| Regelwerk | zurück | ![]() |
Anlagen zum Teil I der Liste der Technischen Baubestimmungen (LTB)
Anlage 1.1/1
Zu DIN EN 1990 in Verbindung mit DIN EN 1990/NA
Bei Anwendung der technischen Regel ist Folgendes zu beachten:
Die informativen Anhänge B, C und D sind nicht anzuwenden.
Anlage 1.2/1
Zu DIN EN 1991-1-2 in Verbindung mit DIN EN 1991-1-2/NA
DIN EN 1991-1-2 Berichtigung 1:2013-08 ist zu berücksichtigen.
Nach Abschnitt 3 der DIN EN 1991-1-2:2010-12 können die Brandeinwirkungen für die Bemessung tragender und aussteifender Bauteile nach nominellen Temperaturzeitkurven oder Naturbrandmodellen ermittelt werden. Der vorbezeichnete Nationale Anhang (NA) zu dieser Norm legt fest, dass für die zu erbringenden brandschutztechnischen Nachweise bei Tragwerken im Hochbau in der Regel die Einheits-Temperaturzeitkurve (ETK) anzuwenden ist; Nachweise auf der Basis von Naturbrandmodellen sollen nur im Zusammenhang mit einer brandschutztechnischen Stellungnahme erstellt werden. Der nationale Anhang regelt auch, welche Brandmodelle angewendet werden dürfen, die Grenzen der Anwendung und die zu beachtenden Grundlagen; er enthält außerdem Validierungsbeispiele für Rechenprogramme.
Bei der Anwendung von Naturbrandmodellen ist zu beachten:
1. Das Ergebnis der Bemessung des Feuerwiderstands (Brandeinwirkung und Nachweis) tragender oder aussteifender Bauteile auf der Grundlage von Naturbrandmodellen (Abschnitt 3.3 DIN EN 1991-1-2:2010-12) bedarf einer Abweichung nach § 56 Abs. 1 LBO; es kann auch im Rahmen des § 38 LBO zugelassen werden.
Anmerkung:
Die Beurteilung der Feuerwiderstandsfähigkeit von Bauteilen in bauaufsichtlichen Verfahren erfolgt auf der Grundlage von Brandprüfungen nach der Einheits-Temperaturzeitkurve (ETK) und führt zu Einstufungen in Feuerwiderstandsklassen (DIN 4102-2:1977-09, DIN EN 13501-2), die den bauaufsichtlichen Anforderungen zugeordnet werden (Bauregelliste a Teil 1, Anlagen 0.1.1 u. 0.1.2).
Bauteilbemessungen auf der Grundlage von Naturbrandmodellen stellen auf die jeweilige konkrete Nutzung und Ausgestaltung eines Raums oder Gebäudes unter Berücksichtigung der vorhandenen brandschutztechnischen Infrastruktur ab.
Eine solche Bauteilbemessung deckt das auf Feuerwiderstandsklassen ausgerichtete globale bauaufsichtliche Anforderungssystem (Gebäudeklassen, Höhenlage der Geschosse, Gebäudeart) nicht vollständig ab.
Über die Anwendbarkeit von Naturbrandmodellen ist daher im Rahmen einer Abweichung nach § 56 bzw. einer Erleichterung nach § 38 LBO zu entscheiden. Dazu ist im Bauantrag oder in den Bauvorlagen anzugeben, weshalb es einer ETK-Brandbeanspruchung nicht bedarf und darzustellen, dass (und weshalb) das gewählte Brandmodell für das Vorhaben geeignet ist und wie die damit zwangsläufig verbundene eingeschränkte Nutzung der Anlage (z.B. aufgrund begrenzter Brandlasten) sichergestellt werden soll ( § 56 Abs. 1 LBO; zu möglichen Inhalten einer brandschutztechnischen Stellungnahme siehe Anlage zur VwV Brandschutzprüfung1).
2. Für den Nachweis der Standsicherheit ( § 9 Abs. 2 LBOVVO) sind die für die Beurteilung der Brandeinwirkungen erforderlichen Unterlagen, insbesondere für die Ermittlung der thermischen Einwirkungen und die bemessungsrelevanten Brandszenarien einschließlich der ent-sprechenden Bemessungsbrände, als zusätzliche Bauvorlage ( § 2 Abs. 3 Nr. 1 LBOVVO) vorzulegen. Die erforderlichen Unterlagen müssen vollständig, nachvollziehbar und prüfbar sein; die thermischen Einwirkungen sind raumbezogen zu ermitteln und zu dokumentieren. Die Eingangsparameter sind repräsentativ und konservativ zu wählen; dabei sind auch Brandeinwirkungen von außen und spezifische Nutzungszustände zu berücksichtigen (z.B. Fahrzeuge in Ausstellungshallen im Rahmen der Auf- und Abbauphase von Messeständen).
Die mit der bautechnischen Prüfung nach § 17 LBOVVO betraute prüfende Stelle muss entweder zugleich die not-wendige Ausbildung, Sachkunde und Erfahrung im Bereich Brandschutz haben (vgl. Ziffer 4.3 VwV Brandschutzprüfung1) oder für die Beurteilung der Brandeinwirkungen über die zuständige untere Baurechtsbehörde einen mit derartigen Brandmodellen erfahrenen Sachverständigen (vgl. Ziffer 4.3 VwV Brandschutzprüfung) heranziehen. Im Rahmen der Beurteilung der Brandeinwirkung sind alle Eingangsparameter auf Vollständigkeit und Richtigkeit zu überprüfen; nur stichprobenartige oder Plausibilitätsprüfungen genügen nicht.
3. Für den Nachweis des Brandschutzes ( § 2 Abs. 3 Nr. 1 LBOVVO) ist in den Bauvorlagen auch darzustellen, wie die nach Naturbrandmodellen bemessenen Bauteile des Tragwerks mit den erforderlichen (klassifizierten) raumabschließenden Bauteilen (wie Brand- und Trennwände, Decken, Wände notwendiger Treppenräume und Flure) zu einem geeigneten Brandschutzkonzept zusammengeführt werden sollen. Dazu gehören auch Aussagen zu den Anschlüssen brandschutztechnisch unterschiedlich bemessener Bauteile.
Die Anforderungen der LBO, der Sonderbauverordnungen und anderer Vorschriften an raumabschließende Bauteile bleiben unberührt.
4. Die Feuerwiderstandsfähigkeit des Tragwerks ist für die Durchführung wirksamer Löscharbeiten von wesentlicher Bedeutung. Vor der Entscheidung über die Abweichung/Erleichterung ist die zuständige Brandschutzdienststelle im Hinblick auf die Belange des abwehrenden Brandschutzes zu hören; § 2 BauPrüfVO bleibt unberührt.
5. Die zulässige Art der Nutzung des Bauvorhabens (z.B. Bürogebäude) wird durch die - gewählten und durch die Baugenehmigung festgelegten - Eingangsparameter für die Ermittlung der Brandbeanspruchung (raumbezogen) konkretisiert und begrenzt. Es sind daher geeignete Maßnahmen festzulegen, die die Einhaltung dieser Nutzungsbeschränkung sicherstellen. Dazu kommen insbesondere die Bestellung eines Brandschutzbeauftragten für die diesbezügliche Überwachung des laufenden Betriebs sowie eine Überprüfung der Brandlastannahmen innerhalb des ersten Jahres nach Aufnahme der Nutzung und wiederkehrende Überprüfungen (z.B. in Abständen von 3 - 5 Jahren) durch einen Sachverständigen für Brandschutz (vgl. Ziffer 4.3 VwV Brandschutzprüfung1) in Betracht.
Die Nutzungsbeschränkung und die zu ihrer Einhaltung vorgesehenen Maßnahmen sind durch entsprechende Nebenbestimmungen in der Baugenehmigung festzulegen. In der Baugenehmigung ist darauf hinzuweisen, dass Änderungen des genehmigten Nutzungskonzepts, die zu einer höheren Brandbeanspruchung führen (z.B. veränderte Brandlasten), eine Überprüfung der Standsicherheit und gegebenenfalls die Beantragung und Erteilung einer neuen Baugenehmigung erforderlich machen.
Anmerkung:
Gebäude, deren Standsicherheit auf der Grundlage von Naturbrandmodellen bemessen ist, unterliegen Nutzungsbegrenzungen, die durch betriebliche Maßnahmen und externe Überprüfungen sicherzustellen sind. Die Anwendung solcher Modelle kann daher nur bei bestimmten Gebäudenutzungen sachgerecht sein. Sie kann bei Nutzungen mit geringen und beständigen Brandlasten insbesondere in großen Raumstrukturen angemessen sein; anders verhält es sich bei Räumen mit veränderlichen Brandlasten und Nutzungen oder Gebäuden mit besonderen Sicherheitsanforderungen (z.B. Hochhäuser); die Erforderlichkeit betrieblicher Maßnahmen schließt eine Anwendung bei Wohnungen oder ähnlichen Nutzungen grundsätzlich aus.
6 Zu DIN EN 1991-1-2/NA:2010-12, Anhang BB (NA.BB)
6.1 In Abschnitt NA.BB.3.1 muss Gleichung (BB.1) richtig lauten:
qf,d = qf,k · χ · γfi,q
6.2 Wird für typische Mischbrandlasten ein pauschaler Wert für die Verbrennungseffektivität χ in Ansatz gebracht, beträgt χ = 0,8.
Die Brandlastdichten nach Abschnitt NA.BB.3.2, Tabelle BB.1, Spalte 3, dürfen auch bei Ermittlungen im Einzelfall nach Abschnitt NA.BB.3.3 nicht unterschritten werden; die Werte beziehen sich nur auf eine für die jeweilige Gebäudeart typische Raumnutzung und nicht auf die Raumnutzungen des gesamten Gebäudes (vgl. NA.BB.3.2 Absatz 3 bezüglich Bürogebäude); dies gilt für Tabelle BB.2 entsprechend.
Für Räume, die als Bibliothek dienen, ist der Wert RHRf = 0,5 MW/m2 nach Tabelle BB.2 anzusetzen.
6.3 Die maximale Wärmefreisetzungsrate Qmax,k nach Abschnitt NA.BB.4, Gleichung (BB.7) ist auch für Räume mit mehr als 400 m2 unter Ermittlung zunächst der Wärmefreisetzungsrate Qmax,f,k für einen angenommenen brandlastgesteuerten Brand nach Gleichung (BB.5) und der Ermittlung der Wärmefreisetzungsrate Qmax,v,k unter der Annahme eines ventilationsgesteuerten Brandes nach Gleichung (BB.6) zu bestimmen. Der so aus Gleichung (BB.7) gebildete Wert (charakteristischer Wert Qmax,k) liegt stets auf der sicheren Seite.
Die Entwicklungsphase 1 nach Bild BB.1 ist so zu wählen, dass die maximale Wärmefreisetzungsrate Qmax nach spätestens 10 Minuten erreicht wird.
6.4 Für die Auftretenswahrscheinlichkeit p1 eines Entstehungsbrandes je Jahr und Nutzungseinheit ist nach Abschnitt NA.BB.5.1 der größere und damit ungünstigere Wert aus den Angaben nach Tabelle BB.3 zur Bestimmung der Auftretenswahrscheinlichkeit pfi eines Schadenfeuers nach Gleichung (BB.9) in Ansatz zu bringen.
Für die Ausfallwahrscheinlichkeit der öffentlichen Feuerwehr ist der Wert p2,2 = 0,5 nach Tabelle BB.4 anzusetzen.
6.5 Für die Ermittlung der bedingten Versagenswahrscheinlichkeit pf,fi nach Abschnitt NA.BB.5.2 ist in Gleichung (BB.13) die Versagenswahrscheinlichkeit pf für Bauteile des Tragwerks stets zumindest aus der Zuordnung zur Schadensfolge "mittel" nach Tabelle BB.5 in Ansatz zu bringen.
Für Gebäude, die einer Büro- oder vergleichbaren Nutzung dienen und deren Nutzungseinheiten mehr als 400 m2 Brutto-Grundfläche haben (vgl. § 12 Abs. 1 Nr. 4 LBOAVO), ist für den Zuverlässigkeitsindex β der Wert 4,7 und für die zugehörige Versagenswahrscheinlichkeit pf der Wert 1,3E-6 nach Tabelle BB.5 in Ansatz zu bringen.
Sonderbauten, bei denen die Auswirkungen des Versagens oder der Funktionsbeeinträchtigung eines Tragwerks zu schweren Folgen für Leben, Gesundheit und die natürlichen Lebensgrundlagen (vgl. DIN EN 1990:2010-12, Anhang B) führen können, sind der Schadensfolge "hoch" nach Tabelle BB.5 zuzuordnen.
_________
1) Verwaltungsvorschrift des Ministeriums für Verkehr und Infrastruktur über die brandschutztechnische Prüfung im baurechtlichen Verfahren (VwV Brandschutzprüfung) vom 17. September 2012 (GABl. S. 865)
Anlage 1.2/2
Zu DIN EN 1991-1-3 in Verbindung mit DIN EN 1991-1-3/NA
Bei Anwendung der technischen Regel ist Folgendes zu beachten:
1. Hinsichtlich der Zuordnung der Schneelastzonen gilt die "Zuordnung der Gemeinden und Gemeindeteile des Landes Baden-Württemberg zu den Schneelastzonen nach DIN EN 1991-1-3/NA:2010-12" (siehe Anhang I). Ein an der Grenzlinie zweier Schneelastzonen im Bereich der höheren Zone liegender Bauwerksstandort darf, abweichend von dieser Zuordnung, der niedrigeren Zone zugeordnet werden, wenn der Bauwerksstandort dieselben topografischen Verhältnisse wie die niedrigere Zone im benachbarten Bereich aufweist.
2. Nummer 2 ist nicht besetzt.
Anlage 1.2/3
Zu DIN EN 1991-1-4 in Verbindung mit DIN EN 1991-1-4/NA
Bei Anwendung der technischen Regel ist Folgendes zu beachten:
1. Nummer 1 ist nicht besetzt.
2. Hinsichtlich der Zuordnung der Windzonen gilt die "Zuordnung der Gemeinden und Gemeindeteile des Landes Baden-Württemberg zu den Windzonen nach DIN EN 1991- 1-4/NA:2010-12" (siehe Anhang II).
3. Bei der Anwendung von Abschnitt NA.B.3:
Für Bodenseeanrainergemeinden bis 3 km ins Landesinnere gilt in Bezug auf die anzusetzenden Geländekategorien:
Anlage 1.2/4
Zu DIN EN 1991-1-7 in Verbindung mit DIN EN 1991-1-7/NA
Bei Anwendung der technischen Regel ist Folgendes zu beachten:
1. Zu Abschnitt 4.4:
Ergänzend gilt für die Anpralllasten aus dem Anprall von Gabelstaplern bei Regalen, die nicht gleichzeitig die tragende Gebäudekonstruktion sind:
An den für den Lastfall "Gabelstapleranprall" maßgebenden Stützen an der Gangseite ist in 0,4 m Höhe eine Horizontallast von 2,5 kN in Gangquerrichtung und von 1,25 kN in Ganglängsrichtung anzusetzen. Für die Bemessung der Stützen sind die Lasten nicht gleichzeitig, sondern in jeder Richtung getrennt anzusetzen.
2. Die informativen Anhänge sind von der Einführung ausgenommen.
Anlage 1.2/5
Zu DIN EN 1991-4 in Verbindung mit DIN EN 1991-4/Na und DIN-Fachbericht 140
Bei Anwendung der technischen Regeln ist Folgendes zu beachten:
1. DIN EN 1991-4 Berichtigung 1:2013-08 ist zu berücksichtigen.
2. Bei Silozellen bis zu einem Behältervolumen von 4000 m3 und einer Schlankheit (Verhältnis Zellenhöhe hc zu Zellendurchmesser dc) hc/dc < 4,0 können neben dem DIN-Fachbericht 140 auch die Regeln von DIN EN 14491 angewendet werden, sofern die Masse des Entlastungssystems den Wert von mE = 50 kg/m2 nicht überschreitet.
3. Bei Anwendung der technischen Regel DIN-Fachbericht 140 ist Folgendes zu beachten:
Sofern keine sphärischen Explosionsbedingungen vorliegen, darf bei der Anwendung der Nomogramme des DIN-Fachberichts 140 für niedrige Silozellen mit Schlankheiten von hc/dc< 2,0 eine Extrapolation der Nomogrammwerte mit den Schlankheiten H/D=2 und H/D=4 vorgenommen werden.
Anlage 1.2/6
Zu DIN EN 1991-3 in Verbindung mit DIN EN 1991-3/NA
DIN EN 1991-3 Berichtigung 1:2013-08 ist zu berücksichtigen.
Anlage 1.3/1
Zur ETB-Richtlinie "Bauteile, die gegen Absturz sichern"
Bei Anwendung der technischen Regel ist Folgendes zu beachten:
1. Zu Abschnitt 3.1, 1. Absatz:
Sofern sich nach DIN EN 1991-1-1 in Verbindung mit DIN EN 1991-1-1/Na größere horizontale Linienlasten ergeben, müssen diese berücksichtigt werden.
2. Zu Abschnitt 3.1, 4. Absatz:
Anstelle des Satzes "Windlasten sind diesen Lasten zu überlagern." gilt:
"Windlasten sind diesen Lasten zu überlagern, ausgenommen für Brüstungen von Balkonen und Laubengängen, die nicht als Fluchtwege dienen."
3. Die ETB-Richtlinie gilt nicht für Bauteile aus Glas.
Anlage 2/BW
Regelung zur Anwendung der LBOHAVO
Bei Anwendung der Verordnung des Umweltministeriums über Anforderungen an Hersteller von Bauprodukten und Anwender von Bauarten (Hersteller- und Anwenderverordnung LBO - LBOHAVO) vom 12. November 2001 (GBl. S. 630), zuletzt geändert durch Artikel 128 der Verordnung vom 25. Januar 2012 (GBl. S. 65, 81), ist Folgendes zu beachten:
Die in § 1 Abs. 2 LBOHAVO bezeichneten Bezüge auf laufende Nummern der Liste der Technischen Baubestimmungen (LTB) erfahren folgende Entsprechungen:
| Bezug in LBOHAVO | Entsprechung | ||
| 1 | 2.4.4 | LTB Teil I, lfd. Nr. 2.4.11 | |
| 2 | 2.4.1 | LTB Teil I, lfd. Nr. 2.4.31 | |
| 3 | 2.3.4 | LTB Teil I, lfd. Nr. 2.3.3 | |
| 4 | 2.5.1 | LTB Teil I, lfd. Nr. 2.5.1 | |
| 5 | 2.3.1 | LTB Teil I, lfd. Nr. 2.3.1 | |
| 6 | 2.3.11 | LTB Teil I, lfd. Nr. 2.3.7 | |
| 1) | Für die Ausführung von Schweißarbeiten zur Herstellung tragender Stahl- oder Aluminiumbauteile auf der Baustelle. | ||
Für die Verwendung von Bauprodukten nach harmonisierten Normen im Erd- und Grundbau ist Folgendes zu beachten:
Geotextilien und geotextilverwandte Produkte nach EN 13251:2000 + A1:20051:
Die Verwendung, bei der die Geotextilien oder geotextilverwandten Produkte für die Standsicherheit der damit bewehrten baulichen Anlage erforderlich ist, ist nicht geregelt und bedarf einer allgemeinen bauaufsichtlichen Zulassung.
