umwelt-online: DIN 1045-1 Tragwerke aus Beton, Stahlbeton und Spannbeton; Bemessung und Konstruktion (7)
![]() |
zurück | ![]() |
10.3 Querkraft
10.3.1 Nachweisverfahren
(1) Die Tragfähigkeit für Querkraft wird durch verschiedene Versagensmechanismen begrenzt. Deshalb gelten folgende Bemessungswerte der aufnehmbaren Querkraft:
| VRd, ct | Bemessungswert der aufnehmbaren Querkraft eines Bauteils ohne Querkraftbewehrung |
| VRd, sy | Bemessungswert der durch die Tragfähigkeit der Querkraftbewehrung begrenzten aufnehmbaren Querkraft |
| VRd, max | Bemessungswert der durch die Druckstrebenfestigkeit begrenzten maximal aufnehmbaren Querkraft |
(2) Jeder Querschnitt, in dem der Bemessungswert der QuerkraftVEd<VRd, ct ist, erfordert rechnerisch keine Querkraftbewehrung (siehe 10.3.3). Bei Balken und einachsig gespannten Platten mitb/h < 5 ist jedoch stets eine Mindestquerkraftbewehrung nach 13.2.3 bzw. 13.3.3 erforderlich.
(3) In Querschnitten, in denenVEd den WertVRd, ct überschreitet, ist eine Querkraftbewehrung derart vorzusehen, dassVEd<VRd, sy ist (siehe 10.3.4) und die Regeln für die erforderliche Mindestquerkraftbewehrung nach 13.2.3 und 13.3.3 eingehalten sind.
(4) Der Bemessungswert der einwirkenden Querkraft darf in keinem Querschnitt des Bauteils den WertVRd, max überschreiten (siehe 10.3.4).
10.3.2 Bemessungswert der einwirkenden Querkraft
(1) Bei gleichmäßig verteilter Last und direkter Auflagerung (vgl. 7.3.1 (7)) darf für die Ermittlung der Querkraftbewehrung der BemessungswertVEd aufgrund der direkten Einleitung auflagernaher Lastanteile in das Auflager in einer Entfernungd vom Auflagerrand ermittelt werden.
(2) Der Anteil der Querkraft einer im Abstandx< 2,5d vom Auflagerrand wirkenden Einzellast darf bei direkter Auflagerung mit dem Beiwertβ ab gemindert werden:
| β =x / 2,5d | (68) |
(3) Beim Nachweis vonVRd, max dürfen die Abminderungen nach den Absätzen (1) und (2) nicht vorgenommen werden.
(4) In Bauteilen mit veränderlicher Nutzhöhe oder mit geneigter Spanngliedführung ergibt sich der Bemessungswert der QuerkraftVEd unter Berücksichtigung der Kraftkomponenten des Druck- und Zuggurtes rechtwinklig zur Bauteilachse aus Gleichung (69) und Bild 31:
| VEd =VEd0 -Vccd -Vtd -Vpd | (69) |
Bild 31 - Querkraftanteile bei veränderlicher Querschnittshöhe
Legende
| 1 | Wirkungslinie der Betondruckkraft | 3 | Schwerachse der Spannglieder |
| 2 | Nulllinie | 4 | Schwerachse der Betonstahlbewehrung |
| VEd | Bemessungswert der einwirkenden Querkraft | ||
| VEd0 | Grundbemessungswert der auf den Querschnitt einwirkenden Querkraft | ||
| Vccd | Bemessungswert der Querkraftkomponente in der Druckzone | ||
| Vtd | Bemessungswert der Querkraftkomponente der Betonstahlzugkraft | ||
| Vpd | Querkraftkomponente der Spannstahlkraft im Grenzzustand der Tragfähigkeit (siehe 8.7.5, aberPmt<Ap *fp0,1k/γs) |
10.3.3 Bauteile ohne rechnerisch erforderliche Querkraftbewehrung
(1) Der Bemessungswert der QuerkrafttragfähigkeitVRd, ct biegebewehrter Bauteile ohne Querkraftbewehrung ist im Allgemeinen nach Gleichung (70) zu ermitteln.
