Für einen individuellen Ausdruck passen Sie bitte die
Einstellungen in der Druckvorschau Ihres Browsers an.
Regelwerk, EU 2017, Immissionsschutz - EU Bund / Gefahrgut/Transport - EU Bund

Durchführungsverordnung (EU) 2017/1153 der Kommission vom 2. Juni 2017 zur Festlegung eines Verfahrens für die Ermittlung der Korrelationsparameter, die erforderlich sind, um der Änderung des Regelprüfverfahrens Rechnung zu tragen, und zur Änderung der Verordnung (EU) Nr. 1014/2010

(Text von Bedeutung für den EWR)

(ABl. Nr. L 175 vom 07.07.2017 S. 679;
VO (EU) 2017/1231 - ABl. Nr. L 177 vom 08.07.2017 S. 11 Inkrafttreten;
VO (EU) 2018/1002 - ABl. Nr. L 180 vom 17.07.2018 S. 10 Inkrafttreten;
VO (EU) 2018/2043 - ABl. Nr. L 327 vom 21.12.2018 S. 58 Inkrafttreten Gültig A;
VO (EU) 2019/1840 - ABl. L 282 vom 04.11.2019 S. 9 Inkrafttreten Gültig, ber. 2021 L 309 S. 39;
VO (EU) 2021/392 - ABl. L 77 vom 05.03.2021 S. 8aufgehoben)


aufgehoben gem. Art. 15 der VO (EU) 2021/392

Die Europäische Kommission-

gestützt auf den Vertrag über die Arbeitsweise der Europäischen Union,

gestützt auf die Verordnung (EG) Nr. 443/2009 des Europäischen Parlaments und des Rates vom 23. April 2009 zur Festsetzung von Emissionsnormen für neue Personenkraftwagen im Rahmen des Gesamtkonzepts der Gemeinschaft zur Verringerung der CO2-Emissionen von Personenkraftwagen und leichten Nutzfahrzeugen 1, insbesondere auf Artikel 8 Absatz 9 Unterabsatz 1 und Artikel 13 Absatz 7 Unterabsatz 1,

in Erwägung nachstehender Gründe:

(1) Ein in der Verordnung (EU) 2017/1151 der Kommission 2 festgelegtes neues Regelprüfverfahren für die Messung der CO2-Emissionen und des Kraftstoffverbrauchs leichter Nutzfahrzeuge - das weltweit harmonisierte Prüfverfahren für leichte Nutzfahrzeuge (World Harmonised Light Vehicles Test Procedure, WLTP) - wird den derzeit geltenden und mit der Verordnung (EG) Nr. 692/2008 der Kommission 3 eingeführten Neuen Europäischen Fahrzyklus (NEFZ) mit Wirkung vom 1. September 2017 ersetzen. Das WLTP soll CO2-Emissions- und Kraftstoffverbrauchswerte liefern, die realen Fahrbedingungen besser entsprechen.

(2) Um der Differenz zwischen den nach dem geltenden NEFZ-Verfahren und nach dem neuen WLTP-Verfahren gemessenen CO2-Emissionen Rechnung zu tragen, sollte ein Verfahren zur Korrelation dieser Werte eingeführt werden, damit ermittelt werden kann, inwieweit die Hersteller die Zielvorgabe für die spezifischen CO2-Emissionen gemäß der Verordnung (EG) Nr. 443/2009 einhalten.

(3) Das WLTP wird stufenweise eingeführt, beginnend ab dem 1. September 2017 für neue Fahrzeugtypen und ab dem 1. September 2018 für alle Fahrzeuge. Ab dem 1. September 2019, wenn auch auslaufende Fahrzeugserien schrittweise eingestellt wurden, werden alle neuen Fahrzeuge, die auf dem Unionsmarkt in Verkehr gebracht werden, nach dem WLTP geprüft. In diesem Zeitraum empfiehlt es sich, die Einhaltung der Zielvorgabe für die spezifischen Emissionen anhand von nach dem NEFZ gemessenen CO2-Emissionswerten zu überprüfen.

(4) Es ist jedoch wünschenswert, den Prüfaufwand sowohl für Hersteller als auch Typgenehmigungsbehörden zu begrenzen; daher sollte die Möglichkeit bestehen, die NEFZ-Bezugswerte für CO2-Emissionen mittels Simulationen festzulegen. Zu diesem Zweck wurde ein spezielles Simulationsinstrument für Fahrzeuge (Korrelationsinstrument) entwickelt. Die Eingabedaten für das Korrelationsinstrument sollten keine zusätzlichen Prüfungen erfordern, sondern von den WLTP-Typgenehmigungsprüfungen abgeleitet werden.

(5) Nach dem Wechsel zum WLTP muss im Einklang mit Artikel 13 Absatz 7 Unterabsatz 2 der Verordnung (EG) Nr. 443/2009 die Strenge der CO2-Reduktionsauflagen für Hersteller und Fahrzeuge mit unterschiedlichem Nutzwert weiterhin mit derjenigen vergleichbar sein, die in der Verordnung (EG) Nr. 443/2009 mit Bezug auf die nach dem NEFZ ermittelten CO2-Emissionswerte festgelegt wurde. Das Korrelationsverfahren sollte daher jenen NEFZ- Prüfbedingungen Rechnung tragen, die ausdrücklich für die Erteilung der Typgenehmigung erforderlich sind.

(6) Für moderne Fahrzeugtechnologien oder spezifische technologische Konfigurationen kann das Korrelationsinstrument möglicherweise keine hinreichend genauen NEFZ-CO2-Werte liefern. In solchen Fällen sollte der Hersteller die Möglichkeit haben, stattdessen eine physische Fahrzeugprüfung durchzuführen. Um gleiche Ausgangsbedingungen zu gewährleisten, sollten für diese Prüfungen dieselben NEFZ-Prüfbedingungen gelten, die für das Korrelationsinstrument festgelegt wurden.

(7) In der Verordnung (EG) Nr. 443/2009 ist eine Reihe von Maßnahmen festgelegt, die getroffen werden können, um die Zielvorgaben für die spezifischen Emissionen einzuhalten. Um eine vergleichbare Strenge zu gewährleisten, ist es angezeigt, bei der Berechnung der Begünstigungen gemäß Artikel 5a der Verordnung (EG) Nr. 443/2009 und der Ökoinnovationseinsparungen gemäß Artikel 12 der genannten Verordnung bestimmte Anpassungen vorzunehmen. Die Rahmenbedingungen für diese Maßnahmen stehen jedoch nicht in direkter Abhängigkeit von dem anzuwendenden Prüfverfahren und sollten folglich ohne Anpassungen beibehalten werden, einschließlich der für die Begünstigungen und die Ökoinnovationseinsparungen festgelegten Obergrenzen.

(8) Es ist wichtig, dafür Sorge zu tragen, dass verfahrenstechnische Toleranzen und die Ergebnisse des Korrelationsinstruments wie vorgesehen angewandt werden und nicht, um die CO2-Emissionswerte zur Erreichung der Zielvorgabe künstlich zu senken. Daher sollte eine begrenzte Zahl stichprobenartiger physischer Prüfungen durchgeführt werden, um zu überprüfen, ob die Eingabedaten und die NEFZ-Bezugswerte auf der Grundlage der Ergebnisse des Korrelationsinstruments korrekt ermittelt wurden. Sollte eine Stichprobenprüfung ergeben, dass ein Hersteller für die Typgenehmigung einen NEFZ-CO2-Wert angegeben hat, der unter der zulässigen Toleranzgrenze für das Messergebnis liegt, oder sollten falsche Eingabedaten übermittelt worden sein, sollte die Kommission die Möglichkeit haben, einen Korrekturfaktor zu bestimmen und anzuwenden, um die durchschnittlichen spezifischen Emissionen eines Herstellers heraufzusetzen. Dies sollte auch von Missbrauch oder übermäßiger Ausnutzung der Messtoleranzen abschrecken.

(9) Die Überwachung von CO2-Emissionswerten ist in der Verordnung (EU) Nr. 1014/2010 der Kommission 4 festgelegt; auch diese Vorschriften müssen an das neue Prüfverfahren angepasst werden. Mit dem WLTP wird ein spezifischer CO2-Emissionswert berechnet und in der Übereinstimmungsbescheinigung jedes einzelnen Fahrzeugs erfasst. Im Hinblick auf eine wirksame Überwachung und Überprüfung dieser Werte müssen die Fahrzeug-Identifizierungsnummern die Grundlage für die Überwachung bilden.

(10) Angesichts der erforderlichen umfassenden Anpassungen der Fahrzeugzulassungs- und CO2-Überwachungssysteme ist es angezeigt, den Mitgliedstaaten die Möglichkeit zur schrittweisen Einführung der neuen Überwachungsparameter im Jahr 2017 zu geben und erst ab 2018 den vollständigen neuen Datensatz zu verlangen. Die 2017 zu meldenden Daten sollten mindestens jene Angaben umfassen, die erforderlich sind, um die Einhaltung der Zielvorgabe zu prüfen und den Missbrauch des Korrelationsinstruments zu verhindern.

(11) Die in dieser Verordnung vorgesehenen Maßnahmen entsprechen der Stellungnahme des Ausschusses für Klimaänderung

- hat folgende Verordnung erlassen:

Artikel 1 Gegenstand

Diese Verordnung enthält

  1. ein Verfahren für die Korrelation der CO2-Emissionen, die im Einklang mit Anhang XXI der Verordnung (EU) 2017/1151 gemessen werden, und jenen, die im Einklang mit Anhang XII der Verordnung (EG) Nr. 692/2008 ermittelt werden;
  2. ein Verfahren für die Anwendung des unter Buchstabe a genannten Verfahrens für die Ermittlung der durchschnittlichen spezifischen CO2-Emissionen der einzelnen Hersteller;
  3. die Änderungen der Verordnung (EU) Nr. 1014/2010, die zur Anpassung der CO2-Emissionsdatenüberwachung erforderlich sind, um der Änderung der Emissionswerte Rechnung zu tragen.

Artikel 2 Begriffsbestimmungen

Für die Zwecke dieser Verordnung bezeichnet der Ausdruck

  1. "NEFZ-CO2-Werte" die CO2-Emissionen, die im Einklang mit Anhang I ermittelt und in den Übereinstimmungsbescheinigungen erfasst wurden;
  2. "gemessene NEFZ-CO2-Werte" die CO2-Emissionen (Phasen und kombiniert), die im Einklang mit Anhang XII der Verordnung (EG) Nr. 692/2008 im Wege einer physischen Fahrzeugprüfung ermittelt wurden;
  3. "WLTP-CO2-Werte" die CO2-Emissionen (kombiniert), die im Einklang mit dem in Anhang XXI der Verordnung (EU) 2017/1151 festgelegten Prüfverfahren ermittelt wurden;
  4. "WLTP-Interpolationsfamilie" die Interpolationsfamilie, die im Einklang mit Anhang XXI Nummer 5.6 der Verordnung (EU) 2017/1151 bestimmt wurde;
  5. "Korrelationsinstrument" das in Anhang I Nummer 2 genannte Simulationsmodell.

Artikel 3 Ermittlung der durchschnittlichen spezifischen CO2-Emissionen zur Einhaltung der Zielvorgabe im Zeitraum 2017-2020

(1) Für die Kalenderjahre 2017 bis einschließlich 2020 werden die durchschnittlichen spezifischen Emissionen eines Herstellers unter Verwendung der folgenden CO2-Massenemissionswerte (kombiniert) ermittelt:

  1. für Personenkraftwagen der Klasse M1, deren Typgenehmigung gemäß Anhang XXI der Verordnung (EU) 2017/1151 erteilt wurde: NEFZ-CO2-Werte;
  2. für bestehende typen von Personenkraftwagen der Klasse M1, für die eine Typgenehmigung gemäß Anhang XII der Verordnung (EG) Nr. 692/2008 erteilt wurde: bis zum 31. August 2018 für das Jahr 2017 gemessene NEFZ-CO2- Werte und vom 1. September 2018 bis zum 31. Dezember 2020 NEFZ-CO2-Werte;
  3. für Fahrzeuge einer auslaufenden Serie gemäß Artikel 27 der Richtlinie 2007/46/EG des Europäischen Parlaments und des Rates 5: gemessene NEFZ-CO2-Werte.

(2) Hersteller, die in den Kalenderjahren 2017 bis einschließlich 2020 jeweils für mehr als 1.000, aber weniger als 10.000 in der Union neu zugelassene Personenkraftwagen verantwortlich sind, können entweder die NEFZ-CO2-Werte oder die gemessenen NEFZ-CO2-Werte verwenden.

Artikel 4 Ermittlung der durchschnittlichen spezifischen Emissionen auf Grundlage der WLTP-CO2-Werte

(1) Die unter Nummer 49.4 der Übereinstimmungsbescheinigung als "kombiniert" oder gegebenenfalls "gewichtet, kombiniert" angegebenen WLTP-CO2-Emissionen werden ab dem 1. Januar 2018 für alle Neuzulassungen überwacht.

(2) Ab dem 1. Januar 2018 werden für jeden Hersteller die durchschnittlichen spezifischen Emissionen auf Grundlage der WLTP-CO2-Werte erfasst.

Mit Wirkung vom 1. Januar 2021 werden diese durchschnittlichen spezifischen Emissionen genutzt, um festzustellen, inwieweit der Hersteller seine Zielvorgabe für die spezifischen Emissionen einhält.

Artikel 5 Anwendung des Artikels 5a der Verordnung (EG) Nr. 443/2009 - Begünstigungen

Liegt der gemessene NEFZ-CO2-Wert eines neuen Personenkraftwagens unter 50 g CO2/km, kann der Hersteller diesen Wert bis zum 31. Dezember 2022 für die Zwecke der Anwendung des Artikels 5a der Verordnung (EG) Nr. 443/2009 in die Übereinstimmungsbescheinigung des betreffenden Fahrzeugs eintragen.

Mit Wirkung vom 1. Januar 2021

  1. werden die spezifischen Emissionen dieser Fahrzeuge gemäß Artikel 5a der genannten Verordnung unter Verwendung der WLTP-CO2-Werte dieser Fahrzeuge berechnet;
  2. wird die in Artikel 5a der genannten Verordnung festgelegte Obergrenze von 7,5 g CO2/km wie folgt berücksichtigt:

Dabei ist

Capn,r der Anteil der verbleibenden Obergrenze im Jahr 2020 nach dem NEFZ;
SCn2020 die Begünstigungseinsparung im Jahr 2020 nach dem NEFZ;
SCw2020 die Begünstigungseinsparung im Jahr 2020 nach dem WLTP;
Capw die verbleibende Obergrenze für die Begünstigungseinsparung, die bei der Berechnung der durchschnittlichen spezifischen Emissionen in den Jahren 2021 und 2022 zu berücksichtigen ist.

Artikel 6 Anwendung des Artikels 12 der Verordnung (EG) Nr. 443/2009 - Ökoinnovationen

(1) Mit Wirkung vom 1. Januar 2021 werden bei der Berechnung der durchschnittlichen spezifischen Emissionen eines Herstellers nur CO2-Einsparungen aufgrund von Ökoinnovationen im Sinne von Artikel 12 der Verordnung (EG) Nr. 443/2009 berücksichtigt, die nicht unter das in Anhang XXI der Verordnung (EU) 2017/1151 festgelegte Prüfverfahren fallen.

(2) Die CO2-Gesamteinsparungen eines Herstellers aufgrund von Ökoinnovationen (eco-innovations, EI) in den folgenden Kalenderjahren werden wie folgt angepasst:

  1. im Jahr 2021: EI Einsparungenangepasst 2021 = WLTPEI Einsparungen 2021 · 1,9
  2. im Jahr 2022: EI Einsparungenangepasst 2022 = WLTPEI Einsparungen 2022 · 1,7
  3. im Jahr 2023: EI Einsparungenangepasst 2023 = WLTPEI Einsparungen 2023 · 1,5

Dabei sind

EI Einsparungenangepasst 20xx die Einsparungen aufgrund von Ökoinnovationen in dem betreffenden Jahr, die bei der Berechnung der durchschnittlichen spezifischen Emissionen zu berücksichtigen sind;
WLTPEI Einsparungen 20xx die Einsparungen aufgrund von Ökoinnovationen in dem betreffenden Jahr, die nach dem WLTP ermittelt und in die Übereinstimmungsbescheinigung eingetragen wurden.