________
1) In Deutschland umgesetzt durch DIN EN 13251:2005-04.
Bei Anwendung der technischen Regel ist Folgendes zu beachten:
1. DIN EN 12699 Berichtigung 1:2010-11 ist zu berücksichtigen.
2. Die in dieser Norm genannten Pfahlkupplungen oder andere Verbindungselemente sind dort nicht abschließend geregelt; sie bedürfen daher einer allgemeinen bauaufsichtlichen Zulassung.
Für die Verwendung von Pfählen nach EN 12794:2005+A1: 2007-05 mit EN 12794:2005+A1:2007/AC:20081 gilt:
1. Bis auf Weiteres dürfen nur Produkte verwendet werden, für die zusätzlich der Übereinstimmungsnachweis nach Bauregelliste a Teil 1 lfd. Nr. 1.6.28 geführt wurde.
2. Die Angaben von Produkteigenschaften in der CE-Kennzeichnung sind stets als Produktmerkmale zu sehen und ersetzen nicht den Nachweis der Tragfähigkeit entsprechend den Technischen Baubestimmungen im Bauwerk.
3. DIN EN 13369:2004-09, DIN EN 13369/A1:2006-09 und DIN EN 13369 Berichtigung 1:2007-05 gelten nur in Verbindung mit DIN V 20000-120:2006-04.
____________
1) In Deutschland umgesetzt durch DIN EN 12794:2007-08 und DIN EN 12794 Berichtigung 1:2009-04.
Anlage 2.1/4
Zu DIN EN 1537
Bei Anwendung der technischen Regel ist Folgendes zu beachten:
1. DIN EN 1537 Berichtigung 1:2011-12 ist zu berücksichtigen.
2. Sofern Daueranker oder Teile von ihnen in benachbarten Grundstücken liegen sollen, muss sichergestellt werden, dass durch Veränderungen am Nachbargrundstück, z.B. Abgrabungen oder Veränderungen der Grundwasserverhältnisse, die Standsicherheit dieser Daueranker nicht gefährdet wird.
Die rechtliche Sicherung sollte durch eine Baulast nach §§ 71 und 72 LBO erfolgen mit dem Inhalt, dass der Eigentümer des betroffenen Grundstücks Veränderungen in dem Bereich, in dem Daueranker liegen, nur vornehmen darf, wenn vorher nachgewiesen ist, dass die Standsicherheit der Daueranker und der durch sie gesicherten Bauteile nicht beeinträchtigt wird.
3. Für die Daueranker ist eine allgemeine bauaufsichtliche Zulassung erforderlich.
Für die Verwendung von Bauprodukten nach harmonisierten Normen in Mauerwerk nach DIN 1053-1 ist Folgendes zu beachten:
1. Gesteinskörnungen nach EN 13139:20021:
Für tragende Bauteile dürfen natürliche Gesteinskörnungen mit alkaliempfindlichen Bestandteilen oder mit möglicherweise alkaliempfindlichen Bestandteilen nur verwendet werden, wenn sie in eine Alkaliempfindlichkeitsklasse eingestuft sind (gemäß Bauregelliste a Teil 1, lfd. Nr. 2.2.8).
2. Mauermörtel nach EN 998-2:20032:
Es gilt sinngemäß die zugehörige Anwendungsnorm DIN V 20000- 412:2004-03.
3. Ergänzungsbauteile für Mauerwerk nach EN 845-1:2003+A1: 2008, EN 845-2:2003 und EN 845-3:2003+A1:20083:
Die Verwendung der Ergänzungsbauteile für tragende Zwecke ist nicht geregelt.
4. Betonwerksteine nach EN 771-5:2011 4:
Die Verwendung der Betonwerksteine für tragende Zwecke ist nicht geregelt und bedarf daher einer allgemeinen bauauf-sichtlichen Zulassung.
5. Mauersteine nach EN 771-1, -2, -3, -4: 2011 4:
Es gelten sinngemäß die zugehörigen Anwendungsnormen
DIN V 20000-401:2012-11,
DIN V 20000-402:2005-06,
DIN V 20000-403:2005-06 und
DIN V 20000-404:2006-01.
Mauersteine, die zusätzlich folgende Anforderungen erfüllen, dürfen für Mauerwerk nach DIN 1053 verwendet werden:
Porenbetonsteine nach EN 771-4:2011 dürfen darüber hinaus für tragendes Mauerwerk nur verwendet werden, wenn für die Formbeständigkeit der Porenbetonsteine der Gesamtwert des Trocknungsschwindens εcs,tot nach DIN EN 680 deklariert ist und den Wert 0,40 mm/m nicht überschreitet.
6. Glassteine nach EN 1051-2:20075:
Die Verwendung der Glassteine ist nicht geregelt und bedarf daher einer allgemeinen bauaufsichtlichen Zulassung; hiervon ausgenommen sind nichttragende innere Trennwände, an die keine Anforderungen an die Absturzsicherheit und/oder Feuerwiderstandsdauer und/oder Schallschutz gestellt werden.
________
1) In Deutschland umgesetzt durch DIN EN 13139:2002-08.
2) In Deutschland umgesetzt durch DIN EN 998-2:2010-12.
3) In Deutschland umgesetzt durch DIN EN 845-1:2008-06, DIN EN 845-2:2003-08 und DIN EN 845-3:2008-06.
4) In Deutschland umgesetzt durch DIN EN 771-1, -2, -3, -4 und -5:2011-07.
5) In Deutschland umgesetzt durch DIN EN 1051-2:2007-12.
Für die Verwendung von Zement nach EN 197-1:20111 gilt Anlage 1.33 der Bauregelliste a Teil 1.
________
1) In Deutschland umgesetzt durch DIN EN 197-1:2011-11 und DIN EN 197-1/A3:2007- 09.
Anlage 2.2/4
Zu DIN 1053-1
Bei Anwendung der technischen Regel ist Folgendes zu beachten:
1 Für Wände, die als Endauflager für Decken oder Dächer dienen, durch Wind beansprucht werden und nach Abschnitt 6.9.1 der Norm nachgewiesen werden, ist zusätzlich ein Nachweis der Mindestauflast der Wände zu führen. Dieser darf vereinfacht wie folgt geführt werden, sofern kein genauerer Nachweis erfolgt.
Nhm> (3 * we * h2 * b) / [16 * (a- (h/200) - (d/4)]
Dabei ist:
h die lichte Geschosshöhe
we der charakteristische Wert der Einwirkung aus Wind je Flächeneinheit
Nhm der Kleinstwert der vertikalen Belastung in Wandhöhenmitte
b die Breite, über die die vertikale Belastung wirkt
a die Deckenauflagertiefe
d die Wanddicke
Bei Wänden mit nicht über die volle Wanddicke aufliegender Decke darf der Nachweis der Standsicherheit mit dem vereinfachten Verfahren nach Abschnitt 6.9.1 geführt werden, wenn abweichend bzw. zusätzlich Folgendes berücksichtigt wird.
Anstelle des Faktors k2 nach DIN 1053-1, Abschnitt 6.9.1, ist zur Ermittlung der Traglastminderung durch Knicken
k2 = 0,85 * (a / d) - 0,0011 * λ2
anzunehmen.
Dabei ist:
a die Deckenauflagertiefe
d die Wanddicke
λ die Schlankheit der Wand mit hk / d
Für den Faktor k3 nach DIN 1053-1, Abschnitt 6.9.1, gilt zusätzlich
k3< a / d
Die Deckenauflagertiefe a muss mindestens die halbe Wanddicke, jedoch mehr als 100 mm betragen. Bei einer Wanddicke von 365 mm darf die Mindestauflagertiefe auf 0,45 d reduziert werden.
2 Für nichttragende Außenwände ohne rechnerischen Nachweis (größte zulässige Werte von Ausfachungsflächen) gilt anstelle von Abschnitt 8.1.3.2 der Norm DIN EN 1996-3/NA, NCI Anhang NA.C.
3 Für die Verwendung von Drahtankern gemäß Bild 9 der Norm gilt abweichend DIN EN 1996-2/NA, NCI Anhang NA.D, Absatz g).
Bei Anwendung der technischen Regel ist Folgendes zu beachten:
1. Die Technischen Baubestimmungen nach 2.2.1(1) dürfen bis zum 31. Dezember 2015 unter Berücksichtigung der Bestimmungen der Anlage 2.2/4 alternativ zu den Technischen Baubestimmungen nach 2.2.1(2) angewendet werden.
2. Die Regeln der Technischen Baubestimmungen nach 2.2.1(2) (neues Normenwerk) dürfen mit denen der Technischen Baubestimmungen nach 2.2.1(1) (altes Normenwerk) nicht kombiniert werden (Mischungsverbot); Aus-nahmen siehe Vorbemerkungen zu dieser Liste der Technischen Baubestimmungen.
Für die Verwendung von Bauprodukten nach harmonisierten Normen in Mauerwerk nach DIN EN 1996 ist Folgendes zu beachten:
1 Gesteinskörnungen nach EN 13139:20021):
Für tragende Bauteile dürfen natürliche Gesteinskörnungen mit alkaliempfindlichen Bestandteilen oder mit möglicherweise alkaliempfindlichen Bestandteilen nur verwendet werden, wenn sie in eine Alkaliempfindlichkeitsklasse eingestuft sind (gemäß Bauregelliste a Teil 1, lfd. Nr. 2.2.8).
2 Mauermörtel nach EN 998-2:20102):
Es gilt sinngemäß die Anwendungsnorm DIN V 20000-412:2004-03.
3 Ergänzungsbauteile für Mauerwerk nach EN 845-1:2003+A1:2008, EN 845-2:2003 und EN 845-3:2003+A1:20083):
Die Verwendung der Ergänzungsbauteile für tragende Zwecke ist nicht geregelt und bedarf daher einer allgemeinen bauaufsichtlichen Zulassung.
4 Betonwerksteine nach EN 771-5:20114):
Die Verwendung der Betonwerksteine für tragende Zwecke ist nicht geregelt und bedarf daher einer allgemeinen bauaufsichtlichen Zulassung.
5 Mauersteine nach EN 771-1, -2, -3, -4:20114):
Es gelten sinngemäß die Anwendungsnormen
DIN 20000-401:2012-11,
DIN V 20000-402:2005-06,
DIN V 20000-403:2005-06 und
DIN V 20000-404:2006-01.
Mauersteine, die zusätzlich folgende Anforderungen erfüllen, dürfen für Mauerwerk nach DIN EN 1996 verwendet werden:
Porenbetonsteine nach EN 771-4:2011 dürfen darüber hinaus für tragendes Mauerwerk nur verwendet werden, wenn für die Formbeständigkeit der Porenbetonsteine der Gesamtwert des Trocknungsschwindens εcs,tot nach DIN EN 680 deklariert ist und den Wert 0,40 mm/m nicht überschreitet.
6 Glassteine nach EN 1051-2:20075):
Die Verwendung der Glassteine ist nicht geregelt und bedarf daher einer allgemeinen bauaufsichtlichen Zulassung; hiervon ausgenommen sind nichttragende innere Trennwände, an die keine Anforderungen an die Absturzsicherheit und/oder Feuerwiderstandsdauer und/oder Schallschutz gestellt werden.
__________
1) In Deutschland umgesetzt durch DIN EN 13139:2002-08
2) In Deutschland umgesetzt durch DIN EN 998-2:2010-12
3) In Deutschland umgesetzt durch DIN EN 845-1:2008-06, DIN EN 845-2:2003-08 und DIN EN 845-3:2008-06
4) In Deutschland umgesetzt durch DIN EN 771-1, -2, -3, -4 und -5:2011-07
5) In Deutschland umgesetzt durch DIN EN 1051-2:2007-12
Anlage 2.2/7
Zu DIN EN 1996-1-1 in Verbindung mit DIN EN 1996-1-1/NA
Bei Anwendung der technischen Regel ist Folgendes zu beachten:
1 Die Bemessung von Mauerwerk auf der Grundlage von Versuchen nach DIN EN 1996-1-1, Abschnitt 2.5, ist nicht anzuwenden.
2 Für die Ermittlung des Bemessungswertes des Tragwiderstandes ist der Abminderungsfaktor φm nach DIN EN 1996-1-1; Abschnitt 6.1.2.2, zur Berücksichtigung von Schlankheit und Ausmitte gemäß DIN EN 1996-1-1/NA, NCI Anhang NA.G, zu berechnen.
3 Sofern gemäß DIN EN 1996-1-1/NA, NCI zu 5.5.3, bzw. DIN EN 1996-3/NA, NDP zu 4.1(1)P, ein rechnerischer Nachweis der Schubtragfähigkeit erforderlich ist, ist dieser nach DIN EN 1996-1-1, Abschnitt 6.2, in Verbindung mit DIN EN 1996-1-1/NA, NCI zu 6.2, zu führen.
4 Wenn eine Lastverteilung von 60° entsprechend DIN EN 1996-1-1, Abschnitt 6.1.3 (6) nicht eingehalten ist, darf die Erhöhung der Teilflächenbelastung nach DIN EN 1996-1-1, Abschnitt 6.1.3, nicht angesetzt werden.
5 Für den Nachweis von Mauerwerkswänden unter Erddruck nach DIN EN 1996-1-1 in Verbindung mit DIN EN 1996-1-1/Na ist die Anwendung des NCI zu 6.3.4, Gleichungen (NA.28) und (NA.29), bei Elementmauerwerk mit einem planmäßigen Überbindemaß < 0,4 hu unzulässig.
Anlage 2.2/8
Zu DIN EN 1996-1-2 in Verbindung mit DIN EN 1996-1-2/NA
Für spezielle Ausbildungen (z.B. Anschlüsse, Fugen etc.) sind die Anwendungsregeln nach DIN 4102-4 zu beachten, sofern der Eurocode dazu keine Angaben enthält.
Anlage 2.2/9
Zu DIN EN 1996-3 in Verbindung mit DIN EN 1996-3/NA
Bei Anwendung der vereinfachten Berechnungsmethoden ist Folgendes zu beachten:
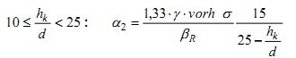
1 Für Wände, die als Endauflager für Decken oder Dächer dienen und durch Wind beansprucht werden, darf der Nachweis der Mindestauflast der Wand vereinfacht wie folgt geführt werden, sofern kein genauerer Nachweis erfolgt.
Nhm> [(3 * qEwd * h2 * b) / 16 * (a - (h / 300))]
Dabei ist:
h die lichte Geschoßhöhe
qEwd der Bemessungswert der Windlast je Flächeneinheit
Nhm der Bemessungswert der kleinsten vertikalen Belastung in Wandhöhenmitte im betrachteten Geschoß
b die Breite, über die die vertikale Belastung wirkt
a die Deckenauflagertiefe
2 Die vereinfachte Berechnungsmethode für Mauerwerkswände unter Erddruck nach DIN EN 1996-3, Abschnitt 4.5, gilt nur für Wanddicken t> 240 mm.
3 Die Anwendung von DIN EN 1996-3/NA, NCI Anhang NA.C für die Ermittlung der größten zulässigen Werte von Ausfachungsflächen ist bei Elementmauerwerk nur zulässig, wenn das Überbindemaß> 0,4 hu beträgt.
4 DIN EN 1996-3/NA, NCI zu Anhang A, wird wie folgt ersetzt:
Der informative Anhang wird mit Ausnahme von A.3 als normativer Anhang übernommen. A.3 ist nicht anzuwenden.
Der Traglastfaktor bei Anwendung von Gleichung (A.1) in Anhang A.2 beträgt:
cA = 0,5 für hef/tef< 18cA = 0,33 für 18 < hef/tef< 21 sowie generell bei Wänden als Endauflager im obersten Geschoss, insbesondere unter Dachdecken
Der Ansatz des Beiwertes cA = 0,5 ist für Mauerwerk mit einer charakteristischen Druckfestigkeit von fk < 1,8 N/mm2 nur bis zu Deckenspannweiten lf = 5,5 m zulässig.
Bei teilaufliegenden Decken muss bei Anwendung des Nachweisverfahrens nach DIN EN 1996-3, Anhang A, die Wanddicke mindestens 36,5 cm betragen.
Anlage 2.2/10
Zu DIN 1053-4
Bei Anwendung der technischen Regel sind zusätzlich DIN EN 1996-1-1/NA/A1, DIN EN 1996-3/NA/A1 und die Anlagen 2.2/7 und 2.2/9 zu berücksichtigen.
Bei Anwendung der technischen Regel ist Folgendes zu beachten:
1. Für die Bestimmung der Druckfestigkeit von Beton in bestehenden Gebäuden kann DIN EN 13791 (einschließlich nationaler Anhang) angewendet werden.
2. Bei der Verwendung von selbstverdichtendem Beton ist die "DAfStb-Richtlinie Selbstverdichtender Beton (SVB-Richtlinie)" (2012-09) anzuwenden.
3. Für massige Bauteile aus Beton gilt die "DAfStb-Richtlinie Massige Bauteile aus Beton" (2010-04).
4. Grundsätzlich ist die Druckfestigkeit zur Einteilung in die geforderte Druckfestigkeitsklasse nach DIN EN 206-1, Abschn. 4.3.1 und zur Bestimmung der charakteristischen Festigkeit nach DIN EN 206-1, Abschnitt 5.5.1.2 an Probekörpern im Alter von 28 Tagen zu bestimmen. Hierbei ist auch im Rahmen der Konformitätskontrolle für die Druckfestigkeit nach DIN EN 206-1, Abschn. 8.2.1 die Konformität an Probekörpern zu beurteilen, die im Alter von 28 Tagen geprüft werden. Von diesem Grundsatz darf nur abgewichen werden, wenn entweder
5. Bei Verwendung von Stahlfaserbeton ist die "DAfStb-Richtlinie Stahlfaserbeton" (2012-11) anzuwenden.
Für die Verwendung von Bauprodukten nach harmonisierten Normen in Beton ist Folgendes zu beachten:
1. Zusatzmittel für Einpressmörtel für Spannglieder nach EN 934- 4:20091:
Es gilt die zugehörige Anwendungsnorm DIN V 20000-101:2002-11. Das Korrosionsverhalten darf alternativ zu DIN V 20000-101, Abschnitt 7, auch nach DIN EN 934-1 nachgewiesen sein.
2. Für die Verwendung von Betonausgangsstoffen nach harmonisierten Normen in Beton nach DIN EN 206-1/DIN 1045-2 gilt Anlage 1.51 der Bauregelliste a Teil 1.
