umwelt-online: DIN 1045-1 Tragwerke aus Beton, Stahlbeton und Spannbeton; Bemessung und Konstruktion (5)
![]() |
zurück | ![]() |
8.7.2 Vorspannkraft
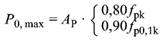
(1) Die am Spannglied aufgebrachte HöchstkraftP0, d. h. die Kraft am Spannende während des Spannvorgangs, darf den kleineren der folgenden Werte nicht überschreiten:
![]() |
(48) |
(2) Ein Überspannen ist unter der Voraussetzung zulässig, dass die Spannpresse eine Messunsicherheit der aufgebrachten Spannkraft von ± 5 %, bezogen auf den Endwert der Vorspannkraft, sicherstellt; unter dieser Voraussetzung darf während des Spannvorgangs die höchste PressenkraftP0, max auf 0,95fp0, 1k *Ap gesteigert werden. 8)
(3) Der Mittelwert der VorspannkraftPm0 zum Zeitpunktt =t0 unmittelbar nach Absetzen der Pressenkraft auf den Anker (Vorspannung im nachträglichen oder ohne Verbund) oder nach dem Lösen der Verankerung (Vorspannung im sofortigen Verbund) darf den kleineren der folgenden Werte an keiner Stelle überschreiten:
![]() |
(49) |
(4) In Abhängigkeit von der Art der Vorspannung sind bei der Berechnung vonPm0 folgende Einflüsse zu berücksichtigen:
(5) Bei internen Spanngliedern ohne Verbund braucht ein Temperaturunterschied zwischen dem Spannglied und dem benachbarten Beton in der Regel nicht berücksichtigt zu werden.
(6) Der Mittelwert der VorspannkraftPmt zum Zeitpunktt >t0 ist in Abhängigkeit von der Vorspannart zu bestimmen. Zusätzlich zu den in Absatz (4) genannten Einflüssen sind dabei die Spannkraftverluste infolge Kriechens und Schwindens des Betons und der Langzeitrelaxation des Spannstahls mit den Erwartungswerten zu berücksichtigen.
(7) Beim Vorspannen mit Spanngliedern im nachträglichen oder ohne Verbund muss der Beton zum Zeitpunkttj des Vorspannens eine Mindestdruckfestigkeitfcmj aufweisen. Die Mindestdruckfestigkeiten für Teilvorspannen und endgültiges Vorspannen sind in Tabelle 6 in Abhängigkeit von der für das Spannverfahren nach der allgemeinen bauaufsichtlichen Zulassung erforderlichen Mindestfestigkeitsklasse des Betons angegeben. Beim Teilvorspannen gelten die Werte der Tabelle 6, Spalte 1, wobei die Spannkraft in jedem einzelnen Spannglied 30 % des in der allgemeinen bauaufsichtlichen Zulassung angegebenen zulässigen Wertes nicht übersteigen darf. Liegt die durch Erhärtungsprüfungen nachzuweisende Betondruckfestigkeit zum Vorspannzeitpunkt zwischen den Werten nach Tabelle 6, Spalten 1 und 2, darf die Spannkraft entsprechend linear zwischen 30 % und 100 % interpoliert werden.
(8) Die tatsächlichen Werte der Spannkraftverluste während des Spannens sind durch Messung der Spannkraft und des zugehörigen Dehnwegs zu überprüfen.
Tabelle 6 - Mindestbetondruckfestigkeitfcmj beim Vorspannen mit Spanngliedern im nachträglichen oder ohne Verbund zum Zeitpunktt =tj
| Zeile | Spalte | 1 | 2 |
| Festigkeitsklassea | Festigkeitenfcmj in N/mmβb | ||
| Teilvorspannen | endgültiges Vorspannen | ||
| 1 | C25/30 | 13 | 26 |
| 2 | C30/37 | 15 | 30 |
| 3 | C35/45 | 17 | 34 |
| 4 | C40/50 | 19 | 38 |
| 5 | C45/55 | 21 | 42 |
| 6 | C50/60 | 23 | 46 |
| 7 | C55/67 | 25 | 50 |
| 8 | C60/75 | 27 | 54 |
| 9 | C70/85 | 31 | 62 |
| 10 | C80/95 | 35 | 70 |
| 11 | C90/105 | 39 | 78 |
| 12 | C100/115 | 43 | 86 |
| a | Gilt sinngemäß auch für Leichtbeton der Festigkeitsklassen LC25/28 bis LC60/66. |
| b | Es gilt der Mittelwert der Zylinderdruckfestigkeit (bei Verwendung von Würfeln ist im Verhältnis der Festigkeitsklassen umzurechnen). |
8.7.3 Spannkraftverluste
(1) Für die Berechnung der Spannkraftverluste nach 8.7.2 (4) und (6) gelten die in diesem Abschnitt angegebenen Festlegungen.