Ab dem Kalenderjahr 2024 werden die Einsparungen aufgrund von Ökoinnovationen bei der Berechnung der durchschnittlichen spezifischen Emissionen ohne Anpassung berücksichtigt.

Artikel 7 Ermittlung und Korrektur der NEFZ-CO2-Werte für die Berechnung der durchschnittlichen spezifischen Emissionen

(1) Ab dem Kalenderjahr 2017 bis einschließlich 2020 werden die durchschnittlichen spezifischen CO2-Emissionen eines Herstellers unter Verwendung der NEFZ-CO2-Werte berechnet, die im Einklang mit dem in Anhang I Abschnitt 4 festgelegten Verfahren ermittelt werden, sofern nicht Artikel 3 Absatz 1 Buchstabe b oder c bzw. Absatz 2 Anwendung findet.

(2) Übersteigt gemäß Anhang I Nummer 3.2.8 der Abweichungsfaktor (De) für eine WLTP-Interpolationsfamilie den Wert 0,04 oder beträgt der gemäß dieser Nummer ermittelte Prüffaktor "1", so werden die durchschnittlichen spezifischen NEFZ-CO2-Emissionen des für diese Interpolationsfamilie verantwortlichen Herstellers mit dem folgenden Korrekturfaktor multipliziert:

Dabei ist

Dei der im Einklang mit Anhang I Nummer 3.2.8 ermittelte Wert;
ri die Zahl der jährlichen Zulassungen von Fahrzeugen der jeweiligen betreffenden WLTP-Interpolationsfamilie i;
δ3,i gleich 0, sofern Dei fehlt, und sonst gleich 1;
N die Zahl der WLTP-Interpolationsfamilien, für die ein Hersteller verantwortlich ist.

Artikel 7a Meldung von WLTP-Messergebnissen 18 19

(1) "Die Hersteller berechnen die kombinierten CO2-Emissionen oder gegebenenfalls die gewichteten kombinierten CO2-Emissionen (MCO2,gemessen) für jeden neuen im Jahr 2020 zugelassenen Personenkraftwagen gemäß den folgenden Gleichungen:

  1. Für Fahrzeuge nur mit Verbrennungsmotor:
    die Gleichung für die Berechnung von MCO2-ind gemäß Anhang XXI Unteranhang 7 Nummer 3.2.3.2.4 der Verordnung (EU) 2017/1151, wobei MCO2-H und MCO2-L für die betreffende Interpolationsfamilie durch die Werte MCO2,C,5 (kombiniert) aus den Einträgen 2.5.1.1.3 (Fahrzeug H) und 2.5.1.2.3 (Fahrzeug L) des EG-Typgenehmigungsbogens gemäß dem Muster in Anhang I Anlage 4 der Verordnung (EU) 2017/1151 ersetzt werden;
  2. Für nicht extern aufladbare Hybridelektrofahrzeuge (NOVC-HEV).

    die Gleichung: MCO2-gemessen = MCO2-L,C,5 + Kind × (MCO2-H,C,5 - MCO2-L,C,5)

    Dabei ist

    MCO2-L,C,5 der Wert MCO2,C,5 (kombiniert) für die betreffende Interpolationsfamilie aus dem Eintrag 2.5.1.2.3 des EG-Typgenehmigungsbogens gemäß dem Muster in Anhang I Anlage 4 der Verordnung (EU) 2017/1151;
    Kind der Interpolationskoeffizient des untersuchten Einzelfahrzeugs im anzuwendenden WLTP-Prüfzyklus gemäß Anhang XXI Unteranhang 8 Nummer 4.5.3 der Verordnung (EU) 2017/1151;
    MCO2-H,C,5 der Wert MCO2,C,5 (kombiniert) für die betreffende Interpolationsfamilie aus dem Eintrag 2.5.1.1.3 des EG-Typgenehmigungsbogens gemäß dem Muster in Anhang I Anlage 4 der Verordnung (EU) 2017/1151.
  3. Für extern aufladbare Hybridelektrofahrzeuge (OVC-HEV).

    die Gleichung: MCO2-gemessen = MCO2-L,C,5 + Kind × (MCO2-H,C,5 - MCO2-L,C,5)

    Dabei ist

    MCO2-L,C,5, MCO2-H,C,5 für die betreffende Interpolationsfamilie nach der Formel in Anhang XXI Unteranhang 8 Nummer 4.1.3.1 der Verordnung (EU) 2017/1151 zu ermitteln, wobei Mi,CDj durch den Wert MCO2,CD (kombiniert) aus dem Eintrag 2.5.3.2 des EG-Typgenehmigungsbogens für das Fahrzeug H bzw. L und Mi,CS durch den Wert MCO2,C,5 (kombiniert) aus dem Eintrag 2.5.3.1 des EG-Typgenehmigungsbogens für das Fahrzeug H, L bzw. M zu ersetzen sind;
    Kind der Interpolationskoeffizient des untersuchten Einzelfahrzeugs im anzuwendenden WLTP-Prüfzyklus gemäß Anhang XXI Unteranhang 8 Nummer 4.5.3 der Verordnung (EU) 2017/1151."

Werden die kombinierten CO2-Emissionen des Einzelfahrzeugs nur durch Bezugnahme auf das Fahrzeug H ermittelt, so müssen die Hersteller den Wert MCO2,C,5 aus dem Eintrag 2.5.1.1.3 (Fahrzeug H) des EG-Typgenehmigungsbogens zur Verfügung stellen.

Die Hersteller legen der Kommission diese CO2-Emissionswerte zusammen mit den für die Berechnung verwendeten MCO2,C,5-Werten spätestens drei Monate nach Eingang der vorläufigen Daten für 2020 bei der Kommission vor, indem sie diese Daten auf das Konto des Herstellers im Geschäftsdatenspeicher ("Business Data Repository") der Europäischen Umweltagentur hochladen.

(1a) Werden in den Einträgen 2.5.1.1.3, 2.5.1.2.3, 2.5.3.1 oder 2.5.3.2 eines EG-Typgenehmigungsbogens mehrere Messwerte erfasst, wird der Wert MCO2,C,5 bzw. MCO2,CDgemäß Absatz 1 für die Zwecke dieser Bestimmung wie folgt ermittelt:

  1. bei einer Messung: der kombinierte Wert aus der Prüfung 1;
  2. bei zwei Messungen: der Durchschnitt der beiden kombinierten Werte aus den Prüfungen 1 und 2;
  3. bei drei Messungen: der Durchschnitt der drei kombinierten Werte aus den Prüfungen 1, 2 und 3.

(2) Werden die unter Nummer 1 genannten Daten nicht innerhalb der angegebenen Frist übermittelt, so nimmt die Kommission den Wert unter Nummer 2.5.1.2.3 des EG-Typgenehmigungsbogens und betrachtet ihn als den für die kombinierten CO2-Emissionen geltenden Wert für die Zwecke der Nummer 1 für alle neu zugelassenen Fahrzeuge der Interpolationsfamilie, für die der Typgenehmigungsbogen ausgestellt wurde, sowie gegebenenfalls - wenn nur Messungen des Fahrzeugs H zur Verfügung stehen - den in Eintrag 2.5.1.1.3 für diese Familien angegebenen Wert.

(3) Die Kommission überwacht die Zahl der Interpolationsfamilien, für die die CO2-Emissionen nur durch Bezugnahme auf das Fahrzeug H ermittelt werden, für jeden Hersteller und sie bewertet im Falle eines Anstiegs der Zahl dieser Familien im Vergleich zur Situation im Jahr 2018 die Auswirkungen dieser Erhöhung auf die Berechnung gemäß Nummer 1 und schließt gegebenenfalls diese Familien aus der Berechnung aus.

Artikel 8 Änderung der Verordnung (EU) Nr. 1014/2010

Die Verordnung (EU) Nr. 1014/2010 wird wie folgt geändert:

1. Artikel 5 wird wie folgt geändert:

a) Buchstabe b erhält folgende Fassung:

"b) für jedes Fahrzeug den Abweichungsfaktor (De) und den Prüffaktor, die gemäß Anhang I Nummer 3.2.8 der Durchführungsverordnung (EU) 2017/1153 der Kommission * ermittelt wurden;

____
*) Durchführungsverordnung (EU) 2017/1153 vom 2. Juni 2017 zur Festlegung eines Verfahrens für die Ermittlung der Korrelationsparameter, die erforderlich sind, um der Änderung des Regelprüfverfahrens Rechnung zu tragen, und zur Änderung der Verordnung (EU) Nr. 1014/2010 (ABl. Nr. L 175, 7.7.2017, S. 679).";

b) Folgender Absatz 3 wird angefügt:

"Ungeachtet der in Anhang II der Verordnung (EG) Nr. 443/2009 genannten ausführlichen Datenparameter, melden die Mitgliedstaaten im Hinblick auf die bis zum 31. Dezember 2017 erfassten Daten neben den bereits vorgeschriebenen Parametern nur den Abweichungsfaktor (De) und den Prüffaktor. Ab dem 1. Januar 2018 werden alle in Anhang II genannten ausführlichen Überwachungsdaten erfasst und gemeldet.";

2. Artikel 6 wird gestrichen.

3. Folgender Artikel 9a wird eingefügt:

" Artikel 9a Erstellung der vorläufigen Datensätze

(1) Der einem Hersteller gemäß Artikel 8 Absatz 4 Unterabsatz 2 der Verordnung (EG) Nr. 443/2009 mitzuteilende vorläufige Datensatz umfasst die Aufzeichnungen, die diesem Hersteller anhand seines Namens und ab dem 1. Januar 2018 anhand der Fahrzeug-Identifizierungsnummer zugeordnet werden können.

Das zentrale Verzeichnis gemäß Artikel 8 Absatz 4 Unterabsatz 1 der Verordnung (EG) Nr. 443/2009 enthält keine Daten zu Fahrzeug-Identifizierungsnummern.

(2) Die Bearbeitung der Fahrzeug-Identifizierungsnummern geht nicht mit der Bearbeitung von personenbezogenen Daten, die mit diesen Nummern in Verbindung gebracht werden könnten, oder mit der Bearbeitung anderer Daten einher, durch die die Fahrzeug-Identifizierungsnummern mit personenbezogenen Daten in Verbindung gebracht werden könnte."

4. Anhang I erhält die Fassung von Anhang II dieser Verordnung.

Artikel 9 Inkrafttreten

Diese Verordnung tritt am zwanzigsten Tag nach ihrer Veröffentlichung im Amtsblatt der Europäischen Union in Kraft.

Diese Verordnung ist in allen ihren Teilen verbindlich und gilt unmittelbar in jedem Mitgliedstaat.

Brüssel, den 2. Juni 2017

______

1) ABl. Nr. L 140 vom 05.06.2009 S. 1.

2) Verordnung (EU) 2017/1151 der Kommission vom 1. Juni 2017 zur Ergänzung der Verordnung (EG) Nr. 715/2007 des Europäischen Parlaments und des Rates über die Typgenehmigung von Kraftfahrzeugen hinsichtlich der Emissionen von leichten Personenkraftwagen und Nutzfahrzeugen (Euro 5 und Euro 6) und über den Zugang zu Reparatur- und Wartungsinformationen für Fahrzeuge, zur Änderung der Richtlinie 2007/46/EG des Europäischen Parlaments und des Rates, der Verordnung (EG) Nr. 692/2008 der Kommission sowie der Verordnung (EU) Nr. 1230/2012 der Kommission und zur Aufhebung der Verordnung (EG) Nr. 692/2008 (siehe Seite 1 dieses Amtsblatts).

3) Verordnung (EG) Nr. 692/2008 der Kommission vom 18. Juli 2008 zur Durchführung und Änderung der Verordnung (EG) Nr. 715/2007 des Europäischen Parlaments und des Rates über die Typgenehmigung von Kraftfahrzeugen hinsichtlich der Emissionen von leichten Personenkraftwagen und Nutzfahrzeugen (Euro 5 und Euro 6) und über den Zugang zu Reparatur- und Wartungsinformationen für Fahrzeuge (ABl. Nr. L 199 vom 28.07.2008 S. 1).

4) Verordnung (EU) Nr. 1014/2010 der Kommission vom 10. November 2010 über die Erfassung und Meldung von Daten über die Zulassung neuer Personenkraftwagen gemäß der Verordnung (EG) Nr. 443/2009 des Europäischen Parlaments und des Rates (ABl. Nr. L 293 vom 11.11.2010 S. 15).

5) Richtlinie 2007/46/EG des Europäischen Parlaments und des Rates vom 5. September 2007 zur Schaffung eines Rahmens für die Genehmigung von Kraftfahrzeugen und Kraftfahrzeuganhängern sowie von Systemen, Bauteilen und selbstständigen technischen Einheiten für diese Fahrzeuge (ABl. Nr. L 263 vom 09.10.2007 S. 1).

.

Anhang I 17 18 18a 19

1. Einführung

In diesem Anhang wird das Verfahren für die Ermittlung des NEFZ-CO2-Werts von Einzelfahrzeugen der Klasse M1 festgelegt.

2. Ermittlung des NEFZ-CO2-Werts für die WLTP-Interpolationsfamilie

2.1. Korrelationsinstrument 19

Die Typgenehmigungsbehörde stellt sicher, dass die NEFZ-CO2-Werte, die als Bezugswerte für die Zwecke des Abschnitts 3 verwendet werden sollen, mittels Simulationen im Einklang mit den Bestimmungen dieses Anhangs ermittelt werden.

Die Kommission stellt zu diesem Zweck ein Simulationsinstrument (im Folgenden "Korrelationsinstrument") in Form einer herunterladbaren, ausführbaren Software bereit. Bei nicht extern aufladbaren Hybridelektrofahrzeugen (NOVC-HEV) und extern aufladbaren Hybridelektrofahrzeugen (OVC-HEV) werden die als Referenz für die Zwecke des Abschnitts 3 zu verwendenden NEFZ-CO2-Werte im Wege physischer Fahrzeugprüfungen und nicht anhand von mit dem Korrelationsinstrument durchgeführten Simulationen ermittelt. Die physischen Messungen sind gemäß den in diesem Anhang festgelegten einschlägigen Bestimmungen für physische Fahrzeugprüfungen durchzuführen. Die Eingabedaten für die physischen Fahrzeugprüfungen werden gemäß Nummer 2.4 bestimmt und der Typgenehmigungsbehörde oder gegebenenfalls dem technischen Dienst vorgelegt.

2.1.1. Zugang zum Korrelationsinstrument

Das Korrelationsinstrument wird gemäß den Anweisungen auf der nachstehend genannten Website auf einem Computer der Typgenehmigungsbehörde oder gegebenenfalls des technischen Diensts installiert:

[http://ec.europa.eu/clima/policies/transport/vehicles/cars/documentation_de.htm]

Die Typgenehmigungsbehörde sorgt dafür, dass das Korrelationsinstrument im Einklang mit den Anforderungen dieser Verordnung und den in der Bedienungsanleitung 1 erteilten Anweisungen betrieben wird.

Die Genehmigungsbehörden und technischen Dienste, die das Korrelationsinstrument für die Zwecke dieser Verordnung nutzen, erhalten auf Anfrage Unterstützung durch die Kommission. Unterstützungsanfragen sind an die folgende funktionelle Mailbox zu richten:

co2mpas@jrc.ec.europa.eu 2

Das Korrelationsinstrument ist auch anderen Nutzern zugänglich; diese erhalten jedoch nur im Rahmen der zur Verfügung stehenden Ressourcen Unterstützung.

