbezogene Beleuchtung ist eine Beleuchtung, mit der einzelne Zonen innerhalb des Arbeitsbereichs individuell beleuchtet werden. Auch bei dem Konzept einer teilflächenbezogenen Beleuchtung entspricht der Bereich der Sehaufgabe nach DIN EN 12464-1 dem Arbeitsbereich; die Teilfläche wird jedoch zusätzlich mit einem erhöhten Beleuchtungsniveau ausgeleuchtet.
Den Teilflächen sind individuelle Sehaufgaben zugeordnet. Eine teilflächenbezogene Beleuchtung wird über die Beleuchtung des Arbeitsbereichs hinaus empfohlen, wenn:
Wenn eine teilflächenbezogene Beleuchtung vorgesehen werden soll, ist nach der DGUV Information 215-442 [ 10] eine Teilfläche von mindestens 600 mm x 600 mm vorzusehen. Diese soll sich vom Beleuchtungsniveau des restlichen Arbeitsbereiches abheben. Dies würde bedeuten, dass bei Büroarbeitsplätzen mit "Bildschirmarbeit" (` Em> 500 lx) die Teilfläche mit` Em> 750 lx ausgeleuchtet werden muss. Zwischen Arbeitsbereich und Teilfläche soll ein weicher Übergang der Beleuchtungsstärke vorhanden sein.
Da die teilflächenbezogene Beleuchtung zu einem erhöhten Beleuchtungsniveau in der Teilfläche führt, kommt eine Realisierung nur in begründeten Sonderfällen in Frage.
Es muss außerdem sichergestellt werden, dass die teilflächenbezogene Beleuchtung nur in Verbindung mit der allgemeinen Beleuchtung des Arbeitsbereichs betrieben werden kann. Bei ausschließlichem Betrieb der individuellen Beleuchtung der Teilfläche kommt es zu extrem ungleichmäßigen Leuchtdichteverteilungen, die sich sehr negativ auswirken.
Zur Realisierung einer teilflächenbezogenen Beleuchtung können als Alternative zu Deckenleuchten auch ortsveränderliche Leuchten (z.B. Stehleuchten) genutzt werden. Hierbei ist zu beachten, dass Stolperstellen durch die elektrischen Anschlussleitungen entstehen und die Betriebskosten sich durch die regelmäßig durchzuführenden elektrischen Sicherheitsprüfungen nach DGUV- Vorschrift 3 [ 12] erhöhen.
3.4 Beleuchtungsarten
In Abhängigkeit von der Lichtstromverteilung der Leuchten unterscheidet man folgende Beleuchtungsarten:
3.4.1 Direktbeleuchtung
Bei der Direktbeleuchtung wird der Lichtstrom unmittelbar auf die Arbeitsflächen gerichtet und dadurch, aufgrund deutlich geringerer Reflexionsverluste an der Decke, insgesamt ein höherer Beleuchtungswirkungsgrad erzielt. Diese Leuchten sind meist als Deckenanbauleuchten, Deckeneinbauleuchten oder als Pendelleuchten ausgeführt. Je nachdem, in welchen Räumen, Bereichen, Aufgaben und Tätigkeiten direktstrahlende Leuchten eingesetzt werden, sind diese in der geeigneten Leuchten-Technik auszuwählen.
Da bei dieser Beleuchtungsart üblicherweise kein direktes Licht an die Decke fällt, erscheint diese deshalb meist relativ dunkel. Dadurch ergeben sich hohe Kontraste zwischen Leuchte und Deckenbereich.
An Bildschirmarbeitsplätzen ist bei der Wahl direktstrahlender Leuchten die Positionierung der Leuchten zu den Arbeitsplätzen im Hinblick auf die Reflexblendung besonders wichtig (siehe Abschnitt 3.1.3). Aufgrund der hohen punktuellen Leuchtdichte kann dies beim Einsatz direkt strahlenden Leuchten möglicherweise kritisch sein. Unabhängig von der gewählten Leuchtentechnik sind die Leuchten zur Vermeidung von Reflexblendungen auf der Arbeitsfläche seitlich des Arbeitsplatzes und möglichst parallel zur Blickrichtung anzuordnen.
3.4.2 Indirektbeleuchtung
Bei der Indirektbeleuchtung wird der Lichtstrom der Leuchten unmittelbar an Decke, Wände oder andere Reflexionsflächen gelenkt und von dort in den Raum und auf die Arbeitsflächen reflektiert. Es ist darauf zu achten, dass an den angestrahlten Flächen keine hellen Lichtflecken mit zu hohen Leuchtdichten entstehen. Die Lichtstärkeverteilung der Leuchten sollte daher breitstrahlend und der Deckenabstand ausreichend groß sein. Vorteil dieser Beleuchtungsart ist, dass die Leuchten weitgehend unabhängig von der Position der Arbeitsplätze angeordnet werden können.
Bei ausschließlich indirekter Beleuchtung wird jedoch das räumliche Sehen aufgrund fehlender Kontraste beeinträchtigt, da hier die Schattigkeit weitestgehend fehlt (siehe Abschnitt 3.2.9). Zudem besteht aufgrund der Verschmutzung des nach oben gewandten Lichtaustritts ein erhöhter Instandhaltungsaufwand an den Leuchten sowie kürzere Instandhaltungsintervalle bei den Anstricharbeiten der Deckenflächen (siehe Abschnitt 3.5).
Insgesamt erfordert eine reine Indirektbeleuchtung daher im Vergleich zu direkter bzw. direkt/indirekter Beleuchtung aufgrund der Umlenkverluste über die Decke einen wesentlich erhöhten Energieeinsatz in Verbindung mit einem zusätzlich verkürzten Wartungsintervall. Reine Indirektbeleuchtung ist daher ungeeignet und nur in begründeten Ausnahmefällen vorzusehen.
3.4.3 Direkt-/Indirektbeleuchtung
Bei Einsatz einer Direkt-/Indirektbeleuchtung wird durch die Aufhellung des Deckenbereichs die Wahrnehmung des Raumes verbessert. Es lässt sich so eine gleichmäßigere Ausleuchtung erreichen. Darüber hinaus entsteht die gewünschte ausgewogene Schattigkeit, wodurch die räumliche Wahrnehmung und die Erkennbarkeit von Strukturen erhöht werden (Modeling).
Im Allgemeinen ist ein Verhältnis von direktem zu indirektem Anteil von 70-75 % zu 25-30 % ausreichend und wirtschaftlich vertretbar. Höhere Indirektanteile bieten keine weiteren Vorteile und erhöhen den Energieverbrauch der Beleuchtungsanlage dagegen beträchtlich.
Es ist auf eine breitstrahlende Charakteristik für den Indirekt-Anteil der Leuchte und eine Abpendelung von mindestens 30 cm zu achten. Zur Reduzierung der Gefahr von Reflexblendungen sind helle Lichtflecken mit zu hohen Leuchtdichten an der Decke zu vermeiden.
3.5 Tageslicht
Bei der Einrichtung von Arbeitsplätzen ist ein hoher Tageslichtanteil von Vorteil. Der Tageslichtanteil ist von der Größe der Fensterfläche, der Jahreszeit, der geographischen Lage und vom Wetter abhängig. In der Planungsphase sollten daher frühzeitig Lösungen untersucht werden, die die Tageslichtnutzung im hohen Maße berücksichtigen.
Ausreichendes Tageslicht, wenn möglich auch in der Raumtiefe, bei gleichzeitiger guter Sichtverbindung nach draußen wirkt sich positiv auf das Wohlbefinden und somit auf die Motivation und Produktivität aus. Nähere Angaben zu einer ausreichenden Tageslichtversorgung finden sich in Kapitel 4 der ASR A3.4 [ 5]. Weiterführende Betrachtungen sind im Steckbrief 3.1.5 (Visueller Komfort) der BNB 5) -Systemvariante Bürogebäude [ 70] vorhanden.
Bei der Bildschirmarbeit kann das Tageslicht auch negative Effekte haben, wie die direkte Blendung durch die Sonne und Reflexionen von Fenster- oder Wandleuchtdichten über das zulässige Maß hinaus. Daher sind bei Bildschirmarbeitsplätzen die Fensterflächen mit Blend-/Sonnenschutzeinrichtungen zu versehen.
3.6 Wartungsfaktor
Die mittlere Beleuchtungsstärke` Em wird für jede Sehaufgabe in der DIN EN 12464-1 [ 23] als Wartungswert und in der ASR 3.4 als Mindestwert der Beleuchtungsstärke festgelegt. In beiden Fällen ist damit die Beleuchtungsstärke definiert, die im laufenden Betrieb nicht unterschritten werden darf. Bei Erreichen des Grenzwertes werden Reinigungs- bzw. Instandhaltungsarbeiten (z.B. Modul-/Leuchtmitteltausch und/oder Leuchtenreinigung) notwendig, (siehe hierzu auch Abschnitt 12).
Bei der Planung von Beleuchtungsanlagen (siehe Abschnitt 6) ist daher ein Wartungsfaktor MF (Maintenance Factor) für den jeweiligen Planungsfall festzulegen und einzurechnen. Der Wartungsfaktor ist der Quotient aus dem in der Norm festgelegten Wartungs- bzw. Mindestwert` Em und dem Neuwert der Beleuchtungsstärke` Eneu.
![]() |
[ 3] |
Der Wartungsfaktor MF setzt sich bei Innenraumanlagen zusammen aus den einzelnen Faktoren:
| - | LLMF | Lampenlichtstrom-Wartungsfaktor (lamp lumen maintenance factor), |
| - | LSF | Lampenüberlebensfaktor (lamp survival factor), |
| - | LMF | Leuchten-Wartungsfaktor (luminaire maintenance factor), |
| - | RMF | Raum-Wartungsfaktor (room maintenance factor). |
Dabei ist der Lampenlichtstrom-Wartungsfaktor LLMF den spezifischen Leuchtendaten des Herstellers (Leuchten-Datenblatt) zu entnehmen. Er wird häufig auch als LM-Wert (lumen maintenance) angegeben. Da bei LED-Leuchten für die Innenraumbeleuchtung i.d.R. ein Austausch des Leuchtmittels nicht mehr möglich ist, muss der Lampenlichtstrom-Wartungsfaktor LLMF für die gesamte angenommene Betriebsdauer der Leuchte betrachtet werden. Darüber hinaus ist der Lichtstromrückgang stark von der Bemessungslebensdauer und damit von der Qualität der Leuchte abhängig, was die pauschale Festlegung eines Wartungsfaktors für LED-Leuchten schwierig macht.
Der Lampenüberlebensfaktor LSF von Leuchten kann mit 1 angesetzt werden, wenn ein (sofortiger) Einzelaustausch von defekten LED-Modulen erfolgt bzw. der zugrunde gelegte Nutzungszeitraum der Leuchte deutlich unterhalb der spezifischen Bemessungslebensdauer liegt.
Der Leuchten-Wartungsfaktor LMF ist u. a., wie auch bereits bei konventionellen Leuchten, abhängig vom Lichtlenkungssystem bzw. der Direkt-/Indirektaufteilung des Lichtstromes der gewählten Leuchte in Verbindung mit dem gewählten Verschmutzungsgrad der Anlage.
Der Raum-Wartungsfaktor RMF wird unabhängig von der verwendeten Leuchten-Technik ermittelt.
Unter Berücksichtigung des gewählten Wartungsfaktors MF ist mit der Fachplanung ein Wartungsplan zu erstellen, mit dem im Betrieb der Beleuchtungsanlage sichergestellt werden muss, dass der Wartungswert der mittleren Beleuchtungsstärke` Em zu keinem Zeitpunkt unterschritten wird. Zusätzlich können die maßgeblichen Annahmen, die zu dem gewählten Wartungsfaktor MF geführt haben, in der "Checkliste Innenbeleuchtung" dokumentiert werden.
Da der ermittelte Wartungsfaktor großen Einfluss auf die Energieeffizienz der Beleuchtungsanlage hat, sind die für seine Ermittlung getroffenen Annahmen so zu optimieren, dass sich ein möglichst hoher Wert ergibt.
Wie zuvor bereits angedeutet, ist eine pauschale Festlegung eines Wartungsfaktors MF für LED-Leuchten schwierig. Es zeichnet sich jedoch ab, dass bei einer Beleuchtungsberechnung für einen normalgroßen Büroraum ein Wartungsfaktor MF von 0,75 zugrunde gelegt werden kann. Dabei wird von einer direkt strahlenden Beleuchtungsanlage mit etwa 1.250 Betriebsstunden pro Jahr, betrachtet über einen Zeitraum von ca. 20 Jahren und einem Wartungsintervall von 4 - 5 Jahren, ausgegangen.
Andere Beleuchtungssituationen müssen jedoch im Einzelfall betrachtet und ein spezifischer Wartungsfaktor ermittelt werden.
Die Leuchtenhersteller sind dazu übergegangen, praktisch handhabbare Wartungsfaktortabellen zu veröffentlichen, die einen Lampenlichtstrom-Wartungsfaktor (LLMF) in Bezug zu einer Leuchtenklassifizierung Lx By als "allgemeine Bemessungslebensdauer" bei einer zugrunde gelegten Nutzungsdauer angeben, z.B. L80B20 bei 50.000h.
Die Angaben Lx By, in Verbindung mit einer Bemessungstemperatur-Angabe, stellen heute die grundlegenden technischen Qualitätsmerkmale hinsichtlich der Lebensdauererwartung einer LED-Leuchte dar. Sie haben damit auch wesentlichen Einfluss auf die Auswahl des für die Beleuchtungsberechnung gewählten Wartungsfaktors.
Die Erläuterung der Faktoren zur Lebensdauerangabe sowie weiterer Qualitätsmerkmale von LED-Leuchten erfolgt ausführlich im Abschnitt 4.
3.7 Wartungsplan
In der DIN EN 12464-1 wird unter Pkt. 6.6 festgelegt, dass für Beleuchtungsanlagen ein Wartungsplan entsprechend dem Pkt. 4.10 erstellt werden muss (siehe Abschnitt 3.6 Wartungsfaktor). Das Erstellen eines Wartungsplans für die Beleuchtungsanlage ist Bestandteil der Planung. Anzugeben sind die Intervalle:
Die Beleuchtungsanlage muss so geplant und ausgeführt werden, dass die Beleuchtungskörper für Wartungsarbeiten gut zugänglich sind.
Es ist zu beachten, dass hier der Begriff Wartung wie in DIN EN 12464-1 verwendet wurde und nicht wie davon abweichend in DIN 31051 [ 20] festgelegt.
4 Leuchtmittel
4.1 Leuchtmittel, die von Ökodesign-Anforderungen betroffen sind
Nicht abschließende Auswahl von Leuchtmitteln, die aufgrund ihrer Energieineffizienz ab dem 1. September 2021 in der EU nicht mehr in den Verkehr gebracht werden dürfen:
Zusätzlich ab dem 1. September 2023 dürfen nicht mehr in den Verkehr gebracht werden:
Hinweis:
Es wurden hier die in der Verordnung 2019/2020 [ 60] genutzten Begriffe T5 bzw. T8 verwendet, die auch umgangssprachlich gebräuchlich sind. Normativ korrekt sind die Bezeichnungen T16 bzw. T26. In der folgenden Tabelle wurden auch die ungebräuchlichen Bezeichnungen LFL (Stabförmige Leuchtstofflampe), CFLni (Kompaktleuchtstofflampe mit internem Vorschaltgerät) und HPS (Natriumdampf-Hochdrucklampe) entsprechend der Verordnung verwendet.
Für zweiseitig gesockelte T5-Leuchtstofflampen gilt die Verordnung erst ab einer LeistungsaufnahmeP> 13 Watt.
"In den Verkehr gebracht" bedeutet, dass diese Beleuchtungsprodukte erstmalig entgeltlich oder unentgeltlich auf dem Gemeinschaftsmarkt zur Verteilung oder zur Verwendung in der Gemeinschaft bereitgestellt werden. Damit dürften derartige Leuchtmittel nach dem genannten Datum nicht mehr auf den Markt gebracht werden, was de facto bedeutet, dass diese nur noch eine endliche, schwer abschätzbare Zeit verfügbar sind und damit kontinuierlich ausgephast werden.
Im folgenden Abschnitt 4.1.1 werden auch die von der Ausphasung betroffenen Leuchtmittel, die derzeit in öffentlichen Gebäuden noch im nennenswerten Umfang im Einsatz sind, betrachtet.
4.1.1 Berechnung der Energieeffizienzanforderungen
Ob ein Leuchtmittel den Vorgaben an die Mindest-Energieeffizienz (Ökodesign-Anforderungen) nach Anhang II o. g. EU-Verordnung entspricht, kann mittels der Formel:
| Ponmax =C * (L + (Φuse /F *η)) *R | [ 4] |
ermittelt werden. Dabei muss die errechnete LeistungPonmax höher liegen als die tatsächliche LeistungsaufnahmePon der Lichtquelle bei Volllast.
Die Leistungsaufnahme ist dabei als Funktion des für das zu betrachtende Leuchtmittel angegebenen NutzlichtstromsΦuse (in lm) und des angegebenen Farbwiedergabeindex CRI definiert. Die Parameter des Korrekturfaktors (C), des Endverlustfaktors (L), des Lichtausbeute-Faktors (F) und der Schwellen-Lichtausbeute (η) können, abhängig von dem zu betrachtenden Leuchtmittel, den Tabellen des Anhangs II der Verordnung 2019/2020 entnommen werden. Der CRI-Faktor (R) kann dazu über die Gleichung (CRI+80) / 160 für CRI-Werte > 25 ermittelt werden. Bei CRI-Werten<25, wie z.B. bei Natriumdampf-Hochdrucklampen (HPS), beträgt der CRI-Faktor (R) grundsätzlich 0,65.
Die tatsächliche Leistungsaufnahme (Pon) ist abhängig vom verwendeten Vorschaltgerät (induktiv, elektronisch), sie kann von der auf der Lampe angegebenen Nennleistung (Pn) abweichen.
Beispielhaft wird im folgendenPonmax für eine T8-Lampe, betrieben an einem Elektronischen Vorschaltgerät, auf Basis der nachfolgenden Werte, berechnet.
| Tatsächliche Leistungsaufnahme | Pon | = | 50 W | Produktwert |
| Korrekturfaktor Art der Lichtquelle | C | = | 1,00 | lt. EU-Verordnung |
| Endverlustfaktor | L | = | 1,5 W | lt. EU-Verordnung |
| Nutzlichtstrom | Φuse | = | 5.000 lm | Produktwert |
| Lichtausbeutefaktor | F | = | 1,00 | lt. EU-Verordnung |
| Schwellen-Lichtausbeute | η | = | 120 lm/W | lt. EU-Verordnung |
| CRI(Farbwiedergabe)-Faktor | R | = | 1,00 | bei CRI = 80 lt. EU-Verordnung |
Die tatsächliche Leistung vonPon = 50 W überschreitet deutlich die ab 1.September 2023 zulässige Leistung vonPonmax = 43,17 W. Die nachfolgende Tabelle zeigt die Ergebnisse für ausgewählte Leuchtmittel:
| Es gilt: | Weiter zulässiges Leuchtmittel | Nicht mehr zulässiges Leuchtmittel |
| Standard Lichtstrom | Mindestlichtstrom, um den Grenzwert einzuhalten | |
| Auf dem Markt verfügbar |
Tabelle 8 Max. Leistungsaufnahme ausgewählter Leuchtmittel
| Pnen | Pon | Ponmax | C | L[W] | Φuse | F | η [lm/W] | R | CRI | |
| LFL T5-HE | 14 | 14 | 14,05 | 1,00 | 1,9 | 1.200 | 1,00 | 98,8 | 1,00 | 80 |
| 21 | 21 | 21,13 | 1,00 | 1,9 | 1.900 | 1,00 | 98,8 | 1,00 | 80 | |
| 28 | 28 | 28,22 | 1,00 | 1,9 | 2.600 | 1,00 | 98,8 | 1,00 | 80 | |
| 35 | 35 | 35,30 | 1,00 | 1,9 | 3.300 | 1,00 | 98,8 | 1,00 | 80 | |
| LFL T5-HO | 24 | 24 | 24,05 | 1,00 | 1,9 | 1.750 | 1,00 | 79,0 | 1,00 | 80 |
| 39 | 39 | 41,14 | 1,00 | 1,9 | 3.100 | 1,00 | 79,0 | 1,00 | 80 | |
| 49 | 40 | 53,71 | 1,00 | 1,9 | 4.300 | 1,00 | 83,0 | 1,00 | 80 | |
| 54 | 54 | 55,51 | 1,00 | 1,9 | 4.450 | 1,00 | 83,0 | 1,00 | 80 | |
| 80 | 80 | 79,75 | 1,00 | 1,9 | 6.150 | 1,00 | 79,0 | 1,00 | 80 | |
| 80 | 80 | 80,00 | 1,00 | 1,9 | 6.170 | 1,00 | 79,0 | 1,00 | 80 | |
| 80 | 80 | 84,81 | 1,00 | 1,9 | 6.550 | 1,00 | 79,0 | 1,00 | 80 | |
| T 8 bis 31.8.2023 |
18 | 16 | 20,11 | 1,00 | 4,5 | 1.400 | 1,00 | 89,7 | 1,00 | 80 |
| 36 | 33 | 40,17 | 1,00 | 4,5 | 3.200 | 1,00 | 89,7 | 1,00 | 80 | |
| 58 | 50 | 60,24 | 1,00 | 4,5 | 5.000 | 1,00 | 89,7 | 1,00 | 80 | |
| T 8 ab 1.9.2023 |
18 | 16 | 13,17 | 1,00 | 1,5 | 1.400 | 1,00 | 120,0 | 1,00 | 80 |
| 36 | 33 | 28,17 | 1,00 | 1,5 | 3.200 | 1,00 | 120,0 | 1,00 | 80 | |
| 58 | 50 | 43,17 | 1,00 | 1,5 | 5.000 | 1,00 | 120,0 | 1,00 | 80 | |
| CFLni | 5 | 5,86 | 1,00 | 2,3 | 250 | 1,00 | 70,2 | 1,00 | 80 | |
| 7 | 8,00 | 1,00 | 2,3 | 400 | 1,00 | 70,2 | 1,00 | 80 | ||
| 9 | 10,85 | 1,00 | 2,3 | 600 | 1,00 | 70,2 | 1,00 | 80 | ||
| 11 | 15,12 | 1,00 | 2,3 | 900 | 1,00 | 70,2 | 1,00 | 80 | ||
| 10 | 10,85 | 1,00 | 2,3 | 600 | 1,00 | 70,2 | 1,00 | 80 | ||
| 13 | 15,12 | 1,00 | 2,3 | 900 | 1,00 | 70,2 | 1,00 | 80 | ||
| 18 | 19,39 | 1,00 | 2,3 | 1.200 | 1,00 | 70,2 | 1,00 | 80 | ||
| 26 | 27,23 | 1,00 | 2,3 | 1.750 | 1,00 | 70,2 | 1,00 | 80 | ||
| HPS | 150 | 150 | 158,07 | 1,00 | 50 | 17.000 | 1,00 | 88,0 | 0,65 | |
| 250 | 250 | 231,93 | 1,00 | 50 | 27.000 | 1,00 | 88,0 | 0,65 | ||
| 250 | 250 | 250,00 | 1,00 | 50 | 29.446 | 1,00 | 88,0 | 0,65 | ||
| 250 | 250 | 265,91 | 1,00 | 50 | 31.600 | 1,00 | 88,0 | 0,65 |
4.1.2 Ausphasung von Leuchtmitteln aufgrund weiterer technischer Unzulänglichkeiten
Flimmern und Stroboskopeffekte
Neben der bisher betrachteten Energieeffizienz der Leuchtmittel werden in der Verordnung 2019/2020 [ 60] im Anhang II auch Funktionsanforderungen an Lichtquellen gestellt.
Daher sind von den Herstellern von LED-Leuchtmittel jetzt u. a. auch Anforderungen (Temporal Light Artefakts - TLa [ 65]) bezüglich Flimmern (Pst LM - Short-Term-Light-Modulation) und Stroboskopeffekten (SVM - Stroboskopic Visibility Measure) einzuhalten. Es wird dabei immer die gesamte Leuchte, bestehend aus Leuchtmittel und Betriebsgerät (Vorschaltgerät), betrachtet.
Als einzuhaltende Grenzwerte wurden in der Ökodesign-Anforderung [ 60] festgelegt:
Hier wird erwartet, dass u. a. einige z. Zt. noch auf dem Markt befindliche sogenannte "Retro-Fit" Leuchtmittel diese Anforderungen nicht erfüllen. Derzeit ist unklar, um welche Leuchtmittel es sich dabei handelt.
Die EU-Verordnung fordert nicht, im Gegensatz zu zahlreichen anderen Parametern, die Angabe von Pst LM und SVM auf der Verpackung oder deren Bekanntgabe im Internet.
Eine Liste mit allen neuen Funktionsanforderungen an Lichtquellen gemäß Verordnung 2019/2020 [ 60] ist in Anhang II, Abschnitt 2., Tabelle 4 zu finden.
Quecksilbergehalt
In allen Leuchtstofflampen und auch Natrium-Hochdrucklampen ist Quecksilber (Hg) enthalten. Die EU-Richtlinie 2011/65/EU [ 67] gibt im Anhang III Grenzwerte vor, die ab dem 1.Januar 2012 in verschärfter Form, die Lampen einhalten müssen. Die nachfolgende Tabelle 2 * zeigt, dass für die Leuchtmittel die entsprechend Tabelle 1 * noch bis auf Weiteres auf den Markt gebracht werden dürfen, Produkte auf dem Markt sind, welche die aktuellen Anforderungen erfüllen. Es ergeben sich also von dieser Seite keine weiteren Beschränkungen.
Tabelle 9: Quecksilbergehalt von Lampen
| Leuchtmittel | Pn in W | Hgzul. in mg | HgMarkt in mg |
| LFL T5-HE | 14 | 3,0 | 1,9 |
| 21 | 3,0 | 1,9 | |
| 28 | 3,0 | 1,9 | |
| 35 | 3,0 | 1,2 | |
| LFL T5-HO | 24 | 3,0 | 1,9 |
| 39 | 3,0 | 1,9 | |
| 49 | 3,0 | 1,7 | |
| 54 | 3,0 | 1,9 | |
| 80 | 3,0 | 1,7 | |
| LFL T 8 | 18 | 3,5 | 2,5 |
| 38 | 3,5 | 2,5 | |
| 58 | 3,5 | 2,5 | |
| CFLni | 5 | 2,5 | 0,0 (quecksilberfrei) |
| 7 | 2,5 | 0,0 (quecksilberfrei) | |
| 9 | 2,5 | 1,3 | |
| 11 | 2,5 | 1,3 | |
| 10 | 2,5 | 0,0 (quecksilberfrei) | |
| 13 | 2,5 | 1,3 | |
| 18 | 2,5 | 1,3 | |
| 26 | 2,5 | 1,3 | |
| HPS | 150 | 25,0 | 18,8 |
| 250 | 30,0 | 23,1 |
Der Quecksilbergehalt bei Lampen mit einer Lichtfarbe von 3000 K bzw. 4000 K ist gleich groß.
4.2 Qualitätsmerkmale von LED-Leuchten
4.2.1 Farb- und Wärmeverhalten
Binning und Farbtoleranzen
Bei der Produktion von LED kommt es produktionsbedingt selbst innerhalb einer Charge zu Abweichungen in Bezug auf Lichtfarbe, Lichtstrom sowie der Durchlassspannung. Jede Leuchtdiode muss nach der Fertigung geprüft und entsprechend fein abgestufter Kriterien in sogenannte Bins eingeteilt werden, d. h. sie werden in verschiedene Klassen bzw. Gruppen einsortiert.
Ein Binning-Verfahren wird durchgeführt, um die einheitliche Bestückung einer Leuchte zu gewährleisten.
Beim Binning werden die LED sortiert nach:
Bei der Ausschreibung von Beleuchtungsanlagen mit weißen LED ist zu beachten, dass man nicht wie bei Leuchtstofflampen im Leistungsverzeichnis u. a. den Zusatz nw für Neutralweis für die Auswahl des Leuchtmittels hinzufügen kann, sondern dass die ähnlichste Farbtemperatur, der Farbort und der Lichtstrom vorgegeben werden müssen. Ferner muss u. U. beachtet werden, dass die ähnlichste Farbtemperatur eine Funktion der Abstrahlrichtung sein kann. Eine Änderung der ähnlichsten Farbtemperatur von etwa 1.000 K zwischen Hauptausstrahlungsrichtung und seitlicher Abstrahlung ist möglich.
Für Nachbestellungen von defekten Lampen in LED Technik sollten nur Lampen eingesetzt werden, welche die gleichen Kennwerte haben, wie das zu ersetzende Leuchtmittel. Die Kennwerte sind die Ergebnisse der o. a. Binning-Verfahren. Hierfür ist eine entsprechende, zurzeit nicht normierte Bezeichnung (z.B. Artikelnummer, Seriennummer, Bestellzeitraum) der Hersteller notwendig. Diese Angaben sind dann Bestandteil der Bestandsunterlagen und an den Betreiber der Anlage zu übergeben.
Abbildung 11: CIE-Normfarbtafel

Die Farben der Grafik in der CIE-Normfarbtafel stellen eine grobe Orientierung innerhalb des Farbraumes dar. Die am Meisten gesättigten Farbtöne befinden sich an den Kanten des Dreiecks.
Hinweis:
Das CIE-Normvalenzsystem lässt die messtechnische Festlegung einer Farbe von Selbstleuchtern zu, welches eine Grundvoraussetzung für ein sinnvolles Binning-Verfahren ist.
Abbildung 12: MacAdam-Ellipsen, zur Verdeutlichung 10-fach vergrößert.

