umwelt-online: Straßenverkehrs-Zulassungs-Ordnung (31)
![]() |
zurück |
| Hauptmerkmale des Motors und Angaben über die Durchführung der Prüfungen1 gemäß Anlage XXIV | Anhang II zur Anlage XXIV StVZO |
| 1 | Beschreibung des Motors | ||
| 1.1 | Marke | ||
| 1.2 | Typ | ||
| 1.3 | Arbeitsweise: | Fremdzündung/Selbstzündung, mit Viertakt/Zweitakt2 |
|
| 1.4 | Bohrung | ||
| 1.5 | Hub | ||
| 1.6 | Zahl und Anordnung der Zylinder und Zündfolge | ||
| 1.7 | Hubraum | ||
| 1.8 | Verdichtungsverhältnis3 | ||
| 1.9 | Zeichnungen der Brennräume und Kolben | ||
| 1.10 | Kühlsystem | Art des Kühlsystems (Wasser, Luft) | |
| 1.11 | Aufladung, Art, Kurzbeschreibung | ggf. Typ, Antrieb und/oder Ladedruck, Ladeluftkühlung | |
| 1.12 | Ansaugsystem | (Beschreibung, Einrichtung zur Anpassung der Luftvorwärmung an Außentemperatur) | |
| Ansaugkrümmer | Zeichnung mit Hauptabmessungen | ||
| Luftfilter ) | |||
| Marke ) | Zeichnung mit Hauptabmessungen Typ ) | ||
| Ansaugschalldämpfer | ggf. | ||
| Marke | |||
| Typ | |||
| 1.13 | Kurbelgehäuseentlüftung | Beschreibung und Skizzen einschließlich der Charakteristik der Drosselstelle (n) | |
| 2 | Zusätzliche Einrichtungen zur Abgasreinigung Beschreibung und Skizzen (mit Angabe aller wesentlichen Daten einschließlich Regelbereiche) sowie Kennzeichnung | z.B. Sekundärluftzufuhr Leerlaufsteller Drehzahlschaltgerät Katalysator Abgasrückführung Partikelfilter Warneinrichtung für Wartung/ Fehlfunktionen |
|
| 3 | Ansaug- und Kraftstoffsystem | ||
| 3.1 | Beschreibung und Skizzen der Ansaugleitung nebst Zubehör | z.B. Drosselklappendämpfer, Vorwärmer, zusätzliche Luftanschlüsse | |
| 3.2 | Kraftstoffzufuhr | ggf. Angaben über Schubabschaltung und Leerlaufregelung | |
| 3.2.1 | durch Vergaser Zahl der Vergaser |
Angabe der Art |
|
| 3.2.1.1 | Marke | Hersteller | |
| 3.2.1.2 | Typ | Typangabe | |
| 3.2.1.3 | Einstellelemente1 | (bei elektronischem Vergaser: z.B. Steuergerät, Temperatursensoren, Drosselklappenansteller usw.) |
| Leerlaufeinstellung und Eingriffssicherung | Beschreibung und Skizzen | |
| 3.2.1.3.1 | Düsen | Angaben über Düsenbestückung, Durchmesserangaben |
| 3.2.1.3.2 | Lufttrichter | Durchmesser |
| 3.2.1.3.3 | Füllstand in der Schwimmerkammer | Höhe des Füllstandes unter Angabe der Prüfbedingungen |
| 3.2.1.3.4 | Gewicht des Schwimmers | Gewichtsangabe |
| 3.2.1.3.5 | Schwimmernadel | Durchmesser |
| 3.2.1.4 | Starthilfe | handbedient oder automatisch |
| Einstellung der Schließanlage3 | Angabe über die Justierung | |
| 3.2.1.5 | Kraftstoffpumpe | Druckangabe oder Kennlinie3 |
| 3.2.2 | Durch Einspritzeinrichtung | |
| Beschreibung des Systems | z.B. K-Jetronic und ggf. Luftmengenmesser * Steuergerät * Mengenteiler * Warmlaufregler * Thermozeitschalter * Kaltstartventil * Kraftstoff-Förderpumpe (Typ angeben) Systemdruck (Druck angeben)3 Eingriffssicherung ** |
|
| * Kennzeichnung angeben | ||
| ** Beschreibung und Skizzen | ||
| Arbeitsweise | z.B. Einspritzung in den Ansaugkrümmer/Vorkammer/Wirbelkammer; Direkteinspritzung | |
| 3.2.2.1 | Einspritzpumpe | falls nicht in 3.2.2 enthalten |
| 3.2.2.1.1 | Marke ) | |
| 3.2.2.1.2 | Typ ) | ggf. |
| 3.2.2.1.3 | Einspritzmenge cmm je Hub bei min-1 der Pumpe2, 3 oder Kennlinie2, 3Kalibrierverfahren: auf dem Prüfstand/am Motor2 |
|
| 3.2.2.1.4 | Einspritzzeitpunkt | ggf. |
| 3.2.2.1.5 | Einspritzkurve | ggf. |
| 3.2.2.2 | Einspritzdüse | Kennzeichnung |
| 3.2.2.3 | Regler | |
| 3.2.2.3.2 | Typ | |
| 3.2.2.3.3 | Abregeldrehzahl unter Last | min-1 |
| 3.2.2.3.4 | Höchstdrehzahl ohne Last | min-1 |
| 3.2.2.3.5 | Leerlaufdrehzahl: | |
| 3.2.2.4 | Kaltstarteinrichtung: | |
| 3.2.2.4.1 | Marke: | |
| 3.2.2.4.2 | Typ: | |
| 3.2.2.4.3 | Beschreibung: | |
| 3.2.2.5 | Starthilfe: | |
| 3.2.2.5.1 | Marke: | |
| 3.2.2.5.2 | Typ: | |
| 3.2.2.5.3 | Beschreibung: | |
| 4 | Ventilsteuerzeiten oder gleichwertige Daten | |
| 4.1 | Maximale Ventilhübe und Öffnungs- sowie Schließwinkel oder gleichwertige Merkmale anderer Steuerungen bezogen auf den oberen Totpunkt |
Angabe von Ventilhub |
| Angabe von Einlaß/Auslaß vor/nach OT | ||
| 4.2 | Bezugs- und/oder Einstellbereiche2 | Angabe von Einlaß/Auslaß-Spiel |
| 5 | Zündung | |
| 5.1 | Art des Zündsystems Beschreibung |
z.B. Transistor-Zündanlage |
| 5.1.1 | Marke | ggf. |
| 5.1.2 | Typ | ggf. |
| 5.1.3 | Zündverstellkurve *3 | Zeichnung (bei zusätzlichen Maßnahmen zur Zündverstellung Verstellbereich) |
| 5.1.4 | Zündzeitpunkt3 | Angabe der Randbedingungen |
| 5.1.5 | Unterbrecherkontaktabstand und Schließwinkel | ggf. Angaben über Kontaktabstand und Art der Regelung |
| 6 | Schalldämpferanlage | |
| 6.1 | Beschreibung und Skizzen | Zeichnungen von Schalldämpfer und Katalysator sowie Schema der Gesamtanlage mit Hauptabmessungen der Bauteile |
| 7 | Zusätzliche Angaben über die Prüfbedingungen | |
| 7.1 | Zündkerzen | |
| 7.1.1 | Marke | |
| 7.1.2 | Typ | Angaben über Hersteller Typ Kennzeichnung |
| 7.1.3 | Elektrodenabstand | |
| 7.2 | Zündspule | |
| 7.2.1 | Marke | |
| 7.2.2 | Typ | |
| 7.3 | Zündkondensator | |
| 7.3.1 | Marke | falls vorhanden |
| 7.3.2 | Typ | |
| 8 | Motorleistung (vom Hersteller anzugeben) | |
| 8.1 | Leerlaufdrehzahl3 | |
| 8.2 | Kohlenmonoxidgehalt im Abgas bei Leerlauf nach Angabe des Hersteller (Vol. %) |
CO-Angaben in % ggf. vor und nach Katalysator ggf. Referenzwert gem. § 47a angeben |
| 8.3 | Nennleistungsdrehzahl3 | |
| 8.4 | Nennleistung (kW, Meßmethode) | |
| 9 | Verwendete Schmiermittel | |
| 9.1 | Marke | |
| 9.2 | Typ | |
| 10 | Austausch des Katalysators nach ... km |
ggf. |
| *) Bei kennfeldgesteuerten Zündungen Zündkennfeld oder charakteristische Punkte.
1) Bei nichtherkömmlichen Motortypen und Systemen sind vom Hersteller Angaben zu machen, die den nachstehend geforderten gleichwertig sind. 2) Nichtzutreffendes streichen. 3) Toleranz angeben. |
||
| Erforderliche Unterlagen für den Antrag auf Erteilung einer Allgemeinen Betriebserlaubnis nach § 22 für Abgasreinigungssysteme | Anhang III zur Anlage XXIV StVZO |
Beschreibung des Prüffahrzeugs
Fahrzeug
Motor
Abgasreinigungssystem
Angabe der Fahrzeugtypen, auf die die Genehmigung ggf. ausgedehnt werden kann.
| Maßnahmen gegen die Verunreinigung der Luft durch Gase von Kraftfahrzeugen mit Fremd- oder Selbstzündungsmotoren (Definition schadstoffarmer Personenkraftwagen gemäß Europa-Norm) | Anlage XXV (zu § 47) |
1 Anwendungsbereich
Diese Anlage regelt die zulässigen Emissionen luftverunreinigender Gase von Personenkraftwagen und Wohnmobilen mit Fremd- oder mit Selbstzündungsmotoren, mit mindestens 4 Rädern, höchstens 9 Sitzplätzen einschließlich des Führersitzes, einer zulässigen Gesamtmasse von mindestens 400 kg und höchstens 2500 kg, einer bauartbedingten Höchstgeschwindigkeit von mindestens 50 km/h und einem Hubraum ab 1400 cm2.
2 Text gestrichen
3 Anforderungen
Im Sinne dieser Anlage gelten Kraftfahrzeuge mit Fremd- oder Selbstzündungsmotoren als schadstoffarm, wenn sie die technischen Anforderungen der Anhänge I bis VI der Richtlinie 83/351/EWG des Rates vom 16. Juni 1983 zur Änderung der Richtlinie 70/220/EWG über die Angleichung der Rechtsvorschriften der Mitgliedstaaten über Maßnahmen gegen die Verunreinigung der Luft durch Abgase von Kraftfahrzeugmotoren mit Fremdzündung (ABl. EG Nr. L 197 S. 1) erfüllen, soweit in den nachfolgenden Abschnitten 4 und 5 nichts anderes bestimmt ist.
4 Grenzwerte
4.1 Abweichend von Anhang I der Richtlinie 83/351/EWG des Rates gelten folgende Änderungen:
4.1.1 Folgender Abschnitt 3.2.4 ist einzufügen:
Beschreibung der Maßnahmen, mit denen sichergestellt werden soll, daß Fahrzeuge mit Fremdzündungsmotoren nur mit unverbleitem Benzin nach den Bestimmungen der Richtlinie 85/210/EWG versorgt werden können. Diese Bestimmung kann beispielsweise als erfüllt betrachtet werden, wenn nachgewiesen wird, daß der Einfüllstutzen des Tanks so beschaffen ist, daß er das Auffüllen mit einem Benzinzapfventil unmöglich macht, dessen Einführstutzen einen Außendurchmesser von mehr als 2,1 cm hat.
4.1.2 Anstelle von Abschnitt 5.2.1.1.4 gilt:
Vorbehaltlich der Bestimmungen nach den Abschnitten 5.2.1.1.4.2 und 5.2.1.1.5 ist die Prüfung dreimal durchzuführen. Die festgestellte Kohlenmonoxidmasse, die Summe der Massen der Kohlenwasserstoffe und Stickoxide und die Stickoxidmasse müssen für die entsprechenden Fahrzeugklassen unter den nachstehenden Werten liegen:
| Hubraum C (in cm2) |
Kohlenmonoxidmasse L1 (g je Prüfung) |
Summe der der Kohlenwasserstoffe und Stickoxide L2 (g je Prüfung) |
Massen Stickoxidmasse L3 (g je Prüfung) |
| C > 2000 | 25 | 6,5 | 3,5 |
| 1400 < C< 2000 | 30 | 8 | - |
Kraftfahrzeuge mit einem Motor mit Kompressionszündung und einem Hubraum ab 1400 cm2 müssen den entsprechenden Grenzwerten der Hubraumklasse zwischen 1400 cm2 und 2000 cm2 genügen.
4.1.3 In den Abschnitten 5.2.1.1.4.1, 5.2.1.1.4.2, 5.2.1.1.5.1 und 5.2.1.1.5.2 ist nach dem Ausdruck "Summe der Massen (Emissionen) der Kohlenwasserstoffe und Stickoxide" zu ergänzen "sowie die Masse (Emission) der Stickoxide".
4.1.4 In Abschnitt 7.1.1.1 gelten als zulässige Grenzwerte:
| Hubraum C (in cm2) |
Kohlenmonoxidmasse L1 (g je Prüfung) |
Summe der der Kohlen- wasserstoffe und Stickoxide L2 (g je Prüfung) |
Massen Stickoxidmasse L3 (g je Prüfung) |
| C > 2000 | 30 | 8,1 | 4,4 |
| 1400 < C< 2000 | 36 | 10 | - |
Kraftfahrzeuge mit einem Motor mit Kompressionszündung und einem Hubraum ab 1.400 cm2 müssen den entsprechenden Grenzwerten der Hubraumklasse zwischen 1400 cm2 und 2000 cm2 genügen.
4.1.5 Im Abschnitt 7.1.1.2 gilt als Definition für L der folgende Text:
L: Grenzwert nach Abschnitt 7.1.1.1 für Kohlenmonoxidemissionen, die Summe der Emissionen von Kohlenwasserstoffen und Stickoxiden sowie die Stickoxidemissionen
4.1.6 Der Abschnitt 8 gilt nicht.
4.2 Ergänzend gilt:
4.2.1 Fahrzeuge mit Fremdzündungsmotoren müssen so ausgelegt sein, daß sie mit unverbleitem Benzin nach der Richtlinie 85/210/EWG des Rates vom 20. März 1985 (ABl. EG Nr. L 96 S. 25) betrieben werden können.
4.2.2 Bei Kraftfahrzeugen mit Flüssiggasantrieb ist als Bezugskraftstoff Flüssiggas nach DIN 51622, Ausgabe November 1973, zu verwenden, dessen Gehalt an Propan 95% ± 3% beträgt. Bei Kraftfahrzeugen mit Flüssiggasanlagen, die wahlweise mit Flüssiggas oder Benzin betrieben werden können, müssen die vorgenannten Schadstoffgrenzwerte auch im Benzinbetrieb eingehalten werden.
Die Norm ist im Beuth Verlag GmbH, Postfach 1145, 1000 Berlin 30, erschienen und beim Deutschen Patentamt archivmäßig gesichert niedergelegt.
4.2.3 Die Funktionsfähigkeit der emissionsmindernden und emissionsrelevanten Bauteile muß durch Prüfungen gemäß Abschnitt 3 nachgewiesen werden; der Antragsteller muß glaubhaft machen, daß die Funktion dieser Bauteile über eine angemessene Lebensdauer bei bestimmungsgemäßem Betrieb gewährleistet ist. Die Abgasreinigungssysteme dürfen nicht mit Einrichtungen ausgerüstet sein, die diese Systeme außer Funktion setzen.
Dies gilt nicht für Einrichtungen, die zum störungsfreien Betrieb des Fahrzeugs zwingend erforderlich sind. Einrichtungen zur Umschaltung zwischen Benzin- und Flüssiggasbetrieb sind in Fahrzeugen mit Flüssiggasanlagen zulässig.
4.2.4 Bestehen Anhaltspunkte, daß Kraftfahrzeuge die Anforderungen des Abschnittes 4.2.3 nicht erfüllen, so kann der Technische Dienst Vergleichsmessungen durchführen, mit denen das Emissionsverhalten auch bei höheren Geschwindigkeiten überprüft wird.
5 In Anhang III ist der Abschnitt 3.1.7 nicht anzuwenden.
6 In Anhang VI gilt als Abschnitt 1 folgendes:
Es sind die Prüfkraftstoffe entsprechend den Spezifikationen nach Abschnitt 5 der Anlage XXIII zu verwenden.
| Maßnahmen gegen die Verunreinigung der Luft durch Partikel von Kraftfahrzeugen mit Selbstzündungsmotor | Anlage XXVI 06 07 (zu § 47 Abs. 3a) |
1. Allgemeines
1.1 Anwendungsbereich
Diese Anlage regelt die Anforderungen an das Abgasverhalten von Personenkraftwagen und Wohnmobilen mit Selbstzündungsmotor, die
der Richtlinie 70/156/EWG vom 6. Februar 1970 zur Angleichung der Rechtsvorschriften der Mitgliedstaaten über die Betriebserlaubnis für Kraftfahrzeuge und Kraftfahrzeuganhänger (ABl. EG Nr. L 42 S. 1), die durch die Richtlinie 2001/116/EG vom 20. Dezember 2001 (ABl. EG 2002 Nr. L 18 S. 1) geändert worden ist, die mit Selbstzündungsmotor angetrieben und mit Dieselkraftstoff nach der Richtlinie 98/70/EG des Europäischen Parlaments und des Rates vom 13. Oktober 1998 über die Qualität von Otto- und Dieselkraftstoffen und zur Änderung der Richtlinie 93/12/EWG des Rates (ABl. EG Nr. L 350 S. 58), geändert durch die Richtlinie 2003/17/EG vom 3. März 2003 (ABl. EU Nr. L 76 S. 10), betrieben werden.
