Für einen individuellen Ausdruck passen Sie bitte dieEinstellungen in der Druckvorschau Ihres Browsers an. Regelwerk, Wasser, Th |
![]() |
ThürVwVAbwAG - Verwaltungsvorschrift für den Vollzug des Abwasserabgabengesetzes (AbwAG) und des Thüringer Abwasserabgabengesetzes (ThürAbwAG)
- Thüringen -
Vom 25. September 2017
(ThürStAnz Nr. 44 vom 30.10.2017 S .1515; 30.11.2020 S. 164aufgehoben)
Für den Vollzug des Abwasserabgabengesetzes in der Fassung der Bekanntmachung vom 18. Januar 2005 (BGBl. I S. 114), zuletzt geändert durch Artikel 2 der Verordnung vom 1. Juni 2016 (BGBl. I. S. 1290), und des Thüringer Abwasserabgabengesetzes vom 28. Mai 1993 (GVBl. S. 301), zuletzt geändert durch Artikel 18 des Thüringer Haushaltsbegleitgesetzes 2008/2009 vom 20. Dezember 2007 (GVBl. S. 267), wird nachfolgende Verwaltungsvorschrift erlassen.
1 Grundsatz
Für das Einleiten von Abwasser in ein Gewässer im Sinne des § 2 Abs. 1 des Wasserhaushaltsgesetzes ( WHG) vom 31. Juli 2009 (BGBl. I S. 2585) in der jeweils geltenden Fassung ist eine Abgabe (Abwasserabgabe) zu entrichten. Die Abwasserabgabe soll bei dem Einleiter den Anreiz schaffen, Abwasser soweit wie technisch möglich zu behandeln oder dessen Anfall zu vermeiden. Durch die bestehenden Verrechnungs- und Fördermöglichkeiten leitet das System der Abwasserabgabe gezielt Mittel in den Bereich der Abwasserbehandlung. Die Abwasserabgabe soll zur Reinhaltung der Gewässer beitragen und die Kostenlast für die Vermeidung, die Beseitigung und den Ausgleich von Gewässerbelastungen durch Abwasser gerechter verteilen.
Das Abwasserabgabengesetz ( AbwAG) flankiert die wasserrechtlichen Regelungen des § 57 WHG durch finanzielle Anreize. Durch die Zahlung der Abwasserabgabe erwirbt der Einleiter jedoch keine Berechtigung zur Abwassereinleitung in das Gewässer. Hierfür ist eine gesonderte wasserrechtliche Erlaubnis erforderlich.
2 Abwasserarten mit Abgabepflicht
Das Abwasserabgabengesetz unterscheidet Abgaben
Das Abwasser wird im Rahmen des abwasserabgaberechtlichen Vollzugs in Schmutzwasser und Niederschlagswasser unterteilt ( § 2 Abs. 1 AbwAG).
Der Schmutzwasserbegriff umfasst auch die aus Anlagen zum Behandeln, Lagern und Ablagern von Abfällen austretenden und gesammelten Flüssigkeiten (z.B. Deponie- und Haldensickerwässer).
Niederschlagswasser im Sinne des Abwasserabgabengesetzes ist das infolge von Niederschlägen aus dem Bereich bebauter oder befestigter Flächen abfließende und gesammelte Wasser.
Zur Abgabefreiheit wird auf die Regelungen unter den entsprechenden Abschnitten dieser Vorschrift verwiesen.
3 Zuständigkeit und Verfahren
3.1 Zuständige Behörde
Für den Vollzug ist nach § 13 ThürAbwAG das Thüringer Landesverwaltungsamt zuständig.
Die Zuständigkeit für Stundung, Niederschlagung und Erlass von Abgaben richtet sich nach § 59 Thüringer Landeshaushaltsordnung (ThürLHO) und den Verwaltungsvorschriften zu § 59 ThürLHO. Die Landeshauptkasse ist zuständige Kasse.
3.2 Verfahren
3.2.1 Ermittlung der Bewertungsgrundlagen
3.2.1.1 Einleitungsbescheid
In einem die Abwassereinleitung zulassenden Bescheid sind mindestens die für die Ermittlung der Abwasserabgabe relevanten Kriterien nach der Anlage zu § 3 AbwAG aufzunehmen und zu begrenzen. Ausgenommen sind dabei die Fälle, in denen eine Bewertung der Schädlichkeit nach § 3 Abs. 1 Satz 2 AbwAG entfällt ( § 4 Abs. 1 Satz 4 AbwAG).
Ebenfalls ist im Einleitungsbescheid die Jahresschmutzwassermenge (JSM) festzulegen. Ferner soll gemäß § 2 ThürAbwAG die in einem bestimmten Zeitraum einzuhaltende Abwassermenge (Abwassermenge = Schmutzwasser + Niederschlagswasser) oder Schadstofffracht (z.B. m3/h, m3/d, kg/d) festgelegt werden. Darüber hinaus kann der Bescheid weitere, allein wasserrechtlich bedeutsame Werte enthalten, deren Überschreitung den Tatbestand einer Straftat oder einer Ordnungswidrigkeit erfüllen kann.
Der die Abwassereinleitung zulassende Bescheid soll eine Aufforderung enthalten, nach der der Gewässerbenutzer die zuständige Wasserbehörde von einer Änderung oder Nichtausübung der Gewässerbenutzung unverzüglich zu informieren hat.
Ein Widerspruch oder eine Klage gegen den Einleitungsbescheid hat grundsätzlich aufschiebende Wirkung ( § 80 Abs. 1 Verwaltungsgerichtsordnung (VwGO) in der Fassung der Bekanntmachung vom 19. März 1991 (BGBl. I S. 686) in der jeweils geltenden Fassung), es sei denn, es wurde gesetzlich oder behördlich die sofortige Vollziehung angeordnet ( § 80 Abs. 2 VwGO). Solange die aufschiebende Wirkung besteht, kann der Einleitungsbescheid auch keine rechtlichen und tatsächlichen Wirkungen entfalten, bis über den Widerspruch oder die Klage abschließend entschieden wurde. Der Einleitungsbescheid kann während des Widerspruchs- bzw. Klageverfahrens somit auch nicht Grundlage einer endgültigen abgaberechtlichen Festsetzung sein. Damit sind die Berechnungsgrundlagen des § 6 Abs. 1 AbwAG heranzuziehen. Erst wenn der Einleitungsbescheid bestandskräftig geworden ist und im Widerspruchs- bzw. Klageverfahren bestätigt wurde, kann er rückwirkend für den Zeitraum ab seiner ursprünglichen Bekanntgabe zur Berechnung herangezogen werden. Aufgrund des ungewissen Ausgangs des Widerspruchs- bzw. Klageverfahrens sollte die Festsetzung gemäß § 16 Abs. 1 Nr. 4b ThürAbwAG i. V. m. § 165 Abgabenordnung (AO) in der Fassung der Bekanntmachung vom 1. Oktober 2002 (BGBl. I S. 3866; 2003 I S. 61) in der jeweils geltenden Fassung vorläufig erfolgen.
Das Verfahren zur Änderung von Erlaubnissen zur Abwassereinleitung kann von Amts wegen eingeleitet werden.
3.2.1.2 Erklärung des Abgabepflichtigen
(Formular B/1)
Sind die zur Ermittlung der Schadeinheiten erforderlichen Festlegungen nicht in einem Einleitungsbescheid enthalten, so hat der Einleiter bis spätestens zum 30. November für das folgende Veranlagungsjahr gegenüber der zuständigen Behörde zu erklären, welche für die Ermittlung der Schadeinheiten maßgebenden Überwachungswerte (ÜW) er im Veranlagungsjahr einhalten wird ( § 6 Abs. 1 Satz 1 AbwAG). Für Einleitungen aus Teilortskanalisationen, deren Schmutzwasser ausschließlich aus Haushaltungen stammt, ist Ziffer 4.1.5 dieser Vorschrift anzuwenden.
Die JSM ist zu diesem Termin für das folgende Jahr als voraussichtlich anzugeben. Die tatsächlich eingeleitete JSM ist sowohl von den sich erklärenden Einleitern als auch von den Einleitern, die einen Bescheid nach § 4 AbwAG haben, bis spätestens zum 31. März des dem Veranlagungsjahr folgenden Jahres gegenüber der zuständigen Behörde nachzuweisen. Dies hat unter Anwendung der im Anhang (Teil a und Formulare B/5a bis B/5c) enthaltenen Methoden zur Ermittlung der JSM zu erfolgen. Die zuständige Behörde kann die Vorlage der Betriebstagebücher fordern.
Die im Bescheid nach § 4 AbwAG festgelegte JSM ist mindestens alle zwei Jahre einmal zu überprüfen und erforderlichenfalls neu festzusetzen ( § 3 ThürAbwAG).
§ 6 Abs. 1 Satz 1 AbwAG enthält eine gesetzliche Ausschlussfrist. Das bedeutet, dass Erklärungen, die nach dem 30. November abgegeben werden, unwirksam sind. Ferner sind nach Ablauf der Erklärungsfrist die erklärten ÜW für das folgende Jahr verbindlich und können nicht mehr geändert werden. Da die Erklärung nach § 6 Abs. 1 Satz 1 AbwAG eine öffentlich-rechtliche Willenserklärung darstellt, der rechtsgestaltende Wirkung zukommt, ändert deren Anfechtung durch den Erklärungspflichtigen grundsätzlich nichts an deren Inhalt und Wirksamkeit. Mit der Abgabe der Erklärung nach § 6 Abs. 1 Satz 1 AbwAG legt der Einleiter die Grundlage für die Berechnung der Abwasserabgabe und für die Überwachung im kommenden Veranlagungsjahr fest. Eine wirksame Anfechtung dieser Erklärung würde dazu führen, dass keine wirksame Abgabeerklärung vorliegt und die Berechnung der Abwasserabgabe auf die anderen im Regelfall ungünstigeren Alternativen des § 6 Abs. 1 AbwAG erfolgen müsste. Bei derartigen, mit unmittelbaren Rechtsfolgen ausgestatteten Erklärungen ist die Anfechtung daher unwirksam. Insofern besteht keine Möglichkeit, Werte einer fristgerechten Erklärung zu korrigieren. Die Behörde kann nur im Wege der Überwachung oder durch Erlass eines wasserrechtlichen Bescheides die notwendigen Korrekturen vornehmen. § 4 Abs. 5 AbwAG bleibt unberührt (siehe Abschnitt 4.1.6.3).
Die Erklärungen für die Pauschalierungen nach § 7 ((Niederschlagswasser) und § 8 (Kleineinleitungen) AbwAG sind bis spätestens zum 31. März des dem Veranlagungsjahr folgenden Jahres vorzulegen. Die dazu für die Berechnung der Zahl der Schadeinheiten erforderlichen Einwohnerzahlen sind für jedes Jahr, bezogen auf den Stand am 30. Juni des Veranlagungsjahres, zu erklären.
Ist der Abgabepflichtige nicht selbst Abwassereinleiter, so hat ihm letzterer die notwendigen Daten und Unterlagen zur Verfügung zu stellen ( § 11 Abs. 2 Satz 2 AbwAG).
Die Frist für die Erklärungen, die zum 31. März des folgenden Jahres vorzulegen sind, kann nach § 11 Abs. 2 Satz 2 ThürAbwAG bis zu drei Monaten verlängert werden, wenn ihre Einhaltung für den Abgabepflichtigen eine unbillige Härte bedeuten würde und die Abgabeerhebung dadurch nicht beeinträchtigt wird. Der Abgabepflichtige hat die Gründe, die zu einer Nichteinhaltung des Abgabetermins führen, der zuständigen Behörde vor der Fälligkeit der Abgabeerklärung schriftlich mitzuteilen.
Werden die Erklärungen nicht oder nicht fristgemäß abgegeben, kann nach § 16 Abs. 1 Nr. 4 a ThürAbwAG i. V. m. § 152 AO ein Verspätungszuschlag festgesetzt werden. Der Verspätungszuschlag darf bis zu 10 % der festgesetzten Abgabe und nicht mehr als fünfzigtausend Euro betragen. Bei der Bemessung des Verspätungszuschlages sind neben seinem Zweck, den Abgabepflichtigen zur rechtzeitigen Abgabe der Abgabeerklärung anzuhalten, die Dauer der Fristüberschreitung, die Höhe des sich aus der Festsetzung ergebenden Zahlungsanspruches, die aus der verspäteten Abgabe gezogenen Vorteile, das Verschulden und die Leistungsfähigkeit des Abgabepflichtigen zu berücksichtigen. Der Verspätungszuschlag ist mit der Abgabe festzusetzen und zu begründen. Eine Verfolgung als Ordnungswidrigkeit nach § 19 ThürAbwAG i. V. m. § 15 AbwAG ist hiervon unabhängig.
Wurde ein Verspätungszuschlag festgesetzt und wurde im Verwaltungsstreitverfahren die Abgabe nachträglich aufgrund einer verspäteten Erklärung reduziert, hat dies keine obligatorische Herabsetzung des Verspätungszuschlages zur Folge. Im Einzelfall ist zu prüfen, ob sich die Reduzierung der Abgabe auch auf die im Rahmen des § 152 Abs. 2 AO getroffene Ermessensausübung auswirkt. So kommt eine Änderung des Verspätungszuschlages vor allem dann in Betracht, wenn sich die Höhe des Verspätungszuschlages maßgeblich an der Höhe des ursprünglich festgesetzten Abwasserabgabenbetrages orientiert hat oder der Verspätungszuschlag die 10 % des reduzierten Abwasserabgabenbetrages überschreitet.
3.2.1.3 Ermittlung ohne Bescheid oder Erklärung des Abgabepflichtigen
Liegt kein Einleitungsbescheid nach § 4 Abs. 1 AbwAG vor und kommt der Abgabepflichtige seinen Verpflichtungen gemäß Abschnitt 3.2.1.2 nicht nach, wird nach § 6 Abs. 1 Satz 2 AbwAG das höchste Messergebnis aus der behördlichen Überwachung der Ermittlung der Schadeinheiten zugrunde gelegt. Liegt im Ausnahmefall kein Ergebnis aus der behördlichen Überwachung vor, hat die zuständige Behörde nach § 6 Abs. 1 Satz 3 AbwAG die ÜW zu schätzen. In den Fällen des § 6 Abs. 1 Sätze 2 und 3 AbwAG wird die JSM von der zuständigen Behörde geschätzt ( § 6 Abs. 1 Satz 4 AbwAG).
3.2.2 Abgabenummer
Die Behörden verwenden in den Bescheiden zur Abwasserabgabe Abgabenummern. Die Abgabenummer ([ ][ ][ ][ ][ ] - [ ][ ][ ] - [ ][ ] - [ ]) setzt sich wie folgt zusammen:
| Stellen | Aussage | ||
| 1, 2, 3, 4, 5 | [ ][ ][ ][ ][ ] | Gebietskennzahl (numerische Verschlüsselung der Gewässereinzugsgebiete nach LAWA-Richtlinie) |
|
| 6, 7, 8 | [ ][ ][ ] | laufende Nummer des Abgabepflichtigen im Gewässereinzugsgebiet | |
| 9, 10 | [ ][ ] | Nummerierung der Einleitungen des jeweiligen Abgabepflichtigen | |
| 11 | [ ] | zusätzliche Unterscheidung nach | |
| a) Gemeinden: | 0 | ||
| b) Industrie/Gewerbe: | 1 | ||
| c) Landwirtschaft: | 2 | ||
| d) Kleineinleitungen: | 3 | ||
| e) Niederschlagswasser kommunal: | 4 | ||
| f) Niederschlagswasser gewerblich: | 5 | ||
3.2.3 Formulare
Für den Vollzug (auch für Erklärungen und Anträge) sind die im Anhang als Muster veröffentlichten amtlichen Formulare zu verwenden.
Für die Erklärungen zu § 6 Abs. 1 Satz 1 AbwAG, § 4 Abs. 5 AbwAG einschließlich Messprogramm, Kleineinleitungen und Niederschlagswasser (öffentliche Kanalisation) sowie für die Nachweise zur JSM (Trockenwettertage, Frischwasserverbrauch, TOK mit ausschließlich Schmutzwasser aus Haushaltungen) steht den Abgabepflichtigen im Internet das Programm ABWA-Gonline zur kostenlosen Nutzung zur Verfügung. Für die passwortgeschützte Anwendung müssen sich die Abgabepflichtigen als Nutzer bei der Thüringer Landesanstalt für Umwelt und Geologie (TLUG) registrieren lassen.
Die Abgabepflichtigen, die ihre Erklärungen nicht online abgeben, können die Formulare von der zuständigen Behörde kostenlos und in der erforderlichen Anzahl beziehen oder aus dem Internet unter www.thueringen.de/th8/tmuen/umwelt/ wasser/abwasser/formulare/ abrufen. Abweichungen von den amtlichen Formularen sind nur in begründeten Ausnahmefällen zuzulassen. Die Erklärungen und Anträge sind der zuständigen Behörde in einfacher Ausfertigung vorzulegen. Die Abgabetermine und die Folgen bei deren Nichteinhaltung sind unter Abschnitt 3.2.1.2 und 4.1.6.3 geregelt. Eine Online-Erklärung gilt als fristgerecht, wenn diese am Termin bis 24:00 Uhr bei der behördlichen Datenbank und das unterschriebene Formular mit dem Datenbankzeitstempel spätestens nach zwei Wochen bei der zuständigen Behörde eingeht. Geht das unterschriebene Formular später ein, ist die Erklärung verfristet.
3.2.4 Kosten
Die Festsetzung der Abwasserabgabe ist kostenfrei.
Die behördliche Überwachung der abwasserabgaberelevanten Parameter ist ebenfalls kostenfrei. Für die darüber hinausgehende kostenpflichtige behördliche Abwassereinleiterüberwachung setzt die TLUG als zuständige Behörde nach § 1 Thüringer Verwaltungskostengesetz (ThürVwKostG) vom 23. September 2005 (GVBl. S. 325) in der jeweils geltenden Fassung die Verwaltungskosten fest.
Die Verwaltungskosten werden aus dem Aufkommen der Abwasserabgabe gedeckt. Zur Deckung des Verwaltungsaufwandes, der durch die Abwälzung der Abgabe auf Kleineinleiter den Gemeinden und Körperschaften entsteht, sind von deren Abwasserabgabe je Einwohner und Jahr (nur Kleineinleiter!) 0,50 EUR abzusetzen ( § 12 Abs. 2 ThürAbwAG).
4 Festsetzung der Abwasserabgabe
(Formular B/12)
Die Abwasserabgabe wird jährlich nach Ablauf des Veranlagungszeitraums von Amts wegen unter Verwendung des DV-Programmes ABWAG festgesetzt (Festsetzungsbescheid). Der Festsetzungsbescheid besteht aus einem allgemeinen Teil und den jeweiligen Anlagen zur Berechnung. Da der Festsetzungsbescheid maschinell erstellt wird, bedarf er keiner eigenhändigen Unterschrift. Veranlagungszeitraum ist das Kalenderjahr ( § 14 Abs. 1 ThürAbwAG).
Die Festsetzungsverjährung ist in § 14 Abs. 2 ThürAbwAG geregelt. Danach beträgt die Festsetzungsfrist ab Veranlagungszeitraum 1995 drei Jahre nach Ablauf des Veranlagungszeitraumes, im Falle des § 11 ThürAbwAG nach Vorlage der notwendigen Daten und Unterlagen. Gemäß § 16 Abs. 1 Ziffer 4c ThürAbwAG i. V. m. § 169 Abs. 1 AO ist eine Abgabenfestsetzung sowie ihre Aufhebung oder Änderung weder zu Lasten noch zu Gunsten des Abgabepflichtigen zulässig, wenn die Festsetzungsfrist abgelaufen ist. Auch eine Verrechnung der Abwasserabgabe nach § 10 Abs. 3 und Abs. 4 AbwAG gilt als Änderung der Festsetzung und ist nach dem Ablauf der Festsetzungsfrist nicht mehr möglich. Für das Ende der Festsetzungsverjährung ist § 16 Abs. 1 Ziffer 4c ThürAbwAG i. V. m. § 171 AO zu beachten. § 171 Abs. 3 AO bestimmt Folgendes: Wird vor Ablauf der Festsetzungsfrist ein Antrag auf Steuerfestsetzung oder auf Aufhebung oder Änderung einer Steuerfestsetzung gestellt, so läuft die Festsetzungsfrist insoweit nicht ab, bevor über den Antrag unanfechtbar entschieden worden ist. Eine Verrechnung der Abwasserabgabe nach § 10 Abs. 3 und Abs. 4 AbwAG stellt auch eine Änderung der Abgabenfestsetzung dar, denn hierdurch wird die Höhe der zu zahlenden Abwasserabgabe verändert. Somit führt auch ein Antrag auf Verrechnung zu einer Ablaufhemmung der Festsetzungsverjährung gemäß § 171 Abs. 3 AO. § 171 Abs. 3 a Satz 1 AO bestimmt, dass in den Fällen, in denen ein Steuerbescheid mit einem Einspruch oder einer Klage angefochten wird, die Festsetzungsfrist nicht abläuft, bevor über den Rechtsbehelf unanfechtbar entschieden ist. Wird etwa ein Festsetzungsbescheid für das Veranlagungsjahr 2015 im Jahr 2016 erlassen und durch das Verwaltungsgericht im Jahr 2019 aufgehoben, so läuft die Festsetzungsfrist erst bei Bestandskraft des von der zuständigen Behörde neu erlassenen Festsetzungsbescheides ab.