3. Betonglas nach EN 1051-2:20072:
Die Verwendung von Betonglas ist nicht geregelt und bedarf daher einer allgemeinen bauaufsichtlichen Zulassung.
________
1) In Deutschland umgesetzt durch DIN EN 934-4:2009-09.
2) In Deutschland umgesetzt durch DIN EN 1051-2:2007-12.
Für die Verwendung von Bauprodukten nach harmonisierten Normen in Beton ist Folgendes zu beachten:
Zusätzlich zu DIN EN 13369:2004-09, DIN EN 13369/A1:2006-09 und DIN EN 13369 Berichtigung 1:2007-05 ist DIN V 20000- 120:2006-04 zu berücksichtigen. Die Bemessung erfolgt nach DIN EN 1992-1-1 in Verbindung mit DIN EN 1992-1-1/NA.
Als tragende Bauteile dürfen bis auf Weiteres nur Produkte verwendet werden, für die zusätzlich der Übereinstimmungsnachweis nach Bauregelliste a Teil 1 lfd. Nr. 1.6.28 geführt wurde.
Die Angaben von Produkteigenschaften in der CE-Kennzeichnung sind stets als Produktmerkmale zu sehen und ersetzen nicht den Nachweis der Tragfähigkeit entsprechend den Technischen Baubestimmungen im Bauwerk.
1. Betonfertigteile - Maste nach EN 12843:20041:
Mit Ausnahme des Anhangs Za sind die informativen Anhänge und Anhang B nicht anzuwenden.
Für Maste von Windenergieanlagen gilt zusätzlich die Richtlinie für Windenergieanlagen (Schriften des Deutschen Instituts für Bautechnik, Reihe B, Heft 8, Fassung Oktober 2012).
2. Betonfertigteile - Deckenplatten mit Betonstegen nach EN 13224:20112:
Die Anhänge B, C, D und E sind nicht anzuwenden.
Für die in DIN EN 13224:2012-01, 4.3.3.3 genannte Querkraftbewehrung gilt DIN EN 1992-1-1, Abschnitt 9, insbesondere 9.2.2 und 9.3.2.
Für den Nachweis der Längsschubkraft nach DIN EN 13224:2012-01, 4.3.3.5 gilt DIN EN 1992-1-1 in Verbindung mit DIN EN 1992-1-1/NA, Abschnitt 6.2.
Für die Rauigkeit der Oberfläche nach DIN EN 13224:2012-01, 4.3.3.5 gilt DIN EN 1992-1-1 in Verbindung mit DIN EN 1992-1-1/NA, 6.2.5.
3. Betonfertigteile - Stabförmige Bauteile nach EN 13225:20043:
Für den Nachweis der Sicherheit schlanker Träger gegen seitliches Ausweichen nach DIN EN 13225:2004-12, 4.3.3.2 gelten die Regeln nach DIN EN 1992-1-1 in Verbindung mit DIN EN 1992-1-1/NA, Abschnitt 5.9.
Für den Nachweis unter seismischen Bedingungen nach DIN EN 13225:2004-12, 4.3.3.3 gilt DIN 4149.
4. Betonfertigteile - Betonfertiggaragen nach EN 13978-1:2005 4:
Es darf ausschließlich Betonstahl BSt 500 nach DIN 488-1 verwendet werden. Bei Stabdurchmessern 4 mm und 4,5 mm muss abweichend von DIN EN 1992-1-1 einschl. DIN EN 1992-1-1/Na das Verhältnis (ft / fy)k mindestens 1,03 betragen.
Die Mindestmaße nach DIN EN 13978-1:2005-07, 4.3.1.2, müssen der Klasse 1 oder der Klasse 2 entsprechen.
Bei Einzelgaragen darf DIN V 20000-125:2006-12 angewendet werden.
5. Betonfertigteile - Besondere Fertigteile für Dächer nach EN 13693:2004 + A1:20095:
Mit Ausnahme des Anhangs Za sind die informativen Anhänge nicht anzuwenden.
6. Betonfertigteile - Fertigteilplatten mit Ortbetonergänzung nach EN 13747:2005 + A2:20106:
Mit Ausnahme des Anhangs Za sind die informativen Anhänge nicht anzuwenden.
Die Bemessung erfolgt nach DIN EN 1992-1-1 in Verbindung mit DIN EN 1992-1-1/NA, sofern die Decken nicht vorgespannt sind oder nicht mit Gitterträgern ausgeführt werden.
Die Bemessung und Verwendung von vorgespannten Decken mit Ortbetonergänzung und/oder mit Gitterträgern als tragende Bauteile erfolgen nach allgemeiner bauaufsichtlicher Zulassung.
7. Betonfertigteile - Hohlkastenelemente nach EN 14844:2006 + A2:20117:
Mit Ausnahme des Anhangs Za sind die informativen Anhänge nicht anzuwenden.
8. Betonfertigteile - Vorgefertigte Treppen nach EN 14843: 20078:
Mit Ausnahme des Anhangs Za sind die informativen Anhänge nicht anzuwenden.
9. Betonfertigteile - Vorgefertigte Gründungselemente nach EN 14991:20079:
Mit Ausnahme des Anhangs Za sind die informativen Anhänge nicht anzuwenden.
10. Betonfertigteile - Vorgefertigte Wandelemente nach EN 14992:2007 + A1:201210:
Mit Ausnahme des Anhangs Za sind die informativen Anhänge nicht anzuwenden.
11. Betonfertigteile - Fertigteile für Brücken nach EN 15050:2007 + A1:201211:
Mit Ausnahme des Anhangs Za sind die informativen Anhänge nicht anzuwenden.
12. Betonfertigteile - Vorgefertigte Stahlbeton- und Spannbeton Hohlplatten nach EN 1168:2005 + A3:201112:
Mit Ausnahme des Anhangs Za sind die informativen Anhänge nicht anzuwenden.
Die Bemessung erfolgt nach allgemeiner bauaufsichtlicher Zulassung. Hiervon ausgenommen sind vorgefertigte schlaff bewehrte Stahlbeton-Hohlplatten, die dem Normenwerk von DIN 1045 Teile 1 bis 4 (DIN 1045-1:2008-08, DIN 1045- 2:2008-08, DIN 1045-3:2008-08 und DIN 1045-4:2001-07) unter Verwendung von Beton nach Bauregelliste a Teil 1 lfd. Nr. 1.5.9, in Verbindung mit den DIBt Mitteilungen 37 (2005) Heft 3 *, Seiten 102 und 103 entsprechen.
13. Betonfertigteile - Balkendecken mit Zwischenbauteilen - Teil 1: Balken nach EN 15037-1:2008 13:
Mit Ausnahme des Anhangs Za sind die informativen Anhänge nicht anzuwenden.
Für die Verwendung von vorgefertigten Balken mit Gitterträgern oder/und mit Aufbeton als tragende Bauteile erfolgt die Bemessung nach allgemeiner bauaufsichtlicher Zulassung.
Bei der Verwendung von Balken nach EN 15037-1 in Balkendecken mit Zwischenbauteilen nach EN 15037-2, -3 oder -4 ist Anlage 5.38 von Teil II der Liste der Techni-schen Baubestimmungen zu beachten.
14. Betonfertigteile - Stützwandelemente nach EN 15258: 200814:
Mit Ausnahme des Anhangs Za sind die informativen Anhänge nicht anzuwenden.
_________________
1) In Deutschland umgesetzt durch DIN EN 12843:2004-11.
2) In Deutschland umgesetzt durch DIN EN 13224:2012-01.
3) In Deutschland umgesetzt durch DIN EN 13225:2004-12.
4) In Deutschland umgesetzt durch DIN EN 13978-1:2005-07.
5) In Deutschland umgesetzt durch DIN EN 13693:2009-10.
6) In Deutschland umgesetzt durch DIN EN 13747:2010-08.
7) In Deutschland umgesetzt durch DIN EN 14844:2012-02.
8) In Deutschland umgesetzt durch DIN EN 14843:2007-07.
9) In Deutschland umgesetzt durch DIN EN 14991:2007-07.
10) In Deutschland umgesetzt durch DIN EN 14992:2012-09.
11) In Deutschland umgesetzt durch DIN EN 15050:2012-06.
12) In Deutschland umgesetzt durch DIN EN 1168:2011-12.
13) In Deutschland umgesetzt durch DIN EN 15037-1:2008-07.
14) In Deutschland umgesetzt durch DIN EN 15258:2009-05.
*) Die DIBt Mitteilungen sind zu beziehen beim DIBt (www.dibt.de / Service).
Für die Planung, Bemessung und Konstruktion von Brücken gelten die Regelungen gemäß Allgemeinem Rundschreiben Straßenbau Nr. 22/2012 des BMVBS (veröffentlicht im Verkehrsblatt 2012, Heft 24, S. 995).
Anlage 2.3/5
Zu DIN EN 1992-1-2, DIN EN 1993-1-2, DIN EN 1994-1-2, DIN EN 1995-1-2 und DIN EN 1999-1-2
1. Für spezielle Ausbildungen (z.B. Anschlüsse, Fugen etc.) sind die Anwendungsregeln nach DIN 4102-4 oder -22 zu beachten, sofern die Eurocodes dazu keine Angaben enthalten.
2. Nummer 2 ist nicht besetzt.
3. Allgemeine Rechenverfahren zur Bemessung von Bauteilen und Tragwerken unter Brandeinwirkung müssen nach DIN EN 1991-1-2/NA, Anhang CC, vom Ersteller des Rechenprogramms validiert werden. Die zugehörige Dokumentation ist in die bautechnischen Unterlagen aufzunehmen.
Anlage 2.3/6
Zu DIN EN ISO 17660-1 und -2
Bei Anwendung der technischen Regel ist Folgendes zu beachten:
1. DIN EN ISO 17660-1 Berichtigung 1 und DIN EN ISO 17660-2 Berichtigung 1 sind zu berücksichtigen.
2. Zu Abschnitt 7:
2.1 Es sind schweißgeeignete Betonstähle nach DIN 488-1 und -2:2009-08 oder nach allgemeiner bauaufsichtlicher Zulassung zu verwenden.
2.2 Es sind Baustähle nach DIN EN 10025-1:2005-02 oder nichtrostende Stähle nach allgemeiner bauaufsichtlicher Zulassung Z-30.3-6 zu verwenden.
2.3 Es sind Schweißzusätze nach DIN EN 13479:2005-03 zu verwenden.
3. Zu den Abschnitten 8 und 9: Es ist die DVS Richtlinie DVS 1708:2009-09 zu beachten.
Anlage 2.3/8
Zur Richtlinie für Schutz und Instandsetzung von Betonbauteilen
1. Bauaufsichtlich ist die Anwendung der technischen Regel nur für Instandsetzungen von Betonbauteilen, bei denen die Standsicherheit gefährdet ist, gefordert.
2. Die 2. Berichtigung der DAfStb-Richtlinie - Schutz und Instandsetzung von Betonbauteilen - Teil 2, Ausgabe Dezember 2005 ist zu berücksichtigen.
3. Vergussmörtel und Vergussbetone nach der "DAfStb-Richtlinie Herstellung und Verwendung von zementgebundenem Vergussbeton und Vergussmörtel - Ausgabe November 2011" dürfen bei Instandsetzungsmaßnahmen gemäß dem Anwendungsbereich nach dieser Richtlinie (einschl. Berichtigung) verwendet werden.
Die Verwendung von Produkten nach der Normenreihe EN 1504 in Verbindung mit der Instandsetzungsrichtlinie nach der gültigen Fassung ist nicht möglich.
Bei der Verwendung von Produkten nach der Normenreihe EN 1504 ist daher Folgendes zu beachten:
1. Zu EN 1504-21:
Oberflächenschutzsysteme für Beton dürfen für Instandsetzungen von Betonbauteilen, bei denen die Standsicherheit gefährdet ist, nur verwendet werden, wenn für die Produkte nach EN 1504 der Nachweis als Oberflächenschutzsystem gemäß Bauregelliste a Teil 1 lfd. Nr. 1.7.5 geführt wurde.
2. Zu EN 1504-32:
Die Verwendung von Instandsetzungsmörtel und -beton für Instandsetzungen von Betonbauteilen, bei denen die Standsicherheit gefährdet ist, ist noch nicht geregelt und bedarf derzeit einer allgemeinen bauaufsichtlichen Zulassung.
3. Zu EN 1504-43:
Die Verwendung von Klebstoffen für das Kleben von Stahlplatten oder sonstigen geeigneten Werkstoffen auf die Oberfläche oder von Festbeton auf Festbeton oder von Frischbeton auf Festbeton oder in Schlitze eines Betontragwerkes für Verstärkungszwecke ist nicht geregelt und bedarf daher einer allgemeinen bauaufsichtlichen Zulassung.
4. Zu EN 1504-5 4:
Rissfüllstoffe für kraftschlüssiges Füllen und Rissfüllstoffe für dehnfähiges Füllen von Rissen, Hohlräumen und Fehlstellen von Betonbauteilen dürfen für Instandsetzungen von Betonbauteilen, bei denen die Standsicherheit gefährdet ist, nur verwendet werden, wenn für die Produkte nach EN 1504 die besonderen Eigenschaften gemäß Bauregelliste a Teil 1 lfd. Nr. 1.7.6 nachgewiesen wurden.
Die Verwendung von Rissfüllstoffen für quellfähiges Füllen von Rissen, Hohlräumen und Fehlstellen von Betonbauteilen für Instandsetzungen von Betonbauteilen, bei denen die Standsicherheit gefährdet ist, ist nicht geregelt und bedarf daher einer allgemeinen bauaufsichtlichen Zulassung.
5. Zu EN 1504-6:2006-085:
Die Verwendung von Mörtel nach EN 1504-6 zur Verankerung von Bewehrungsstäben in Betonbauteilen, an die Anforderungen an die Standsicherheit gestellt werden, ist nicht geregelt und bedarf daher einer allgemeinen bauaufsichtlichen Zulassung.
6. Zu EN 1504-7:2006-076:
Die Verwendung von Beschichtungsmaterial für Korrosionsschutzbeschichtungen von Betonstahl nach EN 1504-7 für Instandsetzungen von Betonbauteilen, bei denen die Standsicherheit gefährdet ist, ist nicht geregelt und bedarf daher einer allgemeinen bauaufsichtlichen Zulassung.
________
1) In Deutschland umgesetzt durch DIN EN 1504-2:2005-01.
2) In Deutschland umgesetzt durch DIN EN 1504-3:2006-03.
3) In Deutschland umgesetzt durch DIN EN 1504-4:2005-02.
4) In Deutschland umgesetzt durch DIN EN 1504-5:2005-03.
5) In Deutschland umgesetzt durch DIN EN 1504-6:2006-11.
6) In Deutschland umgesetzt durch DIN EN 1504-7:2006-11.
Anlage 2.3/10
Zu DIN 4223-4
Bei der Anwendung ist Abschnitt 6 von DIN 4223-1:2003-12 zu beachten.
Anlage 2.3/12
Zu DIN 1045-3
DIN 1045-3 Berichtigung 1:2013-07 ist zu berücksichtigen.
Anlage 2.3/BW
Zu den technischen Regeln nach 2.3.1, 2.3.2 und 2.3.3
Bei Anwendung der technischen Regeln ist Folgendes zu beachten:
Die technischen Regeln sind auch für Kranbahnen aus Stahlbeton oder Spannbeton anzuwenden, die Lasten auf Gebäude übertragen.
Für die Verwendung von Bauprodukten nach harmonisierten Normen in Stahlbauten ist Folgendes zu beachten:
1. Bauprodukt nach EN 103401:
Für die Verwendung der Stahlgusssorten 1.0449, 1.0455, 1.1131 und 1.6220 gilt DIN EN 1993-1-8/NA:2010-12. Für die Verwendung der übrigen in EN 10340:2007 genannten Stahlgusssorten in tragenden Bauteilen ist eine allgemeine bauaufsichtliche Zulassung erforderlich.
2. Bauprodukt nach EN 103432:
Für die Verwendung der Vergütungsstahlsorten 1.0501, 1.0503, 1.1181, 1.1180,1.1191 und 1.1201 im normalgeglühten Zustand (+N) gilt DIN EN 1993-1-8/NA:2010-12. Für die Verwendung der übrigen in EN 10343:2009 genannten Vergütungsstahlsorten in tragenden Bauteilen ist eine allgemeine bauaufsichtliche Zulassung erforderlich.
________
1) In Deutschland umgesetzt durch DIN EN 10340:2008-01 und DIN EN 10340 Berichtigung 1:2008-11.
2) In Deutschland umgesetzt durch DIN EN 10343:2009-07.
Anlage 2.4/2
Zu DIN EN 1090-2
Bei Anwendung der technischen Regel ist Folgendes zu beachten:
Die Zuordnung von Bauwerken, Tragwerken und Bauteilen zu den in DIN EN 1090-2, Abschnitt 4.1.2 genannten Ausführungsklassen EXC 1 bis EXC 4 wird nachfolgend erläutert. Dabei ist zu beachten,
| Beanspruchungsart | Ausführungsklasse nach DIN EN 1090-2 | Herstellerqualifikation nach DIN 18800-7 |
| statisch oder quasi-statisch (vorwiegend ruhend) |
EXC 1 | mindestens Klasse B |
| EXC 2 | mindestens Klasse B, C oder D unter Beachtung der zu den Klassen angegebenen Geltungsbereiche | |
| EXC 3 EXC 4 |
mindestens Klasse D | |
| ermüdungsrelevant (nicht vorwiegend ruhend) |
EXC 1 EXC 2 EXC 3 EXC 4 |
Klasse E |
Ausführungsklasse EXC 1:
In diese Ausführungsklasse fallen vorwiegend ruhend beanspruchte Bauteile oder Tragwerke aus Stahl bis zur Festigkeitsklasse S275, für die mindestens einer der folgenden Punkte zutrifft:
Die Ausführungsklasse EXC 1 gilt auch für andere vergleichbare Bauwerke, Tragwerke und Bauteile.
Ausführungsklasse EXC 2:
In diese Ausführungsklasse fallen vorwiegend ruhend und nicht vorwiegend ruhend beanspruchte Bauteile oder Tragwerke aus Stahl bis zur Festigkeitsklasse S700, die nicht den Ausführungsklassen EXC 1, EXC 3 und EXC 4 zuzuordnen sind.
Ausführungsklasse EXC 3:
In diese Ausführungsklasse fallen vorwiegend ruhend und nicht vorwiegend ruhend beanspruchte Bauteile oder Tragwerke aus Stahl bis zur Festigkeitsklasse S700, für die mindestens einer der folgenden Punkte zutrifft:
Die Ausführungsklasse EXC 3 gilt auch für andere vergleichbare Bauwerke, Tragwerke und Bauteile.