Da das menschliche Auge verschiedene (rot, grün und blau) Farbabweichungen differenziert wahrnimmt (Farbtoleranz), wurde dies durch die MacAdam-Ellipsen im CIE-Normvalenzsystem verdeutlicht (siehe Abbildung 12). Eine Ellipse gibt den Bereich um einen Farbton an, in welchem das menschliche Auge den Eindruck hat, dass die Vergleichsfarben den gleichen Abstand zum Bezugsfarbton haben. Farbabweichungen im blauvioletten Bereich werden besser erkannt als im grünen Bereich. Deshalb sind die Ellipsen im grünen Gebiet am größten und im blauvioletten Gebiet am kleinsten. Als Maßeinheit der Ellipse wurden SDCM (Standard Deviation of Colour Matching) bzw. SWE (Schwellenwerteinheit) definiert, d. h. bei kleinen Ellipsen mit SWE = 1 werden die Farben innerhalb der Ellipsen als gleich angenommen. Bei SWE = 2 - 3 wird der Farbunterschied kaum, aber schon ab SWE = 4 immer deutlicher wahrgenommen. Es ist eine maximale SWE von 2 vorzugeben.
Je kleiner das Colour-Binning durch den Hersteller gewählt wird, umso weniger Farbunterschiede sind sichtbar. Es ist bei der Planung jedoch zu berücksichtigen, dass ein kleines Colour-Binning immer auch einen zusätzlichen Kostenfaktor darstellt.
Wärmemanagement
Bei LED-Beleuchtung wird Wärme frei. Entsprechend der LED-Leistung wird derzeit in handelsüblichen LED-Leuchten etwa ein Drittel der aufgenommenen Energie mit steigender Tendenz in sichtbares Licht umgewandelt. Die restliche Energie wird überwiegend in Wärme umgesetzt.
Die Wärme entsteht im Wesentlichen im Halbleiter. Diese wird größtenteils über den Kühlkörper abgegeben. Mit steigender Temperatur an der Sperrschicht der Halbleiter (Junction-Temperatur) nehmen die Lichtausbeute und die Lebensdauer der LED ab. Die Wärme muss daher über ein Wärmemanagement abgeführt werden.
Die beiden folgenden Grafiken zeigen deutlich den Einfluss der Wärme auf den Lichtstrom und die Betriebsdauer.
Abbildung 13: Beispielhafter Lichtstrom in Abhängigkeit von der Junction-Temperatur [ 72].

Abbildung 14: Beispielhafte relative Lichtströme in Abhängigkeit von der Junction-Temperatur und Betriebsdauer [ 72].

Diese Wärmeabfuhr erfolgt in mehreren Schritten, vom Halbleiter über die Anschlussfahnen und Lötpunkte zur Leiterplatte und von dort auf den Kühlkörper. Der Kühlkörper gibt die Wärme über Konvektion und Strahlung an die Umgebung ab.
Um eine optimale Wärmeableitung zu gewährleisten, ist eine freie Luftzirkulation sehr wichtig. Besonders bei Einbauleuchten darf der Kühlkörper nicht durch Dämmmaterial abgedeckt werden.
4.2.2 Spannungs- und Stromversorgung
Die Treiber zur Erzeugung der Gleichspannung sind ebenfalls eine wichtige Komponente jeder LED-Beleuchtung und bestimmen somit auch in einem erheblichen Umfang deren Qualität. Bei der Konstruktion dieser Treiber und deren Einsatz muss daher auf Qualitätsmerkmale, wie Lebensdauer, Effizienz, Leistungsfaktor, EMV (Elektromagnetische Verträglichkeit), Einschaltstrom und elektrische Sicherheit, geachtet werden. Auch der Treiber ist für die erhöhte Betriebsstundenzeit auszulegen. Die Ausfallrate von Treibern wird von der Industrie, z.B. mit 1 % pro 5.000 Betriebsstunden angegeben. Aus diesen Gründen müssen bei der Produktauswahl die sehr unterschiedlichen Angaben der Datenblätter der Hersteller berücksichtigt werden.
4.2.3 Dimmbarkeit
Moderne Beleuchtungsanwendungen richten sich in besonderem Maße nach den Nutzungs- und Umgebungsbedingungen. Das bedeutet, dass Flexibilität erforderlich ist. Daher muss in vielen Fällen die Beleuchtungsstärke (z.B. bei tageslichtabhängigen Steuerungen) regelbar sein. Wenn gedimmt wird, ist es wichtig, dass die Effizienz und der Leistungsfaktor möglichst hoch bleiben.
Intelligente Lichtsteuergeräte ermöglichen Helligkeitsregelungen eines LED-Systems in dynamischer Weise in kleinen, für das menschliche Auge nicht wahrnehmbaren Stufen. Dazu werden heute vorzugsweise digitale Schnittstellen wie z.B. DMX oder DALI eingesetzt. LED-Systeme sind in einem Bereich von 0,1 % bis 100 % zu regeln. Siehe auch: ZVEI "Information zum Dimmen von LED-Lichtquellen" [ 57].
Dazu bieten fast alle Leuchtenhersteller Leuchten mit DALI-Treibern an. Werden in Gebäuden dimmbare Beleuchtungen neu geplant bzw. installiert, empfiehlt es sich einen DALI-Bus einzusetzen. Die sonst üblichen dreiadrigen Leitungen müssen durch eine fünfadrige Leitung ersetzt werden. Die zwei zusätzlichen Adern übertragen die Daten von einem Gateway oder einen DALI-fähigen Schalter zum DALI-Treiber der Leuchte. Eine Baumstruktur ist aufgrund des nicht zeitkritischen Datenstroms möglich.
An den Leuchten stehen permanent die 230 V Spannung an. Durch einen BUS-Befehl werden die Leuchten eingeschaltet oder entsprechend gedimmt. Durch die ständig anliegende Spannung entsteht in den LED-Treibern auch eine geringe Verlustleistung von derzeit ca. 0,5 W und kleiner. Beim neuen DALI-Standard verringert sich die Verlustleistung durch Abschaltung der Treiber vollständig.
Die Dimmung ist für jede einzelne Leuchte möglich bzw. es lassen sich einfach Leuchtengruppen bilden. Diese Leuchtengruppen bilden den klassischen Raum oder auch Raumzonen ab. Diese Vereinzelung oder Umgruppierung ist jederzeit möglich. Dies ermöglicht eine einfache Anpassung von Beleuchtungssituationen in Klassenräumen und Großraumbüros.
Neuerdings sind auf dem Markt drahtlose Steuerungssysteme verfügbar, die bei der Sanierung eine Nachverkabelung erspart.
Dimmen mit Phasendimmern
Zum Dimmen von 230 V LED-Lampen mit integriertem, elektronischem Betriebsgerät, die oft auch als Retrofit-LED bezeichnet werden, besteht häufig der Wunsch, diese über handelsübliche Phasendimmer zu betreiben. Dabei ist jedoch zu beachten, dass aufgrund der derzeit noch nicht normierten Schnittstelle zwischen Dimmer und LED-Lampe nicht jede Kombination möglich ist. Häufig ist für diese Art von Dimmern eine Mindestlast vorgegeben, die häufig von LED-Lampen nicht erreicht wird.
Zulässige und gut funktionierende Kombinationen aus beiden Komponenten müssen daher im Einzelfall den Herstellerdatenblättern oder sogenannten Kombinationslisten entnommen werden. Die Kombination eines beliebigen LED-Dimmers mit einer dimmbaren LED-Lampe kann daher funktionieren, muss aber nicht.
Dimmen durch Stromstärke
Eine Möglichkeit, eine LED zu dimmen, ist die Veränderung der Stromstärke. Ein großer Vorteil ist die Effizienzsteigerung bei geringer werdender Stromstärke, da unter anderem weniger Wärme entwickelt wird. Problematisch erweisen sich dabei die voneinander abweichenden Spannungskennlinien der LED. Wird eine Leuchte zu stark gedimmt (< 10%), können einzelne LED erlöschen, während andere noch leicht leuchten. Zu beachten ist, dass sich der Farbort der LED leicht verschiebt. Es werden gegebenenfalls Farbunterschiede sichtbar.
Dimmen durch Pulsweitenmodulation
Wenn ein LED-Modul mit konstanter Spannung, z.B. 10 V, 12 V oder 24 V betrieben wird, muss die Dimmung über Pulsweitenmodulation erfolgen. Dabei fließt durch die LED der Nennstrom. Gedimmt wird, indem die LED nur einen gewissen Prozentsatz der Zeit ein- bzw. ausgeschaltet werden. Da die Impulse mit einer hohen Schaltfrequenz im Millisekundenbereich erfolgen, nimmt das menschliche Auge dies nicht wahr. Es registriert lediglich, dass die über die Zeit gemittelte Lichtstärke abnimmt. Eine gewisse Frequenz (400 Hz) darf dabei nicht unterschritten werden, denn der Mensch reagiert sonst auf das kaum wahrnehmbare Flimmern, dass durch das Ein- und Ausschalten der LED entsteht. Eine zu geringe Schaltfrequenz kann zur Ermüdung führen.
Bei ungünstig gewählten Frequenzen kann es zu Stroboskopeffekten kommen, die beispielweise im Werkstattbereich in Verbindung mit rotierenden Werkstücken (Drehmaschine) die Unfallgefahr erhöhen.
Darüber hinaus kann bei der Verwendung von RGB-LED nicht nur die Helligkeit mittels Pulsweitenmodulation variiert werden, sondern auch der Farbort. Es können so etwa 16,5 Millionen verschiedene Farbtöne erzeugt werden.
4.2.4 Einschaltverhalten
Ein wichtiger Aspekt bei der Planung ist die richtige Auslegung der Schutzorgane (Einschaltstrom), bzw. bei über Relais geschaltete Leuchten die Auswahl der Relais.
Von den Leuchtenherstellern werden dazu Datenblätter herausgegeben, aus denen zu erkennen ist, wie viele Leuchten maximal an ein Schutzorgan angeschlossen werden können.
4.2.5 Weitere Merkmale zur qualitativen Beurteilung von LED-Leuchten
Neben den bereits angesprochenen Qualitätskriterien wie Farbwidergabe, ähnlichste Farbtemperatur und Farbtoleranz stellen die Merkmale Leuchten-Lichtausbeute und Bemessungslebensdauer erhebliche Qualitätskriterien von LED-Leuchten dar. Diese Kriterien sind dabei immer in Verbindung mit der Umgebungs-Temperatur, bei der die LED-Leuchte tatsächlich betrieben wird, zu sehen.
4.2.6 Leuchten-Lichtausbeute
Die Lichtausbeute einer LED-Leuchte wird gebildet durch den Quotienten aus Bemessungslichtstrom in Lumen (lm) und Bemessungsleistung in Watt (W). Sie wird folglich in Lumen pro Watt (lm/W) angegeben und bezieht sich immer auf den Neuzustand einer LED-Leuchte.
Bei der Bewertung der Lichtausbeute ist jedoch darauf zu achten, dass die tatsächlich vom Gesamtsystem aufgenommene Leistung ins Verhältnis zum insgesamt von der Leuchte abgegebene Lichtstrom (Netto-Lichtstrom) gesetzt und hier nicht fälschlicher Weise der (häufig höhere) vom LED-Modul imitierte Lichtstrom angesetzt wird. Dieses ist besonders bei Leuchten mit lichtlenkenden Systemen oder Streuscheibenabdeckungen zu beachten.
Im Sinne einer energiesparenden, ressourcenschonenden und nachhaltigen Planung von Beleuchtungsanlagen sollten grundsätzlich nur noch Leuchten mit einer Leuchten-Lichtausbeute von mindestens 100 Lumen pro Watt eingesetzt werden. Ausnahmen hiervon sollten nur noch im Einzelfall, z.B. bei dekorativen Beleuchtungsanlagen, gemacht werden.
4.2.7 Bemessungs-Lebensdauer LX BY
Auch LED-Leuchtmittel verlieren im Laufe ihrer Betriebszeit an Lichtstrom. Dieser Rückgang, auch Degradation genannt, kann unterschiedliche Erscheinungsformen haben. So kann die Leuchte insgesamt dunkler werden, es können einzelne LED's oder ganze LED-Module bzw. Sektionen ausfallen. Die Hersteller sind daher dazu übergegangen eine Leuchtenklassifizierung als Bemessungs-Lebensdauer LX BY bei einer zugrunde gelegten Nutzungsdauer anzugeben, z.B. als Wert: L80 B20 bei 50.000 h.
Die Angaben beziehen sich dabei immer auf eine größere Anzahl gleichartiger Leuchten. Die Zugrundelegung von 50.000 Betriebsstunden hat sich dabei für Innenraum-Leuchten als sinnvoll erwiesen, um auf dieser Basis eine Vergleichbarkeit von verschiedenen Leuchtenherstellern zu ermöglichen.
Der Index x vom L-Wert beschreibt den prozentualen, auf Grund der Degradation verbleibenden Restlichtstrom einer Leuchte. Der Index y vom B-Wert beschreibt den prozentualen Anteil, die diesen Lichtstrom statistisch unterschreiten, also den Anteil der Leuchten mit im Durchschnitt erhöhtem Lichtstromrückgang.
Die beide Angaben LX BY, bezogen auf eine zuvor festgelegte Betriebsdauer, stellen heute das grundlegende technische Qualitätsmerkmal einer LED-Leuchte dar. Sie haben damit auch wesentlichen Einfluss auf die Auswahl des für die Beleuchtungsberechnung herangezogenen Wartungsfaktors und damit auf die benötigte Anzahl von Leuchten bzw. deren Wattagen.
Mittlere Bemessungs-Lebensdauer LX
Die mittlere Bemessungs-Lebensdauer LX ist der Zeitpunkt, bei dem der vorhandene Lichtstrom der LED-Leuchte auf einen prozentualen Wert x des ursprünglichen Lichtstroms im Neuzustand zurückgeht. So beschreiben z.B. der Wert L70 oder L80, dass sich die angegebene Lebensdauer auf den Zeitpunkt bezieht, zu dem noch 70 % bzw. 80 % des Lichtstrom-Neuwertes erreicht werden.
Bei einem Vergleich unterschiedlicher LED-Leuchten ist daher nicht nur die eigentliche Lebensdauer in Stunden von Interesse, sondern insbesondere die Angabe des Wertes x von LX. Bei verschiedenen Leuchten mit gleicher Bemessungs-Lebensdauer (z.B. 50.000 h) bedeutet dies, dass die Leuchten mit dem höheren x-Wert (L80) höhere Lichtströme erreichten, als die Leuchten mit niedrigerem x-Wert (L70). Als Folge müssen in einer ausgeführten Beleuchtungsanlage dann eine größere Anzahl von Leuchten mit niedrigerem x-Wert oder alternativ Leuchten mit höheren Lichtströmen installiert werden, was in der Regel höhere Anschlussleistungen erfordert.
Gradueller Ausfall By
Der prozentuale Anteil der Ausfälle By durch den allmählichen Lichtstromrückgang beschreibt den Anteil der LED-Leuchten, die am definierten Lebensdauerende den angestrebten Lichtstrom (siehe Lx) von y Prozent unterschreiten. So bedeutet z.B. L80 B10 bei 50.000 h, dass nur 10 % der noch funktionstüchtigen LED-Leuchten nach 50.000 h 80 % (L80) des Neuwertes des Leuchtenlichtstroms unterschreiten. Bei L80 B50 bei 50.000 h unterschreiten bereits 50 % der Leuchten 80 % des Neuwertes des Leuchtenlichtstroms.
Ist in Daten für LED-Leuchten kein Wert für By angegeben, gelten die Daten für eine nur mittelmäßige gradueller Ausfallrate B50 [ 73].
Totalausfall Cy
Die Totalausfallrate bei LED-Leuchten wird mit dem Cy-Wert angegeben. Dieser ist definiert als der prozentuale Anteil der LED-Leuchten, die bis zum Erreichen der angegebenen Lebensdauer vollständig ausgefallen sind, also kein Licht mehr abgeben. LED-Leuchten mit nur einzelnen ausgefallenen LEDs oder auch LED-Leuchten, bei denen nur einzelne LED-Module von mehreren ausgefallen sind, fallen nicht hierrunter. Bei dieser Betrachtung ist, wie auch bereits bei konventionellen Leuchten mit Leuchtstofflampen und Vorschaltgerät, der Ausfall von Treibern und anderen elektronischen Bauteilen in einer LED-Leuchte nicht berücksichtigt.
Ist die Totalausfallrate bis zur Bemessungslebensdauer von LED-Leuchten praktisch nicht existent, wird sie üblicherweise nicht angegeben. Dieses ist heute bereits häufig der Fall.
Im Sinne einer energiesparenden, ressourcenschonenden und nachhaltigen Planung von Beleuchtungsanlagen sowie der Sicherstellung eines angemessenen Qualitätsstandards in der öffentlichen Bauverwaltung sollte bei der Errichtung von LED-Beleuchtungsanlagen darauf geachtet werden, dass nur Leuchten mit mindestens einem vom Hersteller garantierten Kennwert für die Bemessungs-Lebensdauer von L80 B20, bezogen auf 50.000 Betriebsstunden, eingesetzt werden. Ein besserer Wert, vor allem bei der graduellen Ausfallrate By, kann bei einer zu erwartenden längeren Nutzungsdauer, also bei höheren Jahresnutzungsstunden der zu planenden Beleuchtungsanlage sinnvoll sein.
4.2.8 Bemessungs-Umgebungstemperaturtq
Als dritter Faktor ist bei LED-Leuchten von wesentlicher qualitativer Bedeutung die zugrunde gelegte Bemessungs-Umgebungstemperatur. Hierbei ist zu unterscheiden zwischen dem Wertta (ambient), der die maximale Umgebungstemperatur angibt, bei der die Leuchte betrieben werden darf, und dem Werttq (quality), auf den sich u. a. die Lebensdauerangaben des Herstellers beziehen.
Da beispielsweise der abgegebene Bemessungs-Lichtstroms einer LED-Leuchte temperaturabhängig ist, bezieht er sich grundsätzlich auf die vom Hersteller angegebene Temperaturtq. Diese Angabe stellt ein weiteres wichtiges Qualitätsmerkmal dar, das bei der Leuchtenauswahl zu berücksichtigen ist.
Sollte eine Temperaturangabe hier fehlen, gilt grundsätzlich:tq = 25 °C. Das bedeutet jedoch für den Fall, dass die Leuchte in der Praxis bei höheren Umgebungstemperaturen betrieben wird, dass die vom Hersteller angegebene Lichtausbeute (und Lebensdauer) nicht erreicht werden, da sie sich auf den dann günstigerentq-Wert von 25 °C beziehen.
Eine dritte Temperaturangabe betrifft die Junction-Temperaturtj, die auf der LED-Platine (häufig an der Sperrschicht oder dem Konverter) ermittelt wird. Diese Angabe beschreibt einen Heiß-Punkt an der Leuchte im eingeschwungenen Betrieb. Fehlt eine Angabe zur Junction-Temperaturtj auf der Leuchte, so beziehen sich die Leuchtendaten auf eine Junction-Temperatur von 25 °C. Diese Lichtstromangabe darf dann aber für eine Beleuchtungsberechnung so nicht herangezogen werden, da die Junction-Temperatur im eingeschwungenen Betriebszustand aufgrund der Erwärmung immer deutlich über dem Wert von 25 °C liegt. Der Lichtstrom würde dann im Betrieb der Leuchte temperaturbedingt niedriger liegen und somit bei der Berechnung zu falschen Ergebnissen führen.
5 Auswahl der Leuchten
Die Aufgabe der Leuchte besteht darin, den Lichtstrom der Leuchtmittel, den Sehanforderungen entsprechend und mit möglichst hohem Wirkungsgrad auf die Nutzebene zu lenken. Darüber hinaus schützt die Leuchte die Einbauten gegen äußere Einflüsse und enthält die notwendigen, technischen Teile zur Aufnahme und dem Betrieb der Leuchtmittel.
Entsprechend der Vielzahl von Leuchtmitteln, der Anwendungsarten und Sehaufgaben sowie gestalterischen Anforderungen ist der Leuchtenmarkt schwer überschaubar. Wesentliche Unterscheidungskriterien sind:
Aufgabe des Beleuchtungsplaners ist es, eine wirtschaftliche und zweckmäßige Beleuchtungsanlage, unter Berücksichtigung der raumgestalterischen Belange, zu entwerfen. Auf eine hohe Systemlichtausbeute sowie auf Montage- und Instandhaltungsfreundlichkeit ist zu achten. Der Einsatz von Sonderleuchten (Leuchten kleinerer Serien, nicht handelsübliche Leuchten, Einzelanfertigung und ähnliches) muss wegen der hohen Investitionskosten und der schwierigen Ersatzteilbeschaffung auf besonders begründete Einzelfälle beschränkt bleiben.
Sonderleuchten können beim Bau im Bestand notwendig werden, wenn Gegebenheiten besondere Anforderungen stellen, die handelsübliche Leuchten nicht oder nur eingeschränkt erfüllen. Zum Beispiel bei Systemdecken mit besonderen Maßen oder einer komplizierten Einbausituation oberhalb der Decke. In jedem Fall sollte zwingend darauf geachtet werden, dass der Hersteller eine vollumfängliche Konformitätserklärung ausstellen kann (siehe dazu die Ausführungen im weiteren Verlauf).
Wie die Musterplanungen im Abschnitt 7 zeigen, sind grundsätzlich normgerechte Beleuchtungsanlagen ohne den Einsatz von Einzelplatzleuchten (Tisch- oder Stehleuchten) möglich. Der Einsatz von Einzelplatzleuchten sollte auf Ausnahmefälle beschränkt werden. Dies kann z.B. der Fall sein, wenn an einem Arbeitsplatz zeitweilig eine höhere Beleuchtungsstärke benötigt wird. Bei der Verwendung von Einzelplatzleuchten sind in jedem Fall die spezifischen Anforderungen der DIN 50358 [ 17] zu beachten. Dies betrifft insbesondere die Anforderungen an die Blendungsbegrenzung.
Deckeneinbauleuchte
Bei Deckeneinbauleuchten sind u. U. höhere Montagekosten, geringere Flexibilität bei notwendigen Umrüstungen und höheren Installationskosten zu bedenken. Darüber hinaus ist hier der Brandschutz in Rettungswegen, insbesondere beim Einbau der Leuchten in klassifizierte Brandschutzdecken, zu beachten.
Deckeneinbau als Einlegeleuchte
Für Systemdecken werden Deckeneinbauleuchten als Einlegeleuchte verwendet, meist im 600 mm x 600 mm oder 625 mm x 625 mm Rastermaß. Die Installation ist im Vergleich zur Einbauvariante sehr einfach. Bei Einlegeleuchten für Systemdecken muss ggf. auf das Gewicht der Leuchte bzw. die Tragfähigkeit der Systemdeckenkonstruktion geachtet werden. Unter Umständen muss auch auf die Ausprägungen des oberen Lampenkörpers (Einbauhöhe) und die Wärmeentwicklung im Hinblick auf die Einbausituation oberhalb der Systemdecke geachtet werden.
Deckenanbauleuchte
Deckenanbauleuchten sind ebenfalls sehr einfach zu installieren und sollten bei direkter Beleuchtung gegenüber Einbauleuchten bevorzugt eingesetzt werden. Können in einer Beleuchtungsanlage die Leuchten aus betrieblichen und baulichen Gründen für Instandhaltungszwecke nur schwer erreicht werden, so ist insbesondere der Lampenlebensdauer besondere Beachtung zu schenken.
Pendelleuchten
Pendelleuchten sind in der Regel einfach zu montieren, der Aufwand hängt jedoch auch von der Deckenkonstruktion ab (Tragfähigkeit, Anordnung von Ständerwerk etc.). Pendelleuchten haben aufgrund der Höhenverstellbarkeit den Vorteil einer flexiblen Beleuchtung. Aufgrund der Schattigkeit oberhalb des Leuchtpunktes bei tiefer hängenden Leuchten sollten diese mit einer indirekten Beleuchtung ausgestattet sein. Bei Akustikdecken können je nach Bauart nur Einbau- oder Pendelleuchten verwendet werden. Auch hier ist auf die Tragfähigkeit der Deckenkonstruktion zu achten. Bei nachträglicher Installation von Leuchten in vollflächigen Akustikdecken, können Pendelleuchten vorteilhaft sein, da hier die Wirkung der Decken nicht beeinträchtigt wird. Grundsätzlich wird bei der Verwendung von Akustikdecken empfohlen, dass sich der Elektroplaner und der Architekt frühzeitig im Planungsprozess miteinander abstimmen.
Schienensystem
Beleuchtung im Schienensystem ist sowohl als Einbau als auch Anbauvariante für Decken- und Wandmontage erhältlich. Die Schienen sind stromführend und werden an einer Stelle an das Stromnetz angebunden, der Verkabelungsaufwand ist somit vergleichsweise gering. Die Schienen können nach Belieben z.B. linien- oder sternförmig angeordnet werden. Die Leuchten sind in ihrer Positionierung auf der Schiene sowie in Ihrer Lichtrichtung flexibel und es gibt auch Pendelleuchten. Es können mehrere Beleuchtungsszenarien realisiert oder die Raumnutzung geändert werden. Für Stromschienen werden 3-Phasen-Systeme in 230 V und 1-Phasen-Systeme in 230V/24V/12V sowie in DALI-Ausführung unterschieden.
Leuchten müssen der Niederspannungsrichtlinie [ 45] und den VDE-Normen, insbesondere DIN EN 60598-1 [ 31] genügen; das betrifft entsprechend dem Verwendungszweck besonders:
Leuchten müssen bei Direktmontage an oder auf normal bzw. leicht entflammbaren Baustoffen den Bestimmungen DIN VDE 0100-559 [ 36] genügen. Sie müssen entsprechend ihrem Einsatzort funkentstört gem. DIN EN 55015 [ 30] sein und den auftretenden mechanischen Beanspruchungen genügen.
Aufgrund der "Ersten Verordnung zum Produktsicherheitsgesetz" (Kurztitel: Verordnung über elektrische Betriebsmittel) [ 39] sind Hersteller und Händler (Inverkehrbringer) verpflichtet, nur solche Leuchten in den Verkehr zu bringen, die "so hergestellt sind, dass sie bei einer ordnungsgemäßen Installation und Wartung sowie einer bestimmungsgemäßen Verwendung die Sicherheit von Menschen und Nutztieren sowie die Erhaltung von Sachwerten nicht gefährden".
Die Erfüllung der Schutzziele ist durch die Hersteller von Leuchten selbst und in eigener Verantwortung (Konformitätserklärung des Herstellers) zu erklären und im Detail auf Verlangen gegenüber den staatlichen Kontrollorganen nachzuweisen. Als sichtbares Zeichen der Konformität der Leuchten mit allen einschlägigen Richtlinien hat der Hersteller bzw. Inverkehrbringer das CE-Zeichen auf der Leuchte anzubringen. Das CE-Zeichen ist im engeren Sinne kein Sicherheitszeichen, sondern nur ein Verwaltungszeichen, das aber die Erfüllung des sicherheitstechnischen Standards der EU bestätigt. Fehlt es aber auf den Leuchten, die mit CE gekennzeichnet sein müssen, ist dies für die Kontrollorgane sofort als Mangel sichtbar, und die Leuchten dürfen nicht in Verkehr gebracht bzw. verkauft oder verwendet werden.
Die "VDE"- und "ENEC" 6) -Zeichen sind im Gegensatz zum CE-Zeichen freiwillige Zeichen, die die Sicherheit und Normenkonformität bescheinigen. Wer sie erwirbt, unterzieht seine Produkte einer freiwilligen Qualitätskontrolle nach festen Prüf- und Zertifizierungsregeln, z.B. denen des VDE oder der europäischen ENEC-Organisation. Diese Prüfzeichen haben damit einen sehr hohen Stellenwert. Auf den Leuchten garantieren sie, dass die Leuchten nach den allgemein anerkannten Regeln der Technik hergestellt und geprüft sind.
Auf Grund dieser Tatsache ist zu empfehlen, dass nur Leuchten eingesetzt werden, die das VDE- oder das ENEC-Zeichen tragen.
Vor der ersten Inbetriebnahme einer Beleuchtungsanlage ist durch den Auftragnehmer die Einhaltung der einschlägigen VDE-Bestimmungen schriftlich zu bescheinigen.
6 Planung von Beleuchtungsanlagen
6.1 Allgemeines
6.1.1 Anforderungen
Bei der Planung von Beleuchtungsanlagen sind zunächst die Anforderungen und Gegebenheiten des zu planenden Raumes festzustellen. Es handelt sich dabei insbesondere um:
Die Beleuchtungsplanung sollte auf der Basis einer verbindlichen Einrichtungsplanung erfolgen, denn nur so sind optimale Lösungen möglich. Auf der Grundlage dieser Anforderungen ist zu entscheiden, welches Beleuchtungskonzept (siehe Abschnitt 3.2) und welche Beleuchtungsart (siehe Abschnitt 3.3) gewählt werden.
6.1.2 Notwendige lichttechnische Güte
Im nächsten Planungsschritt sind die sich aus der Art der Raumnutzung ergebenden notwendigen lichttechnischen Gütemerkmalen, wie sie in Abschnitt 3.1 allgemein beschrieben wurden, zu ermitteln. Es handelt sich dabei um:
6.1.3 Art, Anzahl und Anordnung von Leuchten
Im nächsten Schritt werden entsprechend den ermittelten Vorgaben die zweckmäßigsten Leuchten ausgewählt. Die voraussichtliche Anzahl der notwendigen Leuchten ist festzulegen. Dies kann z.B. mit Hilfe des im Anhang 15.2.1 beschriebenen Wirkungsgradverfahrens erfolgen.
Die Anordnung der Leuchten richtet sich nach dem gewählten Beleuchtungskonzept (siehe Abschnitt 3.2). Dabei soll die Gestaltung des Arbeitsplatzes so erfolgen, dass störende Blendwirkungen, Reflexionen oder Spiegelungen vermieden werden. Die Leuchten sollen parallel zur Hauptblickrichtung und somit parallel zur Hauptfensterfront angeordnet werden. Zur Vermeidung der Reflexblendung auf den Schreibflächen sind im Allgemeinen keine Leuchten direkt über den Arbeitsplätzen anzuordnen.
Weitere Hinweise sind den Musterplanungen im Abschnitt 7 zu entnehmen.
6.1.4 Berechnung
Die Einhaltung der lichttechnischen Gütemerkmale wird in Abhängigkeit von den ausgewählten Leuchten, deren Anzahl und Anordnung mit Hilfe eines Berechnungsprogramms überprüft. Für die Berechnung der Beleuchtungsstärkeverteilung sind in der DIN EN 12464-1, Abschnitt 5.4 Mindestanforderungen an ein Beleuchtungsstärke-Raster vorgegeben. Ggf. müssen die Leuchten und ihre Anordnung so lange verändert werden, bis die Anforderungen erfüllt sind.
Der der lichttechnischen Berechnung zugrundeliegende Wartungsfaktor MF (siehe Abschnitt 3.6) ist entsprechend DIN EN 12464-1; Abschnitt 6.3 im Wartungsplan zu dokumentieren (siehe Abschnitt 3.7).
6.2 Zusätzliche Hinweise für Räume mit Bildschirmarbeitsplätzen
Um ein einwandfreies Aufnehmen der Bildschirminformationen zu gewährleisten, dürfen Leuchten, die sich im Bildschirm spiegeln, keine störenden Leuchtdichten aufweisen. Die mittlere Leuchtdichte einer Leuchte, die sich auf einem Bildschirm spiegelt, ohne dass störende Reflexe auftreten, ist in DIN EN 12464-1 festgelegt. (Auszug aus der Norm, siehe Tabelle 10)
Tabelle 10: Grenzwerte der Leuchtdichte von Leuchten und hellen Raumbegrenzungsflächen, die sich in matten, entspiegelten Bildschirmen spiegeln können.
| Darstellungsart | Leuchtdichte des Bildschirms | |
| Hoch (> 200 cd/m2) | Mittel (< 200 cd/m2) | |
| Positive Polarität (Büroanwendung) |
< 3.000 cd/m2 | < 1.500 cd/m2 |
| Negative Polarität (CAD-Anwendung) |
< 1.500 cd/m2 | < 1.000 cd/m2 |
Bei Standardbildschirmen kann heute davon ausgegangen werden, dass diese mit einer Leuchtdichte von über 200 cd/m2 betrieben werden können. Beim Einsatz von Notebooks kann nicht immer davon ausgegangen werden, dass diese eine Leuchtdichte von über 200 cd/m2 erreichen.
6.3 Checkliste Innenbeleuchtung
Bei der Planung einer Beleuchtungsanlage ist es von besonderer Bedeutung, dass die im Abschnitt 3.1 beschriebenen lichttechnischen Gütemerkmale eingehalten werden. Hierzu wurde die in dieser Empfehlung als Anlage beigefügte exemplarisch ausgefüllte Checkliste entwickelt. Die Checkliste soll dazu dienen, die bei der Planung ausgewählten Beleuchtungskonzepte und -arten zu dokumentieren. Die sich aus dem jeweiligen Raumtyp ergebenden lichttechnischen Gütemerkmale sind in der Checkliste festzuhalten. Dazu werden dort die jeweiligen Quellen genannt.
Die Checkliste steht als editierbares Formular im MS-Word Format zum Download zur Verfügung. Außerdem ist vorgesehen die Überprüfung der lichttechnischen Gütemerkmale zu dokumentieren.
7 Hinweise und Beispiele für ausgewählte Räume
Die im Folgenden gegebenen Hinweise - wie auch die tabellarische Zusammenfassung der Beleuchtungsanforderungen für Räume, Bereiche, Aufgaben und Tätigkeiten im Anhang 15.1 - berücksichtigen die allgemein üblichen Verhältnisse bei Arbeits- und Unterrichtsräumen in öffentlichen Gebäuden, die DIN-Normen, lichttechnische Forschungs- und Untersuchungsergebnisse und die Erfahrungen in staatlichen und kommunalen Verwaltungen.
Bei den nachstehenden Beispielen wird, soweit nichts anderes angegeben ist, von folgenden Rahmenbedingungen ausgegangen:
Die Berechnung der mittleren Beleuchtungsstärke in den nachfolgenden Beispielen erfolgte mit dem Verfahren der punktweisen Berechnung (siehe Abschnitt 15.2.2). Die in den gerechneten Beispielen ermittelten Kennwerte (z.B. spezifische installierte Leistung) können als Vergleichswerte für eigene Planungen herangezogen werden.
Bei einigen Beispielen wurden sowohl Varianten mit Deckenaufbauleuchten (direkte Beleuchtung) als auch Pendelleuchten (Direkt-/Indirektbeleuchtung) betrachtet. Es zeigte sich, dass bei den ausgewählten Beispielen die spezifische Anschlussleistung nur unwesentlich variiert.
7.1 Büroräume mit Bildschirmarbeitsplätzen
Auf Grund der Tatsache, dass Bildschirme für Text- und Datenverarbeitung inzwischen zur üblichen Büroausstattung gehören, beziehen sich alle nachfolgenden Aussagen auf Büroräume, die mit EDV-Geräten für typische Büroanwendungen (Textverarbeitung und ähnliches) ausgestattet werden können. Im Einzelnen bestehen diese typischen Büroanwendungen in Bezug auf die Sehaufgabe folgender Tätigkeiten:
Durch die lichttechnische Gestaltung der Arbeitsplätze soll der Raumeindruck insgesamt positiv beeinflusst werden. Daher ist von Fachingenieuren und Architekten rechtzeitig ein gemeinsames Konzept zu entwickeln. Wegen der erhöhten visuellen Beanspruchung während der Bildschirmtätigkeit sind die ergonomischen Anforderungen vorrangig gegenüber den architektonischen Belangen zu erfüllen.
Räume für den Betrieb spezieller EDV-Systeme, insbesondere zur Graphikbearbeitung (CAD 7), Bildbearbeitung, DTP 8)), unterliegen beleuchtungstechnisch besonderen Anforderungen (siehe hierzu auch DIN EN 12464-1 [ 23]; Ref. Nr. 34.4).
7.1.1 Auswahl der Leuchten
Je nach Größe, Höhe und Ausstattung des Raumes kommen Ein- bzw. Anbauleuchten mit einer direkten Lichtverteilung oder Pendelleuchten mit einem Indirektanteil von max. 30 % zum Einsatz.
Wegen der hohen Leuchtdichte von LED sind seitens der Hersteller häufig Entblendungsmaßnahmen an den Leuchten erforderlich. Diese können z.B. Mikroprismenabdeckungen oder geeignete Ausstrahlungswinkelbegrenzungen sein. Bei der Planung ist daher darauf zu achten, dass nur ausreichend entblendete Leuchten eingesetzt werden.
7.1.2 Anordnung und Wahl von Bildschirmen
Zur Vermeidung störender Blendung auf dem Bildschirm ist eine an den Arbeitsplatz angepasste Auf- und Einstellung des Bildschirmes, ggf. durch Veränderung des Bildschirmneigungswinkels und der Bildschirmhöhe, notwendig und vorrangig in Betracht zu ziehen. Die Anordnung der Bildschirmgeräte im Raum sollte so erfolgen, dass die Hauptblickrichtung bei der Betrachtung des Bildschirms parallel zu der Hauptfensterfront verläuft. Bei anderer Anordnung sind insbesondere Probleme mit Direkt- und Reflexblendung zu erwarten.
Sind nur wenige Bildschirmgeräte in großen Räumen, z.B. Hallen oder Großraumbüros, vorhanden, müssen nicht die gesamten Räume bildschirmgerecht hergerichtet werden; oft sind hier arbeitsplatz- oder gerätebezogene Maßnahmen zur Blendungsbegrenzung ausreichend.
Es sind matte entspiegelte Bildschirme mit einer möglichen Leuchtdichte von über 200 cd/m2 einzusetzen. Die mittleren Leuchtdichten von Leuchten und Flächen, die sich auf dem Bildschirm spiegeln können, dürfen bei Positivdarstellung 3.000 cd/m2 (siehe Abschnitt 5.2) nicht überschreiten.
7.1.3 Leuchtdichte der Leuchten
Bei matten entspiegelten Bildschirmen ist es ausreichend, Leuchten einzusetzen, deren Leuchtdichte bei einem Ausstrahlungswinkel von γ > 65 ° auf 3.000 cd/m2 (siehe Abschnitt 5.2) begrenzt ist.
Bei Innenräumen dürfen nach DIN EN 12464-1 zur Begrenzung der Direktblendung dieRUGL -Werte 9) (psychologische Blendung) nicht überschritten werden. Dies erfordert für Büroräume gemäß Abbildung 8 bis 10 auf Grund der Raumgeometrie keine besonderen Maßnahmen.
Es ist jedoch zusätzlich darauf zu achten, dass die Flächen, die sich hinter dem Bildschirm befinden, keine höhere Leuchtdichte als 500 cd/m2 und die größeren Flächen im Raum keine höhere Leuchtdichte als 1.000 cd/m2 (z.B. an der Decke bei Direkt-/Indirektbeleuchtung) aufweisen dürfen.
7.1.4 Beispiele
Im Folgenden sind einige Auslegungsbeispiele für Standardfälle aufgeführt. Da die verwendeten Leuchten jedoch derzeit einer kontinuierlichen technischen Fortentwicklung unterliegen, können die angeführten Beispiele nur eine Momentan-Betrachtung sein. Hierbei gilt:
Abbildung 15: 1-Personen-Büro (DIN EN 12464-1, Ref. Nr. 34.2)