Diese Anlage regelt auch die Anforderungen an die Partikelminderungssysteme, die für die Nachrüstung der Kraftfahrzeuge vorgesehen sind.
Die Anforderungen dieser Anlage können sinngemäß auch für Nutzfahrzeuge der Klasse N1, die unter den Anwendungsbereich des § 47 Abs. 1 fallen, angewendet werden. Der Verwendungsbereich genehmigter Partikelminderungssysteme für Personenkraftwagen oder Wohnmobile kann dabei auf die entsprechenden Nutzfahrzeuge der Klasse N1 erweitert werden. Die Einhaltung der Anforderungen nach Nummer 4 dieser Anlage ist nachzuweisen. Für die Zuordnung der Partikelminderungsklasse gilt Anlage XIV Nr. 3.4 .
1.2 Begriffsbestimmungen und Abkürzungen Beladungszustand:
Konstanter Partikelbeladungszustand des Partikelminderungssystems unter bestimmten Fahrzuständen ohne externe Regenerationsmaßnahmen.
Bypassverhältnis:
Verhältnis aus freiem geometrischen Querschnitt, durch den ein Teilabgasstrom konstruktionsbedingt ungereinigt das Partikelminderungssystem teilweise oder ganz umgehen kann, bezogen auf den gesamten Filtereintrittsquerschnitt.
Geregeltes Partikelminderungssystem:
Partikelminderungssystem, dass einen nach Nummer 5.3 ermittelten gravimetrischen Partikelrückhaltegrad von mindestens 90 % besitzt.
Ki-Faktor:
Verhältnis jedes limitierten Schadstoffes "n" zwischen der gemittelten Gesamtemission von periodisch regenerierenden Systemen während der Regeneration und der gemittelten Gesamtemission von periodisch regenerierenden Systemen während der gesamten Partikelbeladungsphase ohne Regeneration aus dem NEFZ.
Kontinuierlich regenerierendes Partikelminderungssystem:
Partikelminderungssystem, bei dem nicht durch veränderte Motorsteuerungsparameter, Zusatzsysteme oder Motorvolllastbetriebspunkte eine Regeneration eingeleitet wird. Die kontinuierliche Regeneration eines Partikelminderungssystems findet in bestimmten Abgastemperaturbereichen kontinuierlich von selbst statt.
NEFZ:
Neuer Europäischer Fahrzyklus nach Anhang III Anlage 1 der Richtlinie 70/220/EWG in der Fassung der Richtlinie 98/69/EWG vom 13. Oktober 1998 (ABl. EG Nr. L 350 S. 1).
Ungeregeltes Partikelminderungssystem:
Partikelminderungssystem, dass einen nach Nummer 3.8.2 ermittelten gravimetrischen Partikelrückhaltegrad zwischen 30 % und < 90 % besitzt.
Partikelminderungssystem:
Eine Abgasnachbehandlung zur Verringerung der Partikelemission durch mechanische und/oder aerodynamische Separation sowie durch Diffusions- und/oder Trägheitseffekte. Motorspezifische Änderungen an elektronischen Bauteilen und elektronischen Komponenten zählen nicht zu den Partikelminderungssystemen.
Partikelminderungssystemfamilie:
Familie aller Partikelminderungssysteme, die in ihrer Funktion als technisch identisch gemäß den Übereinstimmungskriterien in Nummer 4.1 angesehen werden.
Periodisch regenerierendes Partikelminderungssystem:
Partikelminderungssystem, bei dem eine periodische Regeneration über Zusatzeinrichtungen (z.B. elektrische Beheizung, Additiv, geänderte Motorparameter) eingeleitet wird. Während der Regeneration können die Emissionsgrenzwerte überschritten werden. Diese sind über den Ki-Faktor zu berücksichtigen.
Rückhaltegrad:
Verhältnis von zurückgehaltener Partikelmasse durch das Partikelminderungssystem zu der Partikelmasse im Ausgangszustand des Fahrzeugs gemessen im NEFZ.
"Worst-Case-Regeneration":
Regeneration eines ungeregelten Partikelminderungssystems bei maximaler Partikelbeladung nach einem Dauerlauf von 4.000 km unter geringster Abgaskühlung durch den Motor sowie hohem Sauerstoffüberschuss im Abgas. Die "Worst-Case-Regeneration" dient zum Beweis der thermischen Stabilität des Partikelminderungssystems.
Abkürzungen :
| η : | Rückhaltegrad |
| fa: | Wichtungsfaktor der Partikelemission im Zustand I |
| fb: | Wichtungsfaktor der Partikelemission im Zustand II |
| fc: | Wichtungsfaktor der Partikelemission im Zustand III |
| fD: | Anzahl der Zyklen zwischen zwei Regenerationen |
| fd: | Anzahl der für die Regeneration erforderlichen Zyklen |
| Mpi: | gewichtete Gesamtemission (g/km) bei geregelten Partikelminderungssystemen |
| Msi: | über mehrere Zyklen (NEFZ) gemessene gemittelte Emission ohne Regeneration (g/km) |
| Mri: | Emission während der Regeneration (NEFZ) |
| Ng: | nachgerüsteter Zustand |
| PI: | arithmetisch gemittelte Partikelemission im Zustand I |
| PII: | arithmetisch gemittelte Partikelemission im Zustand II |
| PIII: | arithmetisch gemittelte Partikelemission im Zustand III |
| PIVT2: | arithmetisch gemittelte Partikelemissionen im Zustand IV, gemessen in Teil 2 des NEFZ PIV: arithmetisch gemittelte Partikelemission im Zustand IV |
| PMS: | Partikelminderungssystem |
| PNg: | arithmetisch gemittelte Partikelemission im nachgerüsteten Zustand bei ungeregelten Systemen |
| PNgFe: | Partikelemission für ungeregeltes System einer Familie, gemessen nach Anhang I Nr. 1.2 Buchstabe e |
| PNgFg: | Partikelemission für offenes System einer Familie, gemessen nach Anhang I Nr. 1.2 Buchstabe g |
| PNFG: | Partikelgesamtemission im nachgerüsteten Zustand für geregeltes System einer Familie, gemessen nach Anhang I Nr. 2.2 Buchstabe e |
| PS: | arithmetisch gemittelte Partikelemission im Ausgangszustand (ohne PMS) |
| VF: | Volumen des Partikelminderungssystems |
| VH: | Hubvolumen des Motors |
2. Definitionen der Minderungsstufen
Personenkraftwagen oder Wohnmobile mit Selbstzündungsmotor gelten als besonders partikelreduziert,
2.1 sofern sie nach der Zuteilung eines amtlichen Kennzeichens mit einem Partikelminderungssystem ausgerüstet worden sind (Nachrüstungsstand) als
2.1.1 Stufe PM 01, wenn sie die im Anhang zur Vorschrift des § 47 Abs. 1 aufgeführten Bestimmungen m, n oder o erfüllen, nicht bereits die Grenzwerte für die Gruppe I der Tabelle im Abschnitt 5.3.1.4 des Anhangs I einhalten und mit einem nach Nummer 6.2.3 genehmigten Partikelminderungssystem ausgerüstet worden sind, das sicherstellt, dass der Grenzwert für die Partikelmasse von 0,170 g/km nicht überschritten wird;
2.1.2 Stufe PM 0, wenn
2.1.3 Stufe PM 1, wenn
und mit einem nach Nummer 6.2.3 genehmigten Partikelminderungssystem ausgerüstet worden sind und das sicherstellt, dass der Grenzwert für die Partikelmasse von 0,050 g/km nicht überschritten wird;
2.1.4 Stufe PM 2, wenn
und mit einem nach Nummer 6.2.3 genehmigten Partikelminderungssystem ausgerüstet worden sind und das sicherstellt, dass der Grenzwert für die Partikelmasse von 0,025 g/km nicht überschritten wird;
2.1.5 Stufe PM 3, wenn sie den Anforderungen des § 47 Abs. 3 Nr. 5, 6, 7, 8, 9, 10, 11, 12 oder 13 entsprechen und mit einem nach Nummer 6.2.3 genehmigten Partikelminderungssystem ausgerüstet worden sind und das sicherstellt, dass der Grenzwert für die Partikelmasse von 0,0125 g/km nicht überschritten wird;
2.1.6 Stufe PM 4, wenn sie den Anforderungen des § 47 Abs. 3 Nr. 8, 9, 10, 11, 12 oder 13 entsprechen und mit einem nach Nummer 6.2.3 genehmigten Partikelminderungssystem ausgerüstet worden sind und das sicherstellt, dass der Grenzwert für die Partikelmasse von 0,005 g/km nicht überschritten wird;
2.2 sofern sie ab dem Tage, an dem sie erstmals für den Verkehr zugelassen werden (Erstausrüstungsstand) als
2.2.1 Stufe PM 5, wenn
3. Anforderungen an ungeregelte Partikelminderungssysteme
Der Antragsteller, der die Betriebserlaubnis für ein Partikelminderungssystem nach Anhang IV beantragt, muss durch die in Nummer 3.2 beschriebenen Prüfungen belegen und bestätigen, dass die Funktionsfähigkeit dieses Systems bei bestimmungsgemäßem Betrieb über eine Lebensdauer von bis zu fünf Jahren oder bis zu einer Kilometerleistung von 80.000 km - je nachdem, welches Kriterium zuerst erreicht wird - gewährleistet ist. Die Partikelminderungssysteme dürfen nicht mit Einrichtungen versehen sein, die diese Systeme außer Funktion setzen.
3.1 Übereinstimmungskriterien für ungeregelte Partikelminderungssysteme
Das ungeregelte Partikelminderungssystem darf in folgenden Merkmalen nicht abweichen:
Weiterverwendung des/der vorhandenen Oxidationskatalysator(s/en):
Dem Minderungssystem vorgeschaltete Oxidationskatalysatoren können bei der Nachrüstung im Einzelfall weiter verwendet werden, wenn diese nachweislich:
Wird keiner der vorgenannten Nachweise erbracht, sind die Oxidationskatalysatoren vor der Nachrüstung mit dem Partikelminderungssystem zu erneuern.
3.2 Prüfung des ungeregelten Partikelminderungssystems
Für die Begutachtung des Partikelminderungssystems nach Nummer 3.1 muss zum Beweis der Funktionstüchtigkeit im späteren Feldeinsatz ein Dauerlauf nach Nummer 3.3 von mindestens 4.000 km durchgeführt werden. Der Dauerlauf dient dem Nachweis der Funktionstüchtigkeit und der Stabilität des Systems sowie dessen Wirkungsgrad.
Das dazu verwendete Kraftfahrzeug muss den Anforderungen der Stufe PM 2 entsprechen; bei Kraftfahrzeugen mit einer zulässigen Gesamtmasse von mehr als 2.500 kg den Anforderungen der Stufe PM 1. Die Partikelemission des Dauerlauffahrzeugs im Ausgangszustand darf im NEFZ 0,030 g/km nicht unterschreiten. Sofern kein Dauerlauffahrzeug mit entsprechender Partikelemission zur Verfügung steht, sind die Stufen bei 2.000 km bzw. 4.000 km um das Verhältnis der vorgeschriebenen Partikelmasse von 0,030 g/km zu der tatsächlichen Fahrzeugemission zu verlängern (Beispiel: bei 0,020 g/km verschieben sich die Messungen von 2.000 km auf 3.000 km und von 4.000 km auf 6.000 km).
Das für den Dauerlauf ausgewählte Kraftfahrzeug muss nicht vom selben Fahrzeughersteller wie der angestrebte Verwendungsbereich sein. Der Verwendungsbereich eines Systems umfasst einen Motorleistungsbereich zwischen 65 % und 130 % bezogen auf die Motorleistung des Prüffahrzeugs.
Als Prüfzyklus für die Abgasmessungen auf dem Rollenprüfstand ist der NEFZ mit inner- und außerstädtischem Anteil (Teil 1 und Teil 2) nach Anhang III Anlage 1 der Richtlinie 70/220/EWG in der Fassung der Richtlinie 98/69/EWG vom 13. Oktober 1998 (ABl. EG Nr. L 350 S. 1) anzuwenden.
3.3 Durchführung des Dauerlaufs
Der Dauerlauf ist über eine Fahrstrecke von mindestens 4.000 km durchzuführen. Auf Wunsch des Antragstellers kann vor Beginn des Dauerlaufs eine Fahrzeuginspektion durch den mit der Begutachtung beauftragten technischen Dienst sowie das Auslesen des OBD-Systems vorgenommen werden.
3.3.1 Die Streckenakkumulation kann auf dem Rollenprüfstand durch Wiederholung des innerstädtischen Anteils des NEFZ (Teil 1) durchgeführt werden.
3.3.2 Die Streckenakkumulation auf dem Rollenprüfstand kann im NEFZ mit inner- (Teil 1) und außerstädtischem (Teil 2, reduziert) Anteil durchgeführt werden. Dabei darf im Teil 2 des NEFZ eine Fahrgeschwindigkeit von 70 km/h und eine maximale Abgastemperatur von 300 °C unmittelbar vor dem Minderungssystem nicht überschritten werden.
3.3.3 Alternativ kann die in der Prüfdokumentation ausführlich zu beschreibende Dauerlaufstrecke von der begutachtenden Stelle so gewählt werden, dass sie einem realistischen innerstädtischen Fahrprofil entspricht. Dabei muss die Durchschnittsgeschwindigkeit zwischen 25 - 35 km/h, die maximale Geschwindigkeit unter 70 km/h, der zeitliche Leerlaufanteil nicht unter 7 % und der zeitliche Geschwindigkeitsanteil zwischen 50 bis 70 km/h unter 10 % (nicht am Ende des Dauerlaufs gefahren) liegen. Die maximale Abgastemperatur unmittelbar vor und nach dem Partikelminderungssystem muss ohne externe Regeneration im Mittel immer unter 300 °C, die Motordrehzahl unterhalb von 60 % der Nenndrehzahl liegen. Während des ganzen Dauerlaufs sind Fahrzeuggeschwindigkeit, Weg, Motordrehzahl und Differenzdruck zwischen Ein- und Ausgang des Partikelminderungssystems in der Prüfdokumentation mit aufzunehmen.
3.4 Prüfungen im Dauerlauf
Die Abgasmessungen mit eingebautem ungeregeltem Partikelminderungssystem werden nach Anhang I Nr. 1.1
durchgeführt.
Vor und nach dem Dauerlauf wird das Fahrzeug zur späteren Bestimmung der Partikelminderungseffizienz im Ausgangszustand ohne Partikelminderungssystem vermessen.
Der Hersteller kann jeweils nach den 2.000 km- und den 4.000 km-Messungen zusätzliche Abgasmessungen im Ausgangszustand beantragen. Nach dem Wiedereinbau des Systems ist in diesem Falle die Abgasmessung zu wiederholen. Der dabei jeweils höchste Abgaswert ist für die Bestimmung des Rückhaltegrads heranzuziehen. Die Abweichung der Abgasmessungen mit Partikelminderungssystem vor/nach Ein-/Ausbau darf 15 % nicht überschreiten.
3.5 Abgasuntersuchung
Sollen ungeregelte Partikelminderungssysteme Verwendung finden, sind zusätzlich Abgasuntersuchungen nach Nummer 3.2 der Anlage XIa mit Ermittlung des Spitzenwertes für die Rauchgastrübung durchzuführen.
3.6 "Worst-Case-Regeneration" nach dem Dauerlauf
Zur Absicherung der thermischen Stabilität im späteren Feldeinsatz von nachgerüsteten Fahrzeugen wird nach den 4.000 km-Abgasmessungen und nach der Abgasuntersuchung eine "Worst-Case-Regeneration" durchgeführt.
Die thermische "Worst-Case-Regeneration" wird mit dem Prüffahrzeug auf dem Rollenprüfstand über die Motorlast eingeleitet (zügiger Lastwechsel von unterer Teillast nach Volllast). Nach Erkennen der Zündung der Partikel im Minderungssystem wird der Leerlaufpunkt über Motorschub angefahren. Das Prüffahrzeug verbleibt so lange im Leerlauf, bis kein Rußabbrand im Rückhaltesystem mehr stattfindet. Sofern unter den vorgenannten Betriebsbedingungen nicht spätestens nach zehn Minuten Abgastemperaturen von 600 °C aufgetreten sind, ist der "Worst-Case-Test" zu beenden.
Bei Fahrzeugen oberhalb einer Motorleistung von 160 kW kann die Einleitung der "Worst-Case-Regeneration" auf der Straße erfolgen.
Sofern keine thermische Regeneration eingeleitet werden konnte, ist eine Regeneration des Partikelminderungssystems nach Herstellervorgaben im Fahrzeugbetrieb durchzuführen.
In allen Fällen werden anschließend Abgasmessungen durchgeführt. Die dabei arithmetisch gemittelte Partikelemission darf um nicht mehr als 15 % von der Partikelemission PNg abweichen.
Darüber hinaus muss der Hersteller nachweisen und bestätigen, dass die verbrannte Partikelmasse und die dabei aufgetretenen Abgastemperaturen bezüglich der Haltbarkeit des Systems als unkritisch anzusehen sind.
3.7 Abgasmessungen während des Dauerlaufs
3.7.1 Ermittlung der Partikelemission im NEFZ:
Die Abgasemissionswerte im Ausgangszustand (PS), Zustand I (Grundvermessung) (PI), Zustand II (PII), Zustand III (PIII ) und Zustand IV (PIV) ergeben sich jeweils als Mittelwert aus jeweils zwei, sofern die Messungen nicht mehr als 15 % voneinander abweichen, ansonsten drei Messungen im NEFZ.