Ausführungsklasse EXC 4:
In diese Ausführungsklasse fallen alle Bauteile oder Tragwerke der Ausführungsklasse EXC 3 mit extremen Versagensfolgen für Menschen und Umwelt, wie z.B.:
Anlage 2.4/3
Zu DIN EN 1090-3
Bei Anwendung der technischen Regel ist zu beachten:
| Ausführungsklasse nach DIN EN 1090-3 | Herstellerqualifikation nach DIN V 4113-3 |
| EXC 1 | mindestens Klasse B |
| EXC 2 EXC 3 EXC 4 |
mindestens Klasse C |
§ 3 der Verordnung des Umweltministeriums über Anforderungen an Hersteller von Bauprodukten und Anwender von Bauarten (Hersteller- und Anwenderverordnung LBO - LBOHAVO) vom 12. November 2001 (GBl. S. 630), zuletzt geändert durch Artikel 128 der Verordnung vom 25. Janu-ar 2012 (GBl. S. 65, 81), bleibt unberührt.
Anlage 2.4/4
Zu den technischen Regeln nach 2.4.4 und 2.4.5
Bei Anwendung der technischen Regel ist die Anpassungsrichtlinie Stahlbau, Fassung Oktober 1998 (DIBt Mitteilungen, Sonderheft 11/2 1) in Verbindung mit den Berichtigungen zur Anpassungsrichtlinie Stahlbau (DIBt Mitteilungen, Heft 6/1999, S. 201) sowie der Änderung und Ergänzung der Anpassungsrichtlinie Stahlbau, Ausgabe Dezember 2001, (DIBt Mitteilungen, Heft 1/2002, S. 14) zu beachten.
_______
1) Die DIBt Mitteilungen sind zu beziehen beim DIBt (www.dibt.de / Service).
Anlage 2.4/5
Zu DIN 18807 Teil 3
Bei Anwendung der technischen Regel ist Folgendes zu beachten:
Auf folgende Druckfehler wird hingewiesen:
1. Zu Abschnitt 3.3.3.1:
Im zweiten Absatz muss es anstelle von "... 3.3.3.2 Aufzählung a) multiplizierten ..." heißen
"....3.3.3.2 Punkt 1 multiplizierten ...".
Im dritten Absatz muss es anstelle von "...3.3.3.2 Aufzählung b) nicht ..." heißen
"...3.3.3.2 Punkt 2 nicht "
2. Zu Abschnitt 3.6.1.5 mit Tabelle 4:
In der Tabellenüberschrift muss es heißen "Einzellasten zul F in kN je mm Stahlkerndicke und je Rippe für ".
Anlage 2.4/6
Zu DIN 18807-3 und -9
Bei Anwendung der technischen Regeln ist Folgendes zu beachten:
Die Normen gelten auch für Wellprofile, wobei die Wellenhöhe der Profilhöhe h und die Wellenlänge der Rippenbreite bR nach DIN 18807-1, Bild 3 und Bild 4, bzw. Anhang a von DIN 18807-9 entspricht, siehe Bild.
DIN 18807-1, Abschnitt 4, bzw. DIN 18807-6, Abschnitt 3, gelten jedoch nicht für Wellprofile. Die Beanspruchbarkeiten von Wellprofilen sind nach DIN 18807-2 oder DIN 18807-7 zu ermitteln; lediglich das Grenzbiegemoment im Feldbereich von Einfeldträgern und Durchlaufträgern darf auch nach der Elastizitätstheorie ermittelt werden.

Bild
Bei Anwendung der technischen Regeln ist Folgendes zu beachten:
Sofern in Normen bei der Ausführung von Stahl- oder Aluminiumtragwerken oder Stahl- oder Aluminiumbauteilen auf DIN 18800-7 bzw. auf DIN V 4113-3 verwiesen wird, gilt dafür DIN EN 1090-2: 2011-10 bzw. DIN EN 1090-3:2008-09.
Für die Verwendung von vorgefertigten tragenden Bauteilen und Bausätzen aus Stahl und Aluminium nach EN 1090-1:2009+A1:20111) ist Folgendes zu beachten:
1. Werden Tragfähigkeitsmerkmale von Bauteilen oder Bau-sätzen in Form von rechnerisch ermittelten Tragfähigkeitswerten oder kompletten statischen Berechnungen im Rahmen der CE-Kennzeichnung deklariert, so ist bei prüfpflichtigen Bauvorhaben die Vollständigkeit und Richtigkeit der Tragsicherheitsnachweise im Rahmen der nach der Landesbauordnung ( § 17 LBOVVO) geforderten Prüfung der Standsicherheitsnachweise der baulichen Anlage / Gebäude zu bestätigen.
2. Für die Verwendung von Bauteilen und Bausätzen aus nichtrostenden Stählen sowie für die Verwendung von Bauteilen und Bausätzen, deren Tragfähigkeitsmerkmale auf der Grundlage von Versuchen ermittelt werden, ist eine allgemeine bauaufsichtliche Zulassung oder soweit vorgesehen ein allgemeines bauaufsichtliches Prüfzeugnis erforderlich.
_______
1) In Deutschland umgesetzt durch DIN EN 1090-1:2012-02.
Anlage 2.4/BW
Zu DIN EN 1993-6 in Verbindung mit DIN EN 1993-6/NA
Bei Anwendung der technischen Regel ist Folgendes zu beachten:
Die technische Regel ist für Kranbahnen anzuwenden, die Lasten auf Gebäude übertragen.
Für die Verwendung von Bauprodukten nach harmonisierten Normen in Holzbauwerken ist Folgendes zu beachten:
1. Holzwerkstoffe nach EN 13986:20041:
Es gilt die zugehörige Anwendungsnorm DIN 20000-1:2013-08.
2. Vorgefertigte tragende Bauteile mit Nagelplattenverbindungen nach EN 14250:20102:
Es gilt die zugehörige Anwendungsnorm DIN 20000-4:2013-08.
3. Brettschichtholz nach EN 14080:20053:
Die Verwendung dieses Brettschichtholzes ist bisher nicht geregelt und bedarf derzeit noch einer allgemeinen bauaufsichtlichen Zulassung.
4. Furnierschichtholz für tragende Zwecke nach EN 14374:2004 4:
Die Verwendung dieses Furnierschichtholzes ist bisher nicht geregelt und bedarf derzeit noch einer allgemeinen bauaufsichtlichen Zulassung.
5. Bauholz nach EN 14081-1:2005+A1:20115:
Es gilt die zugehörige Anwendungsnorm DIN V 20000-5:2012-03.
6. Stiftförmige Verbindungsmittel nach EN 14592:2008+A1:20126:
Es gilt die zugehörige Anwendungsnorm DIN 20000-6:2013-08. Sie gilt auch für gehärtete Schrauben und unabhängig von der Überzugsart nach EN 14592:2008 + A1:2012, Abschnitt 3.12.
Der charakteristische Wert des Ausziehparameters für profilierte Nägel bezieht sich auf die profilierte Länge ohne Nagelspitze. Für die Eindringtiefe tpen nach DIN EN 1995-1-1:2010-12, Gleichung (8.23a), ist der profilierte Schaftteil im Bauteil daher ohne die Nagelspitze anzusetzen.
Anmerkung: Die üblichen Nagelspitzenlängen liegen zwischen 1,0 · d und 1,5 · d. Die maximal mögliche Nagelspitzenlänge beträgt 2,5 · d.
7. Nicht stiftförmige Verbindungsmittel nach EN 14545:20087:
Es gilt die zugehörige Anwendungsnorm DIN 20000-6:2013-08.
Anmerkung: Für Bauteile mit Nagelplattenverbindungen mit einer Gesamtlänge unter 12 m wird der Nachweis von Transport- und Montagezuständen nicht maßgebend und kann als erfüllt angesehen werden.
_______________
1) In Deutschland umgesetzt durch DIN EN 13986:2005-03.
2) In Deutschland umgesetzt durch DIN EN 14250:2010-05.
3) In Deutschland umgesetzt durch DIN EN 14080:2005-09.
4) In Deutschland umgesetzt durch DIN EN 14374:2005-02.
5) In Deutschland umgesetzt durch DIN EN 14081-1:2011-05.
6) In Deutschland umgesetzt durch DIN EN 14592:2012-07.
7) In Deutschland umgesetzt durch DIN EN 14545:2009-02.
Bei Anwendung der technischen Regel ist Folgendes zu beachten:
Holzbauteile mit geklebten tragenden Verbindungen sowie Brettsperrholz dürfen nur verwendet werden, wenn diese Verbindungen mit Klebstoffen hergestellt worden sind, die als Klebstoffe des Typs I nach DIN EN 301:2006-09 klassifiziert sind. Dies gilt nicht für die Verbindung der Komponenten in Holzwerkstoffen.
Für die Herstellung geklebter tragender Verbindungen von Holzbauteilen gilt Satz 1 sinngemäß.
Für die Verwendung von Lagern nach DIN EN 1337 ist Folgendes zu beachten:
1. Gleitteile sind in DIN EN 1337-2:2004-07 geregelt.
2. Die Anschlussbauteile von Brückenlagern gemäß DIN EN 1337-1:2001-02 Tabelle 1 sind nicht geregelt und bedürfen daher einer allgemeinen bauaufsichtlichen Zulassung.
3. Für DIN EN 1337-3:2005-07 gilt:
Für die Verwendung in Deutschland sind nur Chloroprenkautschuk (CR)-Lager erlaubt.
4. Für DIN EN 1337-5:2005-07 gilt:
Für die Verwendung in Deutschland sind nur topfgleitlager mit einem akkumulierten Gleitweg von 1.000 m bzw. 2.000 m gemäß Anhang E und somit nur die Innendichtungen A.1.1, A.1.2 und A.1.3 gemäß Anhang a erlaubt.
Für die Verwendung von Unterdecken nach EN 13964 + A1:20061 ist Folgendes zu beachten:
1. Der Nachweis der gesundheitlichen Unbedenklichkeit ist durch allgemeine bauaufsichtliche Zulassung zu führen. Ausgenommen sind Unterdecken, die aus Unterkonstruktionen aus Metall oder unbehandeltem Holz in Verbindung mit Decklagen aus Metallkassetten, unbehandeltem Holz, Holzwerkstoffen nach EN 13986 gemäß Bauregelliste B Teil 1 Abschnitt 1.3.2.1 und Gipskartonplatten sowie Dämmstoffen gem. Bauregelliste B Teil 1 Abschnitte 1.5.1 bis 1.5.10 bestehen.
2. Sind Anforderungen an den Schallschutz zu erfüllen, ist der Nachweis des Schallschutzes nach DIN 4109 zu führen. Dabei sind die gemäß DIN 4109 bzw. Beiblatt 1 zu DIN 4109 ermittelten Rechenwerte in Ansatz zu bringen.
3. Der Nachweis des Wärmeschutzes nach DIN 4108 Teil 2 und 3 und der Nachweis des energieeinsparenden Wärmeschutzes sind unter Ansatz der Bemessungswerte gemäß DIN V 4108-4 zu führen. Im Bausatz verwendete Dämmstoffe müssen die Anforderungen des Anwendungsgebietes DI nach DIN 4108-10 erfüllen.
________
1) In Deutschland umgesetzt durch DIN EN 13964:2007-02.
Anlage 2.6/3
Zu DIN 18516-1
Bei Anwendung der technischen Regel ist Folgendes zu beachten:
1. Zu Abschnitt 7.1.1, Absatz a):
Für Bekleidungen dürfen auch nichtrostende Stähle der Korrosionswiderstandsklasse II verwendet werden.
2. Auf folgende Druckfehlerberichtigung wird hingewiesen:
- Zu Anhang A, Abschnitt a 3.1:
Im 4. Absatz muss es anstelle von "... nach Bild A.1.b) ..." richtig " ... nach Bild A.1.c) ..." und anstelle von " ... nach Bild A. 1.c) ..." richtig " ... nach Bild A.1.d) ..." heißen.
- Zu Anhang A, Bild A.4:
Es muss heißen: anstelle von "vorh. FQ, Ed" richtig "vorh. FQ", anstelle von "vorh. FZ, Ed" richtig "vorh. FZ", anstelle von "zul. FQ, Rd" richtig "zul. FQ", anstelle von "zul. FZ, Rd" richtig "zul. FZ", anstelle von "max. FQ, Rd" richtig "max. zul. FQ" und anstelle von "max. FZ, Rd" richtig "max. zul. FZ"
Anlage 2.6/4
Zu DIN 18516-1
Bei Anwendung der technischen Regel sind folgende besondere brandschutztechnische Vorkehrungen bei hinterlüfteten Außenwandbekleidungen, die geschossübergreifende Hohlräume haben, oder über Brandwände hinweggeführt werden, zu beachten:
1. Anwendungsbereich
Bei hinterlüfteten Außenwandbekleidungen, die
sind nach § 27 Abs. 4 und 5 LBO und § 7 Abs. 7 LBOAVO besondere Vorkehrungen gegen die Brandausbreitung zu treffen. Für Gebäude der Gebäudeklassen 1 bis 3 nach § 2 Abs. 4 LBO sind die Ziffern 3 und 5 nicht anzuwenden; horizontale Brandsperren nach Ziffer 4 sind bei diesen Gebäuden nur dort erforderlich, wo Nutzungseinheiten horizontal getrennt werden.
Nachfolgend werden mögliche Vorkehrungen beschrieben.
2. Begriffe
2.1 Hinterlüftete Außenwandbekleidungen bestehen aus
2.2 Hinterlüftungsspalt ist der Luftraum zwischen der Bekleidung und der Wärmedämmung oder zwischen der Bekleidung und der Wand, soweit keine außenliegende Wärmedämmung vorgesehen ist.
2.3 Brandsperren dienen der Begrenzung der Brandausbreitung im Hinterlüftungsspalt über eine ausreichend lange Zeit durch Unterbrechung oder partielle Reduzierung des freien Querschnitts des Hinterlüftungsspalts.
3. Dämmstoffe, Unterkonstruktionen, Hinterlüftungsspalt
3.1 Abweichend von § 5 Abs. 2 LBOAVO muss die Wärmedämmung nichtbrennbar sein. Die Dämmstoffe sind entweder mechanisch oder mit einem Klebemörtel, der schwerentflammbar ist oder einen Anteil von nicht mehr als 7,5 % an organischen Bestandteilen aufweist, auf dem Untergrund zu befestigen. Stabförmige Unterkonstruktionen aus Holz sind zulässig.
3.2 Die Tiefe des Hinterlüftungsspaltes darf nicht größer sein als:
4. Horizontale Brandsperren
4.1 In jedem zweiten Geschoss sind horizontale Brandsperren im Hinterlüftungsspalt anzuordnen. Die Brandsperren sind zwischen der Wand und der Bekleidung einzubauen. Bei einer außenliegenden Wärmedämmung genügt der Einbau zwischen dem Dämmstoff und der Bekleidung, wenn der Dämmstoff im Brandfall formstabil ist und einen Schmelzpunkt von mehr als 1.000 °C aufweist.
4.2 Unterkonstruktionen aus brennbaren Baustoffen müssen im Bereich der horizontalen Brandsperren vollständig unterbrochen werden.
4.3 Die Größe der Öffnungen in den horizontalen Brandsperren ist insgesamt auf 100 cm2/lfm Wand zu begrenzen. Die Öffnungen können als gleichmäßig verteilte Einzelöffnungen oder als durchgehender Spalt angeordnet werden.
4.4 Die horizontalen Brandsperren müssen über mindestens 30 Minuten hinreichend formstabil sein (z.B. aus Stahlblech mit einer Dicke von d> 1 mm). Sie sind in der Außenwand in Abständen von höchstens 0,6 m zu verankern. Die Stahlbleche sind an den Stößen mindestens 30 mm zu überlappen.
4.5 Laibungen von Außenwandöffnungen (Türen, Fenster) dürfen integraler Bestandteil von Brandsperren sein, soweit der Hinterlüftungsspalt durch Bekleidung der Laibungen und Stürze der Außenwandöffnungen verschlossen ist; die Bekleidung muss den Anforderungen nach Ziffer 4.4 entsprechen, Unterkonstruktionen und eine ggf. vorhandene Wärmedämmung müssen aus nichtbrennbaren Baustoffen bestehen.
4.6 Horizontale Brandsperren sind nicht erforderlich
5. Vertikale Brandsperren im Bereich von Brandwänden
Der Hinterlüftungsspalt darf über die Brandwand nicht hinweggeführt werden. Der Hinterlüftungsspalt ist mindestens in Brandwanddicke mit einem im Brandfall formstabilen Dämmstoff mit einem Schmelzpunkt von mehr als 1.000 °C auszufüllen.
§ 7 Abs. 7 LBOAVO bleibt unberührt.
Anlage 2.6/5
Zu DIN 18516-3
Bei Anwendung der technischen Regel ist Folgendes zu beachten:
1. Zu Abschnitt 4.4:
Auf folgende Druckfehler im 2. Absatz wird hingewiesen:
Im 1. Satz muss es richtig lauten:
"...aexp,2 = 0,5 ..."; der 2.Satz ist zu streichen
2. Zu Abschnitt 6.3.5:
Auf folgende Druckfehler im 3. Absatz wird hingewiesen:
Der 3. Absatz muss richtig lauten: "Beim Nachweis der Pressung unter dem Ankersteg darf bei Verankerungen in Beton der 3-fache Wert der einaxialen Druckfestigkeit des Verankerungsmörtels angesetzt werden. Bei Verankerungen in Mauerwerk darf das 1,5-fache des kleineren Wertes aus einaxialer Druckfestigkeit des Verankerungsmörtels und Steindruckfestigkeit angesetzt werden."
3. Zu Abschnitt 7.2:
Auf folgende Druckfehler wird im 1. Absatz hingewiesen:
Nach dem 2. Satz muss folgender Satz eingefügt werden: "Dieser Faktor ist nur bei Lastkomponenten zu berücksichtigen, die in den nachzuweisenden Platten Biegespannungen hervorrufen."
Anlage 2.6/7 E
Zu den technischen Regeln nach 2.6.6 und 2.7.7
1. Verwendbare Bauprodukte aus Glas
1.1 Basiserzeugnisse aus Kalk-Natronsilicatglas nach EN 572-9:20041)
Im Anwendungsbereich der genannten technischen Regeln sind die Basiserzeugnisse aus Kalk-Natronsilicatglas mit den Bezeichnungen Floatglas, poliertes Drahtglas, Ornamentglas und Drahtornamentglas nach Bauregelliste a Teil 1 lfd. Nr. 11.10 zu verwenden.
1.2 Beschichtetes Glas nach EN 1096-4:20042)
Es dürfen nur beschichtete Bauprodukte aus Glas verwendet werden, die den Bestimmungen von Bauregelliste a Teil 1 lfd. Nr. 11.11 entsprechen.
1.3 Teilvorgespanntes Kalknatronglas nach EN 1863-2:20043)
Teilvorgespanntes Kalknatronglas ohne allgemeine bauaufsichtliche Zulassung darf nur verwendet werden, wenn bei der Bemessung die für Floatglas geltende charakteristische Biegezugfestigkeit angesetzt wird oder es zur Herstellung einer der nachfolgend genannten Verglasungen verwendet wird:
Andere Verwendungen von teilvorgespanntem Glas gelten als nicht geregelte Bauart.
