umwelt-online: DIN 1045-1 Tragwerke aus Beton, Stahlbeton und Spannbeton; Bemessung und Konstruktion (9)
![]() |
zurück | ![]() |
10.6.3 Bemessung der Knoten
(1) Die Regeln dieses Abschnitts gelten auch für die Bereiche konzentrierter Krafteinleitungen in Tragwerken, die in den übrigen Bereichen nicht mit Stabwerkmodellen berechnet werden.
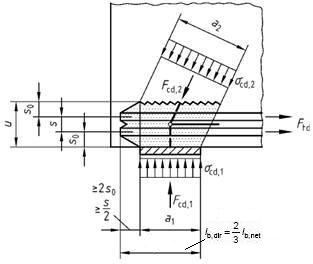
(2) In konzentrierten Knoten sind die Bemessungsdruckspannungen ohne genaueren Nachweis zu begrenzen auf:
| a)σRd, max = 1,1η1 *fcd | in Druckknoten (ohne Verankerung von Zugstreben), z.B. nach Bild 48 |
| b)σRd, max = 0,75η1 * fcd | in Druck-Zug-Knoten (mit Verankerung von Zugstreben), wenn alle Winkel zwischen Druck- und Zugstreben mindestens 45° betragen, z.B. nach Bild 49 |
mitη1 = 1,0 für Normalbeton; für Leichtbeton nach Tabelle 10
Bei genauerem Nachweis können auch höhere Werte angesetzt werden (siehe 10.7).
(3) Knoten mit Abbiegungen von Bewehrung (z.B. nach Bild 50) erfordern den Nachweis der zulässigen Biegerollendurchmesser nach 12.3.1. 11)
10.7 Teilflächenbelastung
(1) Für Teilflächenbelastung auf einer Fläche Aco (siehe Bild 51) ist die aufnehmbare TeilflächenlastFRdu wie folgt zu ermitteln:
| FRdu =Ac0 *fcd * (Ac1 /Ac0)0,5< 3,0fcd *Ac0 | für Normalbeton | (116) |
| FRdu =Ac0 *flcd * (Ac1 /Ac0)ρ/4800<ρ /8000flcd *Ac0 | für Leichtbeton | (117) |
Dabei ist
| Ac0 | die Belastungsfläche |
| Ac1 | die rechnerische Verteilungsfläche (siehe Bild 51) |
| ρ | der Rechenwert der Trockenrohdichte des Leichtbetons, in kg/m3 |
Bild 49 - Knotenbereich für den Nachweis von Druck-Zug-Knoten
Bild 50 - Knoten mit Umlenkung von Bewehrung
(2) Die für die Aufnahme der KraftFRdu vorgesehene rechnerische VerteilungsflächeAc1 muss den nachfolgenden Bedingungen genügen.
Des Weiteren muss die zur Lastverteilung in Belastungsrichtung zur Verfügung stehende Höhe den Bedingungen in Bild 51 genügen.
Der Wert vonFRdumuss verringert werden, wenn die örtlichen Lasten nicht gleichmäßig über die FlächeAc0verteilt sind oder wenn hohe Querkräfte vorhanden sind.
Bild 51 - Ermittlung der Flächen für Teilflächenbelastung
Legende
| 1 | Achse in Belastungsrichtung
h>b2 -b1 h>d2 -d1 |
(3) Die Absätze (1) und (2) gelten nicht für den Nachweis von Bauteilbereichen mit Spanngliedverankerungen; diese sollten mit Hilfe geeigneter Stabwerkmodelle nachgewiesen werden.
(4) Die im Lasteinleitungsbereich entstehenden Querzugkräfte sind durch Bewehrung aufzunehmen (siehe auch 13.9).
10.8 Nachweis gegen Ermüdung
10.8.1 Allgemeines
(1) Tragende Bauteile, die beträchtlichen Spannungsänderungen unter nicht vorwiegend ruhenden Einwirkungen unterworfen sind, müssen gegen Ermüdung bemessen werden. Der Nachweis gegen Ermüdung ist für Beton und Stahl getrennt zu führen.
(2) Für Tragwerke des üblichen Hochbaus braucht im Allgemeinen kein Nachweis gegen Ermüdung geführt zu werden.
(3) Für Leichtbeton sind gesonderte Betrachtungen nötig.