| VRd, ct = [0,10κ *η1 * (100ρl *fck)1/3 - 0,12σcd] *bw *d | (70) |
mit
![]() |
(71) |
Dabei ist
| η1 | = 1,0 für Normalbeton; für Leichtbeton nach Tabelle 10 |
| ρl | der Längsbewehrungsgrad mit |
![]() |
|
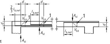
| Asl | die Fläche der Zugbewehrung, die mindestens um das Maßd über den betrachteten Querschnitt hinaus geführt und dort wirksam verankert wird (siehe Bild 32). Bei Vorspannung mit sofortigem Verbund darf die Spannstahlfläche voll aufAsl angerechnet werden |
| bw | die kleinste Querschnittsbreite innerhalb der Zugzone des Querschnitts in mm |
| d | die statische Nutzhöhe der Biegebewehrung im betrachteten Querschnitt in mm |
| fck | der charakteristische Werte der Betondruckfestigkeit in N/mm2 |
| σcd | der Bemessungswert der Betonlängsspannung in Höhe des Schwerpunkts des Querschnitts mit |
![]() |
|
| NEd | der Bemessungswert der Längskraft im Querschnitt infolge äußerer Einwirkungen oder Vorspannung (NEd < 0 als Längsdruckkraft) |
Bild 32 - Definition von Ast für die Ermittlung von pl in Gleichung (70)
Legende
| 1 | betrachteter Schnitt |
(2) Wenn nachgewiesen wird, dass die Betonzugspannungen im Grenzzustand der Tragfähigkeit stets kleiner sind alsfctk; 0,05/γc (mitγc für unbewehrten Beton nach 5.3.3 (8)), darf die Querkrafttragfähigkeit in den auflagernahen Bereichen von Stahlbeton- und Spannbetonbauteilen unter vorwiegend ruhenden Beanspruchungen nach Gleichung (72) berechnet werden:
![]() |
(72) |
Dabei ist
| I | das Flächenmoment 2. Grades des Querschnitts |
| S | das Flächenmoment 1. Grades des Querschnitts bezogen auf dessen Schwerpunkt (Statisches Moment) |
| αl | =lx/lbpd< 1,0 | bei Vorspannung im sofortigem Verbund |
| = 1 | in den übrigen Fällen |
| lx | der Abstand des betrachteten Querschnitts vom Beginn der Verankerungslänge des Spannglieds nach 8.7.6 |
| lbpd | der obere Bemessungswert der Übertragungslänge des Spanngliedes nach 8.7.6 (6) |
| fctk; 0,05 | der untere Quantilwert der Betonzugfestigkeit nach Tabelle 9 oder Tabelle 10, jedochfctk; 0,05< 2,7 N/mm2 |
| γc | der Sicherheitsbeiwert für unbewehrten Beton nach 5.3.3 (8) |
| bw | die kleinste Querschnittsbreite |
| σcd | der Bemessungswert der Betonlängsspannung in Höhe des Schwerpunkts des Querschnitts mit |
![]() |
Dieser Nachweis darf für Querschnitte, die näher alsh/2 zur Auflagervorderkante liegen, entfallen.
10.3.4 Bauteile mit rechnerisch erforderlicher Querkraftbewehrung
(1) Die Querkraftbemessung biegebewehrter Bauteile mit Querkraftbewehrung erfolgt auf der Grundlage eines Fachwerkmodells (siehe Bild 33). Die Neigungθ der Druckstreben des Fachwerks ist nach Absatz (3) zu begrenzen.
(2) Beim Nachweis der Querkrafttragfähigkeit darf im Allgemeinen näherungsweise der Wertz = 0,9d angenommen werden. Dabei wird vorausgesetzt, dass bei Bauteilen mit geneigten Spanngliedern in der vorgedrückten Zugzone Längsbewehrung aus Betonstahl vorhanden ist, die zur Aufnahme der Längszugkräfte infolge Querkraft ausreichend ist, und dass die Bügel nach 12.7 (2) in der Druckzone verankert sind. Es darf fürz aber kein größerer Wert angesetzt werden, als sich ausz =d - 2cnom (mitcnom der Längsbewehrung in der Betondruckzone) ergibt.
