umwelt-online: DIN 1045-1 Tragwerke aus Beton, Stahlbeton und Spannbeton; Bemessung und Konstruktion (8)
![]() |
zurück | ![]() |
10.4.3 Wölbkrafttorsion
(1) Spannungen aus behinderter Querschnittsverwölbung dürfen im Allgemeinen im Grenzzustand der Tragfähigkeit vernachlässigt werden.
(2) Bei geschlossenen dünnwandigen Querschnitten und bei Vollquerschnitten dürfen Wölbspannungen im Allgemeinen generell vernachlässigt werden.
10.4.4 Unbewehrte Bauteile
(1) Für Torsion und kombinierte Beanspruchung aus Torsion und Querkraft gilt 10.3.7 analog.
(2) Bei einem gerissenen Bauteil darf nicht ohne weiteres vorausgesetzt werden, dass es Torsionsmomente aufnimmt, sofern nicht eine ausreichende Tragfähigkeit hierfür nachgewiesen werden kann.
10.5 Durchstanzen
10.5.1 Allgemeines
(1) Die Grundsätze und Regeln dieses Abschnitts ergänzen die Regeln in 10.3. Sie betreffen das Durchstanzen von Platten mit Biegebewehrung nach 10.2; sie gelten auch für das Durchstanzen von Fundamenten und von Rippendecken mit einem Vollquerschnitt im Bereich der Lasteinleitungsfläche, sofern der Vollquerschnitt mindestens um das Maß 1,5d über den kritischen Rundschnitt hinausreicht.
(2) Durchstanzen kann aus konzentrierten Lasten oder Auflagerreaktionen herrühren, die auf einer relativ kleinen Fläche wirken. Letztere wird als LasteinleitungsflächeAload bezeichnet.
(3) Ein geeignetes Bemessungsmodell für den Nachweis gegen Durchstanzen im Grenzzustand der Tragfähigkeit ist in Bild 37 angegeben. Die kritische FlächeAcrit ist dabei parallel zur LasteinleitungsflächeAload anzunehmen.
(4) Der Nachweis der Tragfähigkeit ist längs festgelegter Nachweisschnitte zu führen. Außerhalb des Bereichs der Nachweisschnitte muss das Bauteil die Anforderungen nach 10.3 erfüllen.
Bild 37 - Bemessungsmodell für den Nachweis der Sicherheit gegen Durchstanzen
Legende
| a) | Querschnitt |
| b) | Plattendraufsicht |
| βr = 33,7° |
| 1 | Platte | 4 | kritischer Rundschnitt | 7 | Umfang des kritischen Rundschnittsucrit |
| 2 | Fundamentplatte | 5 | kritischer Radius | ||
| 3 | LasteinleitungsflächeAload | 6 | kritische FlächeAcrit |
10.5.2 Lasteinleitung und Nachweisschnitte
(1) Die Festlegungen dieses Abschnitts sind auf die folgenden Arten von LasteinleitungsflächenAload anwendbar:
Die Rundschnitte benachbarter Lasteinleitungsflächen nach den Absätzen (3) und (5) dürfen sich dabei nicht überschneiden.
(2) Wenn die Bedingungen nach Absatz (1) bei Auflagerung auf Wänden oder Stützen nicht erfüllt werden, weil sich in diesem Fall die Querkräfte auf die Ecken der Auflagerflächen konzentrieren, sind Rundschnitte nach Bild 38 anzusetzen, sofern kein genauerer Nachweis geführt wird.
Bild 38 - Maßgebende Abschnitte für den kritischen Rundschnitt bei ausgedehnten Auflagerflächen
Legende
| 1 | LasteinleitungsflächeAload |
| 2 | maßgebende Abschnitte des kritischen Rundschnitts |
![]() |
(3) Der kritische Rundschnitt für runde oder rechteckige Lasteinleitungsflächen, die sich nicht in der Nähe von freien Rändern befinden, umgibt die Lasteinleitungsfläche in einem Abstand von 1,5d (siehe Bild 39).
Bild 39 - Kritischer Rundschnitt um Lasteinleitungsflächen, die sich nicht in der Nähe eines freien Randes befinden
Legende
| 1 | LasteinleitungsflächeAload |
(4) Die kritische FlächeAcrit ist die Fläche innerhalb des kritischen Rundschnitts.