(2) Die Regelungen der allgemeinen bauaufsichtlichen Zulassung für das jeweilige Spannverfahren sind einzuhalten.
(3) Der Spannkraftverlust aus Reibung ΔPµ(x) in Spanngliedern darf abgeschätzt werden aus:
| ΔPµ(x) =P0 * (1 -e- µ * (Θ+k *x)) | (50) |
Dabei ist
| Θ | die Summe der planmäßigen, horizontalen und vertikalen Umlenkwinkel über die Längex (unabhängig von Richtung und Vorzeichen) |
| k | der ungewollte Umlenkwinkel (je Längeneinheit); abhängig von der Art des Spannglieds |
| µ | Reibungsbeiwert zwischen Spannglied und Hüllrohr, hängt von der Oberflächenbeschaffenheit der Spannglieder und der Hüllrohre, der Längenänderung des Spannglieds und der Spannstahloberfläche ab |
(4) Bei extern geführten Spanngliedern, die aus parallelen Drähten oder Litzen bestehen, darf der Spannkraftverlust infolge ungewollter Umlenkwinkel vernachlässigt werden.
(5) Bei Spanngliedern ohne Verbund braucht die Reibung nur bei der Ermittlung der wirksamen mittleren VorspannkraftPmt und der Ermittlung der daraus resultierenden Momente infolge der Eintragung der Vorspannkraft berücksichtigt zu werden.
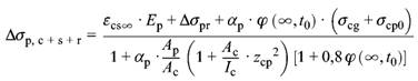
(6) Zeitabhängige Verluste zum Zeitpunktt = ∞ dürfen für einsträngige Vorspannung im Verbund berechnet werden aus:
![]() |
(51) |
Dabei ist
| Δσp, c + s + r | die Spannungsänderung im Spannstahl aus Kriechen und Schwinden des Betons und Relaxation des Spannstahls an der Stelle x bis zum Zeitpunktt =t. |
| εcs∞ | das Endschwindmaß nach 9.1.4 |
| αp | das Verhältnis (Ep/Ecm) der Elastizitätsmoduln des Spannstahls und des Betons |
| Ep | der Elastizitätsmodul des Spannstahls nach 9.3 |
| Ecm | der mittlere Elastizitätsmodul des Betons nach Tabelle 9 oder Tabelle 10 |
| Δσpr | die Spannungsänderung im Spannstahl an der Stellex infolge Relaxation (Δσpr < 0). Diese darf mit den Angaben der allgemeinen bauaufsichtlichen Zulassung des Spannstahls für das Verhältnis der Ausgangsspannung zur charakteristischen Zugfestigkeit (σp0/fpk) bestimmt werden; mit einer Ausgangsspannung vonσp0 =σpg0 - 0,3 Δσp, c + s + r, wobeiσpg0 die anfängliche Spannstahlspannung aus der Vorspannung und den ständigen Einwirkungen ist. Zur Vereinfachung darf auf der sicheren Seite liegendσp0 =σpg0 gesetzt werden; für übliche Hochbauten darfσp0 zu 0,95σpg0 angenommen werden. Ansonsten ist Δσpr in Gleichung (51) iterativ zu ermitteln. |
| Φ(∞, t0) | die Endkriechzahl des Betons nach 9.1.4 |
| σcg | die Betonspannung in Höhe der Spannglieder unter der quasi-ständigen Einwirkungskombination |
| σcp0 | der Anfangswert der Betonspannung in Höhe der Spannglieder infolge Vorspannung |
| Ic | das Flächenmoment 2. Grades des Betonquerschnitts |
| zcp | der Abstand zwischen dem Schwerpunkt des Betonquerschnitts und den Spanngliedern |
Druckspannungen sind in Gleichung (51) negativ einzusetzen
(7) Für die Ermittlung des zeitabhängigen Spannkraftverlustes in einem Spannglied ohne Verbund darf Gleichung (51) angewendet werden, wenn für Schwinden und Kriechen die über die Spanngliedlänge gemittelten Betondehnungen
angesetzt werden.
