Für einen individuellen Ausdruck passen Sie bitte die
Einstellungen in der Druckvorschau Ihres Browsers an.
Regelwerk, EU 2020, Immissionsschutz - EU Bund / Gefahrgut/Transport - EU Bund

Durchführungsbeschluss (EU) 2020/1222 der Kommission vom 24. August 2020 über die Genehmigung der effizienten Fahrzeug-Außenbeleuchtung mit Leuchtdioden als eine innovative Technologie zur Verringerung der CO2-Emissionen von leichten Nutzfahrzeugen mit Verbrennungsmotor auf Grundlage der Bedingungen des NEFZ gemäß der Verordnung (EU) 2019/631 des Europäischen Parlaments und des Rates

(Text von Bedeutung für den EWR)

(ABl. L 279 vom 27.08.2020 S. 5;
Beschl. (EU) 2020/1806 - ABl. L 402 vom 01.12.2020 S. 91aufgehoben)



aufgehoben/ersetzt gem. Art. 5 des Beschl.'es (EU) 2020/1806

s.a.: Liste - zur Festsetzung/Genehmigung ... gem. der VO (EU) 2019/631

Die Europäische Kommission -

gestützt auf den Vertrag über die Arbeitsweise der Europäischen Union,

gestützt auf die Verordnung (EU) 2019/631 des Europäischen Parlaments und des Rates vom 17. April 2019 zur Festsetzung von CO2-Emissionsnormen für neue Personenkraftwagen und für neue leichte Nutzfahrzeuge und zur Aufhebung der Verordnungen (EG) Nr. 443/2009 und (EU) Nr. 510/2011 1, insbesondere auf Artikel 11 Absatz 4,

in Erwägung nachstehender Gründe:

(1) Die Hersteller Toyota Motor Europe, Opel Automobile GmbH-PSA, FCa Italy S.p.A., Automobiles Citroën, Automobiles Peugeot, PSa Automobiles SA, Audi AG, Ford-Werke GmbH, Jaguar Land Rover Ltd., Hyundai Motor Europe Technical center GmbH, Škoda Auto a.s., BMW AG, Renault SA, Honda Motor Europe Ltd, Volkswagen AG und Volkswagen AG Nutzfahrzeuge reichten am 19. Dezember 2019 einen gemeinsamen Antrag (im Folgenden "Antrag") ein, um die effiziente Fahrzeug-Außenbeleuchtung mit Leuchtdioden (im Folgenden "effiziente LED-Außenleuchte") als innovative Technologie zur Verringerung der CO2-Emissionen von leichten Nutzfahrzeugen mit Verbrennungsmotorantrieb, die mit Ottokraftstoff, Dieselkraftstoff und bestimmten alternativen Kraftstoffen betrieben werden können, im Einklang mit Artikel 11 der Verordnung (EU) 2019/631 genehmigen zu lassen.

(2) Der Antrag wurde gemäß Artikel 11 der Verordnung (EU) 2019/631, der Durchführungsverordnung (EU) Nr. 427/2014 der Kommission 2 und dem technischen Leitfaden für die Vorbereitung von Anträgen auf Genehmigung innovativer Technologien gemäß der Verordnung (EG) Nr. 443/2009 des Europäischen Parlaments und des Rates 3 (Fassung vom Juli 2018) 4 geprüft. Dem Antrag war gemäß Artikel 11 Absatz 3 der Verordnung (EU) 2019/631 ein Prüfbericht einer unabhängigen und zertifizierten Stelle beigefügt.

(3) Der Antrag bezieht sich auf CO2-Emissionseinsparungen, die möglicherweise nicht durch Messungen im Rahmen des neuen Europäischen Fahrzyklus (NEFZ) gemäß der Verordnung (EG) Nr. 692/2008 der Kommission 5 nachgewiesen werden können.

(4) Die Verwendung von Leuchtdioden zur Verbesserung der Effizienz der Fahrzeug-Außenbeleuchtung wurde bereits mit den Durchführungsbeschlüssen 2014/128/EU 6, (EU) 2015/206 7, (EU) 2016/160 8 und (EU) 2016/587 der Kommission 9 (im Folgenden zusammen die "bisherigen Durchführungsbeschlüsse zur Genehmigung") für bestimmte Außenleuchten von Personenkraftwagen als innovative Technologie genehmigt, die geeignet ist, die CO2-Emissionen in einer Weise zu senken, die durch die Messungen im Rahmen der NEFZ-Prüfung nicht erfasst wird.

