Für einen individuellen Ausdruck passen Sie bitte dieEinstellungen in der Druckvorschau Ihres Browsers an. Regelwerk |
zurück zu Anhang II
|
![]() |
| Zusätzliche technische Vorschriften für Fahrzeuge auf Binnenwasserstraßen der Zonen 1 und 2 | Anhang III 12a 16b 17 |
Teil I
Wasserstraßen der Zone 2-Binnen
Kapitel 1
Sonderbestimmungen für Fahrzeuge auf Wasserstraßen der Zone 2-Binnen
§ 1.01 Allgemeines
1. Auf Wasserstraßen der Zone 2-Binnen ist Anhang II oder Anhang XII mit den sich aus den nachfolgenden Vorschriften ergebenden Maßgaben anzuwenden.
2. Hinsichtlich der vorgeschriebenen Ausrüstungsgegenstände sind die §§ 6.02 bis 6.06 zu erfüllen.
3. Ein Kompass nach § 6.02 ist nur auf der Kieler Förde erforderlich.
4. Ein Radargerät nach § 6.03 ist nur auf
erforderlich.
§ 1.02 Sonderbestimmungen für Fahrgastschiffe 12a
Für Fahrgastschiffe auf Wasserstraßen der Zone 2-Binnen gelten abweichend von Anhang II Kapitel 15 folgende Bestimmungen:
Die Bestimmungen des § 6.05 gelten nicht.
Teil II
Wasserstraßen der Zone 2-See
Kapitel 2
Allgemeines
1. Auf Wasserstraßen der Zone 2-See ist Anhang II oder Anhang XII mit den sich aus den nachfolgenden Vorschriften ergebenden Maßgaben anzuwenden.
2. Die Bestimmungen aus den Kapiteln 3 bis 9 sind zu erfüllen.
3. Abweichend von den Nummern 1 und 2 ist auf der Ems unterhalb von Emden bis zur Hafeneinfahrt von Delfzijl für Güterschiffe bei geschlossenen Ladeluken, für Schleppboote und Schubboote der § 1.01 Nummer 1 und 2 anzuwenden.
Kapitel 3
Festigkeit
(ohne Inhalt)
Kapitel 4
Sicherheitsabstand und Freibord
§ 4.01 Sicherheitsabstand
1. Der Sicherheitsabstand muss mindestens 0,45 m betragen.
2. Zu Öffnungen, die sprühwasser- und wetterdicht abgeschlossen sind oder mit Verschlusseinrichtungen versehen sind, muss der Sicherheitsabstand mindestens 0,60 m betragen.
3. Zu Öffnungen, die offen sind, muss der Sicherheitsabstand mindestens 1,00 m betragen.
§ 4.02 Freibord
1. Der Freibord für Schiffe mit durchlaufendem Deck, ohne Sprung und ohne Aufbauten beträgt 0,30 m.
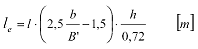
2. Bei Schiffen mit Sprung und mit Aufbauten kann der Freibord nach Anhang II § 4.02 Nr. 2 bis 6 berichtigt werden:

| le | die wirksame Länge eines Aufbaus in [m] unabhängig von seiner Lage bezogen auf L, |
| l | die tatsächliche Länge des betreffenden Aufbaus in [m], |
| b | die Breite des betreffenden Aufbaus in [m], |
| B' | die Breite des Schiffes gemessen auf der Hälfte der Länge des Aufbaus, Deckshauses oder Lukenschachts in [m], |
| h | die an der Aufbau-, Deckshaus- oder Lukenseite gemessene Höhe des betreffenden Aufbaus in [m], für Luken ergibt sich die Höhe h, indem die Höhe der Sülle um den halben Sicherheitsabstand nach § 4.01 unter Berücksichtigung der Art der Lukenabdeckung vermindert wird. Für die Höhe h darf kein größerer Wert eingesetzt werden als 0,72 m. |
| Wenn b/B' kleiner ist als 0,6, ist die wirksame Aufbaulänge le gleich Null zu setzen. | |
3. Unter Berücksichtigung der Freibordberichtigung nach Nummer 2 muss der Freibord mindestens 0,15 m betragen. Dabei müssen die nachfolgenden Bedingungen erfüllt sein:
Kapitel 5
Verschlusszustand der Öffnungen des Schiffskörpers und der Aufbauten
§ 5.01 Aufbauten
1. Alle Öffnungen in den Aufbauten müssen mit Süllen von mindestens 0,15 m Höhe über dem Schottendeck versehen sein.
2. Die Süllhöhe kann geringer sein, wenn die Türen und sonstigen Öffnungen wasserdicht verschließbar sind und wenn die Benutzung während der Fahrt ausgeschlossen ist.
3. Sofern Deckel von Einstiegsluken und Mannlöchern nicht durch Verschraubungen gesichert sind, müssen sie durch Scharniere fest mit dem Schiff verbunden sein.
§ 5.02 Türen
Alle äußeren Türen, die Zugang zu Räumen unter dem Freiborddeck gewähren, müssen mindestens sprühwasser- und wetterdicht verschließbar und von ausreichender Festigkeit sein.
§ 5.03 Fenster und Oberlichter 17
1. Fenster unterhalb des Schottendecks müssen wasserdicht und mit einer Seeschlagblende versehen sein.
2. Fenster und Oberlichter bis 0,15 m oberhalb des Schottendecks müssen wasserdicht sein.
3. Liegt die Unterkante von Fenstern und Oberlichtern mindestens 0,15 m oberhalb des Schottendecks, müssen sie mindestens sprühwasser- und wetterdicht sein.
Fenster und Oberlichter gelten als:
§ 5.04 Abdeckung der Laderäume
1. Die wasserdichte Abdeckung der Laderäume muss folgenden Bestimmungen genügen:
2. Die sprühwasser- und wetterdichte Abdeckung der Laderäume muss folgenden Bestimmungen genügen:
Sprühwasser- und wetterdichte Lukendeckel brauchen nicht besonders abgedichtet zu sein, wenn das Eigengewicht der Deckel und die Form der Lukenverschlüsse eine ausreichende Abdichtung bewirkt.
3. Laderäume ohne Lukendeckel und mit Lukendeckeln, die den Bestimmungen nach Nummer 1 oder 2 nicht entsprechen, gelten als offen.
Kapitel 6
Ausrüstung
§ 6.01 Ankerketten
Abweichend von Anhang II § 10.01 Nr. 10 muss jede Bugankerkette mindestens 60 m lang sein.
1. Fahrzeuge mit eigener Triebkraft müssen mit einem von der zuständigen Behörde zugelassenen Kompass oder mit einem Steuerkurstransmitter, jeweils mit Analoganzeige oder grafischer Darstellung, ausgerüstet sein.
2. Abweichend von Nummer 1 darf für Fahrzeuge ein Kompass mit numerischer Anzeige oder Steuerkurstransmitter mit numerischer Anzeige verwendet werden, wenn die Fahrzeuge mit einem Radargerät nach § 6.03 ausgerüstet sind.
3. Der Kompass oder Steuerkurstransmitter darf nur eingebaut werden, wenn das Baumuster in Übereinstimmung mit den für die Seeschifffahrt geltenden schiffsicherheitsrechtlichen Vorschriften geprüft und zugelassen worden ist. Kompasse und Steuerkurstransmitter müssen den technischen Anforderungen nach Anhang IX Teil VII entsprechen. Entsprechende Ausrüstung, die in Abschnitt D Nummer 10 der Anlage zum Schiffssicherheitsgesetz aufgeführt und nach diesen Anforderungen zugelassen ist, gilt als konform mit diesen Bestimmungen.