Zur Zahlungsverjährung wird auf die Ausführungen in Pkt. 5.5 verwiesen.
Beträgt die Abwasserabgabe mehr als 25.000,00 EUR (bezogen auf die jeweilige Einleitstelle) kann nach § 14 Abs. 3 ThürAbwAG auf Antrag des Abgabepflichtigen eine Ratenzahlung gewährt werden. Der Antrag ist bis spätestens zum festgesetzten Fälligkeitstermin zu stellen. Die Ratenzahlung ist mit maximal 5 Raten, die jeweils 20 % der Festsetzungssumme nicht unterschreiten dürfen, festzusetzen. Die Verzinsung erfolgt mit 6 % pro Jahr ( § 14 Abs. 3 Satz 2 ThürAbwAG i. V. m. Art. 7 Abs. 1 ThürEuroAnpG). Die Zahlung der Raten hat innerhalb eines Jahres nach Festsetzung zu erfolgen.
Die Formulierung des § 15 Abs. 1 ThürAbwAG lässt zu, dass Vorauszahlungen nicht zwingend festgesetzt werden müssen.
4.1 Abwasserabgabe für Schmutzwasser
Die Höhe der Abwasserabgabe richtet sich nach der Schädlichkeit des Abwassers. Bei einer Einleitung wird die Schädlichkeit grundsätzlich auf der Grundlage der in der Anlage zu § 3 AbwAG aufgeführten Schadstoffe, Schadstoffgruppen und Messeinheiten ermittelt.
4.1.1 Überwachungswerte
Maßgebend für die Berechnung der Schadeinheiten ist der im Einleitungsbescheid festgelegte ÜW.
Die der Abgabeberechnung zugrunde zu legenden ÜW werden auf das Abwasser, nicht nur auf das Schmutzwasser, bezogen. Soweit für Trockenwetter- und Regenwetterabfluss unterschiedliche ÜW festgelegt sind, ist für die Abgabeberechnung der höchste Wert anzusetzen.
Soweit der Einleitungsbescheid keine Angaben nach § 4 AbwAG enthält, gilt § 6 AbwAG. Die für die Überwachung maßgebende Probenahmeart bestimmt sich bei Vorliegen eines Einleitungsbescheides nach den dortigen Festlegungen, im Falle einer Erklärung nach § 6 Abs. 1 Satz 1 AbwAG nach den Festlegungen der Abwasserverordnung ( AbwV) vom 17. Juni 2004 in der jeweils geltenden Fassung. Sind in der AbwV zwei Probenahmearten nebeneinander aufgeführt, hat die Behörde ein Wahlrecht, welche Probenahmeart zur Anwendung kommen soll.
Legt die AbwV nur produktionsspezifische Anforderungen (z.B. CSB in kg CSB/t Produktion) fest, so sind unter Maßgabe der maximalen Produktionskapazitäten und der dabei anfallenden Abwassermengen für die abgabepflichtigen Stoffe zusätzlich auch konzentrationsbezogene ÜW in dem wasserrechtlichen Bescheid festzulegen.
4.1.2 Jahresschmutzwassermenge
(§ § 4 und 6 AbwAG, § 3 ThürAbwAG)
(Formulare B/5a bis B/5e)
Die JSM ist nach § 3 ThürAbwAG im Einleitungsbescheid nach § 4 AbwAG festzulegen. Dabei ist soweit wie möglich auf eine zeitliche Staffelung der JSM nach dem Grad der anzuschließenden Einwohnerwerte zu achten. Im Falle des § 6 AbwAG ist sie stets aufgrund einer behördlichen Schätzung festzulegen.
Bei einer Schätzung der JSM hat der Abgabepflichtige nach § 11 Abs. 1 Satz 2 ThürAbwAG die dazu erforderlichen Angaben zu machen. Die terminliche Regelung für die Beibringung der Angaben zur Ermittlung der JSM ist bereits in Abschnitt 3.2.1.2 enthalten. Für die Schätzung können insbesondere die Ergebnisse aus der Abwassereigenkontrolle ausgewertet werden. Außerdem ist auf die im Anhang
(Teil A) dargestellten Methoden zur Ermittlung der JSM zurückzugreifen. Für die Ermittlung des Fremdwasseranteils stehen dem Abgabepflichtigen unter www.thueringen.de/ th8/tmuen/umwelt/wasser/abwasser/fremdwasser/ Programme und Hilfestellungen zur kostenlosen Nutzung zur Verfügung.
Wenn Anhaltspunkte für unrichtige Auskünfte des Abgabepflichtigen bestehen, hat die Behörde auch die Möglichkeit, bei der Schätzung von negativen Konstellationen der Einleitverhältnisse auszugehen.
Der Abgabenberechnung ist eine andere, als die im Einleitungsbescheid festgelegte JSM zugrunde zu legen, wenn:
Ein höherer Wert für die JSM ist keine Überschreitung gemäß § 4 Abs. 4 AbwAG. Die größere JSM führt zwar zu einer Erhöhung der Abwasserabgabe, stellt aber keine Erhöhung i. S. d. § 10 Abs. 3 Satz 2 AbwAG dar.
4.1.3 Festlegung der in einem bestimmten Zeitraum einzuhaltenden Abwassermengen oder Schadstofffrachten
Nach § 2 ThürAbwAG soll im Einleitungsbescheid auch die in einem bestimmten Zeitraum einzuhaltende Abwassermenge (siehe Abschnitt 3.2.1.1) oder Schadstofffracht festgelegt werden. Das schließt nicht aus, in wasserwirtschaftlich begründeten Fällen beide Festlegungen nebeneinander zu treffen. Eine Begrenzung der Abwassermenge soll stets ausgesprochen werden, damit hierzu Erklärungen nach § 4 Abs. 5 AbwAG abgegeben werden können. Darüber hinaus können Auflagen zur Überwachung der Abwassermenge oder der Schadstofffracht (z.B. Einbau von Durchflussmesseinrichtungen) festgelegt werden.
4.1.4 Schadeinheiten
( § 3 Abs. 1, § § 4, 6, 7, 8, Anlage zu § 3 AbwAG)
Die Zahl der Schadeinheiten errechnet sich aus dem Quotient von Jahresschadstofffracht und Messeinheit. Die Jahresschadstofffracht wird durch Multiplikation des für die jeweiligen Schadstoffe oder Schadstoffgruppen festgelegten ÜW mit der JSM ermittelt. Die Messeinheit ist der Tabelle der Anlage zu § 3 AbwAG Spalte 3 zu entnehmen.
Bei Ermittlung der Schadeinheiten sind jeweils die gemessenen Einzelwerte unter Einbeziehung der Dezimalstellen zu verwenden. Die Summe der Schadeinheiten wird erst beim letzten Berechnungsschritt (Multiplikation der Schadeinheiten mit dem Abgabesatz) auf ganze Zahlen abgerundet.
4.1.5 Teilortskanalisationen
(Formular B/1)
Bei Teilortskanalisationen (TOK) handelt es sich um Abwassereinleitungen, bei denen das im Regelfall in Kleinkläranlagen vorbehandelte Abwasser aus Wohngebäuden oder gewerblich/industriellen Betrieben sowie das anfallende Niederschlagswasser in einer öffentlichen Kanalisation gesammelt und ohne weitere Behandlung in einer Zentralkläranlage in ein Gewässer eingeleitet werden.
Sind die zur Ermittlung der Schadeinheiten erforderlichen Festlegungen nicht in einem Einleitungsbescheid enthalten, dann hat der Abgabepflichtige eine Erklärung gemäß § 6 Abs. 1 Satz 1 AbwAG ( Abschnitt 3.2.1.2 und Formular B/1) abzugeben.
Für Einleitungen aus Teilortskanalisationen, deren Schmutzwasser ausschließlich aus Haushaltungen stammt, kann auf eine Erklärung nach § 6 Abs. 1 Satz 1 AbwAG verzichtet werden. Die Nichtabgabe dieser Erklärung führt nicht zu einer Erhebung eines Verspätungszuschlages. Die zuständige Behörde schätzt in diesen Fällen nach § 6 Abs. 1 Satz 3 AbwAG die Überwachungswerte unter Zugrundelegung von einwohnerspezifischen Frachten je nach Art der Abwasserbehandlung. Dabei wird von folgenden Werten ausgegangen:
37 g CSB/(E*d), 1 g P/(E*d) und 9 g N/(E*d) bei Kleinkläranlagen, die nicht dem Stand der Technik entsprechen und
12 g CSB/(E*d), 1 g P/(E*d) und 9 g N/(E*d) bei vollbiologischen Kleinkläranlagen nach DIN 4261 Teile 2 und 4. Die Reinigungsleistung vollbiologischer Kleinkläranlagen ist bei P und N im Regelfall nicht wesentlich höher als bei mechanischen Kleinkläranlagen, sofern keine Angaben zu einer gezielten P-/N-Elimination vorliegen.
Der Abgabepflichtige hat im Rahmen der Schätzung der JSM Angaben zu den Einwohnern und der jeweiligen Abwasserbehandlung (Formular B/5d und B/5e) zu machen. Die Abgabe des Formulars B/5c entfällt in diesen Fällen.
4.1.6 Berücksichtigung von Anträgen und Erklärungen des Abgabepflichtigen
4.1.6.1 Antrag auf Berücksichtigung der Vorbelastung
( § 4 Abs. 3 AbwAG, § 4 ThürAbwAG)
(Formular B/2)
Voraussetzung für eine Berücksichtigung der Vorbelastung ist insbesondere, dass das Wasser bzw. der Wasserteilstrom vor Gebrauch unmittelbar einem Gewässer entnommen wurde.
Die zuständige Behörde ist nach § 4 ThürAbwAG ermächtigt, die Vorbelastung für bestimmte Gewässer oder Teile von ihnen anhand einer mittleren Schadstoffkonzentration für die in § 3 Abs. 1 AbwAG genannten Schadstoffe und Schadstoffgruppen durch Rechtsverordnung einheitlich festzulegen. Die TLUG ermittelt hierzu gemäß § 104 Abs. 1 ThürWG die mittleren Schadstoffkonzentrationen und Durchflüsse und berechnet hieraus nach Teil D des Anhangs dieser Verwaltungsvorschrift die Konzentrationswerte der Vorbelastung. Dies gilt sowohl für die Festlegung in einer Rechtsverordnung als auch für die Festlegung im Rahmen einer Schätzung.
Liegt keine entsprechende Rechtsverordnung vor, aus der die Vorbelastung zu entnehmen ist, ist die Vorbelastung zu schätzen. Bei der Schätzung können auch Ergebnisse der Eigenkontrollen berücksichtigt werden. Im Rahmen der Schätzung können Gewässergüteuntersuchungen, die vor, während und nach dem jeweiligen Veranlagungsjahr ermittelt wurden, berücksichtigt werden. Der zu berücksichtigende Zeitraum sollte zwei Jahre nicht unterschreiten ( § 4 Abs. 2 ThürAbwAG).
Die Vorbelastung ist auch dann zu berücksichtigen, wenn sie den Schwellenwert für die Konzentration gemäß Anlage zu § 3 AbwAG unterschreitet.
Der Antrag auf Berücksichtigung der Vorbelastung ist vor dem Veranlagungsjahr bis spätestens zum 31. Dezember zu stellen. Eine einmalige fristgerechte Antragstellung gilt auch für die Folgejahre, sofern nicht eine neue Antragstellung vorliegt. Die entnommenen und für die Vorbelastung zu berücksichtigenden Wassermengen sind in jedem Fall vom Abgabepflichtigen bis spätestens zum 31. März des dem Veranlagungsjahr folgenden Jahres gegenüber der zuständigen Behörde nachzuweisen ( § 11 Abs. 2 ThürAbwAG).
Parameterbezogen sind aus dem ermittelten Konzentrationswert der Vorbelastung und der tatsächlich entnommenen Wassermenge, die in Fällen mit Verdunstung auch größer als die der Abgabenberechnung zugrunde zu legende JSM sein kann, die Schadeinheiten der Vorbelastung zu berechnen. Damit wird dem Verursacher- und Frachtprinzip Rechnung getragen. Die Schadeinheiten der Vorbelastung sind dann von der nach § § 4 oder 6 AbwAG der Abgabenberechnung zugrunde zu legenden Zahl der Schadeinheiten, ggf. von der durch Überschreitung des ÜW erhöhten Anzahl der Schadeinheiten, abzuziehen.
4.1.6.2 Antrag auf Berücksichtigung von Nachklärteichen
( § 3 Abs. 3 AbwAG, § 1 ThürAbwAG)
(Formular B/3a, B/3b)
Nachklärteiche im Sinne des § 3 Abs. 3 AbwAG sind Anlagen in einem Gewässer im Sinne des § 2 Abs. 1 WHG, die
Nachklärteiche im oben genannten Sinne unterscheiden sich von anderen Abwasserteichen, die ähnliche Aufgaben übernehmen können, in erster Linie durch die Lage der im Einleitungsbescheid festgelegten Einleitstelle. Da Nachklärteiche im abgaberechtlichen Sinne Bestandteil eines Gewässers sein müssen, liegt die Einleitung und damit der maßgebende Messpunkt für die Überwachung der Einleitung vor dem Nachklärteich. Die Verminderung der Schädlichkeit im Nachklärteich kann deshalb messtechnisch nicht erfasst werden. Die natürliche Selbstreinigung des Gewässers sowie das Absetzen von Schmutzstoffen in Stauseen und ähnlichen Anlagen, die nicht zum Zwecke der Nachklärung errichtet und betrieben werden, können nicht abgabemindernd geltend gemacht werden. Abgabemindernd kann nur der Wirkungsgrad von Maßnahmen sein, die eigens zum Zwecke der Nachklärung getroffen wurden; die bloße Verdünnung des Abwassers bleibt unberücksichtigt.
Der Abgabepflichtige hat in dem vorzulegenden Antrag nachzuweisen, dass die erforderlichen Voraussetzungen erfüllt sind. Die von ihm geschätzte Verminderung der Schädlichkeit für jeden bewerteten Schadstoffparameter als Jahresmittel des Wirkungsgrades der Nachklärung in Prozent ist anzugeben. Wird die Nachklärung nicht das ganze Jahr über benutzt, kann auf einen geschätzten durchschnittlichen Benutzungszeitraum zurückgegriffen werden. Dem Antrag ist eine Beschreibung des Nachklärteiches sowie seiner Einrichtungen und Wirkungsweise beizufügen.
Zu beachten ist, dass die Mindestanforderungen der AbwV oder schärfere Anforderungen nach dem Einleitungsbescheid vor Einleitung in den Nachklärteich in Form eines Gewässers einzuhalten sind.
Der Wirkungsgrad der Nachklärteiche wird frühestens für das auf die Antragstellung folgende Veranlagungsjahr berücksichtigt. Der Antrag auf Berücksichtigung des Wirkungsgrades der Nachklärung ist vor dem Veranlagungsjahr bis spätestens 31. Dezember zu stellen. Eine einmalige fristgerechte Antragstellung gilt auch für die Folgejahre, sofern nicht eine neue Antragstellung vorliegt.
4.1.6.3 Erklärung über die Einhaltung geringerer Werte
( § 4 Abs. 5 AbwAG)
(Formulare B/4a bis B/4d)
Der Einleiter kann sich durch Erklärung gegenüber der zuständigen Behörde mit nur abgaberechtlicher Wirkung verpflichten, geringere als die im Einleitungsbescheid nach § 4 Abs. 1 Satz 2 AbwAG festgelegten ÜW oder eine geringere als die festgelegte Abwassermenge einzuhalten. Er kann entsprechend einer zu erwartenden Veränderung zeitlich gestaffelte Werte beantragen. Die Erklärung nach § 4 Abs. 5 AbwAG wird nur für die Zeit nach dem Eingang bei der zuständigen Behörde wirksam und ist mindestens zwei Wochen (Posteingang) vor dem beantragten Zeitraum abzugeben.
Die Erklärung, einen um mindestens 20 % geringeren Wert einzuhalten, muss sich auf mindestens einen abgaberelevanten ÜW oder auf die Abwassermenge beziehen. Der Zeitraum, für den die Einhaltung geringerer Werte erklärt wird, muss mindestens 3 Monate im Veranlagungsjahr betragen. Es sind die Umstände darzulegen, auf denen die Erklärung beruht.
Eine geringere Abwassermenge führt unmittelbar zu keiner Abgabeminderung, da die Abwassermenge kein Berechnungsfaktor für die Abwasserabgabe ist. Deshalb muss sich die Erklärung nach § 4 Abs. 5 AbwAG auf die Abwassermenge an Trockenwettertagen (Qt) beziehen. Parallel dazu ist in der Erklärung anzugeben, welche Auswirkungen die Minderung der Abwassermenge an Trockenwettertagen auf die anteilige JSM und JSM hat. Die im Erklärungszeitraum zum Vergleich maßgebende Schmutzwassermenge (anteilige JSM) ist aus der Angabe im Bescheid wie folgt zu berechnen:
| Zahl der Tage im Erklärungszeitraum mit Schmutzwassereinleitung | |
| JSM x | |
| Zahl der Tage im Jahr mit Schmutzwassereinleitung |
Ist die JSM im Einleitungsbescheid für das Jahr bereits gestaffelt, so ist die Schmutzwassermenge abschnittsweise durch die Zahl der für sie maßgebenden Tage zu dividieren und so der Basiswert zu ermitteln, der um mindestens 20 % zu unterschreiten ist.
Die geringere JSM ist die Summe aus anteiliger JSM außerhalb des Erklärungszeitraumes und anteiliger JSM des Erklärungszeitraumes.
Enthält der Abwassereinleitungsbescheid eine Abwassermenge an Trockenwettertagen, die für ein bestimmtes Intervall begrenzt ist (z.B. m3/h, m3/d) und eine festgelegte JSM, kann die geringer eingeleitete JSM nur durch eine mindestens 20 %ige Minderung der Abwassermenge an Trockenwettertagen im Intervall, die durch kontinuierliche Mengenmessung nachzuweisen ist, entsprechend theoretisch errechnet werden. Die unter Punkt 4.1.2 zugelassenen Methoden zum Nachweis der JSM sind hier nicht anwendbar.
Enthält der Abwassereinleitungsbescheid eine festgelegte JSM, jedoch keine für ein bestimmtes Intervall begrenzte Abwassermenge an Trockenwettertagen, ist eine Erklärung nach § 4 Abs. 5 AbwAG hinsichtlich einer Minderung der Abwassermenge zur Verringerung der JSM nicht möglich (weil der Bezugswert fehlt). In diesen Fällen kann die geringere als die im Einleitungsbescheid festgelegte JSM mit den unter Punkt 4.1.2 zugelassenen Methoden nachgewiesen werden, die dann der Berechnung nach § 4 Abs. 5 AbwAG zugrunde zu legen ist.
Die Einhaltung des geringer erklärten Wertes ist vom Abgabepflichtigen durch ein behördlich zugelassenes Messprogramm nachzuweisen. Die Messergebnisse aus der behördlichen Überwachung sind in die Auswertung des Messprogrammes entsprechend der zeitlichen Reihenfolge mit einzubeziehen.
An ein behördlich zugelassenes Messprogramm sind folgende Anforderungen zu stellen:
Die zuständige Behörde prüft umgehend nach Eingang der Erklärung nach § 4 Abs. 5 AbwAG die vom Abgabepflichtigen gemachten Angaben und den Antrag für ein behördlich zugelassenes Messprogramm. Dem Abgabepflichtigen ist die Unwirksamkeit der Erklärung oder/und die negative Entscheidung über den Antrag für ein behördlich zugelassenes Messprogramm unter Verwendung des Formulars B/4c bekannt zu geben. Ein nach obigem Absatz durchgeführtes Messprogramm gilt als behördlich zugelassen, wenn die zuständige Behörde nicht bis zum Beginn des Erklärungszeitraumes eine andere Entscheidung trifft.
Der geringer erklärte Wert ist durch die zuständige Behörde im Erklärungszeitraum mindestens zweimal zu überwachen.
Neben der Überprüfung des geringer erklärten Wertes ist gleichzeitig immer zu prüfen, ob im Erklärungszeitraum auch der ÜW nach § 4 Abs. 1 oder § 6 Abs. 1 oder Werte nach § 4 Abs. 4 Satz 6 AbwAG eingehalten werden. Bei dieser Prüfung sind nur die Messwerte der behördlichen Überwachung heranzuziehen. Dabei ist es unerheblich, ob die vier vorangegangenen Messwerte im Falle einer festgestellten Überschreitung des Einzelwertes innerhalb oder außerhalb des Erklärungszeitraumes liegen.
Die Erklärung für den geringer erklärten Wert verliert ihre Wirkung, wenn
Die Schadeinheiten werden dann auf der Basis des Einleitungsbescheides bzw. des nach § 6 Abs. 1 Satz 1 AbwAG erklärten ÜW sowie ggf. gemäß § 4 Abs. 4 AbwAG ermittelt. Beispiele hierzu sind im Anhang ( Teil C) enthalten.
Der Abgabepflichtige hat innerhalb eines Monats nach Ende des Erklärungszeitraumes die Einhaltung des geringer erklärten Wertes und die ordnungsgemäße Durchführung des behördlich zugelassenen Messprogrammes bei der zuständigen Behörde mittels Formular B/4d nachzuweisen.
Sie kann vom Abgabepflichtigen alle erforderlichen Unterlagen für den Nachweis der Analytischen Qualitätssicherung sowie die Betriebstagebücher verlangen.