2.1.2. Benennung der Nutzer des Korrelationsinstruments 17

Die Mitgliedstaaten teilen der Kommission die jeweiligen Kontaktstellen mit, die bei der Genehmigungsbehörde und gegebenenfalls beim technischen Dienst für die Ausführung der Durchläufe des Korrelationsinstruments zuständig sind. Je Behörde oder Dienst darf nur eine Kontaktstelle benannt werden. Die Mitteilung an die Kommission umfasst folgende Angaben: Name der Organisation, Name der verantwortlichen Person, Postanschrift, E-Mail-Adresse und Telefonnummer. Diese Angaben sind an die folgende funktionelle Mailbox zu senden 3:

EC-CO2-LDV-IMPLEMENTATION@ec.europa.eu.

Ausschließlich auf Anfrage der Kontaktstelle werden elektronische Signierschlüssel zur Ausführung des Korrelationsinstruments zur Verfügung gestellt. 4 Die Kommission veröffentlicht Anweisungen zu dem für solche Anfragen zu verwendenden Verfahren.

2.1.3. Jährliche Aktualisierung des Korrelationsinstruments

Die Leistung des Korrelationsinstruments wird fortlaufend überprüft, wobei insbesondere die von den unter Nummer 2.1.2 genannten Personen übermittelten Informationen berücksichtigt werden. Gegebenenfalls arbeitet die Kommission eine neue Version aus, die einmal im Jahr am 1. September veröffentlicht wird. Die neue Version berührt nicht die Gültigkeit der Ergebnisse früherer Versionen.

Die neue Version kann ab dem Zeitpunkt ihrer Veröffentlichung für das in Abschnitt 3 dieses Anhangs festgelegte Verfahren genutzt werden. Mit Zustimmung der Typgenehmigungsbehörde oder des technischen Dienstes kann die frühere Version des Korrelationsinstruments allerdings für eine Dauer von höchstens zwei Monaten nach der Veröffentlichung der neuen Version weitergenutzt werden.

Die verwendete Version sowie das Betriebssystems des Computers, auf dem die Typgenehmigungsbehörde oder der technische Dienst das Korrelationsinstrument ausgeführt hat, sind in dem elektronisch unterzeichneten Ausgabebericht des Korrelationsinstruments anzugeben.

Erfordert die Anwendbarkeit der neuen Version die Anpassung der in dieser Verordnung festgelegten Bestimmungen, wird die neue Version erst veröffentlicht, wenn die Verordnung entsprechend geändert worden ist.

2.1.4. Ad-hoc-Anpassung des Korrelationsinstruments

Ungeachtet der Nummer 2.1.3 wird im Falle einer schwerwiegenden Fehlfunktion des Korrelationsinstruments in Bezug auf das Verfahren nach Abschnitt 3 baldmöglichst nach Feststellung der Fehlfunktion eine neue Version des Instruments ausgearbeitet und veröffentlicht. Die neue Version findet ab dem Zeitpunkt ihrer Veröffentlichung Anwendung und berührt nicht die Gültigkeit der Ergebnisse früherer Versionen.

Erfordert die Anwendbarkeit der neuen Version die Anpassung der in dieser Verordnung festgelegten Bestimmungen, wird die neue Version erst veröffentlicht, wenn die Verordnung entsprechend geändert worden ist.

2.2. Bestimmung der WLTP-Prüfergebnisse zur Festlegung der Eingabedaten für das Simulationsmodell 17

Die Eingabedaten für die Simulationen mit dem Korrelationsinstrument sind den einschlägigen WLTP-Prüfergebnissen für das im Einklang mit Anhang XXI Unteranhang 4 Nummer 4.2.1 der Verordnung (EU) 2017/1151 definierte Fahrzeug H und gegebenenfalls Fahrzeug L zu entnehmen. Wird im Einklang mit Anhang XXI Tabelle A6/2 der genannten Verordnung mehr als eine WLTP-Typgenehmigungsprüfung des Fahrzeugs H oder L durchgeführt, werden die folgenden Prüfergebnisse zur Ermittlung der Eingabedaten herangezogen:

  1. Werden zwei Typgenehmigungsprüfungen durchgeführt, sind die Prüfergebnisse mit den höchsten kombinierten CO2-Emissionswerten zu verwenden;
  2. werden drei Typgenehmigungsprüfungen durchgeführt, sind die Prüfergebnisse mit den mittleren CO2-Emissionswerten zu verwenden.

2.2a. WLTP-Prüfbedingungen 18 19

Damit die WLTP-Prüfung als relevant im Sinne von Nummer 2.2 betrachtet werden kann, und zum Zwecke der Bestimmung der Eingabedaten gemäß Nummer 2.4 gelten die in Anhang XXI der Verordnung (EU) 2017/1151 festgelegten Prüfbedingungen mit folgenden Präzisierungen:

  1. Die Berichtigung der WLTP-Prüfergebnisse für die CO2-Emissionsmasse gemäß Anhang XXI Unteranhang 6 Anlage 2 und Unteranhang 8 Anlage 2 der Verordnung (EU) 2017/1151 gilt ungeachtet der Bestimmungen von Anhang XXI Unteranhang 6 Anlage 2 Nummer 3.4.4 Buchstabe a und Unteranhang 8 Anlage 2 Nummer 1.1.4 Buchstabe a der genannten Verordnung für alle diese Prüfergebnisse.
  2. Ist das Prüffahrzeug mit Technologien ausgestattet, die seine CO2-Leistung beeinflussen, einschließlich jener (aber nicht auf diese beschränkt), die in den Einträgen 42 bis 50 der in Nummer 2.4 genannten Eingabedatenmatrix aufgeführt sind und die während der Prüfung in Betrieb sein sollen, so müssen diese Technologien unbeschadet der Anforderungen der Verordnung (EU) 2017/1151 während der Prüfung des Fahrzeugs aktiv sein, unabhängig von dem angewandten Prüfverfahren, d. h. dem NEFZ oder dem WLTP.
  3. Ist das Prüffahrzeug mit einem automatischen Getriebe ausgestattet, so ist unabhängig vom angewandten Prüfverfahren die gleiche vom Fahrer wählbare Betriebsart zu verwenden. Werden die günstigsten und die ungünstigsten Betriebsarten für die WLTP-Prüfungen gemäß Anhang XXI Unteranhang 8 Anlage 6 Nummer 1.2 Buchstabe c der Verordnung (EU) 2017/1151 angewendet, so ist der ungünstigste Fall als Eingabe für das Korrelationsinstrument und für die physische NEFZ-Prüfung zu verwenden.
  4. Ist das Prüffahrzeug mit einem manuellen Getriebe ausgerüstet, muss nmin_drive_set entsprechend der Formel in Anhang XXI Unteranhang 2 Nummer 2 Buchstabe k (3) der Verordnung (EU) 2017/1151 bestimmt werden.

Der Hersteller kann die Schaltpunkte mit Genehmigung der Genehmigungsbehörde oder gegebenenfalls des technischen Dienstes anders berechnen, sofern dies angesichts des Fahrverhaltens des Fahrzeugs gerechtfertigt ist und die gemäß Anhang XXI Unteranhang 2 Nummer 3.4 der Verordnung (EU) 2017/1151 angewandte zusätzliche Sicherheitsspanne 20 % nicht überschreitet.

Die Bedingungen gemäß den Buchstaben a bis d gelten für die Zwecke der nach dieser Verordnung durchgeführten Korrelation und berühren nicht die Bestimmungen der Verordnung (EU) 2017/1151 und die Typgenehmigungen, die gemäß der genannten Verordnung erteilt wurden.

2.2b. Anwendbarkeit der WLTP-Prüfbedingungen 18

Die Präzisierungen gemäß der Nummer 2.2a Buchstaben a bis d gelten wie folgt:

  1. Bei neuen Fahrzeugtypen ab dem Inkrafttreten dieser Verordnung.
  2. Bei bestehenden Fahrzeugtypen müssen die Hersteller der Genehmigungsbehörde hinsichtlich der Fahrzeugtypen, die im Jahr 2020 in Verkehr gebracht wurden, Nachweise vorlegen, auf deren Grundlage die Genehmigungsbehörde bestätigen muss, ob die Prüfbedingungen gemäß Nummer 2.2a Buchstaben a bis d in den WLTP-Genehmigungsprüfungen erfüllt wurden.

    In der Bestätigung sind die Kennung der Interpolationsfamilie und die Bestätigung in Bezug auf jede der in den Buchstaben a bis d genannten Prüfbedingungen anzugeben. Die Genehmigungsbehörde stellt dem Hersteller die Bestätigung aus und stellt sicher, dass die Bestätigung aufgezeichnet wird und auf Verlangen der Kommission unverzüglich zur Verfügung gestellt werden kann.

    Kann die Genehmigungsbehörde die Einhaltung einer oder mehrerer Prüfbedingungen nicht bestätigen, stellt der Hersteller sicher, dass eine neue WLTP-Prüfung oder gegebenenfalls Prüfreihen gemäß Anhang XXI Unteranhang 6 der Verordnung (EU) 2017/1151 unter der Aufsicht einer Genehmigungsbehörde oder gegebenenfalls eines technischen Dienstes unter Anwendung der in Nummer 2.2a Buchstaben a bis d genannten Prüfbedingungen für die betreffende Interpolationsfamilie, einschließlich einer neuen Korrelation im Einklang mit dieser Verordnung, durchgeführt werden.

    Der Hersteller kann in dem Fall, in dem nur die in Nummer 2.2a Buchstabe a genannte Bedingung nicht erfüllt ist, diesen Wert in der Eingabematrix berichtigen, ohne dass eine neue WLTP-Prüfung erforderlich wird.

    Die Genehmigungsbehörde oder gegebenenfalls der benannte technische Dienst vermerkt die Ergebnisse der erneuten Prüfung oder Berichtigung und die Korrelation im Einklang mit Anhang I Absatz 5, und die vollständige Korrelationsdatei auf der Grundlage der Eingabedaten aus der Neuprüfung wird der Kommission gemäß Nummer 3.1.1.2 spätestens am 30. April 2021 übermittelt.

2.3. Ermittlung der Eingabedaten und Bedingungen für den Betrieb des Korrelationsinstruments

Bei den Simulationen mit dem Korrelationsinstrument werden die Prüfbedingungen gemäß Anhang XII der Verordnung (EG) Nr. 692/2008 berücksichtigt, einschließlich der Erläuterungen unter den Nummern 2.3.1 bis 2.3.7 dieses Anhangs.

Die physischen Messungen am Fahrzeug gemäß Nummer 3 werden im Einklang mit den in der genannten Verordnung enthaltenen Bedingungen unter Berücksichtigung der Erläuterungen des vorliegenden Anhangs und gegebenenfalls der unter Nummer 2.4 festgelegten Eingabedaten durchgeführt.

2.3.1. Ermittlung der Schwungmasse des Fahrzeugs nach NEFZ 17 18

Die NEFZ-Bezugsmasse (reference mass, RM) des Fahrzeug H und gegebenenfalls der Fahrzeuge L und R wird wie folgt bestimmt:

RMn,L = (MROL - 75 + 100) [kg]

RMn,H = (MROH - 75 + 100) [kg]

RMn,R = (MROR - 75 + 100) [kg]

Dabei ist

das Fahrzeug R das repräsentative Fahrzeug der Fahrwiderstandsmatrix-Familie gemäß der Definition in Anhang XXI Unteranhang 4 Nummer 5.1 der Verordnung (EU) 2017/1151 der Kommission 5;

MRO die jeweilige Masse des Fahrzeugs H, L bzw. R in fahrbereitem Zustand im Sinne von Artikel 3 Absatz 1 Buchstabe d der Verordnung (EG) Nr. 443/2009.

Die für die Simulation und gegebenenfalls für eine physische Fahrzeugprüfung einzugebende Bezugsmasse ist der in Anhang 4a Tabelle 3 der UN/ECE-Regelung Nr. 83 festgelegte Schwungmassewert, der der Bezugsmasse (reference mass, RM) entspricht, die gemäß der vorliegenden Nummer ermittelt wurde und die Bezeichnung TMn,L, TMn,H bzw. TMn,R erhält.

2.3.2. Ermittlung des Vorkonditionierungseffekts

Bei der Vorbereitung des Rollenprüfstands für die Durchführung der Typgenehmigungsprüfung wird das Fahrzeug vorkonditioniert, um ähnliche Bedingungen wie bei der Ausrollprüfung zu erzielen. Das Vorkonditionierungsverfahren bei der WLTP-Prüfung unterscheidet sich von jenem beim NEFZ, sodass angenommen wird, dass das Fahrzeug bei gleichem Fahrwiderstand beim WLTP höheren Kräften ausgesetzt ist. Diese Differenz wird auf 6 Newton festgelegt; dieser Wert ist für die Berechnung des Fahrwiderstands nach dem NEFZ gemäß Nummer 2.3.8 zu verwenden.

2.3.3. Umgebungsbedingungen gemäß Nummer 3.1.1 der UN/ECE-Regelung Nr. 83

Für die Zwecke des Korrelationsinstruments beträgt der Sollwert der Prüfkammertemperatur 25 °C.

Auch im Falle einer physischen Messung am Fahrzeug gemäß Nummer 3 beträgt der Sollwert der Prüfkammertemperatur 25 °C. Auf Antrag des Herstellers kann für die physische Messung jedoch die Prüfkammertemperatur auf einen Sollwert zwischen 20 und 25 °C festgesetzt werden.

2.3.4. Ermittlung des anfänglichen Batterieladezustands

Der Sollwert für den anfänglichen Batterieladezustand beträgt für die Zwecke der Prüfung mit dem Korrelationsinstrument auf mindestens 99 %. Das Gleiche gilt im Falle einer physischen Prüfung am Fahrzeug.

2.3.5. Ermittlung der Differenz bei den Reifendruckvorgaben 17

Gemäß Anhang I Anlage 3 Nummer 6.6.3 der Verordnung (EU) 2017/1151 ist zur Ermittlung des Fahrwiderstands beim Ausrollen der niedrigste für die Prüfmasse des Fahrzeugs empfohlene Reifendruck zu verwenden; der NEFZ hingegen enthält keine solche Vorgabe. Der für die Zwecke der Berechnung des NEFZ-Fahrwiderstands gemäß Nummer 2.3.8 zu berücksichtigenden Reifendruck ist der Durchschnittswert der für die beiden Achsen berechneten Durchschnittswerte des Höchst- und Mindestreifendrucks, der für die ausgewählten Reifen auf der jeweiligen Achse für die NEFZ-Bezugsmasse des Fahrzeugs zulässig ist. Die Berechnung erfolgt für das Fahrzeug H und gegebenenfalls für die Fahrzeuge L und R nach folgenden Formeln:

für Fahrzeug H:

für Fahrzeug L:

für Fahrzeug R:

Dabei ist

Pmax, der Durchschnittswert des Höchstreifendrucks für die ausgewählten Reifen auf den beiden Achsen;

Pmin, der Durchschnittswert des Mindestreifendrucks für die ausgewählten Reifen auf den beiden Achsen.