(3) Die Neigungθ der Druckstreben des Fachwerks ist wie folgt zu begrenzen:
![]() |
(73) |
mit
![]() |
(74) |
Dabei ist
| βct | = 2,4 |
| η1 | = 1,0 für Normalbeton; für Leichtbeton nach Tabelle 10 |
| σcd | der Bemessungswert der Betonlängsspannung in Höhe des Schwerpunkts des Querschnitts mit |
![]() |
|
| NEd | der Bemessungswert der Längskraft im Querschnitt infolge äußerer Einwirkungen oder Vorspannung (NEd < 0 als Längsdruckkraft) |
Bild 33 - Fachwerkmodell und Benennungen für querkraftbewehrtrte Bauteile
Legende
| 1 | Druckstrebe | 3 | Zugestrebe; Querkraftbewehrung |
| 2 | Druckgurt | 4 | Zuggurt; Längsbewehrung |
| α | Winkel zwischen Querkraftbewehrung und Bauteilachse | ||
| θ | Winkel zwischen den Betondruckstreben und der Bauteilachse | ||
| Fsd | Bemessungswert der Zugkraft in der Längsbewehrung | ||
| Fcd | Bemessungswert der Betondruckkraft in Richtung der Bauteilachse | ||
| bw | kleinste Querschnittsbreite | ||
| z | innerer Hebelarm im betrachteten Bauteilabschnitt | ||
| ΔFsd | Zugkraftanteil in der Längsbewehrung infolge Querkraft mit | ||
| ΔFsd = 0,5 |VEd| (cotΘ - cotα) |
(4) Der BemessungswertVRd, sy ist bei Bauteilen mit Querkraftbewehrung rechtwinklig zur Bauteilachse nach Gleichung (75) zu ermitteln:
![]() |
(75) |
Dabei ist
| sw | der Abstand der zur Bauteilachse rechtwinkligen Bewehrung in Richtung der Bauteilachse gemessen |
(5) Vereinfachend dürfen für cotθ in Gleichung (75) die folgenden Werte angesetzt werden:
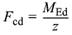
(6) Der Bemessungswert der maximalen QuerkrafttragfähigkeitVRd, max ist bei Bauteilen mit Querkraftbewehrung rechtwinklig zur Bauteilachse nach Gleichung (76) zu ermitteln:
![]() |
(76) |
Dabei ist
| αc | der Abminderungsbeiwert für die Druckstrebenfestigkeit |
| αc = 0,75η1 mitη1 = 1,0 für Normalbeton; für Leichtbeton nach Tabelle 10 |
(7) Bei Bauteilen mit geneigter Querkraftbewehrung sind die Bemessungswerte der QuerkrafttragfähigkeitVRd, sy undVRd, max unter Berücksichtigung des Winkelsα der Querkraftbewehrung zur Bauteilachse nach Gleichungen (77) und (78) zu ermitteln:
![]() |
(77) |
![]() |
(78) |
Dabei ist
| αc | = 0,75η1 mitη1 = 1,0 für Normalbeton; für Leichtbeton nach Tabelle 10 |
| sw | der Abstand der geneigten Querkraftbewehrung in Richtung der Bauteilachse gemessen |
(8) Enthält der betrachtete Querschnitt nebeneinander liegende verpresste Spannglieder mit einer Durchmessersumme ∑dh >bw/8, muss der Bemessungswert der QuerkrafttragfähigkeitVRd, max nach Gleichung (76) oder Gleichung (78) auf der Grundlage des Nennwertsbw, nom der Querschnittsbreite für die ungünstigste Spanngliedlage berechnet werden:
| bw, nom =bw - 0,5 ∑dh | bis C50/60 oder LC50/55 | (79) |
| bw, nom =bw -1,0 ∑dh | ab C55/67 oder LC55/60 | (80) |
Dabei ist
| dh | der äußerer Hüllrohrdurchmesser |
Für nebeneinander liegende nicht verpresste Spannglieder oder solche ohne Verbund gilt:
| bw, nom =bw - 1,3 ∑dh | (81) |
(9) Der Zugkraftanteil ΔFsd in der Längsbewehrung infolge Querkraft, der zusätzlich zu dem aus Biegebeanspruchung auftritt, ist nach Bild 33 zu berücksichtigen. Alternativ darf dieser auch nach 13.2.2 (3) berücksichtigt werden.