4.1.6.4 Verrechnung
( § 10 Abs. 3 und 4 AbwAG, § 10 ThürAbwAG)
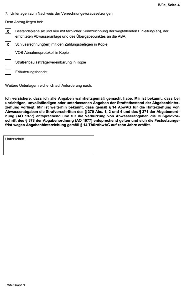
(Formulare B/9cbis B/9e)
Die entstandenen Aufwendungen für die Errichtung oder Erweiterung
können mit der gesamten für diese Einleitstelle geschuldeten Abwasserabgabe der drei Jahre vor der vorgesehenen Inbetriebnahme der Anlage verrechnet werden.
Aufwendungen für Anlagen nach § 10 Abs. 4 AbwAG können zudem nicht nur mit der Abwasserabgabe der wegfallenden Einleitung, sondern auch mit der Abwasserabgabe der ABA, an die angeschlossen wird, verrechnet werden (Urteil BVerwG vom 20.01.2004, Az. 9 C 13/03).
Die Aufwendungen müssen nicht ausschließlich in dem Dreijahreszeitraum vor der Inbetriebnahme entstanden sein; sie können auch weiter zurückliegen. Die Investitionskosten sind somit grundsätzlich voll verrechenbar. Die Verrechnung ist nach § 10 Abs. 1 ThürAbwAG erst ab dem Veranlagungsjahr möglich, in dem tatsächlich Aufwendungen entstanden sind. Diese Bestimmung soll verhindern, dass vor Baubeginn bereits mit fiktiven Kosten verrechnet werden kann.
Verrechnungsvoraussetzungen
Für Abwasseranlagen sind für eine Verrechnung folgende Voraussetzungen erforderlich:
ABa nach § 10 Abs. 3 AbwAG sind Bauwerke und Einrichtungen, die dazu dienen, die Schädlichkeit des Abwassers zu vermindern oder zu beseitigen. Ihnen stehen Einrichtungen gleich, die dazu dienen, die Entstehung von Abwasser ganz oder teilweise zu verhindern ( § 2 Abs. 3 AbwAG). Für ABa gleichgestellten Einrichtungen ist neben der Verhinderung der Entstehung von Abwasser auch eine Verringerung der Schädlichkeit des Abwassers erforderlich. Eine Verrechnung von Aufwendungen für den ABa gleichgestellten Anlagen ist unter Einhaltung der Verrechnungsvoraussetzungen möglich.
Unter einer Erweiterung einer ABa i. S. d. § 10 Abs. 3 Satz 1 AbwAG ist einerseits eine Vergrößerung der Kapazität und andererseits eine technologische Veränderung der Anlage, die zu einer höheren Reinigungsleistung und somit zu einer zusätzlichen Schadstofffrachtverringerung gegenüber der Ausgangssituation führt, wie dies z.B. bei einem Einbau einer Phosphatfällung oder einem funktionell besseren Belüftungssystem der Fall ist, zu verstehen. Wartungs- und Instandsetzungsmaßnahmen zählen nicht zu einer Erweiterung einer Anlage (s. u. nicht verrechnungsfähige Aufwendungen).
Der Zeitraum, in dem die ABa § 60 WHG angepasst wird, muss für den Abgabepflichtigen konkret bestimmt sein. Eine Konkretisierung liegt dann vor, wenn eine bestandskräftige Sanierungsanordnung oder -erlaubnis ergangen oder wenn die eingereichten Unterlagen für die Erstellung einer Sanierungsanordnung oder -erlaubnis vollständig sind und die Bearbeitung in einem entscheidungsreifen Stadium ist. Diese Konkretisierung muss zum Zeitpunkt des Anschlusses (im Sinne einer erstmaligen Zuführung von Abwasser) und des damit verbundenen Beginns der Minderung der Schadstofffracht gegeben sein. Diese Kriterien gelten für ABA, für die eine Erlaubnis nach § 57 WHG beantragt wurde, entsprechend.
Wenn die ABa faktisch den Anforderungen des § 60 WHG entspricht (z.B. eine Vorrichtung zur gezielten Phosphorelimination vorhanden ist und Pges. von 2 mg/l entsprechend Größenklasse 4 des Anhanges 1 der AbwV eingehalten wird), ist für die Verrechnung nach § 10 Abs. 4 AbwAG unbeachtlich, ob die wasserrechtliche Erlaubnis den Anforderungen der AbwV angepasst wurde.
Zu den Anlagen i. S. d. § 10 Abs. 4 AbwAG gehören nicht nur reine Verbindungskanäle, sondern auch Einrichtungen, die technisch erforderlich sind, um das Sammeln und Fortleiten des Abwassers zu einer ABa zu ermöglichen (z.B. Pumpstationen, Becken, Stauraumkanäle).
Bei dem Bau einer Trennkanalisation sieht das BVerwG Schmutz- und Niederschlagswasserkanal als eine Anlage i. S. d. § 10 Abs. 4 AbwAG und damit auch einheitlich als verrechnungsfähig an. Die Betrachtung, ob es insgesamt zu einer Minderung der Schadstofffracht gemäß § 10 Abs. 4 AbwAG kommt, ist eine einheitliche, d. h. es ist nicht nach Schmutzwasser und Niederschlagswasser zu differenzieren. Damit sind die Aufwendungen sowohl für den Schmutz- als auch für den Niederschlagswasserkanal dann verrechenbar, wenn insgesamt eine Minderung der Schadstofffracht zu erwarten ist (Urteil BVerwG vom 26.06.2008, Az. 7 C 2.08).
Nicht verrechnungsfähige Aufwendungen und Abwasserabgaben
Aufwendungen für
sind nicht verrechnungsfähig. Die Inanspruchnahme von Skonti ist durch Überprüfung der Buchungsbelege festzustellen und von den verrechnungsfähigen Aufwendungen abzusetzen.
Im Falle der Verrechnung von Aufwendungen nach § 10 Abs. 3 und 4 AbwAG und der Inanspruchnahme von Zuwendungen in Form von nicht rückzahlbaren Zuschüssen des Landes, des Bundes und der Europäischen Union (sog. Fördermittel) sind die einschlägigen Vorschriften für diese Zuwendungen zu beachten. Der Anteil der Investitionskosten, der durch die Inanspruchnahme dieser Fördermittel abgedeckt wird, zählt nicht zu den Aufwendungen i. S. d. Vorschrift. Ebenfalls zählen auch Baukostenzuschüsse der Straßenbaulastträger für Entwässerungsanlagen, die dieser ansonsten selbst errichten müsste (z.B. Baukostenzuschuss für die Entwässerung einer Bundesstraße, weil die Entwässerung nun über die Mischwasserkanalisation des Zweckverbandes oder der Gemeinde erfolgt) nicht zu den Aufwendungen i. S. d. Vorschrift. Finanzhilfen des Freistaates, die zur Entschuldung der Aufgabenträger dienen, z.B. Strukturhilfe, bleiben hierbei unberücksichtigt.
Die Verrechnung ist für den nach § 4 Abs. 4 AbwAG erhöhten Teil der Abgabe ausgeschlossen ( § 10 Abs. 3 Satz 2 AbwAG). Das Verrechnungsverbot greift auch dann, wenn die Anwendbarkeit der Erhöhungsvorschrift des § 4 Abs. 4 AbwAG durch § 6 Abs. 2 AbwAG vermittelt wird (Urteil BVerwG vom 26.11.2003, Az. 9 C 4/03).
Antrag auf Verrechnung
Die Verrechnung nach § 10 Abs. 3 und 4 AbwAG ist gegenüber der zuständigen Behörde schriftlich zu beantragen. Der Abgabepflichtige hat die zur Nachprüfung erforderlichen Angaben zu machen und die dazugehörigen Unterlagen vorzulegen. Dazu ist regelmäßig unter Verwendung der im Anhang Teil B enthaltenen Formulare ( B/9c bis B/9e) erforderlich:
Ein Abgabepflichtiger kann auch Aufwendungen verrechnen, die er an einen anderen zur Errichtung oder Erweiterung einer ABa gemäß § 10 Abs. 3 AbwAG oder einer Abwasseranlage gemäß § 10 Abs. 4 AbwAG geleistet hat. Als Nachweis sind dem Antrag auf Verrechnung eine Bescheinigung des Trägers des Vorhabens über an ihn geleistete Zuwendungen sowie der Verwendungsnachweis dieser Zuwendungen beizufügen.
Im Falle eines Betreibermodells bleibt weiterhin die Gemeinde oder der Zweckverband abwasserabgabepflichtig. Nur sie können den Antrag auf Verrechnung der Abwasserabgabe stellen. Die Aufwendungen des privaten Betreibers werden in diesem Fall der abgabepflichtigen Körperschaft zugerechnet, da der Betreiber bei der Wahrnehmung der Abwasserbeseitigungspflicht nach außen nur als Erfüllungsgehilfe der Körperschaft auftritt.
Nachweis der Verrechnungsvoraussetzungen
Die zuständige Behörde kann für die Glaubhaftmachung die Vorlage von Sachverständigengutachten verlangen.
Der Abgabepflichtige hat im Falle der voraussichtlichen Inbetriebnahme den tatsächlichen Zeitpunkt der Inbetriebnahme unbeschadet wasserrechtlicher Festlegungen innerhalb eines Monats schriftlich bei der zuständigen Behörde anzuzeigen. Der Zeitpunkt ist andernfalls von Amts wegen festzustellen, damit der dreijährige Verrechnungszeitraum bestimmt werden kann ( § 10 Abs. 2 ThürAbwAG). Je nach den tatsächlichen Gegebenheiten der ABa und deren Einzugsgebiet liegt die Einfahrphase/Probebetrieb zwischen drei und sechs Monaten. Behördliche Kontrollen und Eigenkontrollergebnisse sind hierbei heranzuziehen.
Grundsätzlich ist für die Ermittlung der Frachtminderung als Ausgangswert der Wert des Abwassereinleitungsbescheides für das Jahr, in dem mit der Errichtung oder Erweiterung der Anlage begonnen wurde, zugrunde zu legen. Liegt ein solcher Wert nicht vor, so ist er von der zuständigen Behörde festzustellen. Liegen begründete Anhaltspunkte vor, dass der Bescheidwert wesentlich von den tatsächlichen Einleitverhältnissen abweicht, ist, wie bei Fehlen des Bescheidwertes, der Ausgangswert für die Frachtminderung von der zuständigen Behörde zu bestimmen. Begründete Anhaltspunkte können z.B. Werte der behördlichen Überwachung und/oder Eigenkontrolle, technische Voraussetzungen sowie evidente Sachverhalte, die die Bescheidwerte unglaubwürdig erscheinen lassen, sein. Als maßgeblicher Ausgangswert kann auch ein nach § 4 Abs. 5 AbwAG erklärter Wert herangezogen werden, wenn die Erklärung über mehrere Jahre abgegeben und jeweils mit der dauerhaften Leistungsfähigkeit der ABa begründet wurde (Urteil BVerwG vom 20.04.2005, Az. 9 C 4/04). Entsprechend dem Urteil des BVerwG wird für die Ermittlung des Ausgangswertes die zuständige Behörde den zugrunde zu legenden Zeitraum grundsätzlich dann zutreffend erfassen, wenn sie vom höchsten in den letzten fünf Jahren vor Inbetriebnahme ermittelten behördlichen Messergebnis ausgeht.
Die Verrechnungsfähigkeit der Aufwendungen ist nur dann gegeben, wenn der Endwert den Ausgangswert im Abwasserstrom um mindestens 20 % unterschreitet und eine Verringerung der Gesamtschadstofffracht beim Einleiten in das Gewässer bzw. bei Anschluss vorhandener Einleitungen an eine ABa insgesamt eine Minderung der Schadstofffracht erreicht wurde. Der Endwert und die Minderung der Gesamtschadstofffracht werden spätestens nach einer Betriebszeit von einem Jahr nach Inbetriebnahme der Anlage durch eine behördliche Überwachung ermittelt.
Vorbehalt der Nachprüfung
Ist bei der Festsetzung bzw. vor der Fälligkeit eine abschließende Überprüfung noch nicht möglich, so kann im Ausnahmefall die Abwasserabgabe unter vorläufiger Berücksichtigung der Verrechnung festgesetzt werden. Der Hinweis, dass die Verrechnungsvoraussetzungen noch der Nachprüfung bedürfen und dass ein eventuell nachzuentrichtender Betrag zu verzinsen ist, ist in den Festsetzungsbescheid mit aufzunehmen ( § 16 ThürAbwAG und § 164 AO).
Ist die Verrechnung unter den Vorbehalt der Nachprüfung gemäß § 16 Abs. 1 Ziffer 4b ThürAbwAG i. V. m. § 164 Abs. 1 AO gestellt, ist eine umfassende Überprüfung der rechtlichen bzw. tatsächlichen Voraussetzungen der Verrechnung und eine Änderung der Vorbehaltsverrechnung zu Gunsten bzw. zu Lasten des Abgabepflichtigen jederzeit zulässig, solange der Vorbehalt wirksam ist. Der Vorbehalt der Nachprüfung entfällt, wenn die Festsetzungsfrist abläuft ( § 16 Abs. 1 Ziffer 4b ThürAbwAG i. V. m. § 164 Abs. 4 Satz 1 AO).
Das Ergebnis der Nachprüfung ist gegenüber dem Abgabepflichtigen durch Bescheid festzustellen.
Ergibt die Nachprüfung, dass die Anlage nicht in Betrieb genommen wurde oder die erwartete Minderung nicht erreicht wird, so entsteht die Abgabe rückwirkend in voller Höhe. Die Abgabe ist dann zinspflichtig nachzuerheben ( § 10 Abs. 3 Sätze 4 und 5 AbwAG).
Liegen andere Gründe vor, aus denen die Verrechnung unter Vorbehalt rückgängig gemacht wird, ist die Abgabe ebenfalls nachzuerheben und ein neuer Fälligkeitstermin für den zu zahlenden Abgabebetrag zu bestimmen. Zinsen sind in diesem Falle nicht zu erheben, da eine Ermächtigung hierfür im § 10 Abs. 3 Satz 4 und 5 AbwAG fehlt und eine analoge Anwendung nicht in Betracht kommt.
Verrechnung und Vorauszahlung
Die Verrechnungsmöglichkeit nach § 10 Abs. 3 und 4 AbwAG soll bereits bei der Festsetzung der Vorauszahlungen für das Veranlagungsjahr berücksichtigt werden. Sie lässt die Ermäßigungsregelung nach § 9 Abs. 5 AbwAG im Rahmen der Ermittlung der Abwasserabgabe unberührt.
Rückzahlungsanspruch
Es entsteht ein Rückzahlungsanspruch, wenn sich die Verrechnung der entstandenen Aufwendungen auf bereits entrichtete Abgaben während des Verrechnungszeitraumes auswirkt. Diese bereits entrichteten Abwasserabgaben können bis zum Eintritt der Zahlungsverjährung nachträglich verrechnet und zurückerstattet werden (zur Zahlungsverjährung siehe Pkt. 5.5).
Betrifft die Rückzahlung des Erstattungsbetrages nicht das laufende Haushaltsjahr, ist der Erstattungsbetrag von der zuständigen Behörde bei der TLUG anzufordern und nach entsprechender Mittelzuweisung gegenüber dem Abgabepflichtigen durch Bescheid festzusetzen und die Rückzahlung vorzunehmen.
Konkrete Beispiele zur Verrechnung sind im Anhang Teil C enthalten.
4.1.7 Überwachung und Zusammenarbeit
Die Überwachung der Abwassereinleitungen und die Zusammenarbeit zwischen den Behörden erfolgen auf der Grundlage geltender Gesetze und Zuständigkeitsregelungen sowie der jeweiligen Aufgabenabgrenzung zwischen den Behörden.
Die zuständige Behörde überwacht nach § 18 ThürAbwAG die Erfüllung der nach dem AbwAG und ThürAbwAG begründeten Verpflichtungen, soweit die Überwachung nicht nach den wasserrechtlichen Vorschriften durchzuführen ist. Davon abweichend obliegt die Entnahme von Abwasserproben und deren Auswertung der TLUG.
Im Rahmen des AbwAG sind Einleiter (außer Einleitungen aus TOK mit ausschließlich Schmutzwasser aus Haushaltungen) grundsätzlich mindestens zweimal im Veranlagungszeitraum behördlich zu überwachen. Häufigere Überwachungen können z.B. aufgrund von Überschreitungen der ÜW, hoher Schadstofffrachten und der unvorhersehbaren Notwendigkeit der behördlichen Überwachung erforderlich sein.
Das Thüringer Landesverwaltungsamt legt im DV-Programm ABWAG die Beprobungshäufigkeit für jede Einleitstelle pro Parameter und Veranlagungsjahr bis spätestens 31. Januar des Veranlagungsjahres fest. Die Festlegung des Beprobungstermins erfolgt nur im Einzelfall. "Sonderproben" werden laufend erfasst. Sie sollen 10 % der "Regelüberwachung" nicht überschreiten. Der Datentransfer zur TLUG erfolgt über die Schnittstelle ABWAG-FIS Abwasser-LIMS.
Die Probenahme hat nach den Festlegungen des wasserrechtlichen Bescheides zu erfolgen. Bei einer Erklärung nach § 6 Abs. 1 Satz 1 AbwAG hat die zuständige Behörde bei der Art der Probenahme ein Auswahlermessen, wenn die Anforderungen in den Anhängen zur AbwV sowohl für die qualifizierte Stichprobe und die 2-Std.-Mischprobe festgelegt sind. Aus verwaltungsökonomischen Gründen ist in diesen Fällen in der Regel die qualifizierte Stichprobe anzuwenden (Beschluss BVerwG vom 20. August 1997, Az. 8 B 170.97).
Der Abgabepflichtige ist von einer stattgefundenen behördlichen Überwachung durch die TLUG unverzüglich zu informieren, soweit er nicht schon anderweitig von der Probenahme Kenntnis hat. Die TLUG hat dem Abgabepflichtigen die Überwachungsergebnisse zeitnah mitzuteilen. Die Mitteilung kann per Telefax erfolgen, wobei der Sendebericht zu den Akten zu nehmen ist.
Die TLUG stellt unmittelbar nach erfolgter Analyse der behördlichen Abwasserprobe, spätestens jedoch 4 Wochen nach der Probenahme die Analysenergebnisse elektronisch über die Schnittstelle LIMS-FIS Abwasser an das DV-Programm ABWAG bereit. Spätestens zum 15. Februar des folgenden Jahres ist durch die TLUG der zuständigen Behörde zu bescheinigen, dass alle Abwasseranalysen des Vorjahres vollständig über die Schnittstelle bereitgestellt wurden.
Erfolgt die behördliche Überwachung von Abwassereinleitungen ausschließlich aufgrund wasserrechtlicher Vorschriften, sind die Kosten für Probenahme und Abwasseruntersuchung von der TLUG durch Bescheid gegenüber dem Abwassereinleiter festzusetzen ( § 1 ThürVwKostG).
Aussagen über Verdünnung oder Vermischung je nach Art der Abwasseranlage sind von der dafür zuständigen Fachbehörde zu treffen. Andere Mitteilungspflichten, insbesondere Mitteilungen von Feststellungen, die ein unverzügliches Tätigwerden der zuständigen Wasserbehörden erfordern, bleiben unberührt.
Untere Wasserbehörden und Thüringer Landesverwaltungsamt informieren sich wechselseitig über stillgelegte oder neue Einleitstellen. Eine bloße Erfassung in den DV-Programmen FIS Abwasser und ABWAG ist dabei nicht ausreichend. Die Mitteilungspflicht des Abgabepflichtigen über Veränderungen an den Einleitstellen bleibt hiervon unberührt.
4.1.7.1 Erhöhung der Abwasserabgabe
( § 4 Abs. 4 AbwAG)
Der § 4 Abs. 4 AbwAG regelt die Erhöhung der Schadeinheiten für die Abgabeberechnung bei Überschreitung der ÜW im Veranlagungszeitraum. Den im Einleitungsbescheid festgelegten ÜW werden die gemäß § 6 Abs. 1 Satz 1 AbwAG erklärten Werte abgaberechtlich gleichgestellt.
Die Überprüfung der Einhaltung der ÜW erfolgt durch einen Vergleich der im Einleitungsbescheid festgelegten oder der nach § 6 Abs. 1 Satz 1 AbwAG erklärten Werte mit den Messwerten der behördlichen Überwachung. Dabei ist § 6 der AbwV anzuwenden. Danach gilt ein ÜW auch als eingehalten, wenn die Ergebnisse dieser und der vier vorausgegangenen staatlichen Überprüfungen in vier Fällen den jeweils maßgebenden Wert nicht überschreiten und kein Ergebnis den Wert um mehr als 100 % übersteigt (4 aus 5-Regel). Überprüfungen, die länger als drei Jahre zurückliegen, bleiben unberücksichtigt.
Die in der Anlage zu § 3 AbwAG enthaltenen Schwellenwerte sind absolut einzuhaltende Werte, d. h., die 4 aus 5-Regel ist nicht anwendbar. Werden die Schwellenwerte nach der Konzentration nicht eingehalten, so ist zu prüfen, ob der Schwellenwert Jahresmenge (Schwellenwert Jahresmenge = Konzentration x JSM) ebenfalls überschritten wurde. Erst wenn dies der Fall ist, ist für eine Überschreitung die Abgabe zu berechnen.