1.4 Thermisch vorgespanntes Kalknatron-Einscheibensicherheitsglas nach EN 12150-2:20044)
Thermisch vorgespanntes Kalknatron-Einscheibensicherheitsglas muss den Bestimmungen der Bauregelliste a Teil 1 lfd. Nr. 11.12 entsprechen.
1.5 Heißgelagertes thermisch vorgespanntes Kalknatron-Einscheibensicherheitsglas nach EN 14179-2:20055)
Das heißgelagerte thermisch vorgespannte Kalknatron-Einscheibensicherheitsglas nach DIN EN 14179-2:2005-08 darf nur dann wie thermisch vorgespanntes Kalknatron-Einscheibensicherheitsglas verwendet werden, sofern die Biegezugfestigkeit nach der Bauregelliste a Teil 1 lfd. Nr. 11.12 deklariert ist.
1.6 Verbundglas und Verbund-Sicherheitsglas nach EN 14449:20056)
Als Verbund-Sicherheitsglas im Sinne der genannten technischen Regeln darf nur Verbund-Sicherheitsglas angesehen werden, das den Bedingungen der Bauregelliste a Teil 1 lfd. Nr. 11.14 entspricht. Verbundglas muss der lfd. Nr. 11.15 der Bauregelliste a Teil 1 entsprechen.
1.7 Mehrscheiben-Isolierglas nach EN 1279-5:2005+A2:20107)
Für die Verwendung nach den genannten technischen Regeln muss das Mehrscheiben-Isolierglas den Bedingungen der Bauregelliste a Teil 1 lfd. Nr. 11.16 entsprechen.
_______
1) In Deutschland umgesetzt durch DIN EN 572-9:2005-01
2) In Deutschland umgesetzt durch DIN EN 1096-4:2005-01
3) In Deutschland umgesetzt durch DIN EN 1863-2:2005-01
4) In Deutschland umgesetzt durch DIN EN 12150-2:2005-01
5) In Deutschland umgesetzt durch DIN EN 14179-2:2005-08
6) In Deutschland umgesetzt durch DIN EN 14449:2005-07
7) In Deutschland umgesetzt durch DIN EN 1279-5:2010-11
Anlage 2.6/8
Zu den technischen Regeln nach 2.6.6 und 2.7.7
Für Verwendungen, in denen nach den technischen Regeln heißgelagertes Einscheibensicherheitsglas (ESG-H) gefordert wird, ist heißgelagertes thermisch vorgespanntes Kalknatron-Einscheibensicherheitsglas (ESG-H) nach den Bedingungen der Bauregelliste a Teil 1 lfd. Nr. 11.13, Anlage 11.11 einzusetzen.
Anlage 2.6/9
Zu DIN 18008-2
Bei Anwendung der technischen Regel ist Folgendes zu beachten:
1. DIN 18008-2 Berichtigung 1:2011-04 ist zu berücksichti-gen.
2. Die technische Regel braucht nicht angewendet zu werden für:
Anlage 2.7/1
Zu DIN EN 13084-1
Bei Anwendung der Technischen Regel ist Folgendes zu beachten:
Die Ermittlung der Einwirkungen aus Erdbeben erfolgt noch nicht nach EN 1998-6 sondern nach DIN 4149.
Anlage 2.7/2
Zu DIN EN 13084-2
Bei Anwendung der Technischen Regel ist Folgendes zu beachten:
1. Es sind die empfohlenen Teilsicherheitsbeiwerte zu verwenden.
2. Anstatt EN 206-1 ist stets DIN EN 206-1 in Verbindung mit DIN 1045-2 in Bezug zu nehmen.
3. Betonstahl und Betonstahlprodukte müssen DIN 488-1 bis 6 entsprechen.
Anlage 2.7/3
Zu DIN EN 13084-4
Bei Anwendung der Technischen Regel ist Folgendes zu beachten:
1. Die informativen Anhänge sind nicht anzuwenden.
2. Fußnote c von Tabelle 3 ist nicht anzuwenden; als charakteristischer Wert der Biegezugfestigkeit für die Mauerwerkslasse a dürfen nur 2 N/mm2 angesetzt werden.
3. Als Teilsicherheitsbeiwert für Zugbeanspruchung ist abweichend von Tabelle 6N γM = 1,7 anzusetzen.
4. Abschnitt 6.3.3.2. 1. Absatz, Satz 1, ist nicht anzuwenden.
Anlage 2.7/4
Zu DIN V 4133
Bei Anwendung der Technischen Regel ist Folgendes zu beachten:
1. Zusätzlich gilt DIN EN 13084-1 in Verbindung mit Anlage 2.7/1.
2. Für den Nachweis der Gründung ist anstatt Abschnitt 8.2.3, 1. Absatz der Abschnitt 5.4. von DIN EN 13084-1 zu verwenden.
Anlage 2.7/5
Zu DIN EN 13084-6:
Bei Anwendung der Technischen Regel ist Folgendes zu beachten:
1. Anstelle von EN 1993-3-2 und EN 1993-1-6 sind noch die diesbezüglichen Regelungen von DIN V 4133:2007-07 anzuwenden.
2. Zusätzlich gilt DIN EN 13084-1 in Verbindung mit Anlage 2.7/1.
Anlage 2.7/6
Zu DIN EN 13084-8
Bei Anwendung der Technischen Regel ist Folgendes zu beachten:
1. Anstelle von EN 1993-3-1 und EN 1993-3-2 sind noch die diesbezüglichen Regelungen von DIN V 4133:2007-07 bzw. DIN 4131:1991-11 anzuwenden.
2. Zusätzlich gilt DIN EN 13084-1 in Verbindung mit Anlage 2.7/1.
Anlage 2.7/7
Zu DIN EN 13782
Bei Anwendung der technischen Regel ist Folgendes zu beachten:
1.1 Abschnitt 1 erhält folgende Fassung:
"Der Anwendungsbereich wird beschränkt auf Zelte, die Fliegende Bauten nach § 69 LBO sind."
1.2 Für die Anwendung der Norm sind die Auslegungen, Stand: März 2010, zu beachten, die vom Arbeitsausschuss Fliegende Bauten Na 005-11-15 Aa (http://www.nabau.din.de) veröffentlicht wurden.
2.1 Bei undatierten Verweisen auf Normen der Reihe ENV 1991 bis ENV 1997 sind die entsprechenden technischen Regeln dieser Liste der Technischen Baubestimmungen anzuwenden.
2.2 Bei Verweisen auf "relevante Europäische Normen" bzw. "EN-Normen" sind zutreffende technische Regeln der aktuellen Ausgabe der Bauregelliste und dieser Liste der Technischen Baubestimmungen anzuwenden.
3.1 Abschnitt 3.1 erhält folgende Fassung:
"Zelte sind Anlagen, deren Hülle aus Planen (textile Flächengebilde, Folien) oder teilweise auch aus festen Bauteilen besteht."
3.2 Die Abschnitte 3.1.3 und 3.2 sind von der Einführung ausgenommen.
4.1 In Abschnitt 5.1.2, 4. Spiegelstrich, ist nur der erste Satz von der Einführung erfasst.
4.2 Abschnitt 5.2.2, letzter Satz, ist von der Einführung ausgenommen.
5. Zu Abschnitt 6.4.2.2:
Für den Standsicherheitsnachweis von Zelten, die als Fliegende Bauten auch für Aufstellorte mit vb > 28 m/s bemessen werden sollen, sind die Geschwindigkeitsdrücke nach Tabelle NA.B.3 oder Abschnitt NA.B.3.3 der Norm DIN EN 1991-1-4/NA: 2010-12 anzuwenden. Diese dürfen mit dem Faktor 0,7 abgemindert werden. Andere Abminderungen der Geschwindigkeitsdrücke dürfen nicht in Ansatz gebracht werden.
6. Zu Abschnitt 8:
In Abschnitt 8.1 ist Satz 3 von der Einführung ausgenommen. Die Tragfähigkeit von Gewichts- und Stabankern darf nach den Vorgaben der Abschnitte 8.2 und 8.3 bemessen werden.
7. Die Abschnitte 10 bis 15 und die Anhänge A, C und D sind von der Einführung ausgenommen.
Anlage 2.7/8
Zu DIN EN 13814
Bei Anwendung der technischen Regel ist Folgendes zu beachten:
1.1 Abschnitt 1 erhält folgende Fassung:
"Diese Norm ist anzuwenden für Fliegende Bauten nach § 69 LBO, z.B. Karusselle, Schaukeln, Boote, Riesenräder, Achterbahnen, Rutschen, Tribünen, textile und Membrankonstruktionen, Buden, Bühnen, Schaugeschäfte und Aufbauten für artistische Vorstellungen in der Luft. Sie gilt auch für die Bemessung entsprechender baulicher Anlagen, die in Vergnügungsparks für einen längeren Zeitraum aufgestellt werden, mit Ausnahme der Windlastansätze sowie der Bemessung der Gründung. Diese Norm gilt nicht für Zelte. Ortsfeste Tribünen, Baustelleneinrichtungen, Baugerüste und versetzbare landwirtschaftliche Konstruktionen gehören nicht zu den Fliegenden Bauten."
1.2 Für die Anwendung der Norm sind die Auslegungen, Stand: März 2010, zu beachten, die vom Arbeitsausschuss Fliegende Bauten Na 005-11-15 Aa (http://www.nabau.din.de) veröffentlicht wurden.
2.1 Bei undatierten Verweisen auf Normen der Reihe ENV 1991 bis ENV 1997 sind die entsprechenden technischen Regeln dieser Liste der Technischen Baubestimmungen anzuwenden.
2.2 Bei Verweisen auf "relevante Europäische Normen" bzw. "EN-Normen" sind zutreffende technische Regeln der aktuellen Ausgabe der Bauregelliste und dieser Liste der Technischen Baubestimmungen anzuwenden.
3. Die Abschnitte 3.1 bis 3.7 sind von der Einführung ausgenommen.
4.1 Zu Abschnitt 5.2:
Bei der Auswahl der Werkstoffe sind die in der Landesbauordnung und in den Vorschriften aufgrund der Landesbauordnung vorgegebenen Verwendungsbedingungen zu beachten.
4.2 Zu Abschnitt 5.3.3.1.2.2:
Für Tribünen ohne feste Sitzplätze und deren Zugänge und Podeste sind vertikale Verkehrslasten mit qk = 7,5 kN/m2 anzunehmen.
4.3 Zu Abschnitt 5.3.3.4:
Bei Anwendung von Tabelle 1 ist der durch erforderliche Schutz- und Verstärkungsmaßnahmen ertüchtigte Fliegende Bau im Zustand außer Betrieb für die höchste vorgesehene Windzone mit den Geschwindigkeitsdrücken nach Tabelle NA.B.3 oder Abschnitt NA.B.3.3 der Norm DIN EN 1991-1-4/NA:2010-12 zu bemessen. Diese dürfen mit dem Faktor 0,7 abgemindert werden. Andere Abminderungen der Geschwindigkeitsdrücke dürfen nicht in Ansatz gebracht werden.
Alternativ darf die Standsicherheit von Fliegenden Bauten im Zustand außer Betrieb, auch für Aufstellorte mit vb > 28 m/s, mit den Geschwindigkeitsdrücken nach Tabelle NA.B.3 oder Abschnitt NA.B.3.3 der Norm DIN EN 1991-1- 4/NA:2010-12 nachgewiesen werden. Diese dürfen mit dem Faktor 0,7 abgemindert werden. Andere Abminderungen der Geschwindigkeitsdrücke dürfen nicht in Ansatz gebracht werden.
Bild 1 ist von der Einführung ausgenommen.
4.4 Zu Abschnitt 5.3.6.2:
Für günstig wirkende ständige Einwirkungen ist der Teilsicherheitsbeiwert γG = 1,0 zu verwenden.
4.5 Zu Abschnitt 5.6.5.3:
Fußriemenverschnallungen in Überschlagschaukeln, einschließlich deren Befestigungen und Verbindungen, müssen eine Bruchlast von mindestens 2 kN aufweisen.
5. Zu Abschnitt 6:
Anstelle der nachfolgend von der Einführung ausgenommenen Abschnitte der Norm gelten die Anforderungen der Richtlinie über den Bau und Betrieb Fliegender Bauten (FlBauR), Fassung Juni 2010 (GABl. 2010, S. 666).
5.1 Die Abschnitte 6.1.3.2, 6.1.3.3, 6.1.4.1, 6.1.4.5 und 6.1.5.2 sind von der Einführung ausgenommen.
5.2 Zu Abschnitt 6.1.6.4:
Bei Kettenfliegerkarussellen darf insbesondere das Versagen einer Tragkette nicht zum Ausfall der Fahrgastsicherung (Schließkette, -stange, etc.) führen.
5.3 Zu Abschnitt 6.2.1.2:
Rotoren müssen eine geschlossene Zylinderwand haben. Der Boden und die Innenseite der Zylinderwand sind ohne vorstehende oder vertiefte Teile auszuführen. Der obere Rand der Zylinderwand darf weder vom Benutzer noch von Zuschauern erreicht werden können. Der höhenverschiebbare Boden ist mit geringer Fuge in den Zylinder einzupassen und mit der Zylinderdrehung gleichlaufend zu führen. Die Türen sind mit geringen Fugen in die Zylinderwand einzupassen. Rotoren sind so auszubilden, dass sie nicht bei offenen Türen anfahren können.
5.4 Zu Abschnitt 6.2.2.2:
Die Höhe der Umwehrung offener Gondeln von Riesenrädern, in denen Fahrgäste während des Betriebs aufstehen können, muss, gemessen ab Oberkante Sitzfläche, mindestens 0,55 m betragen. Ein- und Aussteigeöffnungen müssen in Höhe der Umwehrung durch feste Vorrichtungen geschlossen werden können. Sie müssen mit nicht selbsttätig lösbaren Verschlüssen gesichert werden können.
5.5 Zu Abschnitt 6.2.3.1:
Achterbahnen sind ringsum mit einer Flächenabsperrung der Anforderungsklasse J3 auszustatten.
Die Fahrbahnen von Geisterbahnen sind bis auf die Ein- und Aussteigestellen mindestens mit Bereichsabsperrungen der Anforderungsklasse J2 gegenüber Zuschauern abzuschranken.
5.6 Zu Abschnitt 6.2.3.5.1:
Bei Geisterbahnen mit langsam fahrenden Fahrzeugen (Geschw.< 3 m/s) und geeigneten Anpralldämpfern kann auf ein Blocksystem verzichtet werden.
5.7 Zu Abschnitt 6.2.3.5.2:
Stockwerksgeisterbahnen müssen Rücklaufsicherungen in den Steigungsstrecken haben. In den Gefällestrecken sind erforderlichenfalls Bremsen zur Regelung der Geschwindigkeit und Kippsicherungen vorzusehen.
5.8 Zu Abschnitt 6.2.5.1.1:
Zwischen Drehscheibe und Stoßbande muss eine feststehende, waagerechte und glatte Rutschfläche von mindestens 2 m Breite vorhanden sein.
5.9 In Abschnitt 6.2.5.2 ist der 1. Absatz von der Einführung ausgenommen.
5.10 Abschnitt 6.2.6 ist von der Einführung ausgenommen.
5.11 Zu Abschnitt 6.2.7.5:
Schießtische sind unverrückbar zu befestigen. Die Entfernung zu einzelnen flächenmäßig begrenzten Zielen von höchstens 0,40 m Tiefe (z.B. Häuschen für Walzenschießen) darf bis auf 2,40 m verringert werden.
5.12 Die Abschnitte 6.4, 6.5 und 6.6 sind von der Einführung ausgenommen.
6. Abschnitt 7 ist von der Einführung ausgenommen.
7. Die Anhänge A, C, E, F, H und I sind von der Einführung ausgenommen.
Anlage 2.7/9
Zu DIN 4131
Bei Anwendung der technischen Regel ist Folgendes zu beachten:
1. Die Ermittlung der Einwirkungen aus Wind erfolgt weiterhin bis zur Überarbeitung von DIN 4131 gemäß Anhang a dieser Norm.
2. Zu Abschnitt A.1.3.2.3
Aerodynamische Kraftbeiwerte, die dem anerkannten auf Windkanalversuchen beruhenden Schrifttum entnommen oder durch Versuche im Windkanal ermittelt werden, müssen der Beiwertdefinition nach DIN EN 1991-1-4 in Verbindung mit DIN EN 1991-1-4/Na entsprechen.
Anlage 2.7/10
Zu DIN 4134
Bei Anwendung der technischen Regel ist Folgendes zu beachten:
Abschnitt 4.2.5 wird ergänzt durch folgende Regel:
Bei Tragluftbauten braucht die Schneelast nicht berücksichtigt zu werden, wenn durch eine dafür ausreichende dauernde Beheizung nach Abschnitt 3.4.1 von DIN 1055-5 (Juni 1975) ein Liegenbleiben des Schnees verhindert wird, oder wenn ein ortsfestes Abräumgerät für Schnee vorhanden ist.
Innerhalb dieser Bauten sind an sichtbarer Stelle Schilder anzubringen, aus denen hervorgeht, dass
Anlage 2.7/11 E
Zu DIN EN 12812
Bei der Anwendung der technischen Regel ist die "Anwendungsrichtlinie für Traggerüste nach DIN EN 12812", Fassung August 2009, die in den DIBt Mitteilungen1 Heft 6/2009 S. 227 veröffentlicht ist, zu beachten.
________
1) Die DIBt Mitteilungen sind zu beziehen beim DIBt (www.dibt.de / Service).
Anlage 2.7/12
Zur Richtlinie für Windenergieanlagen - Einwirkungen und Standsicherheitsnachweise für Turm und Gründung
Bei Anwendung der technischen Regel ist Folgendes zu beachten:
1. Der maschinentechnische Teil der Windenergieanlagen muss die Sicherheitsanforderungen nach DIN EN 61400-1 "Windenergieanlagen - Teil 1: Auslegungsanforderungen" erfüllen. Kleine Windenergieanlagen, deren überstrichene Rotorfläche kleiner als 200 m2 ist und die eine Spannung erzeugen, die unter 1.000 V Wechselspannung oder 1.500 V Gleichspannung liegt, dürfen nach DIN EN 61400-2 "Windenergieanlagen - Teil 2: Sicherheit kleiner Windenergieanlagen" nachgewiesen werden.
Darüber hinaus gilt, dass das Sicherheitssystem mindestens aus zwei voneinander unabhängig automatisch einsetzenden Bremssystemen bestehen muss und bei Ausfall eines Bremssystems die verbleibenden Systeme in der Lage sein müssen, den Rotor auf eine unkritische Drehzahl abzubremsen und den Rotor zum Stillstand zu bringen.