(5) Weitere Rundschnitte innerhalb und außerhalb der kritischen Fläche sind affin zum kritischen Rundschnitt anzunehmen.
(6) Für Lasteinleitungsflächen, deren Rand nicht mehr als 6d von Öffnungen entfernt ist, ist ein der Öffnung zugewandter Teil des maßgebenden Rundschnitts als unwirksam zu betrachten. Dieser Umfangsabschnitt wird durch den Abstand der Schnittpunkte der Verbindungslinien mit dem betrachteten Rundschnitt nach Bild 40 beschrieben.
Bild 40 - Kritischer Rundschnitt in der Nähe von Öffnungen

Legende
| 1 | LasteinleitungsflächeAload |
| 2 | Öffnung |
| Wennl1 >l2, dann giltl2 = (l1 *l2)0,5 |
(7) Bei Lasteinleitungsflächen, die sich in der Nähe eines freien Randes oder einer freien Ecke befinden, ist der kritische Rundschnitt nach Bild 41 anzunehmen, sofern dieser einen Umfang ergibt (freier Rand ausgeschlossen), der kleiner als derjenige nach den Absätzen (3) und (6) ist.
(8) Bei Lasteinleitungsflächen im Bereich eines freien Randes mit einem Randabstand von mehr als 3d zum freien Plattenrand, darf die aufnehmbare Querkraft mit einem kritischen Rundschnitt nach Bild 39 bestimmt werden.
Bild 41 - Kritischer Rundschnitt nahe freien Rändern
Legende
| 1 | LasteinleitungsflächeAload |
| 2 | freier Rand |
(9) Bei Lasteinleitungsflächen, die sich nahe oder an einem freien Rand oder einer Ecke befinden, d. h. mit einem Randabstand kleiner alsd, ist stets eine besondere Randbewehrung nach 13.3.2 (10) mit einem Abstand der Steckbügelsw< 100 mm längs des freien Randes erforderlich.
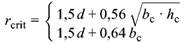
(10) Bei Stützen mit schräger Stützenkopfverstärkung mitlH< 1,5hH (siehe Bild 42) ist nur im kritischen Rundschnitt außerhalb der Stützenkopfverstärkung ein Nachweis erforderlich. Der Abstandrcrit dieses Schnittes vom Schwerpunkt der Lasteinleitungsfläche darf nach Gleichung (96) ermittelt werden:
| rcrit = 1,5d +lH + 0,5lc | (96) |
Dabei ist
| lH | der Abstand des Stützenrands vom Rand der Stützenkopfverstärkung |
| lc | der Durchmesser einer Lasteinzugsfläche mit Kreisquerschnitt |
Bei Rechteckstützen mit einer rechteckigen Stützenkopfverstärkung mitlH< 1,5d (siehe Bild 42) und den Gesamtabmessungenbc undhc im Grundriss (mitbc<hc) istrcrit als der jeweils kleinere der folgenden Werte anzunehmen:
![]() |
(97) |
Bei Stützen mit abgestufter Stützenkopfverstärkung mitlH< 1,5hH ist die gesamte Fläche der Stützenkopfverstärkung als Lasteinleitungsfläche anzunehmen.
Bild 42 - Platte mit einer Stützenkopfverstärkung mitlH< 1,5hH

Legende
| 1 | kritischer Rundschnitt |
| 2 | LasteinleitungsflächeAload |
(11) Bei Platten mit einer Stützenkopfverstärkung mitlH > 1,5hH (siehe Bild 43) sind neben dem kritischen Rundschnitt außerhalb der Stützenkopfverstärkung auch kritische Rundschnitte im Bereich der Stützenkopfverstärkung nachzuweisen.
(12) Die Abstände vom Mittelpunkt der Lasteinleitungsfläche zu den kritischen Rundschnitten nach Bild 43 dürfen wie folgt angenommen werden:
| rcrit, ex = 1,5d +lH + 0,5lc | (98) |
| rcrit, in = 1,5 (d + dH) + 0,5lc | (99) |
(13) Die Festlegungen in 10.5.3 sind auch für Nachweise innerhalb der Stützenkopfverstärkung anwendbar, wobeid mitdH nach Bild 43 anzunehmen ist.