| Direktbeleuchtung mit Anbauleuchten | |||
| 2 LED-Leuchten mit je 5.200 lm / 35 W | |||
| Installierte Leistung | 70W | ||
| Spezifische Leistung | 5,9 W/m2 | ||
| Beleuchtungsstärken/ Gleichmäßigkeiten: | |||
| Bereich der Sehaufgabe | ` Em> 500 lx | U0> 0,6 | |
| Unmittelbarer Umgebungsbereich | ` Em> 300 lx | U0> 0,4 | |
| Mittelbarer Umgebungsbereich | ` Em> 100 lx | U0> 0,1 | |
| Wände | ` Em> 150 lx | U0> 0,1 | |
| Decke | ` Em> 100 lx | U0> 0,1 | |
| Zylindrisch | ` Em> 150 lx | U0> 0,1 | |
| Alternativ Direkt-/Indirektbeleuchtung mit Pendelleuchten | |||
| 2 LED-Leuchten mit je 5.200 lm / 35 W | |||
| Installierte Leistung | 70 W (5,9 W/m2) | ||
| Beleuchtungsstärken/ Gleichmäßigkeiten: | |||
| Bereich der Sehaufgabe | ` Em> 500 lx | U0> 0,6 | |
| Unmittelbarer Umgebungsbereich | ` Em> 300 lx | U0> 0,4 | |
| Mittelbarer Umgebungsbereich | ` Em> 100 lx | U0> 0,1 | |
| Wände | ` Em> 150 lx | U0> 0,1 | |
| Decke | ` Em> 100 lx | U0> 0,1 | |
| Zylindrisch | ` Em> 150 lx | U0> 0,1 | |
Abbildung 16: 2-Personen-Büro (DIN EN 12464-1, Ref. Nr. 34.2)

| Direktbeleuchtung mit Anbauleuchten | ||
| 3 LED-Leuchten mit je 4.200 lm / 32 W | ||
| Installierte Leistung | 96 W | |
| Spezifische Leistung | 5,5 W/m2 | |
| Beleuchtungsstärken/Gleichmäßigkeiten: | ||
| Bereich der Sehaufgabe | ` Em> 500 lx | U0> 0,6 |
| Unmittelbarer Umgebungsbereich | ` Em> 300 lx | U0> 0,4 |
| Mittelbarer Umgebungsbereich | ` Em> 100 lx | U0> 0,1 |
| Wände | ` Em> 150 lx | U0> 0,1 |
| Decke | ` Em> 100 lx | U0> 0,1 |
| Zylindrisch | ` Em> 150 lx | U0> 0,1 |
| Alternativ Direkt-/Indirektbeleuchtung mit Pendelleuchten | ||
| 3 LED-Leuchten mit je 4.600 lm / 33 W | ||
| Installierte Leistung | 99 W | |
| Spezifische Leistung | 5,7 W/m2 | |
| Beleuchtungsstärken/ Gleichmäßigkeiten: | ||
| Bereich der Sehaufgabe | ` Em> 500 lx | U0> 0,6 |
| Unmittelbarer Umgebungsbereich | ` Em> 300 lx | U0> 0,4 |
| Mittelbarer Umgebungsbereich | ` Em> 100 lx | U0> 0,1 |
| Wände | ` Em> 150 lx | U0> 0,1 |
| Decke | ` Em> 100 lx | U0> 0,1 |
| Zylindrisch | ` Em> 150 lx | U0> 0,1 |
Abbildung 17: 3-Personen-Büro (DIN EN 12464-1, Ref. Nr. 34.2)

| Direktbeleuchtung mit Anbauleuchten | ||
| 6 LED-Leuchten mit je 3.600 lm / 28W | ||
| Installierte Leistung | 168 W | |
| Spezifische Leistung | 5,8 W/m2 | |
| Beleuchtungsstärken/ Gleichmäßigkeiten: | ||
| Bereich der Sehaufgabe | ` Em> 500 lx | U0> 0,6 |
| Unmittelbarer Umgebungsbereich | ` Em> 300 lx | U0> 0,4 |
| Mittelbarer Umgebungsbereich | ` Em> 100 lx | U0> 0,1 |
| Wände | ` Em> 150 lx | U0> 0,1 |
| Decke | ` Em> 100 lx | U0> 0,1 |
| Zylindrisch | ` Em> 150 lx | U0> 0,1 |
| Alternativ Direkt-/Indirektbeleuchtung mit Pendelleuchten | ||
| 6 LED-Leuchten mit je 4.600 lm / 33 W | ||
| Installierte Leistung | 198 W | |
| Spezifische Leistung | 6,9 W/m2 | |
| Beleuchtungsstärken/ Gleichmäßigkeiten: | ||
| Bereich der Sehaufgabe | ` Em> 500 lx | U0> 0,6 |
| Unmittelbarer Umgebungsbereich | ` Em> 300 lx | U0> 0,4 |
| Mittelbarer Umgebungsbereich | ` Em> 100 lx | U0> 0,1 |
| Wände | ` Em> 150 lx | U0> 0,1 |
| Decke | ` Em> 100 lx | U0> 0,1 |
| Zylindrisch | ` Em> 150 lx | U0> 0,1 |
7.2 Großraumbüros
In Großraumbüros mit einer flexiblen Arbeitsplatzanordnung ist eine raumbezogene Beleuchtung vorzusehen. Bei Arbeitsplätzen in Fensternähe müssen die Bildschirme rechtwinklig zur Fensterfront aufgestellt werden. Die Leuchten bzw. die Leuchtenbänder sind ebenfalls parallel zur Fensterseite anzuordnen. Weiterhin ist darauf zu achten, dass die Bildschirme nicht unmittelbar unter den Leuchten angeordnet werden.
Wird die Arbeitsplatzanordnung bereits bei der Planung der Raumgestaltung exakt festgelegt, kann die Raumbeleuchtung arbeitsbereichsbezogen ausgeführt werden. Dieses Beleuchtungskonzept ist bei Räumen mit unterschiedlichen Sehaufgaben und Beleuchtungsanforderungen anzuwenden. Ferner wird durch unterschiedliche Beleuchtungsstärken innerhalb des Großraumes die Raumatmosphäre positiv beeinflusst.
Teilflächenbezogene Beleuchtungssysteme mit Stand- oder Tischleuchten sollten nur als zusätzliche Beleuchtung zur raum- oder arbeitsbereichsbezogenen Beleuchtung eingesetzt werden (siehe hierzu auch Abschnitt 3.2).
Abbildung 18: Großraumbüro (DIN EN 12464-1, Ref. Nr. 34.2)

| 47 Deckeneinbau-LED-Leuchten mit je 3.000 lm / 18 W | ||
| Installierte Leistung | 846 W | |
| Spezifische Leistung | 3,9 W/m2 | |
| Beleuchtungsstärken/ Gleichmäßigkeiten: | ||
| Bereich der Sehaufgabe | ` Em> 500 lx | U0> 0,6 |
| Wände | ` Em> 150 lx | U0> 0,1 |
| Decke | ` Em> 100 lx | U0> 0,1 |
| Zylindrisch | ` Em> 150 lx | U0> 0,1 |
7.3 CAD-Zeichenbüros
In den CAD-Zeichenbüros wird häufig in der Negativdarstellung auf dem Bildschirm (helle Linien auf schwarzem Hintergrund) gearbeitet. Aufgrund der großflächigen Bildschirme ist daher die Auswahl der Leuchten und die Leuchtenanordnung unter Berücksichtigung der geometrischen Verhältnisse (Spiegelung der Leuchten auf dem Bildschirm) zu bestimmen. Für Negativdarstellung darf die maximale Leuchtdichte der Leuchten für Ausstrahlungswinkel γ> 65 ° 1.500 cd/m2 (siehe Abschnitt 5.2) nicht überschreiten. Dies gilt auch für helle Raumbegrenzungsflächen, die sich im Bildschirm spiegeln. Besondere Bedeutung kommt der Abschirmung des Tageslichtes mit seinen unterschiedlichen Helligkeitswerten zu. Es ist daher zu empfehlen, CAD-Arbeitsplätze nicht in der Nähe von Fenstern anzuordnen. Auf einen ausreichenden Blendschutz gemäß DGUV Information 215-444 [ 11] ist zu achten.
Da die Entscheidung ob Positiv- oder Negativdarstellung vom jeweiligen Anwender abhängt, können in einem Raum beide Darstellungsweisen gleichzeitig auftreten. CAD-Arbeitsplätze erfordern im Arbeitsbereich einen Wartungswert der horizontalen Beleuchtungsstärke von` Em = 500 lx. Diese Beleuchtungsstärke wiederum wird bei manchen Bildschirmarbeiten als zu hell empfunden. Deshalb sollten alle Leuchten einzeln schaltbar, oder besser, einzeln dimmbar sein.
7.4 Unterrichtsräume
In der aktuellen Fassung der DIN EN 12464-1 [ 23] wird nicht mehr nach Unterrichtsräumen mit einer erforderlichen Nennbeleuchtungsstärke von 300 und 500 Lux unterschieden. Es ist jetzt generell eine Nennbeleuchtungsstärke von 500 Lux erforderlich.
Um eine flexible Raumnutzung zu gewährleisten, werden die Leuchten gleichmäßig verteilt angeordnet. Es hat sich bewährt, zwei Schaltgruppen für Schüler (B) und Lehrer (A) vorzusehen. Dabei sollte zumindest die Schaltgruppe a dimmbar sein.
Die Blendungsbegrenzung gemäß DIN EN 12464-1 nach dem UGR-Verfahren mit einemRUGL -Wert von 19 ist einzuhalten.
Abbildung 19: Beleuchtung eines Klassenzimmers (DIN EN 12464-1, Ref. Nr. 44.1)

| Direkt Beleuchtung | ||
| Installierte Leistung | 372 W | |
| Spezifische Leistung | 5,8 W/m2 | |
| 12 LED-Leuchten mit je 4.200 lm / 31 W | ||
| Raumzone Schüler | ` Em> 500 lx | U0> 0,6 |
| Raumzone Lehrer | ` Em> 500 lx | U0> 0,6 |
| Wände | ` Em> 150 lx | U0> 0,1 |
| Decke | ` Em> 100 lx | U0> 0,1 |
| Zylindrisch Schüler (hz = 1,20 m) | ` Em> 150 lx | U0> 0,1 |
| Zylindrisch Lehrer (hz = 1,60 m) | ` Em> 150 lx | U0> 0,1 |
7.4.1 Wandtafelbeleuchtung
Der Bereich der Wandtafel in einem Unterrichtsraum muss, unabhängig von der Sitzanordnung, nach DIN EN 12464-1 Ref. Nr. 44.4 eine mittlere vertikale Beleuchtungsstärke von 500 lx erreichen. Das Verhältnis der kleinsten zur mittleren Beleuchtungsstärke soll 0,7 nicht unterschreiten. Für die Beleuchtung von Wandtafeln sind daher Deckenleuchten mit asymmetrischer Optik in ca. 0,85 m bis 1,30 m von der Tafelfront anzuordnen.
Die Lichtfarbe der Zusatzbeleuchtung sollte der Lichtfarbe der Allgemeinbeleuchtung entsprechen. Die Zusatzbeleuchtung darf auf der Tafel keine störenden Reflexe und Spiegelungen hervorrufen.
In letzter Zeit werden immer mehr Klassenräume mit interaktiven Tafeln (sogenannten Activboards) ausgestattet. Die interaktive Tafel ist eine elektronische Tafel, die den Computerbildschirm mittels eines Beamers wiedergibt. Auf der Tafel (Board) wird mit einem speziellen Stift oder über eine Kontaktoberfläche geschrieben und vom Beamer direkt wiedergegeben. Derzeit werden Bilddiagonalgrößen von ca. 2 m bis 2,5 m erreicht.
Für den reinen Beamerbetrieb ist die Tafelbeleuchtung nicht notwendig.
Zurzeit werden die Boards noch mit normalbeschreibbaren Seitenteilen betrieben und hierfür wird die Tafelbeleuchtung noch benötigt.
Der Trend in den Schulen geht vermehrt in Richtung kapazitive Displays mit einer Bildschirmdiagonale von ca. 2 m. Für diese Anwendung wird eine Tafelbeleuchtung nicht mehr benötigt. Inwieweit diese Beleuchtung eventuell als symmetrische Beleuchtung ausgeführt werden kann um Lehrer/Referentenbereich besser auszuleuchten ist mit dem Nutzer abzustimmen.
Abbildung 20: Separate Tafelbeleuchtung