Im Rahmen des § 4 Abs. 4 AbwAG können verschiedene Fälle auftreten.
a) Der Messwert überschreitet zwar den ÜW, dieser gilt aber dennoch als eingehalten.
| Folge: | keine Erhöhung |
| Beispiel: | ÜW CSB: 50 mg/l Messwerte: 50, 30, 40, 35, 60 mg/l Zwar überschreitet der Messwert von 60 mg/l den festgelegten ÜW von 50 mg/l, doch gilt dieser noch als eingehalten. |
Zwar überschreitet der Messwert von 60 mg/l den festgelegten ÜW von 50 mg/l, doch gilt dieser noch als eingehalten.
b) Der ÜW wird überschritten und gilt einmal als nicht eingehalten ( § 4 Abs. 4, Satz 4 1. Halbsatz AbwAG).
| Folge: | Erhöhung der Zahl der Schadeinheiten um die Hälfte des Prozentsatzes, um den der höchste gemessene Einzelwert den ÜW überschreitet. |
| Beispiel 1: | ÜW CSB: 50 mg/l Messwerte: 30, 50, 40, 35, 75, 60 mg/l Der Messwert 75 mg/l liegt zwar über dem ÜW von 50 mg/l, doch gilt der ÜW bis zu diesem Messwert noch als eingehalten. Erst beim letzten Messwert 60 mg/l gilt der ÜW nicht mehr als eingehalten. Maßgebend für die Erhöhung ist aber der höchste gemessene Einzelwert, d. h. 75 mg/l. Dieser liegt um 50 % über dem ÜW von 50 mg/l, so dass eine Erhöhung um 25 % (nur für den Parameter CSB) erfolgt. |
| Beispiel 2: | ÜW CSB: 50 mg/l Messwerte: 30, 50, 40, 45, 100, 140 mg/l Der Messwert 100 mg/l liegt zwar über dem ÜW von 50 mg/l, doch gilt der ÜW bis zu diesem Messwert noch als eingehalten. Erst beim letzten Messwert 140 mg/l gilt der ÜW nicht mehr als eingehalten. Da der höchste gemessene Einzelwert von 140 mg/l um 180 % über dem ÜW von 50 mg/l liegt, erfolgt für den Parameter CSB eine Erhöhung um 90 %. |
| Beispiel 3: | ÜW CSB: 50 mg/l Messwerte: 30, 50, 40, 45, 135 mg/l Der Messwert 135 mg/l liegt mit 170 % über dem ÜW von 50 mg/l und gilt als einmal nicht eingehalten, so dass eine Erhöhung um 85 % für den Parameter CSB erfolgt. |
c) Der ÜW wird überschritten und gilt mehr als einmal nicht als eingehalten ( § 4 Abs. 4, Satz 4, 2. Halbsatz AbwAG).
| Folge: | Erhöhung der Zahl der Schadeinheiten um den vollen Prozentsatz, um den der höchste gemessene Einzelwert den ÜW überschreitet. |
| Beispiel 1: | ÜW CSB: 50 mg/l Messwerte: 40, 30, 40, 110, 150 mg/l Erhöhung um 200 %, da der höchste gemessene Einzelwert (150 mg/l) den ÜW von 50 mg/l um 200 % überschreitet. |
| Beispiel 2: | ÜW CSB: 50 mg/l Messwerte: 30, 50, 40, 45, 140, 100 mg/l Erhöhung um 180 %, da der höchste gemessene Einzelwert (140 mg/l) den ÜW von 50 mg/l um 180 % überschreitet. |
d) Der Einleitungsbescheid enthält nicht für alle abgaberelevanten Kriterien ÜW und die Messwerte überschreiten die in der Anlage zu § 3 AbwAG angegebenen Schwellenwerte ( § 4 Abs. 4 Satz 5 AbwAG).
| Folge: | |
| I | Bei einmaliger Überschreitung des Schwellenwertes wird die Zahl der Schadeinheiten um die Hälfte des Prozentsatzes erhöht, um den der höchste gemessene Einzelwert den Schwellenwert überschreitet.
Beispiel: Messwerte CSB: 15, 15, 15, 25 mg/l Zunächst wird unter Zugrundelegung des Schwellenwertes von 20 mg/l die Zahl der Schadeinheiten berechnet. Anschließend wird diese um 12,5 % erhöht, da der Messwert von 25 mg/l um 25 % über dem Schwellenwert von 20 mg/l liegt. |
| II | Bei mehrmaliger Überschreitung des Schwellenwertes wird die Zahl der Schadeinheiten um den vollen Prozentsatz erhöht, um den der höchste gemessene Einzelwert den Schwellenwert überschreitet.
Beispiel: Messwerte CSB: 15, 15, 25, 30 mg/l Da der höchste gemessene Einzelwert 30 mg/l um 50 % über dem Schwellenwert von 20 mg/l liegt und dieser zweimal überschritten wurde, erfolgt eine Erhöhung um 50 %. |
e) Der Einleitungsbescheid enthält neben dem maßgeblichen ÜW nach § 4 Abs. 1 Satz 2 AbwAG auch noch ÜW für kürzere Zeiträume und lediglich der ÜW für den kürzeren Zeitraum wird nicht eingehalten ( § 4 Abs. 4 Satz 6 AbwAG).
| Folge: | |
| I | Bei einmaliger Überschreitung des ÜW für den kürzeren Zeitraum wird die Zahl der Schadeinheiten um die Hälfte des Prozentsatzes erhöht, um den der höchste gemessene Einzelwert den ÜW für den kürzeren Zeitraum überschreitet.
Beispiel: ÜW CSB für die 2-Std.-Mischprobe: ÜW CSB für die Stichprobe: Messwerte in 2-Std.-Mischprobe: Messwerte in Stichprobe: Maßgebend für die Abgabeberechnung ist der ÜW für die 2-Std.-Mischprobe ( § 4 Abs. 1 Satz 3 AbwAG). Obwohl dieser ÜW nicht überschritten wird, erfolgt eine Erhöhung der Schadeinheiten dieses ÜW, weil der ÜW der Stichprobe nicht eingehalten wurde. Da der festgelegte ÜW (Stichprobe) von 60 mg/l um 25 % überschritten wurde, erfolgt eine Erhöhung um 12,5 %. |
| II | Bei mehrmaliger Überschreitung des ÜW für den kürzeren Zeitraum wird die Zahl der Schadeinheiten um den vollen Prozentsatz erhöht, um den der höchste gemessene Einzelwert den ÜW für den kürzeren Zeitraum überschreitet. |
f) Der Einleitungsbescheid enthält eine Festlegung für die in einem bestimmten Zeitraum (z.B. pro Tag) einzuhaltende Abwassermenge, wobei es sich in der Regel um einen absoluten Höchstwert handeln wird. Wird diese Abwassermenge überschritten (die 4 aus 5-Regel ist hier nicht anwendbar), ist die Zahl der Schadeinheiten für alle im Bescheid begrenzten ÜW entsprechend Fall d) um den vollen oder den halben Prozentsatz, um den der höchste gemessene Wert die für den kürzeren Zeitraum festgelegte Abwassermenge überschreitet, zu erhöhen ( § 4 Abs. 4 Satz 7 AbwAG). Das Gleiche gilt für die nach § 6 Abs. 1 AbwAG erklärten Werte, wenn die Abwassermenge überschritten wird ( § 6 Abs. 2 AbwAG).
g) Der Einleitungsbescheid enthält Festlegungen für eine in einem bestimmten Zeitraum einzuhaltende Schadstofffracht. Werden diese Festlegungen überschritten oder gelten sie als nicht eingehalten, so ist die Zahl der Schadeinheiten entsprechend § 4 Abs. 4 Satz 4 AbwAG (Fälle b) und c)) um den vollen oder um den halben Prozentsatz, um den die gemessene Fracht die festgelegte Fracht überschreitet, zu erhöhen ( § 4 Abs. 4 Satz 6 AbwAG).
h) Der Einleitungsbescheid enthält auch ÜW für kürzere Zeiträume und/oder Festlegungen hinsichtlich der Abwassermenge und/oder der Schadstofffracht. Wenn nun diese ÜW und/oder Festlegungen und die ÜW nach § 4 Abs. 1 AbwAG nicht eingehalten werden, ist zunächst festzustellen, um welchen Prozentsatz in jedem Einzelfall die Zahl der Schadeinheiten erhöht werden müsste. Maßgebend für die Erhöhung der Schadeinheiten ist dann der höchste anzuwendende Prozentsatz ( § 4 Abs. 4 Satz 8 AbwAG).
| Beispiel 1: | ÜW CSB für die 24-Std.-Mischprobe: 50 mg/l ÜW CSB für die 2-Std.-Mischprobe: Messwerte in 24-Std.-Mischprobe: Messwerte in 2-Std.-Mischprobe: Während bei den Messwerten der 24-Std.- Mischprobe der ÜW nur einmal als nicht eingehalten gilt, gilt er bei den Messwerten der 2-Std.-Mischprobe zweimal als nicht eingehalten. Die Zahl der Schadeinheiten ist daher um 150 % zu erhöhen, da der höchste gemessene Einzelwert von 150 mg/l der 2-Std.-Mischprobe um diesen Prozentsatz über dem ÜW von 60 mg/l liegt und diesen zweimal überschreitet. |
| Beispiel 2: | ÜW CSB für die 2-Std.-Mischprobe: 50 mg/l Abwassermenge: Messwerte CSB: Messwerte Abwassermengen: |
i) Ob ein ÜW im Veranlagungsjahr einmal oder mehrmals nicht eingehalten ist, richtet sich nach der Anzahl der Überschreitungen im Veranlagungsjahr.
| Beispiel 1: | ÜW CSB: 90 mg/l
Messwerte 2014: Messwerte 2015: Messwerte 2016: Im Veranlagungsjahr 2016 ist der ÜW einmal nicht eingehalten. |
| Beispiel 2: | ÜW CSB: 90 mg/l
Messwerte 2015: Messwerte 2016: Der Messwert 110 mg/l gilt zunächst wegen der 4 im Vorjahr vorausgegangenen Messwerte im Sinne der 4 aus 5-Regel als eingehalten. Der Messwert 100 mg/l erfüllt die 4 aus 5-Regel nicht, da innerhalb der 4 vorausgegangenen Messwerte ein erhöhter Wert (110 mg/l) ermittelt wurde. Der Messwert 95 mg/l erfüllt die 4 aus 5-Regel, der Messwert 105 mg/l nicht mehr. Im Veranlagungsjahr 2016 ist der ÜW zweimal nicht eingehalten. Dabei ist als höchster für die Erhöhung maßgeblicher Wert der höchste Messwert des Jahres 2016, nämlich 110 mg/l zu verwenden, obwohl dieser zunächst wegen der 4 aus 5-Regel als eingehalten galt. |
j) Der ÜW ist gegenüber dem Vorjahr verschieden und bei der Überprüfung müssen Messwerte des Vorjahres herangezogen werden, da für die 4 aus 5-Regel im zu prüfenden Veranlagungszeitraum nicht ausreichend Messwerte zur Verfügung stehen. Für die Einhaltung des ÜW dürfen die 4 vorausgegangenen staatlichen Überprüfungen den jeweils zum Zeitpunkt der Probenahme geltenden ÜW nicht überschreiten und kein Ergebnis darf diesen Wert um mehr als hundert Prozent übersteigen.
| Beispiel 1: | 2015 ÜW CSB: 90 mg/l
Messwerte: 2016 ÜW CSB: 100 mg/l Messwerte: Der Messwert 105 mg/l überschreitet den ÜW 100 mg/l einmal, da bei den 4 vorausgegangenen Überprüfungen der Messwert 92 mg/l den ÜW 90 mg/l aus dem Jahr 2015 überschreitet. Der Messwert 105 mg/l liegt 5 % über dem ÜW, so dass dieser um 2,5 % erhöht wird (vgl. b)). |
| Beispiel 2: | 2015 ÜW CSB: 100 mg/l
Messwerte: Messwerte: Der Messwert von 95 mg/l überschreitet zwar den ÜW 90 mg/l aus dem Jahr 2016, doch gilt dieser noch als eingehalten, da die Messwerte aus dem Vorjahr den damaligen ÜW von 100 mg/l nicht überschritten hatten. |
k) Liegen in einem Veranlagungsjahr zwei ÜW für einen Parameter vor (z.B. bei Bescheidanpassung innerhalb eines Jahres), richtet sich die Erhöhung nach dem Prozentsatz, um den der höchste gemessene Einzelwert den ÜW im Zeitraum 1 und um den der höchste gemessene Einzelwert den ÜW im Zeitraum 2 überschreitet. D. h., die Zahl der Schadeinheiten im Veranlagungsjahr wird aus der Summe der Zahl der Schadeinheiten für die beiden Zeiträume ermittelt, erhöht um den Prozentsatz der jeweils höchst gemessenen Überschreitung des ÜW für den jeweiligen Zeitraum.
| Beispiel: | ÜW CSB vom 01.01.2016 - 31.05.2016: 200 mg/l Messwerte: ÜW CSB vom 01.06.2016 - 31.12.2016: Messwerte: Der ÜW von 200 mg/l ist eingehalten. Der Messwert 165 mg/l erfüllt die 4 aus 5-Regel nicht. Der ÜW von 110 mg/l ist damit einmal nicht eingehalten. Die Schadeinheiten für diesen ÜW werden um 25 % erhöht. |
l) Der ÜW Nges. wurde im Einleitungsbescheid an eine Abwassertemperatur von 12 °C und größer am Ablauf des biologischen Reaktors der ABa gekoppelt bzw. für den Zeitraum 1. Mai bis 31. Oktober begrenzt.
Für die Berechnung der Abwasserabgabe gilt der ÜW Nges. für das gesamte Veranlagungsjahr. Alle Messwerte für Nges. sind in die Auswertung einzubeziehen.
I: Wird der ÜW Nges. bei einer Abwassertemperatur von kleiner 12 °C bzw. in der Zeit vom 1. November bis 30. April überschritten, hat diese Überschreitung keine Erhöhung der Abwasserabgabe zur Folge.
II: Wird der ÜW Nges. bei einer Abwassertemperatur von größer 12 °C bzw. in der Zeit vom 1. Mai bis 30. Oktober überschritten, dann werden die Schadeinheiten für das gesamte Veranlagungsjahr gemäß § 4 Abs. 4 AbwAG erhöht (s. Beispiele b) bis j)).
Im Festsetzungsbescheid erfolgt die Berechnung der erhöhten Schadeinheiten über einen Erhöhungsfaktor (Erh) entsprechend der Anzahl der Nichteinhaltung des ÜW.
Einmalige Nichteinhaltung:
Erh = 1 + 0,5 x (maximaler Messwert - wirksamer ÜW)/wirksamer ÜW
Mehrmalige Nichteinhaltung:
Erh = 1 + (maximaler Messwert - wirksamer ÜW)/wirksamer ÜW
4.1.7.2 Ermäßigung der Abwasserabgabe
( § 9 Abs. 5 AbwAG)
Eine Ermäßigung nach § 9 Abs. 5 AbwAG ist trotz eines unzulässig hohen Fremdwasseranteils (mehr Fremdwasser als Schmutzwasser) allerdings beim CSB dann zulässig, wenn der Abwassereinleiter nachweist, dass die ABa trotz des hohen Fremdwasseranteils durch die mechanischbiologische Abwasserreinigung mindestens 80 % der CSB-Fracht zurückhält. Der Nachweis ist durch mindestens sieben monatlich und tagesversetzt, korrespondierende 24-Stunden-Mischproben zu führen, wobei im arithmetischen Mittel mindestens ein Abbau von 80 % vorliegen muss. D. h., in sieben aufeinanderfolgenden Monaten muss einmal eine 24-Stunden-Mischprobe pro Monat so vorliegen, dass insgesamt jeder Wochentag enthalten ist. Die Überprüfungen einschließlich der Analysen haben bei Trockenwetter zu erfolgen.
Spätestens nach 5 Jahren ist dieser Nachweis erneut zu führen. Darüber hinaus ist ein erneuter Nachweis dann erforderlich, wenn Veränderungen der Einleitungsbedingungen eintreten (z.B. bei Anschluss zusätzlicher Flächen).
Die Gewährung der Ermäßigung für die Parameter Pges. und Nges. hängt von der jeweiligen Größenklasse der ABa ab:
| Größenklasse | Ermäßigung Pges. | Ermäßigung Nges. |
| 1 und 2 | wenn der geforderte 80 % ige Abbau der CSB-Fracht nachgewiesen wurde oder eine gezielte Phosphorelimination (z.B. Fällung, biologisches Verfahren) vorgenommen wurde | wenn der geforderte 80 % ige Abbau der CSB-Fracht nachgewiesen wurde oder Ammonium-Stickstoff gezielt behandelt wird |
| 3 | wenn der geforderte 80 % ige Abbau der CSB-Fracht nachgewiesen wurde oder eine gezielte Phosphorelimination (z.B. Fällung, eingehalten wurde biologisches Verfahren) | wenn der in der AbwV festgelegte Wert für Ammonium-Stickstoff durch eine gezielte Behandlung vorgenommen wurde |
| 4 und 5 | wenn eine gezielte Phosphorelimination (z.B. Fällung, biologisches Verfahren) vorgenommen wurde | wenn eine gezielte Stickstoffelimination vorgenommen wurde |
Beispiel:
Der Anhang 1 der AbwV stellt für ABa der Größenklasse 1 und 2 keine Anforderungen für die Parameter Phosphor und Stickstoff. Der Stand der Technik ist für die Parameter Phosphor und Stickstoff dann nicht eingehalten, wenn die Mindestanforderung für CSB nicht eingehalten wurde und somit keine ordnungsgemäße biologische Reinigung erfolgte, die auch Einfluss auf die Elimination von Phosphor und Stickstoff hat. Die Ermäßigung für Phosphor und Stickstoff kann somit grundsätzlich nicht gewährt werden. Das gilt auch dann, wenn für diese Anlagen ÜW aus einem Einleitungsbescheid oder einer Erklärung nach § 6 Abs. 1 Satz 1 AbwAG vorliegen und diese eingehalten wurden, es sei denn, dass die Elimination von Phosphor und Stickstoff substantiiert vom Abgabepflichtigen dargelegt wurde.
4.1.8 Ausnahmen von der Abgabepflicht
4.1.8.1 Ausnahmen von der Abgabepflicht nach § 10 Abs. 1 AbwAG
Voraussetzung einer Ausnahme von der Abgabepflicht nach § 10 Abs. 1 Nr. 1 AbwAG ist, dass die Schädlichkeit des Wassers nach der Entnahme nicht erhöht wird. Das gilt z.B. für die Entnahme und das Wiedereinleiten von Kühlwasser, das nicht zusätzlich verschmutzt wird. Dabei ist unerheblich, ob das Wasser in das Gewässer eingeleitet wird, aus dem es auch entnommen worden ist.
Voraussetzung einer Ausnahme von der Abgabepflicht nach § 10 Abs. 1 Nr. 2 AbwAG ist, dass
Die Ausnahmeregelung des § 10 Abs. 1 Nr. 3 AbwAG gilt nicht für das Einleiten aus Wohn- und Hotelschiffen, die einen überwiegend festen Standort haben.
Das Einleiten von Niederschlagswasser von bis zu drei Hektar großen befestigten gewerblichen Flächen und von Schienenwegen der Eisenbahnen über eine nichtöffentliche Kanalisation bleibt nach § 10 Abs. 1 Nr. 4 AbwAG ebenfalls abgabefrei.
Der Nachweis über die Erfüllung der Voraussetzungen für die Ausnahme von der Abgabepflicht ist von dem Einleiter zu erbringen.
4.1.8.2 Ausnahmen bei Einleitung in Untergrundschichten
( § 10 Abs. 2 AbwAG, § 9 ThürAbwAG)
Über eine Ausnahme von der Abgabepflicht nach § 10 Abs. 2 AbwAG und § 9 ThürAbwAG entscheidet die zuständige Behörde auf Antrag. Dem Antrag sind Nachweise darüber beizufügen, dass
Ein gesonderter Nachweis ist nicht erforderlich, wenn diese Voraussetzungen bereits im Zuge des Verfahrens zur Erteilung der Einleitungserlaubnis nachgewiesen worden sind.
4.2 Abwasserabgabe für Niederschlagswasser
( § 7 AbwAG, § 5 ThürAbwAG)
(Formulare B/7a, B/7b)
Die Einleitung von Niederschlagswasser, das aus dem Bereich von bebauten oder befestigten Flächen gesammelt abfließt, ist abgabepflichtig. Die Zahl der Schadeinheiten wird nach § 7 Abs. 1 AbwAG pauschaliert. Bei der Pauschalierung sind die Verhältnisse am 30. Juni des Veranlagungsjahres (Einwohnerzahl mit Haupt- und Nebenwohnsitz, Flächengröße) maßgebend ( § 5 Abs. 2 ThürAbwAG). Kommt der Abgabepflichtige seiner Erklärungspflicht nicht nach, kann die Zahl der Schadeinheiten durch die zuständige Behörde geschätzt werden ( § 12 Abs. 1 AbwAG).
Befestigte gewerbliche Flächen sind z.B. Dachflächen, Hof- und Terrassenflächen sowie Verkehrsflächen (Straßen, Parkplätze, betriebliche Schienenwege u. Ä.), die zu einem Betriebsgelände gehören, nicht jedoch militärisch genutzte Liegenschaften, Hochschulen etc., die keiner gewerblichen Nutzung dienen.
Niederschlagswasser, das von öffentlichen Straßen usw. nicht gesammelt abfließt, ist abgabefrei.