10.3.5 Schubkräfte zwischen Balkensteg und Gurten
(1) Der Anschluss von Druck- und Zuggurten ist an einem Fachwerkmodell nachzuweisen.
(2) Der Bemessungswert der einwirkenden Längsschubkraft darf ermittelt werden aus:
| VEd = ΔFd | (82) |
Dabei ist
| ΔFd | die Längskraftdifferenz in einem einseitigen Gurtabschnitt mit der Längeav, , in dem die Längsschubkraft als konstant angenommen werden darf (siehe Bild 34) |
Fürav darf höchstens der halbe Abstand zwischen Momentennullpunkt und Momentenhöchstwert angenommen werden. Bei nennenswerten Einzellasten sollten die jeweiligen Abschnittslängen nicht über die Querkraftsprünge hinausgehen.
(3) Der Nachweis der Querkrafttragfähigkeit darf nach 10.3.4 geführt werden. Dabei ist in den Gleichungen (75) bis (81)bw =hf undz =av zu setzen. Fürσcd darf die mittlere Betonlängsspannung im anzuschließenden Gurtabschnitt mit der Längeav angesetzt werden. Vereinfachend darf in Zuggurten cotθ = 1,0 und in Druckgurten cotθ = 1,2 gesetzt werden.
(4) Sofern kein genauerer Nachweis erfolgt, darf bei kombinierter Beanspruchung durch Schubkräfte zwischen Gurt und Steg und durch Querbiegung der größere erforderliche Stahlquerschnitt je Seite, der
Bild 34 - Anschluss zwischen Gurten und Steg

Legende
| 1 | Druckstreben |
| 2 | Längsbewehrung im Gurt muss ab diesem Punkt verankert sein |
sich entweder nach diesem Abschnitt oder aus der Bemessung für Querbiegung ergibt, angeordnet werden. Dabei sind Biegedruckzone und Biegezugzone getrennt unter Ansatz von jeweils der Hälfte der für die Schubbeanspruchung allein ermittelten Querkraftbewehrung zu betrachten.
10.3.6 Schubkraftübertragung in Fugen
(1) Die Übertragung von Schubkräften in den Fugen zwischen nebeneinander liegenden Fertigteilen oder zwischen Ortbeton und einem vorgefertigten Bauteil sowie zwischen nacheinander betonierten Ortbetonabschnitten wird durch die Rauigkeit und Oberflächenbeschaffenheit der Fuge bestimmt. Für den Nachweis der Tragfähigkeit gelten folgende Definitionen:
(2) Der Bemessungswert der in der Kontaktfläche zwischen Ortbeton und Fertigteil oder in nachträglich ergänzten Querschnitten zu übertragenden Schubkraft je Längeneinheit darf nach Gleichung (83) ermittelt werden:
![]() |
(83) |
Dabei ist
| Fcdj | der Bemessungswert des über die Fuge zu übertragenden Längskraftanteils |
| Fcd | der Bemessungswert der Gurtlängskraft infolge Biegung im betrachten Querschnitt mit |
![]() |
(3) Ohne Anordnung einer Verbundbewehrung beträgt der Bemessungswert der aufnehmbaren Schubkraft in Fugen von Verbundbauteilen einschließlich der Fugen zwischen Decken- und Wandelementen:
| vRd, ct = [0,042 *η1 *βct *fck1/3 -μ *σNd] *b | (84) |
Dabei ist
| η1 | = 1,0 für Normalbeton; für Leichtbeton nach Tabelle 10 |
| βct | der Rauigkeitsbeiwert nach Tabelle 13 und Absatz (4) |