(5) Auf der Grundlage der Erfahrungen aus der Prüfung der Anträge im Rahmen der bisherigen Durchführungsbeschlüsse zur Genehmigung sowie der mit dem Antrag vorgelegten Berichte und Informationen wurde in zufriedenstellender Weise und schlüssig nachgewiesen, dass eine effiziente LED-Außenleuchte oder eine geeignete Kombination solcher Leuchten die Kriterien nach Artikel 11 der Verordnung (EU) 2019/631 und der Durchführungsverordnung (EU) Nr. 427/2014 erfüllt und eine CO2-Verringerung von mindestens 1 g CO2/km gegenüber demselben Satz von Vergleichs-Außenleuchten bewirkt.

(6) Zusätzlich zu der Fahrzeug-Außenbeleuchtung, für die die Verwendung effizienter LED-Leuchten bereits in den bisherigen Durchführungsbeschlüssen zur Genehmigung genehmigt wurde, bezieht sich der Antrag außerdem auf die Verwendung von effizienten LED-Außenleuchten in Abbiegeleuchten, statischen Kurvenleuchten, Umrissleuchten und Seitenmarkierungsleuchten. Da diese Leuchten während der Messungen im Rahmen der NEFZ-Prüfung nicht eingeschaltet werden, sollte die Verwendung von effizienten LED-Außenleuchten auch in diesen Leuchten genehmigt werden.

(7) Der Antrag enthält eine Methode zur Bestimmung der CO2-Einsparungen durch die Verwendung von effizienten LED-Außenleuchten in einer Reihe von Fahrzeugleuchten für den Einsatz in leichten Nutzfahrzeugen mit Verbrennungsmotor, die mit Ottokraftstoff, Dieselkraftstoff, Flüssiggas (LPG), komprimiertem Erdgas (CNG) oder E85 betrieben werden können.

(8) Angesichts der begrenzten Verfügbarkeit von E85 auf dem Unionsmarkt insgesamt wird es jedoch nicht als gerechtfertigt erachtet, diesen Kraftstoff für die Zwecke der Prüfmethode von Ottokraftstoff zu unterscheiden.

(9) Die Antragsteller haben Studien vorgelegt, die belegen, dass sich die Nutzungsmuster von leichten Nutzfahrzeugen und von Personenkraftwagen bei der Verwendung der Fahrzeug-Außenbeleuchtung hinreichend ähneln, um auf leichte Nutzfahrzeuge dieselbe Methode wie in den bisherigen Durchführungsbeschlüssen festgelegt anzuwenden.

(10) Für Abbiegescheinwerfer, statische Kurvenlampen, Umrissleuchten und Seitenmarkierungsleuchten, die von den bisherigen Durchführungsbeschlüssen nicht erfasst wurden, haben die Antragsteller allerdings vorgeschlagen, in die Prüfmethode spezifische Nutzungsfaktoren und Werte für die Leistungsaufnahme einzuschließen. Da die Nutzungsfaktoren und Werte für die Leistungsaufnahme, die die Antragsteller für diese Leuchten vorgeschlagen haben, zu Werten führen, die als konservativ anzusehen sind, empfiehlt es sich, diese Faktoren und Werte in die Prüfmethode aufzunehmen.

(11) Die Methode sollte außerdem ergänzt werden, um sicherzustellen, dass das Vorhandensein von adaptiven Frontbeleuchtungssystemen (AFS) im Abblendlicht berücksichtigt werden kann.

(12) Unter Berücksichtigung dieser Ergänzungen sollte die Prüfmethode als geeignet für die Bestimmung der CO2-Einsparungen aus der Verwendung der innovativen Technologie in leichten Nutzfahrzeugen erachtet werden.

(13) Die Hersteller sollten die Möglichkeit haben, bei einer Typgenehmigungsbehörde die Zertifizierung von CO2-Einsparungen durch die Verwendung von effizienten LED-Außenleuchten, die die in diesem Beschluss festgelegten Bedingungen erfüllen, zu beantragen. Zu diesem Zweck sollten die Hersteller sicherstellen, dass dem Zertifizierungsantrag ein Prüfbericht einer unabhängigen und zertifizierten Stelle beigefügt ist, in dem bestätigt wird, dass die innovative Technologie den in diesem Beschluss festgelegten Bedingungen entspricht und dass die Einsparungen nach der im Anhang dieses Beschlusses dargelegten Prüfmethode ermittelt wurden.