8.7.4 Grenzzustand der Gebrauchstauglichkeit
(1) Mögliche Streuungen der Vorspannkraft sind zu berücksichtigen. Dazu sind zwei charakteristische Werte der Vorspannkraft anzusetzen:
| Pk, sup =rsup *Pmt | (52) |
| Pk, inf =rinf *Pmt | (53) |
Dabei ist
| Pk, sup | der obere charakteristische Wert der Vorspannkraft |
| Pk, inf | der untere charakteristische Wert der Vorspannkraft |
| Pmt | der Mittelwert der Vorspannkraft |
(2) Für die Beiwertersup undrinf dürfen im Allgemeinen die folgenden Werte angenommen werden:
rsup = 1,05 undrinf = 0,95 bei Vorspannung im sofortigem oder ohne Verbund
rsup = 1,10 undrinf = 0,90 bei Vorspannung im nachträglichem Verbund
8.7.5 Grenzzustand der Tragfähigkeit
(1) Der Bemessungswert der VorspannkraftPd =γP *Pmt darf im Allgemeinen mitγP = 1,0 ermittelt werden.
(2) Mögliche Streuungen der Vorspannkraft dürfen bei den Nachweisen im Grenzzustand der Tragfähigkeit im Allgemeinen vernachlässigt werden.
(3) Wird bei Spanngliedern ohne Verbund der Spannungszuwachs im Spannstahl berücksichtigt, ist der charakteristische Wert Δσpk des Spannungszuwachses im Spannstahl mit den Mittelwerten der Baustoffeigenschaften zu bestimmen. Zur Ermittlung des Bemessungswertes Δσpd =γP * Δσpk gilt bei linearelastischer Schnittgrößenermittlung:
γP = 1,0
Bei einem nichtlinearen Verfahren der Schnittgrößenermittlung ist ein oberer oder ein unterer Grenzwert fürγP anzusetzen, wobei die Rissbildung oder die Fugenöffnung (Segmentbauweise) zu berücksichtigen ist:
γP, sup= 1,2 und
γP, inf = 0,83
(der jeweils ungünstigere Wert ist anzusetzen)
8.7.6 Verankerungsbereiche bei Spanngliedern im sofortigen Verbund
(1) Für Vorspannung im sofortigen Verbund ist die Verwendung von glatten Drähten nicht zulässig.
(2) Bei Spanngliedern im sofortigen Verbund ist zu unterscheiden zwischen:
(3) Es darf angenommen werden, dass die Vorspannung durch eine konstante Verbundspannungfbp in den Beton eingetragen wird. Die Übertragungslängelbp darf wie folgt ermittelt werden:
![]() |
(54) |
Dabei ist
| αl | = 1,0 bei stufenweisem Eintragen der Vorspannung |
| = 1,25 bei schlagartigem Eintragen der Vorspannung | |
| Ap | der Nennquerschnitt der Litze oder des Drahts |
| dp | der Nenndurchmesser der Litze oder des Drahts |
| σpm0 | die Spannung im Spannstahl nach der Spannkraftübertragung auf den Beton |
| η1 | = 1,0 für Normalbeton; für Leichtbeton nach Tabelle 10 |
(4) Für normale (nicht verdichtete) Litzen mit einer QuerschnittsflächeAp< 100 mm2 und für profilierte Drähte mit einem Durchmesser< 8 mm, die nach den Angaben in 8.7.2 vorgespannt sind, dürfen die in Tabelle 7 angegebenen Werte für die Verbundspannungfbp angenommen werden. Maßgebend ist die Betondruckfestigkeit zum Zeitpunkt der Spannkraftübertragung auf den Beton. Bei Verwendung von gerippten Drähten mit Durchmessern< 12 mm sollten die Werte für die Verbundspannungfbp aus Versuchsergebnissen abgeleitet werden. Als Näherung dürfen die Werte der Tabelle 7 herangezogen werden.