10.8.2 Innere Kräfte und Spannungen im Grenzzustand der Tragfähigkeit beim Nachweis gegen Ermüdung
(1) Die Ermittlung der Spannungen muss bei im Querschnitt vorhandenem Zug auf der Grundlage gerissener Querschnitte unter Vernachlässigung der Zugfestigkeit des Betons, jedoch bei Erfüllung der Verträglichkeit der Dehnungen erfolgen.
(2) Das Verhältnis der Elastizitätsmoduln von Stahl und Beton darf bei der Ermittlung der inneren Schnittgrößen und der Spannungen vereinfachend zuαc = 10 angenommen werden.
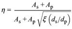
(3) Das unterschiedliche Verbundverhalten von Beton- und Spannstahl ist durch Erhöhung der Betonstahlspannungen mit dem Faktorη zu berücksichtigen:
![]() |
(118) |
Dabei ist
| As | die Querschnittsfläche der Betonstahlbewehrung |
| Ap | die Querschnittsfläche der Spannstahlbewehrung |
| ds | der größte Durchmesser der Betonstahlbewehrung |
| dp | der Durchmesser oder äquivalente Durchmesser der Spannstahlbewehrung: |
| dp = 1,6 (Ap)0,5 | für Bündelspannglieder | |
| dp = 1,20dDraht | für Einzellitzen mit 3 Drähten | |
| dp = 1,75dDraht | für Einzellitzen mit 7 Drähten |
| ξ | das Verhältnis der Verbundfestigkeit von im Verbund liegenden Spanngliedern zur Verbundfestigkeit von Betonrippenstahl im Beton nach Tabelle 15 |
Tabelle 15 - Verhältnis der Verbundfestigkeit von Spannstahl zur Verbundfestigkeit von Betonrippenstahl
| Zeile | Spalte | 1 | 2 | 3 |
| Spannglieder im sofortigen Verbund | Spannglieder im nachträglichen Verbund | |||
| bis C50/60 und LC50/55 | ab C55/67 und LC55/60 | |||
| 1 | glatte Stäbe | - | 0,3 | 0,15 |
| 2 | Litzen | 0,6 | 0,5 | 0,25 |
| 3 | profilierte Drähte | 0,7 | 0,6 | 0,3 |
| 4 | gerippte Stäbe | 0,8 | 0,7 | 0,35 |
(4) Bei Bauteilen mit Querbewehrung sind die Kräfte in der Bewehrung und im Beton auf der Grundlage eines Fachwerkmodells zu ermitteln.
(5) Beim Ermüdungsnachweis für Querkraftbewehrung dürfen die Spannungsschwingbreiten mit einer tanθfat = (tanθ)0,5 mitθ nach 10.3.4 ermittelt werden, wenn keine genaueren Nachweise geführt werden.
10.8.3 Nachweisverfahren
(1) Kann ein vereinfachter Nachweis nach 10.8.4 nicht erbracht werden, so ist ein expliziter Betriebsfestigkeitsnachweis zu führen. Dabei ist nachzuweisen, dass die SchädigungssummeDEd< 1 ist.
(2) Für die Ermittlung der SchädigungssummeDEd gilt die Palmgren-Miner-Regel. Für die Schadensberechnung sind die entsprechenden Wöhlerlinien für Betonstahl und Spannstahl nach Bild 52 (mit den Parametern in Tabelle 16 und Tabelle 17) anzusetzen. Dabei ist Δσ durchγs, fat zu dividieren. Die in Tabelle 16 angegebenen Werte gelten für Betonstähle nach den Normen der Reihe DIN 488, für andere Stähle nur dann, wenn in deren allgemeiner bauaufsichtlicher Zulassung nichts anderes festgelegt ist.
(3) Die Nachweise sind für Stahl und Beton im Allgemeinen unter Berücksichtigung der folgenden Einwirkungskombinationen zu führen:
Tabelle 16 - Parameter der Wöhlerlinien für Betonstahl
| Zeile | Spalte | 1 | 2 | 3 | 4 |
| Betonstahl | N* | Spannungsexponent | DsRsk beiN* Zyklen in N/mm2 | ||
| k1 | k2 | ||||
| 1 | Gerade und gebogene Stäbea | 106 | 5 | 9d | 195 |
| 2 | Geschweißte Stäbe einschließlich Heft- und Stumpfstoßverbindungen; Kopplungenb c | 107 | 3 | 5 | 58 |
| a | Fürdbr < 25ds ist ΔσRsk mit dem Reduktionsfaktor ξ1 = 0,35 + 0,026dbr/ds zu multiplizieren.