2. Abstände zu Verkehrswegen und Gebäuden sind unbeschadet der Anforderungen aus anderen Rechtsbereichen wegen der Gefahr des Eisabwurfs einzuhalten, soweit eine Gefährdung der öffentlichen Sicherheit nicht auszuschließen ist.
Abstände größer als 1,5 x (Rotordurchmesser plus Nabenhöhe) gelten im Allgemeinen als ausreichend.
3. Zu den bautechnischen Unterlagen für Windenergieanlagen gehören:
3.1 die gutachterlichen Stellungnahmen eines Sachverständigen1 nach Abschnitt 3, Buchstabe I der Richtlinie sowie die weiteren von einem Sachverständigen1 begutachteten Unterlagen nach Abschn. 3, Buchstaben J, K und L der Richtlinie; für kleine Windenergieanlagen nach Ziffer 1 ist die gutachterliche Stellungnahme nach Abschnitt 3, Buchstaben I sowie J, K und L der Richtlinie nicht erforderlich,
3.2 die gutachterliche Stellungnahme eines Sachverständigen1über die örtlich auftretende Turbulenzintensität und über die Zulässigkeit von vorgesehenen Abständen zu benachbarten Windenergieanlagen in Bezug auf die Standsicherheit der bestehenden und möglicherweise vorgesehenen Anlagen sowie der beantragten Anlage, soweit die Abstände gemäß Abs. 7.3.3 der Richtlinie nicht eingehalten werden,
3.3 die gutachterliche Stellungnahme eines Sachverständigen1 zur Funktionssicherheit von Einrichtungen, durch die der Betrieb der Windenergieanlage bei Eisansatz sicher ausgeschlossen werden kann oder durch die ein Eisansatz verhindert werden kann (z.B. Rotorblattheizung), soweit erforderliche Abstände wegen der Gefahr des Eis-abwurfes nicht eingehalten werden,
3.4 das Baugrundgutachten nach Abschnitt 3, Buchstabe H der Richtlinie zur Bestätigung, dass die der Auslegung der Anlage zugrundeliegenden Anforderungen an den Baugrund am Aufstellort vorhanden sind,
3.5 die Darstellung der Anforderungen zur Durchführung der Wiederkehrenden Prüfungen2 nach Abschnitt 15 der Richtlinie in Verbindung mit dem begutachteten War-tungspflichtenbuch (siehe Ziffer 3.1 zu Abschnitt 3, Buch-stabe L der Richtlinie),
3.6 die Angabe der Entwurfslebensdauer nach Abschnitt 9.6.1 der Richtlinie.
4. Wird der Standsicherheitsnachweis für eine Windenergie-anlage mit einer überstrichenen Rotorfläche von mehr als 200 m2 nach § 17 LBOVVO bautechnisch geprüft, so ist in der bautechnischen Prüfbestätigung zu bescheinigen, dass die zugehörigen Gutachten (Abschnitt 3.I.1 - 5 der Richtlinie) vorliegen und die dort vorgegebenen Werte und Eigenschaften in der statischen Berechnung berück-sichtigt sind. Das gilt auch für Windenergieanlagen mit typenprüfungen nach § 68 LBO.
5. Für Windenergieanlagen bis zu 10 m Höhe gemessen von der Geländeoberfläche bis zum höchsten Punkt der vom Rotor bestrichenen Fläche und einem Rotordurchmesser bis zu drei Metern gelten Ziffern 3.1 bis 3.4 nicht.
6. Die Einhaltung von Forderungen an die Bauausführung, die sich aus der Prüfung der bautechnischen Nachweise nach § 17 LBOVVO ergeben haben, ist im Rahmen der Überwachung der Ausführung in konstruktiver Hinsicht oder der Bauüberwachung zu überprüfen.
6a. Zu Abschnitt 7.2.3 der Richtlinie:
Im ersten Absatz wird das Wort "Bedeutungsklasse" durch das Wort "Bedeutungskategorie" ersetzt.
Hinsichtlich der Zuordnung von Erdbebenzonen und geo-logischen Untergrundklassen ist die Karte der Erdbebenzonen und geologischen Untergrundklassen für Baden-Württemberg (Ausgabe 2005), herausgegeben vom Innenministerium Baden-Württemberg (Vertrieb: Landesamt für Geoinformation und Landentwicklung Baden-Württemberg, Büchsenstraße 54, 70174 Stuttgart; www.lgl-bw.de), zu beachten.
6b. Zu Abschnitt 14 der Richtlinie:
Der Abschnitt wird wie folgt neu gefasst:
"Bei genehmigungspflichtigen Windenergieanlagen ist im Rahmen der bautechnischen Prüfung nach § 17 LBOVVO eine Überwachung der Ausführung in konstruktiver Hinsicht durchzuführen. Inhalt und Umfang der Überwachung ergeben sich aus § 6 BauPrüfVO. Das gilt auch für Windenergieanlagen mit typenprüfungen nach § 68 LBO. Davon unberührt bleiben die Möglichkeiten einer Bauüberwachung nach § 66 LBO und von Bauabnahmen nach § 67 Abs. 1 LBO. Die Abnahme der Maschine erfolgt auf Grund-lage der in Abschnitt 3, Buchstabe I aufgeführten gutachterlichen Stellungnahmen."
______
1) Als Sachverständige kommen insbesondere folgende in Betracht:
2) Als Sachverständige für Inspektion und Wartung kommen insbesondere in Betracht:
Die in Fußnote 1 genannten sowie die vom Sachverständigenbeirat des Bundesverbandes WindEnergie (BWE) e.V. anerkannten Sachverständigen.
Bei Anwendung der technischen Regel ist Folgendes zu beachten:
Für Arbeits- und Schutzgerüste dürfen Stahlrohrgerüstkupplungen mit Schraub- oder Keilverschluss, die auf der Grundlage eines Prüfbescheids gemäß den ehemaligen Prüfzeichenverordnungen der Länder hergestellt wurden, weiterverwendet werden, sofern ein gültiger Prüfbescheid für die Verwendung mindestens bis zum 1.1.1989 vorlag. Gerüstbauteile, die diese Bedingungen erfüllen, sind in einer Liste in den DIBt Mitteilungen1, Heft 6/1997, S. 181, veröffentlicht.
________
1) Die DIBt Mitteilungen sind zu beziehen beim DIBt (www.dibt.de / Service).
Bei Anwendung der technischen Regeln ist die "Anwendungsrichtlinie für Arbeitsgerüste", Fassung November 2005, die in den DIBt Mitteilungen1 Heft 2/2006, S. 61, veröffentlicht ist, zu beachten.
_________
1) Die DIBt Mitteilungen sind zu beziehen beim DIBt (www.dibt.de / Service).
Anlage 2.7/15
Zu den Lehmbau Regeln
Die technische Regel gilt für Wohngebäude der Gebäudeklassen 1 und 2 nach § 2 Abs. 4 LBO.
1. Hinsichtlich des Brandschutzes ist das Brandverhalten der Baustoffe nach DIN 4102-1:1998-05 oder alternativ nach DIN EN 13501-1:2010-01 nachzuweisen, soweit eine Klassifizierung ohne Prüfung nach DIN 4102-4:1994-03 oder gemäß Entscheidung 96/603/EG der Europäischen Kommission nicht möglich ist.
Anforderungen an den Feuerwiderstand der Bauteile sind nach DIN 4102-2:1977-09 oder alternativ nach DIN EN 13501-2:2010-02 nachzuweisen, soweit eine Klassifizierung ohne Prüfung nach DIN 4102-4:1994-03 nicht möglich ist.
2. Für den Nachweis des Wärmeschutzes sind die Bemessungswerte der Wärmeleitfähigkeit nach DIN V 4108-4 anzusetzen.
3. Für den Nachweis des Schallschutzes gilt DIN 4109: 1989-11.
Für die Tragwerksbemessung im Brandfall von Tragwerken nach den lfd. Nrn. 2.2.1 (2), 2.3.2, 2.4.1, 2.4.2, 2.4.3 und 2.5.1 des Teils I der Liste der Technischen Baubestimmungen gelten die dort aufgeführten technischen Regeln.
Anlage 3.1/2
Zu DIN 4102 Teil 4
Bei Anwendung der technischen Regel ist Folgendes zu beachten:
1. Zu Abschnitt 2.2
Bei brandschutztechnischen Anforderungen und brandschutztechnischen Bewertungen der Baustoffklasse bleiben nachträglich aufgebrachte Beschichtungen bis 0,5 mm Dicke auf Bauteilen unberücksichtigt, soweit die Beschichtungen vollständig ohne Hohlräume auf nicht-brennbarem Untergrund aufgebracht sind.
2. Zu Abschnitt 8.7.1
a) In gegen Flugfeuer und strahlende Wärme wider-standsfähigen Bedachungen nach § 27 Abs. 6 LBO (harte Bedachungen) sind, soweit in anderen Bestim-mungen nicht weitere Anforderungen bestehen, licht-durchlässige Teilflächen aus brennbaren Baustoffen nach § 9 Abs. 3 Nr. 1 LBOAVO zulässig, wenn:
b) Vom Anwendungsbereich werden begrünte Dächer - Extensivbegrünungen, Intensivbegrünungen, Dachgärten - nicht erfasst. Für die Beurteilung dieser Dächer ist auch die Prüfnorm DIN 4102-7 nicht geeignet. Von einer ausreichenden Behinderung der Brandentstehung von außen durch Flugfeuer und strahlende Wärme gemäß § 9 Abs. 3 Nr. 2 LBOAVO kann jedoch ausgegangen werden bei Dächern mit Intensivbegrünung und Dachgärten, die mindestens bewässert und gepflegt werden und die in der Regel eine dicke Substratschicht aufweisen; sie sind ohne Weiteres geeignet und können auch als widerstandsfähig gegen Flugfeuer und strahlende Wärme (harte Bedachung) gelten. Bei Dächern mit Extensivbegrünung durch überwiegend niedrigwachsende Pflanzen (z.B. Gras, Sedum, Eriken) ist von einer ausreichenden Behinderung der Brandentstehung von außen auszugehen, wenn:
3. Zu Abschnitt 8.7.2:
Dachdeckungsprodukte/-materialien, die einschlägigen europäischen technischen Spezifikationen (harmonisierte europäische Norm oder europäische technische Zulassung) entsprechen und die zusätzlichen Bedingungen über angrenzende Schichten erfüllen, gelten als Bedachungen, die gegen Flugfeuer und strahlende Wärme widerstandsfähig sind.
Zusammenstellung von gegen Flugfeuer und strahlende Wärme widerstandsfähigen Dachdeckungsprodukten (oder - materialien) gemäß Entscheidung der Kommission 2000/553/EG , veröffentlicht im Amtsblatt der Europäischen Gemeinschaften L 235/19, von denen ohne Prüfung angenommen werden kann, dass sie den Anforderungen entsprechen; die zusätzlichen Bedingungen zu angrenzenden Schichten sind ebenfalls einzuhalten.
| Dachdeckungsprodukte /- materialien | Besondere Voraussetzung für die Konformitätsvermutung |
| Decksteine aus Schiefer oder anderem Naturstein | Entsprechen den Bestimmungen der Entscheidung 96/603/EG der Kommission. |
| Dachsteine aus Stein, Beton, Ton oder Keramik, Dachplatten aus Stahl | Entsprechen den Bestimmungen der Entscheidung 96/603/EG der Kommission.
Außenliegende Beschichtungen müssen anorganisch sein oder müssen einen Brennwert PCS< 4,0 MJ/m2 oder eine Masse< 200 g/m2 haben. |
| Faserzementdeckungen: - Ebene und profilierte Platten - Faserzement-Dachplatten |
Entsprechen den Bestimmungen der Entscheidung 96/603/EG der Kommission oder haben einen Brennwert PCS< 3,0 MJ/kg. |
| Profilblech aus Aluminium, Aluminiumlegierung, Kupfer, Kupferlegierung, Zink, Zinklegierung, unbeschichtetem Stahl, nichtrostendem Stahl, verzinktem Stahl, beschichtetem Stahl oder emailliertem Stahl | Dicke> 0,4 mm.
Außenliegende Beschichtungen müssen anorganisch sein oder müssen einen Brennwert PCS< 4,0 MJ/m2 oder eine Masse< 200 g/m2 haben. |
| Ebenes Blech aus Aluminium, Aluminiumlegierung, Kupfer, Kupferlegierung, Zink, Zinklegierung, unbeschichtetem Stahl, nichtrostendem Stahl, verzinktem Stahl, beschichtetem Stahl oder emailliertem Stahl | Dicke> 0,4 mm.
Außenliegende Beschichtungen müssen anorganisch sein oder müssen einen Brennwert PCS< 4,0 MJ/m2 oder eine Masse< 200 g/m2 haben. |
| Produkte, die im Normalfall voll bedeckt sind (von den rechts aufgeführten anorganischen Materialien) | Lose Kiesschicht mit einer Mindestdicke von 50 mm oder einer Masse> 80 kg/m2. Mindestkorngröße 4 mm, maximale Korngröße 32 mm.
Sand-/Zementbelag mit einer Mindestdicke von 30 mm. Betonwerksteine oder mineralische Platten mit einer Mindestdicke von 40 mm. |
Zusätzliche Bedingungen:
Für alle Dachdeckungsprodukte/-materialien aus Metall gilt, dass sie auf geschlossenen Schalungen aus Holz oder Holzwerkstoffen mit einer Trennlage aus Bitumenbahn mit Glasvlies- oder Glasgewebeeinlage auch in Kombination mit einer strukturierten Trennlage mit einer Dicke< 8 mm zu verwenden sind.
Abweichend hiervon erfüllen bestimmte Dachdeckungsprodukte/-materialien die Anforderungen an gegen Flugfeuer und strahlende Wärme widerstandsfähige Bedachungen, wenn die Ausführungsbedingungen gemäß DIN 4102-4/A1 zu 8.7.2 Nr. 2 erfüllt sind.
Anlage 3.1/3
Zu DIN 4102-4/A1
Bei Anwendung der technischen Regel ist Folgendes zu beachten:
1. Zu Tabelle 110:
Anstelle von DIN 18180:1989-09 gilt DIN 18180:2007-01.
2. Zu Abschnitt 4.5.2.2:
Bei einer Bemessung von Mauerwerk nach dem genaueren Verfahren von DIN 1053-1 kann die Einstufung des Mauerwerks in Feuerwiderstandsklassen und Brandwände nach DIN 4102-4:1994-03 bzw. DIN 4102-4/A1:2004-11 erfolgen, wenn der Ausnutzungsfaktor α2 wie folgt bestimmt wird und α2 < 1,0 ist:
für:
(1)
für:
(2)
mitNEK =NGk +NQk (3)
Darin ist
| a2 | der Ausnutzungsfaktor zur Einstufung des Mauerwerks in Feuerwiderstandsklassen und Brandwände |
| hk | die Knicklänge der Wand nach DIN 1053-1 |
| d | die Wanddicke |
| γ | der Sicherheitsbeiwert nach DIN 1053-1 |
| vorh σ | die vorhandene Normalspannung unter Gebrauchslasten unter Annahme einer linearen Spannungsverteilung und ebenbleibender Querschnitte |
| βR | der Rechenwert der Druckfestigkeit des Mauerwerks nach DIN 1053-1. |
Bei exzentrischer Beanspruchung darf anstelle von βR der Wert 1,33 βR gesetzt werden, sofern die γ -fache mittlere Spannung den Wert βR nicht überschreitet.
Anlage 3.1/4
Zu DIN 4102-22
Bei Anwendung der technischen Regel ist Folgendes zu beachten:
1 Zu Abschnitt 5.2:
1.1 Zu Punkt 4.3.2.4:
Im Titel von Tabelle 37 muss es "NRd,c,t" anstelle von "NRd,c,0" heißen.
2 Zu Abschnitt 6.2:
2.1 Zu Punkt 5.5.2.1:
In Tabelle 74 muss es in Gleichung (9.4) ">1" anstelle von "< 1" heißen.
Anlage 3.4/1
Zur Richtlinie zur Bemessung von Löschwasser-Rückhalteanlagen beim Lagern wassergefährdender Stoffe ( LöRüRL)
1. Abschnitt 1.2 Abs. 1 erhält folgende Fassung:
"Das Erfordernis der Rückhaltung verunreinigten Löschwassers ergibt sich ausschließlich aus dem Besorgnisgrundsatz des Wasserrechts ( § 62 Abs. 1 Wasserhaushaltsgesetz - WHG) in Verbindung mit der Regelung des § 3 Nr. 4 der Verordnung des Umweltministeriums über Anlagen zum Umgang mit wassergefährdenden Stoffen und über Fachbetriebe (Anlagenverordnung wassergefährdende Stoffe - VAwS) vom 11. Februar 1994 (GBl. S. 182, zuletzt geändert durch Verordnung vom 25. Januar 2012 (GBl. S. 65, 82). Danach muss im Schadensfall anfallendes Löschwasser, das mit ausgetretenen wassergefährdenden Stoffen verunreinigt sein kann, zurückgehalten und ordnungsgemäß entsorgt werden können."
2. Nach Abschnitt 1.4 wird folgender neuer Abschnitt 1.5 eingefügt:
"1.5 Eine Löschwasserrückhaltung ist nicht erforderlich für das Lagern von Calciumsulfat und Natriumchlorid."
3. Abschnitt 1.5 wird Abschnitt 1.6 neu.
4. In Abschnitt 3.2 wird die Zeile "WGK 0: im Allgemeinen nicht wassergefährdende Stoffe" gestrichen.
5. Satz 2 des Hinweises in Fußnote 4 wird gestrichen. Satz 1 erhält folgenden neuen Wortlaut:
"Vergleiche Allgemeine Verwaltungsvorschrift zum Wasserhaushaltsgesetz über die Einstufung wassergefährdender Stoffe in Wassergefährdungsklassen ( Verwaltungsvorschrift wassergefährdende Stoffe - 17. Mai 1999, Bundesanzeiger Nr. 98a vom 29. Mai 1999, geändert durch Verwaltungsvorschrift vom 27. Juli 2005, Bundesanzeiger Nr. 142a vom 30. Juli 2005).
Anlage 4.1/1
Zu DIN 4108-2
Bei Anwendung der technischen Regel ist Folgendes zu beachten:
1. Der sommerliche Wärmeschutz erfolgt über die Regelungen der Energieeinsparverordnung.
2. Zu Abschnitt 5.2.2:
Die aufgeführten Ausnahmen gelten nur für einlagig hergestellte Dämmstoffplatten.
Anlage 4.1/2
Zu DIN 4108-3
Bei Anwendung der technischen Regel ist Folgendes zu beachten:
1. Der Abschnitt 5 sowie die Anhänge B und C sind von der Einführung ausgenommen.
2. Die Berichtigung 1 zu DIN 4108-3:2002-04 ist zu beachten.
Anlage 4.1/3
Zu DIN V 4108-4
Bei Anwendung der technischen Regel ist Folgendes zu beachten:
Hinweis:
Die Bemessungswerte der Kategorie I gelten für Produkte nach harmonisierten Europäischen Normen, die in der Bauregelliste B Teil 1 aufgeführt sind.