Bei mäßigen Verbundbedingungen (siehe 12.4) sind die Werte der Verbundspannung in Tabelle 7 mit dem Faktor 0, 7 abzumindern.
(5) Es darf angenommen werden, dass die auf den Beton übertragene Vorspannkraft innerhalb der Übertragungslängelbp linear vom Bauteilende her zunimmt.
(6) Der Bemessungswert der Übertragungslängelbpd ist mit 0,8lbp oder 1,2lbp anzunehmen; es gilt der ungünstigere Wert für die betrachtete Wirkung.
(7) Für die Spannungsermittlung im Eintragungsbereich darf am Ende der Eintragungslängelp, eff eine lineare Verteilung der Betonspannungen über den Querschnitt angenommen werden.
(8) Die Eintragungslängelp, eff ff darf für Rechteckquerschnitte mit Spanngliedern nahe der Unterseite des Querschnitts wie folgt bestimmt werden:
![]() |
(55) |
Für andere Querschnittsformen sollten die Eintragungslänge und die jeweilige örtliche Spannungsverteilung in Anlehnung an die Elastizitätstheorie festgelegt werden.
(9) In biegebeanspruchten Bauteilen wird die Verankerung der Vorspannung durch Rissbildung entscheidend beeinflusst. Der Verankerungsbereich darf als ungerissen angesehen werden, wenn im Grenzzustand der Tragfähigkeit die Betonzugspannungen unter Berücksichtigung der maßgebenden Vorspannkraft die Betonzugfestigkeitfctk; 0,05 nicht überschreiten. In diesem Fall darf die Verankerung innerhalb der Längelbpd ohne weiteren Nachweis als gegeben angesehen werden.
Tabelle 7 - Verbundspannungfbp in der Übertragungslänge von Litzen und Drähten im sofortigen Verbund in Abhängigkeit von der Betondruckfestigkeit zum Zeitpunkt der Spannkraftübertragung
| Zeile | Spalte | 1 | 2 |
| Tatsächliche Betondruckfestigkeit bei der Spannkraftübertragungfcmj in N/mm2 a b | Verbundsspannungfbp in N/mm2 | ||
| Litzen und profilierte Drähte | gerippte Drähte | ||
| 1 | 25 | 2,9 | 3,8 |
| 2 | 30 | 3,3 | 4,3 |
| 3 | 35 | 3,7 | 4,8 |
| 4 | 40 | 4,0 | 5,2 |
| 5 | 45 | 4,3 | 5,6 |
| 6 | 50 | 4,6 | 6,0 |
| 7 | 60 | 5,0 | 6,5 |
| 8 | 70 | 5,3 | 6,9 |
| 9 | 80 | 5,5 | 7,2 |
| 10 | 290 | 5,7 | 7,4 |
| a | Zwischenwerte sind linear zu interpolieren. |
| b | Es gilt der Mittelwert der Zylinderdruckfestigkeit (bei Verwendung von Würfeln ist im Verhältnis der Festigkeitsklassen umzurechnen). |
(10) Überschreiten die Betonzugspannungen den Wertfctk; 0,05, ist nachzuweisen, dass die vorhandene Zugkraftlinie die Zugkraftdeckungslinie aus der Zugkraft von Spannstahl und Betonstahl nicht überschreitet (vgl. Bild 66). Die Zugkraft im Spannstahl ist nach Bild 17 zu ermitteln. Außerhalb der Übertragungslängelbpd bzw. . nach dem ersten Riss (x>lr) sind dabei wegen der schlechteren Verbundbedingungen die Werte der Verbundspannungen nach Tabelle 7 abzumindern. Die Längelba darf wie folgt ermittelt werden.