Die entsprechende Wirkung in Bezug auf den auf das Fahrzeug wirkenden Widerstand wird für die Fahrzeuge H, L und R nach den folgenden Formeln berechnet:

für Fahrzeug H:

für Fahrzeug L:

für Fahrzeug R:

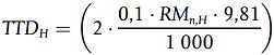
2.3.6. Ermittlung der Profiltiefe der Reifen (tyre tread depth, TTD) 17

Gemäß Anhang XXI Unteranhang 4 Nummer 4.2.2.2 der Verordnung (EU) 2017/1151 beträgt bei der WLTP-Prüfung die Mindestreifenprofiltiefe 80 %; gemäß Anhang 4a Anlage 7 Nummer 4.2 der UN/ECE-Regelung Nr. 83 liegt die zulässige Mindestprofiltiefe der Reifen für die Zwecke der NEFZ-Prüfung jedoch bei 50 % des Nennwertes. Daraus ergibt sich zwischen den beiden Verfahren eine durchschnittliche Profiltiefendifferenz von 2 mm. Die entsprechende Wirkung in Bezug auf den auf das Fahrzeug wirkenden Widerstand wird für die Zwecke der Berechnung des Fahrwiderstands nach NEFZ gemäß Nummer 2.3.8 für die Fahrzeuge H, L und R nach den folgenden Formeln berechnet:

für Fahrzeug H:

für Fahrzeug L:

für Fahrzeug R:

Dabei ist

RMn,H, RMn,L bzw. RMn,R die Bezugsmasse des Fahrzeugs H, L bzw. R, ermittelt gemäß Nummer 2.3.1.

2.3.7. Ermittlung der Schwungmasse sich drehender Teile

Für die Zwecke des Korrelationsinstruments:

Bei der Simulation im Rahmen des WLTP sind vier sich drehende Räder zu berücksichtigen; für die Zwecke der NEFZ-Prüfungen sind es hingegen nur zwei. Der Wirkung auf die auf das Fahrzeug wirkenden Kräfte ist entsprechend den Formeln unter Nummer 2.3.8.1.1 Buchstabe a Nummer 3 Rechnung zu tragen.

Die Beschleunigungs- und Verzögerungskräfte werden mit dem Korrelationsinstrument für die NEFZ-Simulation anhand der Schwungmasse von nur zwei sich drehenden Rädern berechnet.

Für die Zwecke einer physischen Prüfung:

Bei der Ermittlung der Ausrollwerte nach WLTP sind die Ausrollzeiten auf die Kräfte zu übertragen und umgekehrt, indem die zutreffende Prüfmasse sowie die Wirkung der Rotationsmasse (3 % der Summe der MRO und 25 kg) berücksichtigt werden. Bei der Ermittlung der Ausrollwerte nach NEFZ sind die Ausrollzeiten auf die Kräfte zu übertragen und umgekehrt, indem die Wirkung der Rotationsmasse unberücksichtigt bleibt (nur die gemäß Nummer 2.3.1 berechnete Schwungmasse des Fahrzeugs wird verwendet).

2.3.8. Ermittlung der Fahrwiderstände (Straße) nach NEFZ

2.3.8.1. Im Falle von Fahrwiderständen, die im Einklang mit Anhang XXI Unteranhang 4 Absätze 1 bis 4 und 6 der Verordnung (EU) 2017/1151 ermittelt werden

Die NEFZ-Fahrwiderstandskoeffizienten werden anhand der in der Nummer 2.3.8.1.1. (für Fahrzeug H) bzw. der Nummer 2.3.8.1.2. (für Fahrzeug L) festgelegten Formeln sowie im Einklang mit den nachstehenden Buchstaben a und b berechnet.

Soweit nicht anders angegeben gelten die Formeln sowohl bei Simulationen als auch bei physischen Prüfungen am Fahrzeug.

Die Typgenehmigungsbehörde oder gegebenenfalls der technische Dienst prüft, ob die in Anhang XXI Unteranhang 7 Nummer 3.2.3.2.2.3. der Verordnung (EU) 2017/1151 genannte Windkanalanlage die genaue Bestimmung der Δ(Cd ×Af)-Werte zulässt. Lässt die Windkanalanlage dies nicht zu, gilt für alle Fahrzeuge der Familie der höchste Luftwiderstandswert.

  1. Die in den Formeln in den Nummern 2.3.8.1.1. und 2.3.8.1.2. genannten WLTP-Fahrwiderstandskoeffizienten und Prüfmassen entsprechen jenen Werten, die sich aus den gemäß Anhang XXI Unteranhang 7 Absatz 5 der Verordnung (EU) 2017/1151 für die Interpolationsfamilie ermittelten Fahrzeugen H und L ergeben;
  2. Entspricht der Zyklusenergiebedarf des WLTP-Fahrzeugs H und/oder L nicht dem höchsten bzw. niedrigsten Zyklusenergiebedarf des NEFZ-Fahrzeugs H und/oder L, so werden ungeachtet des Buchstabens a die NEFZ-Fahrwiderstandskoeffizienten nach einem der beiden folgenden Verfahren ermittelt,
    1. auf der Grundlage des Einzelfahrzeugs der Interpolationsfamilie mit dem höchsten bzw. niedrigsten NEFZ-Zyklusenergiebedarf,
    2. auf der Grundlage der Kombination des jeweils höchsten bzw. niedrigsten Werts der für den Fahrwiderstand relevanten Merkmale, d. h. Luftwiderstand, Rollwiderstand und Masse, eines beliebigen Einzelfahrzeugs der Interpolationsfamilie.

      Der Hersteller wählt das in Ziffer i oder ii festgelegte Verfahren.

      Buchstabe b gilt für neue Typgenehmigungen ab dem 1. Januar 2019 oder - auf Antrag des Herstellers - ab einem früheren Zeitpunkt.

2.3.8.1.1 Ermittlung des NEFZ-Fahrwiderstandskoeffizienten für das Fahrzeug H

Wird dieses Berechnungsverfahren gemäß Nummer 4.2.1.4.2. für ein Einzelfahrzeug angewendet, so sind die dem NEFZ-Einzelfahrzeug entsprechenden WLTP-Fahrwiderstands- und -Prüfmassenwerte zu verwenden, wobei die Wirkung von Zusatzausrüstung herauszurechnen ist.

  1. Der Fahrwiderstandskoeffizient F0,n, ausgedrückt in Newton (N), für das Fahrzeug H wird wie folgt ermittelt:
    1. Wirkung anderer Schwungmassen:

      Dabei entsprechen die Faktoren in der Formel der Definition in Nummer 2.3.1, mit folgender Ausnahme:

      F0w,H ist der für die WLTP-Prüfung des Fahrzeugs H ermittelte Fahrwiderstandskoeffizient F0; TMw,H ist die für die WLTP-Prüfung des Fahrzeugs H ermittelte Prüfmasse.

    2. Wirkung eines anderen Reifendrucks:

      Dabei entsprechen die Faktoren in der Formel der Definition in Nummer 2.3.5.

    3. Wirkung der Schwungmasse sich drehender Teile:

      Im Falle einer physischen Prüfung am Fahrzeug ist folgende Formel anzuwenden:

    4. Wirkung einer anderen Reifenprofiltiefe:

      Dabei entsprechen die Faktoren in der Formel der Definition in Nummer 2.3.6.

    5. Wirkung der Vorkonditionierung:

      Im Falle einer physischen Prüfung am Fahrzeug entfällt die Korrektur für die Wirkung der Vorkonditionierung.

  2. Der Fahrwiderstandskoeffizient F1n für das Fahrzeug H wird wie folgt ermittelt:

    Wirkung der Schwungmasse sich drehender Teile

    Im Falle einer physischen Prüfung am Fahrzeug ist folgende Formel anzuwenden:

  3. Der Fahrwiderstandskoeffizient F2n für das Fahrzeug H wird wie folgt ermittelt:

    Wirkung der Schwungmasse sich drehender Teile

    Im Falle einer physischen Prüfung am Fahrzeug ist folgende Formel anzuwenden:

    Dabei ist der Faktor F*2w,H der für die WLTP-Prüfung des Fahrzeugs H ermittelte Fahrwiderstandskoeffizient F2, aus dem die Wirkung jedweder Zusatzausrüstung herausgerechnet wurde.

2.3.8.1.2 Ermittlung des NEFZ-Fahrwiderstandskoeffizienten für das Fahrzeug L

  1. Der Fahrwiderstandskoeffizient F0,n für das Fahrzeug L wird wie folgt ermittelt:
    1. Wirkung anderer Schwungmassen:

      Dabei entsprechen die Faktoren in der Formel der Definition in Nummer 2.3.1, mit Ausnahme von F0w,L (für die WLTP-Prüfung des Fahrzeugs L ermittelter Fahrwiderstandskoeffizient F0) und TMw,L (für die WLTP-Prüfung des Fahrzeugs L ermittelte Prüfmasse).

    2. Wirkung eines anderen Reifendrucks:

      Dabei entsprechen die Faktoren in der Formel der Definition in Nummer 2.3.5.

    3. Wirkung der Schwungmasse sich drehender Teile:

      Im Falle einer physischen Prüfung am Fahrzeug ist folgende Formel anzuwenden:

    4. Wirkung einer anderen Reifenprofiltiefe:

      Dabei entsprechen die Faktoren in der Formel der Definition in Nummer 2.3.6.

    5. Wirkung der Vorkonditionierung:

      Im Falle einer physischen Prüfung am Fahrzeug entfällt die Korrektur für die Wirkung der Vorkonditionierung.

  2. Der Fahrwiderstandskoeffizient F1n für das Fahrzeug L wird wie folgt ermittelt:

    Wirkung der Schwungmasse sich drehender Teile

    Im Falle einer physischen Prüfung am Fahrzeug ist folgende Formel anzuwenden:

    Dabei ist der Faktor F1w,L der für die WLTP-Prüfung des Fahrzeugs L ermittelte Fahrwiderstandskoeffizient F1.

  3. Der Fahrwiderstandskoeffizient F2n für das Fahrzeug L wird wie folgt ermittelt:

    Wirkung der Schwungmasse sich drehender Teile

    Im Falle einer physischen Prüfung am Fahrzeug ist folgende Formel anzuwenden:

    Dabei ist der Faktor F*2w,L der für die WLTP-Prüfung des Fahrzeugs L ermittelte Fahrwiderstandskoeffizient F2, aus dem die Wirkung jedweder Zusatzausrüstung herausgerechnet wurde.

2.3.8.2. Ermittlung der Fahrwiderstände, wenn diese für die Zwecke der WLTP im Einklang mit Anhang XXI Unteranhang 4 Nummer 5 der Verordnung (EU) 2017/1151 ermittelt wurden

2.3.8.2.1 Fahrwiderstandsmatrix-Familie gemäß Anhang XXI Unteranhang 4 Nummer 5.1 der Verordnung (EU) 2017/1151

Sofern der Fahrwiderstand eines Fahrzeugs im Einklang mit Anhang XXI Unteranhang 4 Nummer 5.1 der Verordnung (EU) 2017/1151 berechnet wurde, wird der als Eingabe für die Simulationen mit dem Korrelationsinstrument zu verwendende NEFZ-Fahrwiderstand wie folgt ermittelt:

  1. Tabellenwerte für NEFZ-Fahrwiderstand gemäß Anhang 4a Tabelle 3 der UN/ECE-Regelung Nr. 83

    Fahrzeug H:

    F0n,H = T0n,H + (F0w,H - Aw,H)

    F1n,H = F1w,H - Bw,H

    F2n,H = T2n,H + (F2w,H - Cw,H)

    Fahrzeug L:

    F0n,L = T0n,L + (F0w,L - Aw,L)

    F1n,L = F1w,L - Bw,L

    F2n,L = T2n,L + (F2w,L - Cw,L

    Dabei sind

    F0n,i, F1n,i, F2n,I, mit i = H,L, die NEFZ-Fahrwiderstandskoeffizienten für Fahrzeug H bzw. L;
    T0n,i, T2n,i mit i = H,L die im Einklang mit Anhang 4a Tabelle 3 der UN/ECE-Regelung Nr. 83 ermittelten NEFZ-Rollenprüfstandskoeffizienten für Fahrzeug H bzw. L;
    AW,H/L, BW,H/L, CW,H/L die Rollenprüfstandskoeffizienten für das Fahrzeug, das im Einklang mit Anhang XXI Unteranhang 4 Nummern 7 und 8 der Verordnung (EU) 2017/1151 zur Vorbereitung des Rollenprüfstands verwendet wurde.
  2. NEFZ-Fahrwiderstandskoeffizienten, bei denen die NEFZ-Tabellenwerte nicht verwendet werden

    Im Falle von Fahrzeugen mit einer technisch zulässigen Gesamtmasse im beladenen Zustand von 3.000 kg oder mehr, können die NEFZ-Fahrwiderstände auf Antrag des Herstellers im Einklang mit Nummer 2.3.8.1. ermittelt werden.

2.3.8.2.2 Standardfahrwiderstände gemäß Anhang XXI Unteranhang 4 Nummer 5.2 der Verordnung (EU) 2017/1151

Wurden Standardfahrwiderstände gemäß Anhang XXI Unteranhang 4 Nummer 5.2 der Verordnung (EU) 2017/1151 berechnet, werden die NEFZ-Fahrwiderstände gemäß Nummer 2.3.8.2.1. Buchstabe a des vorliegenden Anhangs berechnet.

Im Falle einer physischen Fahrzeugprüfung erfolgt die Prüfung mit den im Einklang mit Anhang 4a Tabelle 3 der UN/ECE-Regelung Nr. 83 ermittelten NEFZ-Rollenprüfstandskoeffizienten für Fahrzeug H bzw. L.

2.3.8.3. Erweiterungen von gemäß der Verordnung (EU) 2017/1151 erteilten Typgenehmigungen hinsichtlich Emissionen

Wird eine Typgenehmigung gemäß der Verordnung (EU) 2017/1151 erweitert, indem in die CO2-Interpolationsfamilie neue Fahrzeuge aufgenommen werden, deren NEFZ- CO2-Emissionen höher als die des Fahrzeugs H oder niedriger als die des Fahrzeugs L sind, gilt für die Zwecke der Korrelation Folgendes:

  1. Beträgt die Differenz zwischen den NEFZ-Fahrzeugen H und L der betreffenden Interpolationsfamilie mindestens 5 g CO2/km, kann die für diese Familie ermittelte NEFZ-Interpolationslinie erweitert werden, sofern die gemäß Nummer 3 dieses Anhangs auf Grundlage von Eingabedaten nach der WLTP-Fahrzeugprüfung gemäß Anhang I Nummer 3.1.1. der Verordnung (EU) 2017/1151 ermittelten NEFZ- CO2-Emissionen höchstens den auf Grundlage der NEFZ-Interpolationslinie ermittelten CO2-Emissionen entsprechen;
  2. beträgt die Differenz zwischen den NEFZ-Fahrzeugen H und L weniger als 5 g CO2/km "darf die Interpolationslinie nicht erweitert werden.

Im Fall a werden die Bezugswerte für CO2-Emissionen ohne die in den Nummern 3.1.1.2 und 3.2.6. dieses Anhangs genannte Auswahl ermittelt.

Im Fall b oder falls die in Buchstabe a genannten Bezugswerte für CO2-Emissionen über der bestehenden Interpolationslinie liegen, werden die NEFZ-Fahrzeuge H und L gemäß den Nummern 2 und 3 dieses Anhangs ermittelt.

Buchstabe a gilt in Bezug auf neue Erweiterungen auf neue typen ab dem 1. Januar 2019 oder auf Antrag des Herstellers ab einem früheren Zeitpunkt.

2.4. Eingabedatenmatrix 18

Der Hersteller ermittelt die Eingabedaten für das Fahrzeug H und das Fahrzeug L im Einklang mit Nummer 2.2 und legt die ausgefüllte Matrix in Tabelle 1 der Typgenehmigungsbehörde oder gegebenenfalls dem zur Durchführung der Prüfung benannten technischen Dienst vor; davon ausgenommen sind die Einträge 31, 32 und 33 (NEFZ-Fahrwiderstände), die im Einklang mit der unter Nummer 2.3.8 genannten Formel durch die Typgenehmigungsbehörde oder den technischen Dienst berechnet werden. Die Eingabedatenmatrix ist für jede durchgeführte WLTP-Prüfung auszufüllen.