Die Bemessungswerte der Kategorie II gelten für Produkte nach harmonisierten Europäischen Normen, die in der Bauregelliste B Teil 1 aufgeführt sind und deren Wärmeleitfähigkeit einen Wert λ,grenz nicht überschreitet. Der Wert λ,grenz ist hierbei im Rahmen eines Verwendbarkeitsnachweises (allgemeine bauaufsichtliche Zulassung) festzulegen.
Für die Verwendung von Bauprodukten nach harmonisierten Normen ist Folgendes zu beachten:
1. An der Verwendungsstelle hergestellte Wärmedämmung aus Blähton-Leichtzuschlagstoffen nach EN 14063-11:
Das Produkt darf entsprechend den Anwendungsgebieten DZ und DI nach DIN 4108-10:2008-06 als nicht druckbelastbare (dk) Wärmedämm-Schüttung verwendet werden. Darüber hinaus gehende Anwendungen sind in einer allgemeinen bauaufsichtlichen Zulassung festzulegen.
Der Nachweis des Wärmeschutzes ist mit dem Bemessungswert der Wärmeleitfähigkeit zu führen. Der Bemessungswert der Wärmeleitfähigkeit ist gleich dem Nennwert der Wärmeleitfähigkeit multipliziert mit dem Sicherheitsbeiwert γ = 1,2.
Bei der Berechnung des Wärmedurchlasswiderstands ist die Nenndicke der Wärmedämmschicht anzusetzen. Die Nenndicke ist die um 20 % verminderte Einbaudicke.
2. An der Verwendungsstelle hergestellte Wärmedämmung aus Produkten mit expandiertem Perlite nach EN 14316-12:
Das Produkt darf entsprechend den Anwendungsgebieten DZ, DI und WH nach DIN 4108-10:2008-06 als nicht druckbelastbare (dk) Wärmedämmschüttung verwendet werden. Darüber hinaus gehende Anwendungen sind in einer allgemeinen bauaufsichtlichen Zulassung festzulegen.
Der Nachweis des Wärmeschutzes ist mit dem Bemessungswert der Wärmeleitfähigkeit zu führen. Der Bemessungswert der Wärmeleitfähigkeit ist gleich dem Nennwert der Wärmeleitfähigkeit multipliziert mit dem Sicherheitsbeiwert
γ = 1,2.
Bei der Berechnung des Wärmedurchlasswiderstands ist die Nenndicke der Wärmedämmschicht anzusetzen. Die Nenndicke ist bei der Anwendung in Decken/Dächern die um 20 % verminderte Einbaudicke und bei der Anwendung in Wänden die lichte Weite des Hohlraums. Bei der Anwendung in Wänden ist die Nennhöhe die um 20 % verminderte Einbauhöhe.
3. An der Verwendungsstelle hergestellte Wärmedämmung mit Produkten aus expandiertem Vermiculite nach EN 14317-13:
Das Produkt darf entsprechend den Anwendungsgebieten DZ, DI und WH nach DIN 4108-10:2008-06 als nicht druckbelastbare (dk) Wärmedämmschüttung verwendet werden. Darüber hinaus gehende Anwendungen sind in einer allgemeinen bauaufsichtlichen Zulassung festzulegen.
Der Nachweis des Wärmeschutzes ist mit dem Bemessungswert der Wärmeleitfähigkeit zu führen. Der Bemessungswert der Wärmeleitfähigkeit ist gleich dem Nennwert der Wärmeleitfähigkeit multipliziert mit dem Sicherheitsbeiwert
γ = 1,2.
Bei der Berechnung des Wärmedurchlasswiderstands ist die Nenndicke der Wärmedämmschicht anzusetzen. Die Nenndicke ist bei der Anwendung in Decken/Dächern die um 20 % verminderte Einbaudicke und bei der Anwendung in Wänden die lichte Weite des Hohlraums. Bei der Anwendung in Wänden ist die Nennhöhe die um 20 % verminderte Einbauhöhe.
4. Hinweis:
Für Mauersteine nach EN 771-1, -2, -3, -4 und -5 4, an die Anforderungen an die Wärmeleitfähigkeit gestellt werden und deren Umrechnungsfaktor für den Feuchtegehalt Fm von DIN V 4108-4, Tabelle 5, abweicht, muss nachgewiesen sein, dass sie Bauregelliste a Teil 1, lfd. Nr. 2.1.26 entsprechen.
5. Dekorative Wandbekleidungen - Rollen und Plattenform nach EN 15102+A1:20115:
Dekorative innenseitige Wandbekleidungen dürfen bei den Nachweisen des Mindestwärmeschutzes und des klimabedingten Feuchteschutzes rechnerisch nicht berücksichtigt werden, da diese üblicherweise nicht dauerhaft eingebaut werden.
6. An der Verwendungsstelle hergestellte Wärmedämmung aus Mineralwolle nach EN 14064-16:
7. An der Verwendungsstelle hergestellter Wärmedämmstoff aus Polyurethan (PUR) - und Polyisocyanurat (PIR)-Spritzschaum nach EN 14315-1:20137
Die Produkte dürfen zur Herstellung von nicht druckbelastbaren Wärmedämmschichten entsprechend dem Anwendungsgebiet DZ nach DIN 4108-10 verwendet werden, wenn sie zusätzlich zu den im Rahmen der CE-Kennzeichnung anzugebenen Eigenschaften folgende Anforderungen gemäß dem nach DIN EN 14315-1 anzugebenen Bezeichnungsschlüssel erfüllen:
| Eigenschaft | gemäß DIN EN 14315-1, Abschnitt | Stufe (mindestens) |
| Dichte | 4.2.4 / E.5 | FRC50(20) oder FRB50(20) |
| Anteil an geschlossenen Zellen | 4.2.6 | CCC4 |
| Haftfestigkeit | 4.3.8 | A3 |
| Dimensionsstabilität | 4.3.12 | DS(TH)3 |
Der Nachweis des Wärmeschutzes ist mit dem Bemessungswert der Wärmeleitfähigkeit zu führen. Der Bemessungswert der Wärmeleitfähigkeit ist gleich dem Nennwert der Wärmeleitfähigkeit multipliziert mit dem Sicherheitsfaktor γ = 1,2.
8 An der Verwendungsstelle hergestellter Wärmedämmstoff aus dispensiertem Polyurethan (PUR)- und Polyisocyanurat (PIR)-Hartschaum nach EN 14318-1:20138:
Die Produkte dürfen zur Herstellung von nicht druckbelastbaren Wärmedämmschichten entsprechend dem Anwendungsgebiet WH nach DIN 4108-10 verwendet werden, wenn sie zusätzlich zu den im Rahmen der CE-Kennzeichnung anzugebenen Eigenschaften folgende Anforderungen gemäß dem nach DIN EN 14318-1 anzugebenen Bezeichnungsschlüssel erfüllen:
| Eigenschaft | gemäß DIN EN 14318-1, Abschnitt | Stufe (mindestens) |
| Dichte | 4.2.3 / E.5 | FRC50(20) oder FRB50(20) |
| Anteil an geschlossenen Zellen | 4.2.8 | CCC4 |
| Haftfestigkeit | 4.3.4 | TS2 |
| Dimensionsstabilität | 4.3.7 | DS(TH)3 |
Der Nachweis des Wärmeschutzes ist mit dem Bemessungswert der Wärmeleitfähigkeit zu führen. Der Bemessungswert der Wärmeleitfähigkeit ist gleich dem Nennwert der Wärmeleitfähigkeit multipliziert mit dem Sicherheitsfaktor γ = 1,2.
9 Wärmedämmstoffe für den Wärme- und/oder Schallschutz im Hochbau - Gebundene EPS-Schüttungen nach EN 16025-1:20139:
Das Produkt darf zur Innendämmung von Decken oder Bodenplatten (oberseitig) unter Estrich nach DIN 18560-2 ohne Schallschutzanforderungen im Wohn- und Bürobereich verwendet werden, wenn hinsichtlich der Zusammendrückbarkeit C die Anforderungen der DIN 18560-2 erfüllt werden und der deklarierte Wert der Druckspannung bei 10 % Stauchung mindestens 50 kPa beträgt (Stufe CS(10)50).
Der Nachweis des Wärmeschutzes ist mit dem Bemessungswert der Wärmeleitfähigkeit zu führen. Der Bemessungswert der Wärmeleitfähigkeit ist wie folgt zu ermitteln:
Auf Grundlage des in der CE-Kennzeichnung angegebenen Nennwertes ergibt sich der Bemessungswert der Wärmeleitfähigkeit durch Umrechnung auf einen Feuchtegehalt bei 23 °C und 80 % relative Luftfeuchte und Multiplikation mit dem Sicherheitsbeiwert γ = 1,2. Zur Umrechnung für die Feuchte ist ein Umrechnungsfaktor von Fm = 1,05 zu verwenden.
________
1) In Deutschland umgesetzt durch DIN EN 14063-1:2004-11.
2) In Deutschland umgesetzt durch DIN EN 14316-1:2004-11.
3) In Deutschland umgesetzt durch DIN EN 14317-1:2004-11.
4) In Deutschland umgesetzt durch DIN EN 771-1, -2, -3, -4 und -5:2011-07.
5) In Deutschland umgesetzt durch DIN EN 15102:2011-12.
6) In Deutschland umgesetzt durch DIN EN 14064-1:2010-06.
7) In Deutschland umgesetzt durch DIN EN 14315-1:2013-04.
8) In Deutschland umgesetzt durch DIN EN 14318-1:2013-04.
9) In Deutschland umgesetzt durch DIN EN 16025-1:2013-07.
Anlage 4.1/5
Zu DIN 4108-10
Für die Verwendung dieser Dämmstoffe in Wärmedämm-Verbundsystemen (WDVS) ist eine allgemeine bauaufsichtliche Zulassung erforderlich.
Anlage 4.2/1
Zu DIN 4109
Bei Anwendung der technischen Regel ist Folgendes zu beachten:
1. Zu Abschnitt 5.1, Tabelle 8, Fußnote 2:
Die Anforderungen sind im Einzelfall von der Baurechtsbehörde festzulegen.
2. Zu den Abschnitten 6.3 und 7.3:
Eignungsprüfungen I und III sind im Rahmen der Erteilung eines allgemeinen bauaufsichtlichen Prüfzeugnisses durchzuführen.
3. Zu Abschnitt 8:
Bei baulichen Anlagen, die nach Tabelle 4, Zeilen 3 und 4 einzuordnen sind, ist die Einhaltung des geforderten Schalldruckpegels durch Vorlage von Messergebnissen nachzuweisen. Das Gleiche gilt für die Einhaltung des geforderten Schalldämm-Maßes bei Bauteilen nach Tabelle 5 und bei Außenbauteilen, an die Anforderungen entsprechend Tabelle 8, Spalten 3 und 4 gestellt werden, sofern das bewertete SchalldämmMaß R'w,res> 50 dB betragen muss. Diese Messungen sind von bauakustischen Prüfstellen durchzuführen, die entweder nach § 25 Abs. 1 Nr. 1 LBO anerkannt sind oder in einem Verzeichnis über "Sachverständige Prüfstellen für Schallmessungen nach der Norm DIN 4109" bei dem Verband der Materialprüfungsämter1 geführt werden.
4. Zu Abschnitt 6.4.1:
Prüfungen im Prüfstand ohne Flankenübertragung dürfen auch durchgeführt werden; das Ergebnis ist nach Beiblatt 3 zu DIN 4109, Ausgabe Juni 1996, umzurechnen.
5. Eines Nachweises der Luftschalldämmung von Außenbauteilen (Tabelle 8 der Norm DIN 4109) vor Außenlärm bedarf es, wenn
_______
1) Verband der Materialprüfungsanstalten (VMPA) e. V. Berlin, Littenstraße 10, 10179 Berlin
Hinweis: Dieses Verzeichnis wird auch bekannt gemacht in der Zeitschrift "Der Prüfingenieur", herausgegeben von der Bundesvereinigung der Prüfingenieure für Bautechnik.
Anlage 4.2/2
Zu DIN 4109 und Beiblatt 1 zu DIN 4109
1. Die Berichtigung 1 zu DIN 4109, Ausgabe August 1992, ist zu beachten.
2. Zum Nachweis der Luftschalldämmung bei Wänden aus Lochsteinmauerwerk:
Mauerwerk aus folgenden Steinen mit Löchern gilt als quasihomogen, so dass die Schalldämmung aus der flächenbezogenen Masse ermittelt werden kann:
Für Mauerwerk aus Lochsteinen mit davon abweichenden Eigenschaften kann der Nachweis der Schalldämmung nicht nach DIN 4109, Abschnitt 6.3 und Beiblatt 1 zu DIN 4109 geführt werden. Ausgenommen sind Fälle, in denen nur der Schutz gegen Außenlärm relevant ist. Hierfür kann das bewertete Schalldämm-Maß auf Grundlage eines allgemeinen bauaufsichtlichen Prüfzeugnisses gemäß Anlage 4.2/1, Absatz 2 festgelegt werden.
Anlage 5.1/1
Zu DIN 4149
Bei Anwendung der technischen Regel ist Folgendes zu beachten:
1. In Erdbebenzone 3 sind die Dachdeckungen bei Dächern mit mehr als 35° Neigung und in den Erdbebenzonen 2 und 3 die freistehenden Teile der Schornsteine über Dach durch geeignete Maßnahmen gegen die Einwirkungen von Erdbeben so zu sichern, dass keine Teile auf angrenzende öffentlich zugängliche Verkehrsflächen sowie die Zugänge zu den baulichen Anlagen herabfallen können.
2. Hinsichtlich der Zuordnung von Erdbebenzonen und geologischen Untergrundklassen ist die Karte der Erdbebenzonen und geologischen Untergrundklassen für Baden-Württemberg (Ausgabe 2005), herausgegeben vom Innenministerium Baden-Württemberg (Vertrieb: Landesamt für Geoinformation und Landentwicklung Baden-Württemberg, Büchsenstraße 54, 70174 Stuttgart; www.lgl-bw.de), zu beachten.
2a. Im gesamten Normtext werden die Verweise auf DIN 1045- 1:2001-07 und DIN 1052:2004-08 wie folgt ersetzt:
2b. Für Verankerungen in baulichen Anlagen unter seismischer Einwirkung dürfen in den Erdbebenzonen Deutschlands alle Dübel mit allgemeiner bauaufsichtlicher Zulassung (abZ) verwendet werden, die im Hinblick auf die Bemessung der Befestigungen auf den Annex C der ETAG 001 verweisen. Die Verankerungen sind entsprechend den in den abZ angegebenen Bemessungsverfahren für statische und quasi-statische Einwirkungen zu bemessen.
3. Zu Abschnitt 5.5 und Abschnitt 7.2.2:
Bei der Ermittlung der wirksamen Massen zur Berechnung der Erdbebenlasten und bei der Ermittlung der Bemessungswerte der Schnittgrößen in der Erdbebenbemessungssituation sind in den Gleichungen (11) und (37) die Schneelasten mit dem Kombinationsbeiwert ψE = 0,5 bzw. ψ2 = 0,5 zu multiplizieren.
4. Zu Abschnitt 6:
5. Zu Abschnitt 8:
Bei Erdbebennachweisen von Stahl- und Spannbetonbauten nach dieser Norm ist DIN EN 1992-1-1:2011-01 in Verbindung mit DIN EN 1992-1-1/NA:2013-04 anzuwenden.
6. Zu Abschnitt 9:
7. Zu Abschnitt 10:
8. Zu Abschnitt 11:
9. Zu Abschnitt 12
Anlage 5.2/1
Zu DIN 68800
Hinweis:
Die gesetzlich vorgeschriebenen Zulassungen nach dem Chemikaliengesetz (Biozid-Zulassungen) ersetzen künftig die allgemeinen bauaufsichtlichen Zulassungen für Holzschutz-mittel. Die Biozid-Zulassungen werden durch die Bundesanstalt für Arbeitsschutz und Arbeitsmedizin (BAuA) erteilt. Bis zum Vorliegen der Biozid-Zulassung ist für das jeweilige Holzschutzmittel für die Verwendung in tragenden Bauteilen eine allgemeine bauaufsichtliche Zulassung erforderlich.
Anlage 6.1/1
Zur PCB-Richtlinie
Von der Einführung sind nur die Abschnitte 1, 2, 3, 4.1, 4.2, 5.1, 5.2, 5.4 und 6 erfasst.
Zusätzlich gilt Folgendes:
1. In bestehenden Gebäuden können polychlorierte Biphenyle (PCB) von belasteten Bauprodukten und Bauteilen in die Atemluft freigesetzt werden und beim Menschen Gesundheitsschädigungen auslösen. Die Verantwortung für die Durchführung der erforderlichen Untersuchungen und Sanierungsmaßnahmen obliegt den jeweiligen Eigentümern bzw. Verfügungsberechtigten der betroffenen Gebäude.
2. Zur Abwehr möglicher Gefahr für Leben oder Gesundheit sind in dauerhaft genutzten Räumen Sanierungsmaßnahmen dann angezeigt, wenn die zu erwartende Raumluftkonzentration - unabhängig von der täglichen Aufenthaltsdauer - im Jahresmittel mehr als 3.000 ng PCB/m3 Luft beträgt. Der letzte Satz in Kapitel 3 der Richtlinie wird aufgehoben.
3. Die Richtlinie gilt ansonsten in der Fassung September 1994 unverändert, solange es sich bei den PCB-haltigen Primärquellen ausschließlich um nicht dioxinähnliche PCB-Quellen wie Fugendichtstoffe handelt. Sind jedoch bei den PCB-Primärquellen nur oder auch dioxinähnliche PCB-Quellen wie Deckenplatten, Anstriche sowie nicht sicher einzuordnende PCB-Quellen zu berücksichtigen, so ist zusätzlich die Bestimmung der Raumluftkonzentration von PCB 118 erforderlich, wenn die Gesamtkonzentration an PCB über 1.000 ng PCB/m3 Luft liegt. Beträgt die Raumluftkonzentration dabei mehr als 10 ng PCB 118/m3 Luft, sind umgehend expositionsmindernde Maßnahmen gemäß Abschnitt 3 und 4 der Richtlinie zur Verringerung der Raumluftkonzentration von PCB durchzuführen. Bei Raumluftkonzentrationen gleich oder unter 10 ng PCB 118/m3 Luft wird empfohlen, in Abhängigkeit von der Belastung zumindest das Lüftungsverhalten zu überprüfen und gegebenenfalls zu verbessern.
4. Sollen bauliche Anlagen abgebrochen werden, die PCB-haltige Produkte enthalten, so sind diese Produkte vor Beginn der Abbrucharbeiten aus der baulichen Anlage zu entfernen.