7.4.2 Übungsräume für Fachbereiche
Die Leuchten werden wie in normalen Klassenräumen angeordnet (siehe Abbildung 19). Ausstattungsgegenstände sollten zur Vermeidung von Reflexblendung matte Oberflächen haben.
Experimentierpulte für Chemie-, Physik- und Biologieräume sind mit einer gesonderten Beleuchtung auszustatten. Die Beleuchtung muss separat schaltbar und aus Sicht der Zuhörer gut entblendet sein.
Für das Vorführen von Lichtbildern oder die Durchführung von Versuchen ist eine so genannte "Mitschreibbeleuchtung" mit einer Beleuchtungsstärke von etwa 25 lx vorzusehen. Dies kann mit dimmbaren Leuchten sehr einfach realisiert werden.
7.4.3 EDV-Schulungsraum
Wie bei Unterrichtsräumen mit gerichteter Sitzordnung ist auch bei den EDV-Schulungsräumen die Orientierung zum Dozenten bzw. zu einer Videoprojektionsfläche hin ausgerichtet. Variationen zu dieser Sitzanordnung sind wegen der auftretenden Blendungsprobleme daher nicht möglich. Für diesen Raumtyp ist eine raumbezogene Beleuchtung vorzusehen. Die mittlere horizontale Beleuchtungsstärke darf dabei einen Wartungswert von` Em von 500 lx nicht unterschreiten. Um bei einer Videoprojektion störende zu hohe Beleuchtungsstärken zu vermeiden, sollten die einzelnen Lichtbänder dimmbar ausgeführt werden.
Es muss, wie nachfolgend dargestellt, eine Leuchtenanordnung gewählt werden, bei der die Leuchten neben den Arbeitsflächen angeordnet sind, um Reflexblendung auf den Schreibflächen zu vermeiden. Eine einwandfreie Planung eines derartigen Raumes kann daher nur nach Vorliegen eines verbindlichen Möblierungsplanes erstellt werden.
Abbildung 21: EDV-Schulungsraum (DIN EN 12464-1, Ref. Nr. 44.11)

| Die Buchstaben im Leuchtensymbol stellen die 4 Schaltgruppen dar. 9 LED-Deckeneinbauleuchten mit je 2.900 lm / 26 W und 1 LED-Deckenaufbauleuchte, asymmetrische Lichtstärkeverteilung 4.000 lm, 42 W als Tafelbeleuchtung |
||
| Installierte Leistung | 276 W | |
| Spezifische Leistung | 6,4 W/m2 | |
| Raumzone Schüler | ` Em > 2.500 lx | U0> 0,6 |
| Wände | ` Em > 2.100 lx | U0> 0,1 |
| Decke | ` Em > 2 75 lx | U0> 0,1 |
| Zylindrisch | ` Em > 2.100 lx | U0> 0,1 |
7.5 Hör- und Lehrsäle
In kleinen Sälen ist die Beleuchtung wie in Fachklassen auszuführen.
In großen Sälen (z.B. mit ansteigendem Gestühl) ist die Queranordnung der Leuchten mit einer raumbezogenen Beleuchtung als wirtschaftlichste Lösung zu empfehlen. Zur Vermeidung von Blendung sind tiefstrahlende Leuchten erforderlich, die unter etwa 15 ° bis 25 ° Abweichung von der Senkrechten nach vorn strahlen und nach hinten gut abgeschirmt sind. Die Leuchten können auch durch bauliche Maßnahmen gegen die Hörer abgeschirmt werden. Bei ansteigendem Gestühl wird eine gleichmäßige Beleuchtungsstärke dadurch erreicht, dass der Lichtstrom der installierten Leuchten der abnehmenden Lichtpunkthöhe angepasst wird. Die erforderliche Beleuchtungsstärke ist der Tabelle im Anhang 15.1 zu entnehmen.
Die Wandtafel in diesen Räumen muss nach DIN EN 12464-1 eine mittlere vertikale Beleuchtungsstärke von 500 lx erreichen und separat schaltbar sein. Das Verhältnis der mittleren zur kleinsten Beleuchtungsstärke (U0) soll 0,70 nicht unterschreiten. Experimentierpulte und Vortragspulte für Hör- und Lehrsäle sind mit einer gesonderten Beleuchtung auszustatten. Die Beleuchtungsstärke muss 750 lx nach DIN EN 12464-1 Tabelle 44.8 betragen. Die Beleuchtung muss separat schaltbar und aus Sicht der Zuhörer gut entblendet sein.
Die Lichtfarbe der Zusatzbeleuchtung soll der Lichtfarbe der raumbezogenen Beleuchtung entsprechen.
Zur Helligkeitssteuerung sind dimmbare LED-Leuchten vorzusehen.
Bei Einsatz schnurloser Mikrofonanlagen ist eine Beeinflussung durch die Treiber der LED-Leuchten möglich. Abhilfe kann durch Vergrößerung des Abstandes zwischen Antenne und Treiber oder Wechsel der Übertragungsfrequenz der Mikrofonanlage erreicht werden.
7.6 Bibliotheken, Leseräume und -säle
Bücherregale und Bücherschränke erfordern eine gute Vertikalbeleuchtung bis zu den unteren Fächern. Bei Regalen, die fest aufgestellt sind, sollen die Leuchten parallel zu den Regalen aufgestellt werden. Bei üblichem Abstand der Regale oder Schränke voneinander sind breitstrahlende Leuchten zu empfehlen. Bei enger Regal- oder Schrankaufstellung bringen tiefstrahlende Leuchten die beste vertikale Ausleuchtung. In größeren Räumen genügt oft die zu Regalen oder Schränken orientierte raumbezogene Beleuchtung mit einem hohen vertikalen Beleuchtungsanteil. Dies gilt auch für Büchereien, bei denen die Regale verfahrbar angeordnet sind. Der Wartungswert der vertikalen Beleuchtungsstärke` Ev darf gemäß ASR A3.4 Anhang 1 Pkt. 26 * [ 5] 200 lx nicht unterschreiten.
Bei verfahrbaren Kompaktanlagen sind die Leuchten als durchgehende Lichtbänder rechtwinklig zu den Regalen anzuordnen.
Bildschirm-Arbeitsplätze innerhalb von Büchereien sind mit einer arbeitsbereichsbezogenen Beleuchtung auszuführen. Hierbei ist bei der Planung dieses Arbeitsplatzes besonders darauf zu achten, dass die Blendung, die von den Leuchten innerhalb der Bücherei auftreten kann, nicht zur Beeinflussung des Bildschirmarbeitsplatzes führt. Gegebenenfalls ist der Bildschirm durch Stellwände abzuschirmen. Teilflächenbezogene Beleuchtungssysteme mit ortsveränderlichen Leuchten sind wegen erhöhter Unfallgefahr zu vermeiden. Ferner sind für diese Beleuchtungssysteme häufigere Sicherheitsprüfungen nach DGUV- Vorschrift 3 [ 12] notwendig, was auch zur Erhöhung der Betriebskosten führt.
Bei Leseecken in Büchereien können abgehängte Pendelleuchten über den Lesetischen zweckmäßig sein. In Lesebereichen sind gemäß DIN EN 12464-1 Ref. Nr. 44.24 eine Beleuchtungsstärke von 500 lx zu realisieren.
Die Lese- und Schreibtische in Leseräumen und -sälen sind so anzuordnen, dass das Tageslicht möglichst von links auf die Arbeitsfläche fällt. Die künstliche Beleuchtung ist wie in Fachklassen auszuführen, um gleichen Lichteinfall und gleiche Schattenbildung wie bei Tageslichtbeleuchtung zu erzielen.
7.7 Turn-, Sport- und Schwimmhallen
7.7.1 Turn- und Gymnastikhallen für Ausbildungsstätten
Aus lichttechnischer und wirtschaftlicher Sicht sind für Turn- und Gymnastikhallen in Ausbildungsstätten breitstrahlende Leuchten zu empfehlen. Diese Leuchten ermöglichen:
Der Wartungswert für die mittlere Beleuchtungsstärke Em beträgt nach DIN EN 12464-1 mindestens 300 lx auf dem Fußboden. Für besondere Nutzungen sind in DIN EN 12193 [ 22] abweichende Werte ausgewiesen.
Die Leuchten sind grundsätzlich parallel zur Hauptbewegungsrichtung anzuordnen. In Turnhallen sind drei unterbrochene Lichtbänder zu empfehlen, bei Gymnastikhallen genügen meist zwei unterbrochene Lichtbänder. Dadurch wird für den Blick in Raumlängsachse die Direktblendung für die Sporttreibenden minimiert. Da auch mit Blickrichtung nach oben gerechnet werden muss, ist besonderer Wert auf gut entblendete Leuchten zu legen. Vor den Stirnwänden sind die Lichtbänder zu verstärken, um eine zu niedrige Beleuchtungsstärke an den Enden der Lichtbänder zu vermeiden. Die Leuchten müssen ballwurfsicher ausgeführt oder gegen Beschädigung durch Ballwurf geschützt sein (vgl. DIN 18032-3 [ 19] und DIN VDE 0710-13 [ 38]).
Bei Turnhallen ist es aus wirtschaftlichen Gründen zu empfehlen, die Beleuchtungsanlage in Stufen dimmbar auszuführen. Die Gleichmäßigkeit der Beleuchtungsstärke ist hierbei zu beachten (siehe hierzu Abschnitt 2.2.1 und 10.1).
Abbildung 22: Beleuchtung einer Turnhalle 14 m x 26 m (DIN EN 12464-1, Ref. Nr. 44.26)

| Breitstrahlende LED-Leuchten, ballwurfsicher
17 Leuchten mit je 11.900 lm / 91 W |
||
| Raumhöhe | 6 m | |
| Installierte Leistung | 1.547 W | |
| Spezifische Leistung | 4,3 W/m2 | |
| Raumzone Spielfeld | ` Em> 300 lx | U0> 0,6 |
| Wände | ` Em> 75 lx | U0> 0,1 |
| Decke | ` Em> 30 lx | U0> 0,1 |
| Zylindrisch (hz = 1,60 m) | ` Em> 100 lx | U0> 0,1 |
7.7.2 Sporthallen für Wettkämpfe
Die Beleuchtung der Sporthallen für Wettkämpfe sind nach DIN EN 12193 [ 22] auszulegen. Für die Beleuchtungsstärke auf der Spielfläche ist die Nutzung maßgebend. Die DIN EN 12193 unterscheidet hierzu folgende Beleuchtungsklassen:
| - I | Internationale/nationale Hochleistungswettkämpfe mit großen Zuschauerzahlen sowie Hochleistungstraining |
| - II | Regionale/örtliche Wettkämpfe auf mittlerem Niveau mit Zuschauerbeteiligung sowie Leistungstraining |
| - III | Einfache örtliche- und Vereinswettkämpfe ohne Zuschauerbeteiligung sowie allgemeiner Training-, Schul- und Freizeitsport. |
Für die meisten Hallensportarten (z.B. Handball, Basketball, Volleyball) beträgt die mittlere horizontale Beleuchtungsstärke Eh bei:
| - | Beleuchtungsklasse I | 750 lx, |
| - | Beleuchtungsklasse II | 500 lx, |
| - | Beleuchtungsklasse III | 200 lx. |
Geringere Anforderungen an die Beleuchtungsklasse stellen z.B. Leichtathletik und Turnen, höhere Anforderungen z.B. Tischtennis, Badminton und Fechten.
Bei der Auslegung der Spielflächenbeleuchtung ist besonders auf eine gute Gleichmäßigkeit für alle drei Beleuchtungsklassen zu achten. Für bestimmte Sportarten ist die vertikale Beleuchtungsstärke besonders zu berücksichtigen. Wird die Beleuchtung in Sporthallen für Fernseh- und Filmaufnahmen ausgelegt, sind spezielle Anforderungen bei der vertikalen Beleuchtungsstärke nach DIN EN 12193 zu beachten. Weiterhin sind die besonderen Anforderungen an die Sicherheitsbeleuchtung zu berücksichtigen.
Die Sporthallen für Wettkämpfe werden meist so ausgelegt, dass sie für den Trainings-, Schul- und Freizeitsport 3-fach teilbar sind. Ein Hallenteil entspricht hierbei der Größe einer Schulturnhalle (27 m x 15 m).
Die Spielflächenbeleuchtung ist hierbei für den Wettkampfbetrieb auszulegen, d. h. bei Verwendung von rechteckigen Leuchten sind diese parallel zur Hauptspielrichtung anzuordnen. Hierbei werden die Lichtbänder normal, d. h. mit gleichen Leuchtenabständen ausgeführt. Die Lichtbänder an den Stirnseiten der Halle müssen hierbei durch zusätzliche Leuchten verstärkt werden, damit im Bereich der Tore und der Basketballständer die geforderte Beleuchtungsstärke garantiert ist. Bei Turn- und Sporthallen mit nennenswerten Tageslichtanteilen ist es aus wirtschaftlichen Gründen zu empfehlen, die Beleuchtungsanlagen dimmbar mit einer tageslichtabhängigen Regelung mittels Tageslichtsensor auszuführen.
Bei Sporthallen, die für Wettkämpfe ausgelegt sind, gewährleisten dimmbare Leuchten auch die Anforderungen der Beleuchtungsklasse III (Schul-, Freizeitsport und Trainingsbetrieb) mit einer hohen Gleichmäßigkeit. Die Leuchten werden so angeordnet, dass eine 3-Teilung der Halle durch Trennvorhänge möglich ist.
Um einen wirtschaftlichen Betrieb der Beleuchtung in Hallen mit unterschiedlichen Nutzungsanforderungen bezüglich der Beleuchtungsstärke zu gewährleisten, ist die Dimmbarkeit für die verschiedenen Nutzergruppen (Sportarten) zu empfehlen. Beispielhaft kann die Beleuchtung mit Schlüsselschalter oder Chipkarte derart betätigt werden, dass die jeweils zu Grunde gelegten Beleuchtungsstärken sich automatisch einstellen. Trainer oder Aufsichtspersonen erhalten den für ihre Sportart passenden Schlüssel bzw. die programmierte Chipkarte.
Die Leuchten müssen ballwurfsicher ausgeführt oder gegen Beschädigung durch Ballwurf geschützt sein (DIN 18032-3 [ 19] und DIN VDE 0710-13 [ 38]).
Abbildung 23: Beleuchtung einer Wettkampf-Sporthalle 27 m x 45 m

| Breitstrahlende LED-Leuchten ballwurfsicher: | |||
| Beleuchtungsklasse II | 500 lx z.B. für Handball | ||
| 56 LED-Leuchten mit je 16.000 lm / 116 W, | |||
| Raumhöhe | 7 m | ||
| Installierte Leistung | 7.062 W | ||
| Spezifische Leistung | 5,3 W/m2 | ||
| Raumzone Spielfeld | ` Em> 500 lx | ||
| Bereich der Sehaufgabe | ` Em> 500 lx | U0> 0,6 | |
| Wände | ` Em> 150 lx | U0> 0,1 | |
| Decke | ` Em> 100 lx | U0> 0,1 | |
| Zylindrisch (hz = 1,60 m) | ` Em> 150 lx | U0> 0,1 | |
7.7.3 Schwimmhallen
In Schwimmhallen ist eine Anordnung der Leuchten über der Wasserfläche nach Möglichkeit zu vermeiden. Andernfalls ist eine sichere und wirtschaftliche Möglichkeit zur Instandhaltung sicherzustellen.
7.8 Bettenzimmer in Krankenhäusern
An die Beleuchtung in Bettenzimmern werden unterschiedliche Anforderungen gestellt. Diese sind mit den nachfolgend beschriebenen Beleuchtungsanlagen zu erfüllen. Alle lichttechnischen Werte sind der DIN EN 12464-1 Ref. Nr. 47.1-.3 bzw. der DIN 5035-3 [ 15] zu entnehmen.
Werden in den Bettenzimmern zusätzlich zu den Beleuchtungsarten, wie in Abschnitt 2.4 beschrieben, noch elektrische Energieanlagen, nachrichtentechnische Installationen, sowie eine Versorgung mit medizinischen Gasen gefordert, so wird der Einsatz von Verbundsystemen, so genannte Medizinische Versorgungseinheiten (MVE, nach DIN EN ISO 11197 [ 33]), empfohlen.
7.8.1 Allgemeinbeleuchtung
Die Allgemeinbeleuchtung in einem Patientenzimmer hat großen Einfluss auf das Wohlbefinden des Kranken. Sie soll durch ihr angenehmes, indirektes, blendfreies Licht Behaglichkeit schaffen und so zur Genesung des Patienten beitragen. Die Beleuchtung ist separat schaltbar.
7.8.2 Lesebeleuchtung
Das Schalten der (ortsfesten) Lesebeleuchtung soll örtlich vom Bett aus möglich sein. Reflexblendung auf der Lesefläche ist durch eine entsprechende Anordnung der Leuchten zu vermeiden. Eine Störung - hier besonders die Blendung - anderer Patienten muss unbedingt vermieden werden. Beim Einsatz von MVE treten die vorgenannten Probleme nicht auf, denn die Lesebeleuchtung ist direkt strahlend und blendfrei.
7.8.3 Untersuchungsbeleuchtung
Für einfache Untersuchungen am Krankenbett (DIN EN 12464-1, Ref. Nr. 47.3) soll die Beleuchtungsstärke in Bettmitte (0,85 m über Fußboden) mindestens 300 lx betragen. Sie wird im Allgemeinen durch Zuschaltung der in der MVE integrierten Lesebeleuchtung zur Allgemeinbeleuchtung erreicht.
Bei Abweichungen von der üblichen Bettenzimmergeometrie (L x B x H = 4,80 m x 3,60 m x 3,00 m; 2-Bettzimmer) ist eine rechnerische Überprüfung notwendig und ggf. sind zusätzliche Maßnahmen zu ergreifen. Bei größeren Untersuchungen ist bei Bedarf eine (fahrbare) Untersuchungsleuchte hinzuzuziehen.
7.8.4 Übersichtsbeleuchtung
Die Übersichtsbeleuchtung (DIN EN 12464-1, Ref. Nr. 47.5) dient dem Pflegepersonal während der Nachtstunden zur Beobachtung der Patienten. Dafür ist eine mittlere Beleuchtungsstärke von 5 lx ausreichend. Vorteilhaft ist der Einbau von Leuchten geringer Leistung in der MVE. Im Notfall kann die Übersichtsbeleuchtung bei Stromausfall als Sicherheitsbeleuchtung verwendet werden. Die Schaltung ist entsprechend auszuführen.
7.8.5 Orientierungsbeleuchtung
Diese soll die Orientierung des Patienten im Raum während der Nachtstunden ermöglichen und schlafende Kranke nicht stören. Die Leuchten sollen nur den Fußboden schwach erhellen und Hindernisse erkennen lassen (deshalb auch Pantoffellicht genannt). Sie werden üblicherweise in Nähe der Eingangstür ca. 30 cm über dem Fußboden in die Wand eingebaut und unabhängig von der übrigen Beleuchtung geschaltet.
7.9 Untersuchungs-, Intensivpflege- und OP-Räume
Die Allgemeinbeleuchtung (DIN EN 12464-1, Ref. Nr. 54) muss hier den medizinischen und hygienischen Anforderungen an diese Räume angepasst werden. Sie ist auch dann erforderlich, wenn spezielle Leuchten (z.B. OP-Leuchten) vorgesehen sind. In OP-Räumen werden Reinraumleuchten der Schutzklasse IP 65 eingesetzt, die die Anforderungen an die Staubdichtigkeit, den Schutz gegen Strahlwasser und die Resistenz gegen Desinfektionsmittel erfüllen. Bei den Treibern der LED-Leuchten ist zu beachten, dass sie Störungen magnetischer und hochfrequenter Art verursachen können, die insbesondere medizinische Geräte und Steuerungsanlagen betreffen. Bezüglich der elektromagnetischen Verträglichkeit sind die Hinweise der Medizingerätehersteller zu beachten.
7.10 Beleuchtung von Ausstellungsbereichen in Museen
Die Beleuchtung von Ausstellungsbereichen in Museen (DIN EN 12464-1, Ref. Nr. 40) erfolgte bislang in der Regel über auswechselbare Strahler verschiedenen Typs. Als Leuchtmittel wurden Glüh- oder Halogenlampen eingesetzt. Meist ist diese technische Infrastruktur in den Museen schon recht lang (z. T. seit den 1980er Jahren) in Benutzung und der Energieverbrauch, auch aufgrund der Größe der zu beleuchtenden Ausstellungsfläche, sehr hoch.
Die heute erhältlichen LED-Leuchten erfüllen die speziellen Anforderungen im Museumsbereich hinsichtlich der Lichtqualität. Wichtige Kriterien sind dabei die Farbwiedergabe und die Lichtfarbe. Die LED-Technik erfüllt beide Anforderungen auch mit der oft bevorzugten Farbtemperatur von 2.800/3.000 K.
Für die Museumsbesucher stellt die Beleuchtung der Ausstellungen ein wesentliches Qualitätsmerkmal für ihren Ausstellungsbesuch dar. Zu einer gelungenen musealen Lichtinszenierung gehört die Steuerung der Lichtintensität (Dimmbarkeit) am Strahler, um verschiedene Lichtstärken je nach Objektart, z.B. 50 Lux für Grafiken und 200 Lux für Gemälde auch bei unmittelbar benachbarten Exponaten herzustellen und eine variable Lichtverteilung (Wallwasher-Funktion für die gleichmäßige Beleuchtung größerer Wandflächen versus Spot-Licht zur Akzentuierung einzelner Exponate) zu den zeitgemäßen technischen Merkmalen. Darüber hinaus spricht eine deutliche Reduzierung des Energiebedarfs, mit wesentlich geringerer Wärmeentwicklung und die weitgehende Begrenzung der für viele Ausstellungsstücke schädlichen IR-/UV-Strahlung sowie die lange Lebensdauer von LED-Leuchten für deren Einsatz in Museen.
7.11 Eingangshallen, Repräsentationsräume, Gesellschaftsräume, Cafeterien
An die Ausstattung dieser Räume werden im Allgemeinen besondere Ansprüche gestellt. Die Beleuchtung kann hier auch als repräsentatives und gestalterisches Element der Innenarchitektur betrachtet und in diese integriert werden. Neben den gestalterischen Gesichtspunkten kann die Beleuchtung auch als verkehrsleitendes Element eingesetzt werden, z.B. durch herausgehobene Lichtinseln am Eingang. Die jeweilige Mindestbeleuchtungsstärke ist einzuhalten. Wirtschaftlichkeit und sparsamer Energieverbrauch sind ebenfalls zu beachten.
7.12 Verkehrsflächen
Bei der Beleuchtung von Fluren, Eingangsbereichen und Aufzugsvorräumen ist eine ausreichende Gleichmäßigkeit (U0> 0,40) einzuhalten. Blendung soll hierbei vermieden werden. In Flurbereichen, die nur von Personen benutzt werden, muss eine mittlere horizontale Beleuchtungsstärke von 100 lx nach DIN EN 12464-1 auf dem Boden eingehalten werden. Im Bereich von Verkehrsflächen, die auch von Fahrzeugen benutzt werden, müssen 150 lx auf dem Boden gewährleistet werden. Bei Treppen, Rolltreppen und Fahrbändern sind 100 lx notwendig. Auch hier ist auf eine ausreichend gleichmäßige und blendungsbegrenzte Beleuchtung zu achten.
Abbildung 24: Flur (Einbauleuchten) (DIN EN 12464-1, Ref. Nr. 9.1)

| Raumhöhe | 2,50 m | |
| 6 LED-Leuchten je 1.800 lm / 16 W | ||
| Installierte Leistung | 96 W | |
| Spezifische Leistung | 2,3 W/m2 | |
| Nutzebene/Bereich der Sehaufgabe (0,00 m) | ` Em> 100 lx | U0> 0,4 |
| Wände | ` Em> 50 lx | U0> 0,1 |
| Decke | ` Em> 30 lx | U0> 0,1 |
| Zylindrisch (hz = 1,60 m) | ` Em> 50 lx | U0> 0,1 |
7.13 Sanitärräume
In Sanitärräumen wird grundsätzlich eine raumbezogene Beleuchtung vorgesehen. Besonderes Augenmerk ist bei der Leuchtenanordnung auf die Lage der Schamwände zu richten. Die dargestellte Anordnung der Leuchte über der Schamwand ist möglich, wenn genügend Abstand zwischen Decke und Oberkante Schamwand besteht. Bei der Beleuchtungsberechnung darf die abschattende Wirkung der Schamwände nicht vernachlässigt werden.
Abbildung 25: Sanitärraum 1 LED-Leuchte 21,5 W / 2.600 lm (DIN EN 12464-1, Ref. Nr. 10.4)

| Raumhöhe | 2,75 m | |
| Installierte Leistung | 21,5 W | |
| Spezifische Leistung | 3,3 W/m2 | |
| Bereiche der Sehaufgabe | ` Em> 200 lx | U0> 0,4 |
| Wände | ` Em> 75 lx | U0> 0,1 |
| Decke | ` Em> 50 lx | U0> 0,1 |
| Zylindrisch Kabine (hz = 1,20 m) | ` Em> 75 lx | U0> 0,1 |
| Zylindrisch Vorraum (hz = 1,60 m) | ` Em> 75 lx | U0> 0,1 |
Grundsätzlich werden die Leuchten in Sanitärräumen über Bewegungsmelder geschaltet. In fensterlosen Räumen kann auch der Einsatz von Meldern, die auf akustische Signale reagieren, sinnvoll sein.
7.14 Datenverteilerräume
In Datenverteilerräume wird grundsätzlich eine raumbezogene Beleuchtung mit einem Wartungswert von 500 Lux nach DIN 50174-2 [ 28] Pkt. 8.3.8.3.1 vorgesehen die weiteren Lichttechnischen Anforderungen ergeben sich aus DIN EN 12464-1, Ref. Nr. 34.2. Besonderes Augenmerk ist bei der Leuchtenanordnung auf die Lage der Datenverteilerschränke zu richten. Bei der Beleuchtungsberechnung ist die abschattende Wirkung der Datenverteilerschränke zu berücksichtigen. Durch Anordnung einer Leuchte bzw. Leuchtenreihe vor und hinter den Schränken wird die abschattende Wirkung der Schränke vermieden. Bei den Schränken ist in der Regel von sehr geringen Reflexionsgraden auszugehen. Außerdem müssen die Vor- und Rückseiten der Schränke als vertikale Arbeitszone betrachtet werden. Bei vertikalen Arbeitsflächen ist eine Beleuchtungsstärke von 150 Lux in der Höhe von 0,5 m bis 2,0 m über dem Boden einzuhalten.
Abbildung 26: Datenverteilerraum

| 4 LED-Leuchten 3.200 lm / 23 W | ||
| Raumhöhe | 2,75 m | |
| Installierte Leistung | 92 W | |
| Spezifische Leistung | 11,0 W/m2 | |
| Nutzebene | ` Em> 500 lx | U0> 0,6 |
| Wände | ` Em> 150 lx | U0> 0,1 |
| Decke | ` Em> 100 lx | U0> 0,1 |
| Zylindrisch (hz = 1,60 m) | ` Em> 150 lx | U0> 0,1 |
8 Beleuchtung von Arbeitsstätten im Außenbereich
Auf Grund der hohen Lebensdauer sind LED-Leuchten für den Einsatz in der Außenbeleuchtung prädestiniert. Planungsgrundlage für die Beleuchtung im Außenbereich ist bei Arbeitsplätzen im Freien die DIN EN 12464-2 [ 24].
Bei Einsatz von moderner LED-Technik beträgt nach Herstellerangaben die Lebensdauer der LED-Außenleuchten derzeit etwa 60.000 Stunden, mit steigender Tendenz. Einige Hersteller geben bereits Lebensdauern von 80.000 - 100.000 Stunden für ihre Produkte an. Bei einer durchgängig betriebenen Außenbeleuchtung ist mit rund 4.000 Jahresbetriebsstunden zu rechnen. Das bedeutet, dass bei einer angegebenen Lebensdauer von 60.000 Stunden spätestens nach 15 Jahren die LED-Module ausgetauscht werden müssten, da Außenbeleuchtungsanlagen über deutlich längere Zeiträume von 25 - 30 Jahren betrieben werden. Sollten dann keine LED-Ersatzmodule mehr zur Verfügung stehen, wird ein Komplettaustausch der Leuchte erforderlich.
Bei einem Betrieb über den v. g. Zeitraum von 60.000 Stunden ist zudem mit einem nennenswerten Lichtstromrückgang zu rechnen. Dieses hat Auswirkungen auf den Wartungsfaktor. Wird ein entsprechend kleiner Wartungsfaktor gewählt, ist die Leuchte lange Zeit überdimensioniert, was die angestrebte Energieeinsparung reduziert. Alternativ kommt eine dimmbare oder in Stufen schaltbare Leuchte in Betracht. Die Leuchte wird dann z.B. zunächst mit 80 % Lichtstrom betrieben, was den Energieverbrauch ebenfalls um etwa 20 % absenkt. Wenn der Lichtstrom nach einigen Jahren nicht mehr ausreicht, wird dieser zunächst auf 90 % und später auf 100 % des Nenn-Lichtstroms eingestellt. Dieses erfordert jedoch neben Lichtstromeinstellbaren und damit teureren Leuchten einen erhöhten Aufwand für den Leuchtenbetreiber.
Neben den LED-Modulen sind auch die Treiber der Stromversorgung zu betrachten, die bei LED-Leuchten der erforderlichen Strombegrenzung dienen. Auch hier ist mit Früh-Ausfällen bei der erforderlichen Elektronik zu rechnen. Einige Hersteller geben derzeit Ausfallquoten von 1 % je 5.000 Betriebsstunden an. Bei einer angestrebten Betriebszeit von 25 Jahren bedeutet dieses, dass bei bis zu 20 % aller Leuchten der Treiber zwischenzeitlich gewechselt werden muss. Dieses ist, genau wie eine zukünftige Ersatzteilbeschaffung von herstellerspezifischen Teilen, bei einer Wirtschaftlichkeitsbetrachtung zu berücksichtigen.
Werden dagegen LED-Außenbeleuchtungsanlagen nicht durchgängig betrieben und deutlich weniger als 4.000 Jahresbetriebsstunden erreicht, können auch LED-Module mit geringeren vom Hersteller garantierten Lebensdauern eingesetzt werden. Möglich ist dieses zum Beispiel, wenn LED-Leuchten in Verbindung mit einem Bewegungsmelder nur bei Bedarf eingeschaltet werden. Hier ist unter Umständen eine nennenswerte Energieeinsparung zu realisieren. Ein zusätzlicher Vorteil ist dabei, dass LED-Leuchten quasi unbegrenzt häufig geschaltet werden können und der Lichtstrom auch bei niedrigen Temperaturen sofort nach dem Einschalten 100 % erreicht.
9 Notbeleuchtung
Die Notbeleuchtung ist eine netzunabhängige Beleuchtung, die bei Störung der elektrischen Versorgung der allgemeinen künstlichen Beleuchtung rechtzeitig wirksam wird. Es wird zwischen Sicherheitsbeleuchtung und Ersatzbeleuchtung unterschieden.
Abbildung 27: Systematik der Notbeleuchtung