Dabei ist |
| ds | der Stabdurchmesser | |
| dbr | der Biegerollendurchmesser |
| Für Stäbeds > 28 mm ist ΔσRsk mit dem Reduktionsfaktorξ2 = 0,8 zu multiplizieren | |
| b | Sofern nicht andere Wöhlerlinien durch eine allgemeine bauaufsichtliche Zulassung oder Zustimmung im Einzelfall nachgewiesen werden können. |
| c | Die Wöhlerlinie für geschweißte Stäbe und Kopplungen gilt bis zu einer Spannungs-Schwingbreite ΔσRsk = 380 N/mm2 (N* = 0,036 * 106). Darüber gilt die Linie für gerade und gebogene Stäbe mit den Parametern in Zeile 1. |
| d | Wert gilt für nichtkorrosionsfördernde Umgebung (siehe Tabelle 3, Klasse XC1), in allen anderen Fällen istk2 = 5 zu setzen. |
Tabelle 17 - Parameter der Wöhlerlinien für Spannstahl
| Zeile | Spalte | 1 | 2 | 3 | 4 | |
| Spannstahla | N* | Spannungsexponent | ΔσRsk beiN* Zyklen in N/mm2 | |||
| k1 | k2 | |||||
| 1 |
im sofortigen Verbund |
106 | 5 | 9 | 185 | |
| 2 | im nachträglichen Verbund | Einzellitzen in Kunststoff- hüllrohren | 106 | 5 | 9 | 185 |
| 3 | Gerade Spannglieder; gekrümmte Spannglieder in Kunststoffhüllrohren |
106 | 5 | 10 | 150 | |
| 4 | Gekrümmte Spannglieder in Stahlhüllrohren | 106 | 3 | 7 | 120 | |
| 5 | Kopplungen | 106 | 3 | 5 | 80 | |
| a | Sofern nicht andere Wöhlerlinien durch eine allgemeine bauaufsichtliche Zulassung oder Zustimmung im Einzelfall nachgewiesen werden können. |
(4) Anstelle eines expliziten Nachweises der Betriebsfestigkeit nach Absatz (1) darf der Nachweis gegen Ermüdung über schädigungsäquivalente Spannungsschwingbreiten für Stahl nach Absatz (5) und schädigungsäquivalente Druckspannungen für Beton nach Absatz (6) erfolgen, sofern die Standardfälle der Einwirkungen bekannt sind.
Bild 52 - Form der Wöhlerlinien für Beton- und Spannstahl

(5) Der Nachweis gegen Ermüdung für Beton- und Spannstahl gilt als erbracht, wenn die folgende Bedingung erfüllt ist:
![]() |
(119) |
Dabei ist
| ΔσRsk(N*) | die Spannungsschwingbreite fürN* Lastzyklen aus der Wöhlerlinie nach Bild 52 (Parameter siehe Tabelle 16 und Tabelle 17) |
| Δσs, equ | die schädigungsäquivalente Spannungsschwingbreite; für übliche Hochbauten darf näherungsweise Δσs, equ = max Δσs angenommen werden |
| max Δσs | die maximale Spannungsamplitude unter der maßgebenden ermüdungswirksamen Einwirkungskombination |
| γEd, fat | der Teilsicherheitsbeiwert für die Einwirkungen beim Nachweis gegen Ermüdung nach 5.3.3(2) |
| γEd, fat | der Teilsicherheitsbeiwert für die Modellunsicherheiten beim Nachweis gegen Ermüdung nach 5.3.3 (2) |
| γs, fat | der Teilsicherheitsbeiwert für den Beton- und Spannstahl beim Nachweis gegen Ermüdung nach Tabelle 2 |
(6) Für Beton unter Druckbeanspruchung darf ein ausreichender Widerstand gegen Ermüdung angenommen werden, wenn die folgende Bedingung erfüllt ist:
| Ecd, max, equ + 0,43 (1 -Requ)0,5< 1,0 | (120) |
mit
![]() |
(121) |
![]() |
(122) |
Dabei ist
| σcd, max, equ,σcd, min, equ | die obere bzw. . die untere Spannung der schädigungsäquivalenten Spannungsschwingbreite mit einer Anzahl vonN = 106 Zyklen. |
10.8.4 Vereinfachte Nachweise
(1) Die vereinfachten Nachweise sind mit den Einwirkungskombinationen des Grenzzustands der Gebrauchstauglichkeit nach DIN 1055-100 zu führen.