3.7.2 Ermittlung der gasförmigen Emissionen (NOx, CO, HC) und des Kraftstoffverbrauchs in CO2:
3.8 Bewertung des ungeregelten Partikelminderungssystems
Die Prüfung des Partikelminderungssystems für das System gilt als bestanden, wenn folgende Kriterien erfüllt sind:
3.8.1 Die Partikelemission mit PNg= (fa × PI + fb × PII + fc × PIII) / (fa + fb + fc ) mit fa = 1; fb = 2 und fc= 4 muss unter dem Grenzwert von 0,025 g/km liegen; bei Kraftfahrzeugen mit einer zulässigen Gesamtmasse von mehr als 2.500 kg unter dem Grenzwert von 0,050 g/km.
3.8.2 Der Rückhaltegrad η = 1 - (PNg/ PS) muss mindestens 0,3 (= 30 %) erreichen mit PS = (PS1+ PS2) / 2.
3.8.3 Der Rückhaltegrad während der Rußoxidation ηR = 1 - (PIVT2/PST2) aus den jeweiligen Messungen PIV aus dem Teil 2 des NEFZ(außerstädtischer Anteil) muss mindestens 0,3 (= 30 %) erreichen.
3.8.4 Die gemessene Partikelemission PIVmuss kleiner sein als 1,15 × PNg.
3.8.5 Die limitierten Schadstoffe müssen im Ausgangszustand und im nachgerüsteten Zustand die Grenzwerte der ursprünglichen homologierten Schadstoffklasse unterschreiten.
3.8.6 Bei den Trübungsmessungen nach Anhang I Nr. 1.1 dürfen im Ausgangszustand und im nachgerüsteten Zustand die Herstellertrübungskoeffizienten nicht überschritten werden.
4. Anforderungen an ein ungeregeltes Partikelminderungssystem zur Bildung einer Fahrzeugfamilie
Fahrzeugfamilien können mit ungeregelten Partikelminderungssystemen unterschiedlicher Größe (Volumen) unter Einhaltung der Übereinstimmungskriterien nach Nummer 3.1 gebildet werden.
4.1 Übereinstimmungskriterien für Fahrzeugfamilien
4.1.1 Für die Festlegung des Verwendungsbereiches eines baugleichen Partikelminderungssystems nach Nummer 3.1, aber mit unterschiedlichen Volumina, für verschiedene Fahrzeugtypen, dürfen sich die Versuchsträger in den Merkmalen nach Nummer 4.1.2 nicht unterscheiden. Die obere und untere Grenze des Verwendungsbereiches eines Systems wird je Fahrzeughersteller durch Vermessen zweier unterschiedlicher Prüffahrzeuge nach Nummer 4.2 auf dem Rollenprüfstand bestimmt.
4.1.2 Die zur Familie gehörenden Fahrzeugtypen sowie die Prüffahrzeuge selbst müssen in folgenden Kriterien übereinstimmen:
4.2 Auswahl der Prüffahrzeuge
Die Prüffahrzeuge für einen gewählten Verwendungsbereich müssen folgende Kriterien erfüllen:
4.2.1 Prüffahrzeug I:
4.2.2 Prüffahrzeug II:
Sollen innerhalb der Klasse I die Schadstoffklassen Euro 1 und Euro 2 für Kraftfahrzeuge eines Herstellers durch die Prüfungen abgedeckt werden, so muss eines der Prüffahrzeuge Euro 1 und das andere Euro 2 abdecken.
4.3 Prüfkriterien des Verwendungsbereiches innerhalb einer Familie nach Anhang I Nr. 1.2
Die Prüffahrzeuge müssen eine Laufleistung von mindestens 15.000 km aufweisen. Die Prüffahrzeuge müssen im Ausgangszustand und im nachgerüsteten Zustand bei allen limitierten Emissionen die Werte ihrer ursprünglich homologierten Grenzwertstufe einhalten. Die Verschlechterungsfaktoren sind nicht anzuwenden.
Der Umbau am Prüffahrzeug muss dem beantragten späteren Ausgangsstand der Umrüstung entsprechen.
Fahrzeuge mit "On-Board-Diagnose" dürfen durch den Einbau des Nachrüstsystems in ihrer Überwachungsfunktion nicht eingeschränkt werden. Das elektronische Motorsteuergerät (z.B. für Einspritzung, Luftmassenmesser, Abgasminderung) darf durch die Nachrüstung nicht verändert werden.
4.4 Prüf- und Messablauf auf dem Rollenprüfstand
4.4.1 Die Fahrzeuge werden durch 2 × 10 NEFZ (220 km) konditioniert (siehe Anhang I Nr. 1.2).
4.4.2 Ermittlung aller limitierten Schadstoffe im NEFZ für:
4.4.3 Ermittlung des Kraftstoffverbrauchs (CO2) im NEFZ für:
4.5 Bewertung der ungeregelten Partikelminderungssysteme für den Verwendungsbereich innerhalb einer Fahrzeugfamilie
Die Prüfung eines Partikelminderungssystems für den Verwendungsbereich einer Fahrzeugfamilie gilt als bestanden, wenn folgende Kriterien erfüllt sind:
4.5.1 Partikelemission
4.5.1.1 Die Partikelemission PNgFeim nachgerüsteten Zustand muss unter dem Grenzwert der entsprechenden Minderungsstufe PM 01, PM0, PM 1, PM 2, PM 3, PM 4, PM 5 liegen. PNgFe(Anhang I Nr. 1.2 Buchstabe e) ergibt sich als Mittelwert aus maximal drei Messungen im NEFZ nach der Systemvorbereitung.
4.5.1.2 Der Rückhaltegrad ηNgFe = 1 - (PNgFe/ ((PS1F+ PS2F) /2)) muss im nachgerüsteten Zustand mindestens 0,3 (= 30 %) betragen.
4.5.1.3 PNgFgdarf nicht größer sein als 1,15 × PNgFe × PNgFg(Anhang I Nr. 1.2 Buchstabe g) ergibt sich als Mittelwert aus maximal drei Messungen im NEFZ nach Systemstabilität.
4.5.1.4 Bei den Trübungsmessungen nach Anhang I Nr. 1.2 dürfen im Ausgangszustand und im nachgerüsteten Zustand die Herstellertrübungskoeffizienten nicht überschritten werden.
4.5.2 Der gemittelte Kraftstoffverbrauch im nachgerüsteten Zustand darf den Kraftstoffverbrauch im Ausgangszustand um nicht mehr als 4 % übersteigen.
4.5.3 Die limitierten Schadstoffe müssen im Ausgangszustand und im nachgerüsteten Zustand die Grenzwerte der ursprünglichen homologierten Schadstoffklasse unterschreiten.
5. Anforderungen an periodisch regenerierende Partikelminderungssysteme
Der Antragsteller, der die Betriebserlaubnis für ein Partikelminderungssystem nach Anhang IV beantragt, muss durch die in Anhang I Nr. 2 beschriebene Prüfung belegen und bestätigen, dass die Funktionsfähigkeit dieses Systems bei bestimmungsgemäßem Betrieb über eine Lebensdauer von bis zu fünf Jahren oder bis zu einer Kilometerleistung von 80.000 km - je nachdem, welches Kriterium zuerst erreicht wird - gewährleistet ist. Die Partikelminderungssysteme dürfen nicht mit Einrichtungen versehen sein, die diese Systeme außer Funktion setzen.
5.1 Übereinstimmungskriterien für geregelte Partikelminderungssysteme
Es gelten die Übereinstimmungskriterien entsprechend ECE-Regelung Nr. 83 (ECE-R 83) über einheitliche Bedingungen für die Genehmigung der Fahrzeuge hinsichtlich der Emission von Schadstoffen aus dem Motor entsprechend den Kraftstofferfordernissen des Motors, Anhang 13 Nr. 2.1 (VkBl. 2005 S. 767).
5.2 Prüfung und Bewertung des geregelten Partikelminderungssystems
Bei periodisch regenerierenden Systemen muss die Partikelemission MPi bei allen Messungen, ermittelt gemäß ECE-R 83, Anhang 13 Nr. 3.3, unter dem Grenzwert von 0,005 g/km liegen mit MPi= [(Msi × fD) + (Mri × fd)] / (fD + fd).
5.3 Bei geregelten Systemen muss der Rückhaltegrad ηNg= 1 - (MPi/ PS1) im nachgerüsteten Zustand mindestens 0,9 (= 90 %) betragen.
5.4 Die Ermittlung des Ki-Faktors bei periodisch regenerierenden Systemen erfolgt nach ECE-R 83 mit Ki= Mpi/ Msi.
5.5 Die limitierten Schadstoffe (CO, HC, NOx) dürfen unter Berücksichtigung des Ki-Faktors bei allen Abgasmessungen mit PMS (Ausnahme: während der periodischen Regeneration) die Grenzwerte der jeweiligen Stufe nicht überschreiten. Die mittlere Emission errechnet sich jeweils aus dem Produkt der Emissionen gemessen im Zyklus ohne Regeneration mit dem Ki-Faktor.
5.6 Der gemittelte Kraftstoffverbrauch (CO2 Ng) darf den Kraftstoffverbrauch im Ausgangszustand (CO2 S) um nicht mehr als 4 % übersteigen.
5.7 Der gemittelte Trübungskoeffizient im Zustand PNgh(Anhang I Nr. 2.1 Buchstabe h) darf den Herstellergrenzwert nicht überschreiten.
5.8 Anforderungen an ein geregeltes Partikelminderungssystem zur Bildung einer Fahrzeugfamilie
Fahrzeugfamilien können mit geregelten Partikelminderungssystemen gemäß den Übereinstimmungskriterien nach ECE-R 83 Anhang 13 Nr. 2.1 gebildet werden. Der Nachweis der Funktionsfähigkeit innerhalb der Familie gilt als erbracht, wenn die Anforderungen nach den Nummern 5.2 und 5.3 unter Berücksichtigung des Ki-Faktors nach Nummer 5.4 gemessen nach Anhang I Nr. 2.2 erfüllt sind.
6. Genehmigung
6.1 Neue Kraftfahrzeuge
6.1.1 EG-Typgenehmigung oder Allgemeine Betriebserlaubnis
Bei erstmals für den Verkehr zuzulassenden Kraftfahrzeugen mit Selbstzündungsmotor, die die Anforderungen nach Nummer 2.2 erfüllen, hat der Fahrzeughersteller oder sein Beauftragter auf der Grundlage der für den Fahrzeugtyp erteilten EG-Typgenehmigung oder Allgemeinen Betriebserlaubnis gegenüber der Genehmigungsbehörde eine Erklärung darüber abzugeben, dass die von ihm reihenweise gefertigten Kraftfahrzeuge als besonders partikelreduziert nach Stufe PM 5 gelten und er die Bescheinigung nach Anhang II nur ausstellt, wenn unter Berücksichtigung der für die Stufe PM 5 geltenden Grenzwerte weiterhin alle Bestimmungen der Richtlinie 70/220/EWG eingehalten werden.
6.1.2 Betriebserlaubnis für Einzelfahrzeuge
Bei Kraftfahrzeugen, die mit einer Betriebserlaubnis nach § 21 für den Verkehr zugelassen werden sollen, hat der mit der Begutachtung beauftragte amtlich anerkannte Sachverständige festzustellen, ob das Kraftfahrzeug den Anforderungen der Stufe PM 5 genügt. Es können auch Bescheinigungen nach Anhang II herangezogen werden. Ist das der Fall, hat er zudem nach pflichtgemäßem Ermessen zu beurteilen und gegebenenfalls mit einer Bescheinigung entsprechend Anhang III zu bestätigen, dass nicht zu erwarten ist, dass sich das Abgasverhalten des Kraftfahrzeugs bei bestimmungsgemäßem Betrieb in einem Zeitraum von bis zu fünf Jahren oder bis zu einer Kilometerleistung von 100.000 km, je nachdem, welches Kriterium zuerst erreicht wird, wesentlich verschlechtern wird.
6.2 Für den Verkehr zugelassene Kraftfahrzeuge
6.2.1 EG-Typgenehmigung oder Allgemeine Betriebserlaubnis
Für den Verkehr zugelassene Kraftfahrzeuge mit Selbstzündungsmotor, die die Anforderungen nach Nummer 2.2 ohne Nachrüstung erfüllen, hat der Fahrzeughersteller oder sein Beauftragter auf der Grundlage der für den Fahrzeugtyp erteilten EG-Typgenehmigung oder der Allgemeinen Betriebserlaubnis gegenüber der Genehmigungsbehörde eine Erklärung darüber abzugeben, dass die von ihm reihenweise gefertigten Kraftfahrzeuge als besonders partikelreduziert nach Stufe PM 5 gelten und er die Bescheinigung nach Anhang II nur ausstellt, wenn unter Berücksichtigung des für die Stufe PM 5 geltenden Grenzwertes bisher alle Bestimmungen der Richtlinie 70/220/EWG eingehalten wurden und auch weiterhin eingehalten werden.
6.2.2 Betriebserlaubnis für Einzelfahrzeuge
Bei Kraftfahrzeugen, die mit einer Betriebserlaubnis nach § 21 für den Verkehr zugelassen worden sind, hat der mit der Begutachtung beauftragte amtlich anerkannte Sachverständige festzustellen, ob das Kraftfahrzeug den Anforderungen der Stufe PM 5 genügt. Es können auch Bescheinigungen nach Anhang II herangezogen werden. Ist das der Fall, hat er zudem nach pflichtgemäßem Ermessen zu beurteilen und gegebenenfalls mit einer Bescheinigung entsprechend Anhang III zu bestätigen, dass nicht zu erwarten ist, dass sich das Abgasverhalten des Kraftfahrzeugs bei bestimmungsgemäßem Betrieb in einem Zeitraum von bis zu fünf Jahren oder bis zu einer Kilometerleistung von 100.000 km, je nachdem, welches Kriterium zuerst erreicht wird, wesentlich verschlechtern wird.
6.2.3 Partikelminderungssystem für die Nachrüstung
Sollen durch Einbau von Partikelminderungssystemen die Emissionen luftverunreinigender Partikel von bereits für den Verkehr zugelassenen Kraftfahrzeugen verringert werden, so ist für das Partikelminderungssystem eine
Im Falle von Buchstabe a muss die Betriebserlaubnis für das Partikelminderungssystem die Einhaltung einer der Partikelminderungsstufen PM 01 bis PM 4 nach den Bestimmungen dieser Anlage nachweisen. Einzelheiten über die Verwendung des Partikelminderungssystems und des Einbaus ergeben sich aus der Betriebserlaubnis.
Wird im Falle von Buchstabe b für einen Fahrzeugtyp, der für die Nachrüstung mit einem Partikelminderungssystem vorgesehen ist, durch die Systemgenehmigung nach den Bestimmungen der Richtlinie 70/220/EWG oder nach der ECE-R 83 bereits nachgewiesen, dass die Anforderungen nach Nummer 2.2.1 bei Ausrüstung mit dem Partikelminderungssystem eingehalten werden, gelten die Kraftfahrzeuge dieses Typs bei nachträglicher Ausrüstung mit dem Partikelminderungssystem als besonders partikelreduziert nach Stufe PM 4. Hinsichtlich der Weiterverwendung des Oxidationskatalysators gelten die Bestimmungen nach Nummer 3.1. Die Teile für die Nachrüstung des Kraftfahrzeugs einschließlich der Montageanweisungen sind vom Fahrzeughersteller bereitzustellen. Der Hersteller stellt eine Bescheinigung nach Anhang II aus. Diese ist mit den Teilenummern des Nachrüstsatzes und den Montagebedingungen zu ergänzen und der Abnahmebescheinigung nach Anhang V beizufügen.
7. Genehmigungsbehörde
7.1 Genehmigungsbehörde im Sinne dieser Anlage ist das Kraftfahrt-Bundesamt, Fördestraße 16, 24944 Flensburg. Dies gilt nicht im Falle des Verfahrens nach § 21.
7.2 Partikelminderungssysteme aus anderen Mitgliedstaaten der Europäischen Gemeinschaft oder der Türkei oder einem EFTA-Staat, der Vertragspartei des EWR-Abkommens ist, für die Nachrüstung von Kraftfahrzeugen mit Dieselmotor werden anerkannt, wenn dasselbe Niveau für die Partikelminderung gewährleistet wird, das diese Anlage beinhaltet.
8. Rücknahme der Genehmigung
Eine Genehmigung ist zurückzunehmen, wenn festgestellt wird, dass die Voraussetzungen für die Genehmigung nicht mehr gegeben sind oder erfüllt werden oder der Inhaber der Genehmigung gegen die Pflichten aus der Genehmigung verstoßen hat.
9. Zusätzliche Anforderungen
9.1 Betriebsverhalten
Durch den Einbau des Partikelminderungssystems dürfen keine Beeinträchtigungen des Betriebsverhaltens und keine zusätzlichen Gefährdungen der Fahrzeugsicherheit eintreten.
9.2 Geräuschverhalten
Partikelminderungssysteme dürfen keine negativen Auswirkungen auf das Geräuschverhalten erwarten lassen.
9.3 Additivierung
Handelt es sich um ein additiv unterstütztes Partikelminderungssystem, so ist eine Unbedenklichkeitserklärung des Umweltbundesamtes bezüglich des Systems in Verbindung mit dem verwendeten Additiv der mit der Begutachtung beauftragten Stelle vorzulegen.
9.4 Elektromagnetische Verträglichkeit
Werden elektronische Bauteile und/oder Steuergeräte verwendet, so müssen diese den Bestimmungen des § 55a entsprechen.