Die Typgenehmigungsbehörde oder der technische Dienst überprüft und bestätigt unabhängig die Richtigkeit der vom Hersteller bereitgestellten Eingabedaten. In Zweifelsfällen ermittelt die Typgenehmigungsbehörde oder der technische Dienst die einschlägigen Eingabedaten unabhängig von den vom Hersteller bereitgestellten Informationen oder geht gegebenenfalls im Einklang mit den Nummern 3.2.7 und 3.2.8 vor.

Tabelle 1 Eingabedatenmatrix für das Korrelationsinstrument 17 18 18a 19

Nr. Eingabeparameter für das Korrelationsinstrument Einheit Quelle Anmerkungen
1 Kraftstofftyp - Anhang I Anlage 3 Nummer 3.2.2.1 der Verordnung (EU) 2017/1151 Diesel/Benzin/Flüssiggas/ Erdgas oder Biomethan/ Ethanol (E85)/Biodiesel
2 Unterer Kraftstoffheizwert kJ/kg Angabe des Herstellers und/ oder des technischen Dienstes
3 Kohlenstoffgehalt des Kraftstoffs % Ebenda Massenanteil (%) Kohlenstoff im Kraftstoff, z.B. 85,5 %
4 Motortyp Anhang I Anlage 3 Nummer 3.2.1.1 der Verordnung (EU) 2017/1151 Fremdzündung oder Selbstzündung
5 Hubraum cc Anhang I Anlage 3 Nummer 3.2.1.3 der Verordnung (EU) 2017/1151
6 Kolbenhub mm Anhang I Anlage 3 Nummer 3.2.1.2.2 der Verordnung (EU) 2017/1151
7 Motornennleistung kW bei ... min-1 Anhang I Anlage 3 Nummer 3.2.1.8 der Verordnung (EU) 2017/1151
8 Motordrehzahl bei Nennleistung min-1 Anhang I Anlage 3 Nummer 3.2.1.8 der Verordnung (EU) 2017/1151 Motordrehzahl bei maximaler Nutzleistung
9 Erhöhte Leerlaufdrehzahl * min-1 Anhang I Anlage 3 Nummer 3.2.1.6.1 der Verordnung (EU) 2017/1151
10 Maximales Nettodrehmoment Nm bei ... min-1 Anhang I Anlage 3 Nummer 3.2.1.10 der Verordnung (EU) 2017/1151
11 T1 Kennfeld Drehzahl * UpM Anhang XXI Unteranhang 2 der Verordnung (EU) 2017/1151 Datenreihe
12 T1 Kennfeld Drehmoment * Nm Anhang XXI Unteranhang 2 der Verordnung (EU) 2017/1151 Datenreihe
13 T1 Kennfeld Leistung * kW Anhang XXI Unteranhang 2 der Verordnung (EU) 2017/1151 Datenreihe
14 Leerlaufdrehzahl des Motors UpM Anhang XXI Unteranhang 2 der Verordnung (EU) 2017/1151 Leerlaufdrehzahl in warmem Zustand
15 Kraftstoffverbrauch des Motors im Leerlauf g/s Angabe des Herstellers Kraftstoffverbrauch im Leerlauf in warmem Zustand
16 Endantriebsübersetzungen - Anhang I Anlage 3 Nummer 4.6 der Verordnung (EU) 2017/1151 Endantriebsübersetzung
17 Reifencode ** - Anhang I Anlage 3 Nummer 6 der Verordnung (EU) 2017/1151 Reifencode (z.B. P195/ 55R1685H) der in der WLTP-Prüfung verwendeten Reifen
18 Getriebetyp - Anhang I Anlage 3 Nummer 4.5 der Verordnung (EU) 2017/1151 automatisch/Handschaltung/ stufenlos
19 Drehmomentwandler - Angabe des Herstellers 0 = nein, 1 = ja. Nutzt das Fahrzeug einen Drehmomentwandler?
20 Kraftstoffspargang für Automatikgetriebe - Angabe des Herstellers 0 = nein, 1 = ja. Festsetzung dieses Wertes auf 1 ermöglicht dem Korrelationsinstrument die Nutzung eines höheren Gangs bei konstanter Drehzahl als im Falle von Übergangszuständen
21 Antriebsmodus - Anhang XXI Unteranhang 5 Nummer 2.3.1 der Verordnung (EU) 2017/1151 Zweiradantrieb, Vierradantrieb.
22 Aktivierungszeit Start-Stopp-System s Angabe des Herstellers Seit Prüfbeginn verstrichene Aktivierungszeit Start- Stopp-System
23 Nennspannung des Generators V Anhang I Anlage 3 Nummer 3.4.4.5 der Verordnung (EU) 2017/1151
24 Servicebatteriekapazität Ah Anhang I Anlage 3 Nummer 3.4.4.5 der Verordnung (EU) 2017/1151
25 Umgebungstemperatur zu Beginn (WLTP) °C Standardwert = 23 °C WLTP-Prüfmesswerte nicht gerundet
26 Maximale Leistung des Generators kW Angabe des Herstellers
27 Wirkungsgrad des Generators - Angabe des Herstellers Standardwert = 0,67
28 Getriebeübersetzungen - Anhang I Anlage 3 Nummer 4.6 der Verordnung (EU) 2017/1151 Datenreihe: Übersetzung 1. Gang, Übersetzung 2. Gang usw.
29 Verhältnis Fahrzeuggeschwindigkeit zu Motordrehzahl ** (km/h) / UpM Angabe des Herstellers Datenreihe: [konstantes Verhältnis Geschwindigkeit/ Drehzahl 1. Gang, Verhältnis Geschwindigkeit/Drehzahl 2. Gang, ...]; Alternative zu Getriebeübersetzungen
30 NEFZ-Schwungmasse des Fahrzeugs kg Anhang 4a Tabelle 3 der UN/ECE-Regelung Nr. 83;auszufüllen von Typgenehmigungsbehörde oder technischem Dienst Abzuleiten im Einklang mit Nummer 2.3.1 des vorliegenden Anhangs.
31 F0 NEFZ N Nummer 2.3.8 des vorliegenden Anhangs, auszufüllen von Typgenehmigungsbehörde oder technischem Dienst F0 Fahrwiderstandskoeffizient
32 F1 NEFZ N/(km/h) Ebenda F1 Fahrwiderstandskoeffizient
33 F2 NEFZ N/(km/h)2 Ebenda F2 Fahrwiderstandskoeffizient
34 WLTP- Schwungmasseneinstellung kg Anhang XXI Unteranhang 4 Nummer 2.5.3 der Verordnung (EU) 2017/1151 Schwungmasse am Rollenprüfstand während der WLTP-Prüfung
35 F0 WLTP N Nummer 2.4.8 der Anlage zum Beschreibungsbogen in Anhang I Anlage 3 der Verordnung (EU) 2017/1151 F0 Fahrwiderstandskoeffizient
36 F1 WLTP N/(km/h) Ebenda F1 Fahrwiderstandskoeffizient
37 F2 WLTP N/(km/h)2 Ebenda F2 Fahrwiderstandskoeffizient
38 WLTP-CO2-Wert Phase 1 (Ladungserhaltung bei NOVC-HEV und OVC-HEV) gCO2/km Nummer 2.1.1.2.1. von Anhang I Anlage 8a der Verordnung (EU) 2017/1151 Unkorrigierter gemessener Wert MCO2,p,1 in der Niedrigwertphase
39 WLTP-CO2-Wert Phase 2 (Ladungserhaltung bei NOVC-HEV und OVC-HEV) gCO2/km Ebenda Unkorrigierter gemessener Wert MCO2,p,1 in der Mittelwertphase
40 WLTP-CO2-Wert Phase 3 (Ladungserhaltung bei NOVC-HEV und OVC-HEV) gCO2/km Ebenda Unkorrigierter gemessener Wert MCO2,p,1 in der Hochwertphase
41 WLTP-CO2-Wert Phase 4 (Ladungserhaltung bei NOVC-HEV und OVC-HEV) gCO2/km Ebenda Unkorrigierter gemessener Wert MCO2,p,1 in der Höchstwertphase
42 Turbolader oder Kompressor - Angabe des Herstellers 0 = nein | 1 = ja - Ist der Motor mit einem Ladesystem ausgestattet?
43 Start-Stopp-System - Angabe des Herstellers 0 = nein | 1 = ja - Ist das Fahrzeug mit einem Start- Stopp-System ausgestattet?
44 Bremsenergierückgewinnung - Angabe des Herstellers 0 = nein | 1 = ja - Ist das Fahrzeug mit Energierückgewinnungstechnik ausgestattet?
45 Variable Ventilsteuerung - Angabe des Herstellers 0 = nein | 1 = ja - Verfügt der Motor über variable Ventilsteuerung?
46 Thermomanagement - Angabe des Herstellers 0 = nein | 1 = ja| Ist das Fahrzeug mit Technologien zur aktiven Steuerung der Getriebetemperatur ausgestattet?
47 Direkteinspritzung/ Saugrohreinspritzung - Angabe des Herstellers 0 = Saugrohreinspritzung | 1 = Direkteinspritzung
48 Magerverbrennung - Angabe des Herstellers 0 = nein | 1 = ja - Nutzt der Motor Magerverbrennung?
49 Zylinderabschaltung - Angabe des Herstellers 0 = nein | 1 = ja - Nutzt der Motor ein Zylinderabschaltungssystem?
50 Abgasrückführung - Angabe des Herstellers 0 = nein | 1 = ja - Ist das Fahrzeug mit einem externen Abgasrückführungssystem ausgestattet?
51 Partikelfilter - Angabe des Herstellers 0 = nein | 1 = ja - Ist das Fahrzeug mit einem Partikelfilter ausgestattet?
52 selektive katalytische Reduktion (selective catalytic reduction) - Angabe des Herstellers 0 = nein | 1 = ja - Ist das Fahrzeug mit einem System für selektive katalytische Reduktion ausgestattet?
53 NOx -Speicherkatalysator - Angabe des Herstellers 0 = nein | 1 = ja - Ist das Fahrzeug mit einem NOx - Speicherkatalysator ausgestattet?
54 WLTP-Zeit s WLTP-Prüfmessung (ermittelt im Einklang mit Nummer 2.2 des vorliegenden Anhangs) Datenreihe: OBD- und Rollenprüfstandsdaten, 1 Hz
55 WLTP-Geschwindigkeit (theoretisch) km/h gemäß Definition in Anhang XXI Unteranhang 1 der Verordnung (EU) 2017/1151 Datenreihe: 1 Hz, Auflösung von 0,1 km/h. Falls nicht angegeben, findet das Geschwindigkeitsprofil gemäß Anhang XXI Unteranhang 1 Nummer 6 der Verordnung (EU) 2017/1151, insbesondere die Tabellen A1/7-A1/9, A1/11 und A1/12, Anwendung.
56 WLTP-Geschwindigkeit (tatsächlich) km/h WLTP-Prüfmessung (ermittelt im Einklang mit Nummer 2.2 des vorliegenden Anhangs) Datenreihe: OBD- und Rollenprüfstandsdaten, 1 Hz für OBD-Systeme und 10 Hz für den Rollenprüfstand, Auflösung von 0,1 km/h.
57 WLTP-Gang (theoretisch) - gemäß Definition in Anhang XXI Unteranhang 2 der Verordnung (EU) 2017/1151 Datenreihe: 1 Hz. Theoretisch berechneter Gangwechsel für Fahrzeug H und L (falls zutreffend).
58 WLTP-Motordrehzahl UpM WLTP-Prüfmessung (ermittelt im Einklang mit Nummer 2.2 des vorliegenden Anhangs) Datenreihe: 1 Hz, Auflösung von 10 UpM vom OBD-System
59 WLTP-Motorkühlmittel- temperatur °C Ebenda Datenreihe: OBD-Daten, 1 Hz, Auflösung von 1 °C
60 Stromstärke des Generators (WLTP) (DC-DC-Wandler - Niederspannungsseite - bei NOVC-HEV und OVC-HEV) A gemäß Definition für Niederspannungs- batteriestrom in Anhang XXI Unteranhang 6 Anlage 2 der Verordnung (EU) 2017/1151 Datenreihe: 1 Hz, Auflösung von 0,1 A, externe Messvorrichtung mit Rollenprüfstand synchronisiert
61 Servicebatteriestrom A gemäß Definition in Anhang XXI Unteranhang 6 Anlage 2 der Verordnung (EU) 2017/1151 Datenreihe: 1 Hz, (Abtastfrequenz des Instruments 20 Hz), Auflösung von 0,1 A, externe Messvorrichtung mit Rollenprüfstand synchronisiert.
62 berechnete Motorlast (WLTP) - Gemäß Definition in Anhang 11 der UN/ECE-Regelung Nr. 83 Datenreihe: OBD-Daten, mindestens 1 Hz (höhere Frequenzen möglich, Auflösung von 1 %), WLTP- Prüfmessung
63 Angegebene kombinierte NEFZ- CO2-Emissionswerte für Fahrzeug H bzw. L g CO2/km Angegebener Wert für NEFZ-Prüfung. Bei Fahrzeugen mit periodisch arbeitendem Regenerationssystem wird auf den Wert der Korrekturfaktor Ki angewendet.
64 NEFZ-Geschwindigkeit (theoretisch) km/h Gemäß Definition in Anhang 4 Nummer 6 der UN/ECE-Regelung Nr. 83 Datenreihe: 1 Hz, Auflösung von 0,1 km/h. Falls nicht angegeben, findet das Geschwindigkeitsprofil gemäß Anhang 4 Nummer 6 der UN/ECE-Regelung Nr. 83 Anwendung.
65 NEFZ-Gang (theoretisch) - Ebenda Datenreihe: 1 Hz. Falls nicht angegeben, findet das Geschwindigkeitsprofil gemäß Anhang 4 Nummer 6 der UN/ECE-Regelung Nr. 83 Anwendung.
66 Identifizierungsnummer der Interpolationsfamilie - Anhang XXI Nummer 5.0 der Verordnung (EU) 2017/1151
67 Ki Regenerativer Faktor multiplikativ/additiv für Fahrzeug H und L - Anhang XXI Unteranhang 6 Anlage 1 der Verordnung (EU) 2017/1151 Bei Fahrzeugen ohne System mit periodischer Regenerierung ist dieser Wert gleich 1.
68 Anzahl Zylinder - Angabe des Herstellers Anzahl:(spätestens ab 1. Januar 2019 anzugeben)
69 Kraftstoffheizwert kWh/l Anhang XXI Unteranhang 6 Anlage 2 der Verordnung (EU) 2017/1151 Wert gemäß der Tabelle A6.Anl. 2/1 der Verordnung (EU) 2017/1151
70 Kraftstoffverbrauch WLTP-Prüfung für das Fahrzeug H und das Fahrzeug L l/100km Anhang XXI Unteranhang 7 Nummer 6 der Verordnung (EU) 2017/1151 Nicht ausgeglichener Kraftstoffverbrauch bei der Prüfung Typ 1
71 Nennspannung des REESS V Gemäß DIN EN 60050-482 Für Niederspannungsbatterien gemäß Anhang XXI Unteranhang 6 Anlage 2 der Verordnung (EU) 2017/1151
72 ATCT-Familienkorrekturfaktor - Anhang XXI Unteranhang 6a der Verordnung (EU) 2017/1151 ATCT-Familienkorrekturfaktor (14 °C-Korrektur)
73 Geschwindigkeits- und Entfernungskorrektur der WLTP-Prüfung - Verordnung (EU) 2017/1151 Korrektur durchgeführt?

0 = nein | 1 = ja

74 RCB-Korrektur der WLTP-Prüfung - Anhang XXI Unteranhang 6 Anlage 2 der Verordnung (EU) 2017/1151 Korrektur durchgeführt?