Anforderungen an die Notbeleuchtung enthalten u. a. die DIN EN 1838 [ 21], DIN EN 50172 [ 27], DIN EN 60598-2-22 [ 32] und die DIN VDE 0100-718 [ 37]. Eine Besonderheit stellt die DIN VDE V 0108-100-1 dar. Da für diese Vornorm bisher die Zustimmung der europäischen Normungsgremien fehlt, ist sie offiziell nicht gültig. In ihr werden Änderungen beschrieben, wie sich die nationalen Normungsgremien die zukünftige DIN EN 50172 vorstellen. Nach besonderer Vereinbarung zwischen dem Bauherrn und dem Errichter darf die Vornorm angewendet werden.
Ergänzend zu den vorgenannten Normen können zusätzliche Forderungen in den jeweiligen Landesbauordnungen, Baugenehmigungen, Brandschutzkonzepten oder Gefährdungsbeurteilungen festgelegt werden.
Standardmäßig werden nur noch LED-Leuchten eingesetzt. Der sichere Betrieb dieser Anlagen ist von wesentlicher Bedeutung und daher wird für die Zwecke der Notbeleuchtung das Qualitätsmerkmal der hohen Lebensdauer hier ausgenutzt. Zusätzlich führt der geringere Energiebedarf, der dann gleichzeitig auch aus kleineren Batterien gedeckt werden kann, zu einer positiven Wirtschaftlichkeit des gewählten Anlagentyps.
9.1 Ersatzbeleuchtung
Die Ersatzbeleuchtung ist eine Notbeleuchtung, die für die Weiterführung des Betriebes über einen begrenzten Zeitraum ersatzweise die Aufgabe der raumbezogenen Beleuchtung übernimmt, um notwendige Tätigkeiten im Wesentlichen fortsetzen zu können. Sie greift im Regelfall unterbrechungsfrei oder innerhalb von 0,5 Sekunden ein. Wenn die ausgelegte Ersatzbeleuchtung nicht das Beleuchtungsniveau der raumbezogenen Beleuchtung erreicht, dient diese lediglich dazu einen Arbeitsprozess herunter zu fahren oder zu beenden. Die Anforderungen daran sind nicht genormt und müssen individuell festgelegt werden. Wird sie eingesetzt, um auch die Aufgaben der Sicherheitsbeleuchtung zu übernehmen, so müssen alle hierfür notwendigen Bedingungen erfüllt sein.
9.2 Sicherheitsbeleuchtung
Zweck einer Sicherheitsbeleuchtung und ihre Hauptaufgaben sind, bei Ausfall der Allgemeinbeleuchtung, den im Gebäude befindlichen Personen die sichere Evakuierung zu ermöglichen, sowie Flucht- und Rettungswege oder auch Gefahren zu erkennen, ohne in Panik zu geraten.
Eine Sicherheitsbeleuchtung kann in- und außerhalb von Gebäuden besonderer Art und Nutzung bis zu einem sicheren Bereich erforderlich sein. Somit sind auch Leuchten im Außenbereich, für die Ausleuchtung der Strecke bis zum Sammelplatz, mit einzubinden. Dies betrifft unter anderem Versammlungsstätten, Verkaufsstätten, Schulen und Hotels sowie Bereiche aufgrund der jeweiligen Baugenehmigung. Näheres regeln die jeweiligen Landesbauordnungen. Darüber hinaus gelten die Arbeitsstättenverordnung [ 55] mit den Arbeitsstättenregeln ASR A2.3 [ 4] und ASR A3.4 [ 5] und die Unfallverhütungsvorschriften (DGUV) der Träger der gesetzlichen Unfallversicherung.
Die Notwendigkeit einer Sicherheitsbeleuchtung kann sich daher neben einer bauordnungsrechtlichen Anforderung auch auf Grund einer Gefährdungsbeurteilung entsprechend § 5 (1) Arbeitsschutzgesetz [ 41] ergeben, z.B. wenn Rettungswege in Arbeitsstätten bei Ausfall der Beleuchtung nicht gefahrlos genutzt werden können.
9.2.1 Sicherheitsbeleuchtung für Rettungswege
Die Sicherheitsbeleuchtung für Rettungswege ist ein Teil der Beleuchtung, die Rettungswege mit einer vorgeschriebenen Mindestbeleuchtungsstärke beleuchtet. Sie kann aus einem Netz separater Sicherheitsleuchten bestehen oder mit in die Allgemeinbeleuchtung integriert werden, indem eine gewisse Anzahl der Allgemeinleuchten redundant versorgt, d. h. sowohl über das Allgemeinstromnetz als auch über das Notstromnetz (versorgt über Zentral- oder Einzelbatterie), gespeist werden. Bei Einbruch der Versorgungsspannung der Allgemeinbeleuchtung wird mittels in der Leuchte eingebauter Umschaltweiche auf das Notstromnetz umgeschwenkt. Solche "Kombileuchten" müssen allerdings als Sicherheitsleuchte deklariert sein, d. h. den hohen Anforderungen einer Sicherheitsleuchte standhalten können.
Das gefahrlose Verlassen der Räume oder Anlagen sowie das eindeutige Erkennen von Rettungseinrichtungen wird durch die Sicherheitsbeleuchtung zu allen Zeiten, zu denen Personen in der baulichen Anlage anwesend sind, ermöglicht.
Beispiel für einen Flur mit Sicherheitsbeleuchtung unter Verwendung der Allgemeinleuchten (gelb hinterlegt):
Abbildung 28: Flur mit Sicherheitsbeleuchtung
(grün hinterlegt)

Eine erweiterte Methode stellt die "Dynamische Fluchtweglenkung" ("Dynamic Escape Routing") dar. Die Methode beruht auf einen Wechsel der Anzeige auf den Rettungszeichen-(leuchten)/TFT-Monitoren. Diese ist mit der Brandmeldeanlage gekoppelt, denn sollte ein Melder innerhalb eines Rauch-/Brandabschnitt auslösen, wird dieser Gefahrenbereich durch die Anzeige auf den Monitoren als Sperrzone gekennzeichnet bzw. man wird zum Flüchten um den abgesperrten Bereich geführt. Auch eine vorrübergehende Nutzungsänderung kann sich negativ auf die Fluchtweglänge auswirken. So können die Monitore auch ganz ausgeschaltet oder für einen Anzeigetext verwendet werden.
9.2.2 Sicherheitsbeleuchtung für Arbeitsplätze mit besonderer Gefährdung
Die Sicherheitsbeleuchtung für Arbeitsplätze mit besonderer Gefährdung ist eine Beleuchtung, die das gefahrlose Beenden notwendiger Tätigkeiten und das Verlassen des Arbeitsplatzes ermöglicht.
Arbeitsplätze mit besonderer Gefährdung sind solche, an denen bei Ausfall der Beleuchtung eine unmittelbare Unfallgefahr besteht oder von denen Gefahren für Dritte ausgehen können. Bühnen, Szenenflächen, Rennbahnen, Manegen werden im Sinne dieser Norm wie Arbeitsplätze mit besonderer Gefährdung behandelt.
9.2.3 Anti-Panik-Beleuchtung
Ziel einer Anti-Panik-Beleuchtung ist es, die Wahrscheinlichkeit einer Panik zu reduzieren, sowie den Personen ein sicheres Erreichen der Rettungswege durch Vorsehen ausreichender Beleuchtung und Richtungsangaben zu ermöglichen. Wenn es nach einem Stromausfall plötzlich dunkel wird, kann Panik bei den betroffenen Personen auftreten und es kann zu Unfällen/Verletzungen kommen. Antipanik-Bereiche sind nach DIN EN 50172 Pkt. 3.4 [ 27] Flächen mit nicht gekennzeichneten Rettungswegen in Räumen größer 60 m2 und in kleineren Bereichen, wenn zusätzliche Risiken gegeben sind, z.B. durch größere Menschenansammlungen wie etwa bei Veranstaltungen in Hallen. Nach DIN EN 1838 [ 21] ist in Toiletten für Menschen mit Behinderung sowie die Zuwegung zu Räumen mit Sicherheitsbeleuchtung, die nicht auf Rettungswegen liegen, ebenfalls eine Anti-Panik-Beleuchtung erforderlich.
9.3 Anforderungen an die Sicherheitsbeleuchtung
Die Sicherheitsbeleuchtung muss bei einem örtlichen oder vollständigen Ausfall der allgemeinen Stromversorgung wirksam werden. Je nach Anwendung gelten gem. der ASR [ 3, 4, 5] z.B. für die Beleuchtungsstärke, der Farbwiedergabe und die Gleichmäßigkeit unterschiedliche Anforderungen an eine Sicherheitsbeleuchtungsanlage. Die wesentlichen Anforderungen sind in Tabelle 11 zusammengestellt.
Tabelle 11: Anforderungen an die Sicherheitsbeleuchtung
| Sicherheitsbeleuchtung | |||
| für Rettungswege | für Arbeitsplätze mit besonderer Gefährdung | Anti-Panik-Beleuchtung | |
| MindestbeleuchtungsstärkeEmin | 1 lx (Mittellinie Rettungsweg, auf dem Boden) |
10%En der Allgemeinbeleuchtung, mindestens jedoch 15 lx | 0,5 lx (auf dem Boden) |
| GleichmäßigkeitEmax:Emin | < 40:1 | < 10:1 | < 40:1 |
| FarbwiedergabeindexRa | > 40 | ||
| Nennbetriebsdauer | 1 Stunde | Dauer der Gefährdung | 1 Stunde |
| Einschaltverzögerung 10) | 100 %Emin in 15 s | 100 %Emin in 0,5 s | 100 %Emin in 15 s |
Verschärfende Anforderungen sind teilweise in Versammlungsstättenverordnungen, Hochhausrichtlinien, Großgaragenverordnungen etc. vorgegeben. Hier sind jeweils die spezifischen Regelungen der Länder zu beachten.
9.4 Sicherheitszeichen
Bei Sicherheitszeichen für Rettungswege kann es sich um beleuchtete bzw. angestrahlte Sicherheitszeichen (Zeichen mit externer Lichtquelle) oder um hinterleuchtete Sicherheitszeichen (Zeichen mit interner Lichtquelle) handeln. Langnachleuchtende Sicherheitszeichen sind als Ersatz für eine Sicherheitsbeleuchtung unzulässig, da die Mindestbeleuchtungsdauer und -stärke nicht eingehalten werden können.
Die Sicherheitszeichen für Rettungswege müssen folgende Qualitätsmerkmale erfüllen:
| l =z *h | [ 5] | |||
| h | = | die Höhe des Sicherheitszeichens | ||
| z | = | Distanzfaktor | 100 für angestrahlte (beleuchtete) Zeichen | |
| 200 für hinterleuchtete Zeichen | ||||
Beispiel:Wie hoch muss ein hinterleuchtetes Sicherheitszeichen sein, das aus einer Entfernung von 30 m noch erkennbar ist?
h =l /z = 30 m / 200 = 0,15 m
Abbildung 29: Sicherheitszeichen für Rettungswege