(2) Für ungeschweißte Bewehrungsstäbe unter Zugbeanspruchung darf ein ausreichender Widerstand gegen Ermüdung angenommen werden, wenn unter der häufigen Einwirkungskombination die SpannungsschwingbreiteDs< 70N/mm2 ist.
(3) Der Nachweis gegen Ermüdung von Spannstahl und Betonstahl im Bereich von Schweißverbindungen oder Kopplungen gilt als erfüllt, wenn in diesen Bereichen der Betonquerschnitt unter der häufigen Einwirkungskombination, jedoch unter Berücksichtigung eines Abminderungsfaktors von 0,75 für den Mittelwert der VorspannkraftPmt, vollständig unter Druckbeanspruchung steht.
(4) Der Nachweis gegen Ermüdung für Beton unter Druckbeanspruchung gilt als erbracht, wenn folgende Bedingung erfüllt ist:
![]() |
(123) |
mit
![]() |
(124) |
Dabei ist
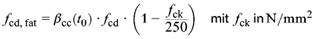
| σcd, max | der Bemessungswert der maximalen Druckspannung unter der häufigen Einwirkungskombination |
| σcd, min | der Bemessungswert der minimalen Druckspannung am Ort vonσcd, max (bei Zugspannungen istσcd, min = 0 zu setzen) |
| βcc(t0) | der Beiwert für die Nacherhärtung mitβcc(t0) =e0,2(1 - (28/t0 0,5)) |
| t0 | der Zeitpunkt der Erstbelastung des Betons (in Tagen) |
(5) Die Gleichung (123) gilt auch für die Druckstreben von querkraftbeanspruchten Bauteilen mit Querkraftbewehrung. In diesem Fall ist die Betondruckfestigkeitfcd, fat mitαc nach 10.3.4 abzumindern.
(6) Bei Bauteilen ohne Querkraftbewehrung darf ein ausreichender Widerstand gegen Ermüdung des Betons bei Beanspruchung infolge Querkraft als gegeben angesehen werden, wenn die folgenden Bedingungen eingehalten sind:
| - | ![]() |
|
![]() |
(125) | |
| - | ![]() |
|
![]() |
(126) |
Dabei ist
| VEd, max | der Bemessungswert der maximalen Querkraft unter häufiger Einwirkungskombination |
| VEd, min | der Bemessungswert der minimalen Querkraft unter häufiger Einwirkungskombination in dem Querschnitt, in demVEd, max auftritt |
| VRd, ct | der Bemessungswert der aufnehmbaren Querkraft nach Gleichung (70) |
11 Nachweise in den Grenzzuständen der Gebrauchstauglichkeit
11.1 Begrenzung der Spannungen
11.1.1 Allgemeines
(1) Für das nutzungsgerechte und dauerhafte Verhalten eines Bauwerks sind die übermäßige Schädigung des Betongefüges sowie nichtelastische Verformungen des Beton- und Spannstahls durch Einhaltung der Spannungsgrenzen nach 11.1.2, 11.1.3 und 11.1.4 zu vermeiden.
(2) Die Spannungsnachweise sind gegebenenfalls für Bau- und Endzustand getrennt zu führen.
(3) Die Spannungsnachweise nach 11.1.2 und 11.1.3 dürfen für nicht vorgespannte Tragwerke des üblichen Hochbaus, die nach Abschnitt 10 bemessen wurden, im Allgemeinen entfallen, wenn
11.1.2 Begrenzung der Betondruckspannungen
(1) In Bauteilen, die den Bedingungen der Expositionsklassen XD1 bis XD3, XF1 bis XF4 und XS1 bis XS3 (siehe Tabelle 3) ausgesetzt sind und in denen keine anderen Maßnahmen getroffen werden, wie z.B. eine Erhöhung der Betondeckung in der Druckzone oder eine Umschnürung der Druckzone durch Querbewehrung, sollten die Betondruckspannungen zur Vermeidung von Längsrissen unter der seltenen Einwirkungskombination auf den Wert 0,6fck begrenzt werden.
(2) Falls die Gebrauchstauglichkeit, Tragfähigkeit oder Dauerhaftigkeit des Bauwerks durch das Kriechen wesentlich beeinflusst werden, sind die Betondruckspannungen unter der quasi-ständigen Einwirkungskombination zur Vermeidung von überproportionalen Kriechverformungen auf 0,45fck zu begrenzen.