0 = nein | 1 = ja

75 - gestrichen -
76 Angegebener WLTP-CO2-Wert für das Fahrzeug H und/oder L g/km Angabe des Herstellers Angegebener WLTP-Wert für das Fahrzeug H und L. Der Wert muss alle Korrekturen umfassen (ggf.).
77 Gemessener WLTP-CO2-Wert, für das Fahrzeug H und/oder L korrigiert (Ladungserhaltung bei NOVC-HEV und OVC-HEV) g/km Anhang I Anlage 8a Nummer 2.1.1.2.1 der Verordnung (EU) 2017/1151 Kombinierte gemessene CO2-Emissionen für das Fahrzeug H und L nach allen anwendbaren Korrekturen, MCO2,C,5 . Im Falle von 2 oder 3 WLTP-Prüfungen sind alle gemessenen Ergebnisse anzugeben (außer für NOVC-HEV und OVC-HEV, bei denen nur der endgültige Typgenehmigungswert anzugeben ist).
78 Erneute WLPT-Prüfung - Anhang I Nummer 2.2b Buchstabe b Angeben, welche Prüfbedingungen gemäß Anhang I Nummer 2.2a Buchstaben a bis d erneut geprüft wurden.
79 Kombinierte WLTP-CO2-Ergebnisse (bei Entladung) gCO2/km Anhang I Anlage 4 Nummer 2.5.3.2 der Verordnung (EU) 2017/1151 Kombinierte CO2-Emissionsmasse bei Entladung MCO2,CD (Durchschnittswerte bei 2 und 3 Prüfungen) für die Prüfung Typ I gemäß Anhang XXI Unteranhang 8 Nummer 4.1.2 der Verordnung (EU) 2017/1151 (nur OVC-HEV)
80 nutzfaktorgewichtete kombinierte WLTP-CO2-Emissionen (gemessen) gCO2/km Berechnet gemäß Anhang XXI Unteranhang 8 Nummer 4.1.3.1 der Verordnung (EU) 2017/1151 Berechnete gewichtete kombinierte Ergebnisse (gemessen) gemäß Artikel 7a Absatz 1 Buchstabe c dieser Verordnung (nur OVC-HEV)
81 nutzfaktorgewichtete kombinierte WLTP-CO2-Emissionen (angegeben) gCO2/km Eintrag 2.5.3.3 des EG-Typgenehmigungsbogens Berechnete gewichtete kombinierte Ergebnisse (angegeben) aus dem Eintrag 2.5.3.3 des EG-Typgenehmigungsbogens (nur OVC-HEV)
82 Kombinierte WLTP-äquivalente vollelektrische Reichweite (EAER) km Eintrag 2.5.3.7.2 (EAER) des EG-Typgenehmigungsbogens Kombinierte äquivalente vollelektrische Reichweite (EAER) (nur OVC-HEV)
83 Kennziffer des Übergangszyklus - Anhang I Anlage 8a Nummer 2.1.1.4.1.4 der Verordnung (EU) 2017/1151 Für OVC-HEV ist die Kennziffer des Übergangszyklus anzugeben.
84 Relative Veränderung der elektrischen Energie REECi bei jeder Entlade-Prüfung - Berechnet gemäß Anhang XXI Unteranhang 8 Nummer 3.2.4.5.2 der Verordnung (EU) 2017/1151 Für jede Entlade-Prüfung ist die REECi anzugeben.
85 NEFZ-CO2-Emissionen bei Ladungserhaltung (angegeben, Zustand B) gCO2/km Beschreibungsbogen (Anhang I Anlage 3 der Verordnung (EU) 2017/1151)

(für NOVC-HEV Eintrag 3.5.7.2.1; für OVC-HEV Eintrag 3.5.7.2.2)

OEM-Angabe

für NOVC-HEV: angegebener kombinierter NEFZ-CO2-Wert; für OVC-HEV: Angegebene kombinierte CO2-Emissionsmasse bei Ladungserhaltung (NEFZ, Zustand B)

86 NEFZ-CO2-Emissionen bei Entladung (angegeben, Zustand A) gCO2/km Beschreibungsbogen (Anhang I Anlage 3 Nummer 3.5.7.2.3 der Verordnung (EU) 2017/1151) Kombinierte CD-CO2-Emissionen, OEM-Angabe (nur OVC-HEV)
87 Gewichtete kombinierte NEFZ-CO2-Emissionen (angegeben) gCO2/km OEM-Angabe OEM-Angabe (nur OVC-HEV)
88 Elektrische Reichweite nach NEFZ für OVC-HEV (angegeben) km OEM-Angabe OEM-Angabe (nur OVC-HEV)
89 KCO2-Korrekturfaktor für den Ladungserhaltungsbetrieb (g/km)/(Wh/km) Anhang XXI Unteranhang 8 Anlage 2 Nummer 2.3.2 der Verordnung (EU) 2017/1151 RCB-Korrekturkoeffizient für die CO2-Emissionsmasse für NOVC-HEV und OVC-HEV
90 Konfiguration des Hybridfahrzeugs (P0, P1, P2, P2 (Planetengetriebe), P3 oder P4) *** - Verfügt das Fahrzeug über eine elektrische Maschine für den Fahrzeugantrieb und die Erzeugung elektrischer Energie in der Position P0, P1, P2, P2 (Planetengetriebe), P3 oder P4 oder einer Kombination davon?

OEM-Angabe

91 Maximale Leistung jeder elektrischen Maschine (P0, P1, P2, P2 (Planetengetriebe), P3 oder P4) *** kW Anhang I Anlage 3 Nummer 3.3.1.1.1 der Verordnung (EU) 2017/1151 OEM-Angabe
92 Maximaler Drehmoment jeder elektrischen Maschine (P0, P1, P2, P2 (Planetengetriebe), P3 oder P4) *** Nm OEM-Angabe
93 Für jede elektrische Maschine das Verhältnis zwischen der Drehzahl der elektrischen Maschine und der Referenzdrehzahl (P0, P1, P2, P2 (Planetengetriebe), P3 oder P4)*** - OEM-Angabe
94 Kapazität Antriebs-REESS Ah Anhang I Anlage 3 Nummer 3.3.2.3 der Verordnung (EU) 2017/1151 OEM-Angabe
95 Strom Antriebs-REESS A Anhang XXI Unteranhang 8 Anlage 3 der Verordnung (EU) 2017/1151 20 Hz-Zeitreihenwerte für die Prüfung(en), resampled auf 1 Hz
96 Antriebs-REESS-Technologie - Anhang I Anlage 8a Nummer 1.1.10 der Verordnung (EU) 2017/1151 OEM-Angabe
97 Anfänglicher Ladezustand Antriebs-REESS % OEM-Angabe
98 Zahl der REESS-Zellen Anhang I Anlage 3 Nummer 3.3.2.1 der Verordnung (EU) 2017/1151 OEM-Angabe
99 Nennspannung/Zeitreihe Antriebs-REESS V Anhang XXI Unteranhang 8 Anlage 3 der Verordnung (EU) 2017/1151 Nenn- oder Zeitreihenwerte für die Prüfung (mindestens 20 Hz)
100 Motorleerlauf-Segelfunktion - J/N Verfügt das Fahrzeug über die Motorleerlauf-Segelfunktion (sodass der Motor beim Ausrollen in den Leerlauf schaltet, um Kraftstoff zu sparen)?
101 Start-Stopp-Segelfunktion - J/N Verfügt das Fahrzeug über die Start-Stopp-Segelfunktion (sodass sich der Motor beim Ausrollen ausschaltet, um Kraftstoff zu sparen
*) Es sind entweder normale Leerlaufdrehzahl, erhöhte Leerlaufdrehzahl und maximales Nettodrehmoment oder T1 Kennfeld Drehzahl, Drehmoment und Leistung erforderlich (für Gangwechsel).

**) Es sind entweder Reifenabmessungen oder das Verhältnis Geschwindigkeit/Drehzahl erforderlich (für Gangwechsel).

***) P0: die elektrische Maschine ist mit dem Motortreibriemen verbunden, sodass die Bezugsgeschwindigkeit der Motordrehzahl entspricht;

P1: die elektrische Maschine ist mit der Kurbelwelle verbunden, sodass die Bezugsgeschwindigkeit der Motordrehzahl entspricht;

P2: die elektrische Maschine ist direkt hinter dem Getriebe (Schaltung oder stufenlos) montiert, sodass die Bezugsgeschwindigkeit der Getriebeeingangsdrehzahl entspricht;

P2 (Planetengetriebe): die elektrische Maschine wird mit dem Antrieb eines Planetengetriebes verbunden, das nicht an den Verbrennungsmotor oder die Endantriebsseite angeschlossen ist, hier bezeichnet als die Planetenseite. In diesem Fall ist das anzugebende Übersetzungsverhältnis das Verhältnis zwischen der Drehzahl der elektrischen Maschine und der Drehzahl der Planetenseite (Bezugsgeschwindigkeit), das der Drehzahlsteigerungs-/Drehzahlabsenkungswirkung eines Untersetzungsgetriebes entspricht.

P3: die elektrische Maschine ist direkt hinter dem Endantrieb einer angetriebenen Achse montiert, sodass die Bezugsgeschwindigkeit der Eingangsdrehzahl des Endantriebs entspricht (dazu gehören elektrische Maschinen, die auf dem Antrieb eines Planetengetriebes auf der Endantriebsseite montiert sind). Ein Fahrzeug kann bis zu zwei P3-Maschinen (eine für die Vorderachse (P3a) und eine für die Hinterachse (P3b)) haben;

P4: die elektrische Maschine ist hinter dem Endantrieb, sodass die Bezugsgeschwindigkeit der Raddrehzahl entspricht. Ein Fahrzeug kann bis zu vier P4-Motoren (einen für jedes Rad, wobei P4a die Vorderräder und P4b die Hinterräder bezeichnet) haben.

Weitere Spezifikationen dieser Eingangsgrößen sind in der Eingabemaske für das Korrelationsinstrument anzugeben.

3. Ermittlung der NEFZ-CO2-Emissionswerte und Kraftstoffverbrauchswerte für die Fahrzeuge H und L

3.1. Ermittlung der NEFZ-CO2-Bezugswerte, phasenspezifischen Werte und Kraftstoffverbrauchswerte für die Fahrzeuge H und L 17

Die Typgenehmigungsbehörde sorgt dafür, dass der NEFZ-CO2-Bezugswert des jeweiligen Fahrzeugs H und gegebenenfalls des Fahrzeugs L einer WLTP-Interpolationsfamilie sowie die phasenspezifischen Werte und der Kraftstoffverbrauch im Einklang mit den Nummern 3.1.2 und 3.1.3 ermittelt werden.

Ist die Differenz zwischen dem Fahrzeug H und dem Fahrzeug L ausschließlich auf unterschiedliche Zusatzausrüstung (d. h. Masse in fahrbereitem Zustand, Karosserieform und Fahrwiderstandskoeffizienten sind identisch) zurückzuführen, wird der NEFZ- CO2-Bezugswert ausschließlich für Fahrzeug H ermittelt.

3.1.1. Eingabe- und Ausgabedaten des Korrelationsinstruments 17

3.1.1.1. Originalausgabebericht des Korrelationsinstruments 17 18 18a

Die Typgenehmigungsbehörde oder der benannte technische Dienst stellt sicher, dass die Eingabedatei für das Korrelationsinstrument vollständig ist. Nach erfolgter Prüfung mit dem Korrelationsinstrument wird ein Originalausgabebericht erstellt und mit einem Hashcode versehen. Der Bericht enthält die folgenden Unterdateien:

  1. - gestrichen -
  2. die bei der Simulation generierte Ausgabedaten;
  3. zusammenfassende Datei mit
    1. der Identifizierungsnummer der Interpolationsfamilie;
    2. Differenz zwischen dem vom Hersteller angegebenen CO2-Wert und dem mit dem Korrelationsinstrument errechneten Wert (CO2 kombiniert);
    3. Eingabedaten gemäß Nummer 2.4.

Die unter Buchstabe c genannte Zusammenfassung ist zur Wahrung der Vertraulichkeit zu verschlüsseln.

3.1.1.2. Vollständige Korrelationsdatei 17 18

Sobald der Originalausgabebericht des Korrelationsinstruments gemäß Nummer 3.1.1.1 erstellt wurde, sendet die Typgenehmigungsbehörde oder gegebenenfalls der benannte technische Dienst die zusammenfassende Datei nach Nummer 3.1.1.1 Buchstabe c an einen Kommissionsserver, vom dem aus eine Antwort zusammen mit einer zufällig generierten ganzen Zahl zwischen 0 und 99 an den Absender (und als Kopie an die zuständigen Kommissionsdienststellen) gesandt wird; diese Antwort enthält auch einen Hashcode der zusammenfassenden Datei, der die generierte Zahl eindeutig mit dem Originalausgabebericht verknüpft, und eine digitale Unterschrift des Kommissionsservers.

Eine vollständige Korrelationsdatei, die den Originalausgabebericht des Korrelationsinstruments gemäß Nummer 3.1.1.1 und die Antwort des Kommissionsservers enthalten muss, ist von der Typgenehmigungsbehörde oder gegebenenfalls dem benannten technischen Dienst zu erstellen. Die Datei wird von der Typgenehmigungsbehörde als Prüfbericht im Einklang mit Anhang VIII der Richtlinie 2007/46/EG gepflegt.

3.1.2. NEFZ-CO2-Bezugswert für das Fahrzeug H 17

Das Korrelationsinstrument wird eingesetzt, um die simulierte NEFZ-Prüfung des Fahrzeugs H unter Verwendung der einschlägigen Eingabedaten gemäß Nummer 2.4 durchzuführen.

Der NEFZ- CO2-Bezugswert für das Fahrzeug H wird wie folgt ermittelt:

CO2, H = NEFZ CO2,C,H · Ki,H

Dabei ist

CO2,H der NEFZ- CO2-Bezugswert für das Fahrzeug H;
NEFZ CO2,C,H der kombinierte NEFZ-CO2-Wert für das Fahrzeug H, der sich aus der Simulation mit dem Korrelationsinstrument ergibt;
Ki,H der gemäß Anhang XXI Unteranhang 6 Anlage 1 der Verordnung (EU) 2017/1151 für das Fahrzeug H ermittelte Wert.

Neben dem NEFZ-CO2-Bezugswert liefert das Korrelationsinstrument auch die phasenspezifischen CO2-Werte für das Fahrzeug H.

3.1.3. NEFZ-CO2-Bezugswert für Fahrzeug L 17

Gegebenenfalls wird eine NEFZ-Simulationsprüfung für das Fahrzeug L unter Verwendung des Korrelationsinstruments und der einschlägigen Eingabedaten gemäß Nummer 2.4 durchgeführt.

Der NEFZ-CO2-Bezugswert für das Fahrzeug L wird wie folgt ermittelt:

CO2,L = NEFZ CO2,C,L · Ki,L

Dabei ist

CO2,L der NEFZ-CO2-Bezugswert für das Fahrzeug L;
NEFZ CO2,C,L der kombinierte NEFZ-CO2-Wert für das Fahrzeug L, der sich aus der Simulation mit dem Korrelationsinstrument ergibt;
Ki,L der gemäß Anhang XXI Unteranhang 6 Anlage 1 der Verordnung (EU) 2017/1151 für das Fahrzeug L ermittelte Wert.

Neben dem NEFZ-CO2-Bezugswert liefert das Korrelationsinstrument auch die phasenspezifischen CO2-Werte für das Fahrzeug L.

3.2. Auslegung der NEFZ-CO2-Bezugswerte für die Fahrzeuge H und L

Für jede WLTP-Interpolationsfamilie gibt der Hersteller bei der Typgenehmigungsbehörde die kombinierten NEFZ-CO2-Massenemissionswerte für Fahrzeug H und gegebenenfalls für das Fahrzeug L an. Die Typgenehmigungsbehörde sorgt dafür, dass die NEFZ-CO2-Bezugswerte des Fahrzeugs H und gegebenenfalls des Fahrzeugs L im Einklang mit den Nummern 3.1.2 und 3.1.3 ermittelt und diese Werte des jeweiligen Fahrzeugs im Einklang mit den Nummern 3.2.1 bis 3.2.5 ausgelegt werden.