10. Einbau und Abnahme der Nachrüstung mit einem genehmigten Partikelminderungssystem
10.1 Einbau
10.1.1 Die Nachrüstung mit einem genehmigten Partikelminderungssystem ist von einer für die Durchführung der Abgasuntersuchung an Kraftfahrzeugen mit Kompressionszündungsmotor nach Anlage VIIIc Nr. 1 in Verbindung mit Anlage VIII Nr. 3.1.1.1 anerkannten AU-Kraftfahrzeugwerkstatt durchzuführen. Abweichend von Satz 1 kann die Nachrüstung auch von einer anderen Stelle durchgeführt werden. In diesem Falle gilt Nummer 10.2 Buchstabe b.
10.1.2 Das nachzurüstende Kraftfahrzeug muss sich in einem technisch einwandfreien Zustand befinden. Sofern erforderlich, sind vor der Nachrüstung Mängel zu beseitigen, die das Erreichen des durch die Betriebserlaubnis des Partikelminderungssystems nachgewiesene Partikelminderung oder die Dauerhaltbarkeit in Frage stellen.
10.2 Abnahme
Der ordnungsgemäße Einbau aller Teile und die einwandfreie Funktion des Partikelminderungssystems sind
zu bestätigen.
| Übersicht über Prüfabläufe | Anhang I (zu Nr. 3.4, 4.3, 4.4.1, 4.5.1 oder 5) |
| 1. | Ungeregelte Partikelminderungssystem: | |
| 1.1 | Partikelminderungssystem: | |
| Ausgangszustand S1: | ||
| a) Konditionierung: 3 x Teil 2 des NEFZ
b) Abgasmessung: 2 - 3 x NEFZ (kalt) c) Abgasuntersuchung (AU) Trübungskoeffizient Serie |
||
| Einbau Partikelminderungssystem | ||
| Zustand I (Grundvermessung): | ||
| d) Konditionierung: 3 x Teil 2 des NEFZ
e) Abgasmessung: 2 - 3 x NEFZ (kalt) |
||
| 2.000 km Dauerlauf | ||
| Zustand II: | ||
| f) Konditionierung: 3 x Teil 2 des NEFZ
g) Abgasmessung: 2 - 3 x NEFZ (kalt) |
||
| 2.000 km Dauerlauf bis 4.000 km gesamt | ||
| Zustand III: | ||
| h) Konditionierung: 3 x Teil 2 des NEFZ
i) Abgasmessung: 2 - 3 x NEFZ (kalt) k) AU Trübungskoeffizient Nachrüstung |
||
| "Worst-Case-Regeneration" | ||
| Zustand IV (thermisch gealterter Zustand): | ||
| l) Konditionierung: 3 x Teil 2 des NEFZ
m) Abgasmessung: 2 - 3 x NEFZ (kalt) |
||
| Ausbau Partikelminderungssystem | ||
| Ausgangszustand S2: | ||
| n) Konditionierung: 3 x Teil 2 des NEFZ
o) Abgasmessung: 2 - 3 x NEFZ (kalt) p) AU Trübungskoeffizient Serie |
||
| 1.2 | Verwendungsbereich für Fahrzeugfamilien | |
| Ausgangszustand S1F: | ||
| a) Konditionierung: 3 x Teil 2 des NEFZ
b) Abgasmessung: 2 - 3 x NEFZ (kalt) c) AU Trübungskoeffizient Serie |
||
| Einbau des Partikelminderungssystems | ||
| Nachrüstzustand NgF: | ||
| d) Systemvorbereitung: 10 x NEFZ
e) Abgasmessung: 2 - 3 NEFZ (kalt) f) Systemstabilität: 10 x NEFZ g) Abgasmessung: 2 - 3 x NEFZ (kalt) h) AU Trübungskoeffizient Nachrüstung |
||
| Ausbau des Partikelminderungssystems | ||
| Ausgangszustand S2F: | ||
| i) Konditionierung: 3 x Teil 2 des NEFZ
k) Abgasmessung: 2 - 3 x NEFZ (kalt) |
||
| 2 . | Geregelte Partikelminderungssystem: | |
| 2.1 | Partikelminderungssystem: | |
| Ausgangszustand S1G: | ||
| a) Konditionierung: 3 x Teil 2 des NEFZ
b) Abgasmessung: 2 - 3 x NEFZ (kalt) c) AU Trübungskoeffizient Serie |
||
| Einbau Partikelminderungssystem | ||
| Zustand IG (Grundvermessung): | ||
| d) Konditionierung: 3 x Teil 2 des NEFZ
e) Bestimmung des Ki-Faktors (Prüfung nach ECE-R 83) f) Abgasmessung während der Regeneration g) Abgasmessung: 2 - 3 x NEFZ (kalt) ohne Regeneration h) AU Trübungskoeffizient Serie |
||
| Ausbau des Partikelminderungssystems | ||
| Ausgangszustand S2G: | ||
| i) Konditionierung: 3 x Teil 2 des NEFZ
k) Abgasmessung: 2 - 3 x NEFZ (kalt) |
||
| 2.2 | Verwendungsbereich für Fahrzeugfamilien Herstellervorschläge zur Vorkonditionierung | |
| Ausgangszustand SFG: | ||
| a) Konditionierung: 3 x Teil 2 des NEFZ
b) Abgasmessung: 2 - 3 x NEFZ (kalt) c) AU Trübungskoeffizient Serie |
||
| Einbau des Partikelminderungssystems | ||
| Nachrüstzustand PNFG: | ||
| d) Konditionierung: 7 x NEFZ
e) Abgasmessung: 2 - 3 NEFZ (kalt) f) AU Trübungskoeffizient Nachrüstung |
||
| Bescheinigung des Inhabers der EG-Typgenehmigung oder Allgemeinen Betriebserlaubnis für das Kraftfahrzeug |
Anhang II (zu Nr. 6.1.1, 6.2.1 oder 6.2.3 Buchstabe b) |
Fahrzeughersteller:
Inhaber der EG-Typgenehmigung/Allgemeinen Betriebserlaubnis:
Nummer der EG-Typgenehmigung/Allgemeinen Betriebserlaubnis:
| 1 | 2 | 3 | 4 | 5 |
| Typ und Ausführung * |
Typ- Schlüsselnummer |
Emissions- Schlüsselnummer |
Genehmigung des Partikelminderungssystems |
Eintragung der Partikelminderungsstufe |
| *) Anstelle Typ und Ausführung müssen die Fahrzeug-Identifizierungsnummern angegeben werden, wenn nicht alle Kraftfahrzeuge die Bedingungen erfüllen. |
||||
Es wird bescheinigt, dass die aufgeführten Fahrzeugtypen und Ausführungen die Anforderungen der in Spalte 5 eingetragenen Partikelminderungsstufe nach Anlage XXVI zu § 47 Abs. 3a einhalten und in den Fahrzeugpapieren im Feld "Bemerkungen" entsprechend gekennzeichnet werden dürfen. Für die Kennzeichnung gelten die Vorgaben in Anhang III oder V.
Gegenüber der Genehmigungsbehörde ist die nach Anlage XXVI Nr. 6.1.1, 6.2.1 und/oder 6.2.3 Buchstabe b geforderte Erklärung abgegeben worden.
Datum: ........................................
Unterschrift: ................................
(Genehmigungsinhaber oder für die Ausstellung der Fahrzeugpapiere ermächtigter Vertreter)
| Bescheinigung zu § 21 Betriebserlaubnis für Einzelfahrzeuge | Anhang III (zu Nr. 6.1.2, 6.2.2 oder 6.2.3) |
Fahrzeughersteller: Fahrzeug-Identifizierungsnummer:
| 1 | 2 | 3 | 4 |
| Typ-Schlüsselnummer | Emissions-Schlüsselnummer | Genehmigung des Partikelminderungssystems | Eintragung der Partikelminderungsstufe |
Es wird bescheinigt, dass das oben beschriebene Fahrzeug/die oben beschriebenen Fahrzeuge die Anforderungen der in Spalte 4 eingetragenen Partikelminderungsstufe nach Anlage XXVI zu § 47 Abs. 3a einhält/einhalten und in den Fahrzeugpapieren im Feld "Bemerkungen" bei Einhaltung der
gekennzeichnet werden darf/dürfen. Verwendete Unterlagen für die jeweilige Bewertung wie Bescheinigungen nach Anhang II , Anhang V oder Allgemeine Betriebserlaubnisse nach § 22 sind zu nennen.
Es ist nicht zu erwarten, dass sich das Abgasverhalten des Fahrzeugs bei bestimmungsgemäßem Betrieb in einem Zeitraum von bis zu fünf Jahren oder bis zu einer Kilometerleistung von 100.000 km, je nachdem, welches Kriterium zuerst erreicht wird, wesentlich verschlechtern wird.
Technischer Dienst: ........................................
Datum, Unterschrift: ......................................
| Antrag auf Erteilung einer Betriebserlaubnis für Fahrzeugteile nach § 22 für Partikelminderungssysteme und erforderliche Unterlagen |
Anhang IV (zu Nr. 3 oder 5) |
| Abnahmebescheinigung über den ordnungsgemäßen Einbau eines genehmigten Partikelminderungssystems zur Vorlage bei der Zulassungsbehörde |
Anhang V (zu Nr. 10.2) |
1. Bestätigung des ordnungsgemäßen Einbaus
1.1 Vor dem Einbau des Partikelminderungssystems ist der technisch einwandfreie Zustand des Kraftfahrzeugs festgestellt/hergestellt* worden.
1.2 Das unter Nummer 2 beschriebene Kraftfahrzeug wurde mit dem unter Nummer 3 benannten Partikelminderungssystem ausgerüstet; der ordnungsgemäße Einbau aller Teile und die einwandfreie Funktion des Partikelminderungssystems werden hiermit bestätigt.
1.3 Die Erneuerung des eingebauten Oxidationskatalysators war
2. Angaben zum Kraftfahrzeug
2.1 Amtliches Kennzeichen:
2.2 Name und Anschrift des Fahrzeughalters:
2.3 Fahrzeughersteller:
2.4 Typ:
2.5 Fahrzeug-Identifizierungsnummer:
2.6 Datum der Erstzulassung:
2.7 Stand des Wegstreckenzählers:
3. Angaben zum Partikelminderungssystem (PMS)
3.1 Hersteller des PMS:
3.2 Typ/Ausführung:
3.3 Genehmigungsnummer:
3.3.1 Abdruck der ABE für das PMS nach § 22 StVZO*,
3.3.2 Abdruck der ABE nach § 21 StVZO für das Einzelfahrzeug* oder 3.3.3 Herstellerbescheinigung* ist beigefügt.
4. Angaben zu den Fahrzeugpapieren:
4.1 Durch die Ausrüstung mit dem unter Nr. 3 beschriebenen Partikelminderungssystem erfüllt das Kraftfahrzeug die Anforderungen der nachfolgend aufgeführten Partikelminderungsstufe und ist in den Fahrzeugpapieren im Feld "Bemerkungen" wie folgt zu kennzeichnen:
Ausführende Stelle: ...................................................................................................................................
(Name, Anschrift, Kontrollnummer der anerkannten AU-Werkstatt)
...................................................................................................................................
Ort, Datum, Unterschrift der nach § 29 Abs. 12 oder § 47a Abs. 3 StVZO für die Untersuchung der Abgase verantwortlichen Person
| Maßnahmen gegen die Verunreinigung der Luft durch Partikel von Nutzfahrzeugen sowie von mobilen Maschinen und Geräten mit Selbstzündungsmotor | Anlage XXVII 07 (zu § 48 Abs. 2 und Anlage XIV Nr. 3.4) |
1. Allgemeines
1.1 Anwendungsbereich
Diese Anlage regelt die Anforderungen an Partikelminderungssysteme, die für eine Nachrüstung von mit Selbstzündungsmotor angetriebenen Nutzfahrzeugen oder mobilen Maschinen und Geräten, für die oder deren Motor § 47 Abs. 6 oder Abs. 8b gilt, vorgesehen sind. Im Sinne dieser Vorschrift gelten als Nutzfahrzeuge
nach Anhang II Abschnitt a und Abschnitt C der Richtlinie 70/156/EWG vom 6. Februar 1970 zur Angleichung der Rechtsvorschriften der Mitgliedstaaten über die Betriebserlaubnis für Kraftfahrzeuge und Kraftfahrzeuganhänger (ABl. EG Nr. L 42 S. 1), die durch die Richtlinie 2001/116/EG vom 20. Dezember 2001 (ABl. EG 2002 Nr. L 18 S. 1) geändert worden ist, die mit Selbstzündungsmotor angetrieben und mit Dieselkraftstoff nach der Richtlinie 98/70/EG des Europäischen Parlaments und des Rates vom 13. Oktober 1998 über die Qualität von Otto- und Dieselkraftstoffen und zur Änderung der Richtlinie 93/12/EWG des Rates (ABl. EG Nr. L 350 S. 58), geändert durch die Richtlinie 2003/17/EG vom 3. März 2003 (ABl. EU Nr. L 76 S. 10), betrieben werden.
1.2 Begriffsbestimmungen und Abkürzungen
Beladungszustand:
Konstanter Partikelbeladungszustand des Partikelminderungssystems unter bestimmten Fahrzuständen ohne externe Regenerationsmaßnahmen.
ESC-Prüfzyklus:
Prüfzyklus - bestehend aus 13 stationären Prüfphasen - nach Anhang III Anlage 1 der Richtlinie 2005/55/EG des Europäischen Parlaments und des Rates vom 28. September 2005 (ABl. EU Nr. L 275 S. 1) zur Angleichung der Rechtsvorschriften der Mitgliedstaaten über Maßnahmen gegen die Emission gasförmiger Schadstoffe und luftverunreinigender Partikel aus Selbstzündungsmotoren zum Antrieb von Fahrzeugen und die Emission gasförmiger Schadstoffe aus mit Flüssiggas oder Erdgas betriebenen Fremdzündungsmotoren zum Antrieb von Fahrzeugen in der Fassung der Richtlinie 2006/51/EG der Kommission vom 6. Juni 2006 (ABl. EU Nr. L 152 S. 11).
ELR-Prüfzyklus:
Prüfzyklus - bestehend aus einer Folge von Belastungsschritten bei gleich bleibenden Drehzahlen - nach Anhang III Anlage 1 der Richtlinie 2005/55/EG des Europäischen Parlaments und des Rates vom 28. September 2005 (ABl. EU Nr. L 275 S. 1) in der Fassung der Richtlinie 2006/51/EG der Kommission vom 6. Juni 2006 (ABl. EU Nr. L 152 S. 11).
ETC-Prüfzyklus:
Prüfzyklus - bestehend aus instationären, wechselnden Phasen - nach Anhang III Anlage 2 der Richtlinie 2005/55/EG des Europäischen Parlaments und des Rates vom 28. September 2005 (ABl. EU Nr. L 275 S. 1) in der Fassung der Richtlinie 2006/51/EG der Kommission vom 6. Juni 2006 (ABl. EU Nr. L 152 S. 11).
NRSC-Zyklus:
Stationärer Test für mobile Maschinen und Geräte nach Anhang III Nr. 3 der Richtlinie 97/68/EG des Europäischen Parlaments und des Rates vom 16. Dezember 1997 (ABl. EG 1998 Nr. L 59 S. 1) zur Angleichung der Rechtsvorschriften der Mitgliedstaaten über Maßnahmen zur Bekämpfung der Emission von gasförmigen Schadstoffen und luftverunreinigenden Partikeln aus Verbrennungsmotoren für mobile Maschinen und Geräte in der Fassung der Richtlinie 2004/26/EG des Europäischen Parlaments und des Rates vom 21. April 2004 (ABl. EU Nr. L 225 S. 3).
NRTC:
Dynamischer Test für mobile Maschinen und Geräte nach Anhang III Nr. 4 der Richtlinie 97/68/EG in der Fassung der Richtlinie 2004/26/EG.
Partikelminderungssystem (PMS):
Eine Abgasnachbehandlung zur Verringerung der Partikelemission durch mechanische und/oder aerodynamische Separation sowie durch Diffusions- und/oder Trägheitseffekte. Motorspezifische Änderungen an Bauteilen und elektronischen Bauteilen und elektronischen Komponenten zählen nicht zu den Partikelminderungssystemen. Sind jedoch für die Nachrüstung mit dem PMS zusätzliche Maßnahmen an emissionsrelevanten Bauteilen und/oder Systemkomponenten wie beispielsweise eine Änderung der Abgasrückführungs(AGR)-Regelung zu weiteren einwandfreien Funktion notwendig, muss hierfür eine Freigabe durch den Motorenhersteller vorliegen.
Geregeltes Partikelminderungssystem:
Partikelminderungssystem, das einen nach Nummer 5 oder Nummer 6 ermittelten gravimetrischen Partikelrückhaltegrad von mindestens 90 % besitzt.
Kontinuierliche Regeneration:
Regenerationsprozess eines Nachbehandlungssystems, der permanent bzw. wenigstens einmal pro Prüfzyklus abläuft.
Ungeregeltes Partikelminderungssystem:
Partikelminderungssystem, welches einen nach Nummer 5 oder Nummer 6 ermittelten gravimetrischen Partikelrückhaltegrad von mindestens 50 % besitzt. Für Motoren mit einem Hubraum von unter 0,75 dm3je Zylinder und einer Nennleistungsdrehzahl von über 3.000 min-1 gilt ein Partikelrückhaltegrad von mindestens 30 %.