a) bei Rissbildung außerhalblbpd (siehe Bild 17a)):
![]() |
(56) |
b) bei Rissbildung innerhalblbpd (siehe Bild 17b)):
![]() |
(57) |
mit
| ηp = 0,5 | für Litzen und profilierte Drähte bzw. . |
| ηp = 0,7 | für gerippte Drähte |
Bild 17 - Verlauf der Spannstahlspannungen im Verankerungsbereich von Spanngliedern im sofortigen Verbund
Legende
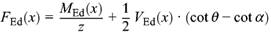
(11) Die in der Entfernungx vom Bauteilende zu verankerndeFEd(x) beträgt:
![]() |
(58) |
Dabei ist
| MEd(x) | der Bemessungswert des aufzunehmenden Biegemoments an der Stellex |
| z | der innere Hebelarm nach 10.3.4 |
| VEd(x) | der Bemessungswert der zugehörigen aufzunehmenden Querkraft an der Stellex |
| θ | der Winkel zwischen den Betondruckstreben und der Bauteillängsachse nach 10.3.4; für Bauteile ohne Querkraftbewehrung gilt cotθ = 3,0 und cotα = 0 |
| α | der Winkel zwischen der Querkraftbewehrung und der Bauteilachse nach 10.3.4 |
Bei der Ermittlung der vom Spannstahl aufzunehmenden Verankerungskraft ist die Rissbildung zu berücksichtigen (siehe Bild 17).
8.7.7 Verankerungsbereiche bei Spanngliedern mit nachträglichem oder ohne Verbund
Die im Verankerungsbereich erforderliche Spaltzug- und Zusatzbewehrung ist der allgemeinen bauaufsichtlichen Zulassung für das Spannverfahren zu entnehmen. Der Nachweis der Kraftaufnahme und -weiterleitung im Tragwerk ist mit einem geeigneten Verfahren (z.B. mit einem Stabwerkmodell nach 10.6) zu führen.
9 Baustoffe
9.1 Beton
9.1.1 Allgemeines
(1) Dieser Abschnitt gilt für Beton (Normal- und Leichtbeton) nach DIN EN 206-1 und DIN 1045-2.
(2) Die in diesem Abschnitt angegebenen Festigkeits- und Formänderungskennwerte gelten, sofern für Leichtbeton nicht ausdrücklich festgelegt, für Normalbeton und Leichtbeton.
(3) Die Festigkeitsklassen für Normalbeton werden durch das vorangestellte Symbol C, für Leichtbeton durch das vorangestellte Symbol LC gekennzeichnet. Die erste Zahl bezeichnet die Zylinderdruckfestigkeit und die zweite Zahl die Würfeldruckfestigkeit (z.B. C20/25).
(4) Leichtbeton wird entsprechend seiner Trockenrohdichte in Rohdichteklassen nach DIN 1045-2 sowie DIN EN 206-1 eingeteilt. Der Rechenwertρ der Trockenrohdichte und der charakteristische Wert der Wichte des Betons sind Tabelle 8 zu entnehmen.
9.1.2 Festigkeiten
(1) Den Festigkeitsklassen dieser Norm liegt die charakteristische Zylinderdruckfestigkeitfck nach 28 Tagen zugrunde (siehe Tabelle 9 und Tabelle 10). Für ihre Definition gelten DIN 1045-2 und DIN EN 206-1.
(2) In bestimmten Fällen (z.B. beim Vorspannen) kann es erforderlich sein, die Druckfestigkeit zu einem früheren oder späteren Zeitpunkt als nach 28 Tagen oder für besondere Lagerungsbedingungen (z.B. Wärmebehandlung) zu bestimmen.
(3) Die Zugfestigkeitfct bezieht sich im Rahmen dieser Norm auf die erreichbare Höchstspannung unter einachsiger zentrischer Zugbeanspruchung.