9.5 Stromversorgung
Zur Stromversorgung werden meist Batterien nach DIN EN IEC 62485-2 [ 29] eingesetzt. In Abhängigkeit der Umschaltzeiten können auch Ersatzstromaggregate (siehe AMEV Ersatzstrom), die den Anforderungen nach DIN 6280-13 [ 18] entsprechen, eingesetzt werden. Zur Reduzierung der Batteriekapazitäten ist eine Kombination beider Systeme möglich.
Im Betrieb von Notbeleuchtungsanlagen werden zwei Schaltungsarten unterschieden:
Die Auswahl und Festlegung, welches der nachfolgenden Systeme für die entsprechenden Einsatzbereiche in Abhängigkeit von der Raum- und Gebäudenutzung eingesetzt wird, muss für jede Anlage separat geplant und unter wirtschaftlichen Gesichtspunkten umgesetzt werden.
9.6 Batterieanlagen
9.6.1 Einzelbatterieanlage
Als Stromquelle sind nur wiederaufladbare, verschlossene Batteriebauarten zugelassen, die ein Nachfüllen von Wasser oder Elektrolyt ausschließen. Die Batterien müssen für Erhaltungsladung konzipiert sein und lageunabhängig betrieben werden können. Das Einzelbatteriesystem erlaubt es, den Stromversorgungsteil in die Leuchten einzubauen. Durch die Verwendung von Bussystemen können diese Leuchten einzeln und automatisch überwacht werden. Aufwändige manuelle Prüfungen werden dadurch auf ein Minimum reduziert.
9.6.2 Zentralbatterieanlage
Hierbei handelt es sich um ein System, bei welchem die Batterieanlage als auch das Lade- und Steuergerät mit den Stromkreissicherungen an einer zentralen Stelle des Gebäudes installiert sind und sämtliche Leuchten von hier aus über entsprechende Leitungen versorgt werden. Unter Berücksichtigung der jeweiligen Landesbauordnung ist für die Zentralbatterieanlage ein separater Aufstellungsraum notwendig. Die Batteriekapazität der Zentralbatterie ermittelt sich aus der erforderlichen Nennbetriebsdauer und der Gesamtsumme aller Anschlussleistungen der erforderlichen Leuchten. Für eine ausreichende Lüftung der Anlage ist zu sorgen.
Leitungen sind mit Funktionserhalt bis zur ersten Leuchte im anderen Brandabschnitt zu verlegen, wenn die einspeisende Leitung andere Brandabschnitte durchquert. Wenn die erste Leuchte weit entfernt von der Brandschutzwand angebracht ist, kann die Installation der Leitung mit Funktionserhalt bei Erreichen des Brandabschnittes in einer Abzweigdose beendet und mit Standardleitungsmaterial die erste Leuchte angeschlossen werden.
Als Vorteil sind die zentrale Überwachung und Aufstellung der Anlage zu bewerten, nachteilig wirken sich der hohe Installationsaufwand sowie die Notwendigkeit eines eigenen Aufstellungsraumes für die Batterie aus. Die Anzahl der Leuchten, bei der eine Zentralbatterieanlage wirtschaftlicher ist als Leuchten mit Einzelbatterien, ist abhängig von der jeweiligen Situation des Gebäudes und muss individuell betrachtet werden.
9.6.3 Stromversorgungssystem mit Leistungsbegrenzung (Gruppenbatterieanlage)
Bei diesem zentralen Stromversorgungssystem mit Leistungsbegrenzung (LPS-System, Low Power Supply System) ist die Ausgangsleistung für die Dauer von 3 Stunden auf 500 W oder für 1 Stunde auf 1.500 W begrenzt. Dieses System wird vorwiegend als kompakte Kleinanlage für die Versorgung von Etagen eingesetzt. Ein separater Betriebsraum ist nicht notwendig.
9.7 Ersatzstromaggregat
Ersatzstromaggregate, auch Ersatzstromversorgungsanlagen genannt, sind meistens dort im Einsatz, wo weitere Sicherheitseinrichtungen und notstromberechtigte Verbraucher auch bei Ausfall der öffentlichen Stromversorgung weiter betrieben werden müssen. Vielfältige Anforderungen und unterschiedliche Verbraucher bestimmen die im Einzelfall zu wählende Ausführung (siehe AMEV Ersatzstrom [ 2]).
Die Sicherheitsleuchten werden im Normalbetrieb aus dem öffentlichen Netz gespeist. Die Ersatzstromversorgungsanlage ist in Bereitschaft und startet bei Netzstörung sofort aus dem Stillstand. Erst wenn die Nenndrehzahl erreicht ist, wird die Last mit einer Unterbrechungszeit von maximal 15 Sekunden zugeschaltet. Bei der Auslegung als Schnellbereitschaftsaggregat beträgt die Unterbrechungszeit 0,1 bis 0,5 Sekunden.
Die Überbrückungsdauer kann je nach Kraftstoffvorrat bis zu mehrere Tage betragen und ist nicht abhängig von der Batteriekapazität wie bei den Batteriesystemen.
9.8 Instandhaltung von Notbeleuchtungseinrichtungen
Batterien und Stromversorgungsaggregate müssen regelmäßig gem. den gültigen Normen geprüft und instandgehalten werden. Für Arbeitsstätten ergibt sich die Pflicht zur Instandhaltung aus § 4 der Arbeitsstättenverordnung. Hierbei sind die technischen Regeln zu beachten. Nach bauordnungsrechtlichen Vorschriften sind Prüfungen durch anerkannte Sachverständige erforderlich.
Der Betreiber des Gebäudes muss eine zuständige Person bestimmen, die die Instandhaltung des Systems überwacht.
Laut der DIN EN 50172 [ 27] Abschnitt 7 Wartung und Prüfung sind folgende Prüfungen durchzuführen:
Kommen automatische Prüfeinrichtungen zum Einsatz, so sind die Prüfergebnisse im Prüfbuch monatlich aufzuzeichnen. Diese Einrichtungen müssen nach der Norm DIN EN 62034 [ 71] gestaltet, konstruiert und installiert werden. Bei allen anderen Systemen sind die Prüfungen gem. der Norm EN 50172 Abschnitt 7 Wartung und Prüfung manuell durchzuführen.
Die jährliche Prüfung darf nicht automatisch ausgelöst werden.
Die Ergebnisse der Prüfungen müssen dokumentiert werden, die Dokumente sind mindestens bis zur nächsten regelmäßigen Prüfung aufzubewahren.
Jeweils nach Ende der Prüfdauer muss die allgemeine Beleuchtung wiederhergestellt und jede Meldelampe und jedes Meldegerät geprüft werden, um sicherzustellen, dass die allgemeine Stromversorgung wiederhergestellt ist.
Spätestens nach Ablauf von 3 Jahren muss die Messung der Beleuchtungsstärke der Sicherheitsbeleuchtung nach DIN EN 1838 [ 21] erfolgen.
Batterien sind gemäß der DIN EN 50110-1 [ 26] außerhalb der Betriebszeiten einmal im Jahr zu entladen.
Beim Stromerzeugungsaggregat wird gefordert, dass der Kraftstoffvorrat für die Mindestbetriebsdauer ausreicht.
10 Wirtschaftlichkeit von Beleuchtungsanlagen
Der Endenergiebedarf in Deutschland ist in den letzten Jahren permanent gesunken, wenn auch noch nicht in dem angestrebten Umfang. So lag der Endenergiemix 2019 in Deutschland bei ca. 8.970 Petajoule (PJ) entsprechend etwa 2.490 TWh. Der Anteil hieran für Beleuchtung betrug in den letzten Jahren knapp 3%, entsprechend etwa 70 TWh, mit leicht abnehmender Tendenz. Um diesen Bedarf weiter zu senken und die klimapolitischen Ziele der Bundesrepublik bis 2045 zu erreichen, ist es notwendig, auch Beleuchtungsanlagen so zu planen, dass der Primärenergieverbrauch und die CO2-Emissionen minimiert werden, ohne dabei die Qualität der Beleuchtung zu beeinträchtigen.
Wie schon das Energieeinspargesetz ( EnEG) macht das Gebäudeenergiegesetz ( GEG) [ 58] verbindliche Vorgaben für Wohn- wie Nichtwohngebäude hinsichtlich des zulässigen Jahres-Primärenergiebedarfs. Für den Geschäftsbereich des Bundesbaus werden diese Vorgaben durch die Energieeffizienzfestlegungen für Bundesgebäude nochmals erheblich verschärft. Hiervon sind auch Beleuchtungsanlagen betroffen, deren Anteil am Jahres-Primärenergiebedarf der Gebäude sich nach der DIN V 18599-4 [ 34] ermittelt.
Der Einsatz von LED-Leuchten kann dabei als gesetzt gelten, da sich anders die o. g. Vorgaben, insbesondere bei Baumaßnahmen des Bundesbaus, kaum noch einhalten lassen. Es sind hierbei Systemlichtausbeuten der Leuchten von mindestens 100 lm/W zugrunde zu legen.
Bei der Planung von Beleuchtungsanlagen sind außerdem auch weitere Maßnahmen zur Energieeinsparung zu untersuchen. Zunächst ist dabei das verfügbare Tageslicht optimal zu nutzen (siehe hierzu auch Abschnitt 3.5). Darüber hinaus ist z.B. auch der Einsatz von intelligenten und nutzungsgerechten Steuer- und Regelungstechniken, geeignete Beleuchtungssysteme mit effizienten Leuchtmitteln bzw. Vorschaltgeräte-Systemen oder eine mögliche Aufschaltung auf eine vorhandene Gebäudeautomation zu untersuchen.
Die Planungen sollen sich jedoch nicht nur am technisch Machbaren, sondern insbesondere am wirtschaftlich Sinnvollen orientieren. Dazu führt § 5 des GEG aus, dass eine Maßnahme zur Energieeinsparung im Sinne des GEG dann als wirtschaftlich vertretbar gilt, wenn generell die erforderlichen Aufwendungen innerhalb der üblichen Nutzungsdauer durch die eintretenden Einsparungen erwirtschaftet werden können.
Neben dem wirtschaftlichen darf jedoch auch der Komfort-Aspekt nicht vernachlässigt werden, da mit diesem für den Nutzer häufig auch die Akzeptanz u. a. für die gewählte Steuerungstechnik der Beleuchtung einhergeht. Es ist daher ratsam, die unter wirtschaftlichen Gesichtspunkten durchgeführte Planung vor Umsetzung dem Nutzer vorzustellen und mit diesem abzustimmen.
10.1 Schalten, Steuern und Regeln von Beleuchtungsanlagen
10.1.1 Allgemeines
Durch die Schaffung nutzungsgerechter Möglichkeiten zum Schalten, Steuern und Regeln von Beleuchtungsanlagen werden die entscheidenden Voraussetzungen für den energie- und kostensparenden Betrieb von Beleuchtungsanlagen geschaffen. Dabei ist zu bedenken, dass einmal installierte Einrichtungen häufig langfristig betrieben werden und nachträglich nur mit unverhältnismäßig hohem Aufwand geändert werden können.
In Räumen, in denen entsprechend hohe Jahresnutzungsstunden vorliegen, stellen Präsenzkontroll-, Konstantlicht- oder tageslichtabhängige Kontroll-Systeme für die Beleuchtungsanlagen heute den Stand der Technik dar.
10.1.2 Schalten
In Büro-, Klassen- und ähnlichen Räumen sind die fensternahen und fensterfernen Leuchten getrennt schaltbar- bzw. regelbar zu installieren. In Sälen und anderen großen Räumen (z.B. Sporthallen) sind Zonenschaltungen für einzelne Raumbereiche einzuplanen. Darüber hinaus sind dort, wo sinnvoll, durch geeignetes Zusammenfassen von Leuchten zu Schaltgruppen unterschiedliche Beleuchtungsniveaus schaltbar zu machen.
Für Treppenhäuser ist jeweils ein eigener Schaltkreis vorzusehen. Bei großer Geschosszahl ist die Treppenhausbeleuchtung in mehreren (Etagen-)Gruppen schaltbar zu machen. Die Beleuchtung von Fluren muss mindestens etagenweise schaltbar erfolgen. Bei weitläufigen Verkehrswegen sind mehrere Schaltkreise vorzusehen. Dies gilt auch für Flure, die nur teilweise mit Tageslicht versorgt werden.
Der Einsatz von Präsenzmeldern 11) ist sinnvoll, wenn bei Beleuchtungsanlagen mit geringer Personenbewegung im Erfassungsbereich mit unnötig langen Brenndauern zu rechnen ist, z.B. in Besprechungsräumen, Hörsälen oder bestimmten Verkehrszonen (z.B. Wartebereiche). Präsenzmelder steuern das zeitverzögerte automatische Abschalten. Das Einschalten erfolgt dann entweder von Hand oder ebenfalls automatisch über den Melder. Beim Einsatz von Meldern im Hochfrequenzbetrieb (sog. HF-Melder) ist zur Vermeidung von ungewollten Schaltungen besonders Augenmerk auf deren Erfassungsbereich zu legen, da diese teilweise auch Wände hindurch detektieren.
Für eine akzeptable Funktion der präsenzabhängigen Schaltung der Beleuchtung müssen geeignete Präsenzmelder eingesetzt, optimal im Raum positioniert und parametriert werden. Die örtliche Anordnung der Präsenzmelder und Lichtfühler sollte in einem Musterraum getestet werden. typenblätter und Herstellerangaben können hierfür nur erste Anhaltswerte liefern.
Bewegungsmelder werden dagegen in Sanitär-, Keller- und Lagerräumen sowie anderen nur sporadisch genutzten Räumen eingesetzt. In WC-Räumen ist eine angemessene Nachlaufzeit einzustellen.
Bei innenliegenden Verkehrswegen wird die Beleuchtung ebenfalls über Bewegungsmelder geschaltet. In Verkehrswegen mit ausreichend Tageslichteinfall (Flure, Treppenhäuser, Lichthöfe) ist zusätzlich die Kombination mit einem Dämmerungsschalter sinnvoll.
Eine Funktionskontrolle bei automatisierten Schaltungen ist im Rahmen regelmäßiger Inspektionen der Gebäude vorzusehen, um unnötige Schaltzeiten durch Fehlfunktionen zu vermeiden.
Erfolgt keine automatische Abschaltung in Fluren und Treppenhäusern, sollte die Beleuchtung in dafür geeigneten Bereichen möglichst zusätzlich an einer zentralen Stelle (z.B. Pförtner, Hausmeister) abschaltbar sein.
Außenbeleuchtung ist grundsätzlich über Dämmerungsschalter ein- und auszuschalten. Dort, wo aus verordnungsrechtlicher Sicht zulässig, ist die Schaltung, abhängig von den Nutzungszeiten der Liegenschaft, zusätzlich mit einer Zeitschaltuhr auszustatten, damit diese nicht die ganze Nacht über betrieben wird. Anstelle einer völligen Abschaltung kann der Einsatz von Bewegungsmeldern mit integriertem Dämmerungsschalter durchaus sinnvoll sein.
10.1.3 Lichtsteuerung
Lichtsteuerungen schalten oder dimmen die Beleuchtung, um die Beleuchtungsstärke den jeweiligen Nutzungsbedingungen anzupassen. Daher stehen hier überwiegend die Erfüllung nutzungsbedingter Anforderungen sowie der Komfortaspekt im Vordergrund.
Zur stufenlosen Beleuchtungssteuerung werden dimmbare Treiber eingesetzt, deren Ansteuerung dann zusätzlich zwei Adern erfordert.
Bei Beleuchtungsanlagen ohne besondere Anforderungen erfolgt das Dimmen über handbediente Taster. Aufwändige Anlagen (z.B. für Hörsäle) erhalten in der Regel elektronische Steuerungen mit Bedientableaus, an denen eine oder mehrere vorgewählte Beleuchtungsszenarien (z.B. Mitschreib- oder Lesebeleuchtung) über Taster abgerufen werden können.
Bei handgeregelten Beleuchtungsanlagen ist jedoch zu beachten, dass mögliche Energieeinsparpotentiale stark vom jeweiligen Nutzerverhalten abhängig und daher nur schwer im Voraus berechenbar sind.
Siehe auch Abschnitt " 4.2.3 Dimmbarkeit".
10.1.4 Lichtregelung
Bei der Lichtregelung ist grundsätzlich zwischen der tageslichtabhängigen Regelung und der Konstantlichtregelung zu unterscheiden, wobei letztere i.d.R. in der tageslichtabhängigen Regelung integriert ist. Beide Systeme bieten aufgrund ihrer eigenständigen Regelung ein hohes Maß an Komfort, was bei optimaler Systemparametrierung i.d.R. auch zu hohen Akzeptanzwerten bei den Nutzern führt.
Die Tageslichtabhängige Regelung regelt die Raumbeleuchtung mittels eines Lichtfühlers abhängig vom Tageslichtanteil. Dadurch reduziert sich bei ausreichendem Tageslichteinfall der künstliche Beleuchtungsanteil. Mit diesen Systemen lassen sich i.d.R. die größten Energieeinsparungen bei Beleuchtungsanlagen erzielen.
In großen Räumen (z.B. Hörsälen) wird der Einsatz eines Lichtregelgerätes mit zentralem Lichtsensor empfohlen. Der Lichtsensor soll an geeigneter Stelle im Raum das Mischlicht aus Tages- und Kunstlicht aufnehmen und die künstliche Beleuchtung danach regeln.
In Büros oder büroähnlichen Räumen bietet der Einsatz von Leuchten mit integriertem Lichtsensor Vorteile, wie z.B. die individuelle Nachregelung der Raumhelligkeit und die Berücksichtigung lokaler Verschattungen. Darüber hinaus reduziert sich bei integrierten Lichtsensoren der Installationsaufwand. Dieses kann sich besonders bei der Erneuerung von Beleuchtungsanlagen im Bestand kostensenkend auswirken.
Auf eine gesicherte Abschaltung der Beleuchtung nach Beendigung der Raumnutzung ist zu achten, damit bei eintretender Dunkelheit die Beleuchtung nicht unbeabsichtigt wieder hochgeregelt wird.
Eine weitere Möglichkeit der Energieeinsparung stellt gerade in größeren Räumen mit wenig oder gar keinem Tageslichteinfall die Konstantlichtregelung dar. Bei diesen wird das für die jeweilige Nutzung erforderliche Beleuchtungsniveau fest eingestellt und dann über die gesamte Betriebszeit der Beleuchtungsanlage auf diesem konstant gehalten. Leuchten mit Konstantlichtkontrolle müssen also immer regelbare Vorschaltgeräte (Treiber) besitzen. Vorteil bei diesem Verfahren ist, dass bei Neuinbetriebnahmen von Beleuchtungsanlagen eine anfängliche "Überbeleuchtung" zur Kompensation eines späteren Lichtstromrückgangs aufgrund Degradation oder Verschmutzung nicht mehr erforderlich ist, was sich in der Energiebilanz positiv auswirkt.
Unabhängig von der gewählten Regelungsart verschlechtert ein Eigenverbrauch der Regelungsbauteile, wie z.B. dem Lichtsensor, den Wirkungsgrad der Gesamtanlage geringfügig.
Grundsätzlich ist zu beachten, dass für die Inbetriebnahme von Lichtregelsystemen immer ein nicht unerheblicher personeller Aufwand einkalkuliert werden muss. Für die bestimmungsgemäße Funktion der Lichtregelsysteme können mehrere Messungen, Abgleiche und Einregulierungen erforderlich werden. Vor VOB-Abnahme der erbrachten Leistungen sollte daher ein ausreichend langer, realitätsnaher Testbetrieb durchgeführt werden.
10.1.5 Gebäudeautomation
Gebäude mit komplexer elektrotechnischer Ausrüstung werden heute zunehmend mit einem Installationsbus (z.B. KNX/EIB) ausgestattet. Damit besteht Möglichkeit, zusätzlich die Beleuchtungssteuerung in das Bus-System zu integrieren.
Bei vorhandener Gebäudeautomation oder -leittechnik (GA) wird empfohlen, Leuchtengruppen mit höherer Leistung auf diese aufzuschalten. Bei der Festlegung der Informationslisten nach VDI 3814 Gebäudeautomation [ 49] sind vor allem das Melden der Schaltzustände EIN/AUS, zentrales Abschalten sowie Zeitprogramme zu berücksichtigen.
Ebenso ist dann die Steuerung oder Regelung der Beleuchtung in Abhängigkeit vom Tageslichtanteil oder der Anwesenheit von Personen möglich.
Auch ist die Kopplung mit der Raumluft- und Heizungstechnik möglich. Bei Nutzungsänderungen kann die Zuordnung EDV-gestützt durch Neukonfiguration verändert werden, so dass kein weiterer Installationsaufwand entsteht.
Allerdings sind KNX/EIB-Systeme in ihrer Architektur gegenüber den zuvor beschriebenen Systemen zur Beleuchtungsregelung relativ aufwendig und damit häufig auch teurer. Ein neues KNX/EIB-Bussystem, das ausschließlich der Beleuchtungssteuerung dient, amortisiert sich daher gegenüber einem konventionellen Regelsystem häufig nicht.
Weitere Hinweise zur Gebäudeautomation, siehe AMEV Gebäudeautomation [ 1].
10.2 Auswahl von Leuchtmitteln für Bestandsanlagen
10.2.1 LED-Lampen
Als Ersatz für Glühlampen, Halogenlampen oder Kompaktleuchtstofflampen können grundsätzlich energiesparende LED-Lampen (sogenannte Retrofit-Lampen) gewählt werden, wenn die Leuchte noch in einem technisch einwandfreien Zustand ist. LED-Lampen reduzieren den Energieverbrauch um bis zu 85 %. Bei der Verwendung ist insbesondere auf die Leistung, den Lichtstrom und die Lichtverteilung des Leuchtmittels zu achten. Während die Lichtausbeute bei den Kompaktleuchtstofflampen stagniert, werden zunehmend LED-Lampen mit größeren Lichtströmen und zugleich besseren spezifischen Leistungen (lm/W) angeboten. Bei der Wirtschaftlichkeitsbetrachtung sind neben der restlichen Nutzungszeit der vorhandenen Lampe die unterschiedlichen Nutzungsdauern von LED-Leuchten und LED Retrofit-Lampen zu berücksichtigen. In Tabelle 12 wird anhand eines Berechnungsbeispiels aufgezeigt, dass sich der Einsatz von Retro-Fit Leuchtmittel bereits in relativ kurzer Zeit amortisieren kann.
Tabelle 12 Berechnungsbeispiel
| Kompaktleuchtstofflampen mit externem Vorschaltgerät und CFLI 2 Stiftsockel | |||||
| Leuchte 1 alt | Leuchte 2 alt | Leuchte 1 neu | Leuchte 2 neu | ||
| Leuchten | 2 * 11 W | 2.100 lm | |||
| Energiekosten | Alt | Neu | Einsparung | ||
| Leuchtenleistung (incl. VG) | 0,028 KW | 0,016KW | |||
| Leuchtenanzahl | 11 Stück | 6 Stück | |||
| Lampen je Leuchte | 2 Stück | 1 Stück | |||
| Jahresbetriebsstunden | 1.500 h | 1.500 h | |||
| Einsparung Bewegungsmelder, Lichtregelung | 0 % | 0 % | |||
| Verbrauch | 462 kWh/a | 144 kWh/a | 318,00 kWh/a | ||
| Stromkosten | 0,40 Euro/a | 0,40 Euro/a | |||
| Gesamtstromkosten | 184,80 Euro/a | 57,60 Euro/a | 127,20 Euro | ||
| Leuchtmittelkosten | |||||
| Lampe | 5,00 Euro | 100,00 Euro | |||
| Lampenwechsel | 10,00 Euro/a | 20,00 Euro | |||
| Lebensdauer*) | 10.000 h | 50.000 h | |||
| Gesamtleuchtmittelkosten | 49,50 Euro/a | 21,60 Euro/a | 27,90 Euro | ||
| Summe: | 155,10 Euro | ||||
| Amortisation | |||||
| Kosten | 900 Euro | ||||
| Amortistaionszeit | 5,80 Jahre | ||||
| Emission1) | 485 g CO2/kWh | CO2 Einsparung | 154 kg/Jahr | ||
| Eingabefelder | Ergebnisse | Zwischenwerte | |||
| *)Werte aus Amev Beleuchtung 2011 annehmen bzw. den entsprechenden Registerkarten 1) Stand 2021 |
|||||
Für dekorative Anforderungen sind LED-Lampen mit Glühfadenanmutung verfügbar, die auch optisch herkömmlichen Glühlampen ähneln.
Auf Leistungs- und Lichtstromangaben für LED-Retro-Fit-Lampen wurde in dieser Empfehlung verzichtet, da diese der ständigen technischen Fortentwicklung unterliegen und je nach Hersteller stark streuen.
10.2.2 LED-Röhren
Auf dem Markt werden alternative Leuchtmittel als Ersatz für stabförmige T26-Leuchtstofflampen, in Leuchten mit induktiven Vorschaltgeräten, angeboten. Bei den LED-Röhren wird die T26-Lampe durch ein mechanisch kompatibles Leuchtmittel ersetzt, dass mit Leuchtdioden bestückt ist. Der Starter wird durch eine Kurzschlussbrücke ersetzt. Die Vorschaltgeräte verbleiben in den Leuchten. Eventuelle vorhandene Kompensationskondensatoren sollten demontiert werden. Für Leuchten mit elektronischem Vorschaltgerät mit T26- oder T16-Röhren gibt es inzwischen auch eine große Produktvielfalt an LED-Röhren für den direkten Betrieb an diesem Vorschaltgerät.
Es ist immer zu prüfen welches Ersatzleuchtmittel für die bestehende Leuchte den optimalsten Wirkungsgrad für den Lichtstrom und die Ausleuchtung ergibt. Viele Leuchten mit Spiegelraster sind auf den Durchmesser des vorgesehenen Leuchtmittels abgestimmt. Durch den Einsatz eines Leuchtmittels mit geringerem Durchmesser oder anderer Abstrahlcharakteristik wird das optische Verhalten der Leuchte in nicht vorhersehbarer Weise beeinflusst. LED-Röhren werden auch mit einer integrierten Lichttechnik angeboten, die dafür sorgt, dass das Licht nur in einem begrenzten Winkel von z.B. 160 ° abgestrahlt wird. Werden solche Leuchtmittel in Leuchten ohne jegliche Reflektoren (z.B. freistrahlende Lichtleisten) eingesetzt, ist es möglich, dass die in der LED-Röhre integrierte Lichttechnik den geringeren Lichtstrom zumindest insoweit kompensiert, dass auf der Nutzebene weiter die erforderliche Lichtstärke erreicht wird. Bei Umrüstungen sollte vorab untersucht werden, ob gegenüber dem früheren Betrieb höhere Temperaturen auftreten. Dabei wird eine Zulassung der LED-Röhre (z.B. VDE-Prüfzeichen) vorausgesetzt.
Beim Wechsel muss daher überprüft werden, ob die geforderten Beleuchtungsstärken und Gleichmäßigkeiten eingehalten werden. Eventuell muss dieses mit einem Musterraum überprüft werden. Voraussetzung für den Austausch ist, dass die Bestandsleuchten immer noch in einem einwandfreien technischen Zustand sind. Ist dieses nicht der Fall, sollte eine komplette Sanierung mit neuen LED-Leuchten erfolgen.
Grundsätzlich wird darauf hingewiesen, dass die Leuchten nach Herstellervorgaben nur für den Betrieb mit T26- bzw. T16-Lampen vorgesehen sind. Bei einer Umrüstung erlischt die Produkthaftung und das CE-Zeichen auf der Leuchte verliert seine Gültigkeit. Der für den Umbau Verantwortliche übernimmt die volle Betriebsverantwortung.
Letztendlich ist noch darauf zu achten, dass die LED-Röhren den geforderten Farbwiedergabeindex (in der Regel Ra > 80) besitzen.
11 Inbetriebnahme und Messung
11.1 Inbetriebnahme von Beleuchtungsanlagen
Die Inbetriebnahme einer Beleuchtungsanlage ist aufgrund des vermehrten Einsatzes von Lichtsteuerungs- und Regelungstechnik zu einem komplexen Vorgang geworden.
Durch den Einsatz von übergeordneten Installationsbussystemen kann dieser Vorgang zusätzlich erschwert werden. Zusätzlich müssen gegebenenfalls Multifunktionstaster oder Touch-Displays für die Szenensteuerung bei Beamer- oder Vortagsbetrieb parametriert werden.
Es reicht nicht mehr aus zu prüfen, ob die Leuchten funktionsfähig sind und die Beleuchtungsstärke den Arbeitsstättenrichtlinien [ 3, 4, 5] bzw. der Norm entspricht.
In die Planung muss bereits die Überlegung einfließen, wie die Beleuchtung im Betrieb funktionieren soll und wie dies bei der Inbetriebnahme überprüft werden kann.
Ein bei der Planung erstelltes Lastenheft (z.B. auf Basis der Checkliste) kann helfen die Vorgaben und deren Umsetzung zu überprüfen. In diesem Lastenheft sind Anforderungen an Sensoren und Aktoren, wie z.B. Empfindlichkeiten, Schaltschwellwerte und Nachlaufzeiten, festzulegen.
Somit sollten ergänzend zu der normativ vorgeschriebenen Überprüfung mindestens folgende Punkte im Rahmen der Ausführungsplanung festgeschrieben und während der Inbetriebnahmephase überprüft werden.
11.2 Überprüfung von Beleuchtungsanlagen
In der DIN EN 12464-1 [ 23] sind im Abschnitt 8 Anforderungen enthalten, die sicherstellen sollen, dass die normativen Anforderungen tatsächlich eingehalten werden. Dieses betrifft:
Bei der Messung der Beleuchtungsstärke nach der Installation sind als Messpunkte die der Beleuchtungsberechnung zu verwenden. Die Anforderungen an das Raster der Beleuchtungsstärke für die Berechnung/Messung werden jetzt im Abschnitt 5.4 der DIN EN 12464-1 ausführlicher beschrieben. Die grundsätzlichen Anforderungen (siehe Abschnitt 11.3) sind jedoch unverändert geblieben.
Die bei der Berechnung zugrunde gelegten Reflektionsgrade (in %) der Oberflächen müssen mit denen der Ausführung verglichen werden. Bei dem Vergleich der Messwerte mit den Anforderungen ist der angenommene Wartungsfaktor zu berücksichtigen. Zur Überprüfung der Blendungsbegrenzung müssen seitens der Leuchtenhersteller die notwendigen Tabellen (RUGL -Wert in Abhängigkeit von Abstand/Lichtpunkthöhe) zur Verfügung gestellt werden.
Zu den notwendigen Angaben einer Leuchte seitens des Herstellers gehören auch die Farbwidergabe (Ra in %) und die Lichtfarbe (Tcp in K).
Um die Leuchtdichte (Lv in cd/m2) einer Leuchte berücksichtigen zu können, sind seitens des Herstellers die nach Normreihe DIN EN 13032 [ 59] gemessenen Werte bereitzustellen. Die Lichtverteilungskurven (LVK) dienen in den gängigen Beleuchtungsberechnungsprogrammen als Berechnungsgrundlage.
Zu den Aufgaben des Planers gehört die Festlegung eines Wartungsfaktors (neue Bezeichnung:fm) auf der Grundlage eines Wartungsplans. Die bisherigen Anforderungen sind unverändert geblieben (siehe Abschnitt 3.6 und DIN EN 12464-1, Pkt. 6.3).
11.3 Messung der Beleuchtungsstärke
Ein Verfahren zur Messung und Bewertung der Beleuchtung mit künstlichem Licht wird in DIN 5035-6 [ 16] beschrieben. Es bringt genaue Ergebnisse, erfordert allerdings einen Personal- und Messaufwand, der in Standardfällen häufig als unverhältnismäßig hoch angesehen wird. Aufgrund der Erfahrungen vieler Verwaltungen werden für einfache Praxisfälle zunächst einfache Punktmessungen zur ersten näherungsweisen Einschätzung der Beleuchtungsstärke empfohlen.
Die Punktmessung wird in sinngemäßer Anlehnung an DIN 5035-6 durchgeführt. Die Zahl der Messpunkte wird jedoch erheblich reduziert.
In einem Raum mit arbeitsplatzorientierter Beleuchtung (z.B. Büroraum oder büroähnlicher Raum) sind Messpunkte im Bereich oder den Bereichen der Sehaufgabe (z.B. auf dem Schreibtisch und dem Besprechungstisch) zu wählen. Zusätzlich sollte an einem Messpunkt im Umgebungsbereich der Sehaufgabe gemessen werden.
Bei der Messung ist zu beachten, dass als Messebene die Höhe der Bewertungsfläche angenommen wird. Diese ist in Büroräumen 0,75 m über dem Fußboden und in Verkehrsflächen und Sportstätten der Fußboden.
Bei einer Punktmessung in Verkehrswegen wird ein repräsentativer Messpunkt mit niedriger Beleuchtungsstärke (z.B. ein Messpunkt zwischen zwei Leuchten) gewählt. Von den Raumbegrenzungsflächen ist nach Möglichkeit ein Abstand von mindestens 1 m einzuhalten.
Die Messwerte dürfen die jeweiligen Wartungswerte nicht unterschreiten. Bei Neuanlagen ist zu prüfen, ob das Produkt aus den gemessenen Werten und dem festgelegten Wartungsfaktor über dem Wartungswert liegt (siehe Abschnitt 2.6).
Die DIN EN 12464-1 [ 23] enthält im Abschnitt 5.4 Hinweise zu der Ermittlung der notwendigen Rasterpunkte bei Messung und Berechnung. Dabei sind bei Berechnung und Messung grundsätzlich die gleichen Rasterpunkte zu verwenden, damit Ergebnisse vergleichbar sind. Für den Abstand der Berechnungspunkte gilt:
| p = 0,2 * 5log(d) | [ 6] |
p = max. Abstand Rasterpunkte bzw. < 10 m; Seitenverhältnis < 1 : 2
d = Seitenlänge des Berechnungsfeldes
Im Folgenden sollen die notwendigen Berechnungspunkte am Beispiel des 2-Personen Büros ( Abbildung 16) ermittelt werden.
Seitenlänge X = 4,80 m
Seitenlänge Y = 3,60 m
Max. Abstand X = 0,2 * 5log(Länge) = 0,2 * 5log(4,8) = 0,60 m
Max. Abstand Y = 0,2 * 5log(Länge) = 0,2 * 5log(3,6) = 0,49 m
Punkte X Richtung = 4,80 m / 0,60 m = 8 Punkte
Punkte Y Richtung = 3,60 m / 0,49 m = 7,3 Punkte gewählt 8 Punkte
Bei Berechnungen nach der Punktzu-Punkt-Methode lassen die heutigen Rechner Berechnungen mit deutlich mehr Berechnungspunkten in einer akzeptablen Berechnungszeit zu. Durch die Erhöhung der Berechnungspunkte wird die Qualität der Berechnungen verbessert. Es sollte darauf geachtet werden, dass sich die Abstände der Berechnungspunkte in x und Y-Richtung möglichst gering unterscheiden.
12 Hinweise für den Betrieb von Beleuchtungsanlagen
12.1 Instandhaltung
Während des Betriebes nimmt die Beleuchtungsstärke ab durch:
Unter den genannten Einflüssen hängen die Alterung und der Ausfall der Leuchtmittel von der Zahl der Betriebsstunden ab. Die anderen Einflüsse sind unabhängig von der Zahl der Betriebsstunden der Anlage; ihre Größe hängt von der Art und dem Grad des Staubanfalls ab, der z.B. in normalen Büroräumen gering, in Holzwerkstätten dagegen sehr groß ist. Somit können sich in normalen Büroräumen lange Wartungsfristen, in Holzwerkstätten dagegen kurze Wartungsfristen ergeben.
Zur Instandhaltung einer Beleuchtungsanlage gehören folgende Arbeiten:
Ein zu niedriges Beleuchtungsniveau infolge zu geringer Reflexionsgrade durch stark verschmutzte Decken und Wände kann durch Renovierung der Räume angehoben werden. Renovierungsintervalle können den Wartungsplänen gemäß DIN EN 12464-1 Pkt. 8.6 [ 23] entnommen werden, soweit diese bei Bestandsanlagen bereits vorhanden sind.
Wenn davon ausgegangen wird, dass die Beleuchtung nach wirtschaftlichen Gesichtspunkten wiederverwendet werden kann, sollen die Leuchten bei einer Renovierung demontiert, sicher verpackt, eingelagert und nach den Instandhaltungsarbeiten wieder entpackt und fachgerecht montiert werden. Im Anschluss von Renovierungs- und Instandhaltungsarbeiten wird empfohlen, die Wirkung der Beleuchtungsanlage zu messen und zu dokumentieren. Dies ist ggf. dem Ausschreibungstext hinzuzufügen.
12.2 Entsorgung von Leuchtmitteln und Leuchten
Die nutzende Verwaltung ist darauf hinzuweisen, dass Leuchtstofflampen und auch andere Entladungslampen, die u. a. Quecksilber enthalten sowie LED-Lampen, ordnungsgemäß entsorgt werden müssen. Die Entsorgung erfolgt gemäß " Elektro- und Elektronikgerätegesetz" [ 40] über spezielle Annahmestellen, die von den öffentlich-rechtlichen Entsorgungsträgern (z.B. Fuhramt, Reinigungsamt) vorgehalten werden. Die Annahme der Leuchtmittel erfolgt dort kostenfrei.
Es empfiehlt sich, die Entsorgung zusammen mit der Ersatzbeschaffung auszuschreiben und von der Lieferfirma einen entsprechenden Nachweis über die stoffgerechte Verwertung bzw. Entsorgung der Leuchtmittel zu verlangen.
12.3 Änderung der Raumnutzung
Bei Änderung der Arbeitsplatzanordnung, der Raumausstattung oder der Nutzung muss geprüft werden, ob die Zuordnung der Beleuchtung zum Arbeitsplatz bzw. allgemein die Anordnung der Beleuchtung noch den Anforderungen entspricht. Wird das nicht beachtet, können Arbeitsdurchführung und Arbeitsleistung nachteilig beeinflusst werden. Diese Prüfung ist auch dann erforderlich, wenn der Raum einen anderen Verwendungszweck erhält (aufgrund der Anforderungen in DIN EN 12464-1 Anhang 15, 15.1). In diesem Fall ist die Beleuchtungsberechnung neu durchzuführen und die Beleuchtungsanlage gegebenenfalls anzupassen.
13 Glossar
Räumlicher Bereich, in dem die Arbeitsaufgabe verrichtet wird.
Arbeitsbereich "Besprechung"
Dieser Arbeitsbereich setzt sich zusammen aus:
Arbeitsbereich "Bildschirm- und Büroarbeit"
Dieser Arbeitsbereich setzt sich zusammen aus:
Winkel zwischen der Senkrechten und dem aus einer Leuchte austretenden Lichtstrom.
Die Beleuchtungsstärke ist der Quotient aus dem auf eine Fläche auftreffende LichtstromΦ und der Größe dieser FlächeA. FormelzeichenE, Einheit Lux (lx), BerechnungsgleichungE =Φ /A
| Ez = 1/4 *(Ev1 +Ev2 +Ev3 +Ev4) | [ 7] |
Betriebswirkungsgrad einer Leuchte unter Berücksichtigung der Umgebung (Raumgröße, -proportionen, Reflexionsgrade der Raumbegrenzungsflächen).
Die Benutzerfläche schließt direkt an der Arbeitsfläche an. Sie ist so bemessen, dass die natürlichen Bewegungsabläufe des Menschen nicht behindert werden und für wechselnde Körperhaltungen (Sitzen und Stehen) sowie für dynamisches Sitzen (Wechsel zwischen vorgeneigter, mittlerer und zurück geneigter Sitzposition) ausreichend Platz vorhanden ist.
Bezugsebene für den Wartungswert
Die Bezugsebene für den Wartungswert entspricht der Nutzebene. Diese liegt im Allgemeinen auf einer Höhe von 0,85 m und bei überwiegend sitzender Tätigkeit (z.B. Büroarbeitsplätze) bei 0,75 m. Bei Verkehrswegen liegt die Bezugsebene gemäß DIN EN 12464-1 auf dem Boden, gemäß ASR A3.4 bis 0,2 m über dem Boden.
Bildschirm- und Büroarbeitsplatz
Unter Blendung versteht man Störungen durch zu hohe Leuchtdichten und/oder zu große Leuchtdichteunterschiede im Gesichtsfeld.
Digital Addressable Lighting Interface
Firmenübergreifendes Schnittstellenprotokoll für die digitale Kommunikation zwischen elektronischen Betriebsgeräten in der Lichttechnik.
Deutsche gesetzliche Unfallversicherung:
Berufsgenossenschaftliche Vorschriften, (www.dguv.de) verbindliche Sicherheitsanforderungen an Arbeitsmittel und -verfahren.
Vorrichtung zum stufenlosen Steuern des Lichtstroms einer Lichtquelle. Je nach Art der Lichtquelle sowie ggf. des Betriebsgerätes werden unterschiedliche Dimmer benötigt.
Downlights sind kompakte runde oder quadratische Deckeneinbau-, Deckenanbau- oder Pendelleuchten mit rein direkter, mehr oder minder engstrahlender Lichtverteilung. Ihre Lichtstärkeverteilungen sind meist rotationssymmetrisch, bei Wandflutern asymmetrisch.
Wirkung einer Lichtquelle auf den Farbeindruck eines Objektes, das mit dieser Lichtquelle beleuchtet wird, im bewussten oder unbewussten Vergleich zum Farbeindruck dieses mit einer Referenzlichtquelle beleuchteten Objektes. Die Farbwiedergabeeigenschaften von Lampen und somit der Grad der Farbverfälschung gegenüber der Referenzlichtquelle werden durch den allgemeinen FarbwiedergabeindexRa gekennzeichnet.
| - | 100>Ra> 90 | sehr gute Farbwiedergabe |
| - | 90 >Ra> 80 | gute Farbwiedergabe |
Die empfundene Farbe eines Objektes ergibt sich durch das Zusammenwirken der spektralen Zusammensetzung des beleuchtenden Lichtes, des spektralen Reflexionsverhaltens des beleuchteten Objektes und des beobachtenden Sehorgans. Hieraus erklärt sich u. a. die unterschiedliche Farbe eines Objektes bei Beleuchtung mit verschiedenen Lichtquellen.
Wahrnehmung einer raschen zeitlichen, meist periodischen Schwankung der Helligkeit.
Güteklasse der Entspiegelung
Einteilung der Bildschirme in Güteklassen in Abhängigkeit von der visuellen Störwirkung durch:
In den internationalen und nationalen Normen werden die "Güteklassen der Entspiegelung" als "Bildschirmklassen" bezeichnet.
Bussystem für die intelligente Vernetzung der Elektroinstallation in Gebäuden.
Lampe (Leuchtmittel, Lichtquelle)
Ist eine künstliche Lichtquelle, die der Umwandlung von elektrischer Energie in sichtbare Strahlung dient.
Gerät zur Verteilung des Lichts von Lampen einschließlich der zur Befestigung, zum Schutz und zur Energieversorgung der Lampen notwendigen Bestandteile.
Der Leuchtenbetriebswirkungsgrad (ηLB) ist ein für Leuchten spezifischer Wert. Er wird aus dem Verhältnis des unter Betriebsbedingungen aus einer Leuchte austretenden Lichtstroms (ΦLe) zum Lichtstrom (ΦLa) des verwendeten Leuchtmittels ermittelt. Der Leuchtenbetriebswirkungsgrad ist in den technischen Datenblättern der Leuchtenhersteller aufgeführt. Bei LED-Leuchten istηLB üblicherweise 1, da die Lampe in die Leuchte fest eingebaut ist.
Die Lichtausbeute ist der Quotient aus dem von einer Lampe abgegebenen LichtstromΦ in Lumen und der von der Lampe aufgenommenen LeistungP in Watt ohne Berücksichtigung eines eventuell notwendigen Betriebsgeräts (z.B. Treiber).
Farbeindruck einer Lichtquelle (z.B. Lampe, Tageslicht). Die Lichtfarbe von Tageslicht und Lampen wird durch die ähnlichste Farbtemperatur in Kelvin (K) gekennzeichnet.
Abstand zwischen der Nutzebene und der lichtabstrahlenden Fläche einer Leuchte (Lichtaustrittsfläche).
Die Lichtstärke ist der Quotient aus dem durch einen Raumwinkel ausgestrahlten LichtstromΦ und der Größe dieses Raumwinkels Die Lichtstärke wird zur Kennzeichnung der räumlichen Lichtstromverteilung von Lampen bzw. Leuchten verwendet.
Lichtstärkeverteilungskurve (LVK)
Die Lichtstärkeverteilungskurve (LVK) gibt die Lichtstärken - in einer durch die Lichtquelle gelegten Ebene - in Abhängigkeit vom Ausstrahlungswinkel γ an. Die LVK für Reflektorlampen wird im Allgemeinen in cd, die LVK für Leuchten in cd/klm (1 klm = 1.000 lm) angegeben. Bei Leuchten für die Innenraumbeleuchtung wird die LVK in Polarkoordinaten dargestellt. Bei rotationssymmetrischen Lichtverteilungen wird nur eine LVK, bei anderen Lichtverteilungen werden zwei LVK, meist in den Ebenen quer und parallel zur Lampenlängsachse, angegeben.