Bild 43 - Platte mit Stützenkopfverstärkung mitlH > 1,5hH

Legende
| 1 | kritischer Rundschnitt |
| 2 | LasteinleitungsflächeAload, in |
| 3 | LasteinleitungsflächeAload, ex |
10.5.3 Nachweisverfahren
(1) Das Bemessungsverfahren für Durchstanzen basiert auf einem räumlichen Fachwerkmodell. Dieses
Fachwerkmodell wird durch die folgenden Bemessungswerte der Querkrafttragfähigkeitje Längeneinheit beschrieben, wobei die Nachweisschnitte nach Bild 45 affin zum kritischen Rundschnitt verlaufen:
| vRd, ct | Bemessungswert der Querkrafttragfähigkeit längs des kritischen Rundschnitts einer Platte ohne Durchstanzbewehrung. |
| vRd, ct, a | Bemessungswert der Querkrafttragfähigkeit längs des äußeren Rundschnitts außerhalb des durchstanzbewehrten Bereichs. Dieser Bemessungswert beschreibt den Übergang vom Durchstanzwiderstand ohne QuerkraftbewehrungvRd, ct zum Querkraftwiderstand nach 10.3.3 in Abhängigkeit von der Breitelw des durchstanzbewehrten Bereiches (siehe Bild 45). |
| vRd, sy | Bemessungswert der Querkrafttragfähigkeit mit Durchstanzbewehrung längs innerer Nachweisschnitte. |
| vRd, max | Bemessungswert der maximalen Querkrafttragfähigkeit längs des kritischen Rundschnitts. |
(2) Die aufzunehmende Querkraft im betrachteten Nachweisschnitt je Längeneinheit beträgt:
![]() |
(100) |
Dabei ist
| VEd | der Bemessungswert der gesamten aufzunehmenden Querkraft |
| u | der Umfang des betrachteten Rundschnitts nach Bild 45 |
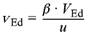
| β | der Beiwert zur Berücksichtigung der nichtrotationssymmetrischen Querkraftverteilung im Rundschnitt bei Rand- und Eckstützen sowie bei Innenstützen in unregelmäßigen Systemen. Für unverschiebliche Systeme dürfen die Werte nach Bild 44 angenommen werden, sofern kein genauerer Nachweis geführt wird. Für verschiebliche Systeme sind im Allgemeinen genauere Untersuchungen erforderlich |
(3) Ein Reduzieren der einwirkenden Querkraft aus auflagernahen Einzellasten nach 10.3.2 ist nicht zulässig.
(4) Bei Fundamentplatten darf die QuerkraftVEd um die günstige Wirkung der Bodenpressung in der kritischen Fläche abgemindert werden. Dabei dürfen für die Ermittlung der resultierenden Bodenreaktionskraft jedoch höchstens 50 % der kritischen FlächeAcrit nach 10.5.2 (4) in Ansatz gebracht werden.
(5) Die QuerkraftkomponenteVpd der Spanngliedkraft von geneigten Spanngliedern, die parallel zuVEd wirkt und innerhalb der betrachteten Rundschnitte liegt, darf nach 10.3.2 berücksichtigt werden.