(14) Um den breiteren Einsatz der effizienten Technologie in neuen Fahrzeugen zu erleichtern, sollte ein Hersteller außerdem die Möglichkeit haben, in einem einzigen Zertifizierungsantrag die Zertifizierung der CO2-Einsparungen mehrerer effizienter LED-Außenleuchten zu beantragen. Es empfiehlt sich jedoch sicherzustellen, dass, wenn von dieser Möglichkeit Gebrauch gemacht wird, automatisch Anreize dafür gegeben werden, dass nur die effizienten LED-Außenleuchten mit dem höchsten Wirkungsgrad zum Einsatz kommen.

(15) Es obliegt der Typgenehmigungsbehörde, gründlich zu überprüfen, ob die Bedingungen für die Zertifizierung der CO2-Einsparungen durch den Einsatz einer innovativen Technologie gemäß diesem Beschluss erfüllt sind. Wird die Zertifizierung erteilt, sollte die zuständige Typgenehmigungsbehörde sicherstellen, dass alle für die Zertifizierung berücksichtigten Elemente in einem Prüfbericht festgehalten und zusammen mit dem Prüfbericht der unabhängigen Stelle aufbewahrt werden und dass diese Informationen der Kommission auf Anfrage zur Verfügung gestellt werden.

(16) Für den Zweck der Bestimmung des allgemeinen Ökoinnovationscodes, der in den betreffenden Typgenehmigungsunterlagen gemäß den Anhängen I, VIII und IX der Richtlinie 2007/46/EG des Europäischen Parlaments und des Rates 10 zu verwenden ist, muss der innovativen Technologie ein individueller Code zugewiesen werden.

(17) Ab 2021 muss die Einhaltung der Zielvorgaben für die spezifischen CO2-Emissionen durch die Hersteller auf der Grundlage der CO2-Emissionen festgestellt werden, die nach dem in der Verordnung (EU) 2017/1151 der Kommission 11 festgelegten weltweit harmonisierten Prüfverfahren für Personenkraftwagen und leichte Nutzfahrzeuge (WLTP) ermittelt werden. CO2-Einsparungen durch die unter Bezugnahme auf diesen Beschluss zertifizierte innovative Technologie können daher nur für das Kalenderjahr 2020 bei der Berechnung der durchschnittlichen spezifischen CO2-Emissionen der Hersteller berücksichtigt werden

- hat folgenden Beschluss erlassen:

Artikel 1 Innovative Technologie

Die Verwendung von effizienten Leuchtdioden in der Fahrzeug-Außenbeleuchtung wird als innovative Technologie im Sinne von Artikel 11 der Verordnung (EU) 2019/631 zur Verwendung in leichten Nutzfahrzeugen mit Verbrennungsmotor genehmigt, die mit Ottokraftstoff, Dieselkraftstoff, Flüssiggas (LPG), komprimiertem Erdgas (CNG) oder E85 oder einer Kombination davon betrieben werden können, sofern die Technologie in einer oder mehreren der nachstehend genannten Fahrzeug-Außenleuchten eingesetzt wird:

  1. Scheinwerfer für Abblendlicht (einschließlich adaptiven Frontbeleuchtungssystemen);
  2. Fernlicht;
  3. Scheinwerfer für Standlicht;
  4. Nebelscheinwerfer;
  5. Nebelschlussleuchte;
  6. Vorderblinker;
  7. Heckblinker;
  8. Kennzeichenbeleuchtung;
  9. Rückfahrscheinwerfer;
  10. Abbiegescheinwerfer;
  11. statisches Kurvenlicht;
  12. Umrissleuchten;
  13. Seitenmarkierungsleuchten.

Artikel 2 Antrag auf Zertifizierung von CO2-Einsparungen

(1) Ein Hersteller kann bei einer Typgenehmigungsbehörde unter Bezugnahme auf diesen Beschluss die Zertifizierung der CO2-Einsparungen für den Einsatz einer oder mehrere effizienter LED-Außenleuchten beantragen.

(2) Der Hersteller stellt sicher, dass dem Zertifizierungsantrag ein Prüfbericht einer unabhängigen und zertifizierten Stelle beigefügt ist, in dem bestätigt wird, dass die in Artikel 1 genannten Bedingungen erfüllt sind.

(3) Wurden die Einsparungen gemäß Artikel 3 zertifiziert, so stellt der Hersteller sicher, dass die zertifizierten CO2-Einsparungen und der in Artikel 4 Absatz 1 genannte Ökoinnovationscode in die Übereinstimmungsbescheinigung der betreffenden Fahrzeuge eingetragen werden.