Der Lichtstrom ist die von einer Strahlungsquelle, z.B. von einer Lampe, ausgestrahlte - vom Auge entsprechend der Hellempfindlichkeit V (γ) bewertete - Strahlungsleistung.
FormelzeichenΦ, Einheit Lumen (lm)
Die Lichtströme von Lampen sind in den Dokumentationsunterlagen der Lampenhersteller angegeben.
Die Lichtstromverteilung einer Leuchte wird durch die Anteile des Lichtstroms gekennzeichnet, z.B.: 70/30:
70 % des Lichtstroms der Leuchte werden Richtung Nutzebene abgegeben, 30 % des Lichtstroms der Leuchte werden Richtung Decke abgegeben.
Quotient des von einer Fläche reflektierten Lichtstroms zu dem auf die Fläche auftreffenden Lichtstrom. Der Reflexionsgrad kann näherungsweise mit Reflexionsgradtafeln ermittelt werden.
Die Systemlichtausbeute ist bei Leuchten der Quotient aus dem von einer Leuchte abgegebenen LichtstromΦ in Lumen und der von der Leuchte aufgenommenen LeistungP in Watt unter Berücksichtigung eines eventuell notwendigen Vorschaltgeräts. Die Systemlichtausbeute bestimmt neben dem Leuchtenbetriebswirkungsgrad wesentlich die Wirtschaftlichkeit von Leuchten.
Räumlicher Bereich, der sich direkt an einen oder mehrere Arbeitsbereiche anschließt und bis an die Raumwände reicht.
UGR-Verfahren (Unified Glare Rating)
Vereinheitlichtes Blendungsbewertungsverfahren. Verfahren zur Bewertung der Begrenzung der Direktblendung der künstlichen Beleuchtung in Innenräumen. Literatur LiTG-Publikation Nr. 20: Das UGR-Verfahren zur Bewertung der Direktblendung der künstlichen Beleuchtung in Innenräumen.
Wartungswert der Beleuchtungsstärke
Wert, unter den die mittlere Beleuchtungsstärke auf einer bestimmten Fläche nicht sinken darf.
Zum Zeitpunkt der Unterschreitung ist eine Wartung durchzuführen.
14 Quellen
| 1 | Arbeitskreis Maschinen- und Elektrotechnik staatlicher und kommunaler Verwaltungen (AMEV): Hinweise für Planung Ausführung und Betrieb der Gebäudeautomation in öffentlichen Gebäuden (Gebäudeautomation 2019) |
| 2 | Arbeitskreis Maschinen- und Elektrotechnik staatlicher und kommunaler Verwaltungen (AMEV): Hinweise zur Ausführung von Ersatzstromversorgungsanlagen in öffentlichen Gebäuden ( Ersatzstrom) |
| 3 | ASR A1.3 Ausgabe Februar 2013 (GMBl 2013, S. 334, zuletzt geändert GMBl 2022 Seite 242) Technische Regeln für Arbeitsstätten; Sicherheits- und Gesundheitsschutzkennzeichnung |
| 4 | ASR A2.3 Neufassung von März 2022 ersetzt die Ausgabe August 2007 (GMBI 2007, S. 902), Technische Regeln für Arbeitsstätten; Fluchtwege und Notausgänge, Flucht- und Rettungsplan |
| 5 | ASR A3.4 Ausgabe Mai 2023 (GMBI 2023, S.679, Neufassung) Technische Regeln für Arbeitsstätten; Beleuchtung und Sichtverbindung |
| 6 | Ausgabe April 2011 zuletzt geändert GMBl 2022, S. 248 Technische Regeln für Arbeitsstätten; Beleuchtung |
| 7 | Delegierte Verordnung (EU) 2019/2015 der Kommission vom 11. März 2019 zur Ergänzung der Verordnung (EU) 2017/1369 des Europäischen Parlaments und des Rates in Bezug auf die Energieverbrauchskennzeichnung von Lichtquellen und zur Aufhebung der Delegierten Verordnung (EU) Nr. 874/2012 der Kommission (Text von Bedeutung für den EWR)Text von Bedeutung für den EWR |
| 8 | 2021/340 ist eine Ergänzung zur 2019/2015 |
| 9 | DGUV Information 215-410 (bisher BGI 650) Bildschirm- und Büroarbeitsplätze - Leitfaden für die Gestaltung, aktuell Ausgabe Juli 2019, VBG-Fachinformation, Verwaltungsberufsgenossenschaft Hamburg |
| 10 | DGUV Information 215-442 (bisher BGI 856) Beleuchtung im Büro - Hilfen für die Planung der künstlichen Beleuchtung in Büroräumen, Ausgabe Juli 2020 Schriftenreihe Prävention, Deutsche Gesetzliche Unfallversicherung Berlin |
| 11 | DGUV Information 215-444 (bisher BGI 827 (SP 2.5)) Sonnenschutz im Büro - Hilfen für die Auswahl von geeigneten Blend- und Wärmeschutzvorrichtungen an Bildschirm- und Büroarbeitsplätzen, Ausgabe März 2022, Schriftenreihe Prävention, Deutsche Gesetzliche Unfallversicherung Berlin |
| 12 | DGUV- Vorschrift 3 Elektrische Anlagen und Betriebsmittel, Unfallverhütungsvorschrift vom Dezember 1978 in der Fassung vom Januar 1997 mit Durchführungsanweisung vom Oktober 1999 in der Fassung vom Januar 2005, Deutsche Gesetzliche Unfallversicherung Berlin |
| 13 | DIN 4844-1:2012-06 Graphische Symbole - Sicherheitsfarben und Sicherheitszeichen - Teil 1: Erkennungsweiten und farb- und photometrische Anforderungen |
| 14 | DIN 4844-2:2021-11 Graphische Symbole - Sicherheitsfarben und Sicherheitszeichen - Teil 2: Registrierte Sicherheitszeichen |
| 15 | DIN 5035-3:2006-07 Beleuchtung mit künstlichem Licht - Teil 3: Beleuchtung im Gesundheitswesen |
| 16 | DIN 5035-6: 006-11 Beleuchtung mit künstlichem Licht - Teil 6: Messung und Bewertung |
| 17 | DIN 5035-8:2007-07 Beleuchtung mit künstlichem Licht - Teil 8: Spezielle Anforderungen zur Einzelplatzbeleuchtung in Büroräumen und büroähnlichen Räumen |
| 18 | DIN 6280-13:1994-12 Stromerzeugungsaggregate mit Hubkolben-Verbrennungsmotoren - Teil 13: Für Sicherheitsstromversorgung in Krankenhäusern und in baulichen Anlagen für Menschenansammlungen |
| 19 | DIN 18032-3:2018-11 Sporthallen - Hallen für Turnen und Spielen und Mehrzwecknutzung - Teil 3: Prüfung der Ballwurfsicherheit |
| 20 | DIN 31051:2019-06 Grundlagen der Instandhaltung |
| 21 | DIN EN 1838:2019-11 Angewandte Lichttechnik - Notbeleuchtung |
| 22 | DIN EN 12193:2019-07 Licht und Beleuchtung - Sportstättenbeleuchtung |
| 23 | DIN EN 12464-1:2021-11 Licht und Beleuchtung - Beleuchtung von Arbeitsstätten - Teil 1: Arbeitsstätten in Innenräumen; Deutsche Fassung EN 12464-1:2021-11 |
| 24 | DIN EN 12464-2:2014-05 Licht und Beleuchtung - Beleuchtung von Arbeitsstätten - Teil 2: Arbeitsplätze im Freien |
| 25 | DIN EN 12665:2018-08 Licht und Beleuchtung - Grundlegende Begriffe und Kriterien für die Festlegung von Anforderungen an die Beleuchtung |
| 26 | DIN EN 50110-1:2014-02 (VDE 0105-1) Betrieb von elektrischen Anlagen |
| 27 | DIN EN 50172:2018-12 (VDE 0108 Teil 100), Sicherheitsbeleuchtungsanlagen |
| 28 | DIN EN 50174-2:2018-10 (VDE 0800-174-2) Informationstechnik - Installation von Kommunikationsverkabelung - Teil 2: Installationsplanung und Installationspraktiken in Gebäuden |
| 29 | DIN EN IEC 62485-2:2019-04 (VDE 0510-485-2) Sicherheitsanforderungen an Sekundär-Batterien und Batterieanlagen |
| 30 | DIN EN 55015:2020-07 (VDE 0875-15-1) Grenzwerte und Messverfahren für Funkstörungen von elektrischen Beleuchtungseinrichtungen und ähnlichen Elektrogeräten |
| 31 | DIN EN 60598-1:2022-03 (VDE 0711-1) Leuchten - Teil 1: Allgemeine Anforderungen und Prüfungen (IEC 60598-1:2020) |
| 32 | DIN EN 60598-2-22:2020-12 (VDE 0711-2-22), Leuchten - Teil 2-22: Besondere Anforderungen - Leuchten für Notbeleuchtung |
| 33 | DIN EN ISO 11197:2020-05 (VDE 0750-211:2020-05) Medizinische Versorgungseinheiten (MVE) |
| 34 | DIN V 18599-4:2018-09 Energetische Bewertung von Gebäuden - Berechnung des Nutz-, End- und Primärenergiebedarfs für Heizung, Kühlung, Lüftung, Trinkwarmwasser und Beleuchtung - Teil 4: Nutz- und Endenergiebedarf für Beleuchtung |
| 35 | DIN V 18599 Teile 1 bis 11 Energetische Bewertung von Gebäuden - Berechnung des Nutz-, End- und Primärenergiebedarfs für Heizung, Kühlung, Lüftung, Trinkwarmwasser und Beleuchtung |
| 36 | DIN VDE 0100-559:2014-02 Errichten von Niederspannungsanlagen - Teil 5-559: Auswahl und Errichtung elektrischer Betriebsmittel - Andere elektrische Betriebsmittel - Leuchten und Beleuchtungsanlagen |
| 37 | DIN VDE 0100-718:2014-06 Errichten von Niederspannungsanlagen |
| 38 | DIN VDE 0710-13:1981-05 Leuchten mit Betriebsspannungen unter 1000 V; Ballwurfsichere Leuchten |
| 39 | Erste Verordnung zum Produktsicherheitsgesetz (Verordnung über das Inverkehrbringen elektrischer Betriebsmittel zur Verwendung innerhalb bestimmter Spannungsgrenzen - 1. GPSGV) vom 11. Juni 1979 (BGBl. I S. 629), Neufassung vom 17. März 2016, zuletzt geändert durch Artikel 20 G der Verordnung vom 27. Juli 2021 (BGBl. I S. 3146, 3173) http://www.gesetze-im-internet.de/prodsg2011v1/1.ProdSV.pdf |
| 40 | Gesetz über das Inverkehrbringen, die Rücknahme und die umweltfreundliche Entsorgung von Elektro- und Elektronikgeräten (Elektro- und Elektronikgerätegesetz- ElektroG) vom 16. März 2005 (BGBl I S. 762), Letzte Ausfertigung vom 20.10.2015, zuletzt geändert durch Artikel 23 G des Gesetzes vom 10. August 2021 (BGBl. I S. 3436) https://www.gesetze-im-internet.de/elektrog 2015/ElektroG.pdf |
| 41 | Gesetz über die Durchführung von Maßnahmen des Arbeitsschutzes zur Verbesserung der Sicherheit und des Gesundheitsschutzes der Beschäftigten bei der Arbeit ( Arbeitsschutzgesetz - ArbSchG) vom 07. August 1996 (BGBl. I S. 1246) zuletzt geändert durch Artikel 6k des Gesetzes vom 16. September 2022 (BGBl. I S. 1454). https://www.gesetze-im-internet.de/arbschg/ArbSchG.pdf |
| 42 | Gesetz über die umweltgerechte Gestaltung energiebetriebener Produkte (Energiebetriebene-Produkte-Gesetz - EBPG) vom 27. Februar 2008 (BGBl. I S. 258). Geändert durch Gesetz zur Änderung des Energiebetriebene-Produkte-Gesetzes vom 16. November 2011 zuletzt geändert Artikel 260 der Verordnung vom 19. Juni 2020 (BGBl. I S. 1328). Es hat damit den neuen Titel "Gesetz über die umweltgerechte Gestaltung energieverbrauchsrelevanter Produkte ( Energieverbrauchsrelevante-Produkte-Gesetz - EVPG)". http://www.gesetze-im-internet.de/ebpg/EVPG.pdf |
| 43 | Leitlinien zur Arbeitsstättenverordnung - LV 40 - in der Fassung vom August 2020, Länderausschuss für Arbeitsschutz und Sicherheitstechnik (LASI) https://lasi-info.com/uploads/media/ LV 40 Leitlinien zur Arbeisstaettenverordnung.pdf |
| 44 | Richtlinie 92/58/EWG des Rates über Mindestvorschriften für die Sicherheits- und/oder Gesundheitsschutzkennzeichnung am Arbeitsplatz (Neunte Einzelrichtlinie im Sinne von Artikel 16 Absatz 1 der Richtlinie 89/391/EWG) vom 24. Juni 1992 (ABl. EU Nr. L 245 S. 23), zuletzt geändert durch Richtlinie 2014/27/EU vom 26. Februar 2014 (ABl. Nr. L 65, S. 1), in Kraft getreten am 25. März 2014, geänderte Fassung vom 26.07.2019 |
| 45 | Richtlinie 2006/95/EG (Niederspannungsrichtlinie) des europäischen Parlaments und des Rates vom 12. Dezember 2006 zur Angleichung der Rechtsvorschriften der Mitgliedstaaten betreffend elektrische Betriebsmittel zur Verwendung innerhalb bestimmter Spannungsgrenzen, nicht mehr in Kraft, ersetzt durch Richtlinie 2014/35/EU |
| 46 | Richtlinie 2009/125/EG des europäischen Parlaments und des Rates vom 21. Oktober 2009 zur Schaffung eines Rahmens für die Festlegung von Anforderungen an die umweltgerechte Gestaltung energieverbrauchsrelevanter Produkte (Neufassung); Amtsblatt der Europäischen Union Nr. L 285 vom 31.10.2009 S. 10 - 35 |
| 47 | Richtlinie 2010/30/EU des Europäischen Parlaments und des Rates vom 19. Mai 2010 über die Angabe des Verbrauchs an Energie und anderen Ressourcen durch energieverbrauchsrelevante Produkte mittels einheitlicher Etiketten und Produktinformationen; Amtsblatt der Europäischen Union L 153/1 - L 153/12 vom 18. Juni 2010, nicht mehr in Kraft, ersetzt durch Verordnung (EU) 2017/1369 |
| 48 | Richtlinie 2014/35/EU (Niederspannungsrichtlinie) des europäischen Parlaments und des Rates vom 26. Februar 2014 zur Harmonisierung der Rechtsvorschriften der Mitgliedstaaten über die Bereitstellung elektrischer Betriebsmittel zur Verwendung innerhalb bestimmter Spannungsgrenzen auf dem Markt; Amtsblatt der Europäischen Union Nr. L 96 vom 29.03.2014 S. 357 - 373 Hinweis: Die neue 2014/35/EU ist zwingend ab 20. April 2016 anzuwenden, es empfiehlt sich aber, ab sofort in allen neuen Verfahren diese neue Richtlinie zu berücksichtigen. Die 2014/35/EU ist Nachfolger der 2006/95/EG. |
| 49 | VDI 3814 Blatt 1 - 3 und 5 - 6 Gebäudeautomation (GA) |
| 50 | Verordnung (EG) Nr. 244/2009 der Kommission vom 18. März 2009 zur Durchführung der Richtlinie 2005/32/EG des Europäischen Parlaments und des Rates im Hinblick auf die Festlegung von Anforderungen an die umweltgerechte Gestaltung von Haushaltslampen mit ungebündeltem Licht; Amtsblatt der Europäischen Union L 76 vom 24.03.2009 S. 3 16. Geändert durch Verordnung (EG) Nr. 859/2009 vom 18. September 2009. Berichtigung durch ABl. L 288 vom 4. November 2009, S. 40 (244/2009), nicht mehr in Kraft, ersetzt durch Verordnung (EU) 2019/2020 |
| 51 | Verordnung (EG) Nr. 245/2009 der Kommission vom 18. März 2009 zur Durchführung der Richtlinie 2005/32/EG des Europäischen Parlaments und des Rates im Hinblick auf die Festlegung von Anforderungen an die umweltgerechte Gestaltung von Leuchtstofflampen ohne eingebautes Vorschaltgerät, Hochdruckentladungslampen sowie Vorschaltgeräte und Leuchten zu ihrem Betrieb und zur Aufhebung der Richtlinie 000/55/EG des Europäischen Parlaments und des Rates; Amtsblatt der Europäischen Union L 76 vom 24.03.2009 S. 17 - 44, nicht mehr in Kraft, ersetzt durch Verordnung (EU) 2019/2020 |
| 52 | Verordnung (EG) Nr. 859/2009 der Kommission vom 18. September 2009 zur Änderung der Verordnung (EG) Nr. 244/2009 [ 50] hinsichtlich der Anforderungen an die Ultraviolettstrahlung von Haushaltslampen mit ungebündeltem Licht; Amtsblatt der Europäischen Union L 247 vom 19.09.2009 S. 3 - 5, nicht mehr in Kraft, ersetzt durch Verordnung (EU) 2019/2020 |
| 53 | Verordnung (EU) 1194/2012 der Kommission vom 12. Dezember 2012 zur Durchführung der Richtlinie 2009/125/EG [ 46] des Europäischen Parlaments und des Rates im Hinblick auf die Anforderungen an die umweltgerechte Gestaltung von Lampen mit gebündeltem Licht, LED-Lampen und dazugehörigen Geräten; Amtsblatt der Europäischen Union L 342/1 - L 342/22 vom 14. Dezember 2012, nicht mehr in Kraft, ersetzt durch Verordnung (EU) 2019/2020 |
| 54 | Verordnung 347/2010 der Kommission vom 21. April 2010 zur Änderung der Verordnung (EG) Nr. 245/2009 [ 51] der Kommission in Bezug auf die Anforderungen an die umweltgerechte Gestaltung von Leuchtstofflampen ohne eingebautes Vorschaltgerät, Hochdruckentladungslampen sowie Vorschaltgeräte und Leuchten zu ihrem Betrieb; Amtsblatt der Europäischen Union L 104 vom 24.04.2010 S. 20 - 28, nicht mehr in Kraft, ersetzt durch Verordnung (EU) 2019/2020 |
| 55 | Verordnung über Arbeitsstätten ( Arbeitsstättenverordnung - ArbStättV) vom 12. August 2004 (BGBl. I S. 2179) zuletzt geändert durch Artikel 4 der Verordnung vom 22. Dezember 2020 (BGBl. S 3334). |
| 56 | Verordnung über energiesparenden Wärmeschutz und energiesparende Anlagentechnik bei Gebäuden ( Energieeinsparverordnung - EnEV), Ersetzt durch Gesetz zur Einsparung von Energie und zur Nutzung erneuerbarer Energien zur Wärme- und Kälteerzeugung in Gebäuden ( Gebäudeenergiegesetz - GEG) vom 8. August 2020 (BGBl. I S. 1728), zuletzt geändert in Artikel 18a G vom 20. Juli 2022 http://www.gesetze-im-internet.de/geg/GEG.pdf |
| 57 | ZVEI: Ausgabe 2014, Informationen zum Dimmen von LED-Lichtquellen |
| 58 | Gesetz zur Einsparung von Energie in Gebäuden (Energieeinsparungsgesetz - EnEG) Ersetzt durch Gesetz zur Einsparung von Energie und zur Nutzung erneuerbarer Energien zur Wärme- und Kälteerzeugung in Gebäuden ( Gebäudeenergiegesetz - GEG) vom 8. August 2020 (BGBl. I S. 1728), zuletzt geändert in Artikel 18a G vom 20. Juli 2022 http://www.gesetze-im-internet.de/geg/GEG.pdf |
| 59 | Normreihe DIN EN 13032 Licht und Beleuchtung - Messung und Darstellung photometrischer Daten von Lampen und Leuchten, Teil 1 - 5 |
| 60 | Verordnung 2019/2020 vom 1. Oktober 2019 zur Festlegung von Ökodesign-Anforderungen an Lichtquellen und separate Betriebsgeräte https://eur-lex.europa.eu/legal-content/DE/TXT/PDF/?uri=CELEX:32019R2020&from=DE |
| 61 | 2021/341 als Ergänzung zur EU-Verordnung 2019/2020 |
| 62 | Richtlinie 34/2014/EU zur Harmonisierung der Rechtsvorschriften der Mitgliedstaaten für Geräte und Schutzsysteme zur bestimmungsgemäßen Verwendung in explosionsgefährdeten Bereichen https://ibexu.de/wp-content/uploads/2016/08/RL201434EU140329.pdf |
| 63 | Richtlinie 65/2011/EU zur Beschränkung der Verwendung bestimmter gefährlicher Stoffe in Elektro- und Elektronikgeräten https://eur-lex.europa.eu/LexUriServ/LexUriServ.do?uri=OJ:L:2011:174:0088:0110:DE:PDF |
| 64 | ZVEI - Lampenbezeichnungssystem (LBS) https://de.wikipedia.org/wiki/Lampenbezeichnungssystem |
| 65 | ZVEI - Temporal Light Artefacts (TLA) https://www.zvei.org/fileadmin/user_upload/Presse_und_Medien/Publikationen/2017/Maerz/ZVEI_Info_Tempororal_Light_Artefacts_2017_03_01/ZVEI-Info-Tempororal_ Light_Artefacts-2017-03-01.pdf |
| 66 | Informationsschrift des ZVEI "Ökodesign, Energieverbrauchskennzeichnung, EPRL-Datenbank" https://www.zvei.org/fileadmin/user upload/Presse_und_Medien/Publikationen/2020/August/Licht_Oekodesign-Energieverbrauchskennzeichnung-EPREL/ZVEI_IB_Oekodesign_Energieverbrauchskennzeichnung_EPREL-Datenbank_Download_NEU.pdf |
| 67 | Richtlinie 2011/65/EU zur Beschränkung der Verwendung bestimmter gefährlicher Stoffe in Elektro- und Elektronikgeräten https://eur-lex.europa.eu/LexUriServ/LexUriServ.do?uri=OJ:L:2011:174:0088:0110:DE:PDF |
| 68 | CIE 117-1995 - Discomfort glare in interior lighting Description The Unified Glare Rating (UGR) |
| 69 | Verordnung 2017/1369 zur Festlegung eines Rahmens für die Energieverbrauchskennzeichnung und zur Aufhebung der Richtlinie 2010/30/EU |
| 70 | BNB Steckbrief 3.1.5 - Visueller Komfort, BNB-Systemvariante Bürogebäude |
| 71 | DIN EN 62034 - Instandhaltung von Notbeleuchtungseinrichtungen, Gestaltung, Konstruktion und Installation von Prüfeinrichtungen |
| 72 | ETAP Lighting, Dossier LED Wissenswertes über die LED-Technologie |
| 73 | LED Guide, Trilux, Arnsberg |
15 Anhang
15.1 Tabellen über Beleuchtungsanforderungen für Aufgaben und Tätigkeitsbereiche, Raum- und Flächenhelligkeit
Auszüge aus DIN EN 12464-1: 2021-11, Abschnitt 7.3 Tabellen 9 - 61.
Die in der Tabelle genannten Abschnittsnummern beziehen sich auf DIN EN 12464-1.
Entsprechend dem Nationalen Vorwort der DIN EN 12464-1 sind bei Abweichungen beiEm,U0 undRa zur ASR bzw. DGUV (in der folgenden Tabelle dunkelgrau hinterlegt) die höherwertigen Werte zu verwenden. Siehe zugehörige Fußnote.
| Gestaltung des Bereichs der Sehaufgabe oder Tätigkeit | Anforderungen an die Gestaltung des Raumes oder Raumbereichs | |||||||||
| Anforderungen an die Aufgabe oder Tätigkeit | siehe 5.6.2 | Helligkeit der Räume (5.2.2/5.2.3) | ||||||||
| Ref. Nr. |
Bereich der Sehaufgabe/Tätigkeit | ` Em lx |
Uo |
Ra |
RUGL | ` Em,z lx |
` Em,Wand lx |
` Em,Decke lx |
Spezifische Anforderungen | |
| Erfor derlich |
Modifi ziert |
U0 > 0,1 | ||||||||
| 9 | Verkehrszonen in Gebäuden | |||||||||
| 9.1 | Korridore und Verkehrsflächen | 100 | 150 | 0,40 | 40 | 28 | 50 | 50 | 30 | Beleuchtungsstärke auf dem Boden Ra undRUGL ähnlich zu angrenzenden Gebieten. Weitere Anmerkungen siehe DIN EN. |
| 9.2 | Treppen, Rolltreppen, Laufbänder | 100 | 150 | 0,40 | 40 | 25 | 50 | 50 | 30 | Beleuchtungsstärke auf Bodenhöhe. Erfordert einen erhöhten Kontrast an der vorderen Kante der Stufen. |
| 9.3 | Aufzüge, Fahrstühle | 100 | 150 | 0,40 | 40 | 25 | 50 | 50 | 30 | Beleuchtungsstärke auf Bodenhöhe. |
| 9.4 | Bereich vor dem Lift, Aufzug, Rolltreppe | 200 | 300 | 0,40 | 40 | 25 | 75 | 75 | 50 | Bereich bis zu 1 m vor Lift, Aufzug, Rolltreppen. Beleuchtungsstärke auf Bodenhöhe |
| 9.6 | Gebäudeeingang mit Vordach | 30 | 50 | 0,40 | - | - | - | - | - | |
| 10 | Allgem. Bereiche - Pausen-, Sanitär- und Erste-Hilfe-Räume | |||||||||
| 10.1 | Kantinen und Pausenbereiche | 200 | 500 | 0,40 | 80 | 22 | 75 | 75 | 50 | |
| 10.2 | Pausenräume | 100 12) | 200 | 0,40 | 80 | 22 | 50 | 50 | 30 | |
| 10.4 | Garderobe (Bereich), Waschräume, Badezimmer, Ankleide-, Schließfach-, Dusch-, Wasch- und Toilettenbereiche | 200 | 300 | 0,40 | 80 | 25 | 75 | 75 | 50 | In jeder einzelnen Toilette, wenn diese vollständig geschlossen sind. |
| 10.7 | Räume für ärztliche Behandlungen | 500 | 1000 | 0,60 | 90 | 19 | 150 | 150 | 100 | 4.000 K dTCP d 5.000 K |
| 10.8 | Allgemeine Reinigung | 100 | 150 | 0,40 | - | - | 50 | 50 | 30 | Anwendbar, wo regelmäßige Reinigung notwendig ist. |
| 11 | Allgem. Bereiche - Kontrollräume | |||||||||
| 11.1 | Betriebsräume, Schalträume | 200 | 300 | 0,40 | 80 | 25 | 50 | 50 | 30 | |
| 11.3 | Überwachungsraum | 300 13) | 500 | 0,60 | 80 | 19 | 100 | 100 | 75 |
|
| 12 | Allgemeine Bereiche - Lagerräume, Kühlhäuser |
|||||||||
| 12.1 | Lagerräume | 100 | 150 | 0,40 | 80 | 25 | 50 | 50 | 30 | 200 lx wenn dauerhaft besetzt. |
| 12.2 | Pack- und Auslieferbereiche | 300 | 500 | 0,60 | 80 | 25 | 100 | 50 | 30 | |
| 12.3 | Vorratskammer | 200 | 300 | 0,40 | 80 | 25 | - | - | - | Ausreichende vertikale Beleuchtungsstärken müssen an Regalen verwendet werden |
| 13 | Logistik und Lager | |||||||||
| 13.1 | Entlade-/Ladebereich | 200 | 300 | 0,40 | 80 | 25 | 50 | 50 | 30 | |
| 13.4 | Offene Warenlager | 200 | 300 | 0,40 | 80 | 25 | 50 | 50 | 30 | |
| 13.6 | Regallagerung - Regalfläche | 75 | 100 | 0,40 | 80 | - | - | - | - | Im Gang der Regalfläche. Ein Band von 1,0 m darf vom Randbereich ausgeschlossen werden (siehe 5.4). |
| 34 | Büros | |||||||||
| 34.1 | Ablegen, Kopieren, usw. | 300 | 500 | 0,40 | 80 | 19 | 100 | 100 | 75 | |
| 34.2 | Schreiben, Tippen, Lesen, Datenverarbeitung | 500 | 1000 | 0,60 | 80 | 19 | 150 | 150 | 100 | Bildschirmarbeit, siehe 5.9. Raumhelligkeit, siehe 6.7 und Anhang B. Beleuchtung sollte steuerbar sein, siehe 6.2.4. Weitere Anmerkungen siehe DIN EN. |
| 34.3 | Technisches Zeichnen | 750 | 1500 | 0,70 14 | 80 | 16 | 150 | 150 | 100 | Bildschirmarbeit, siehe 5.9. Raumhelligkeit, siehe 6.7. |
| 34.4 | CAD-Arbeitsplätze | 500 | 1000 | 0,60 | 80 | 19 | 150 | 150 | 100 | Bildschirmarbeit, siehe 5.9. |
| 34.5.1 | Konferenz- und Besprechungsräume | 500 | 1000 | 0,60 | 80 | 19 | 150 | 150 | 100 | Die Beleuchtung sollte steuerbar sein, siehe 6.2.4. |
| 34.7 | Archivieren | 200 | 300 | 0,40 3) | 80 | 25 | 75 | 75 | 50 | |
| 36 | Öffentliche Bereiche - Allgemeine Bereiche |
|||||||||
| 36.1 | Eingangshallen | 100 15) | 200 | 0,40 | 80 | 22 | 50 | 50 | 30 | RUGL nur wenn anwendbar. |
| 36.2 | Garderoben | 200 | 300 | 0,40 | 80 | 25 | 75 | 75 | 50 | |
| 36.3 | Lounges | 200 | 300 | 0,40 | 80 | 22 | 75 | 75 | 50 | |
| 36.4 | Kassen | 300 16) | 500 | 0,60 | 80 | 22 | 75 | 75 | 50 | |
| 37 | Öffentliche Bereiche - Restaurants und Hotels |
|||||||||
| 37.2 | Küchen | 500 | 1000 | 0,60 | 80 | 22 | 100 | 100 | 75 | Es sollte einen Übergangsbereich zwischen Küche und Restaurant geben. |
| 37.3 | Restaurants, Speisesaal, Veranstaltungsraum | - | - | - | 80 | - | - | - | - | Die Beleuchtung sollte so gestaltet sein, dass sie die passende Atmosphäre schafft. |
| 37.4 | Selbstbedienungsrestaurant | 200 | 300 | 0,40 | 80 | 22 | 75 | 75 | 50 | |
| 37.6 | Konferenzräume | 500 | 1000 | 0,60 | 80 | 19 | 150 | 150 | 100 | Die Beleuchtung sollte steuerbar sein, siehe 6.2.4. Raumhelligkeit, siehe 6.7. |
| 41 | Öffentliche Bereiche - Bibliotheken |
|||||||||
| 41.1 | Bücherregale | 200 | 300 | 0,40 | 80 | 19 | - | - | - | Vertikale Beleuchtungsstärke an Bücherregalen. Für die Beleuchtung von Bücherregalen gilt derRUGL Wert nicht. |
| 41.2 | Lesebereich | 500 | 750 | 0,60 | 80 | 19 | 100 | 100 | 50 | Es sollte für eine angenehme Atmosphäre gesorgt werden. |
| 41.4 | Allgemeinbeleuchtung | 300 | 500 | 0,40 | 80 | 22 | 75 | 75 | 50 | |
| 43 | Bildungseinrichtungen - Kindergarten, Spielschule | |||||||||
| 43.1 | Spielzimmer | 300 | 500 | 0,40 | 80 | 22 | 100 | 100 | 75 | Hohe Leuchtdichten sollten in Blickrichtung von unten durch die Verwendung diffuser Abdeckungen vermieden werden. |
| 43.2 | Kindergarten | 300 | 500 | 0,40 | 80 | 22 | 100 | 100 | 75 | Wie Ref. Nr. 43.1 |
| 43.3 | Bastelraum | 300 | 500 | 0,60 | 80 | 19 | 100 | 100 | 75 | |
| 44 | Bildungseinrichtungen - Bildungsgebäude | |||||||||
| 44.1 | Klassenzimmer - Allgemeine Aktivitäten | 500 | 1000 | 0,60 | 80 | 19 | 150 | 150 | 100 | Beleuchtung sollte steuerbar sein, siehe 6.2.4, für unterschiedliche Aktivitäten und Lichtszenarien. Weitere Anmerkungen siehe DIN EN. |
| 44.2 | Auditorium, Hörsäle | 500 | 750 | 0,60 | 80 | 19 | 150 | 150 | 50 | Die Beleuchtung sollte für verschiedene A/V-Anforderungen steuerbar sein, siehe 6.2.4, Raumhelligkeit siehe 6.7. |
| 44.4 | Schwarze, grüne und weiße Tafeln (Whiteboard) | 500 | 750 | 0,70 | 80 | 19 | - | - | - | Vertikale Beleuchtungsstärken. Spiegelnde Reflexionen müssen vermieden werden. Der Referent/Lehrer muss mit einer geeign. vertikalen Beleuchtungsstärke beleuchtet werden |
| 44.8 | Demonstrationstisch in Hörsälen und Auditorien | 750 | 1000 | 0,70 | 80 | 19 | - | - | - | |
| 44.9 | Licht auf Lehrer/Referent | - | - | - | 80 | - | 150 | - | - | Bei 1,6 m über dem Boden. Entsprechende vertikale Beleuchtungsstärke. |
| 44.11 | Reine Computerarbeiten | 300 | 500 | 0,60 | 80 | 19 | 100 | 100 | 75 | Bildschirmarbeit, siehe 5.9, Beleuchtung sollte steuerbar sein, siehe 6.2.4, Raumhelligkeit, siehe 6.7. |
| 44.12 | Kunsträume in Kunstschulen | 750 | 1000 | 0,70 | 90 | 19 | 150 | 150 | 100 | Die Beleuchtung sollte steuerbar sein, siehe 6.2.4. Umgebungslicht sollte berücksichtigt werden, siehe Anhang B, Raumhelligkeit siehe 6.7. 4.000 K dTCP d 6.500 K. |
| 44.14 | Praxisräume und Laboratorien | 500 | 750 | 0,60 | 80 | 19 | 150 | 150 | 100 | Die Beleuchtung sollte steuerbar sein, siehe 6.2.4. Umgebungslicht sollte berücksichtigt werden, siehe Anhang B, Raumhelligkeit siehe 6.7. |
| 44.16 | Lehrwerkstatt | 500 | 750 | 0,60 | 80 | 19 | 150 | 150 | 100 | Wie Ref. Nr. 44.14. |
| 44.17 | Vorbereitungsräume und Werkstätten | 500 | 750 | 0,60 | 80 | 22 | 150 | 150 | 100 | Wie Ref. Nr. 44.14. |
| 44.18 | Eingangshallen | 200 | 300 | 0,40 | 80 | 22 | 75 | 75 | 50 | |
| 44.19 | Verkehrsflächen, Korridore | 100 | 150 | 0,40 | 80 | 25 | 50 | 50 | 30 | Horizontale Beleuchtungsstärke auf Bodenhöhe. |
| 44.20 | Treppen | 150 | 200 | 0,40 | 80 | 25 | 50 | 50 | 30 | Wie Ref. Nr. 44.19. |
| 44.22 | Lehrerzimmer | 300 | 500 | 0,60 | 80 | 19 | 100 | 100 | 50 | Für Büroarbeit siehe Tabelle 34 - Büros. |
| 44.23 | Bibliothek: Bücherregale | 200 | 300 | 0,60 | 80 | 19 | - | - | - | Vertikale Beleuchtungsstärke an Bücherregalen. Für zweckbestimmte Bücherregal-Beleuchtung gilt derRUGL -Wert nicht. |
| 44.24 | Bibliothek: Lesebereich | 500 | 750 | 0,60 | 80 | 19 | 100 | 100 | 50 | Siehe Tabelle 41 - Öffentliche Bereiche - Bibliotheken. |
| 44.25 | Lagerräume für Unterrichtsmaterialien | 100 | 150 | 0,40 | 80 | 25 | 50 | 50 | 30 | |
| 44.26 | Sporthallen, Turnhallen, Schwimm- bäder | 300 | 500 | 0,60 | 80 | 22 | 100 | 75 | 30 | Diese Anforderungen gelten nur für Schulen. Für den Einsatz außerhalb von Schulen, Training und Wettkämpfen gelten die spezifischen Anforderungen von EN 12193. |
| 44.27 | Schulkantinen | 200 | 300 | 0,40 | 80 | 22 | 75 | 75 | 50 | |
| 45 | Gesundheitseinrichtungen - Räume zur allgemeinen Nutzung | |||||||||
| 45.1 | Warteräume | 200 | 300 | 0,40 | 80 | 22 | 75 | 75 | 30 | |
| 45.2 | Korridore: tagsüber | 100 17) | 200 | 0,40 | 80 | 22 | 50 | 50 | 30 | Beleuchtungsstärke auf Bodenhöhe. |
| 45.4 | Korridore: nachts | 50 | - | 0,40 | 80 | 22 | - | - | - | Wie Ref. Nr. 45.2. |
| 48 | Gesundheitseinrichtungen - Untersuchungsräume (allgemein) | |||||||||
| 48.1 | Allgemeinbeleuchtung | 500 | 750 | 0,60 | 90 | 19 | 150 | 150 | 100 | 4.000 K <TCP < 5.000 K. |
| 48.2 | Untersuchung und Behandlung | 1000 | 1500 | 0,70 | 90 | 19 | 150 | 150 | 100 | 4.000 K <TCP < 5.000 K. |
| 54 | Gesundheitseinrichtungen - Operationsbereiche | |||||||||
| 54.1 | Vor-Op- und Aufwachräume | 500 | 750 | 0,60 | 90 | 19 | 150 | 150 | 100 | |
| 54.2 | Umgebung Operationssaal | 1000 | 1500 | 0,60 | 90 | 19 | 150 | 150 | 100 | Die Beleuchtungsstärke des Operationsbereichs sollte auf die unmittelbare Umgebung abgestimmt sein. |
| 54.3 | Operationssaal | 1000 | 1500 | 0,60 | 90 | 19 | - | - | - | |
15.2 Berechnungsverfahren
15.2.1 Wirkungsgradverfahren
Das Wirkungsgradverfahren ist ein verhältnismäßig einfaches Berechnungsverfahren. Es wird angewendet, um bei der Planung von Beleuchtungsanlagen Anhaltspunkte zu erlangen wie viele Leuchten voraussichtlich eingesetzt werden müssen. Das Verfahren dient in erster Linie der Orientierung und der Kostenveranschlagung.
Zur Berechnung des Lichtstrombedarfs und der Anzahl der Leuchten wird wie folgt vorgegangen:
Nach Vorgabe eines Wartungswertes der Beleuchtungsstärke` Em in Lux (Ix) kann die Anzahl der erforderlichen Leuchten mit folgender Gleichung ermittelt werden:
![]() |
[ 8] |
| n | = | Anzahl der Leuchten |
| MF | = | Wartungsfaktor (z.B. 0,8 bei sehr sauberen Büros) |
| ` Em | = | Wartungswert der Beleuchtungsstärke in Lux (lx) |
| A | = | Grundfläche des Raumes in m2 |
| ηB | = | Beleuchtungswirkungsgrad (s. Anhang 15.3) |
| ηL | = | Leuchtenwirkungsgrad |
| FLp | = | Nennlichtstrom der Leuchte in Lumen (Im) |
Der Wartungsfaktor berücksichtigt den im Laufe der Zeit eintretenden Beleuchtungsstärkerückgang infolge von Alterung der LED, sowie der Verschmutzung der Lampen, Leuchten und Raumoberflächen. Ihm liegt eine bedarfsgerechte Reinigung der Beleuchtungsanlage zugrunde (siehe Abschnitt 12.1). In Sonderfällen, z.B. bei Räumen mit hohem Staubanfall, ist im Allgemeinen kein kleinerer Wartungsfaktor zu verwenden, sondern die Reinigungsperiode entsprechend zu verkürzen.
Der Beleuchtungswirkungsgrad·B beinhaltet den Raumwirkungsgrad und den Leuchtenbetriebswirkungsgrad der bei LED-Leuchten jedoch immer 1 ist. Für charakteristische Leuchtenarten kann der Beleuchtungswirkungsgrad aus der Tabelle im Anhang 15.3 entnommen werden. Weiterhin muss der Raumindex "k" errechnet werden.
Der Raumindex dient zur Kennzeichnung der Raumabmessungsverhältnisse und wird wie folgt berechnet:
| k = a * b / h * (a + b) | [ 9] |
| k | = | Raumindex |
| a | = | Raumbreite (Fenster- oder Außenwand) in m |
| b | = | Raumtiefe in m |
| h | = | Höhe der Leuchten über der Nutzebene; Lichtpunkthöhe in m |
Als Nutzebene gilt die tatsächliche Arbeitshöhe, in der Regel eine horizontale Arbeitsfläche in 0,75 m Höhe. Bei Verkehrsflächen und Sportstätten wird als Nutzebene der Fußboden angenommen.
Berechnungsbeispiel (vgl. Abbildung 2):
| Raumbreite: | a = 3,60 m | |
| Raumtiefe: | b = 4,80 m | |
| Raumhöhe: | H = 2,75 m | |
| Raumgrundfläche: | a = 17,30 m2 | |
| Wartungswert der Beleuchtungsstärke | ` Em = 500 Lux | |
| Wartungsfaktor: | 0,75 | |
| Gewählte Leuchten (Deckenanbau, breitstrahlend): | ||
| LED-Leuchte mit 5.200 lm | ||
| LED-Leuchte mit 4.200 lm | ||
| Lichtpunkthöhe:h = 2,70m - 0,75m = 1,95m | ||
| Raumindex: | k = 3,6m * 4,8m / 1,95m*(3,6m + 4,8m) = 1,05 | |
| BeleuchtungswirkungsgradηB = 66 % (lt. Anhang 15.3) | ||
| Leuchtenwirkungsgrad | hL = 1 | |
| Zunächst wird der erforderliche Lichtstrom berechnet. | ||
| Erforderlicher Gesamtlichtstrom | Φ = 500 lux * 17,28 m2 / 0,75 * 0,66 * 1 = 17454 lm | |
| Aus dem ermittelten erforderlichen Gesamtlichtstrom wird hier exemplarisch die notwendige Lampenanzahl ermittelt. | ||
| Erforderliche Leuchtenanzahl: | n= 3,36 | (bei 5.200 lm je Leuchte) |
| n = 4,16 | (bei 4.200 lm je Leuchte) | |
| Gewählte Leuchtenanzahl | n = 4 | (bei 5.200 lm je Leuchte) |
Hinweis:
Bei dieser Berechnung wird nicht berücksichtigt, dass der Wartungswert der Beleuchtungsstärke nur im Bereich der Sehaufgabe benötigt wird. Daher führen Berechnungen nach der Punkt zu Punkt-Methode (siehe Abschnitt 15.2.2), wo dies berücksichtigt werden kann, häufig zu einer geringen Anzahl von Leuchten.
15.2.2 Punkt zu Punkt-Methode
Für die Ausführungsplanung sollte die Beleuchtungsberechnung nach der "Punkt zu Punkt Methode" erfolgen. Hierbei wird für festzulegende Rasterpunkte auf der x-, y- und z-Achse die dort zu erwartende Beleuchtungsstärke ermittelt. Die Mindestanzahl der Rasterpunkte für die x- und y-Achse ist in DIN EN 12464-1 festgelegt und darf nicht unterschritten werden (siehe Abschnitt 11). Es ist anzustreben, dass der Abstand der Berechnungspunkte in x- und y-Richtung möglichst gleich ist.
Bei der Berechnung werden folgende Parameter berücksichtigt:
Derartige Berechnungen sind wesentlich genauer als die der Wirkungsgradmethode. Neben der zu erwartenden mittleren Beleuchtungsstärke können auch die Extremwerte (max. und min. Beleuchtungsstärke) sowie die Gleichmäßigkeit (U0) ermittelt werden. Verschiedene Berechnungsprogramme lassen darüber hinaus die Berechnung der Direkt- und Indirektblendung im Raum sowie der zylindrischen Beleuchtungsstärke (EZ) zu. Neben einer numerischen Ergebnisausgabe sind verschiedene graphische Darstellungen wie z.B. Graustufendarstellung oder Beleuchtungsgebirge Standard.
15.3 Tabelle Beleuchtungswirkungsgrade (ηB) in %
In der bisherigen Tabelle der Beleuchtungswirkungsgrade wurden auch die Leuchtenwirkungsgrade (·B) der einzelnen Leuchtentypen berücksichtigt. Bei LED-Leuchten wird·B in der Regel mit 100 % angenommen. Werden seitens der Leuchtenhersteller abweichende Leuchtenwirkungsgrade angegeben, sind diese zu berücksichtigen. Es wurden für die wesentlichen Leuchtentypen neue Beleuchtungswirkungsgrade berechnet. Dabei ist immer ein 3,25 m hoher, quadratischer Raum angenommen worden, mit einer einzelnen Leuchte in der Raummitte und einer Lichtpunkthöhe von 2,50 m. Die Kantenlänge wurde anhand des jeweiligen k-Faktors berechnet. Die Anzahl der Berechnungspunkte wurde entsprechend DIN EN 12464-1; Pkt. 4.4 (siehe Abschnitt 11) oder größer gewählt.
Tabelle 13: Beleuchtungswirkungsgrad in Abhängigkeit vom k-Faktor
| k-Faktor | Deckenanbauleuchte, engstrahlend |
Deckenanbauleuchte, breitstrahlend |
Einbaustrahler | Pendelleuchte Direktanteil 70 % |
| 0,50 | 35 | 41 | 51 | 32 |
| 0.80 | 48 | 55 | 63 | 43 |
| 1,00 | 57 | 65 | 72 | 52 |
| 1,25 | 65 | 74 | 78 | 61 |
| 1,50 | 72 | 81 | 83 | 69 |
| 2,00 | 81 | 88 | 88 | 76 |
| 2,50 | 87 | 92 | 92 | 81 |
| 3,00 | 91 | 95 | 95 | 85 |
| 4,00 | 95 | 97 | 99 | 87 |
| 5,00 | 98 | 99 | 100 | 88 |
16 Abkürzungsverzeichnis
| AMEV | Arbeitskreis Maschinen- und Elektrotechnik staatlicher und kommunaler Verwaltungen |
| ArbSchG | Arbeits schutz gesetz |
| ASR | Arbeits stätten richtlinie |
| BGBl. | Bundes gesetz blatt |
| BGI | Berufs genossenschaftliche Informationen |
| BGR | Berufs genossenschaftliche Regeln |
| BMI | Bundes ministerium des Innern, für Bau und Heimat |
| CAD | Computer- Aided Design (rechnerunterstütztes Konstruieren) |
| CEN | Comitè Eurpeen de Normalisation Electrotechnique (Europäisches Komitee für elektrotechnische Normung) |
| CIE | Commission Internationale de lâEuro™ Eclairage (Internationale Beleuchtungskommission) |
| CRI | Colour Rendering Index (Farbwiedergabeindex) |
| DGUV | Deutsche Gesetzliche Unfall versicherung |
| DIN | Deutsches Institut für Normung e. V. |
| EBPG | Energie betriebene- Produkte- Gesetz |
| EDV | Elektronische Daten verarbeitung |
| EIB | Europäischer Installations bus |
| EN | Europäische Norm |
| EnEG | Energie einsparungs gesetz |
| EnEV | Energie einspar verordnung |
| EPREL | European Product Registry for Energy Labelling (Europäische Produktdatenbank für Energieverbrauchskennzeichnung) |
| ErP | Energy related Products (energierelevante Produkte) |
| EVPG | Energie verbrauchsrelevante- Produkte- Gesetz |
| EU | Europäische Union |
| GEG | Gebäude energie gesetz |
| 1.GPSGV | Erste Verordnung zum Geräte- und Produktsicherheits gesetz |
| GMBI | Gemeinsames Ministerial blatt |
| IEC | International Electrotechnical Commission (Internationale Elektrotechnische Kommission) |
| ISO | International Standards Organization (Internationale Organisation für Normung) |
| LASI | Länderausschuss für Arbeitsschutz und Sicherheitstechnik |
| LED | Light Emitting Diode (lichtemittierende Diode) |
| LVK | Licht verteilungs kurven |
| MVE | Medizinische Versorgungs einheiten |
| SDCM | Standard Deviation of Colour Matching (SWE Schwellenwerteinheit) |
| SLR | Single Lighting Regulation (Energie-Label-Verordnung) |
| TLA | Temporal Light Artefacts (Lichtmodulationswechselwirkung, Flimmern, Stroboskoeffekte) |
| UGR | Unified Glare Rating (Einheitliches Blendlicht Verhältnis) |
| VBG | Verwaltungs- Berufs genossenschaft |
| VDE | Verband der Elektrotechnik, Elektronik und Informationstechnik |
| VOB | Vergabe- und Vertrags ordnung für Bauleistungen |
| ZVEI | Zentral verband der Elektrotechnik- und Elektronik industrie |
| Ralf Speier Obmann |
Eigenbetrieb Immobilienmanagement Darmstadt Darmstadt |
| Latif Ayesh | Niedersächsisches Landesamt für Bau und Liegenschaften Hannover |
| Reiner Dehne | Behörde für Umwelt und Energie Freie und Hansestadt Hamburg |
| Gabriel Handke | Landesbetrieb Liegenschafts- und Baubetreuung Niederlassung Diez Diez |
| Jürgen Kroll | Ministerium für Heimat, Kommunales, Bau und Digitalisierung des Landes Nordrhein-Westfalen Düsseldorf |
| Timo Lütke-Verspohl | Oberfinanzdirektion Nordrhein-Westfalen, Bauabteilung Münster |
| Wilfried Müller | IB Wilfried Müller VDE Langenhagen |
| Pay Scharfenberg | Finanzministerium Schleswig-Holstein, Amt für Bundesbau Kiel |
| Torsten Schaft | Staatliches Bau- und Liegenschaftsamt Greifswald Greifswald |
| Benjamin Thielicke | Bundesamt für Bauwesen und Raumordnung (BBR) Berlin |
.