| fck | der charakteristischer Wert der Betondruckfestigkeit des Ortbetons oder des Fertigteils (der kleinere Wert ist maßgebend) in N/mm2 |
| μ | der Reibungsbeiwert nach Tabelle 13 |
| σNd | die Normalspannung senkrecht zur Fuge (σNd < 0 als Betondruckspannung) |
![]() |
|
| nEd | der untere Bemessungswert der Normalkraft senkrecht zur Fuge je Längeneinheit (siehe Bild 35 a)) |
| b | die Breite der Kontaktfläche (z.B. Breite einer Horizontalfuge) |
Tabelle 13 - Beiwerteβct,μ
| Zeile | Spalte | 1 | 2 |
| Oberflächenbeschaffenheit nach 10.3.6. (1) | βct | μ | |
| 1 | verzahnt | 2,4 | 1,0 |
| 2 | rau | 2,0a | 0,7 |
| 3 | glatt | 1,4a | 0,6 |
| 4 | sehr glatt | 0 | 0,5 |
| a | siehe Absatz (4) |
(4) In den Fällen, in denen die Fuge infolge Einwirkungen rechtwinklig zur Fuge unter Zug steht, ist bei glatten oder rauen Fugenβct = 0 zu setzen.
(5) In bewehrten Fugen von Verbundbauteilen einschließlich Fugen zwischen Decken- und Wandelementen beträgt der Bemessungswert der aufnehmbaren Schubkraft:
| vRd, sy =as *fyd * (cotθ + cotα) * sinα -μ *σNd *b | (85) |
Dabei ist
| as | der Querschnitt der die Fuge kreuzenden Bewehrung je Längeneinheit |
| α | der Winkel der die Fuge kreuzenden Bewehrung (siehe Bild 35 a)) mit 45°<α< 90° |
Die Neigung der Druckstreben des Fachwerks ist wie folgt zu begrenzen
![]() |
(86) |
mitvRd, ct nach Gleichung (84).
Fürσcd darf der Bemessungswert der Längsspannung im anzuschließenden Querschnittsteil eingesetzt werdenσcd < 0 als Betondruckspannung.
(6) Die notwendige Bewehrungsmenge ist nach Gleichung (85) zu ermitteln. Bei biegebeanspruchten Bauteilen darf eine abgestufte Verteilung entsprechend der Schubkraftlinie (siehe Bild 35 b)), bei Bauteilen mit Scheibenbeanspruchung eine konzentrierte Bewehrung an den Enden der Fuge ausgeführt werden. Die Schubbewehrung der Fuge muss auf beiden Seiten der Kontaktfläche nach den Regeln dieser Norm verankert sein.
(7) Bei Scheiben mit Ringanker- und Pfostenbewehrung nach 13.12.3 (4) darf der Nachweis der Fugen unter Ansatz der Beiwerteβct undμ nach Tabelle 13 geführt werden, jedoch sollte fürvRd bei Platten ohne gezahnte Fugen kein größerer Wert als (b * 0,15 N/mm2) angesetzt werden.
(8) Wenn an Fertigteilplatten mit Ortbetonergänzung planmäßig und dauerhaft Lasten angehängt werden, sollte die Verbundsicherung im unmittelbaren Lasteinleitungsbereich nachgewiesen werden.
Bild 35 - Fugenausbildung

Legende
| 1 | 1. Betonabschnitt |
| 2 | 2. Betonabschnitt |
| 3 | Verankerung der Bewehrung |
| 4 | Fuge |
10.3.7 Unbewehrte Bauteile
(1) In unbewehrten Bauteilen darf die Betonzugfestigkeit im Grenzzustand der Tragfähigkeit für Querkraft berücksichtigt werden, sofern nachgewiesen werden kann, dass diese nicht infolge von Rissbildung ausfällt.