Artikel 3 Zertifizierung von CO2-Einsparungen

(1) Die Typgenehmigungsbehörde stellt sicher, dass die durch den Einsatz der innovativen Technologie erzielten CO2-Einsparungen nach der im Anhang beschriebenen Methode ermittelt wurden.

(2) Beantragt der Hersteller in Bezug auf eine Fahrzeugversion die Zertifizierung der CO2-Einsparungen von mehr als einer effizienten LED-Außenleuchte gemäß Artikel 1, so ermittelt die Typgenehmigungsbehörde, welche der geprüften effizienten LED-Außenleuchten die geringsten CO2-Einsparungen bewirkt und trägt den niedrigsten Wert in die entsprechenden Typgenehmigungsunterlagen ein. Dieser Wert ist für den Zweck von Absatz 4 heranzuziehen.

(3) Wird die innovative Technologie in ein Bi-Fuel- oder Flex-Fuel-Fahrzeug installiert, erfasst die Genehmigungsbehörde die CO2-Einsparungen wie folgt:

  1. bei Bi-Fuel-Fahrzeugen, die mit Ottokraftstoff und gasförmigen Kraftstoffen betrieben werden: den Wert der CO2-Einsparungen in Bezug auf LPG- oder CNG-Kraftstoffe;
  2. bei Flex-Fuel-Fahrzeugen, die mit Ottokraftstoff und E85 betrieben werden, den Wert der CO2-Einsparungen in Bezug auf Ottokraftstoff.

(4) Die Typgenehmigungsbehörde trägt die gemäß den Absätzen 1 und 2 ermittelten zertifizierten CO2-Einsparungen und den in Artikel 4 Absatz 1 genannten Ökoinnovationscode in die einschlägigen Typgenehmigungsunterlagen ein.

(5) Die Typgenehmigungsbehörde hält alle bei der Zertifizierung berücksichtigten Elemente in einem Prüfbericht fest und bewahrt diesen Prüfbericht zusammen mit dem in Artikel 2 Absatz 2 genannten Prüfbericht auf und stellt der Kommission diese Informationen auf Anfrage zur Verfügung.

(6) Die Typgenehmigungsbehörde zertifiziert CO2-Einsparungen nur, wenn sie feststellt, dass die innovative Technologie die in Artikel 1 genannten Bedingungen erfüllt, und wenn die erzielten CO2-Einsparungen mindestens 1 g CO2/km betragen, wie dies in Artikel 9 Absatz 1 Buchstabe a der Durchführungsverordnung (EU) Nr. 427/2014 festgelegt ist.

Artikel 4 Ökoinnovationscode

(1) Der mit diesem Beschluss genehmigten innovativen Technologie wird der Ökoinnovationscode 34 zugewiesen.

(2) Die mit Bezugnahme auf diesen Ökoinnovationscode zertifizierten CO2-Einsparungen können nur für das Kalenderjahr 2020 bei der Berechnung der durchschnittlichen spezifischen Emissionen der Hersteller berücksichtigt werden.

Artikel 5 Inkrafttreten

Dieser Beschluss tritt am zwanzigsten Tag nach seiner Veröffentlichung im Amtsblatt der Europäischen Union in Kraft.

Brüssel, den 24. August 2020

1) ABl. L 111 vom 25.04.2019 S. 13.

2) Durchführungsverordnung (EU) Nr. 427/2014 der Kommission vom 25. April 2014 zur Einführung eines Verfahrens zur Genehmigung und Zertifizierung innovativer Technologien zur Verringerung der CO2-Emissionen von leichten Nutzfahrzeugen nach der Verordnung (EU) Nr. 510/2011 des Europäischen Parlaments und des Rates (ABl. L 125 vom 26.04.2014 S. 57).

3) Verordnung (EG) Nr. 443/2009 des Europäischen Parlaments und des Rates vom 23. April 2009 zur Festsetzung von Emissionsnormen für neue Personenkraftwagen im Rahmen des Gesamtkonzepts der Gemeinschaft zur Verringerung der CO2-Emissionen von Personenkraftwagen und leichten Nutzfahrzeugen (ABl. L 140 vom 05.06.2009 S. 1).