4. Kompasse auf Magnet-Basis und Steuerkurstransmitter auf Magnet-Basis müssen
Der Regulierer prüft gleichzeitig den ordnungsgemäßen Einbau nach Satz 1 Buchstabe b. Er stellt eine Bescheinigung über den ordnungsgemäßen Einbau und die durchgeführte Regulierung, aus der auch das Datum der Regulierung hervorgeht, aus. Die aktuelle Bescheinigung ist an Bord mitzuführen. Kann ein Regulierer den Kompass auf Magnetbasis oder Steuerkurstransmitter auf Magnetbasis nicht so regulieren, dass die größte Abweichung nicht mehr als 6° beträgt, so ist die Aufstellung des Kompasses auf Magnetbasis oder Steuerkurstransmitter auf Magnetbasis von der zuständigen Behörde überprüfen zu lassen.
5. Die Regulierung und Kompensierung durch eine anerkannte Person (Regulierer) eines Mitgliedstaates der Internationalen Seeschifffahrts-Organisation (IMO) wird als gleichwertig anerkannt.
§ 6.03 Navigationsradaranlage 12a
1. Fahrzeuge mit eigener Triebkraft müssen mit einer Navigationsradaranlage nach Anhang II § 7.06 Nummer 1 oder Anhang XII § 7.06 Nummer 1 ausgerüstet sein.
2. Nummer 1 gilt nicht für Seeschiffe mit Seeradar.
§ 6.04 Sende- und Empfangsanlagen
Fahrzeuge mit eigener Triebkraft müssen mit einer Funkanlage für die Teilnahme am Binnenschifffahrtsfunk nach den Bestimmungen der Regionalen Vereinbarung über den Binnenschifffahrtsfunk ausgerüstet sein.
1. Ein Drittel der vorgeschriebenen Rettungsringe muss mit jeweils einer mindestens 30 m langen, schwimmfähigen Leine von 8 bis 11 mm Durchmesser, ein weiteres Drittel muss mit jeweils einem selbstzündenden, batteriebetriebenen, im Wasser nicht verlöschenden Licht versehen sein.
2. Zusätzlich zu Anhang II § 10.05muss für jede an Bord befindliche Person ein Platz in einem Sammelrettungsmittel nach Anhang XII Artikel 4 § 15.09 Nummer 5 in Verbindung mit Nummer 7 bis 9 vorhanden sein.
§ 6.06 Sonstige Ausrüstung 12a
Folgende Ausrüstungsgegenstände müssen mindestens vorhanden sein:
Kapitel 7
Sonderbestimmungen für Fahrgastschiffe
§ 7.01 Allgemeines
Für Fahrgastschiffe auf Wasserstraßen der Zone 2-See gelten Kapitel 3 und 4 sowie die Bestimmungen des § 6.05 nicht.
§ 7.02 Festigkeit
Abweichend von Anhang II § 3.02 Nr. 1 Buchstabe a muss der Schiffskörper den Vorschriften einer anerkannten Klassifikationsgesellschaft für die Zone 2-See entsprechen. Als Nachweis genügt eine Bescheinigung einer anerkannten Klassifikationsgesellschaft, aus der hervorgeht, dass das Fahrgastschiff nach den Bauvorschriften für die Zone 2-See gebaut oder umgebaut worden ist.
§ 7.03 Stabilität, Sicherheitsabstand und Freibord
1. Abweichend von den Bestimmungen nach Anhang II § 15.04 Nr. 1 muss
betragen.
2. Abweichend von den Bestimmungen nach Anhang II § 15.04 Nr. 2 muss
betragen.
3. Die Ebene der größten Einsenkung ist abweichend von den Bestimmungen in Anhang II § 15.04 Nr. 3 unter Berücksichtigung der Nummern 1 und 2 festzusetzen.
§ 7.04 Höchstzulässige Zahl der Fahrgäste
Die höchstzulässige Zahl der Fahrgäste ist nach den Bestimmungen des Anhangs II § 15.05 Nr. 2 Buchstabe b unter Berücksichtigung des § 7.03 zu ermitteln.
§ 7.05 Anker
Für Fahrgastschiffe ist die Gesamtmasse P der Buganker nach folgender Formel zu berechnen:
P = k ⋅ B ⋅ T + 4 ⋅Af [kg]
In dieser Formel bedeuten:
| k | Koeffizient nach Anhang II § 10.01 Nr. 2 |
| Af | frontale Windangriffsfläche in m2 |
Einzelrettungsmittel nach Anhang II § 15.09 Nummer 4 können durch Sammelrettungsmittel nach Anhang XII Artikel 4 § 15.09 Nummer 5 in Verbindung mit Nummer 7 bis 9 ersetzt werden.