3.2.1. Der für die Berechnungen gemäß Nummer 4 zu verwendende NEFZ-CO2-Wert des Prüffahrzeugs H bzw. L ist der vom Hersteller angegebene Wert, sofern der NEFZ-CO2-Bezugswert diesen nicht um mehr als 4 % überschreitet. Nach unten ist der Bezugswert nicht begrenzt.

3.2.2. Überschreitet der NEFZ-CO2-Bezugswert den vom Hersteller angegebenen Wert um mehr als 4 %, kann für die Berechnungen gemäß Nummer 4 für das Prüffahrzeug H bzw. L der Bezugswert verwendet werden, oder der Hersteller kann beantragen, dass eine physische Messung im Einklang mit dem Verfahren gemäß Anhang XII der Verordnung (EG) Nr. 692/2008 unter der Verantwortung der Typgenehmigungsbehörde durchgeführt wird, wobei die Erläuterungen der Nummer 2 dieses Anhangs zu berücksichtigen sind.

3.2.3. Wenn die physische Messung gemäß Nummer 3.2.2, multipliziert mit dem Faktor Ki, den vom Hersteller angegebenen Wert nicht um mehr als 4 % überschreitet, ist für die Berechnungen gemäß Nummer 4 der angegebene Wert zu verwenden.

3.2.4. Wenn die physische Messung gemäß Nummer 3.2.2, multipliziert mit dem Faktor Ki, den vom Hersteller angegebenen Wert um mehr als 4 % überschreitet, ist eine weitere physische Messung an demselben Fahrzeug durchzuführen; die Ergebnisse werden um den Ki-Faktor erweitert. Wenn der Durchschnittswert dieser beiden Messungen den vom Hersteller angegebenen Wert nicht um mehr als 4 % überschreitet, ist für die Berechnungen gemäß Nummer 4 der angegebene Wert zu verwenden.

3.2.5. Wenn der in Nummer 3.2.4 genannte Durchschnittswert der beiden Messungen den vom Hersteller angegebenen Wert um mehr als 4 % überschreitet, ist eine dritte Messung durchzuführen; die Ergebnisse werden mit dem Faktor Ki multipliziert. Für die Berechnungen gemäß Nummer 4 ist der Durchschnittswert der drei Messungen zu verwenden.

3.2.6. Liegt die zufällig generierte Zahl gemäß Nummer 3.1.1.2 zwischen 90 und 99, wird das Fahrzeug für eine physische Messung im Einklang mit dem Verfahren gemäß Anhang XII der Verordnung (EG) Nr. 692/2008 ausgewählt, wobei die Erläuterungen des Abschnitts 2 des Anhangs zu berücksichtigen sind. Die Prüfergebnisse sind gemäß Anhang VIII der Richtlinie 2007/46/EG zu dokumentieren.

Wird der NEFZ-CO2-Wert für beide Fahrzeuge H und L im Einklang mit Nummer 3.2.1 bestimmt, erfolgt die physische Messung anhand der Konfiguration des Fahrzeugs L, wenn die zufällig generierte Zahl zwischen 90 und 94, und des Fahrzeugs H, wenn diese Zahl zwischen 95 und 99 liegt.

Wird der NEFZ-CO2-Wert nur für eines der Fahrzeuge H und L der Interpolationsfamilie im Einklang mit Nummer 3.2.1 bestimmt, wird dieses Fahrzeug für eine physische Messung ausgewählt, wenn die Zufallszahl zwischen 90 und 99 liegt.

Werden die NEFZ-CO2-Werte nicht im Einklang mit Nummer 3.2.1 bestimmt, sondern beide Fahrzeuge H und L einer physischen Prüfung unterzogen, bleibt die Zufallszahl unberücksichtigt.

3.2.7. Unbeschadet der Nummer 3.2.6 verlangt die Typgenehmigungsbehörde gegebenenfalls auf der Grundlage eines Vorschlags eines technischen Dienstes in den Fällen, in denen der NEFZ-CO2-Wert im Einklang mit Nummer 3.2.1 ermittelt wird, die Durchführung einer einmaligen physischen Messung an einem Fahrzeug, sofern aufgrund ihrer unabhängigen fachlichen Einschätzung berechtigter Grund zu der Annahme besteht, dass der angegebene NEFZ-CO2-Wert im Vergleich zu einem gemessenen NEFZ-CO2-Wert zu gering ist. Die Prüfergebnisse sind gemäß Anhang VIII der Richtlinie 2007/46/EG zu dokumentieren.

3.2.8. Wird eine physische Prüfung gemäß Nummer 3.2.6 oder Nummer 3.2.7 durchgeführt, erfasst die Typgenehmigungsbehörde für jede WLTP-Interpolationsfamilien die relative Abweichung (relative deviation - De) des gemessenen Werts vom vom Hersteller angegebenen Wert wie folgt:

De = (RTr - DV) / DV

Dabei ist

RTr das Ergebnis der Stichprobenprüfung, multipliziert mit dem Faktor Ki;

DV der vom Hersteller angegebene Wert.

Der Abweichungsfaktor De wird mit drei Dezimalstellen berechnet und im Typgenehmigungsbogen sowie der Übereinstimmungsbescheinigung erfasst.

Stellt die Typgenehmigungsbehörde fest, dass die Ergebnisse der physischen Prüfung die vom Hersteller bereitgestellten Eingabedaten nicht bestätigen, insbesondere die unter den Einträgen 20, 22 und 44 der Nummer 2.4 Tabelle 1 genannten Daten, wird ein Prüffaktor von 1 festgesetzt und im Typgenehmigungsbogen sowie der Übereinstimmungsbescheinigung erfasst. Werden die Eingabedaten bestätigt oder ist der Eingabedatenfehler nicht zum Vorteil des Herstellers, wird der Prüffaktor auf 0 festgesetzt.

3.3. Berechnung der phasenspezifischen NEFZ-CO2-Emissionswerte und Kraftstoffverbrauchswerte für die Fahrzeuge H und L

Die Typgenehmigungsbehörde oder gegebenenfalls der technische Dienst ermittelt die phasenspezifischen NEFZ-Werte und die Kraftstoffverbrauchswerte für das Fahrzeug H und das Fahrzeug L im Einklang mit den Nummern 3.3.1 bis 3.3.4.

3.3.1. Berechnung der phasenspezifischen NEFZ-CO2-Emissionswerte für das Fahrzeug H 17

Die phasenspezifischen NEFZ-Werte für das Fahrzeug H werden wie folgt berechnet:

NEDC CO2,p,H = NEDC CO2,p,H,c · CO2,AF,H

Dabei ist:

p die NEFZ-Phase "UDC" (städtischer Fahrzyklus) oder "EUDC" (außerstädtischer Fahrzyklus);
NEFZ CO2,p,H,c der mit dem Korrelationsinstrument simulierte NEFZ-CO2-Wert gemäß Nummer 3.1.2 für die Phase p oder gegebenenfalls das Ergebnis der physischen Messung gemäß Nummer 3.2.2;
NEFZ CO2,p,H der phasenspezifische NEFZ-Wert der anzuwendenden Phase p für das Fahrzeug H (gCO2/km);
CO2,AF,H der Anpassungsfaktor für das Fahrzeug H, berechnet anhand des Verhältnisses zwischen dem im Einklang mit Nummer 3.2 ermittelten NEFZ-CO2-Wert und dem mit dem Korrelationsinstrument simulierten NEFZ-Prüfergebnis gemäß Nummer 3.1.2 oder gegebenenfalls dem Ergebnis der physischen Messung.

3.3.2. Berechnung der phasenspezifischen NEFZ-CO2-Emissionswerte für das Fahrzeug L 17

Die phasenspezifischen NEFZ-Werte für das Fahrzeug L werden wie folgt berechnet:

NEDC CO2,p,L = NEDC CO2,p,L,c · CO2,AF,L

Dabei ist:

p die NEFZ-Phase "UDC" (städtischer Fahrzyklus) oder "EUDC" (außerstädtischer Fahrzyklus);
NEFZ CO2,p,L,c der mit dem Korrelationsinstrument simulierte NEFZ-CO2-Wert gemäß Nummer 3.1.2 für die Phase p oder gegebenenfalls das Ergebnis der physischen Messung gemäß Nummer 3.2.2;
NEFZ CO2,p,L der phasenspezifische NEFZ-Wert der anzuwendenden Phase p für das Fahrzeug L (gCO2/km);
CO2,AF,L der Anpassungsfaktor für das Fahrzeug L, berechnet anhand des Verhältnisses zwischen dem im Einklang mit Nummer 3.2 ermittelten NEFZ-CO2-Wert und dem mit dem Korrelationsinstrument simulierten NEFZ-Prüfergebnis gemäß Nummer 3.1.2 oder gegebenenfalls dem Ergebnis der physischen Messung.

3.3.3. Berechnung des NEFZ-Kraftstoffverbrauchs für die Fahrzeuge H und L 17

3.3.3.1. Berechnung des NEFZ-Kraftstoffverbrauch (kombiniert) 17

Der NEFZ-Kraftstoffverbrauch (kombiniert) für die Fahrzeuge H und L wird unter Verwendung der kombinierten NEFZ-CO2-Emissionswerte berechnet, die im Einklang mit Nummer 3.2 sowie den in Anhang XII der Verordnung (EG) Nr. 692/2008 festgelegten Bestimmungen ermittelt wurden. Die Emissionen anderer Schadstoffe, die bei Berechnung des Kraftstoffverbrauchs von Bedeutung sind (Kohlenwasserstoffe, Kohlenmonoxid), werden als Nullemissionen (0 g/km) betrachtet.

3.3.3.2. Berechnung des phasenspezifischen NEFZ-Kraftstoffverbrauchs 17

Der phasenspezifische NEFZ-Kraftstoffverbrauch für die Fahrzeuge H und L wird unter Verwendung der phasenspezifischen NEFZ-CO2-Emissionswerte berechnet, die im Einklang mit Nummer 3.3 sowie den in Anhang XII der Verordnung (EG) Nr. 692/2008 festgelegten Bestimmungen ermittelt wurden. Die Emissionen anderer Schadstoffe, die bei Berechnung des Kraftstoffverbrauchs von Bedeutung sind (Kohlenwasserstoffe, Kohlenmonoxid), werden als Nullemissionen (0 g/km) betrachtet.

3.3.4. - gestrichen - 18

3.3.4.1. Berechnung des NEFZ-Kraftstoffverbrauchs (kombiniert) für das Fahrzeug L

Der kombinierte NEFZ-Kraftstoffverbrauch für das Fahrzeug L wird wie folgt berechnet:

NEDC FCL = NEDC FCL,c ⋅ CO2,AF,L

Dabei ist

NEFZ FCL,c das Prüfergebnis für den NEFZ-Kraftstoffverbrauch (kombiniert), ermittelt im Einklang mit Anhang XII der Verordnung (EG) Nr. 692/2008 unter Verwendung der im Einklang mit Nummer 3.1.3 Buchstabe b ermittelten CO2-Emissionswerte oder des Ergebnisses einer physischen Messung gemäß Nummer 3.2.2; die Emissionen anderer Schadstoffe, die bei Berechnung des Kraftstoffverbrauchs von Bedeutung sind (Kohlenwasserstoffe, Kohlenmonoxid), werden als Nullemissionen (0 g/km) betrachtet;
NEFZ FCL der NEFZ-Kraftstoffverbrauch (kombiniert) für das Fahrzeug L (l/100 km);
CO2,AF,L der Anpassungsfaktor für das Fahrzeug L, berechnet anhand des Verhältnisses zwischen dem im Einklang mit Nummer 3.2 ermittelten NEFZ-CO2-Wert und dem NEFZ-Prüfergebnis gemäß Nummer 3.1.3 Buchstabe b.

3.3.4.2. Berechnung des phasenspezifischen NEFZ-Kraftstoffverbrauchs für das Fahrzeug L

Der phasenspezifische NEFZ-Kraftstoffverbrauch für das Fahrzeug L wird wie folgt berechnet:

NEDC FCp,L = NEDC FCp,L,c ⋅ CO2,AF,L

Dabei ist

p die NEFZ-Phase "UDC" (städtischer Fahrzyklus) oder "EUDC" (außerstädtischer Fahrzyklus);
NEFZ FCp,L,c das Prüfergebnis für den NEFZ-Kraftstoffverbrauch der Phase p, ermittelt im Einklang mit Anhang XII der Verordnung (EG) Nr. 692/2008 unter Verwendung der im Einklang mit Nummer 3.1.2 Buchstabe b ermittelten CO2-Emissionswerte oder des Ergebnisses einer physischen Messung gemäß Nummer 3.2.2; die Emissionen anderer Schadstoffe, die bei Berechnung des Kraftstoffverbrauchs von Bedeutung sind (Kohlenwasserstoffe, Kohlenmonoxid), werden als Nullemissionen (0 g/km) betrachtet;
NEFZ FCp,L der phasenspezifische NEFZ-Wert der anzuwendenden Phase p für das Fahrzeug L (l/100 km);
CO2,AF,L der Anpassungsfaktor für das Fahrzeug L, berechnet anhand des Verhältnisses zwischen dem im Einklang mit Nummer 3.2 ermittelten NEFZ-CO2-Wert und dem NEFZ-Prüfergebnis gemäß Nummer 3.1.3 Buchstabe b.

4. Berechnung der phasenspezifischen NEFZ-CO2-Emissionswerte und Kraftstoffverbrauchswerte, die Einzelfahrzeugen der Klasse M1 zuzuordnen sind

Der Hersteller berechnet die (phasenspezifischen und kombinierten) NEFZ-CO2-Werte und Kraftstoffverbrauchswerte, die einzelnen Personenkraftwagen zuzuordnen sind, im Einklang mit den Nummern 4.1 und 4.2 und trägt diese Werte in die Übereinstimmungsbescheinigungen ein.

Es gelten die Vorschriften über die Rundung gemäß Anhang XXI Unteranhang 7 Nummer 1.3 der Verordnung (EU) 2017/1151.

4.1. Ermittlung der NEFZ-CO2-Werte im Falle einer WLTP-Interpolationsfamilie, der das Fahrzeug H zugrunde liegt

Werden die CO2-Emissionswerte der WLTP-Interpolationsfamilie unter Bezug auf das Fahrzeug H ausschließlich gemäß Anhang XXI Unteranhang 6 Nummer 1.2.3.1 der Verordnung (EU) 2017/1151 ermittelt, ist der in die Überstimmungsbescheinigungen der Fahrzeuge dieser Familie einzutragende NEFZ-CO2-Wert der NEFZ-CO2- Emissionswert, der im Einklang mit Nummer 3.2 dieses Anhangs ermittelt und in den Typgenehmigungsbogen des betreffenden Fahrzeugs H eingetragen wurde.

4.2. Ermittlung der NEFZ-CO2-Werte im Falle einer WLTP-Interpolationsfamilie, der das Fahrzeug L und das Fahrzeug H zugrunde liegen

4.2.1. Berechnung des Fahrwiderstands (Straße) für ein Einzelfahrzeug

4.2.1.1. Masse des betreffenden Fahrzeugs

Die NEFZ-Bezugsmasse des Einzelfahrzeugs (RMn,ind) wird wie folgt bestimmt:

RMn,ind = (MROind - 75 + 100)[kg]

Dabei ist MROind die jeweilige Masse des Einzelfahrzeugs in fahrbereitem Zustand im Sinne von Artikel 3 Buchstabe d der Verordnung (EG) Nr. 443/2009.

Die für die Berechnung der NEFZ-CO2-Werte des Einzelfahrzeugs zu verwendende Masse ist der in Anhang 4a Tabelle 3 der UN/ECE-Regelung Nr. 83 festgelegte Schwungmassewert, der der Bezugsmasse entspricht, die gemäß dieser Nummer ermittelt wurde und die Bezeichnung TMn,ind. erhält.