4.2.1 Niederschlagswasser von befestigten gewerblichen Flächen
Niederschlagswasser, das von bis zu drei Hektar großen befestigten gewerblichen Flächen und von Schienenwegen der Eisenbahnen über eine nichtöffentliche Kanalisation eingeleitet wird, bleibt abgabefrei.
Für die Abgabepflicht bzw. Abgabefreiheit ist bei gewerblichen Einleitungen nur maßgebend, ob die gesamte befestigte Fläche größer als drei Hektar ist. Es ist unerheblich, ob über eine oder mehrere Einleitstellen entwässert wird. Bei der Berechnung der Abwasserabgabe für Niederschlagswasser, das von gewerblichen Flächen über eine nichtöffentliche Kanalisation eingeleitet wird, ist die Flächengröße des befestigten Betriebsgeländes zu ermitteln und auf volle Hektar abzurunden.
4.2.2 Niederschlagswasser aus öffentlichen Kanalisationen
Für Niederschlagswasser, das über eine öffentliche Kanalisation eingeleitet wird, ist erstmals ab Veranlagungsjahr 2011 Abwasserabgabe zu zahlen.
Unter einer öffentlichen Kanalisation wird jeder offene oder geschlossene Kanal verstanden, der zur Entsorgung der Abwässer der Allgemeinheit dient. Die Zahl der angeschlossenen Abwasserproduzenten ist unerheblich. Es genügt, dass ein Anschluss für alle möglich ist, die örtlich in Betracht kommen. Auf die Rechtsstellung des Trägers kommt es dabei nicht an. Ein nichtöffentlicher Kanal ist hingegen ein offener oder geschlossener Kanal, der zur Entsorgung eines einzelnen Grundstückes Niederschlagswasser (u. U. zusammen mit anderem Abwasser) ableitet. Werden an eine nichtöffentliche Kanalisation Dritte angeschlossen, ohne dass sie Mitbetreiber werden, so wird die private Anlage allein durch die Mitbenutzung zu einer öffentlichen Kanalisation.
Die Erklärung hat nicht für jede Einleitstelle, sondern insgesamt für jede Gemeinde gemäß Formular B/7b zu erfolgen.
Bei Trennkanalisationen wird im Rahmen der Festsetzung der Abwasserabgabe regelmäßig unterstellt, dass das Niederschlagswasser vor seiner Einleitung nicht behandlungsbedürftig war oder eine Niederschlagswasserbehandlungsanlage entsprechend der wasserrechtlichen Erlaubnis errichtet wurde.
Für Niederschlagswasser, das über eine Mischwasserkanalisation in das Gewässer eingeleitet wird, kann die Anzahl der Einwohner, für die Niederschlagswasserabgabe anfällt, pauschal über das Verhältnis von erforderlichem zu errichtetem Gesamtspeichervolumen oder nach den konkreten Einwohnerzahlen ermittelt werden.
4.2.3 Abgabefreiheit
Nach § 5 Abs. 1 ThürAbwAG ist die Einleitung von Niederschlagswasser auf Antrag abgabefrei, soweit es in einer Abwasseranlage behandelt wird, die den a. a. R. d. T. entspricht und ordnungsgemäß betrieben wird. A. a. R. d. T. im Sinne des § 5 Abs. 1 ThürAbwAG sind auch erfüllt, wenn das Niederschlagswasser vor seiner Einleitung überhaupt nicht behandlungsbedürftig ist und aus diesem Grunde eine Behandlungsanlage nicht errichtet wurde. Dies kann z.B. der Fall sein, wenn festgestellt wird, dass vom Unternehmen keine nennenswerten Emissionen ausgehen, die die Flächen verschmutzen und nachgewiesen ist, dass die gewerbliche Fläche hinsichtlich ihrer Verschmutzung einem Wohngebiet vergleichbar ist. Bei Niederschlagswasser von befestigten gewerblichen Flächen ist dem Antrag regelmäßig ein entsprechender Nachweis beizufügen.
Für Niederschlagswasser aus öffentlichen Kanalisationen ist kein separater Antrag erforderlich, da die Anzahl der Einwohner nach der Art und Weise der Niederschlagswassereinleitung zu erklären ist und sich hieraus bereits eine Abgabepflicht oder Abgabefreiheit ergibt. Trennkanalisationen werden demzufolge grundsätzlich als abgabefrei angesehen.
Wird jedoch das Niederschlagswasser eines im Trennsystem entwässerten Wohngebietes letztendlich wieder in eine TOK eingeleitet und dort mit nicht nach dem Stand der Technik vorbehandeltem Abwasser vermischt, entfällt die Abgabefreiheit für die Anzahl der Einwohner dieses Trennsystems.
Bei der Ableitung von Niederschlagswasser über eine Mischwasserkanalisation mit anschließender Behandlung muss sowohl die Behandlungsanlage als auch die Kanalisation den a. a. R. d. T. entsprechen. Für die Kanalisation ist hierbei das ATV-Arbeitsblatt a 128 einschlägig. Der Abgabepflichtige hat auf Anforderung entsprechende Unterlagen (z.B. Berechnung gemäß ATV-a 128 Anhang 3, Generalentwässerungsplan) vorzulegen.
4.3 Abwasserabgabe für Kleineinleitungen
( § 8 AbwAG, § 6 ThürAbwAG)
(Formulare B/8a,bis B/8c)
Anstelle von Einleitern, die weniger als 8 m3/d häusliches Schmutzwasser oder diesem in seiner Art und Zusammensetzung ähnlichem Schmutzwasser (z.B. Abwasser von Hotels, Gemeinschaftsunterkünften, Belegschaftsabwasser von Betrieben) einleiten, sind nach § 7 Abs. 1 ThürAbwAG die Gemeinden oder die zum Zwecke der Abwasserbeseitigung gebildeten Körperschaften des öffentlichen Rechts abgabepflichtig. Bei der Menge von 8 m3/d ist nicht auf Durchschnittswerte, sondern auf Spitzenwerte abzustellen. Auch TOK, deren Menge weniger als 8 m3/d beträgt, können abgaberechtlich als Kleineinleitungen angesehen werden. Die Zahl der Schadeinheiten beträgt 50 % der nicht an die öffentliche Kanalisation angeschlossenen Einwohner. Ist die Zahl der Einwohner nicht oder nur mit unverhältnismäßigem Aufwand zu ermitteln, kann sie geschätzt werden ( § 8 Abs. 1 Satz 2 AbwAG). Bei der Berechnung oder Schätzung der nicht an die Kanalisation angeschlossenen Einwohner ist von den Verhältnissen am 30. Juni des Veranlagungsjahres auszugehen ( § 6 Abs. 3 ThürAbwAG). Als Einwohner sind grundsätzlich alle mit Haupt- und Nebenwohnsitz gemeldeten Personen zu zählen. Unberücksichtigt bleiben dabei Einwohner,
Bei der Berechnung der Schadeinheiten für die Einleitung von nicht aus Haushaltungen stammendem, aber ähnlich verschmutztem Schmutzwasser sind im Rahmen der Schätzung nach § 8 Abs. 1 Satz 2 AbwAG je 45 m3/a Schmutzwasser 0,5 Schadeinheiten zugrunde zu legen, falls die Gründe zur Abgabebefreiung, die in diesem Abschnitt enthalten sind, nicht angewendet werden können. Ähnlich verschmutztes Schmutzwasser ist in diesem Zusammenhang das in seiner Art und Zusammensetzung mit dem häuslichen vergleichbare Schmutzwasser, das abwassertechnisch in gleicher Weise (z.B. durch Kleinkläranlagen) zu behandeln ist. Die Konzentrationswerte des unbehandelten Abwassers dürfen nur unwesentlich (max. 30 %) über den Werten für häusliches Abwasser liegen. Ein entsprechender Nachweis, der zu Lasten des Abgabepflichtigen geht, kann von der zuständigen Behörde gefordert werden.
Kommt der Abgabepflichtige der Erklärungspflicht nicht nach, kann die Zahl der Schadeinheiten durch die zuständige Behörde geschätzt werden ( § 12 Abs. 1 AbwAG). Es besteht aber auch gemäß § 12 Abs. 2 AbwAG die Möglichkeit, den Kleineinleiter unmittelbar im Wege der Schätzung zur Abgabe heranzuziehen. In diesem Fall haften der Abgabepflichtige und der Kleineinleiter als Gesamtschuldner.
5 Leistungsanspruch
5.1 Angaben im Festsetzungsbescheid
Der Festsetzungsbescheid muss enthalten:
5.2 Erstattungen
Dem Abgabepflichtigen zu erstattende Beträge sind durch Bescheid festzusetzen.
5.3 Fälligkeit
Die Fälligkeit ist durch die Bestimmung eines Kalendertages festzusetzen. Der Bescheid ist so rechtzeitig zu versenden, dass er mindestens drei Monate vor dem Fälligkeitstag zugestellt ist.
5.4 Säumniszuschlag
Erfolgt die Zahlung des Abgabepflichtigen nicht bis zum Ablauf des Fälligkeitszeitpunktes, hat er für jeden angefangenen Monat der Säumnis einen Säumniszuschlag von ein Prozent des abgerundeten rückständigen Abgabebetrages zu entrichten. Abzurunden ist auf den nächsten durch fünfzig Euro teilbaren Betrag ( § 17 Abs. 1 Ziffer 5 ThürAbwAG i. V. m. § 240 AO). Wird die Festsetzung der Abgabe aufgehoben oder geändert, so bleiben die bis dahin verwirkten Säumniszuschläge unberührt. Insofern kommt es für die Festsetzung von Säumniszuschlägen nur darauf an, dass ein wirksamer Festsetzungsbescheid vorliegt und die Abgabe trotz Fälligkeit nicht entrichtet wurde. Ob der Festsetzungsbescheid rechtswidrig ist, ist unerheblich. Ein Säumniszuschlag wird bei einer Säumnis bis zu 3 Tagen nicht erhoben. Der Säumniszuschlag ist zeitnah mit dem DV-Programm ABWAG festzusetzen. Ein Widerspruch gegen einen Bescheid, mit dem Säumniszuschläge festgesetzt wurden, hat aufschiebende Wirkung (Beschluss ThürOVG vom 23.11.2007, Az. 4 EO 536/07).
5.5 Zahlungsverjährung
Nach § 15 Abs. 2 Satz 1 ThürAbwAG verjährt der Anspruch auf Zahlung der Abwasserabgabe bzw. auf die Erstattung überzahlter Beträge in fünf Jahren. Dabei beginnt nach § 15 Abs. 2 Satz 2 ThürAbwAG die Zahlungsverjährung mit dem Ablauf des Kalenderjahres, in dem die Abwasserabgabe fällig geworden oder der Erstattungsanspruch entstanden ist. Der Erstattungsanspruch im Rahmen der Verrechnung entsteht zu dem Zeitpunkt, in dem die Abwasseranlage in Betrieb gegangen ist.
Mit dem Eintritt der Zahlungsverjährung erlöschen die Ansprüche aus dem Abgabenschuldverhältnis gemäß § 17 Abs. 1 Nr. 1 und Abs. 2 ThürAbwAG i. V. m. § 232 AO. Die Zahlungsverjährung kann nach § 17 Abs. 1 Nr. 1 und Abs. 2 ThürAbwAG i. V. m. § 231 Abs. 1 Satz 1 AO durch bestimmte Handlungen unterbrochen werden, unter anderem durch schriftliche Geltendmachung des Anspruches, durch Zahlungsaufschub, durch Stundung, durch Aussetzung der Vollziehung, durch Sicherheitsleistung oder durch Vollstreckungsaufschub. Bei den Unterbrechungshandlungen der Behörde ist darauf zu achten, dass sie dem Adressaten bekanntgegeben werden. Rein innerdienstliche Maßnahmen ohne Außenwirkung unterbrechen die Verjährung nicht. Die Frist ist gemäß § 231 Abs. 1 Satz 2 i. V. m. § 169 Abs. 1 Satz 3 AO auch gewahrt, wenn das Schriftstück, das die Verjährung unterbrechen soll, vor Ablauf der Verjährungsfrist die zuständige Behörde verlassen hat und erst nach Ablauf der Verjährungsfrist dem Schuldner zugeht. Der Antrag auf Verrechnung unterbricht gemäß § 231 Abs. 1 Satz 1 AO ebenfalls die Zahlungsverjährung des Rückerstattungsanspruchs. Gemäß § 231 Abs. 2 Satz 2 AO endet die Unterbrechung der Verjährung erst mit der rechtskräftigen Entscheidung über den Verrechnungsantrag.
Zur Festsetzungsverjährung wird auf die Ausführungen in Pkt. 4 verwiesen.
6 Schlussbestimmung
Die Verwaltungsvorschrift tritt mit Wirkung vom 1. Oktober 2017 in Kraft. Sie wird im Thüringer Staatsanzeiger veröffentlicht. Gleichzeitig wird damit die ThürVwVAbwAG vom 26. September 2011 (ThürStAnz Nr. 43/2011 S. 1426 ff.), zuletzt geändert am 22. Dezember 2016 (ThürStAnz Nr. 3/2017 S. 90), aufgehoben.
| Anhang |
Teil A
Methoden zur Ermittlung der JSM
1.) Allgemeines
Die JSM hat für die Berechnung der Abwasserabgabe maßgebende Bedeutung. Schmutzwasser im Sinne des AbwAG ist das durch häuslichen, gewerblichen und sonstigen Gebrauch in seinen Eigenschaften veränderte und das bei Trockenwetter damit zusammen abfließende Wasser (Fremdwasser). Unter dem Begriff "Trockenwetter" wird der Zeitraum ohne nennenswerten Regenwetterabfluss verstanden.
2.) Ermittlung aufgrund von Tagesmessergebnissen bei Trockenwetter
Die JSM sollte bei Abwassereinleitungen mit Mengenmesseinrichtungen grundsätzlich nach dieser Methode ermittelt werden.
Tage mit Regenereignissen und solche Tage, an denen offensichtlich kein Trockenwetter herrschte (Schneeschmelze, Schneefall, Regen, Regennachlauf, Nachlauf aus Regenbecken) sind auszuschließen. Bei weniger als 48 Trockenwettertagen im Jahr ist diese Methode nicht anzuwenden.
Beispiel zu 2.):
| Tag im Monat | Monat | |||||||||||
| Jan. | Feb. | März | April | Mai | Juni | Juli | Aug. | Sept. | Okt. | Nov. | Dez. | |
| 1 | 258 | 272 | 313 | 263 | 232 | |||||||
| 2 | 255 | 280 | ||||||||||
| 3 | 235 | 349 | 240 | 252 | 323 | |||||||
| 4 | 251 | 369 | 227 | 250 | 327 | |||||||
| 5 | 316 | 350 | 258 | 346 | 253 | 278 | ||||||
| 6 | 254 | 319 | 246 | |||||||||
| 7 | 241 | 329 | 349 | |||||||||
| 8 | 223 | 292 | 266 | 258 | 369 | 239 | ||||||
| 9 | 249 | 281 | 265 | 291 | 328 | |||||||
| 10 | 267 | 286 | 274 | 323 | ||||||||
| 11 | 276 | |||||||||||
| 12 | 328 | 299 | ||||||||||
| 13 | 246 | 314 | 313 | |||||||||
| 14 | 245 | 299 | 322 | |||||||||
| 15 | 283 | 338 | ||||||||||
| 16 | 350 | 289 | 313 | 278 | ||||||||
| 17 | 305 | 280 | 239 | 322 | ||||||||
| 18 | 314 | 349 | 328 | 247 | ||||||||
| 19 | 247 | 258 | ||||||||||
| 20 | ||||||||||||
| 21 | 308 | 293 | ||||||||||
| 22 | 283 | 324 | 247 | |||||||||
| 23 | 346 | 258 | ||||||||||
| 24 | 319 | 291 | ||||||||||
| 25 | 329 | |||||||||||
| 26 | 250 | |||||||||||
| 27 | 251 | 323 | 272 | |||||||||
| 28 | 295 | 249 | 346 | |||||||||
| 29 | 337 | 302 | 305 | |||||||||
| 30 | 314 | 327 | ||||||||||
| 31 | 322 | 339 | ||||||||||
| Anzahl der Trockenwettertage | 5 | 6 | 5 | 4 | 7 | 9 | 13 | 14 | 11 | 8 | 4 | 7 |
| Abflussmengen (m3) | 1250 | 1565 | 1506 | 1145 | 1853 | 2939 | 3911 | 4566 | 2997 | 2090 | 1123 | 2113 |
| Summe der Abflussmengen pro Monat (m3) | ||
| = | mittlere Trockenwettertagesmenge (m3/d) | |
| Anzahl der Trockenwettertage (d) |
| 27.058 m3 | |
| = 290,94 m3/d | |
| 93 d |
| mittlere Trockenwettertagesmenge (m3/d) x 365 (d) | = JSM (m3) |
| 290,94 m3/d x 365 d | = 106.193,1 m3 |
| = 106.193 m3 |
Zur Ermittlung der JSM sind die Anzahl der Trockenwettertage und die jeweiligen Abflussmengen aufzusummieren. Daraus ist die mittlere Trockenwettertagesmenge als Quotient von Summe aller Abflussmengen und Anzahl der Messwerte zu bestimmen. Diese mittlere Trockenwettertagesmenge ist durch Multiplikation mit 365 auf das Jahr hochzurechnen und auf ganze Kubikmeter abzurunden.
3.) Auswertung von Tagesmessergebnissen nach dem Dichtemittel
Sind Trockenwettertage nicht oder in einer nicht ausreichenden Zahl (weniger als 48 Tagesmesswerte) registriert, sollte die JSM nach dieser Methode ermittelt werden. Von allen vorliegenden Tagesmessergebnissen innerhalb eines Kalenderjahres wird das Dichtemittel gebildet.
Hierzu ist aus der Differenz von größtem und kleinstem Messwert der Tagesabwassermenge (Tagesabwassermenge = Schmutzwasser + Niederschlagswasser), geteilt durch die Wurzel der Anzahl der Tagesmesswerte, die Klassenbreite zu bestimmen und Klassen festzulegen. In der Regel sind 7 bis 15 Klassen festzulegen. In der Strichliste sind diesen Klassen die Messergebnisse durch Auszählung zuzuordnen. Das Dichtemittel nach Strichliste (häufigstes Auftreten) multipliziert mit 365 ergibt die JSM.
Beispiel zu 3.)
| Klassenbreite | Klassenmitte | Strichliste für die Anzahl der Messwerte innerhalb der Klassenbreite | Klassenhäufigkeit |
| 200 - 399 | 300 | IIIII IIIII IIIII IIIII IIIII | 25 |
| 400 - 599 | 500 | IIIII IIIII IIIII IIIII IIIII IIIII IIIII IIII IIIII IIII | 49 |
| 600 - 799 | 700 | IIIII IIIII IIIII IIIII IIIII IIIII III | 33 |
| 800 - 999 | 900 | IIIII IIIII IIIII IIII | 19 |
| 1000 - 1199 | 1100 | IIIII IIIII IIII | 14 |
| 1200 - 1399 | 1300 | IIIII IIIII IIII | 14 |
| 1400 - 1599 | 1500 | IIIII IIIII I | 11 |
| 1600 - 1799 | 1700 | IIIII IIIII III | 13 |
| 1800 - 1999 | 1900 | IIIII I | 6 |
| 2000 - 2199 | 2100 | IIIII IIIII | 10 |
| 2200 - 2399 | 2300 | IIIII IIII | 9 |
| 2400 - 2599 | 2500 | IIIII III | 8 |
| 2600 - 2799 | 2700 | IIIII IIIII IIIII IIIII II | 22 |
| 2800 - 2999 | 2900 | IIIII IIIII IIIII II | 17 |
| 3000 - 3199 | 3100 | IIIII I | 6 |
| 3200 - 3399 | 3300 | IIIII I | 6 |
| 3400 - 3599 | 3500 | IIIII III | 8 |
| 3600 - 3799 | 3700 | IIII | 4 |
| Anzahl der Messwerte | 274 | ||
Ergebnis: 500 m3/d x 365 d = 182.500 m3.
Haben zwei benachbarte Klassen jeweils die gleich große und maximale Anzahl an Messergebnissen, so ist die untere Klassengrenze der Klasse, die die höheren Messergebnisse erfasst als Dichtemittel zu verwenden.
4.) Festlegung aufgrund des Frischwasserverbrauchs
Bei Abwasseranlagen ohne Mengenmesseinrichtungen ist die JSM grundsätzlich nach der bezogenen Jahreswassermenge des öffentlichen Trinkwasserversorgers und der Förderungen der Eigenwasserversorgung zuzüglich der Fremdwassermenge zu ermitteln. Liegen Umstände vor, die einen Wasserverbrauch mit einem reduzierten Schmutzwasseranfall begründen (z.B. landwirtschaftlicher Betrieb mit Viehhaltung), sind diese vom Abgabepflichtigen darzulegen und bei der Ermittlung der JSM entsprechend zu berücksichtigen.
Die zuständige Behörde kann in begründeten Fällen einen Zuschlag zur Jahreswassermenge ansetzen, der 100 % und mehr betragen kann.
5.) Ermittlung aufgrund der Förderleistung von Pumpen
Bei diesem Verfahren wird die Abflussmessung durch die Messung des Stromverbrauchs oder der Betriebsstunden der Pumpen ersetzt. Hieraus wird der Tagesabfluss errechnet. Die weitere Auswertung erfolgt nach 2.) oder 3.). Für die Wirkungsgradberechnung der Pumpen sind die tatsächlichen Förderhöhen zu berücksichtigen.