Partikelminderungssystemfamilie:
Familie aller Partikelminderungssysteme, die in ihrer Funktion als technisch identisch nach den Übereinstimmungskriterien für Systemfamilien in Nummer 7.1 angesehen werden.
Periodisch regenerierendes Partikelminderungssystem:
Partikelminderungssystem, bei dem eine periodische Regeneration wiederkehrend in weniger als 100 Stunden Motorbetrieb abläuft.
Rückhaltegrad:
Verhältnis von zurückgehaltener Partikelmasse durch das Partikelminderungssystem zu der Partikelmasse im Ausgangszustand des Fahrzeugs, gemessen im ESC-Prüfzyklus für PMK 0 und PMK 1 und im ETC-Prüfzyklus für PMK 2 bzw. im NRSC-Zyklus für PMK 0, PMK 1 und NRTC-Zyklus für PMK 2 und berechnet nach der Formel in Nummer 5.1 oder Nummer 6.1.
Abkürzungen:
| η | : | Rückhaltegrad |
| Mpi | : | gewichtete Gesamtemission (g/kWh) bei geregelten Partikelminderungssystemen |
| Mri | : | Emission während der Regeneration |
| Msi | : | über mehrere Zyklen gemessene gemittelte Emission ohne Regeneration (g/kWh) MGas: Emission der gasförmigen Komponenten |
| PT | : | Partikelemission |
| PTNg | : | arithmetisch gemittelte Partikelemission im nachgerüsteten Zustand nach Nummer 4.1 oder Nummer 6 |
| PTS | : | arithmetisch gemittelte Partikelemission des Motors ohne Partikelminderungssystem aus mindestens zwei Zykluswerten des jeweils anzuwendenden Zyklus |
| VF | : | Volumen des Partikelminderungssystems |
| VH | : | Hubvolumen des Motors |
2. Definitionen der Partikelminderungsklassen
Mit einem Partikelminderungssystem nachgerüstete Nutzfahrzeuge gehören zur Partikelminderungsklasse
der Anlage XIV beschriebenen Anforderungen einhalten.
3. Anforderungen an Partikelminderungssysteme
Der Antragsteller muss durch die in Nummer 4 und 5 oder 6 beschriebenen Prüfungen belegen und bestätigen, dass die Funktionsfähigkeit des Systems bei bestimmungsgemäßem Betrieb in
gewährleistet ist. Die Partikelminderungssysteme dürfen nicht mit Einrichtungen ausgerüstet sein, die diese Systeme außer Funktion setzen; ansonsten gelten die Anforderungen nach Nummer 3.2.
3.1 Übereinstimmungskriterien
Das Partikelminderungssystem darf in folgenden Merkmalen nicht abweichen:
Dem Minderungssystem vorgeschaltete Oxidationskatalysatoren können bei der Nachrüstung im Einzelfall weiter verwendet werden, wenn diese nachweislich:
Wird keiner der vorgenannten Nachweise erbracht, sind die Oxidationskatalysatoren vor der Nachrüstung mit dem Partikelminderungssystem zu erneuern.
Zur Prüfung des Partikelminderungssystems auf dem Motorenprüfstand muss das System mindestens in einem Abstand von 2 m zum Ausgang des Turboladers (Turbine) angebracht werden. Kann der Antragsteller nachweisen, dass innerhalb seines späteren Verwendungsbereichs ein kürzerer Abstand als maximaler Abstand zu betrachten ist, kann die Leitungslänge entsprechend gekürzt werden. Isolationen oder ähnliches sind nur zulässig, wenn diese auch im späteren Fahrzeugeinsatz Verwendung finden.
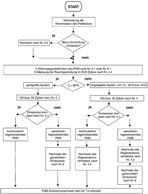
3.2 Aktive Einrichtungen
Sind im oder mit dem PMS Einrichtungen vorhanden und verbaut, die dazu führen, dass unter bestimmten Voraussetzungen die für das System nach Nummer 2 bestimmten Grenzwerte nicht mehr eingehalten werden, so muss der Antragsteller nachweisen,
3.3.1 Kraftstoffqualität
Die zur Prüfung der Partikelminderungssysteme heranzuziehenden Messungen erfolgen mit handelsüblichen Kraftstoffen nach Nummer 1.1.
3.3.2 Kraftstoffverbrauch
Der auf den jeweilig anzuwendenden Prüfzyklus bezogene spezifische Kraftstoffverbrauch darf im nachgerüsteten Zustand maximal 4 % über dem spezifischen Verbrauch im nicht nachgerüsteten Zustand liegen. Die Messungen zur Bestimmung des Kraftstoffverbrauchs erfolgen parallel zu den Messungen nach Nummer 4.1 für kontinuierlich regenerierende Systeme oder nach Nummer 6.2.1 für periodisch regenerierende Systeme.
4. Prüfung eines Partikelminderungssystems
Der Ablauf der Prüfung erfolgt nach den Vorgaben von Anhang I.
Für die Begutachtung des Partikelminderungssystems muss zum Beweis der Funktionstüchtigkeit im späteren Feldeinsatz ein Dauerlauf von mindestens 100 ETC-Prüfzyklen bzw. 50 NRTC-Zyklen durchgeführt werden. Der Dauerlauf dient dem Nachweis der Funktionstüchtigkeit und der Stabilität des Systems sowie dessen Wirkungsgrad. Die Messung der gasförmigen Emissionen sowie die der Partikel sollte mindestens in jedem fünften Prüfzyklus durchgeführt werden. Die Prüfung des Partikelminderungssystems erfolgt system- bzw. familiengebunden für den jeweiligen Verwendungsbereich, d. h. pro Verwendungsbereich erfolgt eine Systemprüfung.
Darüber hinaus wird durch den Dauerlauf der Nachweis erbracht, ob es sich um ein kontinuierlich oder periodisch regenerierendes Partikelminderungssystem handelt.
Kann der Antragsteller nachweisen, dass ein für Fahrzeuge der Klasse M, ausgenommen M1, oder der Klasse N geprüftes Partikelminderungssystem baugleich Verwendung an Selbstzündungsmotoren zum Einsatz in mobilen Maschinen und Geräten Verwendung findet und der Familien-Prüfmotor nach Nummer 4.2 sowie die Übereinstimmungskriterien nach Nummer 7.1.2 ebenso für solche Anwendungen repräsentativ sind, kann der Anwendungsbereich auch auf Selbstzündungsmotoren zum Einsatz in mobilen Maschinen und Geräten erweitert werden. Eine umgekehrte Erweiterung ist nicht möglich.
4.1 Nachweis der kontinuierlichen Regeneration
Der Nachweis für einen kontinuierlich ablaufenden Regenerationsprozess gilt als erbracht, wenn über einen Zeitraum von mindestens 25 Prüfzyklen eine geeignete Bewertungsgröße am Partikelminderungssystem als konstant betrachtet werden kann. Als geeignete Bewertungsgrößen sind die Partikelemission sowie der Abgasgegendruck anzusehen. Diese Größen gelten bei einer Varianz unter 15 % über 25 Prüfzyklen als konstant im Sinne dieser Prüfvorschrift. Die Messung des Abgasgegendrucks erfolgt hierbei kontinuierlich, die Messung der Partikelemission mindestens in jedem fünften Prüfzyklus.
Die Varianz berechnet sich wie folgt:
Varianz = Standardabweichung X (n) / Mittelwert X (n)
mit:

und:
Mittelwert = (x1+ x2+ ... + xn)/n
mit:
n = Anzahl der Messwerte
x = jeweiliger Einzelmesswert
4.2 Auswahl des Familien-Prüfmotors
Der für die Prüfungen ausgewählte Motor sollte aus einer dem späteren Verwendungsbereich entsprechenden Motorenfamilie stammen.
Der Prüfmotor für den gewählten Verwendungsbereich muss folgende Kriterien erfüllen:
Als Prüfzyklus für die Abgasmessungen von Motoren für Nutzfahrzeuge auf dem Motorenprüfstand ist in allen Fällen der angepasste ESC-Prüfzyklus nach Anhang V und für PMK 2 auch der ETC-Prüfzyklus anzuwenden. Für Motoren für mobile Maschinen und Geräte ist für PMK 0 und PMK 1 der NRSC-Zyklus und für PMK 2 der NRTC-Zyklus anzuwenden. Die Messung der gasförmigen Emissionen sowie die der Partikel sollte mindestens in jedem fünften Prüfzyklus innerhalb der Messungen zum Nachweis des Regenerationsverhaltens erfolgen.
4.3 Prüfung des Regenerationsverhaltens bei ungeregelten Systemen
Ungeregelte Partikelminderungssysteme nach Nummer 1.2 sind einer weiteren Prüfung zum Nachweis des Regenerationsverhaltens zu unterziehen.
Diese Prüfung erfolgt über eine Systembeladung bis zum Erreichen eines konstanten Abgasgegendrucks oder über eine Zeitdauer von maximal 100 h. Der Abgasgegendruck gilt als konstant, wenn frühestens nach 50 h innerhalb eines Zeitraumes von 30 min der Abgasgegendruck innerhalb eines Bereiches von 4 mbar liegt. Die Prüfpunkte des Beladungs-Zyklus sind so zu wählen, dass eine maximale Abgastemperatur von 180 °C vor dem Partikelminderungssystem nicht überschritten wird. Die Beladung erfolgt vorzugsweise durch Anfahren einer konstanten Drehzahl im Bereich zwischen 50 % bis 75 % der Nenndrehzahl des Prüfmotors.
Nach Erreichung der Systembeladung oder nach maximal 100 h wird eine Regeneration eingeleitet. Diese kann beispielsweise durch das Anfahren der Prüfphase 8 im angepassten ESC-Prüfzyklus nach Anhang V veranlasst werden. Nach Abschluss der Regeneration sind Abgasmessungen in mindestens drei ESC-Prüfzyklen nach Anhang V und/oder drei ETC-Prüfzyklen bzw. drei NRSC- oder NRTC-Zyklen durchzuführen. Die dabei gemessenen Abgaswerte dürfen um nicht mehr als 15 % für die gasförmigen Emissionen und 20 % für die Emissionen der Partikelmasse von den gemessenen Abgaswerten vor dem Beladungs-Dauerlauf abweichen.
Der Hersteller muss bestätigen, dass die bei der Regeneration eintretenden Temperaturen maximal als unkritisch einzustufen sind.
Alternativ zum Beladungs-Dauerlauf kann der Hersteller ein bereits grenzbeladenes Partikelminderungssystem zur Regenerations-Prüfung vorstellen.
4.4 Prüfung der Rauchgastrübung im ELR-Prüfzyklus
Die Prüfung der Rauchgastrübung ist nach den Bestimmungen von Anhang III Anlage 1 Nr. 3 in Verbindung mit Nr. 6 der Richtlinie 2005/55/EG des Europäischen Parlaments und des Rates vom 28. September 2005 (ABl. EU Nr. L 275 S. 1) in der Fassung der Richtlinie 2006/51/EG der Kommission vom 6. Juni 2006 (ABl. EU Nr. L 152 S. 11) durchzuführen. Im Anhang I ist festgelegt, wann diese Prüfung erfolgen muss.
5. Bewertungskriterien für kontinuierlich regenerierende Partikelminderungssysteme
Der Ablauf der Prüfung erfolgt nach den Vorgaben von Anhang I. Die Systemprüfung des Partikelminderungssystems gilt als bestanden, wenn folgende Kriterien erfüllt sind:
5.1 Rückhaltegrad
Der Rückhaltegrad q muss im nachgerüsteten Zustand
erreichen.
Der Rückhaltegrad q berechnet sich wie folgt: η = 1 - (PTNg/PTS).
5.2 Limitierte Schadstoffe
Die limitierten Schadstoffe (CO, HC, NOx) müssen im Ausgangszustand und im nachgerüsteten Zustand die Grenzwerte der ursprünglich homologierten Schadstoffklasse einhalten. Das NO2/NOx-Verhältnis ist für den Ausgangs- und Nachrüstzustand zu dokumentieren und im Prüfbericht anzugeben.
Die Bestimmung der NO2- und NOx-Massenemissionen ist durch simultane Messung zu bestimmen. Die Messung kann durch jeweils einen NO2- und NOx-Analysator oder durch einen kombinierten NO2-/NOx-Analysator erfolgen.
5.3 Rauchgastrübung
Die nach Anhang III Anlage 1 Nr. 3 in Verbindung mit Nr. 6 der Richtlinie 2005/55/EG des Europäischen Parlaments und des Rates vom 28. September 2005 (ABl. EU Nr. L 275 S. 1) in der Fassung der Richtlinie 2006/51/EG der Kommission vom 6. Juni 2006 (ABl. EU Nr. L 152 S. 11) ermittelte Rauchgastrübung darf im Ausgangszustand und im nachgerüsteten Zustand den Wert von 0,8 m-1 nicht überschreiten.
6. Bewertungskriterien für periodischregenerierende Partikelminderungssysteme
Der Ablauf der Prüfung erfolgt nach den Vorgaben von Anhang I.
Die Systemprüfung des Partikelminderungssystems gilt als bestanden, wenn folgende Kriterien erfüllt sind: Für periodisch regenerierende Systeme wird die Partikelemission wie folgt bestimmt:
PT = (n1 × PT,n1 + n2 × PT,n2)/(n1 + n2)
mit:
n1 = Anzahl der angepassten ESC-Prüfzyklen nach Anhang V (PMK 0, PMK 1)/ETC-Prüfzyklus
(PMK 2) zwischen zwei Regenerationen
n2 = Anzahl der angepassten ESC-Prüfzyklen nach Anhang V (PMK 0, PMK 1)/ETC-Prüfzyklus
(PMK 2) während der Regeneration (Minimum jeweils 1 Prüfzyklus)
PT,n1 = Emission während der Beladung (arithmetischer Mittelwert aus der Messung zu Beginn der Beladung und aus der Messung zum Ende der Beladung; es sind auch mehr Messungen zulässig)
PT,n2 = Emission während der Regeneration
Für eine periodisch regenerierende Abgasnachbehandlung müssen die Emissionen mindestens in drei angepasste ESC-Prüfzyklen nach Anhang V (einmal zu Beginn, einmal zu Ende der Beladung und einmal während der Regeneration) bestimmt werden. Der Regenerationsprozess muss wenigstens einmal während eines angepassten ESC-Prüfzyklus nach Anhang V auftreten. Die Messungen können innerhalb des Dauerlaufs nach Nummer 4.1 erfolgen.
Werden mehr als zwei Messungen zwischen den Regenerationsphasen zur Emissionsbestimmung herangezogen, müssen diese weiteren Messungen in äquidistanten Abständen erfolgen und per arithmetischer Mittelwertbildung zusammengefasst werden.
Der Hersteller muss angeben, unter welchen Bedingungen (Beladung, Temperatur, Gegendruck, Zeitdauer usw.) die Regeneration im Normalfall auftritt. Für die Messungen während der Regeneration kann der Antragsteller ein grenzbeladenes System zur Messung beistellen.
Während der Regenerationsphasen dürfen die jeweiligen heranzuziehenden Grenzwerte überschritten werden.
6.1 Rückhaltegrad
Der Rückhaltegrad η muss im nachgerüsteten Zustand
Der Rückhaltegrad ß berechnet sich wie folgt: η = 1 - (PT/PTS).
6.2 Limitierte Schadstoffe
Die limitierten Schadstoffe (CO, HC, NOx) müssen unter Berücksichtigung der Berechnung in Nummer 6.2.1 im Ausgangszustand und im nachgerüsteten Zustand die Grenzwerte der ursprünglich homologierten Schadstoffklasse einhalten. Das NO2/NOx-Verhältnis ist entsprechend Nummer 5.2 für den Ausgangs- und Nachrüstzustand zu dokumentieren und im Prüfbericht anzugeben.
6.2.1 Gewichtete gasförmige Emissionen
Für periodisch regenerierende Systeme wird die Emission der gasförmigen Komponenten wie folgt bestimmt:
MGas = (n1 × MGas,n1 + n2 × MGas,n2)/(n1 + n2)
mit:
n1 = Anzahl der angepassten ESC-Prüfzyklen nach Anhang V (PMK 0, PMK 1)/ETC-Prüfzyklus (PMK 2) zwischen zwei Regenerationen
n2 = Anzahl der angepassten ESC-Prüfzyklen nach Anhang V (PMK 0, PMK 1)/ETC-Prüfzyklus (PMK 2) während der Regeneration (Minimum jeweils 1 Prüfzyklus)
MGas,n1 = Emission während der Beladung (arithmetischer Mittelwert aus der Messung zu Beginn der Beladung und aus der Messung zum Ende der Beladung; es sind auch mehr Messungen zulässig)
MGas,n2 = Emission während der Regeneration
6.3 Rauchgastrübung
Die nach Anhang III Anlage 1 Nr. 3 in Verbindung mit Nr. 6 der Richtlinie 2005/55/EG des Europäischen Parlaments und des Rates vom 28. September 2005 (ABl. EU Nr. L 275 S. 1) in der Fassung der Richtlinie 2006/51/EG der Kommission vom 6. Juni 2006 (ABl. EU Nr. L 152 S. 11) ermittelte Rauchgastrübung darf im Ausgangszustand und im nachgerüsteten Zustand den Wert von 0,8 m-1 nicht überschreiten.
7. Anforderungen an Partikelminderungssysteme zur Bildung einer Systemfamilie
Systemfamilien können mit Partikelminderungssystemen unterschiedlicher Größe (Volumen) unter Einhaltung der Übereinstimmungskriterien nach Nummer 7.1 gebildet werden.