(6) Bei Platten ohne Durchstanzbewehrung ist nachzuweisen, dass längs des kritischen Rundschnitts nach 10.5.2 gilt:
| vEd<vRd, ct | (101) |
(7) Bei Platten mit Durchstanzbewehrung sind folgende Nachweise zu führen:
| vEd<vRd, max | (102) |
| vEd<vRd, sy | (103) |
| vEd<vRd, ct, a | (104) |
Bild 44 - Näherungswerte für den Beiwert b
Legende
| 1 | Eckstütze |
| 2 | Randstütze |
| 3 | Innenstütze |
10.5.4 Platten oder Fundamente ohne Durchstanzbewehrung
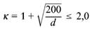
Die QuerkrafttragfähigkeitvRd, ct längs des kritischen Rundschnitts nach 10.5.2 ist nach Gleichung (105) zu ermitteln:
| vRd, ct = [0,14η1κ * (100 *ρl *fck)1/3 - 0,12σcd] *d | (105) |
mit
![]() |
(106) |
Dabei ist
| η1 | = 1,0 für Normalbeton; für Leichtbeton nach Tabelle 10 |
| d | die mittlere Nutzhöhe in mm |
| d = (dx +dy) /2 | |
| dx +dy | die Nutzhöhe der Platte inx- bzw.y-Richtung im betrachteten Rundschnitt |
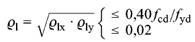
| ρl | der mittlere Längsbewehrungsgrad innerhalb des betrachteten Rundschnitts mit |
![]() |
|
| ρlx,ρly | der Bewehrungsgrad, bezogen jeweils auf die Zugbewehrung inx- bzw.y-Richtung, die innerhalb des betrachteten Rundschnitts im Verbund liegt und außerhalb des betrachteten Rundschnittes verankert ist. Bei Eck- und Randstützen siehe 10.5.2 (9). |
| σcd | der Bemessungswert der Betonnormalspannung innerhalb des betrachteten Rundschnitts mit |
![]() |
|
![]() |
|
| σcd, x,σcd, y | die Bemessungswerte der Betonnormalspannung innerhalb des betrachteten Rundschnitts in x- bzw. y-Richtung |
| NEd, x,NEd, y | die Bemessungswerte der mittleren Längskräfte in den QuerschnittenAc, x undAc, y durch den kritischen Rundschnitt infolge Vorspannung oder sonstige Einwirkungen (NEd < 0 als Längsdruckkraft) |
10.5.5 Platten oder Fundamente mit Durchstanzbewehrung
(1) Die maximale QuerkrafttragfähigkeitvRd, max für Platten mit Durchstanzbewehrung im kritischen Rundschnitt ist mit Gleichung (107) zu ermitteln:
| vRd, max = 1,5vRd, ct | (107) |
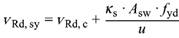
(2) Bei Durchstanzbewehrung rechtwinklig zur Plattenebene ist die erforderliche Bewehrung für die jeweils betrachtete Bewehrungsreihe nach Bild 45 aus Gleichung (108) und Gleichung (109) zu ermitteln und auf dem betrachteten Umfang gleichmäßig verteilt anzuordnen (siehe 13.3.3):
![]() |
(108) |
![]() |
(109) |
Dabei ist
| vRd, c | der Betontraganteil; es darfvRd, c =vRd, ct nach Gleichung (105) angenommen werden | |
| κs *Asw *fyd | die Bemessungskraft der Durchstanzbewehrung in Richtung der aufzunehmenden Querkraft für jede Reihe der Bewehrung | |
| u | der Umfang des Nachweisschnittes | |
| sw | die wirksame Breite einer Bewehrungsreihe nach Bild 45, mit:sw< 0,75d | |
| κs | der Beiwert zur Berücksichtigung des Einflusses der Bauteilhöhe auf die Wirksamkeit der Bewehrung mit | |
![]() |
(110) |
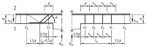
(3) Werden Schrägstäbe als Durchstanzbewehrung eingesetzt, müssen diese eine Neigung von 45°<α< 60° gegen die Plattenebene aufweisen. Werden ausschließlich Schrägstäbe eingesetzt, so dürfen diese nur im Bereich von 1,5d (mit der statischen Nutzhöhed der Platte oder des Fundaments) um die Stütze angeordnet werden (siehe Bild 72).
Die erforderliche Bewehrung ist in einem Schnitt im Abstand 0,5d vom Stützenrand nach Gleichung (111) nachzuweisen.