4) https://circabc.europa.eu/sd/a/a19b42c8-8e87-4b24-a78b-9b70760f82a9/July%202018%20Technical%20Guidelines.pdf

5) Verordnung (EG) Nr. 692/2008 der Kommission vom 18. Juli 2008 zur Durchführung und Änderung der Verordnung (EG) Nr. 715/2007 des Europäischen Parlaments und des Rates über die Typgenehmigung von Kraftfahrzeugen hinsichtlich der Emissionen von leichten Personenkraftwagen und Nutzfahrzeugen (Euro 5 und Euro 6) und über den Zugang zu Reparatur- und Wartungsinformationen für Fahrzeuge (ABl. L 199 vom 28.07.2008 S. 1).

6) Durchführungsbeschluss 2014/128/EU der Kommission vom 10. März 2014 über die Genehmigung des Abblendlichtmoduls mit lichtemittierenden Dioden "E-Light" als innovative Technologie zur Verringerung der CO2-Emissionen von Personenkraftwagen gemäß der Verordnung (EG) Nr. 443/2009 des Europäischen Parlaments und des Rates (ABl. L 70 vom 11.03.2014 S. 30).

7) Durchführungsbeschluss (EU) 2015/206 der Kommission vom 9. Februar 2015 über die Genehmigung der effizienten Außenbeleuchtung mit Leuchtdioden der Daimler AG als innovative Technologie zur Verringerung der CO2-Emissionen von Personenkraftwagen gemäß der Verordnung (EG) Nr. 443/2009 des Europäischen Parlaments und des Rates (ABl. L 33 vom 10.02.2015 S. 52).

8) Durchführungsbeschluss (EU) 2016/160 der Kommission vom 5. Februar 2016 über die Genehmigung der effizienten Außenbeleuchtung mit Leuchtdioden der Toyota Motor Europe als innovative Technologie zur Verringerung der CO2-Emissionen von Personenkraftwagen gemäß der Verordnung (EG) Nr. 443/2009 des Europäischen Parlaments und des Rates (ABl. L 31 vom 06.02.2016 S. 70).

9) Durchführungsbeschluss (EU) 2016/587 der Kommission vom 14. April 2016 über die Genehmigung der in effizienter Außenbeleuchtung mit Leuchtdioden eingesetzten Technologie als innovative Technologie zur Verringerung der CO2-Emissionen von Personenkraftwagen gemäß der Verordnung (EG) Nr. 443/2009 des Europäischen Parlaments und des Rates (ABl. L 101 vom 16.04.2016 S. 17).

10) Richtlinie 2007/46/EG des Europäischen Parlaments und des Rates vom 5. September 2007 zur Schaffung eines Rahmens für die Genehmigung von Kraftfahrzeugen und Kraftfahrzeuganhängern sowie von Systemen, Bauteilen und selbstständigen technischen Einheiten für diese Fahrzeuge (Rahmenrichtlinie) (ABl. L 263 vom 09.10.2007 S. 1).

11) Verordnung (EU) 2017/1151 der Kommission vom 1. Juni 2017 zur Ergänzung der Verordnung (EG) Nr. 715/2007 des Europäischen Parlaments und des Rates über die Typgenehmigung von Kraftfahrzeugen hinsichtlich der Emissionen von leichten Personenkraftwagen und Nutzfahrzeugen (Euro 5 und Euro 6) und über den Zugang zu Fahrzeugreparatur- und -wartungsinformationen, zur Änderung der Richtlinie 2007/46/EG des Europäischen Parlaments und des Rates, der Verordnung (EG) Nr. 692/2008 der Kommission sowie der Verordnung (EU) Nr. 1230/2012 der Kommission sowie zur Aufhebung der Verordnung (EG) Nr. 692/2008 der Kommission (ABl. L 175 vom 07.07.2017 S. 1).

.

Methode zur Bestimmung - nach dem NEFZ - der CO2-Einsparungen von effizienter LED-Außenbeleuchtung zum Einsatz in leichten Nutzfahrzeugen Anhang

1. Einleitung

Dieser Anhang enthält die Methode zur Bestimmung der Einsparungen von CO2 (Kohlendioxid) bei der Verwendung von effizienter Fahrzeugaußenbeleuchtung in einer oder mehreren geeigneten Kombinationen der in Artikel 1 aufgeführten LED-Leuchten zum Einsatz in leichten Nutzfahrzeugen mit Verbrennungsmotor der Klasse N1.

2. Prüfbedingungen

Die Prüfbedingungen genügen den Anforderungen der Regelungen (UN/ECE) Nrn. 4 (1), 6 (2), 7 (3), 19 (4), 23 (5), 38 (6), 48 (7), 91 (8), 100 (9), 112 (10), 119 (11) und 123 (12) 1. Die Leistungsaufnahme wird gemäß Absatz 6.1.4 sowie Anhang 10 Absätze 3.2.1 und 3.2.2 der Regelung (UN/ECE) Nr. 112 bestimmt.