6.) Ermittlung aufgrund eines angenommenen spezifischen Abwasseranfalls
In der Abwassertechnik ist es üblich, zur Bemessung von Abwasseranlagen den Einwohner oder Einwohnergleichwert mit einem angenommenen spezifischen Abwasseranfall (z.B. 150 l/(E x d)) bzw. den branchenspezifischen Abwasseranfall zu berücksichtigen. Diese Werte sind im vorliegenden Fall um den Fremdwasserabfluss zu ergänzen. Die zuständige Behörde kann in begründeten Fällen auch einen Zuschlag, der mehr als 100 % des spezifischen Abwasseranfalls betragen kann, festlegen.
7.) Ermittlung aufgrund der als Bemessungswert für die Kläranlage festgelegten Trockenwetterabflussmenge
Die durchflossenen Bauteile einer Kläranlage werden für den Trockenwetterabfluss oder ein Vielfaches davon bemessen. Mit Hilfe eines entsprechenden Faktors F (z.B. 14) kann auf den Tagesabfluss (z.B. Tagesabfluss = max. Stundenabfluss x 14) und somit auf die JSM hochgerechnet werden.
8.) Summierende Durchflussmessung
Diese Methode ist nur anwendbar an Kontrollpunkten ohne einen nennenswerten Abfluss von Niederschlagswasser. Es werden Geräte zur Messung, Registrierung und Summierung des Abwasserdurchflusses eingesetzt.
9.) Summierende Mengenmessung in Standanlagen
In Standanlagen wird das Abwasser gesammelt. Nach Erreichen eines bestimmten Füllstandes wird die Anlage vollständig entleert. Wird der Behälter bei unterschiedlichen Füllständen entleert, bedarf es auch zuverlässiger Aufzeichnungen der jeweiligen Füllstände. Während der Entleerung darf keine nennenswerte Abwassermenge zufließen. Die JSM errechnet sich aus dem Nutzvolumen multipliziert mit der Zahl der Entleerungen.
Teil B
Formulare
B/1 Erklärung nach § 6 Abs. 1 Satz 1 AbwAG
B/2 Antrag auf Berücksichtigung der Vorbelastung nach § 4 Abs. 3 AbwAG
B/3a Antrag auf Berücksichtigung von Nachklärteichen nach § 3 Abs. 3 AbwAG und § 1 ThürAbwAG
B/3b Erläuterungen zum Antrag auf Berücksichtigung von Nachklärteichen
B/4a Erklärung über die Einhaltung geringerer Werte nach § 4 Abs. 5 AbwAG
B/4b Erläuterungen zur Erklärung über die Einhaltung geringerer Werte sowie zur behördlichen Zulassung des Messprogrammes
B/4c Entscheidung über Wirksamkeit der Erklärung und Zulassung des Messprogrammes gemäß § 4 Abs. 5 AbwAG
B/4d Nachweis des Messprogrammes gemäß § 4 Abs. 5 AbwAG
B/5a Angaben zur Jahresschmutzwassermenge (JSM) - Trockenwetter
B/5b Angaben zur Jahresschmutzwassermenge (JSM) - Dichtemittel
B/5c Angaben zur Jahresschmutzwassermenge (JSM) - Frischwasserverbrauch
B5/d Angaben zur Jahresschmutzwassermenge (JSM) - TOK mit ausschließlich Schmutzwasser aus Haushaltungen
B/5e Anlage zu den Formularen B/5c und B5/d
B/7a Erklärung für das Einleiten von Niederschlagswasser von befestigten gewerblichen Flächen über eine nichtöffentliche Kanalisation nach § 7 AbwAG und § 5 Abs. 1 ThürAbwAG
B/7b Erklärung für das Einleiten von Niederschlagswasser über eine öffentliche Kanalisation nach § 7 AbwAG und § 5 Abs. 1 ThürAbwAG
B/7c Erläuterungen zur Erklärung für das Einleiten von Niederschlagswasser über eine öffentliche Kanalisation nach § 7 AbwAG und § 5 Abs. 1 ThürAbwAG
B/8a Erklärung über abgabepflichtige Kleineinleitungen nach § 8 AbwAG und § 6 ThürAbwAG
B/8b Erläuterungen zur Erklärung über abgabepflichtige Kleineinleitungen nach § 8 AbwAG und § 6 ThürAbwAG
B/8c Anlage zu Formular B/8a
B/9c Merkblatt verrechnungsfähige Aufwendungen im Sinne des Abwasserabgabengesetzes (AbwAG)
B/9d Antrag auf Verrechnung nach § 10 Abs. 3 AbwAG
B/9e Antrag auf Verrechnung nach § 10 Abs. 4 AbwAG
B/10 Erteilung eines Lastschriftmandates für Forderungen aus der Abwasserabgabe
B/12 Abkürzungen und Erläuterungen zum Festsetzungsbescheid
Teil C
Beispiele
1.) Giftigkeit gegenüber Fischeiern (GEi)
Bei der Messgröße Giftigkeit gegenüber Fischeiern (Fischeitest) errechnet sich die Zahl der Schadeinheiten aus dem Quotient von JSM x Verdünnungsfaktor und 6000. Der Verdünnungsfaktor GEi gibt dabei an, in welcher Verdünnung (GEi = 1 + n) das Schmutzwasser beim Fischeitest keine Giftwirkung mehr verursacht, d. h., die Fischeier den Test schadlos überleben. Der Schwellenwert GEi= 2 (Tabelle der Anlage zu § 3 AbwAG, Spalte 4) bedeutet, dass eine Abwasserabgabe für den Parameter Giftigkeit gegenüber Fischeiern erst nach der Überschreitung der Verdünnung 1 + 1 (ÜW) zu berechnen ist.
2.) Überprüfung der Einhaltung des geringer erklärten Wertes (zu 4.1.6.3 )
| x | = | Ergebnisse der behördlichen Überwachung |
| = | Ergebnisse aus dem Messprogramm des Einleiters | |
| ÜW | = | Überwachungswert nach § 4 Abs. 1 oder § 6 Abs. 1 Satz 1 AbwAG |
| GW | = | geringer erklärter Wert nach § 4 Abs. 5 AbwAG |
- GW gilt als eingehalten
- ÜW ist eingehalten
- GW gilt als eingehalten
- ÜW gilt als eingehalten
- GW gilt als eingehalten
- ÜW ist überschritten
Folge: Die abgaberechtliche Wirkung der Erklärung nach § 4 Abs. 5 AbwAG entfällt.
Die Zahl der Schadeinheiten wird nach § 4 Abs. 1 bis 4 AbwAG ermittelt. Im vorliegenden Beispiel tritt eine Erhöhung der Schadeinheiten gemäß § 4 Abs. 4 AbwAG ein.
- GW ist nicht eingehalten
- ÜW ist eingehalten
Folge: Die abgaberechtliche Wirkung der Erklärung nach § 4 Abs. 5 AbwAG entfällt.
Die Zahl der Schadeinheiten wird nach § 4 Abs. 1 bis 4 AbwAG ermittelt.
3.) Verrechnung
Beispiel 1a: Tatsächlich entstandene Aufwendungen
Der Bau oder die Erweiterung der ABa soll am 1. Oktober 2017 in Betrieb gehen. Die Baukosten fallen erst ab Juni 2016 und im Jahr 2017 an. In den Jahren 2014 und 2015 sind keine Aufwendungen entstanden. Bei der Festsetzung der Veranlagungsjahre 2014 und 2015 im April 2016 kann zunächst keine Verrechnung erfolgen. Eine Verrechnung für die Veranlagungsjahre 2014 und 2015 erfolgt erst dann, wenn die Anlage in Betrieb gegangen ist und der dreijährige Verrechnungszeitraum bestimmt werden kann und die Minderung der Schadstofffracht nach § 10 Abs. 3 AbwAG nachgewiesen wurde.
Dasselbe trifft zu, wenn ein Abwasserabgabepflichtiger einen Dritten zum Bau einer ABa und deren Zwischenfinanzierung beauftragt und ihm erst nach Übergabe der ABa Kosten entstehen. Erst zu diesem Zeitpunkt kann die Abwasserabgabe, die in den drei Jahren vor der Inbetriebnahme für diese Einleitung entstanden ist, mit den Investitionskosten für die ABa verrechnet werden. Die entstandenen Finanzierungskosten zählen jedoch nicht zu den verrechnungsfähigen Aufwendungen.
Beispiel 1b: Tatsächlich entstandene Aufwendungen
Der Bau oder die Erweiterung der ABa ist am 1. August 2016 in Betrieb gegangen. Die Baukosten sind erst ab Juni 2015 und 2016 angefallen. In den Jahren 2013 und 2014 sind keine Aufwendungen entstanden. Bei der Festsetzung der Veranlagungsjahre 2014, 2015 und 2016 im September 2017 kann eine Verrechnung erfolgen, da zu diesem Zeitpunkt der dreijährige Verrechnungszeitraum bestimmt und die Minderung der Schadstofffracht nach § 10 Abs. 3 AbwAG nachgewiesen werden kann. Für das Veranlagungsjahr 2013 ist eine Verrechnung möglich, wenn der Antrag nach § 10 Abs. 3 AbwAG vor Ablauf der Festsetzungsfrist des Veranlagungsjahres 2013 bis 31.12.2016 bei der zuständigen Behörde eingegangen ist.
Beispiel 2: Verrechnung nach § 10 Abs. 3
Ein Zweckverband ist für die Einleitungen a (ABA) und B (TOK) abgabepflichtig. An die ABa sind jeweils im Mischsystem Einwohner aus der verbandseigenen Gemeinde E und der verbandsfremden Gemeinde F angeschlossen. Das nach ATV-a 128 erforderliche Gesamtspeichervolumen in beiden Gemeinden ist größer als das tatsächlich errichtete Volumen. Somit fällt für einen Teil der an die ABa angeschlossenen Einwohner Niederschlagswasserabgabe an.
Die ABa wird erweitert, so dass eine mindestens 20 %ige Minderung der Fracht einer der bewerteten Schadstoffe und eine Minderung der Gesamtschadstofffracht erreicht werden. Die erweiterte ABa wurde am 01.06.2014 in Betrieb genommen. Die dabei entstandenen Aufwendungen sind mit der geschuldeten Abwasserabgabe der Einleitung a vom 01.06.2011 bis 31.05.2014 (drei Jahre vor Inbetriebnahme) verrechenbar. Neben der Abwasserabgabe für Schmutzwasser ist auch die Niederschlagswasserabgabe (NW-Abgabe) der Veranlagungsjahre 2011, 2012 und 2013 für jene im Mischsystem an die ABa angeschlossenen Einwohner der Gemeinde E verrechenbar, für die NW-Abgabe angefallen ist.
Die für die Gemeinde F angefallene NW-Abgabe für im Mischsystem an die ABa angeschlossene Einwohner ist wegen fehlender Identität des Maßnahmenträgers und des Abgabeschuldners nicht verrechenbar.
Sowohl die Schmutzwasserabgabe als auch die NW-Abgabe der TOK B, die für die an die TOK B angeschlossenen Einwohner der Gemeinde E angefallen ist, sind nicht mit dieser Maßnahme verrechenbar.
Beispiel 3a: Verrechnung nach § 10 Abs. 4 unter Berücksichtigung Urteil BVerwG vom 20.01.2004, Az. 9 C 13/03
Ein Zweckverband ist für die Einleitungen a (ABA), B, C (TOK) und D (Kleineinleitungen) abgabepflichtig. Die ABa entspricht den Anforderungen des § 60 Abs. 1 WHG. An die ABa sind im Mischsystem Einwohner aus der zum Zweckverband gehörenden Gemeinde E angeschlossen. Das nach ATV-a 128 erforderliche Gesamtspeichervolumen der Gemeinde E ist größer als das tatsächlich errichtete Volumen. Somit fällt für einen Teil der an die ABa angeschlossenen Einwohner NW-Abgabe an.
Der Ortsteil X ist noch nicht an diese ABa angeschlossen und entwässert über die TOK B. Diese TOK wurde durch den Bau eines Mischwasserkanals am 15.03.2014 an die ABa angeschlossen. Das gesamte Abwasser der TOK wird somit in der ABa mitbehandelt und damit eine Minderung der Schadstofffracht insgesamt erreicht.
Die Aufwendungen für den Mischwasserkanal können mit der geschuldeten Abwasserabgabe der Einleitungen B und a (Berücksichtigung Urteil BVerwG) vom 15.03.2011 bis 14.03.2014 verrechnet werden. Verrechenbar ist auch die NW-Abgabe, die in den Veranlagungsjahren 2011, 2012 und 2013 für die TOK B sowie für die an die ABa angeschlossenen Einwohner der Gemeinde E angefallen ist. Dabei ist es für die Verrechenbarkeit unschädlich, dass bereits vor dem Anschluss der Einleitung B das errichtete Speichervolumen geringer war als das nach ATV-a 128 erforderliche Volumen.
Sowohl die Schmutzwasserabgabe als auch die NW-Abgabe der TOK C ist mit der genannten Maßnahme nicht verrechenbar. Ebenso ist die Abgabe für die Kleineinleitungen D nicht verrechenbar.
Beispiel 3b: Verrechnung nach § 10 Abs. 4 AbwAG - Nachprüfung
Ein Zweckverband schließt im November 2016 eine vorhandene TOK gemäß § 10 Abs. 4 AbwAG an eine ABa an, die technisch dem Stand der Technik entspricht. Die Erlaubnis der ABa enthält u. a. einen Pges.-Wert von 2 mg/l, der auch den Mindestanforderungen des Anhanges 1 der AbwV entspricht. Vor dem Anschluss der TOK wurde der Pges.-Wert mehrfach überschritten, nach dem Anschluss wurde er eingehalten.
Im Rahmen der Prüfung, ob die ABa im Sinne des § 10 Abs. 4 AbwAG dem Stand der Technik entspricht, ist entsprechend Punkt 4.1.6.4 auf die Betriebszeit von einem Jahr seit dem Anschluss der TOK an die ABa abzustellen. Das bedeutet in diesem Fall, dass ab dem November 2016 bis November 2017 die Werte der Anlage zu prüfen sind. Die Überschreitung der Pges.- Werte vor dem Anschluss der TOK steht einer Verrechnung der Investitionen des Kanals nach § 10 Abs. 4 AbwAG somit nicht entgegen.
Beispiel 4: Neuverlegung eines vorhandenen Mischwasserkanals mit Dimensionserweiterung zum Anschluss vorhandener Einleitungen ( § 10 Abs. 4 AbwAG) zu einem späteren Zeitpunkt, Stilllegung von Regenüberläufen
Sachverhalt:
Ein vorhandener und bisher bereits an die ABa der Stadt L. angeschlossener Mischwasserkanal wurde neu verlegt, in der Dimension erweitert und am 31.10.2013 in Betrieb genommen. Die ABa entspricht § 60 WHG. Der Kanalbau war erforderlich, um das gesamte Abwasser der Stadt L. ohne aufwendiges Pumpwerk der ABa zuzuführen sowie teilweise sporadische Überläufe aus überlasteten Schächten zu beseitigen und Regenüberläufe stillzulegen. Weiterhin sollen über diesen Kanal in den Jahren 2015 bis 2016 die Abwässer der Gemeinde U. an die ABa der Stadt L. angeschlossen werden.
Rechtslage:
Die Neuverlegung eines bestehenden Abwasserkanals, der die gleichen Objekte entwässert, wie der alte Abwasserkanal, entspricht nicht den Anforderungen des § 10 Abs. 4 AbwAG, da keine vorhandene Einleitstelle beseitigt wird und die bestehende Einleitstelle (ABa der Stadt L.) gleich bleibt. Sie stellt vielmehr lediglich eine Sanierung des bestehenden Kanalnetzes dar, die nicht verrechnungsfähig ist.
Die Aufwendungen für die Erweiterung des Abwasserkanals, um andere vorhandene Einleitungen anzuschließen, sind hingegen grundsätzlich verrechnungsfähig. Dies gilt auch, wenn der Anschluss dieser Einleitungen erst zu einem späteren Zeitpunkt erfolgt. Für Regenentlastungsanlagen, wie z.B. Regenüberläufe, wird in Thüringen bisher i. d. R. keine Abwasserabgabe festgesetzt, weil die über die Regenentlastungsanlagen eingeleitete Schmutzfracht kaum quantifizierbar ist. Gemäß dem Urteil des BVerwG vom 20.01.2004, Az. 9 C 13/03, ist eine Abwasserabgabepflichtigkeit der alten Einleitung nicht Voraussetzung für eine Verrechnungsfähigkeit. Folglich können die Mehraufwendungen für die Erweiterung des Kanals zur Stilllegung der Regenüberläufe mit der Abwasserabgabe der ABa der Stadt L. verrechnet werden. Der Tatbestand des § 10 Abs. 4 AbwAG ist erfüllt.
Die Mehraufwendungen für die Erweiterung des Abwasserkanals zum Anschluss der Abwässer der Gemeinde U. im Jahre 2015 bis 2016 sind ebenfalls verrechnungsfähig, da ein ursächlicher Zusammenhang zwischen der Kapazitätserweiterung des Abwasserkanals und den Neuanschlüssen besteht. Der Zeitpunkt, an dem die Gemeinde U. an den Abwasserkanal angeschlossen wird, ist als Inbetriebnahmezeitpunkt i. S. d. § 10 Abs. 4 i. V. m. § 10 Abs. 3 AbwAG anzusehen.
Sofern keine konkreten Angaben über die entstandenen Mehraufwendungen vorliegen, sollten diese aus Praktikabilitätsgründen über das Verhältnis Gesamtaufwendungen pro angeschlossene Einwohnerwerte insgesamt zu anteiligen Aufwendungen pro neu anzuschließende Einwohnerwerte ermittelt werden.
Beispiel 5: Anschluss Kleineinleitungen über Mischwasserkanal
(Verrechnung nach § 10 Abs. 4)
Es wird ein Mischwasserkanal gebaut, mit dem die Kleineinleitungen der Straße X an den Kanal, der zur ABa führt, angeschlossen werden. Die Kleineinleitungen waren teilweise abgabepflichtig. Die ABa entspricht den Anforderungen des § 60 Abs. 1 WHG. Die Inbetriebnahme des Mischwasserkanals war am 15.03.2016.
| 1 | entstandene Aufwendungen insgesamt | 825.000 EUR |
| 2 | nicht rückzahlbare öffentliche Zuschüsse (EU, Bund, Länder) | 500.000 EUR |
| 3 | Zwischensumme (= Zeile 1 minus Zeile 2) |
325.000 EUR |
| 4 | Aufwendungen, die nicht zwingend zur Bauausführung gehören | 5.000 EUR |
| 5 | Mehrkosten, die der Vorhabensträger zu vertreten hat | 20.000 EUR |
| 6 | Inanspruchnahme von Skonti | 10.000 EUR |
| 7 | Zwischensumme (= Zeile 3 minus Zeile 4, 5 und 6) |
290.000 EUR |
| 8 | Zuschuss des Straßenbaulastträgers (investiver Anteil) | 100.000 EUR |
| 9 | entstandene verrechnungsfähige Aufwendungen (Zeile 7 minus Zeile 8) |
190.000 EUR |
Die entstandenen verrechnungsfähigen Aufwendungen können nach § 10 Abs. 4 AbwAG mit der Abwasserabgabe für Schmutzwasser der ABa vom 15.03.2013 bis 14.03.2016 verrechnet werden. Die in den Veranlagungsjahren 2013, 2014 und 2015 für die mit dieser Maßnahme an die ABa angeschlossenen Einwohner aus Kleineinleitungen angefallene Abwasserwasserabgabe und für die an die ABa im Mischsystem angeschlossenen Einwohner aus verbandseigenen Gemeinden angefallene NW-Abgabe kann ebenfalls verrechnet werden.
Beispiel 6a: Anschluss Kleineinleitungen über Trennkanalisation mit Niederschlagswasserbehandlung
(Verrechnung nach § 10 Abs. 4)
Es wird eine Trennkanalisation gebaut. Die Inbetriebnahme der Trennkanalisation war am 15.03.2016. Mit dem Schmutzwasserkanal werden die Kleineinleitungen des Ortsteiles X an die ABa angeschlossen. Die ABa entspricht den Anforderungen des § 60 Abs. 1 WHG.
Das Niederschlagswasser wird über den Regenwasserkanal einem Regenklärbecken zugeführt und danach in das Gewässer eingeleitet.
Die Prüfung ergibt, dass insgesamt eine Minderung der Schadstofffracht erreicht wird.
Die Aufwendungen für den Schmutz- und Regenwasserkanal werden, sofern getrennt nachgewiesen, addiert, weil Schmutz- und Regenwasserkanal als eine Einheit angesehen werden. Für die Ermittlung der entstandenen verrechnungsfähigen Aufwendungen für den Schmutz- und Regenwasserkanal gilt Beispiel 5 analog. Der Zuschuss des Straßenbaulastträgers (investiver Anteil) mindert in voller Höhe die entstandenen Aufwendungen.