7.1 Übereinstimmungskriterien für Systemfamilien
7.1.1 Für die Festlegung des Verwendungsbereichs eines baugleichen Partikelminderungssystems, mit unterschiedlichen Volumina, für verschiedene Motoren bzw. Fahrzeugtypen, dürfen sich die Versuchsträger in den Merkmalen nach Nummer 3 nicht unterscheiden. Die Grenze des Verwendungsbereichs eines Systems wird je Motoren- bzw. Fahrzeughersteller durch Vermessen eines Prüfmotors nach Nummer 4.2 auf dem Motorenprüfstand bestimmt.
7.1.2 Der Verwendungsbereich einer PMS-Systemfamilie erstreckt sich über die mit dem jeweiligen Prüfmotor nach Nummer 4.2 abgedeckte Motorenfamilie nach der Richtlinie 2005/55/EG des Europäischen Parlaments und des Rates vom 28. September 2005 (ABl. EU Nr. L 275 S. 1) in der Fassung der Richtlinie 2006/51/EG der Kommission vom 6. Juni 2006 (ABl. EU Nr. L 152 S. 11) bzw. der Richtlinie 97/68/EG des Europäischen Parlaments und des Rates vom 16. Dezember 1997 (ABl. EG 1998 Nr. L 59 S. 1) in der Fassung der Richtlinie 2004/26/EG des Europäischen Parlaments und des Rates vom 21. April 2004 (ABl. EU Nr. L 225 S. 3) eines Motorenherstellers. Kann der Antragsteller nachweisen, dass weitere Motorenfamilien des durch den Prüfmotor abgedeckten Verwendungsbereichs eines Herstellers oder Motorenfamilien weiterer Hersteller hinsichtlich der Familienbildungskriterien identisch sind, kann der Verwendungsbereich auf diese Motorenfamilien ausgeweitet werden. Für die Ausweitung des Verwendungsbereichs gelten als Familienbildungskriterien ± 15 % des Einzelzylinderhubvolumens sowie das Ansaugverfahren (Turbo-/Saugmotor).
7.2 Anforderungen an den Prüfmotor
Der Prüfmotor muss im Serienzustand und im nachgerüsteten Zustand bei allen limitierten Emissionen die Werte der ursprünglich homologierten Grenzwertstufe einhalten.
Der Umbau am Prüfmotor muss dem beantragten späteren Serienstand der Umrüstung entsprechen.
Fahrzeuge mit "On-Board-Diagnose" dürfen durch den Einbau des Nachrüstsystems in ihrer Überwachungsfunktion nicht eingeschränkt werden. Das elektronische Motorsteuergerät (z.B. für Einspritzung, Luftmassenmesser, Abgasminderung) darf durch die Nachrüstung nicht verändert werden.
Hat der Prüfmotor keine AGR, darf der Verwendungsbereich auf Motoren mit AGR nur dann ausgeweitet werden, wenn der Antragsteller nachweisen kann, dass das PMS keinen negativen Einfluss auf die limitierten gasförmigen Schadstoffkomponenten nimmt. Liegt eine entsprechende Freigabe des Motorenherstellers vor, ist kein Nachweis erforderlich.
7.3 Prüf- und Messablauf auf dem Motorenprüfstand
Im Anhang I ist der Prüfablauf für ungeregelte und geregelte Partikelminderungssysteme dargestellt.
7.4 Bewertung der Partikelminderungssysteme für den Verwendungsbereich innerhalb einer Motoren-/ Fahrzeugfamilie
Die Prüfung eines Partikelminderungssystems für den Verwendungsbereich gilt als bestanden, wenn folgende Kriterien erfüllt sind:
7.4.1 Partikelemission
Die Partikelemission im nachgerüsteten Zustand muss unter dem Grenzwert der entsprechenden Minderungsstufe PMK 0, PMK 1 oder PMK 2 liegen.
7.4.2 Rückhaltegrad
Der Rückhaltegrad q muss im nachgerüsteten Zustand
7.4.3 Rauchgastrübung
Die nach Anhang III Anlage 1 Nr. 3 in Verbindung mit Nr. 6 der Richtlinie 2005/55/EG des Europäischen Parlaments und des Rates vom 28. September 2005 (ABl. EU Nr. L 275 S. 1) in der Fassung der Richtlinie 2006/51/EG der Kommission vom 6. Juni 2006 (ABl. EU Nr. L 152 S. 11) ermittelte Rauchgastrübung darf im Ausgangszustand und im nachgerüsteten Zustand den Wert von 0,8 m-1 nicht überschreiten.
7.4.4 Limitierte gasförmige Komponenten
Die limitierten gasförmigen Komponenten müssen im Serienzustand und im nachgerüsteten Zustand die Grenzwerte der ursprünglich homologierten Schadstoffklasse unterschreiten.
8. Genehmigung
Sollen durch Einbau von Partikelminderungssystemen die Emissionen luftverunreinigender Partikel von bereits für den Verkehr zugelassenen Kraftfahrzeugen verringert werden, so ist für das Partikelminderungssystem eine
Im Falle von Buchstabe a muss die Betriebserlaubnis für das Partikelminderungssystem die Einhaltung einer der Partikelminderungsklassen PMK 0, PMK 1 oder PMK 2 nach den Bestimmungen dieser Anlage nachweisen. Einzelheiten über die Verwendung des Partikelminderungssystems und des Einbaus ergeben sich aus der Betriebserlaubnis.
Im Falle von Buchstabe b hat der mit der Begutachtung beauftragte amtlich anerkannte Sachverständige festzustellen, ob das Kraftfahrzeug den Anforderungen der Partikelminderungsklasse PMK 0, PMK 1 oder PMK 2 genügt. Er hat zudem nach pflichtgemäßem Ermessen zu beurteilen und gegebenenfalls mit einer Bescheinigung entsprechend Anhang II zu bestätigen, dass nicht zu erwarten ist, dass sich das Abgasverhalten des Kraftfahrzeugs bei bestimmungsgemäßem Betrieb in der entsprechenden, in Nummer 3 vorgegebenen Laufleistungszeit nicht wesentlich verschlechtern wird.
9. Genehmigungsbehörde
9.1 Genehmigungsbehörde im Sinne dieser Anlage ist das Kraftfahrt-Bundesamt, Fördestraße 16, 24.944 Flensburg. Dies gilt nicht für das Verfahren nach § 21.
9.2 Partikelminderungssysteme aus anderen Mitgliedstaaten der Europäischen Gemeinschaft oder der Türkei oder einem EFTA-Staat, der Vertragspartei des EWR-Abkommens ist, für die Nachrüstung von Kraftfahrzeugen mit Dieselmotor werden anerkannt, wenn dasselbe Niveau für die Partikelminderung gewährleistet wird, das diese Anlage beinhaltet.
10. Rücknahme der Genehmigung
Eine Genehmigung ist zurückzunehmen, wenn festgestellt wird, dass die Voraussetzungen für die Genehmigung nicht mehr gegeben sind oder erfüllt werden oder der Inhaber der Genehmigung gegen die Pflichten aus der Genehmigung grob verstoßen hat.
11. Zusätzliche Anforderungen
11.1 Betriebsverhalten
Durch den Einbau des Partikelminderungssystems dürfen keine Beeinträchtigungen des Betriebsverhaltens und keine zusätzlichen Gefährdungen der Fahrzeugsicherheit eintreten.
11.2 Geräuschverhalten
Der Antragsteller muss nachweisen, dass durch die Nachrüstung eines Partikelminderungssystems keine Verschlechterung des Geräuschverhaltens zu erwarten ist. Bei zusätzlich zu der serienmäßigen Schalldämpfungsanlage angebrachten Partikelminderungssystemen kann auf eine Geräuschmessung verzichtet werden.
11.3 Additivierung
Handelt es sich um ein additiv unterstütztes Partikelminderungssystem, so ist eine Unbedenklichkeitserklärung des Umweltbundesamtes bezüglich des Systems in Verbindung mit dem verwendeten Additiv der mit der Begutachtung beauftragten Stelle vorzulegen.
11.4 Elektromagnetische Verträglichkeit
Werden elektronische Bauteile und/oder Steuergeräte verwendet, so müssen diese den Bestimmungen des § 55a entsprechen.
12. Einbau und Abnahme der Nachrüstung mit einem genehmigten Partikelminderungssystem
12.1 Einbau
12.1.1 Die Nachrüstung mit einem genehmigten Partikelminderungssystem ist von einer für die Durchführung der Abgasuntersuchung an Kraftfahrzeugen mit Kompressionszündungsmotor nach Anlage VIIIc Nr. 1 in Verbindung mit Anlage VIIIa Nr. 3.1.1.1 anerkannten AU-Kraftfahrzeugwerkstatt durchzuführen. Abweichend von Satz 1 kann die Nachrüstung auch von einer anderen Stelle durchgeführt werden. In diesem Falle gilt Nummer 12.2 Buchstabe b.
12.1.2 Das nachzurüstende Kraftfahrzeug muss sich in einem technisch einwandfreien Zustand befinden. Sofern erforderlich sind vor der Nachrüstung Mängel zu beseitigen, die das Erreichen des durch die Betriebserlaubnis des Partikelminderungssystems nachgewiesene Partikelminderung oder die Dauerhaltbarkeit in Frage stellen.
12.2 Abnahme
Der ordnungsgemäße Einbau aller Teile und die einwandfreie Funktion des Partikelminderungssystems sind
zu bestätigen.
| Übersicht über Prüfabläufe | Anhang I (zu Nr. 4, 5 oder 6) |

| Bescheinigung zu § 21 Betriebserlaubnis für Einzelfahrzeuge nach Anlage XXVII |
Anhang II (zu Nr. 8b) |
Fahrzeughersteller: Fahrzeug-Identifizierungsnummer:
| 1 | 2 | 3 | 4 |
| Typ-Schlüsselnummer | Emissions-Schlüsselnummer | Genehmigung des Partikelminderungssystems | Eintragung der Partikelminderungsklasse |
Es wird bescheinigt, dass das oben beschriebene Fahrzeug/die oben beschriebenen Fahrzeuge die Anforderungen der in Spalte 4 eingetragenen Partikelminderungsklasse nach Anlage XIV zu § 48 in Verbindung mit Anlage XXVII einhält/einhalten und in den Fahrzeugpapieren im Feld "Bemerkungen" entsprechend den Vorgaben im Anhang V gekennzeichnet werden dürfen.
Verwendete Unterlagen für die jeweilige Bewertung, wie Bescheinigungen nach Anhang IV oder Allgemeine Betriebserlaubnisse nach § 22, sind zu nennen.
Es ist nicht zu erwarten, dass sich das Abgasverhalten des Fahrzeugs bei bestimmungsgemäßem Betrieb in einem Zeitraum von bis zu 5 Jahren oder bis zu einer Kilometerleistung von 80.000 km bei Motoren mit einem Hubraum unter 0,75 dm3je Zylinder und einer Nennleistungsdrehzahl von über 3.000 m-1, ansonsten von 200.000 km, je nachdem, welches Kriterium zuerst erreicht wird, wesentlich verschlechtern wird.
Technischer Dienst:
Datum, Unterschrift:
| Antrag auf Erteilung einer Betriebserlaubnis für Fahrzeugteile nach § 22 für Partikelminderungssysteme und erforderliche Unterlagen |
Anhang III (zu Nr. 3 und 8a) |
| Abnahmebescheinigung über den ordnungsgemäßen Einbau eines genehmigten Partikelminderungssystems zur Vorlage bei der Zulassungsbehörde |
Anhang IV (zu Nr. 12.2) |
1. Bestätigung des ordnungsgemäßen Einbaus
1.1 Vor dem Einbau des Partikelminderungssystems ist der technisch einwandfreie Zustand des Kraftfahrzeugs festgestellt/hergestellt*) worden.
1.2 Das unter Nummer 2 beschriebene Kraftfahrzeug wurde mit dem unter Nummer 3 benannten Partikelminderungssystem ausgerüstet; der ordnungsgemäße Einbau aller Teile und die einwandfreie Funktion des Partikelminderungssystems werden hiermit bestätigt.
1.3 Die Erneuerung des eingebauten Oxidationskatalysators war
2. Angaben zum Kraftfahrzeug
2.1 Amtliches Kennzeichen:
2.2 Name und Anschrift des Fahrzeughalters:
2.3 Fahrzeughersteller:
2.4 Typ:
2.5 Fahrzeug-Identifizierungsnummer:
2.6 Datum der Erstzulassung:
2.7 Stand des Wegstreckenzählers:
3. Angaben zum Partikelminderungssystem (PMS)
3.1 Hersteller des PMS:
3.2 Typ/Ausführung:
3.3 Genehmigungsnummer:
3.3.1 Abdruck der ABE für das PMS nach § 22 StVZO*)
3.3.2 Abdruck der ABE nach § 21 StVZO für das Einzelfahrzeug*)
4. Angaben zu den Fahrzeugpapieren:
4.1 Durch die Ausrüstung mit dem unter Nummer 3 beschriebenen Partikelminderungssystem erfüllt das Kraftfahrzeug die Anforderungen der nachfolgend aufgeführten Partikelminderungsklasse und ist in den Fahrzeugpapieren im Feld "Bemerkungen" wie folgt zu kennzeichnen:
Ausführende Stelle: (Name, Anschrift, Kontrollnummer der anerkannten AU-Werkstatt)
Ort, Datum, Unterschrift der nach § 29 Abs. 12 oder § 47a Abs. 3 StVZO für die Untersuchung der Abgase verantwortlichen Person
| Angepasster ESC-Zyklus | Anhang V (zu Nr. 4.2, 4.3 oder 6) |
1. ESC-Zyklus zur Bestimmung der Partikelemission bei periodisch regenerierenden Systemen
1.1 Zur Bestimmung der Partikelemission bei periodisch regenerierenden Systemen wird ein ESC-Zyklus mit folgenden Stufen- und Sammelzeiten herangezogen:
| Prüfphase | Motordrehzahl | Teillastverhältnis | Dauer der Prüfphase | PM-Sammelzeit |
| 1 | Leerlauf | - | 240 sec | 210 sec |
| 2 | A | 100 | 120 sec | 90 sec |
| 3 | B | 50 | 120 sec | 90 sec |
| 4 | B | 75 | 120 sec | 90 sec |
| 5 | A | 50 | 120 sec | 90 sec |
| 6 | A | 75 | 120 sec | 90 sec |
| 7 | A | 25 | 120 sec | 90 sec |
| 8 | B | 100 | 120 sec | 90 sec |
| 9 | B | 25 | 120 sec | 90 sec |
| 10 | C | 100 | 120 sec | 90 sec |
| 11 | C | 25 | 120 sec | 90 sec |
| 12 | C | 75 | 120 sec | 90 sec |
| 13 | C | 50 | 120 sec | 90 sec |
1.2 Die Bestimmung der effektiven Wichtungsfaktoren entfällt bei der Beurteilung von periodisch regenerierenden Systemen nach Nummer 6.
| Anlage XXVIII ( § 35a Abs. 8) |
Beispiel für einen Warnhinweis vor der Verwendung einer nach hinten gerichteten Rückhalteeinrichtung für Kinder auf Beifahrerplätzen mit Airbag
Anmerkungen:
Das Piktogramm ist rot.
Sitz, Kindersitz und Umrandung des Airbags sind schwarz.
Das Wort Airbag und der Airbag sind weiß.