Beim adaptiven Frontbeleuchtungssystem (AFS) für Abblendlicht, das unter mindestens zwei der Klassen C, E, V oder W im Sinne der Regelung (UN/ECE) Nr. 123 fällt, wird die Leistungsaufnahme bei der LED-Intensität jeder Klasse (Pk) gemessen; dabei ist k jede in Tabelle 1 aufgeführte Klasse gemäß der Definition der Regelung (UN/ECE) Nr. 123.

Wird mit dem technischen Dienst vereinbart, dass die Klasse C für den betreffenden Fahrzeugantrag als repräsentative/mittlere LED-Intensität zugrunde gelegt wird, so wird die Leistungsaufnahme in derselben Weise gemessen wie für die übrigen LED-Außenleuchten der Kombination.

Tabelle 1 Klassen des AFS für Abblendlicht

Klasse Siehe Nummer 1.3 und Fußnote 2 der Regelung (UN/ECE) Nr. 123. LED-
Intensität (%)
Aktivierungsmodus *
C Scheinwerfer für Abblendlicht (Land) 100 50 km/h < Geschwindigkeit < 100 km/h
Oder wenn kein Modus mit einer anderen Abblendklasse aktiviert ist (V, W, E).
V Stadt 85 Geschwindigkeit < 50 km/h
E Autobahn 110 Geschwindigkeit > 100 km/h
W Ungünstige Bedingungen 90 Scheibenwischer aktiviert > 2 min.
*) Die Aktivierungsgeschwindigkeiten sind für jeden Fahrzeugantrag gemäß der Regelung (UN/ECE) Nr. 48 Abschnitt 6 Absatz 6 22 Nummern 6.22.7.4.1 (Klasse C), 6.22.7.4.2 (Klasse V), 6.22.7.4.3 (Klasse E) und 6.22.7.4.4 (Klasse W) zu prüfen.

2.1. Prüfausrüstung

Dabei ist folgende Prüfausrüstung zu verwenden:

In Abbildung 1 ist eine denkbare Prüfanordnung dargestellt, bei der der Gleichstromspannungsmesser in das Stromversorgungsgerät integriert ist.

Abbildung 1
Abbildung Prüfanordnung

2.2. Ermittlung der Stromeinsparungen

2.2.1.Messung der Leistungsaufnahme

Für jede effiziente LED-Außenleuchte in einer Kombination wird der Strom bei einer Spannung von 13,2 V gemessen. Bei LED-Modulen, die mit einem elektronischen Lichtquellen-Steuergerät betrieben werden, erfolgen die Messungen gemäß den Angaben des Antragstellers.

Der Hersteller kann verlangen, dass zusätzliche Strommessungen bei anderen Spannungen durchgeführt werden, wenn anhand von überprüften Unterlagen nachgewiesen wird, dass dies notwendig ist.

Die Messungen (n) werden in jedem Fall bei jeder Spannung mindestens fünfmal hintereinander durchgeführt. Die angelegte Spannung und der gemessene Strom werden mit vier Dezimalstellen erfasst.

Die Leistungsaufnahme wird durch Multiplikation der Spannung mit dem gemessenen Strom ermittelt. Die durchschnittliche Leistungsaufnahme für jede effiziente LED-Außenleuchte [W] wird nach Formel 1 mit vier Dezimalstellen berechnet, die bei den Berechnungen zu berücksichtigen sind. Werden die LED-Leuchten über einen Schrittmotor oder eine elektronische Steuereinheit mit Strom versorgt, so wird die Stromlast dieses Bauteils von der Messung ausgeschlossen.

Formel 1

Dabei ist

die geprüfte Spannung jeder LED-Fahrzeugleuchte i
der gemessene Strom jeder LED-Fahrzeugleuchte i
n die Anzahl Messungen der Stichprobe
j auf eine individuelle Messung der Leistungsaufnahme bezogen

Bei AFS für Abblendlicht wird die Leistungsaufnahme [W] nach Formel 2 als Durchschnitt der LED-Leistungsaufnahme für jede Klasse k berechnet und nach dem NEFZ-Zeitanteil pro Geschwindigkeitsbereich gewichtet.