Beispiel 6b: Anschluss einer TOK über eine neue Trennkanalisation
(Verrechnung nach § 10 Abs. 4 AbwAG)
Zum Anschluss einer ehemaligen TOK an eine ABa wird eine Trennkanalisation errichtet. Über den neuen Schmutzwasserkanal erfolgt die Ableitung des Schmutzwassers der ehemaligen TOK zur ABA, der Regenwasserkanal dient zur Ableitung des nicht behandlungsbedürftigen Abwassers in den Vorfluter. Der Straßenbaulastträger beteiligte sich an den Investitionen für die Regenwasserkanalisation. Die VOB-Abnahme des öffentlichen Teils der Bauleistungen erfolgte zum 30.09.2015. Für die Entflechtung der Kanalisation auf den angeschlossenen Grundstücken (Umstellung von Mischsystem auf Trennsystem) wurde den Einleitern eine Frist bis zum 31.03.2016 gesetzt. Nach Ablauf der Frist war der Umschluss beim überwiegenden Teil der Grundstücke vollzogen.
Die ABa entspricht den Anforderungen des § 60 Abs. 1 WHG. Die Prüfung ergibt, dass eine Minderung der Schadstofffracht erreicht wird. Der vorhandene Mischwasserkanal, über welchen die Abwasserableitung bislang erfolgte, wurde lediglich aufgrund seiner Baufälligkeit durch einen neuen Regenwasserkanal ersetzt. Die Trassierung, Nennweite und Einleitstelle in den Vorfluter wurden im Rahmen der Erneuerung beibehalten. Der Ersatzneubau diente lediglich der Wiederherstellung der Funktionsfähigkeit der bestehenden Kanalisation. Gemäß dem Merkblatt ATV-DVWK-M 143-1 handelt es sich bei der Erneuerung eines Kanals unter Beibehaltung der Linienführung um ein Sanierungsverfahren. Da Investitionen für Sanierungsmaßnahmen grundsätzlich nicht verrechnungsfähig sind, können die Baukosten für den Neubau des Regenwasserkanals in diesem Fall nicht anerkannt werden. Dies betrifft auch die anteiligen Planungskosten für die Regenwasserkanalisation. Die betreffenden nicht verrechenbaren Investitionen sind zu ermitteln und im Antragsformular unter Punkt 6 "Aufwendungen für die Sanierung der Kanalisation" einzutragen.
Da im Regelfall die Kostenbeteiligung des Straßenbaulastträgers lediglich für Regen- bzw. Mischwasserkanalisationen erfolgt, ist ein Abzug des Straßenbaulastträgerzuschusses von den verrechnungsfähigen Aufwendungen nicht erforderlich, wenn die Kosten für den Regenwasserkanal nicht als verrechnungsfähig anerkannt werden. Die genauen Modalitäten der Straßenbaulastträgerbeteiligung werden in einem solchen Fall behördlich geprüft.
Sollte unabhängig vom baulichen Zustand des alten Mischwasserkanals (TOK) der Neubau eines Regenwasserkanals erforderlich gewesen sein, weil beispielsweise die ursprüngliche Einleitstelle nicht mehr genutzt werden konnte (Veränderung der Linienführung), weil der Kanalquerschnitt und/oder das Kanalgefälle unzureichend oder die Verlegetiefe zu gering war, so wäre der Neubau nicht als Sanierung zu werten. Die entsprechenden Investitionen wären dann verrechenbar.
Für die Festlegung des Anschlusstermins ist der Zeitpunkt maßgebend, ab dem das Schmutzwasser der mit der Baumaßnahme an die ABa anzuschließenden Einwohner dieser tatsächlich zugeführt wird, da erst dann die Verrechnungsvoraussetzung der Frachtminderung erfüllt ist. Im vorliegenden Fall wird dies erst durch die Entflechtung der Grundstücksentwässerungen erreicht, so dass als Anschlusstermin der 31.03.2016 zu werten ist.
Beispiel 7: Anschluss Kleineinleitungen über Trennkanalisation ohne Niederschlagswasserbehandlung
(Verrechnung nach § 10 Abs. 4)
Es wird eine Trennkanalisation gebaut. Die Inbetriebnahme der Trennkanalisation war am 15.03.2014. Mit dem Schmutzwasserkanal werden die Kleineinleitungen des Ortsteiles X an die ABa angeschlossen. Die ABa entspricht dem Stand der Technik und den Anforderungen des wasserrechtlichen Bescheides ( § 60 WHG). Das Niederschlagswasser wird über den Regenwasserkanal direkt in das Gewässer eingeleitet.
Die Prüfung ergibt, dass insgesamt eine Minderung der Schadstofffracht erreicht wird. Die Aufwendungen für den Schmutz- und Regenwasserkanal werden, sofern getrennt nachgewiesen, addiert, weil Schmutz- und Regenwasserkanal als eine Einheit angesehen werden. Für die Ermittlung der entstandenen verrechnungsfähigen Aufwendungen für den Schmutz- und Regenwasserkanal gilt Beispiel 5 analog. Der Zuschuss des Straßenbaulastträgers (investiver Anteil) mindert in voller Höhe die entstandenen Aufwendungen.
Beispiel 8: Anschluss eines Ortsteiles über Mischwasserkanal mit Regenüberlaufbecken (RÜB)
(Verrechnung nach § 10 Abs. 4)
Der Ortsteil X wird an die vorhandene ABa über einen Mischwasserkanal angeschlossen. Die Inbetriebnahme war am 15.03.2014. Die ABa entspricht dem Stand der Technik und den Anforderungen des wasserrechtlichen Bescheides ( § 60 WHG).
Damit fallen alle Einleitstellen des Ortsteiles X, für die eine Abwasserabgabe entrichtet wurde, weg. Weil die ABa das anfallende Schmutz- und Niederschlagswasser des Ortsteiles X im Regenwetterfall nicht behandeln kann, wird gleichzeitig vor der ABa ein RÜB errichtet.
| 1 | entstandene Aufwendungen für Mischwasserkanal | 825.000 EUR |
| entstandene Aufwendungen für RÜB | 300.000 EUR | |
| entstandene Aufwendungen insgesamt | 1.125.000 EUR | |
| 2 | nicht rückzahlbare öffentliche Zuschüsse (EU, Bund, Länder) | 800.000 EUR |
| 3 | Zwischensumme (= Zeile 1 minus Zeile 2) |
325.000 EUR |
| 4 | Aufwendungen, die nicht zwingend zur Bauausführung gehören | 5.000 EUR |
| 5 | Mehrkosten, die der Vorhabensträger zu vertreten hat | 10.000 EUR |
| 6 | Inanspruchnahme von Skonti | 10.000 EUR |
| 7 | Zwischensumme (= Zeile 3 minus Zeile 4, 5 und 6) |
300.000 EUR |
| 8 | Zuschuss des Straßenbaulastträgers (investiver Anteil) | 180.000 EUR |
| 9 | entstandene verrechnungsfähige Aufwendungen | 120.000 EUR |
Die entstandenen verrechnungsfähigen Aufwendungen können nach § 10 Abs. 4 AbwAG mit der Abwasserabgabe der angeschlossenen Einleitungen des Ortsteiles X und der Abwasserabgabe der ABa vom 15.03.2011 bis 14.03.2014 verrechnet werden.
Beispiel 9: Neubau Mischwasserkanal und ABa mit RÜB für Anschluss Ortsnetz
(Verrechnung nach § 10 Abs. 4)
Für den Ort X wird eine ABa mit einem RÜB errichtet. Der Anschluss des vorhandenen Ortsnetzes erfolgt über einen neuen Mischwasserkanal.
Die Aufwendungen für die ABa werden nach § 10 Abs. 3 AbwAG verrechnet. Die Aufwendungen für den Mischwasserkanal und das RÜB werden nach § 10 Abs. 4 AbwAG analog des Beispieles 8 verrechnet.
Beispiel 10: Neubau eines RÜB
(Verrechnung nach § 10 Abs. 4)
Im Ort X wird ein RÜB errichtet, um den Regenüberlauf des bestehenden Ortsnetzes in das Gewässer zu beseitigen. Für die Einleitstelle "Regenüberlauf" wurde keine Abwasserabgabe entrichtet.
Die Aufwendungen für den Bau des RÜB können nach § 10 Abs. 4 AbwAG mit der Abwasserabgabe der ABA, an die angeschlossen wird, verrechnet werden. Sofern die Aufwendungen für den Rückbau des Regenüberlaufes in engem funktionalen Zusammenhang mit der Errichtung des RÜB stehen, können auch diese Aufwendungen als verrechnungsfähig angesehen werden.
Beispiel 11: Verjährung Rückzahlungsanspruch
Eine Abwasseranlage wird am 01.06.2015 in Betrieb genommen. Hieraus ergibt sich der dreijährige Verrechnungszeitraum vom 01.06.2012 bis 31.05.2015. Der Erstattungsanspruch entsteht mit dem Tag der Inbetriebnahme der Anlage am 01.06.2015. Eine Verrechnung ist jedoch nicht mehr möglich, wenn die Festsetzungsfrist abgelaufen ist. Die Festsetzungsfrist für das Veranlagungsjahr 2012 endet am 31.12.2015. D. h., bis zum 31.12.2015 muss der Verrechnungsantrag vorliegen, damit der dreijährige Verrechnungszeitraum voll ausgeschöpft werden kann. Ansonsten verkürzt sich der Verrechnungszeitraum entsprechend. Denn wird vor Ablauf der Festsetzungsfrist ein Antrag auf Änderung der Abgabenfestsetzung gestellt, so läuft die Festsetzungsfrist nicht ab, bevor über den Antrag (hier Verrechnungsantrag) unanfechtbar entschieden worden ist ( § 16 Abs. 1 Ziffer 4c ThürAbwAG i. V. m. § 171 AO).
Wird der Verrechnungsantrag erst im Jahr 2016 gestellt, können die Aufwendungen nicht mehr mit der Abwasserabgabe des Veranlagungsjahres 2012 verrechnet werden.
Teil D
Vorgaben zur Bestimmung der Vorbelastung der Gewässer
1. Bestimmung der Vorbelastung für Fließgewässer zur Festlegung in einer Rechtsverordnung
Die mittlere Schadstoffkonzentration und der mittlere Verdünnungsfaktor sind auf Grundlage von Gewässergüteuntersuchungen und unter Berücksichtigung zu erwartender Veränderungen für einen Zeitraum festzulegen, der in der Regel zwei Jahre nicht unterschreiten soll ( § 4 Abs. 2 ThürAbwAG).
Die nachfolgende Berechnung hat das Ziel, möglichst realistische Mittelwerte der zukünftig erwarteten Vorbelastung auf der Grundlage bisheriger Ergebnisse zu prognostizieren. Mögliche Güteänderungen der Gewässer aufgrund zukünftig veränderter Nutzungen sind nur bei gesichertem Nachweis einzubeziehen.
Die Berechnungsmethode hat u. a. folgende Bedingungen zu erfüllen:
Bei der Berechnung sind grundsätzlich nur die Analysenergebnisse der letzten zwei Jahre zu berücksichtigen. Wird vom Labor das Ergebnis der Gewässeruntersuchung mit einer Nachweisgrenze angegeben (z.B. < 0,001 mg/l), ist der Wert in Höhe der Nachweisgrenze der Ermittlung der Vorbelastung zu Grunde zu legen. Es ist wie folgt vorzugehen:
1.) Bestimmung der mittleren gewichteten Schadstoffkonzentration und des mittleren Durchflusses bei den behördlichen Probenahmen der letzten zwei Jahre
| mit: _ |
||
| c | - | gewichtete mittlere Schadstoffkonzentration der letzten zwei Jahre [mg/l] |
| ci | - | Schadstoffkonzentration der jeweiligen Einzelmessung [mg/l] |
| Qi | - | auf den Gütepegel bezogene Durchflussmenge zum Zeitpunkt der Probenahme [m3/s] |
| _ | ||
| Q | - | mittlere Durchflussmenge der letzten zwei Jahre [m3/s] |
| n | - | Anzahl der berücksichtigten Probenahmen |
2.) Ermittlung der zu erwartenden mittleren Schadstoffkonzentrationen unter Einbeziehung der langjährigen MQ-Werte
mit:
MQ - mittlerer langjähriger Durchfluss [m3/s]
cv- Konzentrationswert der Vorbelastung [mg/l]
Die erhaltenen Ergebnisse gelten unterhalb des für die Berechnungen genutzten Gütepegels bis zum nächsten Pegel bzw. bis zur Landesgrenze.
Beispiel: Ergebnisse der letzten zwei Jahre
| geg.: | Q1 = 10 m3/s; c1 = 15 mg/l;
Q2 = 20 m3/s; c2 = 10 mg/l Q3= 15 m3/s; c3 = 15 mg/l Q4= 10 m3/s; c4 = 20 mg/l Q5= 15 m3/s; c5 = 10 mg/l |
MQ = 25 m3/s ⇓ Die letzten zwei Jahre waren trockene Jahre |
ges.: cv in mg/l
Lösung:
| 1.) | ![]() |
| 2.) |
Zuflüsse, die eine Änderung der Gewässerbelastung bewirken können, sind Zuflüsse aus Nebengewässern und Abwassereinleitungen. Zur Vereinfachung der Berechnung ist grundsätzlich für diese Zuflüsse die gleiche Belastung, wie die des zur Einleitung vorhandenen Gewässers anzunehmen. Das Selbstreinigungsvermögen zwischen den Gütepegeln ist grundsätzlich nicht zu berücksichtigen.
Liegen behördliche Überwachungsergebnisse zur Güte eines Nebengewässers vor, so ist mit diesen an der Mündungsstelle eine Mischrechnung durchzuführen. Die dabei ermittelten Werte gelten dann von der Mündung des Nebengewässers bis zum nächsten Gütepegel bzw. bis zur Landesgrenze.
| cv1 · MQ1+ cv2· MQ2 | |
| cv = | |
| MQ1 + MQ2 |
mit:
MQi - mittlerer langjähriger Durchfluss der Zuflüsse [m3/s]
cv- Konzentrationswert der Vorbelastung nach Vermischung [mg/l]
cvi- Konzentrationswerte der Vorbelastung vor Vermischung [mg/l]
2 Bestimmung der Vorbelastung für Fließgewässer mittels Schätzung
Liegt keine entsprechende Rechtsverordnung vor, ist die Vorbelastung zu schätzen.
2.1 Verwendung von Messergebnissen behördlicher Gewässergüteuntersuchungen
Die unter 1. genannten Berechnungsvorgaben gelten entsprechend, wobei die Gewässergüteuntersuchungen des betreffenden Veranlagungsjahres und die der zwei davor liegenden Jahre zugrunde zu legen sind. Liegen keine Gewässergüteuntersuchungen des betreffenden oder der zwei davor liegenden Jahre vor, sind die Gewässergüteuntersuchungen der zwei Jahre nach dem betreffenden Veranlagungsjahr zu ver- wenden.
2.2 Verwendung von Messergebnissen der Gewässergüteuntersuchungen aus der Eigenkontrolle
Reichen die Messergebnisse behördlicher Gewässergüteuntersuchungen nicht aus, kann auf Ergebnisse der Eigenkontrollen der Einleiter, die eine Vorbelastung im Rahmen des AbwAG geltend machen wollen, zurückgegriffen werden. Die Probenahmen und die Analysen an der Entnahmestelle sollten dabei alle Parameter enthalten, für die eine Berechnung der Abwasserabgabe des Einleiters erfolgt. Zur Ermittlung der Q-Werte ist der Zeitpunkt (Datum, Uhrzeit) der Probenahme auf den Messprotokollen zu erfassen. Für eine mögliche Anerkennung der Untersuchungsergebnisse müssen diese mindestens für das Jahr vor dem Veranlagungsjahr lückenlos vorliegen. Die Eigenkontrolle hatte dabei monatlich am jeweiligen xten des Monats (z.B. jeweils am 12. des Monats) zu erfolgen. Die Proben sind von einem behördlich anerkannten Labor zu nehmen und zu untersuchen. Die Analysen sind nach der Anlage zu § 3 AbwAG zu bestimmen. Gegebenenfalls können weitere Beprobungen im Veranlagungsjahr veranlasst werden.
Die unter 1. genannten Berechnungsvorgaben gelten entsprechend, wobei die Gewässergüteuntersuchungen des betreffenden Veranlagungsjahres und die der zwei davor liegenden Jahre zugrunde zu legen sind. Liegen keine Gewässergüteuntersuchungen des betreffenden oder der zwei davor liegenden Jahre vor, sind die Gewässergüteuntersuchungen der zwei Jahre nach dem betreffenden Veranlagungsjahr zu verwenden.
2.3 Ermittlung in sonstigen Fällen
Sollten keine Ergebnisse einer behördlichen Gewässerbeprobung vorliegen, können für die Schätzung auch Messwerte der Einleiter genutzt bzw. weitere Beprobungen veranlasst werden.
3 Bestimmung der Vorbelastung von Standgewässern und Grundwasser
Für die Bestimmung der Vorbelastung von Standgewässern und Grundwasser ist die Bildung des arithmetischen Mittelwertes ausreichend. Die vorgenannten Regelungen für Fließgewässer hinsichtlich Einbeziehung der behördlichen Gewässergüteuntersuchungen und der Eigenkontrollen sind entsprechend anzuwenden. B/1 Erklärung nach § 6 Abs. 1 Satz 1 AbwAG

B/2 Antrag auf Berücksichtigung der Vorbelastung nach § 4 Abs. 3 AbwAG

B/3a Antrag auf Berücksichtigung von Nachklärteichen nach § 3 Abs. 3 AbwAG und § 1 ThürAbwAG
B/3b Erläuterungen zum Antrag auf Berücksichtigung von Nachklärteichen
Nachklärteiche im Sinne des § 3 AbwAG sind Anlagen in einem Gewässer im Sinne des § 1 Wasserhaushaltsgesetzes, die einer Kläranlage räumlich und klärtechnisch unmittelbar zugeordnet sind und in denen durch Einrichtungen, die zum Zweck der Nachklärung errichtet und betrieben werden, eine Verminderung der Schädlichkeit des vom Abgabepflichtigen eingeleiteten Abwassers erzielt wird.
Die natürliche Selbstreinigung des Gewässers sowie das Absetzen von Schmutzstoffen können nicht abgabemindernd geltend gemacht werden. Die bloße Verdünnung des Abwassers bleibt ebenfalls unberücksichtigt.
Für jeden bewerteten Schadstoffparameter ist die geschätzte Verminderung der Schädlichkeit als Jahresmittel des Wirkungsgrades der Nachklärung in Prozent anzugeben.
Die Anforderungen nach der Abwasserverordnung in der jeweils geltenden Fassung oder schärfere Anforderungen nach dem die Abwassereinleitung zulassenden Bescheid vor Einleitung in den Nachklärteich sind einzuhalten.
TMUEN (9/2017)
B/4a Erklärung über die Einhaltung geringerer Werte nach § 4 Abs. 5 AbwAG

B/4b Erläuterungen zur Erklärung über die Einhaltung geringerer Werte sowie zur behördlichen Zulassung des Messprogrammes
Erklärungszeitraum
Die Erklärung muss sich auf einen Zeitraum beziehen, d. h. Anfang und Ende sind durch je einen Kalendertag zu bezeichnen. Erklärungen "bis auf Widerruf" oder "künftig" u. Ä. erfüllen diese Voraussetzungen nicht. Die Erklärung ist mindestens zwei Wochen vor dem beantragten Zeitraum beim Thüringer Landesverwaltungsamt abzugeben. Der gewählte Zeitraum bzw. der nach Eingang der Erklärung beim Thüringer Landesverwaltungsamt verbleibende Zeitraum darf nicht kürzer als 3 Monate im Veranlagungsjahr sein.
Inhalt und Auswirkung der Erklärung
Es können geringere Überwachungswerte oder/und eine geringere Abwassermenge erklärt werden, die den Wert des Einleitungsbescheides ( § 4 Abs. 1 AbwAG) oder den nach § 6 Abs. 1 Satz 1 AbwAG erklärten Wert um mindestens 20 % unterschreiten. Enthält der Einleitungsbescheid weitere Überwachungswerte für kürzere Probenahmezeiträume oder Festlegungen zur Schadstofffracht, so sind diese im gleichen Verhältnis zu verringern und einzuhalten. Erklärt der Einleiter eine geringere Abwassermenge, sind auch die Auswirkungen auf die Jahresschmutzwassermenge anzugeben. In der Erklärung ist stichwortartig zu erläutern, aufgrund welcher Umstände es möglich ist, einen geringeren als den im Einleitungsbescheid festgelegten oder nach § 6 Abs. 1 Satz 1 AbwAG erklärten Wert einzuhalten. Eine ohne diese Erläuterung abgegebene Erklärung ist unwirksam.
Mit der Erklärung verpflichtet sich der Einleiter mit nur abgaberechtlicher Wirkung, einen niedrigeren als den im Einleitungsbescheid festgelegten oder nach § 6 Abs. 1 Satz 1 AbwAG erklärten Wert einzuhalten. Die Erklärung bewirkt, dass im genannten Zeitraum die Zahl der Schadeinheiten nach den erklärten Werten ermittelt wird.
Messprogramm
Die Einhaltung des geringer erklärten Wertes ist vom Einleiter durch ein behördlich zugelassenes Messprogramm nachzuweisen ( § 4 Abs. 5 Satz 5 AbwAG). Das Messprogramm wird auf Seite 2 des Formulares B/4a beantragt. Die negative Entscheidung über den Antrag für ein behördlich zugelassenes Messprogramm und/oder die Unwirksamkeit der Erklärung wird dem Einleiter mittels Formular B/4c bekanntgegeben.