(3) Im Bereich von Verankerungen und Auflagern dürfen die vorgenannten Nachweise entfallen, wenn die Festlegungen in 8.7.7 sowie Abschnitt 13 eingehalten werden.
11.1.3 Begrenzung der Betonstahlspannungen
Die Zugspannungen in der Betonstahlbewehrung sind bei direkten Einwirkungen (Lastbeanspruchung) unter der seltenen Einwirkungskombination auf den Wert 0,8fyk zu begrenzen. Wenn die Spannung ausschließlich aus indirekten Einwirkungen (Zwang) herrührt, ist ein Wert von 1,0fyk zulässig.
11.1.4 Begrenzung der Spannstahlspannungen
(1) Die Zugspannungen im Spannstahl der Spannglieder sind in jedem Querschnitt mit dem Mittelwert der Vorspannung unter der quasi-ständigen Einwirkungskombination nach Abzug der Spannkraftverluste nach 8.7.3 zu berechnen und auf den Wert 0,65fpk zu begrenzen.
(2) Nach dem Absetzen der Pressenkraft bzw. dem Lösen der Verankerung darf der Mittelwert der Spannstahlspannung unter der seltenen Einwirkungskombination in keinem Querschnitt und zu keinem Zeitpunkt den kleineren Wert von 0,9fp0,1k und 0,8fpk überschreiten.
11.2 Begrenzung der Rissbreiten und Nachweis der Dekompression
11.2.1 Allgemeines
(1) Rissbildung ist in Betonzugzonen nahezu unvermeidbar. Die Rissbreite ist so zu beschränken, dass die ordnungsgemäße Nutzung des Tragwerks sowie sein Erscheinungsbild und die Dauerhaftigkeit als Folge von Rissen nicht beeinträchtigt werden.
(2) Risse im Beton können auch aus anderen Gründen, z.B. aus plastischem Schwinden oder chemischen Reaktionen mit Volumenänderung auftreten. Die Vermeidung und die Begrenzung der Breite solcher Risse sind in dieser Norm nicht geregelt.
(3) Beim Nachweis der Begrenzung der Rissbreite ist zwischen dem Zustand der Bildung von Einzelrissen und dem Zustand mit abgeschlossenem Rissbild zu unterscheiden. Die in diesem Abschnitt angegebenen Nachweis- und Berechnungsverfahren dürfen näherungsweise für beide Zustände angewendet werden, sofern die zur Verteilung der Risse erforderliche Mindestbewehrung nach 11.2.2 vorhanden ist.
(4) Die in diesem Abschnitt angegebenen Verfahren erlauben keine exakte Vorhersage und Begrenzung der Rissbreite. Die Rechenwerte der Rissbreite sind daher nur als Anhaltswerte zu sehen, deren gelegentliche geringfügige Überschreitung im Bauwerk nicht ausgeschlossen werden kann. Dies ist jedoch bei Beachtung der Regeln dieses Abschnitts im Allgemeinen unbedenklich.
(5) Die in 11.2.3 und 11.2.4 angegebenen Verfahren gestatten die Begrenzung und Berechnung der Rissbreite im Bereich nahe der im Verbund liegenden Bewehrung (d. h. innerhalb des Wirkungsbereichs der Bewehrung). Außerhalb dieses Bereichs können Risse mit größerer Breite auftreten.
(6) Die Anforderungen an die Dauerhaftigkeit und das Erscheinungsbild eines Bauteils gelten im Sinne dieses Abschnitts als erfüllt, wenn die Anforderungen nach Tabelle 18 und Tabelle 19 eingehalten sind. Für Bauteile mit besonderen Anforderungen (z.B. Wasserbehälter) können strengere Begrenzungen der Rissbreite erforderlich sein. Diese sind jedoch nicht Gegenstand dieser Norm.