(2) Ein unbewehrtes Bauteil darf hierbei als ungerissen angesehen werden, wenn es im Grenzzustand der Tragfähigkeit für alle relevanten Bemessungssituationen vollständig unter Druckbeanspruchung steht oder die Hauptzugspannung im Beton die Größe von 1,0 N/mm2 nicht überschreitet.
(3) Kann nicht von einem ungerissenen Bauteil ausgegangen werden, ist der Bemessungswert der QuerkrafttragfähigkeitVRd am ungerissenen Restquerschnitt zu berechnen. Dieser ist aus dem Spannungszustand des Querschnitts für die ungünstigste Bemessungssituation zu ermitteln.
(4) Die Querkrafttragfähigkeit von unbewehrten Bauteilen mit kombinierter Querkraft-, Biege- und Längskraftbeanspruchung darf unter den in 10.3.3 (2) genannten Voraussetzungen nach Gleichung (72) mitαl = 1 ermittelt werden.
10.4 Torsion
10.4.1 Allgemeines
(1) Wenn das statische Gleichgewicht eines Tragwerks von der Torsionstragfähigkeit seiner einzelnen Bauteile abhängt, ist eine Torsionsbemessung erforderlich, die sowohl den Grenzzustand der Tragfähigkeit als auch den Grenzzustand der Gebrauchstauglichkeit umfasst.
(2) Wenn in statisch unbestimmten Tragwerken Torsion nur aus Einhaltung der Verträglichkeitsbedingungen auftritt, darf auf eine Berücksichtigung der Torsionssteifigkeit bei der Schnittgrößenermittlung verzichtet werden. Dabei ist eine konstruktive Bewehrung in Form von Bügeln und Längsbewehrung vorzusehen, um eine übermäßige Rissbildung zu vermeiden. Die Anforderungen nach 11.2 und 13.2.4 sind im Allgemeinen für diesen Zweck ausreichend.
(3) Die Torsionstragfähigkeit eines Querschnitts kann unter Annahme eines dünnwandigen, geschlossenen Querschnitts nachgewiesen werden, in dem das Gleichgewicht durch einen geschlossenen Schubfluss erfüllt wird. Vollquerschnitte können hierzu durch gleichwertige dünnwandige Querschnitte ersetzt werden (siehe Bild 36 b)). Bei Hohlquerschnitten darf die Ersatzwanddicke die wirkliche Wanddicke nicht überschreiten. Querschnitte von komplexer Form, wie z.B. T-Querschnitte, können in Teilquerschnitte aufgeteilt werden. Die Gesamttorsionstragfähigkeit berechnet sich dann als Summe der Tragfähigkeiten der Einzelelemente.
(4) Die Aufteilung des angreifenden Torsionsmomentes auf die einzelnen Querschnittsteile darf im Allgemeinen im Verhältnis der Steifigkeiten der ungerissenen Teilquerschnitte erfolgen.
(5) Die Bemessung darf für jeden Teilquerschnitt getrennt erfolgen.
(6) Für einen näherungsweise rechteckigen Vollquerschnitt ist außer der Mindestbewehrung nach 13.2.3 (5) keine Querkraft- und Torsionsbewehrung erforderlich, wenn die folgenden Bedingungen eingehalten sind:
![]() |
(87) |
![]() |
(88) |
10.4.2 Nachweisverfahren
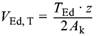
(1) Die SchubkraftVEd, T in einer Wand des Nachweisquerschnittes infolge eines TorsionsmomentesTEd ist mit Gleichung (89) zu ermitteln:
![]() |
(89) |
Dabei ist
| Ak | die durch die Mittellinien der Wände eingeschlossene Fläche |
| z | die Höhe der Wand, definiert durch den Abstand der Schnittpunkte der Wandmittellinie mit den Mittellinien der angrenzenden Wände |
Die Mittellinien der Wände sind durch Achsen der Längsstäbe in den Ecken definiert (siehe Bild 36 b)).