Kapitel 8
Sonderbestimmungen für Verbände und Containerverkehr
(ohne Inhalt)
Kapitel 9
Sonderbestimmungen für schwimmende Geräte
(ohne Inhalt)
Teil III
Wasserstraßen der Zone 1
Kapitel 10
Sonderbestimmungen für Fahrzeuge auf Wasserstraßen der Zone 1
§ 10.01 Allgemeines
1. Auf Wasserstraßen der Zone 1 ist Anhang II oder Anhang XII mit den sich aus den nachfolgenden Vorschriften ergebenden Maßgaben anzuwenden.
2. Die Bestimmungen aus den Kapiteln 2 bis 6 und die Bestimmungen der §§ 10.02 bis 10.07 sind zu erfüllen.
§ 10.02 Sicherheitsabstand
Der Sicherheitsabstand muss mindestens 1,20 m betragen.
§ 10.03 Freibord
Der Freibord muss mindestens 0,50 m betragen.
§ 10.04 Verschlusszustand
1. Abweichend von Anhang II § 4.05 und Anhang XII Artikel 4 § 4.05 ist die Ebene der größten Einsenkung unter der Voraussetzung festzusetzen, dass die Laderäume mindestens sprühwasser- und wetterdicht geschlossen werden können.
2. Die Festsetzung der höchstzulässigen Einsenkung für die Fahrt mit ungedeckten Laderäumen ist nicht zulässig.
§ 10.05 Festigkeit
Eine anerkannte Klassifikationsgesellschaft muss bescheinigen, dass das Fahrzeug zur Fahrt auf Wasserstraßen der Zone 1 ausreichende Festigkeit und einen angemessenen Freibord und Verschlusszustand aufweist. Die vorzulegende Bescheinigung muss die zulässigen Fahrtbedingungen des Fahrzeugs gemäß § 10.06 angeben.
§ 10.06 Zulässige Fahrtbedingungen
Abhängig vom Bau-, Erhaltungs- und Ausrüstungszustand des Fahrzeugs werden dessen zulässige Fahrtbedingungen - insbesondere Beschränkung auf Fahrten bei geringer signifikanter Wellenhöhe, auf einen bestimmten Zeitraum im Jahr, auf Fahrten bei Tageslicht oder bei annehmbaren Witterungs- und Wetterverhältnissen oder auf Fahrten von begrenzter Dauer - festgelegt. Die zulässigen Fahrtbedingungen sind im Gemeinschaftszeugnis oder im Zusätzlichen Gemeinschaftszeugnis zu bescheinigen.
§ 10.07 Zusätzliche Ausrüstung 12a
1. Zusätzlich zu den Bestimmungen nach Kapitel 6 müssen Fahrzeuge mit Besatzung folgende Ausrüstungsgegenstände an Bord mitführen:
2. Zusätzlich zu den Bestimmungen nach Kapitel 6 müssen geschleppte Fahrzeuge mit Besatzung die nach Nummer 1 Buchstabe b bis f geforderten Ausrüstungsgegenstände an Bord mitführen.
§ 10.08 Sonderbestimmungen für Fahrgastschiffe 12a
1. Für Fahrgastschiffe auf Wasserstraßen der Zone 1 gelten die §§ 10.02 bis 10.04 nicht.
2. Eine anerkannte Klassifikationsgesellschaft muss bescheinigen, dass das Fahrgastschiff zur Fahrt auf Wasserstraßen der Zone 1 ausreichende Stabilität aufweist. Die vorzulegende Bescheinigung muss die zulässigen Fahrtbedingungen des Fahrgastschiffes gemäß § 10.06 angeben.