![]() |
(111) |
Dabei ist
| 1,3As * sinα *fyd | die Bemessungskraft der Durchstanzbewehrung in Richtung der aufzunehmenden Querkraft |
| α | der Winkel der geneigten Durchstanzbewehrung gegen die Plattenebene (siehe Bild 45) |
(4) Der äußere Rundschnitt liegt im Abstand 1,5d von der letzten Bewehrungsreihe (siehe Bild 45). Die Querkrafttragfähigkeit längs des äußeren Rundschnitts ist wie folgt zu ermitteln:
| vRd, ct, a =κa *vRd, ct | (112) |
Dabei ist
| vRd, ct | die Tragfähigkeit ohne Durchstanzbewehrung nach Gleichung (105) unter Berücksichtigung des Längsbewehrungsgradesρl im äußeren Rundschnitt | |
| κa | der Beiwert zur Berücksichtigung des Übergangs zum Plattenbereich mit der Tragfähigkeit nach 10.3.3 mit | |
![]() |
(113) | |
| lw | die Breite des Bereiches mit Durchstanzbewehrung außerhalb der Lasteinleitungsfläche (siehe Bild 45) |
Bild 45 - Nachweisschnitte der Durchstanzbewehrung

Legende
| 1 | Nachweisschnitt |
| 2 | wirksame Breite einer Bügelreihesw |
(5) Anforderungen an die bauliche Durchbildung der Durchstanzbewehrung sind in 13.3.3 angegeben; die erforderliche Durchstanzbewehrung der inneren Rundschnitte darf folgenden Wert nicht unterschreiten:
![]() |
(114) |
bzw.
![]() |
bei geneigter Durchstanzbewehrung mitsw =d und mit minρw nach 13.2.3 (5). |
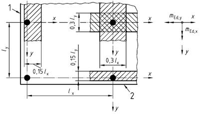
10.5.6 Mindestmomente
(1) Um die Querkrafttragfähigkeit sicherzustellen, sind die Platten im Bereich der Stützen für MindestmomentemEd zu bemessen, sofern die Schnittgrößenermittlung nicht zu höheren Werten führt.
(2) Wenn andere Festlegungen fehlen, sollten folgende Mindestmomente je Längeneinheit angesetzt werden:
| mEd, x =ηx *VEd | und | mEd, y =ηy *VEd | (115) |
Dabei ist
| VEd | die aufzunehmende Querkraft |
| ηx,ηy | der Momentenbeiwert nach Tabelle 14 für die x- bzw. . y-Richtung (siehe Bild 46) |
Diese Mindestmomente sollten jeweils in einem Bereich mit der in Tabelle 14 angegebenen Breite angesetzt werden (siehe Bild 46).
Tabelle 14 - Momentenbeiwerteη und Verteilungsbreiten der Momente
| Zeile | Spalte | 1 | 2 | 3 | 4 | 5 | 6 |
| ηx | anzusetzende Breiteb | ηy | |||||
| Lage der Stütze | Zug an der Plattenoberseite | Zug an der Plattenunterseite | Zug an der Plattenoberseitec | Zug an der Plattenunterseite | anzusetzende Breite | ||
| 1 | Innenstütze | 0,125 | 0 | 0,3ly | 0,125 | 0 | 0,3lx |
| 2 | Randstütze, Rand "x"a | 0,25 | 0 | 0,15ly | 0,125 | 0,125 | (je m Plattenbreite) |
| 3 | Randstütze "y"a | 0,125 | 0,125 | (je m Plattenbreite) | 0,25 | 0 | 0,15lx |
| 4 | Eckstütze | 0,5 | 0,5 | (je m Plattenbreite) | 0,5 | 0,5 | (je m Plattenbreite) |
| a | Definition der Ränder und der Stützenabständelx undly siehe Bild 46 |
| b | siehe Bild 46 |
| c | Die Plattenoberseite bezeichnet die der Lasteinleitungsfläche entgegen liegende Seite der Platte; die Plattenunterseite diejenige Seite, auf der die Lasteinleitungsfläche liegt. |
Bild 46 - Bereiche für den Ansatz der MindestbiegemomentemEd, x undmEd, y
Legende
| 1 | Rand "y" |
| 2 | Rand "x" |
10.6 Stabwerkmodelle
10.6.1 Allgemeines
(1) Ein Stabwerkmodell besteht aus Betondruckstreben, aus Zugstreben und den verbindenden Knoten. Die Kräfte in diesen Elementen des Stabwerkmodells sind unter Einhaltung des Gleichgewichts für die Einwirkungen im Grenzzustand der Tragfähigkeit zu ermitteln, und die Elemente sind dafür nach den in 10.6.2 und 10.6.3 angegebenen Regeln zu bemessen.