(2) Die Bemessung der Torsionsbewehrung in einer Wand des Nachweisquerschnitts erfolgt auf der Grundlage eines Fachwerkmodells (siehe Bild 36 b)). Die Neigung der Druckstrebenθ des Fachwerks ist nach 10.3.4 (3) zu begrenzen. Bei kombinierter Beanspruchung aus Torsion und anteiliger Querkraft ist in Gleichung (73) fürVEd die Schubkraft der WandVEd, T+V nach Gleichung (90) und in Gleichung (74) fürbw die effektive Dicke der Wandteff einzusetzen. Mit dem gewählten Winkelθ ist der Nachweis sowohl für Querkraft als auch für Torsion zu führen. Die so ermittelten Bewehrungen sind zu addieren.
![]() |
(90) |
Dabei ist
| VEd | der Bemessungswert der einwirkenden Querkraft nach 10.3.2 |
| teff | die effektive Dicke einer Wand;teff ist gleich dem doppelten Abstand von der Mittellinie zur Außenfläche, aber nicht größer als die vorhandene Wanddicke (siehe Bild 36). |
Vereinfachend darf die Bewehrung für Torsion allein unter der Annahme vonθ = 45° ermittelt und zu der nach 10.3.4 ermittelten Querkraftbewehrung addiert werden.
Bild 36 - Benennungen und Modellbildung bei Torsion

Legende
| 1 | Bügel |
| 2 | Längsstäbe |
| 3 | Mittellinie der Wandi |
| 4 | SchubflussVEd, i/zi |
| a) | Benennungen beider Torsion |
| b) | Definition des Ersatzhohlkastens und Fachwerkmodell einer Ersatzwand |
(3) Der BemessungswertTRd, sy des aufnehmbaren Torsionsmoments des Querschnitts oder eines jeden Teilquerschnitts ist nach den Gleichungen (91) und (92) zu ermitteln; der kleinste Wert der Wände i des Nachweisquerschnitts ist maßgebend:
![]() |
(91) |
bzw.
![]() |
(92) |
Dabei ist
| Asw | die Querschnittsfläche der Torsionsbewehrung rechtwinklig zur Bauteilachse |
| sw | der Abstand der Torsionsbewehrung in Richtung der Bauteilachse gemessen |
| Asl | die Querschnittsfläche der Torsionslängsbewehrung |
| uk | der Umfang der FlächeAk |
In Druckgurten darf die Torsionslängsbewehrung entsprechend den vorhandenen Druckkräften abgemindert werden. In Zuggurten ist sie zur übrigen Längsbewehrung zu addieren.
(4) Der Bemessungswert des maximal aufnehmbaren Torsionsmoments des Querschnitts oder eines jeden Teilquerschnitts bei Torsion allein ist mit Gleichung (93) zu ermitteln; der kleinste Wert der Wändei des Nachweisquerschnitts ist maßgebend:
![]() |
(93) |
mit
| αc, red = 0,7αc | allgemein (mitαc nach 10.3.4 (6)) |
| αc, red =αc | bei Kastenquerschnitten mit Bewehrung an den Innen- und Außenseiten der Wände |
(5) Die maximale Tragfähigkeit wird durch die Druckstrebentragfähigkeit begrenzt, diese kann bei kombinierter Beanspruchung aus Querkraft und Torsion als gegeben angesehen werden, wenn für den Querschnitt oder jeden Teilquerschnitt die folgenden Bedingungen erfüllt sind:
![]() |
(94) |
![]() |
(95) |
Dabei ist
| VRd, max | der Bemessungswert der aufnehmbaren Querkraft nach 10.3.4 |
![]() |
weiter . | ![]() |
(Stand: 01.03.2019)
Alle vollständigen Texte in der aktuellen Fassung im Jahresabonnement
Nutzungsgebühr: ab 105.- € netto
(derzeit ca. 7200 Titel s.Übersicht - keine Unterteilung in Fachbereiche)
Die Zugangskennung wird kurzfristig übermittelt
? Fragen ?
Abonnentenzugang/Volltextversion