Formel 2

Dabei ist,

die Leistungsaufnahme bei der LED-Intensität für jede Klasse k als Durchschnitt von n aufeinanderfolgenden Messungen.
K die Anzahl Klassen im Zusammenhang mit dem AFS für Abblendlicht.
NEDC_share    der NEFZ-Zeitanteil pro Geschwindigkeitsbereich jeder Klasse gemäß Tabelle 2.

Tabelle 2 NEFZ-Zeitanteil pro Geschwindigkeitsbereich

Geschwindigkeitsbereich NEDC_share
< 50 km/h 0,6805
50-100 km/h 0,2881
> 100 km/h 0,0314

Fällt das Abblendlicht-AFS nicht unter alle vier in Tabelle 1 genannten Klassen, so ist der NEDC_share der fehlenden Klassen der Klasse C zuzuordnen.

2.2.2.Berechnung der Stromeinsparungen

Die Stromeinsparungen werden für jede effiziente LED-Außenleuchte (ΔPi) [W] nach folgender Formel 3 berechnet.

Formel 3

Dabei ist

die Leistungsaufnahme der Vergleichs-Fahrzeugleuchte i [W]
die durchschnittliche Leistungsaufnahme der innovativen Fahrzeugleuchte i [W]

Die Leistungsaufnahme der verschiedenen Vergleichs-Fahrzeugleuchten ist in Tabelle 3 definiert.

Tabelle 3 Leistungsaufnahme verschiedener Vergleichs-Fahrzeugleuchten

Fahrzeugleuchte Leistungsaufnahme (PB) [W]
Abblendlicht 137
Fernlicht 150
Standlicht 12
Kennzeichenbeleuchtung 12
Nebelscheinwerfer 124
Nebelschlussleuchte 26
Vorderblinker 13
Heckblinker 13
Rückfahrscheinwerfer 52
Abbiegescheinwerfer 44
statisches Kurvenlicht 44
Umrissleuchten (Fahrzeugbreite > 2,1 m) 12
Seitenmarkierungsleuchten (Fahrzeuglänge > 6 m) 24

3. Berechnung der CO2-einsparungen

Die CO2-Einsparungen werden nach Formel 4 berechnet.

Formel 4

Dabei ist,

v die durchschnittliche Fahrgeschwindigkeit des NEFZ: 33,58 km/h
ηA der Wirkungsgrad des Stromgenerators: 0,67
UFi der in Tabelle 4 festgelegte Nutzungsfaktor der Fahrzeugleuchte i
VPe die in Tabelle 5 festgelegte tatsächliche Leistungsaufnahme für jeden genehmigten Kraftstoff
CF der in Tabelle 6 festgelegte Umrechnungsfaktor.

Tabelle 4 Nutzungsfaktor für verschiedene Fahrzeugleuchten

Fahrzeugleuchte Nutzungsfaktor (UF)
Abblendlicht 0,33
Fernlicht 0,03
Standlicht 0,36
Kennzeichenbeleuchtung 0,36
Nebelscheinwerfer 0,01
Nebelschlussleuchte 0,01
Vorderblinker 0,15
Heckblinker 0,15
Rückfahrscheinwerfer 0,01
Abbiegescheinwerfer 0,025
statisches Kurvenlicht 0,039
Umrissleuchten (Fahrzeugbreite > 2,1 m) 0,36
Seitenmarkierungsleuchten (Fahrzeuglänge > 6 m) 0,36

Tabelle 5 Tatsächliche Leistungsaufnahme

Motortyp Tatsächliche Leistungsaufnahme VPe [l/kWh]
E85-kompatibler Ottomotor 0,264
E85-kompatibler Ottomotor mit Turbolader 0,280
Dieselmotor 0,220
LPG-Motor 0,342
LPG-Motor mit Turbolader 0,363
Tatsächliche Leistungsaufnahme VPe [m3/kWh]
CNG-Motor (G20) 0,259
CNG-Motor (G20) mit Turbolader 0,275

Tabelle 6 Kraftstoffumrechnungsfaktor

Art des Kraftstoffs Umrechnungsfaktor (CF) [g CO2/l]
Benzin/E85 2.330
Diesel 2.640
LPG 1.629
Umrechnungsfaktor (CF) [g CO2/m3]
CNG (G20) 1.795

4. Berechnung der Unsicherheit der CO2-Einsparungen

4.1. Allgemeine Methode

Die Unsicherheit der CO2-Einsparungen () [W] wird nach Formel 5 berechnet.