* Red. Anm.: gemeint ist vermutlich Tabelle 9
* Red. Anm.: gemeint ist vermutlich Tabelle 8
* Red. Anm.: Anhang 1 behandelt die Erfordernis einer Sichtverbindung und enthält keinen Punkt 26, der Link verweist deshalb auf Anhang 3
1) Bei der zylindrischen Beleuchtungsstärke ist Achse des Zylinders vertikal, wenn nicht anders angegeben.
2) Mit Stufen sind hier die Werte der in der DIN EN 12464-1 Pkt. 5.3.2 angegebenen Skala der Beleuchtungsstärke gemeint.
3) Diese Aussage gilt mit dem Zusatz, dass in den Tabellen für die Aufgaben- und Tätigkeitsbereiche der DIN EN 12464-1 (in der Spalte spezifische Anforderungen) sehr punktuell Anforderungen an die Lichtfarbe gestellt werden.
4) In der DIN 12464-1 ist festgehalten, dass in der Nähe zu Wänden die Breite des Randstreifens mit 15% der kleinsten Abmessung des betrachteten Bereiches (hier: des Raumes) oder 0,5 m festgelegt wird, je nachdem, welcher der beiden Werte kleiner ist.
5 BNB - Bewertungssystem Nachhaltiges Bauen
6) European Norm Electrical Certification
7) Computer Aided Designing
8) Desktop Publishing
9) bisher UGR-Werte
10) nach DIN EN 1838 inkl. nationaler Anhang.
11) Präsenzmelder erfassen im Gegensatz zu Bewegungsmeldern auch Personen die sich nicht bewegen.
13) Lt. DGUV 215-210 - 500 lx
15) Lt. ASR 3.4 - 200 lx
16) Lt. DGUV 215-210 - 500 lx
18) Mehrfachnennungen möglich
19) AMEV-Empfehlung Beleuchtung, Abschnitt 4.2.1
20) Wartungsplan zur Ermittlung des Wartungsfaktors ist beizufügen (DIN EN 12464-1 Pkt. 6.3)
21) DIN 12464-1 Punkt 6.3
22) Nach ASR A3.4: Büro 0,75 m; Verkehrswege 0,0 m; Labore 0,85 m; Sicherheitsbeleuchtung 0,2 m; andere: begründen
23) Empfohlen nach DIN 12464-1 Pkt. 5.2.2: Decke: 0,7 - 0,9; Wände: 0,5 - 0,8; Boden: 0,2 - 0,6
24) Tabellen aus Pkt. 7.3 DIN 12464-1 Spalte Em Erforderlich
25) DIN EN 12464-1 Tabelle 1
26) Tabellen aus Pkt. 7.3 DIN 12464-1 Spalte Em Geändert
27) Tabelle 3 aus Pkt. 5.3.4 DIN 12464-1
28) Pkt. 5.3.5 DIN 12464-1
29) Tabellen aus Pkt. 7.3 DIN 12464-1 Spalte Em,Wand
30) Tabellen aus Pkt. 7.3 DIN 12464-1 Spalte Em,Decke
31) Tabellen aus Pkt. 7.3 DIN 12464-1 Spalte EZ
32) Tabellen aus Pkt. 7.3 DIN 12464-1 SpalteRUGL
33) Tabelle 7 aus Pkt. 5.9.2 DIN 12464-1
34) Tabellen aus Pkt. 7.3 DIN 12464-1 Spalte U0
35) Pkt. 5.3.6 DIN 12464-1
36) Tabelle 6 DIN 12464-1
37) Tabellen aus Pkt. 7.3 DIN 12464-1 SpalteRa
38) z.B. Tafelleuchten, Anstrahlung von Hinweistafeln
![]() |
ENDE | ![]() |
(Stand: 10.07.2025)
Alle vollständigen Texte in der aktuellen Fassung im Jahresabonnement
Nutzungsgebühr: ab 105.- € netto
(derzeit ca. 7200 Titel s.Übersicht - keine Unterteilung in Fachbereiche)
Die Zugangskennung wird kurzfristig übermittelt
? Fragen ?
Abonnentenzugang/Volltextversion