4.2.1.2. Rollwiderstand des Einzelfahrzeugs

Die im Einklang mit Anhang XXI Unteranhang 7 Nummer 3.2.3.2.2.2 der Verordnung (EU) 2017/1151 ermittelte Reifenrollwiderstand wird für die Zwecke der Interpolation des NEFZ-CO2-Werts des Einzelfahrzeugs herangezogen.

4.2.1.3 Luftwiderstand eines Einzelfahrzeugs

Der Luftwiderstand des Einzelfahrzeugs wird unter Berücksichtigung der Differenz des Luftwiderstands zwischen einem Einzelfahrzeug und dem Fahrzeug L aufgrund unterschiedlicher Karosserieformen (m2) berechnet:

Δ[Cd · Af]ind-L,n

Dabei ist

Cd der Luftwiderstandskoeffizient;

afdie Fläche der Fahrzeugfront (m2).

Die Typgenehmigungsbehörde oder gegebenenfalls der technische Dienst prüft, ob die in Anhang XXI Unteranhang 7 Nummer 3.2.3.2.2.3 der Verordnung (EU) 2017/1151 genannte Windkanalanlage die genaue Bestimmung von Δ(Cd x Af) für Karosserieformen zwischen dem Fahrzeug L und H zulässt. Lässt die Windkanalanlage dies nicht zu, gilt für das Einzelfahrzeug Δ[Cd · Af]H-L,n für das Fahrzeug H.

Haben die Fahrzeuge L und H die gleiche Karosserieform, ist der Wert Δ[Cd · Af]ind-L,n für das Interpolationsverfahren auf null zu setzen.

4.2.1.4. Berechnung des Fahrwiderstands (Straße) für ein Einzelfahrzeug einer WLTP-Interpolationsfamilie

4.2.1.4.1 Aus den NEFZ-Fahrzeugen H und L abgeleitete Fahrwiderstandskoeffizienten

Die im Einklang mit Nummer 2.3.8. ermittelten Fahrwiderstandskoeffizienten F0,n, F1,nund F2,nfür die Fahrzeuge H und L werden als F0n,H, F1n,Hund F2n,Hbzw. F0n,L, F1n,Lund F2n,Lbezeichnet.

Die Fahrwiderstandskoeffizienten f0n,ind, f1n,indund f2n,indfür ein Einzelfahrzeug werden nach folgender Formel berechnet:

Formel 1(a)

Für neue Typgenehmigungen ab dem 1. Januar 2019 oder - auf Antrag des Herstellers - ab einem früheren Zeitpunkt werden die Fahrwiderstandskoeffizienten nach folgender Formel berechnet:

Formel 1(b)

Oder wenn (TMn,H· RRn,H- TMn,L· RRn,L) = 0 oder gegebenenfalls (RMn,H· RRn,H- RMn,L· RRn,L) = 0, ist Formel 2 anzuwenden:

Formel 2

f0n,ind= F0n,H- Δ

f1n,ind= F1n,H

oder wenn Δ[Cd · Af]LH,n= 0, ist Formel 3 anzuwenden:

Formel 3

f2n,ind= F2n,H- ΔF2n

dabei ist

ΔF0,n= F0n,H- F0n,L

ΔF2,n= F2n,H- F2n,L

4.2.1.4.2 Aus den WLTP-Fahrwiderstandskoeffizienten von Einzelfahrzeugen abgeleitete Fahrwiderstandskoeffizienten

Die NEFZ-Fahrwiderstände für Einzelfahrzeuge sind für neue Typgenehmigungen ab dem 1. Januar 2019 und für alle neuen Fahrzeuge, die in Betrieb genommen werden, ab dem 1. Januar 2020 oder auf Antrag des Herstellers vor diesen Zeitpunkten in den folgenden Fällen aus den WLTP-Fahrwiderstandskoeffizienten des betreffenden Fahrzeugs abzuleiten:

  1. wenn der CO2-Emissionswert, der Zyklusenergiebedarf oder einer der gemäß Nummer 4.2.1.4.1. berechneten Fahrwiderstandskoeffizienten f0" f1 oder f2 von dem NEFZ-Fahrzeug H oder L extrapoliert wird;
  2. wenn die Fahrwiderstandskoeffizienten für die NEFZ-Fahrzeuge H und L von verschiedenen Fahrwiderstandsfamilien abgeleitet werden;
  3. wenn das Einzelfahrzeug zu einer anderen Fahrwiderstandsfamilie gehört als das NEFZ-Fahrzeug H und/oder L;
  4. wenn das Einzelfahrzeug zu einer Fahrwiderstandsmatrix-Familie gehört.

Die NEFZ-Fahrwiderstandskoeffizienten werden in den Fällen a bis d nach den Formeln in Nummer 2.3.8.1.1. berechnet, wobei Bezugnahmen auf das Fahrzeug H als Bezugnahmen auf das Einzelfahrzeug zu betrachten sind. Im Fall d, bei dem die Fahrwiderstandskoeffizienten für die Fahrwiderstandsmatrix-Familie gemäß Nummer 2.3.8.2.1 Buchstabe a ermittelt wurden, können die Fahrwiderstandskoeffizienten für Einzelfahrzeuge nach den Formeln in Nummer 4.2.1.5 Absatz 2 ermittelt werden.

Im Fall a darf eine CO2-Extrapolation nur dann durchgeführt werden, wenn die Differenz zwischen den NEFZ-Fahrzeugen H und L mindestens 5 g CO2/km beträgt. In diesem Fall kann die Interpolationslinie auf ein Maximum von 3 g CO2/km über den CO2-Emissionen von Fahrzeug H oder unter den CO2-Emissionen von Fahrzeug L extrapoliert werden. Übersteigt die Extrapolation 3 g CO2/km oder beträgt die Differenz zwischen den NEFZ-Fahrzeugen H und L weniger als 5 g CO2/km' ermittelt der Hersteller gemäß den Nummern 2 und 3 dieses Anhangs eine neue Interpolationslinie für diese Familie.

4.2.1.4a - gestrichen -

4.2.1.5. Berechnung des Zyklusenergiebedarfs

Der Zyklusenergiebedarf des anzuwendenden NEFZ Ek,n und der Energiebedarf für alle anzuwendenden Zyklusphasen Ek,p,n für Einzelfahrzeuge der WLTP-Interpolationsfamilie sind für die nachstehenden Kombinationen k der Fahrwiderstandskoeffizienten und Massen nach dem Verfahren des Anhangs XXI Unteranhang 7 Absatz 5 der Verordnung (EU) 2017/1151 zu berechnen:

k = 1: F0 = F0n,L; F1 = F1n,H; F2 = F2n,L; m = TMn,L

(Prüffahrzeug L)

k = 2: F0 = F0n,H; F1 = F1n,H; F2 = F2n,H; m = TMn,H

(Prüffahrzeug H)

k = 3: F0 = f0n;ind; F1 = F1n;H; F2 = f2n;ind; m = TMn;ind

(ein Einzelfahrzeug einer WLTP-Interpolationsfamilie).

Werden die in Anhang 4a Tabelle 3 der UN/ECE-Regelung Nr. 83 spezifizierten Rollenprüfstandskoeffizienten angewendet, sind die folgenden Formeln zu verwenden:

4.2.1.6. Berechnung des NEFZ-CO2-Werts für ein Einzelfahrzeug anhand des CO2-Interpolationsverfahrens

Für jede für Einzelfahrzeuge in der WLTP-Interpolationsfamilie anwendbare Zyklusphase p des NEFZ ist der Beitrag eines Einzelfahrzeugs zur Gesamtmasse der CO2-Emissionen wie folgt zu berechnen:

Die einem Einzelfahrzeug der WLTP-Interpolationsfamilie MCO2-ind,n zugeordnete CO2-Emissionsmasse (g/km), ist wie folgt zu berechnen:

Die Bezeichnungen E1,p,n, E2,p,n, E3,p,n und E1,n, E2,n, E3,n werden jeweils in Nummer 4.2.1.5 definiert.

4.2.1.7. Berechnung des NEFZ-Kraftstoffverbrauchswerts für ein Einzelfahrzeug anhand des Interpolationsverfahrens

Für jede für Einzelfahrzeuge in der WLTP-Interpolationsfamilie anwendbare Zyklusphase p des NEFZ ist der Kraftstoffverbrauch (l/100 km) eines Einzelfahrzeugs wie folgt zu berechnen:

Der Kraftstoffverbrauch (l/100 km) des vollständigen Zyklus für ein Einzelfahrzeug der WLTP-Interpolationsfamilie ist wie folgt zu berechnen:

Die Bezeichnungen E1,p,n, E2,p,n, E3,p,n und E1,n, E2,n, E3,n werden jeweils in Nummer 4.2.1.5 definiert.

5. Datenerfassung 17

Die Typgenehmigungsbehörde oder der benannte technische Dienst stellt sicher, dass die folgenden Informationen erfasst werden:

  1. die vollständige Korrelationsdatei gemäß Nummer 3.1.1, einschließlich des NEFZ-CO2-Referenzwerts gemäß den Nummern 3.1.2 und 3.1.3 sowie des vom Hersteller angegebenen Werts, als Prüfbericht gemäß Anhang VIII der Richtlinie 2007/46/EG;
  2. die NEFZ-CO2-Werte aus den physischen Messungen gemäß Nummer 3.2 des vorliegenden Anhangs im Typgenehmigungsbogen entsprechend der Anlage zum Beiblatt des Typgenehmigungsbogens gemäß Anhang I Anlage 4 der Verordnung (EU) 2017/1151;
  3. der Abweichungsfaktor (De) und der Prüffaktor, ermittelt im Einklang mit Nummer 3.2.8 des vorliegenden Anhangs (falls verfügbar), im Typgenehmigungsbogen entsprechend der Anlage zum Beiblatt des Typgenehmigungsbogens gemäß Anhang I Anlage 4 der Verordnung (EU) 2017/1151 und in Eintrag 49.1 der Übereinstimmungsbescheinigung gemäß Anhang IX der Richtlinie 2007/46/EG;
  4. die phasenspezifischen NEFZ-Werte sowie die phasenspezifischen und kombinierten Kraftstoffverbrauchswerte, ermittelt im Einklang mit Nummer 3.3, im Typgenehmigungsbogen entsprechend der Anlage zum Beiblatt des Typgenehmigungsbogens gemäß Anhang I Anlage 4 der Verordnung (EU) 2017/1151;
  5. die NEDC-CO2-Werte (alle Phasen und kombiniert) und Kraftstoffverbrauchswerte (alle Phasen und kombiniert), ermittelt im Einklang mit Nummer 4.2 dieses Anhangs, als Eintrag 49.1 der Übereinstimmungsbescheinigung gemäß Anhang IX der Richtlinie 2007/46/EG.
1) https://co2mpas.io/

2) Ab dem 1. August 2017: jrc-co2mpas@ec.europa.eu

3) Änderungen der Mailbox-Adresse werden auf der Website bekannt gemacht.

4) Elektronische Signierschlüssel werden von der Gemeinsamen Forschungsstelle der Europäischen Kommission zur Verfügung gestellt.

5) Verordnung (EU) 2017/1151 der Kommission vom 1. Juni 2017 zur Ergänzung der Verordnung (EG) Nr. 715/2007 des Europäischen Parlaments und des Rates über die Typgenehmigung von Kraftfahrzeugen hinsichtlich der Emissionen von leichten Personenkraftwagen und Nutzfahrzeugen (Euro 5 und Euro 6) und über den Zugang zu Reparatur- und Wartungsinformationen für Fahrzeuge, zur Änderung der Richtlinie 2007/46/EG des Europäischen Parlaments und des Rates, der Verordnung (EG) Nr. 692/2008 der Kommission sowie der Verordnung (EU) Nr. 1230/2012 der Kommission und zur Aufhebung der Verordnung (EG) Nr. 692/2008 (ABl. L 175 vom 07.07.2017, S. 1).

6) -

.

Anhang II

" Anhang I Datenquellen

Parameter Übereinstimmungs- bescheinigung (Anhang IX Teil 1 Muster B der Richtlinie 2007/46/EG) Typgenehmigungs- unterlagen (Richtlinie 2007/46/EG)
Hersteller Abschnitt 0.5 Anhang III Teil I Abschnitt 0.5
Typgenehmigungsnummer und ihre Erweiterung Abschnitt 0.10 Typgenehmigungsbogen gemäß Anhang VI
Typ Abschnitt 0.2 Anhang III Teil I Abschnitt 0.2 (wo zutreffend)
Variante Abschnitt 0.2 Anhang III Abschnitt 3 (wo zutreffend)
Version Abschnitt 0.2 Anhang III Abschnitt 3 (wo zutreffend)
Fabrikmarke Abschnitt 0.1 Anhang III Teil I Abschnitt 0.1
Handelsname Abschnitt 0.2.1 Anhang III Teil I Abschnitt 0.2.1
Klasse des typgenehmigten Fahrzeugs Abschnitt 0.4 Anhang III Teil I Abschnitt 0.4
Klasse des zugelassenen Fahrzeugs Keine Angabe Keine Angabe
Masse in fahrbereitem Zustand (kg) Abschnitt 13 Anhang III Teil I Abschnitt 2.61
Fahrzeugstandfläche - Radstand (mm) Abschnitt 4 Anhang III Teil I Abschnitt 2.12
Fahrzeugstandfläche - Spurweite (mm) Abschnitt 30 Anhang III Teil I Abschnitte 2.3.1 und 2.3.23
Spezifische NEFZ-CO2-Emissionen (g/km)4 Abschnitt 49.1 Anhang VIII Abschnitt 3
Spezifische WLTP-CO2-Emissionen (g/ km)4 Abschnitt 49.4 Keine Angabe
Kraftstofftyp Abschnitt 26 Anhang III Teil I Abschnitt 3.2.2.1
Kraftstoffmodus Abschnitt 26.1 Anhang III Teil I Abschnitt 3.2.2.4
Motorleistung (cm3) Abschnitt 25 Anhang III Teil I Abschnitt 3.2.1.3
Stromverbrauch (Wh/km) Abschnitt 49.2 Anhang VIII Abschnitt 3
Code für die Ökoinnovation(en) Abschnitt 49.3.1 Anhang VIII Abschnitt 4
NEFZ-basierte ökoinnovationsbedingte Einsparungen von CO2-Emissionen insgesamt Abschnitt 49.3.2.1 Anhang VIII Abschnitt 4
WLTP-basierte ökoinnovationsbedingte Einsparungen von CO2-Emissionen insgesamt Abschnitt 49.3.2.2
Fahrzeug-Identifizierungsnummer Abschnitt 0.10 Anhang III Teil I Nummer 9.17
Prüfmasse [WLTP] Abschnitt 47.1.1 Keine Angabe
Abweichungsfaktor De Abschnitt 49.1 Anlage zum Beiblatt des Typgenehmigungsbogens gemäß Anhang I Anlage 4 der Verordnung (EU) 2017/1151
Prüffaktor ("1" oder "0") Abschnitt 49.1 Anlage zum Beiblatt des Typgenehmigungsbogens gemäß Anhang I Anlage 4 der Verordnung (EU) 2017/1151
1) Gemäß Artikel 3 Absatz 8 dieser Verordnung.

2) Gemäß Artikel 3 Absatz 8 dieser Verordnung.

3) Gemäß Artikel 3 Absätze 7 und 8 dieser Verordnung.

4) Gemäß den Artikeln 3 und 4 der Durchführungsverordnung (EU) 2017/1152."


ENDE

umwelt-online - Demo-Version


(Stand: 30.12.2024)

Alle vollständigen Texte in der aktuellen Fassung im Jahresabonnement
Nutzungsgebühr: ab 105.- € netto

(derzeit ca. 7200 Titel s.Übersicht - keine Unterteilung in Fachbereiche)

Preise & Bestellung

Die Zugangskennung wird kurzfristig übermittelt

? Fragen ?
Abonnentenzugang/Volltextversion