Kapitel 11
Übergangs- und Schlussbestimmungen
§ 11.01 Übergangsbestimmungen für Fahrzeuge, die schon in Betrieb sind, und Gültigkeit der bisherigen Zusätzlichen Gemeinschaftszeugnisse 12a
1. Die nachstehenden Bestimmungen gelten für Fahrzeuge, für die ein Zusätzliches Gemeinschaftszeugnis erstmals vor dem 30. Dezember 2008 erteilt wurde.
2. Für die Fahrzeuge muss nachgewiesen werden, dass sie am Tage der Erteilung oder letzten Erneuerung ihres Gemeinschaftszeugnisses oder einer anderen Verkehrszulassung den technischen Vorschriften der Binnenschiffs-Untersuchungsordnung entsprochen haben.
3. Die Zusätzlichen Gemeinschaftszeugnisse, die vor dem 30. Dezember 2008 erteilt worden sind, bleiben bis zu dem eingetragenen Ablaufdatum gültig. Anhang II § 2.09 Nr. 2 bleibt unberührt.
§ 11.02 Abweichungen für Fahrzeuge, die schon in Betrieb sind 12a
1. Fahrzeuge, die den Vorschriften dieses Anhangs nicht vollständig entsprechen, müssen den nach erstmaliger Erteilung ihres Gemeinschaftszeugnisses oder der anderen Verkehrszulassung in Kraft getretenen Vorschriften nach den in nachstehender Tabelle aufgeführten Übergangsbestimmungen angepasst werden.
2. In der nachstehenden Tabelle bedeuten
| - "N. E. U.": | Die Vorschrift gilt nicht für Fahrzeuge, die schon in Betrieb sind, es sei denn, die betroffenen Teile werden ersetzt oder umgebaut, d.h., die Vorschrift gilt nur für Neubauten sowie bei Ersatz oder bei Umbau der betroffenen Teile oder Bereiche. Werden bestehende Teile durch Austauschteile in gleicher Technik und Machart ersetzt, bedeutet dies keinen Ersatz "E" im Sinne dieser Übergangsbestimmungen. |
| - "Erteilung oder Erneuerung des Zusätzlichen Gemeinschaftszeugnisses": | Die Vorschrift muss bei der Erteilung oder der nächsten Erneuerung der Gültigkeitsdauer des Gemeinschaftszeugnisses, die auf den 30. Dezember 2008 folgt, erfüllt sein. Endet die Gültigkeitsdauer des Gemeinschaftszeugnisses zwischen dem 30. Dezember 2008 und einen Tag vor dem 30. Dezember 2009, so gilt diese Vorschrift erst ab dem 30. Dezember 2009 verpflichtend. |
| § | Inhalt | Frist oder Bemerkungen |
| 4.01 | Sicherheitsabstand | N. E. U., spätestens bei Erteilung oder Erneuerung des Gemeinschaftszeugnisses nach dem 30.12.2049 |
| 4.02 | Freibord | N. E. U., spätestens bei Erteilung oder Erneuerung des Gemeinschaftszeugnisses nach dem 30.12.2049 |
| 5.01 | Aufbauten | N. E. U., spätestens bei Erteilung oder Erneuerung des Gemeinschaftszeugnisses nach dem 30.12.2049 |
| 5.02 | Türen | N. E. U., spätestens bei Erteilung oder Erneuerung des Gemeinschaftszeugnisses nach dem 30.12.2049 |
| 5.03 | Fenster und Oberlichter | N. E. U., spätestens bei Erteilung oder Erneuerung des Gemeinschaftszeugnisses nach dem 30.12.2049 |
| 5.04 | Abdeckung der Laderäume | N. E. U., spätestens bei Erteilung oder Erneuerung des Gemeinschaftszeugnisses nach dem 30.12.2049 |
| 6.02 Nr. 1 | Kompass | N.E.U., spätestens bei Erteilung oder Erneuerung des Zusätzlichen Gemeinschaftszeugnisses nach dem 30.12.2029 |
| 6.03 Nr. 1 | Radar | N.E.U., spätestens bei Erteilung oder Erneuerung des Zusätzlichen Gemeinschaftszeugnisses nach dem 30.12.2029". |
| 6.06 Buchstabe b | Schallsignalanlage | N. E. U., spätestens bei Erteilung oder Erneuerung des Gemeinschaftszeugnisses nach dem 30.12.2049 |
| 10.02 | Sicherheitsabstand | N. E. U., spätestens bei Erteilung oder Erneuerung des Gemeinschaftszeugnisses nach dem 30.12.2049 |
| 10.03 | Freibord | N. E. U., spätestens bei Erteilung oder Erneuerung des Gemeinschaftszeugnisses nach dem 30.12.2049 |
§ 11.03 Sonstige Abweichungen 17
1. Wenn die Anwendung der in diesem Kapitel genannten Bestimmungen nach Ablauf der Übergangsbestimmungen praktisch schwer ausführbar ist oder unzumutbar hohe Kosten verursacht, kann die Untersuchungskommission aufgrund von Empfehlungen des Ausschusses Abweichungen von diesen Vorschriften gestatten. Diese Abweichungen sind in das Zusätzliche Gemeinschaftszeugnis einzutragen.