Tabelle 8 - Rohdichteklasse, Rechenwertρ der Trockenrohdichte und charakteristischer Wert der Wichte von Leichtbeton
| Zeile | Spalte | 1 | 2 | 3 | 4 | 5 | 6 | |
| Rohdichteklasse | ||||||||
| D1,0 | D1,2 | D1,4 | D1,6 | D1,8 | D2,0 | |||
| 1 | RechenwertÁ der Trockenrohdichte zur Bestimmung der Baustoffeigenschaften in kg/m3 | 801-1000 | 1001-1200 | 1201-1400 | 1401-1600 | 1601-1800 | 1801-2000 | |
| 2 | charakteristischer Wert der Wichte zur Lastermittlung in kg/m3 | unbewehrter Leichtbeton | 1050 | 1250 | 1450 | 1650 | 1850 | 2050 |
| bewehrter Leichbeton | 1150 | 1350 | 1550 | 1750 | 1950 | 2150 | ||
(4) Die zentrische Zugfestigkeitfctdarf aus der Spaltzugfestigkeitfct, sp näherungsweise berechnet werden zu:
| fct = 0,9fct, sp | (59) |
9.1.3 Elastische Verformungseigenschaften
(1) Die elastischen Verformungen des Betons hängen in hohem Maße von seiner Zusammensetzung (vor allem von der Gesteinskörnung) ab. Die im Folgenden gegebenen Angaben stellen deshalb lediglich Richtwerte dar. Sie sind dann gesondert zu ermitteln, wenn das Tragwerk empfindlich auf entsprechende Abweichungen reagiert.
(2) Richtwerte für die Elastizitätsmoduln (Sekantenmoduln)Ecm undElcm dürfen Tabelle 9 und Tabelle 10 entnommen werden.
(3) Die Querdehnzahl für die elastische Dehnung darf näherungsweise zu Null angenommen werden.
(4) Die lineare Wärmedehnzahl darf für Normalbeton im Allgemeinen gleich 10 * 10-6 K-1 und für Leichtbeton im Allgemeinen gleich 8 * 10-6 K-1 gesetzt werden.
(5) Der Unterschied zwischen den Wärmedehnzahlen von Stahl und Leichtbeton darf bei der Bemessung vernachlässigt werden.
9.1.4 Kriechen und Schwinden
(1) Kriechen und Schwinden des Betons hängen im Wesentlichen von der Feuchte der Umgebung, den Abmessungen des Bauteils und der Zusammensetzung des Betons ab. Das Kriechen wird des Weiteren deutlich vom Reifegrad des Betons beim erstmaligen Aufbringen der Last sowie von Dauer und Größe der Belastung beeinflusst. Bei der Ermittlung der KriechzahlΦ(t,t0)und der Schwinddehnungεcs sind diese Einflüsse zu berücksichtigen.
(2) Die nach diesem Abschnitt ermittelten EndkriechzahlenΦ(∞,t0) und Schwinddehnungenεcs∞ dürfen als zu erwartende Mittelwerte angesehen werden. Die mittleren Variationskoeffizienten für die Vorhersage der EndkriechzahlΦ(∞,t0) und der Schwinddehnungεcs∞ liegen bei etwa 30 %. Für gegenüber Kriechen und Schwinden empfindliche Tragwerke sollte die mögliche Streuung dieser Werte berücksichtigt werden. Die angegebenen Werte gelten für kriecherzeugende Betondruckspannungen von nicht mehr als 0,45fckj; dabei istfckj die Zylinderdruckfestigkeit des Betons zum Zeitpunkt des Aufbringens der kriecherzeugenden Spannung.
(3) Wenn die kriecherzeugende Betondruckspannung den Wert 0,45fckj überschreitet, muss die nichtlineare Abhängigkeit des Kriechens von der kriecherzeugenden Spannung berücksichtigt werden. Dies gilt insbesondere bei Vorspannung mit sofortigem Verbund.
(4) In den Fällen nach Absatz (3) und für genauere Berechnungen dürfen die Kriechzahlen mit anderen geeigneten Berechnungsverfahren ermittelt werden.
(5) Die nach diesem Abschnitt ermittelten EndkriechzahlenΦ(∞,t0) und Schwinddehnungenεcs∞ gelten für Konstruktionsbetone, die nicht länger als 14 Tage feucht nachbehandelt werden und die üblichen Umgebungsbedingungen mit einer mittleren relativen Luftfeuchte zwischen 40 % und 100 % und mittleren Temperaturen zwischen 10 °C und 30°C ausgesetzt sind.