Tabelle 18 - Anforderungen an die Begrenzung der Rissbreite und die Dekompression
| Zeile | Spalte | 1 | 2 | 3 |
| Anforderungsklasse | Einwirkungskombination für den Nachweis der | Rechenwert der Rissbreitewk in mm | ||
| Dekompression | Rissbreitenbegrenzung | |||
| 1 | A | selten | - | 0,2 |
| 2 | B | häufig | selten | |
| 3 | C | quasi-ständig | häufig | |
| 4 | D | - | häufig | |
| 5 | E | - | quasi-ständig | 0,3 |
| 6 | F | - | quasi-ständig | 0,4 |
(7) Für Bauzustände dürfen vom Bauherrn andere Anforderungsklassen festgelegt werden, als im Endzustand nach Tabelle 19 erforderlich sind. Die Mindestanforderungsklassen nach Tabelle 19 für die während der Erstellung des Bauwerkes oder Bauteils herrschenden Umgebungsbedingungen (klassifiziert durch die entsprechende Expositionsklasse nach Tabelle 3) dürfen jedoch nicht unterschritten werden.
(8) Bauteile mit einer Kombination von Spanngliedern im Verbund und Spanngliedern ohne Verbund sind hinsichtlich der Anforderungen an die Rissbreitenbegrenzung und die Dekompression wie Bauteile mit Vorspannung im Verbund zu behandeln.
(9) Die Einhaltung des Grenzzustands der Dekompression bedeutet, dass der Betonquerschnitt unter der jeweils maßgebenden Einwirkungskombination im Bauzustand am Rand der infolge Vorspannung vorgedrückten Zugzone und im Endzustand vollständig unter Druckspannungen steht.
(10) Die Begrenzung der Rissbreite umfasst die folgenden Nachweise:
(11) Bei Stabwerkmodellen, die an der Elastizitätstheorie orientiert sind, dürfen die aus den Stabkräften ermittelten Stahlspannungen beim Nachweis der Rissbreitenbegrenzung verwendet werden. Auch an Stellen, an denen nach dem verwendeten Stabwerkmodell rechnerisch keine Bewehrung erforderlich ist, können Zugkräfte entstehen, die durch eine geeignete konstruktive Bewehrung, z.B. für wandartige Träger nach 13.6, abgedeckt werden müssen.
Tabelle 19 - Mindestanforderungsklassen in Abhängigkeit von der Expositionsklasse
| Zeile | Spalte | 1 | 2 | 3 | 4 |
| Expositionsklasse | Mindestanforderungsklasse | ||||
| Vorspannart | |||||
| Vorspannung im nachträglichen Verbund | Vorspannung im sofortigem Verbund | Vorspannung ohne Verbund | Stahlbetonbauteile | ||
| 1 | XC1 | D | D | F | F |
| 2 | XC2, XC3, XC4 | Ca | C | E | E |
| 3 | XD1, XD2, XD3b, XS1, XS2, XS3 | C a | B | E | E |
| a | Wird der Korrosionsschutz anderweitig sichergestellt, darf Anforderungsklasse D verwendet werden. Hinweise hierzu sind den allgemeinen bauaufsichtlichen Zulassungen der Spannverfahren zu entnehmen. |
| b | Im Einzelfall können zusätzlich besondere Maßnahmen notwendig sein. |
(12) Bei Platten in der Expositionsklasse XC1, die durch Biegung ohne wesentlichen zentrischen Zug beansprucht werden, sind keine Nachweise zur Begrenzung der Rissbreite notwendig, wenn deren Gesamtdicke 200 mm nicht übersteigt, die Festlegungen nach 13.3 eingehalten sind und keine strengere Begrenzung der Rissbreite im Sinne von Absatz (6) erforderlich ist.
(13) Werden Betonstahlmatten mit einem Querschnittas> 6 cm2/m nach 12.8.4 in zwei Ebenen gestoßen, ist im Stoßbereich der Nachweis der Rissbreitenbeschränkung mit einer um 25 % erhöhten Stahlspannung zu führen.
11.2.2 Mindestbewehrung für die Begrenzung der Rissbreite
(1) Zur Aufnahme von Zwangeinwirkungen und Eigenspannungen ist eine Mindestbewehrung anzuordnen, die unter Berücksichtigung der Anforderungen an die Rissbreitenbegrenzung für die Schnittgrößenkombination zu bemessen ist, die im Bauteil zur Erstrissbildung führt.
(2) Der Querschnitt der Mindestbewehrung darf bei Bauteilen ohne Vorspannung und Bauteilen mit Vorspannung ohne Verbund vermindert werden, wenn die Zwangschnittgröße die Rissschnittgröße nicht erreicht. In diesen Fällen darf die Mindestbewehrung durch eine Bemessung des Querschnitts für die nachgewiesene Zwangschnittgröße unter Berücksichtigung der Anforderungen an die Rissbreitenbegrenzung ermittelt werden.