2. Verweist diese Vorschrift bei den Beschaffenheitsanforderungen an Ausrüstungsgegenstände auf eine Deutsche, Europäische oder Internationale Norm, so dürfen nach einer Neufassung oder Überarbeitung dieser Norm diese Ausrüstungsgegenstände noch längstens 20 Jahre nach Neufassung oder Überarbeitung der Norm weiter verwendet werden.
§ 11.04 Übergangsbestimmungen für Fahrzeuge nach Anhang II Kapitel 15, 17 und 21 sowie nach Anhang XII Artikel 5 12a
1. Abweichend von § 11.02 wird für
das Zusätzliche Gemeinschaftszeugnis nach einer Untersuchung nach Anhang II § 2.09 Nummer 1, 3 und 4 erteilt, die nach Ablauf des geltenden Zusätzlichen Gemeinschaftszeugnisses, jedoch spätestens bis zum 30. Dezember 2018 durchgeführt wird, um festzustellen, ob das Fahrzeug den technischen Vorschriften dieses Anhangs entspricht.
2. Hält das Fahrzeug Anforderungen der Kapitel 1 bis 10 nicht ein und ist die Untersuchungskommission der Ansicht, dass diese Unzulänglichkeiten keine offenkundige Gefahr darstellen, so kann das Fahrzeug seinen Betrieb so lange fortsetzen, bis die als unzulänglich ausgewiesenen Bauteile oder Bereiche des Fahrzeugs ersetzt oder geändert worden sind; danach müssen diese Bauteile oder Bereiche den Vorschriften dieses Anhangs entsprechen. Die festgestellten Unzulänglichkeiten sind im Zusätzlichen Gemeinschaftszeugnis zu vermerken.
3. Eine offenkundige Gefahr gilt insbesondere als gegeben, wenn Vorschriften hinsichtlich der Festigkeit des Baus, der Fahr- oder Manövriereigenschaften oder besonderer Merkmale des Fahrzeugs dieses Anhangs berührt sind. Zulässige Abweichungen sind nicht als Unzulänglichkeiten festzuhalten, die eine offenkundige Gefahr darstellen. Keine offenkundige Gefahr gilt als gegeben, wenn das Fahrzeug zum Zeitpunkt der letzten Untersuchung den Bestimmungen der Binnenschiffs-Untersuchungsordnung in der Fassung entsprochen hat, die am 30. Dezember 2008 gegolten hat.
4. Der Ersatz bestehender Bauteile durch identische Teile oder Teile von gleichwertiger Technologie und Bauart während routinemäßig durchgeführter Instandsetzungs- und Wartungsarbeiten gilt nicht als Ersatz im Sinne von Nummer 2.
![]() |
weiter . |
![]() |
(Stand: 16.10.2018)
Alle vollständigen Texte in der aktuellen Fassung im Jahresabonnement
Nutzungsgebühr: ab 105.- € netto
(derzeit ca. 7200 Titel s.Übersicht - keine Unterteilung in Fachbereiche)
Die Zugangskennung wird kurzfristig übermittelt
? Fragen ?
Abonnentenzugang/Volltextversion