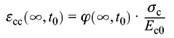
(6) Die Kriechdehnung des Betonsεcs (∞,t0) zum Zeitpunktt = ∞ darf bei zeitlich konstanter kriecherzeugender Spannung wie folgt berechnet werden:
![]() |
(60) |
Dabei ist
| Φ(∞,t0) | die Endkriechzahl; diese darf in Abhängigkeit von der relativen Luftfeuchte vereinfachend Bild 18 oder Bild 19 entnommen werden; für mittlere relative Luftfeuchten unter 50 % und zwischen 50 % und 80 % darf linear extrapoliert bzw. . linear interpoliert werden. |
| Ec0 | der Elastizitätsmodul des Betons als Tangente im Ursprung der Spannungs-Dehnungs-Linie nach 28 Tagen. Vereinfachend kannEc0 = 1,1 Ecm angenommen werden; dabei ist Ecm der mittlere Sekantenmodul des Betons aus Tabelle 9 oder Tabelle 10 |
| σc | die zeitlich konstante kriecherzeugende Betonspannung |
| t0 | das Betonalter bei Belastungsbeginn in Tagen |
(7) Für Leichtbeton dürfen, sofern keine Versuchsergebnisse vorliegen, die Werte der EndkriechzahlΦ(∞,t0) nach Bild 18 oder Bild 19 zugrunde gelegt werden, wenn Sie mit dem FaktorηE nach Tabelle 10 abgemindert werden. Die so ermittelte Endkriechzahl ist für Betone der Festigkeitsklassen LC12/13 und LC16/18 zusätzlich mit dem Faktorη2 = 1,3 zu multiplizieren.
(8) Zur Berechnung der Kriechzahl zu einem beliebigen Zeitpunkt und bei zeitlich nicht konstanter Betonspannung siehe DAfStb-Heft 525.
Bild 18 - EndkriechzahlΦ( ∞ ,t0) für Normalbeton und trockene Umgebungsbedingungen (trockene Innenräume, relative Luftfeuchte = 50 %)

Legende
| 1 | Festigkeitsklasse des Zements 32,5*) |
| 2 | Festigkeitsklasse des Zements 32,5R; 42,5*) |
| 3 | Festigkeitsklasse des Zements 42,5R; 52,5*) |
*) Weitere Beispiele für die Zuordnung der Zementarten siehe Heft 525
Dabei ist
| h0 | die wirksame Querschnittsdicke |
| = 2Ac/u | |
| Ac | die Querschnittsfläche |
| u | der Umfang des Querschnitts (bei Kastenträgern einschließlich 50 % des inneren Umfangs) |
Bild 19 - EndkriechzahlΦ(∞ ,t0) für Normalbeton und feuchte Umgebungsbedingungen (Außenluft, relative Luftfeuchte = 80 %)
Legende
| 1 | Festigkeitsklasse des Zements 32,5*) |
| 2 | Festigkeitsklasse des Zements 32,5R; 42,5*) |
| 3 | Festigkeitsklasse des Zements 42,5R; 52,5*) |
*) Weitere Beispiele für die Zuordnung der Zementarten siehe Heft 525
Dabei ist
| h0 | die wirksame Querschnittsdicke |
| = 2Ac/u | |
| Ac | die Querschnittsfläche |
| u | der Umfang des Querschnitts (bei Kastenträgern einschließlich 50 % des inneren Umfangs) |
(9) Die Schwinddehnung des Betons setzt sich aus den Anteilen Schrumpfdehnung und Trocknungsschwinddehnung zusammen und darf für den Zeitpunktt = ∞ wie folgt berechnet werden:
| εcs∞ =εcas∞ +εcds∞ | (61) |
Dabei ist
| εcs∞ | die Schwinddehnung des Betons zum Zeitpunktt = ∞ |
| εcas∞ | die Schrumpfdehnung zum Zeitpunktt = ∞ nach Bild 20 |
| εcds∞ | die Trocknungsschwinddehnung zum Zeitpunktt = ∞ nach Bild 21 |
(10) Für Leichtbeton darf, , sofern keine Versuchsergebnisse vorliegen, die Schwinddehnungεcds∞ nach Gleichung (61) zugrunde gelegt werden. Die Werte sind dabei für Betone der Festigkeitsklassen LC12/13 und LC16/18 mit dem Faktorη3 = 1,5 und für Betone der Festigkeitsklassen ab LC20/22 mit dem Faktorη3 = 1,2 zu multiplizieren.