Der Durchmesser des Piktogramms beträgt mindestens 60 mm.
| Anhang 03 04b 05 08a |
| Zur Vorschrift des/der | sind folgende Bestimmungen anzuwenden: | |
| § 30a Abs. 1a | Kapitel 7 | der Richtlinie 97/24/EG des Europäischen Parlaments und des Rates vom 17. Juni 1997 über bestimmte Bauteile und Merkmale von zweirädrigen oder dreirädrigen Kraftfahrzeugen (ABl. EG Nr. L 226 S. 1), geändert durch die
|
| § 30a Abs. 3 | Anhang I , Anlage 1, Anhang II , Anlage 1, Anlage 2 mit Unterlage 1, Anlage 3 |
der Richtlinie 95/1/EG des Europäischen Parlaments und des Rates vom 2. Februar 1995 zur Angleichung der Rechtsvorschriften der Mitgliedstaaten über die bauartbedingte Höchstgeschwindigkeit sowie das maximale Drehmoment und die maximale Nutzleistung des Motors von zweirädrigen und dreirädrigen Kraftfahrzeugen (ABl. EG Nr. L 52 S. 1). |
| § 30c Abs. 2 | Anhang I , Nr. 1, 2, 5 und 6, Anhang II | der Richtlinie 74/483/EWG des Rates vom 17. September 1974 zur Angleichung der Rechtsvorschriften der Mitgliedstaaten über die vorstehenden Außenkanten bei Kraftfahrzeugen (ABl. EG Nr. L 266 S. 4), geändert durch die
|
| § 30c Abs. 3 | Kapitel 3 Anhänge I und II | der Richtlinie 97/24/EG des Europäischen Parlaments und des Rates vom 17. Juni 1997 über bestimmte Bauteile und Merkmale von zweirädrigen oder dreirädrigen Kraftfahrzeugen (ABl. EG Nr. L 226 S. 1). |
| § 30c Abs. 4 | Anhang I der Richtlinie 2005/66/EG | des Europäischen Parla ments und des Rates vom 26. Oktober 2005 über die Verwendung von Frontschutzsystemen an Fahrzeugen und zur Änderung der Richtlinie 70/156/EWG des Rates (ABl. EU Nr. L 309 S. 39), Entscheidung der Kommission vom 20. März 2006 über die ausführlichen technischen Vorschriften für die Durchführung der in der Richtlinie 2005/66/EG des Europäischen Parlaments und des Rates über die Verwendung von Frontschutzsystemen an Kraftfahrzeugen genannten Prüfungen (ABl. EU Nr. L 140 S. 33)." |
| § 30d Abs. 1, 2, 3 | Anhänge I bis VI, VIII, IX | der Richtlinie 2001/85/EG des Europäischen Parlaments und des Rates vom 20. November 2001 über besondere Vorschriften für Fahrzeuge der Personenbeförderung mit mehr als acht Sitzplätzen außer dem Fahrer sitz und zur Änderung der Richtlinien 70/156/EWG und 97/27/EG (ABl. EG 2002 Nr. L 42 S. 1). |
| § 30d Abs. 4 | Anhang VII | der Richtlinie 2001/85/EG des Europäischen Parlaments und des Rates vom 20. November 2001 über besondere Vorschriften für Fahrzeuge zur Personenbeförderung mit mehr als acht Sitzplätzen außer dem Fahrer sitz und zur Änderung der Richtlinien 70/156/EWG und 97/27/EG (ABl. EG 2002 Nr. L 42 S.1). |
| § 32b Abs. 4 | Anhang II | der Richtlinie 2000/40/EG des Europäischen Parlaments und des Rates vom 26. Juni 2000 zur Angleichung der Rechtsvorschriften der Mitglied staaten über den vorderen Unterfahrschutz von Kraftfahrzeugen und zur Änderung der Richtlinie 70/156/EWG des Rates (ABl. EG Nr. L 203 S. 9)." |
| § 32c Abs. 4 | Anhang | der Richtlinie 89/297/EWG des Rates vom 13. April 1989 zur Angleichung der Rechtsvorschriften der Mitgliedstaaten über seitliche Schutzvorrichtungen (Seitenschutz) bestimmter Kraftfahrzeuge und Kraftfahrzeuganhänger (ABl. EG Nr. L 124 S. 1). |
| § 34 Abs. 5a | Anhang Nummer 3.2 bis 3.2.3.4.2 | der Richtlinie 93/93/EWG des Rates vom 29. Oktober 1993 über Massen und Abmessungen von zweirädrigen oder dreirädrigen Kraftfahrzeugen (ABl. EG Nr. L 311 S. 76). |
| § 34 Abs. 10 | Anhang II | der Richtlinie 85/3/EWG des Rates vom 19. Dezember 1984 über die Gewichte, Abmessungen und bestimmte andere technische Merkmale bestimmter Fahrzeuge des Güterkraftverkehrs (ABl. EG Nr. L 2 S. 14), geändert durch die
|
| § 34 Abs. 11 | Anhang IV | der Richtlinie 97/27/EG des Europäischen Parlaments und des Rates vom 22. Juli 1997 über die Massen und Abmessungen bestimmter Klassen von Kraftfahrzeugen und Kraftfahrzeuganhängern und zur Änderung der Richtlinie 70/156/EWG (ABl. EG Nr. L 233 S. 1), geändert durch die
|
| § 35a Abs. 2 | Anhang I , Abschnitt 6, Anhang II , III und IV | der Richtlinie 74/408/EWG des Rates vom 22. Juli 1974 zur Angleichung der Rechtsvorschriften der Mitgliedstaaten über die Innenausstattung der Kraftfahrzeuge (Widerstandsfähigkeit der Sitze und ihrer Verankerung) (ABl. EG Nr. L 221 S. 1), geändert durch die
|
| § 35a Abs. 3, 4, 6 und 7 | Anhang I , Abschnitt 1, 4 und 5 Anhang II und III | der Richtlinie 76/115/EWG des Rates vom 18. Dezember 1975 zur Angleichung der Rechtsvorschriften der Mitgliedstaaten über die Verankerungen der Sicherheitsgurte in Kraftfahrzeugen (ABl. EG 1976 Nr. L 24 S. 6), geändert durch die
|
| § 35a Abs. 4, 6, 7 und 12 | Anhang I , Abschnitt 1 und 3 Anhänge XV und XVII | der Richtlinie 77/541/EWG des Rates vom 28. Juni 1997 zur Angleichung der Rechtsvorschriften der Mitgliedstaaten über Sicherheitsgurte und Haltesysteme für Kraftfahrzeuge (ABl. EG Nr. L 220 S. 95), geändert durch die
|
| § 35a Abs. 11 | Kapitel 11 Anhang I bis IV und VI | der Richtlinie 97/24/EG des Europäischen Parlaments und des Rates vom 17. Juni 1997 über bestimmte Bauteile und Merkmale von zweirädrigen oder dreirädrigen Kraftfahrzeugen (ABl. EG Nr. L 226 S. 1). |
| § 35j | Anhänge IV bis VI | der Richtlinie 95/28/EG des Europäischen Parlaments und des Rates vom 24. Oktober 1995 über das Brennverhalten von Werkstoffen der Innenausstattung bestimmter Kraftfahrzeugklassen (ABl. EG Nr. L 281 S. 1). |
| § 36 Abs. 1a | Anhänge II und IV | der Richtlinie 92/23 EWG des Rates vom 31. März 1992 über Reifen von Kraftfahrzeugen und Kraftfahrzeuganhängern und über ihre Montage (ABl. EG Nr. L 129 S. 95), |
| Abschnitte 1, 2, 3 und 6, Anhänge 3 bis 7 | der Revision 1 der ECE-Regelung Nr. 30 über einheitliche Bedingungen für die Genehmigung der Luftreifen für Kraftfahrzeuge und Anhänger vom 9. März 1995 (BGBl. I 1995 S. 228), | |
| Abschnitte 1, 2, 3, und 6 Anhänge 3 bis 8 | und der ECE-Regelung Nr. 54 über einheitliche Bedingungen für die Genehmigung der Luftreifen für Nutzfahrzeuge und ihre Anhänger vom 20. Juni 1986 (BGBl. I 1986 S. 718), | |
| Abschnitte 1, 2, 3 und 6, Anhänge 3 bis 9 | der ECE-Regelung Nr. 75 über einheitliche Bedingungen für die Genehmigung der Luftreifen für Krafträder vom 25. Februar 1992 (BGBl. I 1992 S. 184), | |
| Kapitel 1 Anhang II Anhang III (ohne Anlagen) | der Richtlinie 97/24/EG des Europäischen Parlaments und des Rates vom 17. Juni 1997 über bestimmte Bauteile und Merkmale von zweirädrigen oder dreirädrigen Kraftfahrzeugen (ABl. EG Nr. L 226 S. 1). | |
| § 38 Abs. 2 | Anhänge I , III , IV, V | der Richtlinie 70/311/EWG des Rates vom 8. Juni 1970 zur Angleichung der Rechtsvorschriften der Mitgliedstaaten über die Lenkanlagen von Kraftfahrzeugen und Kraftfahrzeuganhängern (ABl. EG Nr. L 133 S. 10), geändert durch die
|
| § 38 Abs. 3 | Anhang | der Richtlinie 75/321/EWG des Rates vom 20. Mai 1975 zur Angleichung der Rechtsvorschriften der Mitgliedstaaten über die Lenkanlage von land- oder forstwirtschaftlichen Zugmaschinen auf Rädern (ABl. EG Nr. L 147 S. 24), geändert durch die
|
| § 38a Abs. 1 | Anhänge IV und V | der Richtlinie 74/61/EWG des Rates vom 17. Dezember 1973 zur Angleichung der Rechtsvorschriften der Mitgliedstaaten über die Sicherungseinrichtungen gegen unbefugte Benutzung von Kraftfahrzeugen (ABl. EG Nr. L 38 S. 22), geändert durch die Richtlinie 95/56/EG der Kommission vom 8. November 1995 (ABl. EG Nr. L 286 S 1), |
| § 38a Abs. 2 | Anhänge I und II | der Richtlinie 93/33/EWG des Rates vom 14. Juni 1993 über die Sicherungseinrichtung gegen unbefugte Benutzung von zweirädrigen oder dreirädrigen Kraftfahrzeugen (ABl. EG Nr. L 188 S. 32), geändert durch die
|
| § 38b | Anhang VI | der Richtlinie 74/61/EWG des Rates vom 17. Dezember 1973 zur Angleichung der Rechtsvorschriften der Mitgliedstaaten über die Sicherungseinrichtung gegen unbefugte Benutzung von Kraftfahrzeugen (ABl. EG Nr. L 38 S. 22), geändert durch die
|
| § 39a Abs. 1 | Anhänge I bis IV | der Richtlinie 78/316/EWG des Rates vom 21. Dezember 1977 zur Angleichung der Rechtsvorschriften der Mitgliedstaaten über die Innenausstattung der Kraftfahrzeuge (Kennzeichnung der Betätigungseinrichtungen, Kontrollleuchten und Anzeiger) (ABl. EG Nr. L 81 S. 3), geändert durch die
|
| § 39a Abs. 2 | Anhang I | der Richtlinie 93/29/EWG des Rates vom 14. Juni 1993 über die Kennzeichnung der Betätigungseinrichtungen, Kontrollleuchten und Anzeiger von zweirädrigen und dreirädrigen Kraftfahrzeugen (ABl. EG Nr. L 188 S. 1). |
| § 39a Abs. 3 | Anhänge II bis I V | der Richtlinie 86/415/EWG des Rates vom 24. Juli 1986 über Einbau, Position, Funktionsweise und Kennzeichnung der Betätigungseinrichtungen von land- oder forstwirtschaftlichen Zugmaschinen auf Rädern (ABl. EG Nr. L 240 S. 1), geändert durch die Richtlinie 97/54/EG des Europäischen Parlaments und des Rates vom 23. September 1997 (ABl. EG Nr. L 277 S. 24). |
| § 40 Abs. 3 | Kapitel 12 Anhang I (ohne Anlagen) Anhang II , Anlage 1 und 2 | der Richtlinie 97/24/EG des Europäischen Parlaments und des Rates vom 17. Juni 1997 über bestimmte Bauteile und Merkmale von zweirädrigen oder dreirädrigen Kraftfahrzeugen (ABl. EG Nr. L 226 S. 1). |
| § 41 Abs. 18 § 41b |
Anhänge I bis VIII , X bis XII und XV | der Richtlinie 71/320/EWG des Rates vom 26. Juli 1971 zur Angleichung der Rechtsvorschriften der Mitgliedstaaten über die Bremsanlagen bestimmter Klassen von Kraftfahrzeugen und deren Anhängern (ABl. EG Nr. L 202 S. 37), geändert durch die
|
| § 41 Abs. 19 | Anhang | der Richtlinie 93/14/EWG des Rates vom 5. April 1993 über Bremsanlagen für zweirädrige oder dreirädrige Kraftfahrzeuge (ABl. EG Nr. L 121 S. 1). |
| § 41 Abs. 20 | Anhänge I bis IV | der Richtlinie 76/432/EWG des Rates vom 6. April 1976 zur Angleichung der Rechtsvorschriften der Mitgliedstaaten über die Bremsanlagen von land- und forstwirtschaftlichen Zugmaschinen auf Rädern (ABl. EG Nr. L 122 S. 1), geändert durch die
|
| § 41a Abs. 1 Nr. 1 und Abs. 4 Satz 1 | Teil II der ECE-Regelung Nr. 67 über einheitliche Bedingungen für die
I. Genehmigung der speziellen Ausrüstung von Kraftfahrzeugen, in deren Antriebssystem verflüssigte Gase verwendet werden; II. Genehmigung eines Fahrzeugs, das mit der speziellen Ausrüstung für die Verwendung von verflüssigten Gasen in seinem Antriebssystem ausgestattet ist, in Bezug auf den Einbau dieser Ausrüstung vom 1. Juni 1987 in der Fassung der Änderungsserie 01 (Verkehrsblatt 2002 S. 339). |
|
| § 41a Abs. 1 Nr. 2 und Abs. 4 Satz 1 | Teil II der ECE-Regelung Nr. 110 über einheitliche Bedingungen für die Genehmigung der
I. speziellen Bauteile von Kraftfahrzeugen, in deren Antriebssystem komprimiertes Erdgas (CNG) verwendet wird; II. Fahrzeuge hinsichtlich des Einbaus spezieller Bauteile eines genehmigten Typs für die Verwendung von komprimiertem Erdgas (CNG) in ihrem Antriebssystem vom 18. Dezember 2000 (Verkehrsblatt 2002 S. 339). |
|
| § 41a Abs. 2 und Abs. 4 Satz 1 | ECE-Regelung Nr. 115 über einheitliche Bedingungen für die Genehmigung der
I. speziellen Nachrüstsysteme für Flüssiggas (LPG) zum Einbau in Kraftfahrzeuge zur Verwendung von Flüssiggas in ihrem Antriebssystem; II. speziellen Nachrüstsysteme für komprimiertes Erdgas (CNG) zum Einbau in Kraftfahrzeuge zur Verwendung von komprimiertem Erdgas in ihrem Antriebssystem vom 30. Oktober 2003 (Verkehrsblatt 2004 S. 5). |
|
| § 41a Abs. 3 Satz 1 Nr. 1 und Abs. 4 Satz 1 | Teil I der ECE-Regelung Nr. 67 über einheitliche Bedingungen für die
I. Genehmigung der speziellen Ausrüstung von Kraftfahrzeugen, in deren Antriebssystem verflüssigte Gase verwendet werden; II. Genehmigung eines Fahrzeugs, das mit der speziellen Ausrüstung für die Verwendung von verflüssigten Gasen in seinem Antriebssystem ausgestattet ist, in Bezug auf den Einbau dieser Ausrüstung vom 1. Juni 1987 in der Fassung der Änderungsserie 01 (Verkehrsblatt 2002 S. 339). |
|
| § 41a Abs. 3 Satz 1 Nr. 2 und Abs. 4 Satz 1 | Teil I der ECE-Regelung Nr. 110 über einheitliche Bedingungen für die Genehmigung der
I. speziellen Bauteile von Kraftfahrzeugen, in deren Antriebssystem komprimiertes Erdgas (CNG) verwendet wird; II. Fahrzeuge hinsichtlich des Einbaus spezieller Bauteile eines genehmigten Typs für die Verwendung von komprimiertem Erdgas (CNG) in ihrem Antriebssystem vom 18. Dezember 2000 (Verkehrsblatt 2002 S. 339). |
|
| § 41a Abs. 3 Satz 2 und Abs. 4 Satz 1 | ECE-Regelung Nr. 115 über einheitliche Bedingungen für die Genehmigung der
I. speziellen Nachrüstsysteme für Flüssiggas (LPG) zum Einbau in Kraftfahrzeuge zur Verwendung von Flüssiggas in ihrem Antriebssystem; II. speziellen Nachrüstsysteme für komprimiertes Erdgas (CNG) zum Einbau in Kraftfahrzeuge zur Verwendung von komprimiertem Erdgas in ihrem Antriebssystem vom 30. Oktober 2003 (Verkehrsblatt 2004 S. 5 ). |
|
| § 41a Abs. 8 | Richtlinie 87/404/EWG des Rates vom 25. Juni 1987 zur Angleichung der Rechtsvorschriften der Mitgliedstaaten für einfache Druckbehälter ABl. EG Nr. L 220 S. 48, 1990 Nr. L 31 S. 46), geändert durch die
|
|
| § 43 Abs. 5 | Kapitel 10 Anhang I , Anlage 1 bis 3 |
der Richtlinie 97/24/EG des Europäischen Parlaments und des Rates vom 17. Juni 1997 über bestimmte Bauteile und Merkmale von zweirädrigen oder dreirädrigen Kraftfahrzeugen (ABl. EG Nr. L 226 S. 1). |
| § 45 Abs. 4 |
|
der Richtlinie 70/221/EWG des Rates vom 20. März 1970 über die Be hälter für flüssigen Kraftstoff und den Unterfahrschutz von Kraftfahr zeugen und Kraftfahrzeuganhängern (ABl. EG Nr. L 76 S. 23), geändert durch die
|
|
der Richtlinie 97/24/EG des Europäischen Parlaments und des Rates vom 17. Juni 1997 über bestimmte Bauteile und Merkmale von zweirädrigen oder dreirädrigen Kraftfahrzeugen (ABl. EG Nr. L 226 S. 1). | |
| § 47 Abs. 1 | Artikel 1 bis 7 Anhänge |