(3) In Bauteilen mit Vorspannung im Verbund ist die Mindestbewehrung zur Rissbreitenbegrenzung nicht in Bereichen erforderlich, in denen im Beton unter der seltenen Einwirkungskombination und unter den maßgebenden charakteristischen Werten der Vorspannung Betondruckspannungen am Querschnittsrand auftreten, die dem Betrag nach größer als 1 N/mm2 sind.
(4) Bei profilierten Querschnitten wie Hohlkästen oder Plattenbalken ist die Mindestbewehrung für jeden Teilquerschnitt (Gurte und Stege) einzeln nachzuweisen.
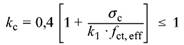
(5) Sofern nicht eine genauere Rechnung zeigt, dass ein geringerer Bewehrungsquerschnitt ausreicht, darf der erforderliche Mindestbewehrungsquerschnitt zur Begrenzung der Rissbreite nach Gleichung (127) ermittelt werden:
| As =kc *k *fct, eff *Act /σs | (127) |
Dabei ist
| As | die Querschnittsfläche der Betonstahlbewehrung in der Zugzone des betrachteten Querschnitts oder Teilquerschnitts. Diese ist überwiegend am gezogenen Querschnittsrand anzuordnen, mit einem angemessenen Anteil aber auch so über die Zugzone zu verteilen, dass die Bildung breiter Sammelrisse vermieden wird | |
| kc | der Beiwert zur Berücksichtigung des Einflusses der Spannungsverteilung innerhalb der ZugzoneAct vor der Erstrissbildung sowie der Änderung des inneren Hebelarmes beim Übergang in den Zustand II: | |
![]() |
(128) | |
| σc | die Betonspannung in Höhe der Schwerlinie des Querschnitts oder Teilquerschnitts im ungerissenen Zustand unter der Einwirkungskombination, die am Gesamtquerschnitt zur Erstrissbildung führt (σc < 0 bei Druckspannungen) |
| k1 | = 1,5h/h' | für Drucknormalkraft |
| = 2/3 | für Zugnormalkraft |
| h | die Höhe des Querschnitts oder Teilquerschnitts |
| h' | = h | fürh < 1m |
| = 1 m | für h> 1m |
| k | der Beiwert zur Berücksichtigung von nichtlinear verteilten Betonzugspannungen. Werte fürk sind nachfolgend für unterschiedliche Fälle angegeben: |
| a) | Zugspannungen infolge im Bauteil selbst hervorgerufenen Zwangs (z.B. Eigenspannungen infolge Abfließen der Hydratationswärme): |
| k = 0,8 | fürh< 300 mm | ||
| k = 0,5 | fürh> 800 mm |
| Zwischenwerte dürfen linear interpoliert werden. Dabei ist fürh der kleinere Wert von Höhe oder Breite des Querschnitts oder Teilquerschnitts zu setzen. | ||
| b) | Zugspannungen infolge außerhalb des Bauteils hervorgerufenen Zwangs (z.B. Stützensenkung): k = 1,0 |
| Act | die Fläche der Betonzugzone im Querschnitt oder Teilquerschnitt. Die Zugzone ist derjenige Teil des Querschnitts oder Teilquerschnitts, der unter der zur Erstrissbildung am Gesamtquerschnitt führenden Einwirkungskombination im ungerissenen Zustand rechnerisch unter Zugspannungen steht | |
| fct, eff | die wirksame Zugfestigkeit des Betons zum betrachteten Zeitpunkt. Fürfct, eff ist bei diesem Nachweis der Mittelwert der Zugfestigkeitfctm einzusetzen. Dabei ist diejenige Festigkeitsklasse anzusetzen, die beim Auftreten der Risse zu erwarten ist. In vielen Fällen, z.B. wenn der maßgebende Zwang aus dem Abfließen der Hydratationswärme entsteht, kann die Rissbildung in den ersten 3 bis 5 Tagen nach dem Einbringen des Betons in Abhängigkeit von den Umweltbedingungen, der Form des Bauteils und der Art der Schalung entstehen. In diesem Fall darf, sofern kein genauerer Nachweis erfolgt, die Betonzugfestigkeitfct, eff zu 50 % der mittleren Zugfestigkeit nach 28 Tagen gesetzt werden. Wenn der Zeitpunkt der Rissbildung nicht mit Sicherheit innerhalb der ersten 28 Tage festgelegt werden kann, sollte mindestens eine Zugfestigkeit von 3 N/mm2 für Normalbeton und 2,5 N/mm2 für Leichtbeton angenommen werden. | |