(11) Zur Berechnung der Schwinddehnung zu einem beliebigen Zeitpunkt siehe DAfStb-Heft 525.
Bild 20 - Schrumpfdehnungεcas∞ zum Zeitpunktt = ∞ für Normalbeton
Legende
| 1 | Festigkeitsklasse des Zements 32,5*) |
| 2 | Festigkeitsklasse des Zements 32,5R; 42,5*) |
| 3 | Festigkeitsklasse des Zements 42,5R; 52,5*) |
*) Weitere Beispiele für die Zuordnung der Zementarten siehe Heft 525
Dabei ist
| h0 | die wirksame Querschnittsdicke |
| = 2Ac/u | |
| Ac | die Querschnittsfläche |
| u | der Umfang des Querschnitts (bei Kastenträgern einschließlich 50 % des inneren Umfangs) |
Bild 21 - Trocknungsschwinddehnungεcds∞ zum Zeitpunktt = ∞ für Normalbeton

Legende
| 1 | Festigkeitsklasse des Zements 32,5*) |
| 2 | Festigkeitsklasse des Zements 32,5R; 42,5*) |
| 3 | Festigkeitsklasse des Zements 42,5R; 52,5*) |
*) Weitere Beispiele für die Zuordnung der Zementarten siehe Heft 525
Dabei ist
| h0 | die wirksame Querschnittsdicke |
| = 2Ac/u | |
| Ac | die Querschnittsfläche |
| u | der Umfang des Querschnitts (bei Kastenträgern einschließlich 50 % des inneren Umfangs) |
9.1.5 Spannungs-Dehnungs-Linie für nichtlineare Verfahren der Schnittgrößenermittlung und für Verformungsberechnungen
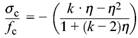
(1) Für nichtlineare Verfahren der Schnittgrößenermittlung und für Verformungsberechnungen ist die Spannungs-Dehnungs-Linie nach Bild 22 zu verwenden. Die Spannungs-Dehnungs-Linie wird für kurzzeitig wirkende Beanspruchungen und einaxiale Spannungszustände durch Gleichung (62) beschrieben:
![]() |
(62) |
mit
| η =εc /εc1 | (63) |
| k = - 1,1Ecm *εc1 /fc | (64) |
Dabei ist
| εc1 | die Dehnung bei Erreichen des Höchstwerts der Betondruckspannung nach Tabelle 9 oder Tabelle 10 |
| Ecm | der mittlere Elastizitätsmodul nach Tabelle 9 oder Tabelle 10 |
| fc | der Höchstwert der ertragenen Betondruckspannung; bei nichtlinearen Verfahren der Schnittgrößenermittlung darf fürfc der RechenwertfcR nach 8.5.1 angenommen werden; bei Verformungsberechnungenfcm |
Gleichung (62) ist für 0>εc>εc1u gültig, wobeiεc1u die Bruchdehnung bei Erreichen der Festigkeitsgrenze nach Tabelle 9 oder Tabelle 10 ist.
(2) Andere idealisierte Spannungs-Dehnungs-Linien dürfen angewendet werden, wenn sie dem in Absatz (1) beschriebenen Ansatz gleichwertig sind.
![]() |
weiter . | ![]() |
(Stand: 01.03.2019)
Alle vollständigen Texte in der aktuellen Fassung im Jahresabonnement
Nutzungsgebühr: ab 105.- € netto
(derzeit ca. 7200 Titel s.Übersicht - keine Unterteilung in Fachbereiche)
Die Zugangskennung wird kurzfristig übermittelt
? Fragen ?
Abonnentenzugang/Volltextversion