der Richtlinie 70/220/EWG des Rates vom 20. März 1970 zur Angleichung der Rechtsvorschriften der Mitgliedstaaten über Maßnahmen gegen die Verunreinigung der Luft durch Emissionen von Kraftfahrzeugmotoren (ABl. EG Nr. L 76 S. 1), geändert durch die
|
| § 47 Abs. 2 |
|
der Richtlinie 72/306/EWG des Rates vom 2. August 1972 zur Angleichung der Rechtsvorschriften der Mitgliedstaaten über Maßnahmen gegen die Emission verunreinigender Stoffe aus Dieselmotoren zum Antrieb von Fahrzeugen (ABl. EG Nr. L 190 S. 1), geändert durch die Richtlinie 89/491/EWG der Kommission vom 17. Juli 1989 (ABl. EG Nr. L 238 S. 43), |
|
der Richtlinie 72/306/EWG des Rates vom 2. August 1972 zur Angleichung der Rechtsvorschriften der Mitgliedstaaten über Maßnahmen gegen die Emission verunreinigender Stoffe aus Dieselmotoren zum Antrieb von Fahrzeugen (ABl. EG Nr. L 190 S. 1), geändert durch die Richtlinie 97/20/EG der Kommission vom 18. April 1997 (ABl. EG Nr. L 125 S. 21). | |
| § 47 Abs. 6 | Artikel 1 bis 7 Anhänge |
der Richtlinie 88/77/EWG des Rates vom 3. Dezember 1987 zur Angleichung der Rechtsvorschriften der Mitgliedstaaten über Maßnahmen gegen die Emission gasförmiger Schadstoffe und luftverunreinigender Partikel aus Selbstzündungsmotoren zum Antrieb von Fahrzeugen und die Emission gasförmiger Schadstoffe aus mit Erdgas oder Flüssiggas betriebenen Selbstzündungsmotoren zum Antrieb von Fahrzeugen (ABl. EG 1988 Nr. L 36 S. 33), geändert durch die
|
| § 47 Abs. 8a | Kapitel 5 | der Richtlinie 97/24/EG des Europäischen Parlaments und des Rates vom 17. Juni 1997 über bestimmte Bauteile und Merkmale von zweirädrigen oder dreirädrigen Kraftfahrzeugen (ABl. EG Nr. L 226 S. 1), geändert durch die
|
| § 47 Abs. 8c | Richtlinie 2000/25/EG des Europäischen Parlaments und des Rates vom 22. Mai 2000 über Maßnahmen zur Bekämpfung der Emissionen gasförmiger Schadstoffe und luftverunreinigender Partikel aus Motoren, die für den Antrieb von land- und forstwirtschaftlichen Zugmaschinen bestimmt sind, und zur Änderung der Richtlinie 74/150/EWG des Rates (ABl. EG Nr. L 173 S. 1). | |
| § 47d | Artikel 1 bis 5 Anhänge I und II | der Richtlinie 80/1268/EWG des Rates vom 16. Dezember 1980 über die Kohlendioxidemissionen und den Kraftstoffverbrauch von Kraftfahrzeugen (ABl. EG Nr. L 375 S. 36), geändert durch die
|
| § 49 Abs. 2 Nr. 1 | Artikel 1 bis 5 Anhänge I bis IV | der Richtlinie 70/157/EWG des Rates vom 6. Februar 1970 zur Angleichung der Rechtsvorschriften der Mitgliedstaaten über den zulässigen Geräuschpegel und die Auspuffvorrichtung von Kraftfahrzeugen (ABl. EG Nr. L 42 S. 16), geändert durch die
|
| § 49 Abs. 2 Nr. 2 | Artikel 1 bis 6 Anhang I bis VI | der Richtlinie 74/151/EWG des Rates vom 4. März 1974 zur Angleichung der Rechtsvorschriften über bestimmte Bestandteile und Merkmale von land- und forstwirtschaftlichen Zugmaschinen auf Rädern (ABl. EG Nr. L 84 S. 25), geändert durch die
|
| § 49 Abs. 2 Nr. 3, Abs. 2a I | (weggefallen) | |
| § 49 Abs. 2 Nr. 4 | Kapitel 9 | der Richtlinie 97/24/EG des Europäischen Parlaments und des Rates vom 17. Juni 1997 über bestimmte Bauteile und Merkmale von zweirädrigen oder dreirädrigen Kraftfahrzeugen (ABl. EG Nr. L 226 S. 1), geändert durch die
|
| § 49a Abs. 5 Satz 2 Nr. 5 | ECE-Regelung Nr. 87 über einheitliche Bedingungen für die Genehmigung von Tagfahrleuchten für Kraftfahrzeuge (BGBl. II 1995 S. 36). | |
| § 50 Abs. 8
§ 51b |
Anhang II | der Richtlinie 76/756/EWG des Rates vom 27. Juli 1976 zur Angleichung der Rechtsvorschriften der Mitgliedstaaten über den Anbau der Beleuchtungs- und Lichtsignaleinrichtungen für Kraftfahrzeuge und Kraftfahrzeuganhänger (ABl. EG Nr. L 262 S. 1), geändert durch die
|
| § 53 Abs. 10 Nr. 1 | ECE-Regelung Nr. 69 über einheitliche Bedingungen für die Genehmigung von Tafeln zur hinteren Kennzeichnung von bauartbedingt langsamfahrenden Kraftfahrzeugen und ihrer Anhänger vom 6. Juli 1994 (BGBl. I 1994 S. 1023), | |
| § 53 Abs. 10 Nr. 2 | ECE-Regelung Nr. 70 über einheitliche Bedingungen für die Genehmigung von Tafeln zur hinteren Kennzeichnung schwerer und langer Fahrzeuge vom 27. Juni 1994 (BGBl. I 1994 S. 970), | |
| § 53 Abs. 10 Satz 1 Nr. 3 | ECE-Regelung Nr. 104 über einheitliche Bedingungen für die und Satz 2 I Genehmigung retroreflektierender Markierungen für schwere und lange Kraftfahrzeuge und ihre Anhänger vom 15. Januar 1998 (BGBl. 1998 I S. 1134). |
|
| § 55 Abs. 2a | Anhänge I und II (jeweils ohne Anlagen) | der Richtlinie 93/30/EWG des Rates vom 14. Juni 1993 über die Einrichtungen für Schallzeichen von zweirädrigen oder dreirädrigen Kraftfahrzeugen (ABl. EG Nr. L 188 S. 11). |
| § 55a Abs. 1 | Anhänge I , I V bis IX | der Richtlinie 72/245/EWG des Rates vom 20. Juni 1972 zur Angleichung der Rechtsvorschriften der Mitgliedstaaten über die Funkenstörung von Kraftfahrzeugmotoren mit Fremdzündung (ABl. EG Nr. L 152 S. 15), geändert durch die Richtlinie 95/54/EG der Kommission vom 31. Oktober 1995 (ABl. EG Nr. L 266 S. 1). |
| § 55a Abs. 2 | Kapitel 8 Anhänge I bis VII | der Richtlinie 97/24/EG des Europäischen Parlaments und des Rates vom 17. Juni 1997 über bestimmte Bauteile und Merkmale von zweirädrigen oder dreirädrigen Kraftfahrzeugen (ABl. EG Nr. L 226 S. 1). |
| § 56 Abs. 2 Nr. 1 und 2 | Anhang I Nr. 1, Anhang II, Anhang III |
der Richtlinie 2003/97/EG des Europäischen Parlaments und des Rates vom 10. November 2003 zur Angleichung der Rechtsvorschriften der Mitgliedstaaten für die Typgenehmigung von Einrichtungen für indirekte Sicht und von mit solchen Einrichtungen ausgestatteten Fahrzeugen sowie zur Änderung der Richtlinie 70/156/EWG und zur Aufhebung der Richtlinie 71/127/EWG (ABl. EU 2004 Nr. L 25 S. 1), geändert durch die a) Richtlinie 2005/27/EG der Kommission vom 29. März 2005 zur Änderung der Richtlinie 2003/97/EG des Europäischen Parlaments und des Rates über die Angleichung der Rechtsvorschriften der Mitgliedstaaten für die Typgenehmigung von Einrichtungen für indirekte Sicht und von mit solchen Einrichtungen ausgestatteten Fahrzeugen im Hinblick auf die Anpassung an den technischen Fortschritt (ABl. EU Nr. L 81 S. 44). |
| § 56 Abs. 2 Nr. 3 | Richtlinie 2007/38/EG | des Europäischen Parlaments und des Rates vom 11. Juli 2007 über die Nachrüstung von in der Gemeinschaft zugelassenen schweren Lastkraftwagen mit Spiegeln (ABl. EU Nr. L 184 S. 25). |
| § 56 Abs. 2 Nr. 4 | Anhang | der Richtlinie 74/346/EWG des Rates vom 25. Juni 1974 zur Angleichung der Rechtsvorschriften der Mitgliedstaaten über die Rückspiegel von land- oder forstwirtschaftlichen Zugmaschinen auf Rädern (ABl. EG Nr. L 191 S. 1), geändert durch die
a) Richtlinie 82/890/EWG des Rates vom 17. Dezember 1982 (ABl. EG Nr. L 378 S. 45, 1988 Nr. L 118 S. 42), |
| § 56 Abs. 2 Nr. 5 | Kapitel 4, Anhang I, Anhang II, Anlage 1 und 2 und Anhang III (ohne Anlagen) |
der Richtlinie 97/24/EG des Europäischen Parlaments und des Rates vom 17. Juni 1997 über bestimmte Bauteile und Merkmale von zweirädrigen oder dreirädrigen Kraftfahrzeugen (ABl. EG Nr. L 226 S. 1). |
| § 57 Abs. 2 |
|
der Richtlinie 75/443/EWG des Rates vom 26. Juni 1975 zur Angleichung der Rechtsvorschriften der Mitgliedstaaten über den Rückwärtsgang und das Geschwindigkeitsmessgerät in Kraftfahrzeugen (ABl. EG Nr. L 196 S. 1), geändert durch die
|
|
der Richtlinie 2000/7/EG des Europäischen Parlaments und des Rates vom 20. März 2000 über den Geschwindigkeitsmesser von zweirädrigen oder dreirädrigen Kraftfahrzeugen ABl. EG Nr. L 106 S. 1). | |
| § 57c Abs. 4 | Anhang I und III | der Richtlinie 92/24/EWG des Rates vom 31. März 1992 zur Angleichung der Rechtsvorschriften der Mitgliedstaaten über Geschwindigkeitsbegrenzungseinrichtungen und vergleichbare Geschwindigkeitsbegrenzungssysteme (ABl. EG Nr. L 129 S. 154). |
| § 59 Abs. 1a | Anhang | der Richtlinie 76/114/EWG des Rates vom 18. Dezember 1975 zur Angleichung der Rechtsvorschriften der Mitgliedstaaten über Schilder, vorgeschriebene Angaben, deren Lage und Anbringungsart an Kraftfahrzeugen und Kraftfahrzeuganhängern (ABl. EG Nr. L 24 S. 1), geändert durch
|
| § 59 Abs. 1b | Anhang | der Richtlinie 93/34/EWG des Rates vom 14. Juni 1993 über vorgeschriebene Angaben an zweirädrigen oder dreirädrigen Kraftfahrzeugen (ABl. EG Nr. L 188 S. 38), geändert durch die Richtlinie 1999/25/EG der Kommission vom 9. April 1999 (ABl. EG Nr. L 104 S. 19). |
| § 59a | Artikel 6 | der Richtlinie 96/53/EWG des Rates vom 25. Juli 1996 zur Festlegung der höchstzulässigen Abmessungen für bestimmte Straßenfahrzeuge im innerstaatlichen und grenzüberschreitenden Verkehr in der Gemeinschaft sowie zur Festlegung der höchstzulässigen Gewichte im grenzüberschreitenden Verkehr (ABl. EG Nr. L 235 S. 59). |
| § 61 Abs. 1 | Anhang (ohne Anlagen) | der Richtlinie 93/32/EWG des Rates vom 14. Juni 1993 über die Halteeinrichtung für Beifahrer von zweirädrigen Kraftfahrzeugen (ABl. EG Nr. L 188 S. 28), geändert durch die Richtlinie 1999/24/EG der Kommission vom 9. April 1999 (ABl. EG Nr. L 104 S. 16). |
| § 61 Abs. 3 | Anhang (ohne Anlagen) | der Richtlinie 93/31/EWG des Rates vom 14. Juni 1993 über den Ständer von zweirädrigen Kraftfahrzeugen (ABl. EG Nr. L 188 S. 19),geändert durch die
|
Muster 1 bis Muster 11 04c
Vorbemerkungen (aufgehoben)
Muster 1 (aufgehoben)
Muster 1a (aufgehoben)
Muster 1b (aufgehoben)
Muster 1c (aufgehoben)
Muster 1d (aufgehoben) 06c
Muster 1e (aufgehoben)
Muster 2a (aufgehoben) 06c
Muster 2b (aufgehoben) 06c
Muster 2c (aufgehoben) 06c
Vorbemerkungen Ausgestaltung der Datenbestätigung
Datenbestätigung
für das nachfolgend beschriebene Fahrzeug zum Zwecke der Vorlage
| Feld 2 | Teil II 3 | Bezeichnung | Daten 2 | ||
| D.1 | X | Marke | |||
| D.2 | X | Typ | |||
| Variante | |||||
| Version | |||||
| D.3 | X | Handelsbezeichnung(en) | |||
| E | X | Fahrzeug-Identifizierungsnummer | |||
| F.1 | Technisch zulässige Gesamtmasse in kg | ||||
| F.2 | Im Zulassungsmitgliedstaat zulässige Gesamtmasse in kg | ||||
| G | Masse des in Betrieb befindlichen Fahrzeugs in kg (Leermasse) | ||||
| J | X | Fahrzeugklasse | |||
| K | X | Nummer der EG-Typgenehmigung oder ABE | |||
| L | Anzahl der Achsen | ||||
| O | Technisch zulässige Anhängelast in kg | O.1 gebremst in kg | |||
| O.2 ungebremst in kg | |||||
| P.1 | X | Hubraum in cm3 | |||
| P.2 P.4 |
X | Nennleistung in kW Nenndrehzahl bei min-1 |
|||
| P.3 | X | Kraftstoffart oder Energiequelle | |||
| Q | Leistungsgewicht in kW/kg (nur bei Krädern) | ||||
| R | X | Farbe des Fahrzeugs | |||
| S.1 | Sitzplätze einschließlich Fahrersitz | ||||
| S.2 | Stehplätze | ||||
| T | Höchstgeschwindigkeit in km/h | ||||
| U.1 | Standgeräusch in dB (A) | ||||
| U.2 | Drehzahl in min-1 zu U.1 | ||||
| U.3 | Fahrgeräusch in dB (A) | ||||
| V.7 | CO2 (in g/km) | ||||
| V.9 | Für die EG-Typgenehmigung maßgebliche Schadstoffklasse | ||||
| (2) | X | Hersteller-Kurzbezeichnung | |||
| (2.1) | X | Code zu (2) | |||
| (2.2) | X | Code zu (D.2) mit Prüfziffer | Typ/Variante/Version | ||
| Prüfziffer | |||||
| (3) | X | Prüfziffer zur Fahrzeug-Identifizierungsnummer | |||
| (4) | X | Art des Aufbaus | |||
| (5) | X | Bezeichnung der Fahrzeugklasse und des Aufbaus | |||
| (6) | X | Datum zu K | |||
| (7.1) | Technisch zulässige maximale Achslast/Masse je Achsgruppe in kg: | Achse 1 | |||
| (7.2) | Achse 2 | ||||
| (7.3) | Achse 3 | ||||
| (8.1) | Zulässige maximale Achslast im Zulassungsmitgliedstaat in kg | Achse 1 | |||
| (8.2) | Achse 2 | ||||
| (8.3) | Achse 3 | ||||
| (9) | Anzahl der Antriebsachsen | ||||
| (10) | X | Code zu P.3 | |||
| (11) | X | Code zu R | |||
| (12) | Rauminhalt des Tanks bei Tankfahrzeugen in m3 | ||||
| (13) | Stützlast in kg | ||||
| (14) | Bezeichnung der nationalen Emissionsklasse | ||||
| (14.1) | Code zu V.9 oder (14) | ||||
| (15.1) | Bereifung-Achse 1 | ||||
| (15.2) | Bereifung -Achse 2 | ||||
| (15.3) | Bereifung -Achse 3 | ||||
| (18) | Länge in mm | ||||
| (19) | Breite in mm | ||||
| (20) | Höhe in mm | ||||
| (22) | Bemerkungen und Ausnahmen
[Hinweis: Es sind nur solche Angaben einzutragen, die nach dem Leitfaden vorgesehen sind] |
||||
| (22a) |
[Hinweis: Raum für weitere Angaben des Genehmigungsinhabers zur technischen Fahrzeugbeschreibung, die nicht in die Zulassungsbescheinigung übernommen werden] |
||||
| (23) | X | Raum für interne Vermerke des Herstellers | [Hinweis: Bei Ausstellung einer Zulassungsbescheinigung Teil II ist zwingend anzugehen: Zulassungsbescheinigung Teil II ausgegeben am: ............, mit der Nummer: .................., ansonsten weitere interne Herstellerangaben, |
||
Bescheinigung der Angaben durch den Ausstellungsberechtigten 4:
Datum ...................................
Firma
Unterschrift i.V. (xxxx)
1) Ob ein Gutachten/Teilgutachten erforderlich ist, ergibt sich aus der Bescheinigung der Angaben durch die Ausstellungsberechtigten.
2) Für die Ausfüllung ist der Leitfaden zur Zulassungsbescheinigung Teil I und Teil II zu beachten.
3) Soweit für das Fahrzeug eine Zulassungsbescheinigung Teil II ausgefüllt wurde, kann auf die Angabe der mit "X" gekennzeichneten Felder in der Datenbestätigung verzichtet werden.
4) Nicht Zutreffendes bitte streichen.
Muster 3 (aufgehoben) 06c
Muster 4 (aufgehoben) 06c
Muster 5 (aufgehoben)
Muster 6 (aufgehoben) 06c
Muster 6a (weggefallen)
Muster 7 (aufgehoben) 06c
Muster 8 (weggefallen)
Muster 8a (weggefallen)
Muster 9 (aufgehoben) 06c
Muster 9 (Bescheid) (weggefallen)
Muster 10 (weggefallen)
Muster 11 Vorbemerkung und Muster 11 (aufgehoben)
Muster 12 (aufgehoben) 06c
![]() |
weiter . |
(Stand: 29.08.2018)
Alle vollständigen Texte in der aktuellen Fassung im Jahresabonnement
Nutzungsgebühr: ab 105.- € netto
(derzeit ca. 7200 Titel s.Übersicht - keine Unterteilung in Fachbereiche)
Die Zugangskennung wird kurzfristig übermittelt
? Fragen ?
Abonnentenzugang/Volltextversion