Formel 5

Dabei ist

m die Anzahl LED-Außenleuchten in der geprüften Kombination.
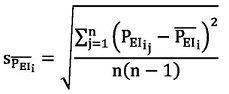
die statistische Marge der Leistungsaufnahme jeder i-ten in das ökoinnovative Fahrzeug eingebauten LED-Leuchte, die nach Formel 6 zu berechnen ist.

Formel 6

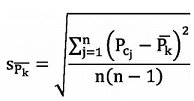
Bei einem AFS für Abblendlicht ist die statistische Marge der Leistungsaufnahme [W] stattdessen nach den Formeln 7 und 8 zu berechnen.

Formel 7

Formel 8

Dabei ist

n die Anzahl der Messungen der Leistungsaufnahme, die gemäß Abschnitt 2.2.1 mindestens 5 beträgt
i auf jede Fahrzeugleuchte bezogen
j auf eine individuelle Messung der Leistungsaufnahme bezogen
der Durchschnitt der n-Werte von Pk
K die Anzahl Klassen im Zusammenhang mit dem AFS für Abblendlicht.

5. Rundung

Die CO2-Einsparungen () und die Unsicherheit der CO2-Einsparungen () werden auf zwei Dezimalstellen gerundet.

Jeder zur Berechnung der CO2-Einsparungen herangezogene Wert wird entweder ungerundet verwendet oder auf die Mindestzahl von Dezimalstellen gerundet, bei der sichergestellt ist, dass die maximale Gesamtauswirkung auf die Einsparungen (d. h. die kombinierte Auswirkung aller gerundeten Werte) weniger als 0,25 [g CO2/km].beträgt.

6. Abgleich mit der CO2-Mindestsenkung

Die Typgenehmigungsbehörde stellt für jeden Typ, jede Variante und jede Version eines Fahrzeugs, das mit den effizienten LED-Außenleuchten ausgestattet ist, sicher, dass im Einklang mit Artikel 9 Absatz 1 Buchstabe a der Durchführungsverordnung (EU) Nr. 427/2014 das Kriterium der Mindestsenkung eingehalten wird.

Bei der Überprüfung, ob das Kriterium der Mindestsenkung eingehalten wird, muss die Typgenehmigungsbehörde die gemäß Nummer 3 ermittelten CO2-Einsparungen und die gemäß Nummer 4 ermittelte Unsicherheit im Einklang mit Formel 9 berücksichtigen.

Formel 9

Dabei ist bzw. sind

MT die Mindestsenkung in Höhe von 1 g CO2/km
die in Nummer 3 bestimmten CO2-Einsparungen [g CO2/km]
die gemäß Nummer 4 berechnete Unsicherheit der CO2-Einsparungen [g CO2/km].

7. Zertifizierung der CO2-Einsparungen

Die Typgenehmigungsbehörde zertifiziert die CO2-Einsparungen im Einklang mit Nummer 3 anhand von Messungen am LED-Beleuchtungssystem und an Vergleichs-Halogenlampen nach der in diesem Anhang festgelegten Prüfmethode. Liegen die CO2-Emissionseinsparungen unter der Schwelle gemäß Artikel 9 Absatz 1 der Durchführungsverordnung (EU) Nr. 427/2014, ist Artikel 11 Absatz 2 Unterabsatz 2 der Verordnung anwendbar.

1) ABl. L 4 vom 07.01.2012 S. 17.2 ABl. L 213 vom 18.07.2014 S. 1.3 ABl. L 285 vom 30.09.2014 S. 1.4ABl. L 250 vom 22.08.2014 S. 1.5 ABl. L 237 vom 08.08.2014 S. 1.6 ABl. L 148 vom 12.06.2010 S. 55.7 ABl. L 323 vom 06.12.2011 S. 46.8 ABl. L 164 vom 30.06.2010 S. 69.9 ABl. L 302 vom 28.11.2018 S. 114.10 ABl. L 250 vom 22.08.2014 S. 67.11 ABl. L 89 vom 25.03.2014 S. 101.12 ABl. L 222 vom 24.08.2010 S. 1.


ENDE

umwelt-online - Demo-Version


(Stand: 05.04.2021)

Alle vollständigen Texte in der aktuellen Fassung im Jahresabonnement
Nutzungsgebühr: ab 105.- € netto

(derzeit ca. 7200 Titel s.Übersicht - keine Unterteilung in Fachbereiche)

Preise & Bestellung

Die Zugangskennung wird kurzfristig übermittelt

? Fragen ?
Abonnentenzugang/Volltextversion