| σs | die zulässige Spannung in der Betonstahlbewehrung zur Begrenzung der Rissbreite in Abhängigkeit vom Grenzdurchmesserds* nach Tabelle 20 |
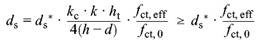
(6) Die Begrenzung der Rissbreite darf dabei durch eine Begrenzung des Stabdurchmessers auf den folgenden Wert nachgewiesen werden:
![]() |
(129) |
Dabei ist
| ds* | der Grenzdurchmesser der Bewehrung nach Tabelle 20 |
| h | die Bauteilhöhe |
| d | die statische Nutzhöhe |
| ht | die Höhe der Zugzone im Querschnitt bzw. Teilquerschnitt vor Beginn der Erstrissbildung |
| fct, 0 | die Zugfestigkeit des Betons, auf die die Werte der Tabelle 20 bezogen sind (fct, 0 = 3,0 N/mm2) |
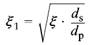
(7) In einem Quadrat von 300 mm Seitenlänge um ein Spannglied im sofortigen oder im nachträglichen Verbund darf die in diesem Bereich erforderliche Mindestbewehrung um den Betragξ1 *Ap verringert werden.
Dabei ist
| Ap | die Querschnittsfläche des Spannstahls im Spannglied | |
| ξ1 | das Verhältnis der Verbundfestigkeit von Spannstahl und Betonstahl unter Berücksichtigung der unterschiedlichen Durchmesser. | |
![]() |
(130) | |
| ξ | das Verhältnis der mittleren Verbundfestigkeit von Spannstahl zu der von Betonstahl nach Tabelle 15 | |
| ds | der größte vorhandene Stabdurchmesser der Betonstahlbewehrung | |
| dp | der äquivalente Durchmesser der Spannstahlbewehrung (siehe Gleichung (118)) |
11.2.3 Begrenzung der Rissbreite ohne direkte Berechnung
(1) Die Rissbreiten werden auf zulässige Werte begrenzt, wenn die Durchmesser oder die Abstände der Bewehrungsstäbe in Abhängigkeit von der Spannung begrenzt werden.
(2) Die in Tabelle 20 und Tabelle 21 genannten Grenzwerte stellen im Allgemeinen die Begrenzung der Rissbreite auf die angegebenen Werte sicher, wenn
(3) Die in Tabelle 20 und Tabelle 21 angegebenen Stahlspannungen sind für einen gerissenen Querschnitt (Zustand II) und die maßgebende Einwirkungskombination, bei vorgespannten Bauteilen mit dem maßgebenden charakteristischen Wert der Vorspannung, zu ermitteln.
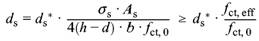
(4) Der Grenzdurchmesser der Bewehrungsstäbe nach Tabelle 20 darf in Abhängigkeit von der Bauteilhöhe und muss in Abhängigkeit von der wirksamen Betonzugfestigkeitfct, eff folgendermaßen modifiziert werden:
![]() |
(131) |
Dabei ist
| ds | der modifizierte Grenzdurchmesser |
| ds* | der Grenzdurchmesser nach Tabelle 20 |
| σs | die Betonstahlspannung im Zustand I; bei Bauteilen mit im Verbund liegenden Spanngliedern ist Absatz (5) zu beachten |
| As | die Querschnittsfläche der Betonstahlbewehrung, siehe Legende zu Gleichung (127) |
| h | die Bauteilhöhe |
| d | die statische Nutzhöhe |
| b | die Breite der Zugzone |
| fct, 0 | die Zugfestigkeit des Betons, auf die die Werte nach Tabelle 20 bezogen sind (fct, 0 = 3,0 N/mm2) |
![]() |
weiter . | ![]() |
(Stand: 01.03.2019)
Alle vollständigen Texte in der aktuellen Fassung im Jahresabonnement
Nutzungsgebühr: ab 105.- € netto
(derzeit ca. 7200 Titel s.Übersicht - keine Unterteilung in Fachbereiche)
Die Zugangskennung wird kurzfristig übermittelt
? Fragen ?
Abonnentenzugang/Volltextversion