Hinweis:
Ergänzend wird darauf hingewiesen, dass der in Abschnitt 5.3 der Richtlinie genannte Sanierungsleitwert von 300 ng PCB/m3 Luft einen Wert aus dem Vorsorgebereich darstellt, der nicht exakt abgrenzbar ist und deshalb der Größenordnung nach erreicht werden sollte. Maßnahmen zur Reduzierung der PCB-Raumluftkonzentration werden in Abhängigkeit vom Maß der Überschreitung des Sanierungsleitwerts und unter Beachtung der Verhältnismäßigkeit empfohlen.
Anlage 6.2/1
Zur Asbest-Richtlinie
Bei Anwendung der technischen Regel ist Folgendes zu beachten:
1. Eine Erfolgskontrolle der Sanierung nach Abschnitt 4.3 durch Messungen der Konzentration von Asbestfasern in der Raumluft nach Abschnitt 5 ist nicht erforderlich bei Sanierungsverfahren, die nach dieser Richtlinie keiner Abschottung des Arbeitsbereiches bedürfen.
2. Abschnitt 4.3.3 "Beschichten (Methode 2)" ist nicht anzuwenden.
Anlage 6.4/1
Zur PCP-Richtlinie
Von der Einführung sind nur die Abschnitte 1, 2, 3, 4, 5, 6.1 und 6.2 erfasst.
Anlage 7/1
Zu DIN 18065
Bei Anwendung der technischen Regel ist Folgendes zu beachten:
1. Von der Einführung ausgenommen ist die Anwendung auf Treppen in Wohngebäuden der Gebäudeklassen 1 und 2 nach § 2 Abs. 4 LBO und in Wohnungen.
2. Bauaufsichtliche Anforderungen an den Einbau von Treppenliften in Treppenräumen notwendiger Treppen in bestehenden Gebäuden:
Durch den nachträglichen Einbau eines Treppenlifts im Treppenraum darf die Funktion der notwendigen Treppe als Teil des ersten Rettungswegs und die Verkehrssicherheit der Treppe grundsätzlich nicht beeinträchtigt werden. Der nachträgliche Einbau eines Treppenlifts ist zulässig, wenn folgende Kriterien erfüllt sind:
3. Bei einer notwendigen Treppe in einem bestehenden Gebäude darf durch den nachträglichen Einbau eines zweiten Handlaufs die nutzbare Mindestlaufbreite um höchstens 10 cm unterschritten werden. Diese Ausnahmeregelung bezieht sich nur auf Treppen mit einer Mindestlaufbreite von 100 cm nach den Festlegungen der DIN 18065. Abweichende Festlegungen und Anforderungen an die Laufbreite bleiben davon unberührt.
4. Von der Technischen Baubestimmung kann auch abgewichen werden, wenn die Voraussetzungen nach § 56 Abs. 2 Nr. 1, 2 oder 4 LBO vorliegen.
5. Zu Tabelle 1, Ziffer 6.8.2:
Auch bei Absturzhöhen von mehr als 12 m genügt nach § 3 Abs. 3 LBOAVO eine Höhe der Umwehrung von 0,90 m, soweit nicht für Sonderbauten i.S.d. § 38 Abs. 2 LBO besondere Anforderungen im Einzelfall gestellt werden.
6. Zu Tabelle 1, Ziffer 6.8.3, 2. Spalte:
Auch zu Öffnungen in Geländern nach dieser Norm, wenn diese Geländer ausschließlich über eine Wohnung erreichbar sind, werden keine Anforderungen gestellt.
Anlage 7/2
Zu DIN 18040-1
Bei Anwendung der technischen Regel ist Folgendes zu beachten:
1. Zu Abschnitt 1:
Die Einführung bezieht sich auf bauliche Anlagen und andere Einrichtungen im Sinne von § 39 Abs. 2 LBO und auf Einrichtungen im Sinne von § 39 Abs. 1 LBO, ausgenommen Wohnungen und die wohnungsähnlich genutzten Räume (z.B. in Wohn- oder Pflegeheimen, Kureinrichtungen und Beherbergungsbetrieben) dieser Anlagen und Einrichtungen, für die DIN 18040-2 eingeführt wird. Abschnitt 1 wird von der Einführung ausgenommen.
Hinweis:
Technische Regeln, auf die in dieser Norm verwiesen wird, sind von der Einführung nicht erfasst.
2. Zu Abschnitt 4.2.2:
1 % der notwendigen Stellplätze mindestens jedoch zwei Stellplätze müssen Abschnitt 4.2.2 Sätze 1 und 2 entsprechen.
3. Zu Abschnitt 4.3.3:
Abschnitt 4.3.3 gilt für Türen im Zuge der Haupterschließung oder ersatzweise einer anderen sinnvollen Erschließung (siehe auch Anlage zu Abschnitt 4.3.6).
Für Eingangstüren von Kindergärten und Kindertagesstätten sind automatische Türsysteme auch bei Überschreiten der Bedienkräfte nach Ziffer 4.3.3 3 nicht erforderlich, wenn Signaleinrichtungen oder ähnliche Ersatzmaßnahmen vorgesehen werden.
4. Zu Abschnitt 4.3.5:
Ist die Fahrkorbgrundfläche kleiner als 150 cm x 150 cm, so ist zur rollstuhlgerechten Orientierung beim Rückwärtsfahren gegenüber der Fahrkorbtür ein Spiegel anzubringen.
5. Zu Abschnitt 4.3.6:
Abschnitt 4.3.6 gilt für Treppen, die sich im Zuge der Er-schließung nach Anlage zu Abschnitt 4.3.3 befinden.
6. Zu Abschnitt 4.3.6.3:
Die waagrechte Weiterführung des Handlaufs kann am Treppenauge dann entfallen, wenn der Handlauf zum weiterführenden Treppenlauf nicht unterbrochen wird.
7. Zu Abschnitt 4.5.2:
Die Höhe der Mittelachse von Bedienelementen über dem Fußboden beträgt regelmäßig 85 cm; Abweichungen sind im Einzelfall bis 110 cm zulässig.
8. Zu Abschnitt 5.3.3:
Mindestens ein Toilettenraum muss Abschnitt 5.3.3 entsprechen und in Verkaufsstätten nach § 1 VkVO für Besucher zugänglich sein; Abschnitt 5.3.3 Satz 1 ist nicht anzuwenden.
Anlage 7/3
Zu DIN 18040-2
Bei Anwendung der technischen Regel ist Folgendes zu beachten:
1. Zu Abschnitt 1:
Hinweis:
Technische Regeln, auf die in dieser Norm verwiesen wird, sind von der Einführung nicht erfasst.
2. Zu Abschnitt 4.2.2:
Notwendige Stellplätze für barrierefreie Wohnungen müssen Abschnitt 4.2.2 Satz 2 entsprechen. Bei Stellplätzen, die vor- und rückwärts angefahren werden können, kann auch an mindestens einer Längsseite des Kraftfahrzeuges eine 1,5 m tiefe Bewegungsfläche vorgehalten werden.
3. Zu Abschnitt 4.3.3:
Abschnitt 4.3.3 gilt für Türen im Zuge der Haupterschließung oder ersatzweise einer anderen sinnvollen Erschließung (siehe auch Anlage zu Abschnitt 4.3.6).
4. Zu Abschnitt 4.3.5:
Ist die Fahrkorbgrundfläche kleiner als 150 cm x 150 cm, so ist zur rollstuhlgerechten Orientierung beim Rückwärtsfahren gegenüber der Fahrkorbtür ein Spiegel anzubringen.
5. Zu Abschnitt 4.3.6:
Abschnitt 4.3.6 gilt für Treppen, die sich im Zuge der Erschließung nach Anlage zu Abschnitt 4.3.3 befinden.
6. Zu Abschnitt 4.3.6.3:
Die waagrechte Weiterführung des Handlaufs kann am Treppenauge dann entfallen, wenn der Handlauf zum weiterführenden Treppenlauf nicht unterbrochen wird.
7. Zu Abschnitt 4.5.2:
Die Höhe der Mittelachse von Bedienelementen über dem Fußboden beträgt regelmäßig 85 cm; Abweichungen sind im Einzelfall bis 110 cm zulässig.
8. Zu Abschnitt 5.3.2:
Für barrierefreie Wohnungen, die rollstuhlgerecht sein müssen, muss ein Fenster in jedem Aufenthaltsraum Abschnitt 5.3.2 entsprechen und ein Fenster in allen anderen Räumen mit Fenstern muss Abschnitt 5.3.2 Sätze 1 und 3 entsprechen.
Anhang I - Schneelastzonen nach DIN EN 1991-1-3/NA
Zuordnung der Gemeinden und Gemeindeteile des Landes Baden-Württemberg zu den Schneelastzonen nach DIN EN 1991-1-3/NA:2010-12
Regierungsbezirk Stuttgart:
Landkreis Böblingen:
Schneelastzone 2: Alle Gemeinden.
Landkreis Esslingen:
Schneelastzone 2: Alle Gemeinden.
Landkreis Göppingen:
Schneelastzone 2: Alle Gemeinden.
Landkreis Heidenheim:
Schneelastzone 1a: Niederstotzingen, Sontheim an der Brenz
Schneelastzone 2: Alle Gemeinden, sofern nicht in Zone 1a.
Stadtkreis Heilbronn:
Schneelastzone 2.
Landkreis Heilbronn:
Schneelastzone 2: Alle Gemeinden.
Hohenlohekreis:
Schneelastzone 1: Alle Gemeinden, sofern nicht in Zone 2
Schneelastzone 2: Bretzfeld, Neuenstein, Öhringen, Pfedelbach, Waldenburg, Zweiflingen.
Landkreis Ludwigsburg:
Schneelastzone 2: Alle Gemeinden.
Main-Tauber-Kreis:
Schneelastzone 1: Alle Gemeinden, sofern nicht in Zone 2
Schneelastzone 2: Freudenberg, Königheim, Külsheim, Wertheim.
Ostalbkreis:
Schneelastzone 2: Alle Gemeinden, sofern nicht in Zone 2a
Schneelastzone 2a: Essingen, Heubach.
Rems-Murr-Kreis:
Schneelastzone 2: Alle Gemeinden.
Landkreis Schwäbisch Hall:
Schneelastzone 1: Blaufelden, Braunsbach, Gerabronn, Kirchberg an der Jagst, Langenburg, Rot am See, Schrozberg
Schneelastzone 2: Alle Gemeinden, sofern nicht in Zone 1.
Stadtkreis Stuttgart:
Schneelastzone 2.
Regierungsbezirk Karlsruhe:
Stadtkreis Baden-Baden:
Schneelastzone 1.
Landkreis Calw:
Schneelastzone 2: Alle Gemeinden.
Enzkreis:
Schneelastzone 2: Alle Gemeinden.
Landkreis Freudenstadt:
Schneelastzone 2: Alle Gemeinden, sofern nicht in Zone 2a
Schneelastzone 2a: Bad Rippoldsau-Schapbach, Baiersbronn, Freudenstadt, Loßburg.
Stadtkreis Heidelberg:
Schneelastzone 1.
Stadtkreis Karlsruhe:
Schneelastzone 1.
Landkreis Karlsruhe:
Schneelastzone 1: Alle Gemeinden, sofern nicht in Zone 2
Schneelastzone 2: Bretten, Karlsbad, Kürnbach, Marxzell, Oberderdingen, Sulzfeld, Zaisenhausen.
Stadtkreis Mannheim:
Schneelastzone 1.
Neckar-Odenwald-Kreis:
Schneelastzone 1: Ravenstein
Schneelastzone 2: Alle Gemeinden, sofern nicht in Zone 1.
Stadtkreis Pforzheim:
Schneelastzone 2.
Landkreis Rastatt:
Schneelastzone 1: Alle Gemeinden, sofern nicht in Zone 2
Schneelastzone 2: Forbach, Gaggenau, Gernsbach, Loffenau, Weisenbach.
Rhein-Neckar-Kreis:
Schneelastzone 1: Alle Gemeinden, sofern nicht in Zone 2
Schneelastzone 2: Angelbachtal, Bammental, Dielheim, Eberbach, Epfenbach, Eschelbronn, Heddesbach, Heiligkreuzsteinach, Helmstadt-Bargen, Lobbach, Mauer, Meckesheim, Neckarbischofsheim, Neckargemünd, Neidenstein, Reichartshausen, Schönau, Schönbrunn, Sinsheim, Spechbach, Waibstadt, Wiesenbach, Wilhelmsfeld, Zuzenhausen.
Regierungsbezirk Freiburg:
Landkreis Breisgau-Hochschwarzwald:
Schneelastzone 2: Au, Auggen, Badenweiler, Bad Krozingen, Ballrechten-Dottingen, Bötzingen, Breisach a. Rhein, Buggingen, Ebringen, Ehrenkirchen, Eichstetten a. Kaiserstuhl, Eschbach, Gottenheim, Gundelfingen, Hartheim, Heitersheim, Ihringen, March, Merdingen, Merzhausen, Müllheim, Neuenburg a. Rhein, Pfaffenweiler, Schallstadt, Staufen i. Breisgau, Sulzburg, Umkirch, Vogtsburg i. Kaiserstuhl
Schneelastzone 2a: Alle Gemeinden, sofern nicht in Zone 2.
Landkreis Emmendingen:
Schneelastzone 2: Alle Gemeinden.
Stadtkreis Freiburg im Breisgau:
Schneelastzone 2.
Landkreis Konstanz:
Schneelastzone 1: Alle Gemeinden.
Landkreis Lörrach:
Schneelastzone 2: Alle Gemeinden.
Ortenaukreis:
Schneelastzone 1: Achern, Appenweier, Friesenheim, Hohberg, Kappel-Grafenhausen, Kappelrodeck, Kehl, Kippenheim, Lahr, Lauf, Mahlberg, Meißenheim, Neuried, Offenburg, Ortenberg, Renchen, Rheinau, Ringsheim, Rust, Sasbach, Schutterwald, Schwanau, Willstätt, gemeindefreier Grundbesitz (Rheinauer Wald)
Schneelastzone 2: Alle Gemeinden, sofern nicht in Zone 1.
Landkreis Rottweil:
Schneelastzone 2: Alle Gemeinden.
Schwarzwald-Baar-Kreis:
Schneelastzone 2: Alle Gemeinden, sofern nicht in Zone 2a
Schneelastzone 2a: Schönwald, Schonach, Triberg.
Landkreis Tuttlingen:
Schneelastzone 1: Alle Gemeinden, sofern nicht in Zone 2
Schneelastzone 2: Aldingen, Deilingen, Denkingen, Durchhausen, Frittlingen, Gosheim, Gunningen, Spaichingen, Talheim, Trossingen, Wehingen.
Landkreis Waldshut:
Schneelastzone 2: Alle Gemeinden.
Regierungsbezirk Tübingen:
Alb-Donau-Kreis:
Schneelastzone 1: Alle Gemeinden, sofern nicht in Zone 1a oder 2
Schneelastzone 1a: Asselfingen, Beimerstetten, Berghülen, Bernstadt, Blaubeuren, Blaustein, Börslingen, Breitingen, Dornstadt, Holzkirch, Langenau, Neenstetten, Nerenstetten, Öllingen, Rammingen, Setzingen, Westerstetten
Schneelastzone 2: Altheim (Alb), Amstetten, Ballendorf, Laichingen, Lonsee, Merklingen, Nellingen, Weidenstetten, Westerheim.
Landkreis Biberach:
Schneelastzone 1: Alle Gemeinden und Gemeindeteile, sofern nicht in Zone 1a
Schneelastzone 1a: Rot a. d. Rot, Steinhausen a. d. Rottum (nur Gemeindeteile Steinhausen und Bellamont), Eberhardzell (nur Gemeindeteile Füramoos und Mühlhausen).
Bodenseekreis:
Schneelastzone 1: Alle Gemeinden, sofern nicht in Zone 2
Schneelastzone 2: Kressbronn, Langenargen, Neukirch, Tettnang.
Landkreis Ravensburg:
Schneelastzone 1: Alle Gemeinden, sofern nicht in Zone 2 oder 3
Schneelastzone 2: Achberg, Aichstetten, Aitrach, Amtzell, Bad Wurzach, Bodnegg, Grünkraut, Schlier, Vogt, Waldburg, Wolfegg
Schneelastzone 3: Argenbühl, Isny, Kißleg, Leutkirch i. Allgäu, Wangen i. Allgäu.
Landkreis Reutlingen:
Schneelastzone 1: Gomadingen, Hayingen, Hohenstein, Mehrstetten, Münsingen, Pfronstetten, Trochtelfingen, Zwiefalten
Schneelastzone 2: Alle Gemeinden, sofern nicht in Zone 1.
Landkreis Sigmaringen:
Schneelastzone 1: Alle Gemeinden.
Landkreis Tübingen:
Schneelastzone 2: Alle Gemeinden.
Stadtkreis Ulm:
Schneelastzone 1.
Zollernalbkreis:
Schneelastzone 1: Bitz, Meßstetten (ohne Gemeindeteile Hossingen, Oberdigisheim und Tieringen), Nusplingen, Straßberg, Winterlingen
Schneelastzone 2: Alle Gemeinden und Gemeindeteile, sofern nicht in Zone 1.
Bodensee:
Schneelastzone 1.
Anhang II - Windzonen nach DIN EN 1991-1-4/NA
Zuordnung der Gemeinden und Gemeindeteile des Landes Baden-Württemberg zu den Windzonen nach DIN EN 1991-1- 4/NA:2010-12
Regierungsbezirk Stuttgart:
Windzone 1: Alle Gemeinden.
Regierungsbezirk Karlsruhe:
Windzone 1: Alle Gemeinden.
Regierungsbezirk Freiburg:
Windzone 1: Alle Gemeinden und Gemeindeteile, soweit nicht in Windzone 2
Windzone 2: Bodensee, Bodenseeanrainergemeinden bis 3 km ins Landesinnere.
Regierungsbezirk Tübingen:
Landkreise Reutlingen und Tübingen; Stadtkreis Ulm; Zollernalbkreis:
Windzone 1: Alle Gemeinden.
Alb-Donau-Kreis:
Windzone 1: Alle Gemeinden, soweit nicht in Windzone 2
Windzone 2: Gemeinden Balzheim, Dietenheim, Hüttisheim, Illerkirchberg, Illerrieden, Schnürpflingen, Staig.
Bodenseekreis; Landkreise Biberach, Ravensburg und Sigmaringen:
Windzone 2: Alle Gemeinden.
Bodensee: Windzone 2.
![]() |
ENDE | ![]() |
(Stand: 07.08.2018)
Alle vollständigen Texte in der aktuellen Fassung im Jahresabonnement
Nutzungsgebühr: ab 105.- € netto
(derzeit ca. 7200 Titel s.Übersicht - keine Unterteilung in Fachbereiche)
Die Zugangskennung wird kurzfristig übermittelt
? Fragen ?
Abonnentenzugang/Volltextversion