Überprüfung
a) des geringer erklärten Wertes
Die Einhaltung des geringer erklärten Wertes oder ein im gleichen Verhältnis zu verringernder Wert wird nach der 4 aus 5 Regel überprüft. Dabei werden die Messergebnisse der behördlichen Überwachung in die Auswertung des Messprogrammes entsprechend der zeitlichen Reihenfolge einbezogen. Wird ein erklärter Wert nicht eingehalten und gilt er auch als nicht eingehalten, verliert die Erklärung ihre Wirkung.
b) des Überwachungswertes (ÜW)
Neben der Überprüfung des geringer erklärten Wertes wird gleichzeitig immer geprüft, ob im Erklärungszeitraum auch der ÜW nach § 4 Abs. 1 oder § 6 Abs. 1 Satz 1 oder Werte nach § 4 Abs. 4 Satz 6 AbwAG eingehalten werden. Bei dieser Prüfung werden nur die Ergebnisse der behördlichen Überwachung herangezogen. Die Erklärung für den geringer erklärten Wert verliert auch dann ihre Wirkung, wenn der ÜW nach § 4 Abs. 1 oder § 6 Abs. 1 Satz 1 AbwAG, ein zum erklärten Wert zu verringernder ÜW für den kürzeren Zeitraum oder die festgelegte Schadstofffracht nicht eingehalten wurde und auch nicht als eingehalten gilt oder die Abwassermenge nicht eingehalten wurde.
Anpassung des die Abwassereinleitung zulassenden Bescheides ( § 9 Abs. 6 AbwAG)
Für die Gewährung der Ermäßigung des Abgabesatzes gemäß § 9 Abs. 5 AbwAG ist diese Regelung nur relevant, wenn die Überwachungswerte des Einleitungsbescheides oder die nach § 6 Abs. 1 Satz 1 AbwAG erklärten Werte über den Anforderungen der Abwasserverordnung in der jeweils geltenden Fassung liegen und die geringer erklärten Werte nun diesen Anforderungen entsprechen.
TMUEN (9/2017)
B/4b, Seite 2
Behördliche Zulassung des Messprogrammes
Analyseverfahren
Die Behörde lässt für die Eigenkontrolle neben den DIN-Verfahren (Analysen entsprechend Anlage zu § 3 AbwAG) Betriebsmethoden als gleichwertige Verfahren zu, wenn die nachfolgend beschriebene Analytische Qualitätssicherung gewährleistet wird.
Die Analytische Qualitätssicherung stellt ein notwendiges Instrument zur Absicherung von Analysenergebnissen dar. So wie bei der Analytik nach Normverfahren ist es auch im Bereich der Betriebsanalytik notwendig, Analysenergebnisse durch begleitende Maßnahmen abzusichern. Ziel ist es, jederzeit nachvollziehbare, richtige und zum Normverfahren vergleichbare Ergebnisse zu erzielen. Die Analytische Qualitätssicherung muss diesbezüglich alle Schritte einer Analyse umfassen.
Hauptschritte innerhalb eines Analysenablaufs sind:
Weitere Anforderungen der internen Qualitätssicherung sind:
Verfahrenskontrolle für Betreiber von Abwasserbehandlungsanlagen
1. Verfahrenskontrolle
1.1 Blindwertkontrolle zur Kontrolle der verwendeten Messgeräte und Reagenzien durch Führung einer Blindwertkontrollkarte.
Verfahren:
für alle Kenngrößen bei deren Messung ein Blindwert auftritt
Häufigkeit:
täglich bzw. bei nicht täglicher Messung vor jeder Analysenserie
1.2 Mittelwertkontrolle zur Kontrolle der Präzision des Messverfahrens durch Führung einer Mittelwertkontrollkarte aus der Messung einer Kontrollprobe, deren Konzentration in der Mitte des kalibrierten Anwendungsbereiches liegt.
Verfahren:
für alle Kenngrößen
Häufigkeit:
täglich bzw. bei nicht täglicher Messung vor jeder Analysenserie
1.3 Kontrolle der Wiederfindungsrate zur Kontrolle des Analyseverfahrens hinsichtlich der Matrixeinflüsse durch Führung einer Wiederfindungsraten-Kontrollkarte aus der Messung einer aufgestockten realen Probe.
Verfahren:
für alle Kenngrößen
Häufigkeit:
monatlich sowie bei offensichtlichem Wechsel in der Matrix bzw. zur
Kontrolle und Aufklärung nicht nachvollziehbarer Ergebnisse
TMUEN (9/2017)
B/4b, Seite 3
1.4 Plausibilitätskontrolle durch Vergleich der Ergebnisse mit den Erwartungswerten, z.B. aus vorhergehenden Untersuchungen bzw. den gegenüber vorhergehenden Untersuchungen auftretenden Differenzen, die technologisch begründbar sind. Eventuell Bestätigung des Ergebnisses durch Mehrfachbestimmung und/oder Aufstockung.
1.5 Kontrolle der Vergleichbarkeit der Ergebnisse des Messprogrammes zu Ergebnissen nach dem Normverfahren durch Ergebnisvergleich aus einer geteilten Probe, deren eine Hälfte nach den Normverfahren untersucht wird. Die Auswertung erfolgt in Anlehnung an DIN 38402-a 71.
Die Vergleichbarkeit ist jährlich mehrfach zu kontrollieren, wobei auch Ergebnisse der staatlichen Kontrolle, soweit sie aus geteilten Proben stammen, zur Grundlage genommen werden können.
1.6 Externe Qualitätskontrolle der angewandten Messverfahren durch Teilnahme an entsprechenden Ringversuchen.
Verfahren:
für alle Kenngrößen
Häufigkeit:
jährlich mindestens einmal für jede Kenngröße
2. Führung eines Qualitätssicherungshandbuches gemäß LAWa AQS-Merkblatt a - 10 mit dem Mindestinhalt
2.1 Organisation der Untersuchungen,
2.2 Verantwortlichkeiten
2.3 Untersuchungstechnik
2.4 Analyseverfahren
2.5 Interne Qualitätssicherungsmaßnahmen
2.5.1 allgemein durch Kontrollkarten für Blindwerte, Mittelwerte, Wiederfindungsraten
2.5.2 speziell in Anlehnung an die AQS-Merkblätter der LAWa zu den Analyseverfahren
2.6 Externe Qualitätssicherungsmaßnahmen durch regelmäßige Teilnahme an Ringversuchen
TMUEN (9/2017)
B/4b, Seite 4
Messung der Abwassermenge
Die Messung der Abwassermenge erfolgt kontinuierlich. Die Einhaltung wird anhand des höchsten Messergebnisses für das erklärte Zeitintervall geprüft. Das höchste Messergebnis der Abwassermenge ist anzugeben. Auf Verlangen der Behörde sind die Messwertaufzeichnungen mit allen zur Prüfung erforderlichen Unterlagen vorzulegen.
Probenahmedauer
Die Probenahmedauer richtet sich nach den Festlegungen des Einleitungsbescheides bzw. der Erklärung. Sofern im Bescheid Regelungen für verschiedene Zeiträume getroffen sind, gilt die längere Probenahmedauer.
Häufigkeit der Probenahme
Die Proben sind im Erklärungszeitraum einmal in zwei Wochen zu nehmen. In jedem 2- Wochenintervall muss somit genau ein Messergebnis aus dem Messprogramm vorliegen. Das erste 2-Wochenintervall beginnt mit dem ersten Tag des Erklärungszeitraumes.
Die Probenahme hat an unterschiedlichen Wochentagen zu unterschiedlichen Tageszeiten stattzufinden. In Abhängigkeit von der Gesamtdauer des Erklärungszeitraumes müssen folgende Anforderungen erfüllt sein:
Erklärungszeitraum 3 bis 4 Monate:
Es darf höchstens ein Wert auf einen Samstag oder Sonntag fallen.
Durch die Probenahme sollen möglichst die Tage Montag bis Freitag vollständig abgedeckt werden. Es darf für höchstens zwei dieser Tage kein Messergebnis vorliegen.
Von den Proben müssen mindestens zwei vor 12.00 Uhr abgeschlossen und mindestens zwei nach 12.00 Uhr begonnen werden.
Erklärungszeitraum 4 bis 6 Monate:
Es darf höchstens ein Wert auf einen Samstag oder Sonntag fallen.
Für die Tage Montag bis Freitag muss im Erklärungszeitraum jeweils ein Messergebnis vorliegen. Von den Proben müssen mindestens drei vor 12.00 Uhr abgeschlossen und mindestens drei nach 12.00 Uhr begonnen werden.
Erklärungszeitraum > 6 Monate:
Es dürfen höchstens zwei Werte auf einen Samstag oder Sonntag fallen.
Für die Tage Montag bis Freitag müssen im Erklärungszeitraum jeweils zwei Messergebnisse vorliegen.
Von den Proben müssen mindestens fünf vor 12.00 Uhr abgeschlossen und mindestens fünf nach 12.00 Uhr begonnen werden.
TMUEN (9/2017)
B/4c Entscheidung über Wirksamkeit der Erklärung und Zulassung des Messprogrammes gemäß § 4 Abs. 5 AbwAG
B/4d Nachweis des Messprogrammes gemäß § 4 Abs. 5 AbwAG

B/5a Angaben zur Jahresschmutzwassermenge (JSM) - Trockenwetter

TMUEN (9/2017)
B/5b Angaben zur Jahresschmutzwassermenge (JSM) - Dichtemittel
B/5c Angaben zur Jahresschmutzwassermenge (JSM) - Frischwasserverbrauch

B5/d Angaben zur Jahresschmutzwassermenge (JSM) - TOK mit ausschließlich Schmutzwasser aus Haushaltungen
B/5e Anlage zu den Formularen B/5c und B5/d3
B/7a Erklärung für das Einleiten von Niederschlagswasser von befestigten gewerblichen Flächen über eine nichtöffentliche Kanalisation nach § 7 AbwAG und § 5 Abs. 1 ThürAbwAG
B/7b Erklärung für das Einleiten von Niederschlagswasser über eine öffentliche Kanalisation nach § 7 AbwAG und § 5 Abs. 1 ThürAbwAG

B/7c Erläuterungen zur Erklärung für das Einleiten von Niederschlagswasser über eine öffentliche Kanalisation nach § 7 AbwAG und § 5 Abs. 1 ThürAbwAG
Erklärungspflicht: Die Abgabeerklärung ist vom Betreiber einer öffentlichen Kanalisation in der Niederschlagswasser abgeleitet wird, gemäß § 11 Abs. 2 ThürAbwAG spätestens bis 31. März des dem Veranlagungsjahr folgenden Jahres dem Thüringer Landesverwaltungsamt vorzulegen. Der Erklärung sind die Verhältnisse vom 30. Juni des Veranlagungsjahres zugrunde zu legen.
Öffentliche Kanalisation ist jeder offene oder geschlossene Kanal, der Niederschlagswasser ableitet und der Entsorgung der Allgemeinheit dient. Auf die Rechtsstellung des Trägers kommt es dabei nicht an. Ein Anschluss an die Kanalisation besteht nur, wenn Einrichtungen vorhanden sind, die ein öffentlich-rechtliches oder privatrechtliches Benutzungsverhältnis begründen. Keine Anschlussnahme ist z.B. ein Oberflächenabfluss zur Straßenentwässerungsanlage.
Als Einwohner ist jede in der Gemeinde gemeldete Person zu berücksichtigen, unabhängig ob sie mit Haupt- oder Nebenwohnung gemeldet ist.
In Zeile 3 ist die Anzahl der Einwohner einzutragen, die kein Niederschlagswasser über eine öffentliche Kanalisation einleiten. Hierbei handelt es sich im Regelfall um die Anzahl der Kleineinleiter.
Abgabefreiheit nach § 5 Abs. 1 ThürAbwAG
Das Niederschlagswasser wird einer Abwasseranlage zugeführt, die den allgemein anerkannten Regeln der Technik entspricht.
Aus § 5 Abs. 1 ThürAbwAG folgt,
Ein separater Antrag auf Abgabefreiheit nach § 5 Abs. 1 ThürAbwAG ist nicht erforderlich, da die Anzahl der Einwohner nach der Art und Weise der Niederschlagswassereinleitung zu erklären ist und sich hieraus eine Abgabepflicht oder Abgabefreiheit ergibt.
TMUEN (9/2017)
B/8a Erklärung über abgabepflichtige Kleineinleitungen nach § 8 AbwAG und § 6 ThürAbwAG

B/8b Erläuterungen zur Erklärung über abgabepflichtige Kleineinleitungen nach § 8 AbwAG und § 6 ThürAbwAG
Abgabepflichtiger
Anstelle von Einleitern, die weniger als 8 m3/d Schmutzwasser aus Haushaltungen und ähnliches Schmutzwasser einleiten, sind abgabepflichtig:
Die Erklärung ist im Regelfall für das gesamte Stadt-/Gemeindegebiet abzugeben. Dabei sind insbesondere bei Städten und Gemeinden, die infolge von Eingemeindungen aus mehreren Ortsteilen bestehen, die Einwohner für jeden Ortsteil separat aufzuführen.
Einwohner
Wenn die Ermittlung der Zahl der Einwohner zu aufwändig wäre, ist eine Schätzung zulässig. Auszugehen ist von den Verhältnissen zum 30. Juni des Veranlagungsjahres. Als Einwohner sind grundsätzlich die mit Haupt- und Nebenwohnung gemeldeten Personen zu zählen. In den Feldern b) bis e) dürfen die gleichen Einwohner nicht mehrmals berücksichtigt werden.
Fehlanzeige
Die Abgabeerklärung ist auch vorzulegen, wenn keine Kleineinleiter vorhanden sind. In diesem Fall genügt es, in der Abgabeerklärung unter e) und i) eine "Null" zu setzen.
Allgemein anerkannte Regeln der Technik (a. a. R. d. T).
Die a. a. R. d. T. i. S. d. § 8 AbwAG sind eingehalten, wenn durch die Abwasserbehandlungsanlage 150 mg CSB/l und 40 mg BSB5/l eingehalten werden. Die a. a. R. d. T. i. S. d. § 8 AbwAG gelten als eingehalten, wenn eine durch allgemeine bauaufsichtliche Zulassung, europäische technische Zulassung nach den Vorschriften des Bauproduktengesetzes oder sonst nach Landesrecht zugelassene Abwasserbehandlungsanlage nach Maßgabe der Zulassung eingebaut und betrieben wird. In der Zulassung müssen auch die für eine ordnungsgemäße Funktionsweise erforderlichen Anforderungen an den Einbau, den Betrieb und die Wartung der Anlage festgelegt sein. Anlagen nach DIN 4261 Teile 2 und 4 werden als a. a. R. d. T. i. S. d. § 8 AbwAG anerkannt. Mehrkammerausfaulgruben mit Untergrundverrieselung nach DIN 4261 Teile 1 und 3 werden nur für eine Übergangszeit von fünf Jahren ab Genehmigung als a. a. R. d. T. i. S. d. § 8 AbwAG anerkannt.
Ordnungsgemäße Bodenbehandlung
Das Aufbringen vonungeklärtem häuslichem Abwasser auf gärtnerische oder landwirtschaftliche Nutzflächen stelltkeine ordnungsgemäße Bodenbehandlung dar.
TMUEN (9/2017)
B/8c Anlage zu Formular B/8a
B/9c Merkblatt verrechnungsfähige Aufwendungen im Sinne des Abwasserabgabengesetzes (AbwAG)
| Merkblatt |
Verrechnungsfähige Aufwendungen im Sinne des Abwasserabgabengesetzes ( AbwAG)
Während der Errichtung und / oder der Erweiterung von Abwasseranlagen können folgende Aufwendungen entstehen:
InvestitionskostenEigenleistungen
Betriebskosten
Finanzierungskosten
1.) Investitionskosten (Anlage- oder Herstellkosten)
Investitionskosten sind die zur Erstellung, zum Erwerb und zur Erneuerung von Anlagen erforderlichen einmalig aufzuwendenden Kosten.
Kosten für den Grunderwerb
Erschließungskosten
Kosten für Vorarbeiten
Baunebenkosten
Kosten für die Bauausführung
2.) Eigenleistungen
Eigenleistungen sind Leistungen, die der Abgabepflichtige selbst erbringt, ohne dass ihm dabei zusätzliche Kosten entstehen.
3.) Betriebskosten
Betriebskosten sind laufende Kosten, die bei Betrieb, Wartung, Unterhaltung und Überwachung von Anlagen und Geräten entstehen.
4.) Finanzierungskosten
Finanzierungskosten sind Kosten, die bei der Finanzierung der Maßnahme entstehen (Zinsen, Tilgung).
TMUEN (9/2017)
B/9c, Seite 2
Verrechnungsfähige Aufwendungen sind hierbei grundsätzlich:
Nicht verrechnungsfähig sind Aufwendungen für:
Ebenfalls nicht verrechnungsfähig sind:
Zum Antrag auf Verrechnung von Aufwendungen
Vom Abgabepflichtigen ist der Nachweis zu erbringen, dass die zur Verrechnung beantragten Aufwendungen auch tatsächlich in der entsprechenden Höhe entstanden sind. Der Nachweis ist so zu erbringen, dass die einzelnen Aufwendungen dem Verwendungszweck plausibel zugeordnet und begründet werden (s. Muster). Die Vorlage der Originalrechnungen ist erforderlich.
Muster:
| lfd. Nr. der Rechnung | Leistung (z.B. Bauteil) |
Verwendungszweck | Datum Rechnungsbegleichung | Betrag in EUR |
| 0001 | 2 Pumpen | Einbau in Abwasserpumpwerk des Zulaufs zur Kläranlage | 14.03.2016 | 25.000,- |
Werden unvollständige Unterlagen abgegeben, wird der Antragsteller zur ordnungsgemäßen Abgabe der Unterlagen wiederholt und unter Zeitverzug aufgefordert.
TMUEN (9/2017)
B/9d Antrag auf Verrechnung nach § 10 Abs. 3 AbwAG


B/9e Antrag auf Verrechnung nach § 10 Abs. 4 AbwAG



B/10 Erteilung eines Lastschriftmandates für Forderungen aus der Abwasserabgabe

B/12 Abkürzungen und Erläuterungen zum Festsetzungsbescheid
| Sd | - | Schadstoff |
| von - bis | - | Beginn und Ende des Zeitraumes |
| SW konz. | - | Schwellenwert |
| wirksamer ÜW | - | Überwachungswert (ÜW), der zur Ermittlung der Abwasserabgabe herangezogen wird |
| H | - | Herkunft des ÜW
BW = Bescheidwert EW = Erklärungswert MW = Messwert SW = Schwellenwert S = Schätzung der Behörde Herkunft der Vorbelastung R = Rechtsverordnung S = Schätzung der Behörde E = Schätzung der Behörde unter Berücksichtigung der Ergebnisse der Eigenkontrollen |
| ÜW ok | - | wirksamer ÜW ist oder gilt als eingehalten |
| Erh | - | Faktor zur Berechnung der erhöhten Schadeinheiten bei Überschreitung des ÜW unter Berücksichtigung der 4 aus 5 Regel
einmalige Nichteinhaltung: Erh = 1 + 0,5 x (maximaler MW - wirksamer ÜW)/wirksamer ÜW mehrmalige Nichteinhaltung: Erh = 1 + (maximaler MW - wirksamer ÜW)/wirksamer ÜW |
| wirksamer JSM-Anteil | - | Anteil der JSM, der im betrachteten Zeitraum wirksam wird. Die Summe aller wirksamen JSM-Anteile für einen Schadstoff ergibt den unter Punkt 1.1 der Anlage GE angegebenen Wert. |
| Fracht | - | Schadstofffracht in kg/a, für GEi in 1000 m3 |
| Schädlichk. | - | Schädlichkeitsfaktor (1/Menge einer Schadeinheit) |
| SE ohne Erh | - | Schadeinheiten ohne Erhöhung |
| SE mit Erh | - | Schadeinheiten mit Erhöhung |
| SE 4.5 | - | Schadeinheiten aus den Erklärungen zu geringeren Werten |
| SE Vorbel. | - | Schadeinheiten der Vorbelastung |
| SE gesamt | - | Schadeinheiten für einen Schadstoff insgesamt |
| MA | - | Mindestanforderungen nach der Abwasserverordnung |
| BW od. EW entsp. MA | - | BW oder EW entspricht den Ma im Veranlagungsjahr |
| Ma eingehalten | - | Ma wurden im Veranlagungsjahr eingehalten |
| Erm | - | Ermäßigungsfaktor bei Einhaltung der Ma im Veranlagungsjahr |
| Abg.-satz | - | Abgabesatz in EUR |
| Erkl.-Datum | - | Datum der Erklärung zur Einhaltung geringerer Werte |
| Erkl.-Wert | - | geringer erklärter Wert |
| G | - | Gültigkeit der Erklärung für den angegebenen Schadstoff
J = gültig K = ungültig, weil keine 20%ige Schadstoffreduzierung vorliegt oder weil der Erklärungszeitraum weniger als 3 Monate beträgt M = ungültig wegen Nichteinhaltung des geringer erklärten Wertes D = ungültig wegen Überschneidung des Gültigkeitszeitraumes N = ungültig aus sonstigen Gründen |
![]() |
ENDE | ![]() |
(Stand: 15.07.2024)
Alle vollständigen Texte in der aktuellen Fassung im Jahresabonnement
Nutzungsgebühr: ab 105.- € netto
(derzeit ca. 7200 Titel s.Übersicht - keine Unterteilung in Fachbereiche)
Die Zugangskennung wird kurzfristig übermittelt
? Fragen ?
Abonnentenzugang/Volltextversion