(2) Die Zugstreben des Stabwerkmodells müssen nach Lage und Richtung mit der zugehörigen Bewehrung übereinstimmen.
(3) Um die Verträglichkeit näherungsweise sicherzustellen, sollte das Stabwerkmodell, insbesondere die Lage und Richtung wichtiger Druckstreben, an der Spannungsverteilung nach der linearen Elastizitätstheorie orientiert sein.
(4) Stabwerkmodelle dürfen kinematisch sein, wenn Geometrie und Belastung aufeinander abgestimmt sind.
(5) Bei der Stabkraftermittlung für statisch unbestimmte Stabwerkmodelle dürfen die unterschiedlichen Dehnsteifigkeiten der Druck- und Zugstreben näherungsweise berücksichtigt werden. Vereinfachend dürfen einzelne statisch unbestimmte Stabkräfte in Anlehnung an die Kräfte aus einer linear-elastischen Berechnung des Tragwerks gewählt werden.
(6) Die Ergebnisse aus mehreren Stabwerkmodellen dürfen im Allgemeinen nicht überlagert werden. Dies ist im Ausnahmefall möglich, wenn die Stabwerkmodelle für jede Einwirkung im Wesentlichen übereinstimmen.
10.6.2 Bemessung der Zug- und Druckstreben
(1) Die Druckstreben des Stabwerkmodells sind für Druck und für Querzug (siehe Bild 47), bei ebenen Stabwerkmodellen auch für Querzug senkrecht zur Ebene des Stabwerkmodells, zu bemessen. Die Querzugkraft im Druckfeld infolge einer Einschnürung an einem Knoten kann mit Hilfe eines örtlichen Stabwerkmodells ermittelt werden.
Bild 47 - Querzugkräfte in einem Druckfeld mit Einschnürung zu konzentrierten Knoten an beiden Enden
(2) Der Bemessungswert der Druckstrebenfestigkeit ist wie folgt begrenzt:
mitη1 = 1,0 für Normalbeton; für Leichtbeton nach Tabelle 10
Bei Druckstreben mit kreuzenden Rissen können kleinere Werte erforderlich sein (siehe DAfSbHeft 525).
(3) Der Bemessungswert der Stahlspannung der Bewehrung der Zugstreben und der Bewehrung zur Aufnahme der Querzugkräfte in Druckstreben ist bei Betonstahl auffyd, bei Spannstahl auffp0,1k /γs zu begrenzen.
(4) Die Bewehrung ist bis in die konzentrierten Knoten ungeschwächt durchzuführen. Sie darf in verschmierten Knoten, die sich im Tragwerk über eine größere Länge erstrecken, innerhalb des Knotenbereichs gestaffelt enden. Dabei muss sie alle durch die Bewehrung umzulenkenden Druckwirkungen erfassen.
(5) Die Verankerungslänge der Bewehrung in Druck-Zug-Knoten beginnt am Knotenanfang, wo erste Druckspannungen aus den Druckstreben auf die verankerte Bewehrung treffen und von ihr umgelenkt werden (siehe Bild 49).
(6) In Bauteilbereichen mit parallelem Druck- und Zuggurt ist die Höhe des Druckspannungsfeldes oder die Höhe des Spannungsblocks im Hinblick auf die Verträglichkeit zu begrenzen. So sollten diese Abmessungen nicht größer gewählt werden, als sie sich bei Annahme einer linearen Dehnungsverteilung ergeben.
Bild 48 - Knotenbereich für den Nachweis von Druckknoten
(7) Für Druckstreben, deren Druckfelder sich zu konzentrierten Knoten hin stark einschnüren, erübrigen sich Nachweise der Druckspannungen, wenn die angrenzenden Knoten nach 10.6.3 nachgewiesen werden.
![]() |
weiter . | ![]() |
(Stand: 01.03.2019)
Alle vollständigen Texte in der aktuellen Fassung im Jahresabonnement
Nutzungsgebühr: ab 105.- € netto
(derzeit ca. 7200 Titel s.Übersicht - keine Unterteilung in Fachbereiche)
Die Zugangskennung wird kurzfristig übermittelt
? Fragen ?
Abonnentenzugang/Volltextversion